Главная Юзердоски Каталог Трекер NSFW Настройки

Наука

Создать тред Создать тред
Check this out!

Научный поиск, кристально чистая логика и капля структурированной воды. В споре рождается истина, но люди, считающие себя "технарями" или "гуманитариями", не приветствуются. Для решения домашки создан /un/
<<
Каталог
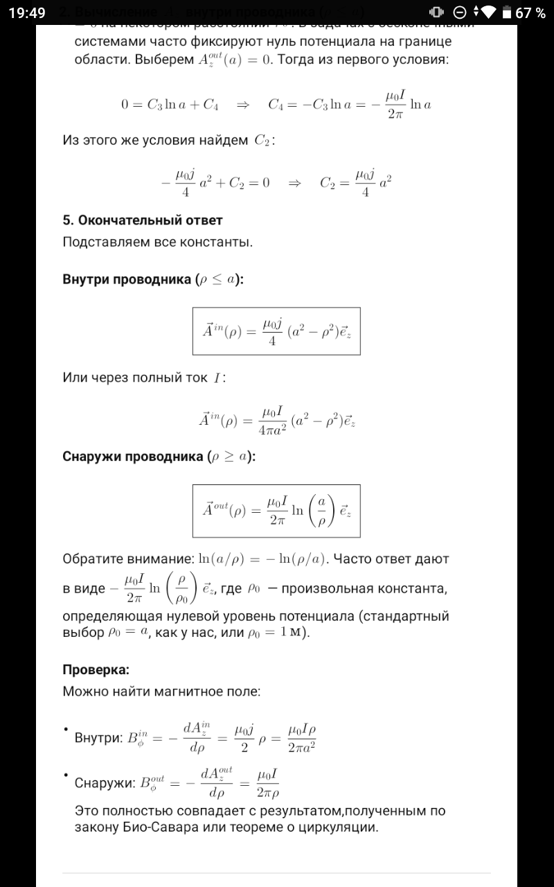
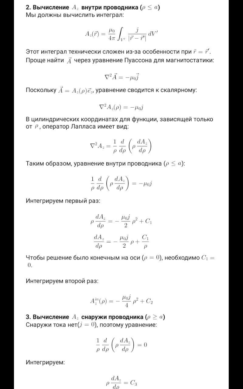
Конспекты анонов Аноним 13/12/25 Суб 14:37:35 606625 Ответ
IMG202512131429[...].jpg 2866Кб, 3000x4000
3000x4000
IMG202512131429[...].jpg 2825Кб, 3000x4000
3000x4000
Сап наукачеры делитесь вашими конспектами по химии, физике, матану. Описывайте темы вызывающие бугурт. Думаю полезно будет. Ну и чисто порейтить почерк анонов.
Я начну.
Хуита на пике вызывала лютый бугурт в МухГУ. Так как на общефизе просто давали ответ, а на квантах было ебучее решение через ряды с предворительными танцами с бубном через асимптотики. Долго ебался, но нашёл более строгий варик. Может кому интересно будет.
Пропущено 26 постов
10 с картинками.
Пропущено 26 постов, 10 с картинками.
Аноним 15/12/25 Пнд 19:51:30 606680
Screenshot20251[...].png 183Кб, 800x1280
800x1280
Screenshot20251[...].png 227Кб, 800x1280
800x1280
Screenshot20251[...].png 243Кб, 800x1280
800x1280
Screenshot20251[...].png 194Кб, 800x1280
800x1280
>>606679
Странно , чё длинные скриншоты не отображаются?
Ну вот тогда
Аноним 16/12/25 Втр 11:52:13 606693
>>606680
А, неплохо вроде в целом. Ну спасибо за старания. Просто я что то про скин-эффект подумал, а потом вспомнил что он только при переменном токе бывает.
Аноним 16/12/25 Втр 21:27:10 606700
>>606693
Ну таки да. Неплохо, сам офигел. Что ж буду её че-нибудь спрашивать если лень
Гуманитарные науки я 29/03/25 Суб 17:50:38 599634 Ответ
IMG2549.webp 20Кб, 800x600
800x600
Можно ли реально выделять гуманитарные дисциплины (философия, политология, история), как отдельные науки? Может быть метод то у них и есть, но вот экспериментальной составляющей - никакой, поэтому они смотрятся достаточно смешно в сравнении с физикой, химией, биологией. Каково ваше мнение, существуют ли гуманитарные науки?
Пропущено 11 постов
2 с картинками.
Пропущено 11 постов, 2 с картинками.
Аноним 27/11/25 Чтв 11:01:09 606302
176423043747926[...].jpg 7Кб, 154x240
154x240
>>606297
>противоестественные
Респект, что помнишь шутку сабжа
Аноним 27/11/25 Чтв 21:35:14 606308
>>599634 (OP)
>философия
Философия не является ни гуманитарной дисциплиной, ни наукой. Таковой она может видеться в казённой классификации с кондовым подходом, на которую ты сослался. И которая сподвигла тебя на создание треда.

>Можно ли реально выделять гуманитарные дисциплины как отдельные науки?
А почему нельзя если это неизбежно?

>Может быть метод то у них и есть, но вот экспериментальной составляющей - никакой, поэтому они смотрятся достаточно смешно в сравнении с физикой, химией, биологией.
Смешно твоё заявление. Согласно твоим же словам признаками науки обладает только естествознание, но при этом ты ставишь вопрос "а есть ли такое у гуманитаристики?".

>Каково ваше мнение, существуют ли гуманитарные науки?
По моему и далеко не только моему мнению такие вопросы имеют в себе скрытую подоплёку. О которой я пока воздержусь.
Аноним 16/12/25 Втр 06:08:14 606688
>>606297
Да и в политологии с экономикой тоже эксперименты ставят. От того, что двачер у себя дома их не может повторить, экспериментами они быть не перестают. Бозон Хиггса тоже самостоятельно дома найти не получится.
>>599634 (OP)
Проблема современной академической гуманитарной (точнее общественной, но не суть) науки в том, что она по понятным причинам сильно политизирована и идеологизирована, поэтому академики вместо поиска знания занимаются всякой муйней типа шизоанализа и мантр в духе "свободный рыночек хорошо просто потому что я так скозал".
ЦИВИЛИЗАЦИЯ УРОВНЯ b Аноним # OP 26/11/25 Срд 21:32:47 606293 Ответ
63690424822.jpg 68Кб, 900x506
900x506
VID202511231942[...].mp4 5960Кб, 800x450, 00:01:12
800x450
Цивилизация уровня /b/

Предлягаю на небольшой отрезок времени каждому стать физиком-теоретиком — погрузиться в мир маняфантазий

Я пришёл к выводу, что все утопии от коммунизма без ГУЛАГа до города Жака Фреско - работают, но к сожалению только при малом количестве людей, буквально там где все друг друга знают (~30 человек).
Так вот давайте представим, что /sci/ решил создать свою цивилизацию (~15 человек).
Это очень мало, но в этом вся суть. Никакой политики, религии, свой язык и загадочные мантии (единственное реализуемое)!
На луне не так давно обнаружили множество редкоземельных металлов. Я думаю вы понимаете к чему я. Межпланетное государство /sci/.
Конечно же 15 работников kfc не в состоянии накопить на межгалактический йобалёт, что бы даже добраться до луны, поэтому давайте пока опустим финансовую составляющую на этом этапе. Просто введем чит код на деньги, допустим нам задонатили на kickstarter 1млрд. рублей при условии что мы вернём патронам деньги с процентами ну и мистр бист чутка дал. Если есть идея как бедолагам спиздить ресурсов, то напишите, я для этого тред создал, что бы вы фаетазировали вместе со мной. Так вот, тут самое сложное, нужно построить аппарат который:
1. Способен выйти из атмосферы земли (загруженным)
2. Способен поддерживать жизнь внутри себя на протяжении путешествия в два конца
3. Способен войти в атмосферу земли груженным не сгорев нахуй и не разбившись о землю
Ещё нужна строительная техника, да не простая, а которая работает на электричестве. Ну вроде ничего и нет не реализуемого с нынишними технологиями. На данном этапе даже не нужна армия из 1000 китайских роботов.

В общем государство /sci/ будет занимать всю поверхность луны. Там будет построен единственный город, ну или ПГТ (все же 15 человек это маловато для города), обязательно рядом с жилой богатой на ресурсы. сервера с обратной стороны трогать не будем

Дальше естественно начинается торговля с землёй. Цены на всё с луны будут ниже, не потому что на ней добывать дешевле или легче, просто это нужно будет для многоходовочки. Ну понятно, что бы кабаны покупали ресурсы у /sci/ убивая земную добычу.

Теперь когда деньги нафармленны, начинаются космические движения тазом. К этому моменту Ебаный Илон Маск, Роскосмос и прочие лошары как ни странно делают тоже самое что и мы. Ради защиты суверенитета /sci/ все их ракеты по какой то никак ни связанной с этим причине попадают в астероидные пояса и взрываются нахуй. Стоит отметить что это тоже ещё не до конца проработанный момент, по какой то причине за ебаным нихуя в космосе сейчас следят лучше чем за банком в моём мухосранске и наверное на земле начнётся некий бугурт, но для этого и была нужна многоходовчка. Хуй че они сделают самой могущественной стране солнечной системы, будут покупать как миленькие.
Дальше по понятной причине, нужно будет сбивать вообще все что взлетает с земли. Что бы притормозить покорение космоса землянами и не получить межглактических пиздюлей. С такой монополией мы уже можем хорошо развиться и превратить /sci/ в самодостаточную автономию. Что бы не сбивать все что взлетает. Мы начинаем кошмарить сверхдержавы, чтоб им было не до космоса, ведь слишком много человеков на луне ничем хорошим не закончится, они обязательно принесут с собой войны и теорию эволюции. Создаём пару войн уже между ними и начинаем покорять дальний космос (ну здесь ничего кроме марса не интересно).

Слава богу существует двач, куда бы я ещё свою шизу сливал..

Мне интересно знать всё по теме космоса и других планет.
Что мешает самолёту прям щас взять и взлететь на 50км?
Насколько на луне много ценных металлов?
Как срать в космосе и сколько такой гипотетический сценарий займёт лет?
Есть ли продвижения в разработке креокамер? (ну или как их там, это в которые ты ложишься, тебя замораживают и ты просыпаешься через 1000 лет в состоянии в котором тебя заморозили)
Пропущено 3 постов
3 с картинками.
Пропущено 3 постов, 3 с картинками.
Аноним 27/11/25 Чтв 21:41:02 606309
78565656.PNG 3074Кб, 1481x892
1481x892
>>606293 (OP)
> Так вот, тут самое сложное, нужно построить аппарат который:
> 1. Способен выйти из атмосферы земли (загруженным)
- строишь propellantless bT-драйв, который способен безреактивно на конверсии электричества в тягу выводить ПН. Но это тема отдельно оплачиваемой секретной диссератции.
- на геостационарке обычными ракетами собираешь орбитальный лифт, который состоит из а) большого отражательный параболоид, фокусирующий свет на круглую площадку поменьше, которая покрыта водоохлаждаемой triple junction PV, вода c которой охлаждается на радиаторах в тени параболоидного зеркала б) пакета очень мощных лазеров
- лазерами светишь вниз точно на аппарат, который также весь покрыт водоохлаждаемыми triple junction PV, эту бортовую полученную с орбитального подъёмника генерацию - направляешь на гравицапу, поднимаешься на ней до геостационарки, затем разворачиваешь лазеры на орбитальной платформе когда летишь в сторону Луны. Прилуняешься снизив обороты гравицапы.


> 2. Способен поддерживать жизнь внутри себя на протяжении путешествия в два конца
До Луны близко, можно кушац колбасы и обезвоженные галеты из морозилок, гадить в ведро с крышкой и выкидывать наружу из шлюза. Т.е. потребуются запасы воды и воздуочистка для удаления СО2 и пердежа.
> 3. Способен войти в атмосферу земли груженным не сгорев нахуй и не разбившись о землю
Копаешь своё барахло. Возвращаешься с грузом отреверсивав пункт 1.

> В общем государство /sci/ будет занимать всю поверхность луны.
Там ещё в первых облётах Апполонов нашли какие-то всё ещё не афишируемые геоглифы заброшенной древной базы, пикрилейтед. На одной естественной ломанной линии - не может быть 5 подряд почти прямых углов.
Крч весьма высока вероятность при попытке освоения ресурсов получить серьёзных пиздюлей от вернувшихся серомордых и улететь ни с чём.
Аноним # OP 28/11/25 Птн 20:37:23 606341
>>606309
Хм, а это имеет смысл. Я даже не думал о сценарии где дрындулет сначала выводят из атмосферы бриблудой в космосе, только потом он улетает.

Ну и по поводу инопланетян, я не особо парюсь. Если что то и прилетит в солнечную систему, то там, вероятно будут обосравшиеся трупики. По данным мочёных, планеты где могла зародиться жизнь слишком далеко, а те которые были такими в прошлом слишком давно стали непригодными. Сомневаюсь я, что цивилизация может существовать миллиард лет. Другое дело, если они там окопались и как то реализовали автономию. Тогда даже лучше, прилетаем с ядерной боеголовкой на всё готовое.
Аноним 06/12/25 Суб 03:18:18 606455
anon-5155528.jpeg 114Кб, 1280x521
1280x521
>>606293 (OP)
Для этого не надо никуда лететь
Надо сделать определение что такое существование. Из чего оно состоит? Существуют онтологии, но их о Аноним 04/12/25 Чтв 22:13:43 606421 Ответ
matrix-code-acl[...].jpg 398Кб, 1680x1050
1680x1050
Надо сделать определение что такое существование. Из чего оно состоит? Существуют онтологии, но их ограничений недостаточно для предположения что там может быть.
Аноним 05/12/25 Птн 01:04:40 606423
>>606421 (OP)
Надо уж тогда сначала дать определение, что такое время и пространство
я иронизирую
Аноним 05/12/25 Птн 12:07:11 606425
Безымянный.png 603Кб, 868x1734
868x1734
Требуется помощь эксперта в области математикибинарных опционов за вознаграждение Аноним 30/11/25 Вск 06:40:25 606358 Ответ
photo2025-11-29[...].jpg 261Кб, 1600x1189
1600x1189
Здравствуйте, аноны. Нужен гений-математик или человек с огромным опытом в работе с бинарными опционами. Моя команда упёрлась в тупик, по причине недостаточного уровня знаний и опыта в конкретном кейсе. Нужна помощь в выявлении закономерностей, анализе данных, проведении расчётов, и ревёрс инжинеринге кейса и мб чего-то ещё. Финальная цель: разгадать "математику" и создать кнопку "бабло". (не поражняк, не шизогипотеза, все пруфы того, что это работает предоставлю только заинтересованным людям, отписавшим в мне лс телеги и хоть немного доказавшим свою компетентность)
лс @dksjsjehjj , прошу сразу сообщить мне откуда и зачем вы мне пишете, чтобы я не путался.

на любые вопросы готов ответить в треде, если посчитаю нужным.

Пропущено 9 постов
2 с картинками.
Пропущено 9 постов, 2 с картинками.
Аноним 01/12/25 Пнд 17:05:17 606372
>>606371
Так у тебя уже есть инсайдерская инфа, какую математику ты собрался выявлять?
Аноним 03/12/25 Срд 22:25:12 606410
>>606371
Так какая математика тебе нужна?
11/03/26 Срд 21:26:02 609029
Предел прочности стальной сферы Никита 28/03/25 Птн 21:09:32 599618 Ответ
image.png 79Кб, 254x198
254x198
Всем привет! В общем, мне нужно вычислить предел прочности стальной сферы. Если точнее, то на какой глубине произойдет имплозия, при погружении этой сферы в воду. Хотел бы узнать формулу, но приблизительные значения Внеш. радиус - 700мм, Толщ. - 12 мм.

Спасибо)
Пропущено 3 постов
3 с картинками.
Пропущено 3 постов, 3 с картинками.
Аноним 15/11/25 Суб 22:40:15 605989
i.jpg 131Кб, 1280x720
1280x720
Аноним 03/12/25 Срд 06:39:52 606394
Аноним 03/12/25 Срд 12:19:18 606396
>>599618 (OP)
$p_{crit}=\frac{2d\sigma}{R}$, подставляй параметры сферы и стали, получай критическое давление. По прикидкам меньше километра получается. Для домашних заданий тут отдельная доска, кстати.
Электрики халп. Аноним 30/11/25 Вск 04:07:49 606357 Ответ
eaf37a2f8a15483[...].webp 37Кб, 531x398
531x398
Сап аноны.

На днях девушка сказала что у нее давно не работает вытяжка, и диодная подсветка на кухне. И мол приходил "мастер" и сказал надо лезть куда-то под пол. Что мне показалось странным.

Что я увидел: внутрь короба вытяжки просто положили обычную внешнюю розетку, куда воткнули вилку. А другой конец питания этой самой розетки... воткнули в блок питания VIASVET 12В 5A 60Вт IP20 (LED 12V-60W) от диодной ленты(которая тоже сломалась).

И блок этот лежит себе в секции для тарелки сушатся за стенкой из ДСП. Блок вяло мигает зеленым диодиком. Я загуглил ТТХ вытяжки Monsher STELLA 60 Noir - 115 Ватт. Я не понимаю как это было сделано установщиком и зачем.
Подскажите:
1. Блок судя по индикации умер? Если от его 60В гоняли о подсветку и вытяжку.
2. Если его менять, можно ли вообще на один БП подключать два разных потребителя?


Единственная проблема не могу понять откуда тянется питающий провод к этому блоку, т.к. кухня "не раздельная". Ничего не снять просто так. Ни распределительной коробки, ничего нет. Будто из стены торчат фаза о ноль, сука.
Если он приколхожен к розетке снизу (откуда видимо питается духовка, плита и посудомойка), можно ли вообще туда еще и вытяжку с диодной лентой? Или ничего страшного, просто автомат подходящий подобрать в щит с запасом.
Аноним 30/11/25 Вск 21:06:02 606364
>>606357 (OP)
>Если он приколхожен к розетке снизу (откуда видимо питается духовка, плита и посудомойка), можно ли вообще туда еще и вытяжку с диодной лентой? Или ничего страшного, просто автомат подходящий подобрать в щит с запасом.

Теоретически можно.
На практике надо прикинуть суммарную мощность всех приборов и сравнить с ТТХ проводов. Лучше брать с запасом.
По идее вентилятор и светодиоды мало потребляют по сравнению с плитой/чайником. Типа раз в сто меньше, так что не должно вызывать особых проблем.

Кустарные решения — хороший способ устроить пожар. Сделай нормально — расковыряй стену где провод торчит, сделай нормальную розетку в стене в этом месте и втыкай всё по отдельности.

Я при этом нихера не понял, как вытяжка должна работать из розетки, питаемой 12в блоком питания. Нарисуй схему или сделай фотки.
Базы данных ФЭС(ЭСХА(XPS)) Аноним # OP 27/11/25 Чтв 11:28:50 606304 Ответ
image.png 61Кб, 1824x1413
1824x1413
Сомневаюсь, что тут есть действительно практикующие работяги-моченые, но если и есть, где вы берете БД для ЭСХА? Нист лежит обосравшись и обоссавшись. https://xpsdatabase.com - в этом говне ничего путного нет, занимаюсь лантаноидами, а там компоненты для них делают через карты таро и игральный кубик.
Все остальные ресурсы не удовлетворяют моим запросам вообще, печатных никаких не находил.
Помогите, надо СПЕКТРЫ обрабатывать..........
И в целом, тред БД для обработки спектров объявляю открытым.
Пропущено 1 постов
1 с картинками.
Пропущено 1 постов, 1 с картинками.
Аноним 28/11/25 Птн 08:20:26 606311
>>606304 (OP)
>где вы берете БД для ЭСХА
К человечку на приборчике подскакиваю кабанчиком и обкашливаю вопросик.
Аноним 28/11/25 Птн 20:06:08 606336
>>606311
Человечек пожимает плечами, и говорит, что пользуется платной БД от французов. Действия?
Аноним 30/11/25 Вск 13:55:32 606361
>>606336
Человечек занимается этим уже 40+ лет.
Что-нибудь да подскажет, если надо будет снимет.
Ку, есть вопрос: поч асимптота бесконечно сближается но не пересекается??? Аноним # OP 08/11/25 Суб 13:31:35 605788 Ответ
Screenshot20251[...].jpg 701Кб, 1084x1519
1084x1519
Ку, есть вопрос: поч асимптота бесконечно сближается но не пересекается???
Пропущено 1 постов
3 с картинками.
Пропущено 1 постов, 3 с картинками.
Аноним 08/11/25 Суб 13:56:08 605789
>>605788 (OP)
>поч асимптота бесконечно сближается но не пересекается?
Почему квадрат квадратный, а не круглый?
Аноним 11/11/25 Втр 12:35:10 605825
176285369144483[...].png 6Кб, 576x201
576x201
>>605788 (OP)
Как это, не пересекается, пересекается, на бесконечности
Аноним 26/11/25 Срд 15:37:47 606281
Screenshot20230[...].png 12Кб, 413x404
413x404
>>605788 (OP)
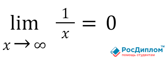
ты же знаешь что на ноль делить нельзя? ну типа представь 5/0=x например, тогда 0x=5 чего быть не может. ну и вот:

допустим есть функция y=1/x
по мере увеличения x график будет все больше опускаться. ну типа если x=3 то y=1/3, что не так уж и мало, а вот если x=5 , то y=1/5, что уже ощутимо меньше. так можно делать до бесконечности, типа если x=83536295, то y=1/83536295, понятно что это очень маленькое число.

ну вот, как я сказал в начале, в этой ситуации x≠0, ибо на ноль делить нельзя. грубо говоря, полоска графика никак не сможет стать ровно нулём, ибо x это не может, на него делят, а спуститься максимально вниз он может, потому-что он может быть хоть бесконечностью и y будет равен 1/бесконечность.

надеюсь понятно, вроде это в классе 9 или 8 проходят
Астрономия Аноним 25/11/25 Втр 20:25:11 606268 Ответ
i.webp 47Кб, 1280x720
1280x720
итак сейчас 24.11.2025

я изучаю планету kepler-452 b ну или типо того

у данной планеты имеется 4-5 колец состоящие толи из астреройдов как в ситуации с сотурмом толи из микроскопических кусочков льда
поверхность имеет океаны озера моря реки и очень похожа на эру архей значит данная планета сформировалась недавно отмасфера на данной планет
как на земле небо имеет голубой цвет ланшавт выженый как на меркурии а также имеется писок примерно через 5-6 милиардов лет планета перейдет
в этап палеозой хотя возможно на дне океанов планеты кеплер уже имеются микро-ракообразные или небольшие анебы и прочее большее сказать не могу

Планета-Kepler-452 b

Класс- Комфортная терра

Метод открытия- транзитный

дата открытия в 2015 году

сутки 13 часов

А тагже на данной планете имееются вулканы и облока
значит получаем то что имеются дожди и прочие осадки на данной планете
и фактор жизни тоже имеется тоесть планета земля не одна обитаймая планета во вселеной
и делаем вывод что возможен фактор появления жизни не только в нашей галактики но и в других (соседних)

А также темпиратура данной планеты состовляет 9.908 градусов по цельсию

Состав атмосферы СО2 NH3 H2S C2H2
Масса данной планеты состовляет 3.6027 м+
Возраст планеты определить сложно но по известным источникам он состовляет 1.753.109
гравитация 1.3639 g

похоже я на данной планете заметил пустыни тоесть уже имееются микро организмы и есть основания гор
Тоесть фактор жизни на данной планете состовляет 56.4 процентов (если не брать за счет микро организмы)
А если учитывать благоприятный фактор климотора то можно получить если реальные шансы оброзования жизни
скорее всего на даной планете покачто беспозвоночные на глубине океанов которые с эвалюцинируют в ракообразных
а там возможно до млеко питающих (в тиории)

Но меня смущают кольца на данной планете возможно они как-то поспосотствуют ледниковому пириут (в теории на практике не известно)

Имеются первые образования грунтовых пород

Также данная планета крутитсяна орбите огромной звезды Kepler-452 G2 V

кагже как и в солнечной системе земля во круг солнца

пока что у планеты Kepler-452 b неимеется спутник возможно ближе к Паралеозую спуьник (аналог луны) появится
хотя данная планета может существовать и без него поскольку имеет кольца
давайте про кольца если учитывать то что они состоят изо льда возможно ближе к появлению к присмыкающизся если будет фактор появлений ящеров ( в очень большой теории)
то данные кольца начнуть охлождать воздух на плене поскольку они находятся близкок к атмосфере данной планеты

температура поверхности планеты за счет света звезды состовляет 10 градусов по цельсию а также
температура саммой звезды состовляет 5484 градусов
Атмосферное давление данной планеты состовляет 1.87 атм(1.31 атм)


А теперь сравним покозатели Планеты земли


Класс комфортная терра с жизнью
Масса 1 м+
Возраст 4.570-10(9) лет
сутки 24 часа
гравитация 1 г
состав отмосферы N2 O2 AR
температура 15.273 градусов по цельсию
Парниковый Эффект 33 градуса по цельсию
имеется спутник

из всей полученой информации на данный момент можем зделать вывод что данную планету постигнит таже участь что и планету земля

остается только ждать и надеется

Спасибо за внимание ;3
Пропущено 1 постов
1 с картинками.
Пропущено 1 постов, 1 с картинками.
Аноним 25/11/25 Втр 23:03:48 606270
А где эта планета находится? На сколько далеко она от солнечной системы? Кольца конечно выглядят шикарно.
Всегда было интересно, если бактерии с другой планеты попадут в человека, то сможет ли иммунитет их задефать?
Аноним 26/11/25 Срд 14:24:07 606279
>>606268 (OP)
>я изучаю планету kepler-452 b ну или типо того
>заголовок треда не об этом
Ну зачем ты использовал заголовок "Астрономия" если тред всего лишь о конкретной частности? И почему не в профильном разделе?
Аноним 26/11/25 Срд 14:29:40 606280
>>606268 (OP)
>на орбите огромной звезды Kepler-452 G2 V
>
>на орбите жёлтого карлика Kepler-452 в созвездии Лебедя
Ясно-понятно.
25.11.2025 написано Mehavich Дамы и господа сегодня поговорим про такую Экзо планету как Gliese 667 Аноним 25/11/25 Втр 22:43:00 606269 Ответ
4a0cf7e7191cbd9[...].jpg 56Кб, 734x369
734x369
25.11.2025 написано Mehavich

Дамы и господа сегодня поговорим про такую Экзо планету как Gliese 667 C c вы меня можете по мнеть по стотье о планете kepler 452 b

Данная планета предстовляет собой холодную пустыню без наличия на себе океанов имеет кольца как у Сатурна
Эту планету открыли в 2011 году способом родиальных скоростей на данной планете имеется отмосвера голубое иногдо пурпурного отенка
имеет на себе скалы а температура ней состовляет -66 градусов по цельсию днем ночью может доходить до -135 градусов
На планете имеются скалы и подобие грунта перемешеного с песком и камнями жизни нет на ней но еслебы был бы переодический дождь
и бомбардировка метеоритами то был бы шанс зарождения
Но не суть давайте перейдем к характеристикам данной планеты

Планета Gliese 667 C c

Класс Прохладная пустыня

Метод открытия Радиальных скоростей

Дата открытия 2011

Широта/Долгота 30/06/13/48

Масса 9.3648 М+

Фаза 0.928

Возвраст 2.000-10/9 лет

Гравитация 2.226 g

Состав отмосферы CO2 HH2 CH4 H2S C2H4

Атмосферное давлнение 0.336 атм

Температура -66.095 градусов по цельсию

Парниковый эффект 8.4526


Интерестный факт у большинства планет состав отмосферы одинаковый связоно это с тем
что на планетах нету растительности и эти вищества не могут переробатываться

Многих интересует вопрус (Автор а сколько там длятся сутки нука говори)
Сейчас отвечу на данной планете еще к сожалению не определили сколько там длится время

но по моим расчетам если на земле 24 часа то здесь они будут примерно 56 часов

так-же о факторе обитаймости возможен ли он

в тиории да если на данной планете будут идти дожди и будут поевляется первые озера океаны и тд то с уверности сообщаю
что есть малый шанс
Пропущено 2 постов
1 с картинками.
Пропущено 2 постов, 1 с картинками.
Аноним 26/11/25 Срд 14:07:32 606276
>>606275
> Ебало представили?
Слегка прохладновато, но электрообогрев скуфандра и ботинок с проводочком к ритегу за камнем поможет.

Но ОП таки пиздабол и фантазёр, Глизе 667 С с - находится на расстоянии иносляции большей чем земная, и подобных температур там быть не может просто потому что.
Слсо https://www.google.com/search?q=Gliese+667+C+c&rlz=1C1PRFC_enRU963RU1101&sourceid=chrome&ie=UTF-8 - примерная температура: от +27 до -27 °C
Аноним 26/11/25 Срд 14:22:24 606277
Но на красных карланах всё равно нечего ловить, их внутренние планеты - все обезвоженные и почти обезатмосференные марсоподобные независимо от их массы, внешние планеты - все промёрзлые мини-нептуны.
Происходит оно из-за сильного сдвига зоны обитаемости к внутренним орбитам на самых ранних этапах жизни красных карланов.
Звёзды-черви, звёзды-чмондели, звёзды-кладбища.

Для нормальноый жызни без скуфандра и не в герметичном подземелье - нужны звёзды массой от 80 до 120% солнечной, с такими же нечастыми как у Солнца супервспышками не чаще раза в 1000 лет.
Аноним 26/11/25 Срд 14:23:52 606278
>>606276
> на расстоянии иносляции большей чем земная
fix на расстоянии мощности иносляции меньшей чем земная
Двачер, рассуди Недавно я тут рассказывал идеи связи без задержки сквозь вселенную. Как известно из Аноним # OP 27/08/25 Срд 17:32:41 604283 Ответ
IMG1301.jpeg 5Кб, 275x183
275x183
Двачер, рассуди
Недавно я тут рассказывал идеи связи без задержки сквозь вселенную.
Как известно из квантовой физики, хуе мое, объект который измеряется проецирует свою позицию без учета расстояния, ну и все дела

Тогда я сказал, давайте один поместим на земле а второй на луне и замерами мы передадим зашифрованное сообщение


Дахуя умный Двачер пояснил мне за мое место в этом треде и что в целом заставить его принять нужную нам позицию ( к примеру по циферблату часов) невозможно и иди придумывай сказку о медведях

Я вернулся чтобы обоссать Двачера который так считает


Итак вот новая мысль - за пакет мы берем условное известное значение ( секунда)
За секунду сы делаем замеры • • —
И что мы получили?) Морзе без пинга? Ага.
Двачер. Иди нахуй
Пропущено 16 постов
1 с картинками.
Пропущено 16 постов, 1 с картинками.
Аноним 16/11/25 Вск 20:00:50 606021
>>604283 (OP)
ОП, есть такая книга - Сильмариллион Джона Толкина. В самом начале книги Бог Илуватар жыл в абсолютной пустоте. И когда ему стало скучно, он начал петь и пустота - ноль, стала заполняться массами - единицами от колебаний песен.

Споёт симфонию - родятся эльфы.
Зачитает рэп - родятся негры.
Заноет блатняк - родятся русские.
Все массы большые нуля рождаются от колебаний пустоты равно нулю. Ноль рождает единицу изх колебаний пустоты. Это называется квантовый переход.

Дак вот я не знаю кто у каво спиздил идею колебаний пустоты: физики у Толкина, или Толкин у физиков.

Если Толкин спёр - ну и хуй с ним. Писатель-сказочник подволдит научную бюазу под свои фантазии. А вот если физщики спёрли идею уолебаний пустоты у Толкина, то это наводи на две мысли:

1. Основоположником кв. физики надо щитать Дж. Р. Толкина.
2. Кв. физика - это такая же сказка как и сами книги Толкина.

Просто щас все (и физики, и историки и прочие) любят натягивать сову на глобус, совмещать несовместимое и искать подобие там где только можно.

Дак вот если всё таки физики спёрли идею колебания пустоты у Толкина, то вся кв. физика - это такая же плоская Земля - сказка. И про неё говорят и её продвигают просто потому, што правды пока никто не зхнает, и иной гипотезы пока не приджумали.

И ещё. У Толкина есть причина колебаний - Бог. А у физиков причины нету - Бога то нету, сомо всё колеблется. Вот и думай чо хочешь про Бога - есть он или нету.
Аноним 16/11/25 Вск 20:42:17 606022
>>606021
У нас вся микро- и наноэлектроника основана на квантовой механике. Если бы квантовая механика не работала, твой компьютер бы тоже не работал.
Аноним 23/11/25 Вск 23:25:24 606177
>>606022
Я хотел сказать, што если физики начитались Толкина, то основоположником кв. физики и надо щитать Толкина. Нобелевку ему дать, памятник поставить, ну как то почтить Профессора.

И про Бога. У Толкина причина колебаний - Бог.
А у физиков само по себе колеблется. Вот само, - и всё тут.
Как вы думаете, вероятность существует или нет? RVZXRMANE.MP3 30/01/25 Чтв 20:49:00 597836 Ответ
6034н76349682е92.png 10Кб, 480x270
480x270
По моему мнению таких вероятностей как 30 на 70 и т.д. не существует. Типо всё в нашем мире делиться на два - да или нет, произошло или не произошло т.е. 50 на 50
Пропущено 10 постов
1 с картинками.
Пропущено 10 постов, 1 с картинками.
Аноним 15/02/25 Суб 18:31:03 598219
ОП реально не понимает, что дихотомия между истинностью и ложностью тоже хуйня, происходящая в голове (логика). Если мы реально будем рассуждать о вероятности, то ее применение не имеет смысла вне математике.

С точки зрения философии математики, не существует единого консенсуса о ее природе в целом, но нормальные математики все поголовно формалисты и нахуй шлют ебучий неоплатоников или каких-то других пидорасов.

Вероятность события имеет смысл из постановки задачи. Вопрос треда реально хуйня
Аноним 21/11/25 Птн 14:51:28 606118
>>597836 (OP)
все верно, теория вероятностей нужна, чтобы компенсировать отсутствие понимания процесса через статистику
Аноним 22/11/25 Суб 13:46:02 606126
>>597836 (OP)
Имеется наблюдение, что если проводить "один и тот же" эксперимент снова и снова то статистика наблюдений сходится к чему-то иногда отличному от 50 к 50, причем крайне устойчиво. Например если доставать из мешка с тремя разноцветными шарами один на угад и класть назад. Шар конкретного цвета бы бы доставал как 1 к 2. Можно сказать конечно, что это не 1 к 2 а 1 к 1 много(иногда счетно много) раз и с перебросами, но это все лишняя машинерия которую теорвер закидывает под ковер.
Новука Аноним 16/10/25 Чтв 12:31:58 605298 Ответ
1.jpg 21Кб, 533x800
533x800
2.jpg 24Кб, 533x800
533x800
3.jpg 21Кб, 533x800
533x800
Занимаюсь разработкой Химических волокон на основе APAO, кто хочет работать в команде, кидайте фейкомыло, добавлю в канал в телеге
Пропущено 18 постов
1 с картинками.
Пропущено 18 постов, 1 с картинками.
Аноним 02/11/25 Вск 19:11:56 605681
>>605658
>Давят и приговаривают полушепотом - ух бля. При этом у них на лбу аж пот выступает.
Вот это я понимаю, экспрессивно. Уже ради одного этого стоит почитать)

>обои от стен отклеиваются
А с организмами что происходит? Тушки тоже медленно дезинтегрируются?
Аноним 21/11/25 Птн 19:29:46 606123
Если что вот тг-канал опа - почитайте, охуеете от гиганта его мысли https://t.me/solufiber
Аноним 21/11/25 Птн 23:02:32 606124
Здравствуй, анон, мой дорогой слушатель. Пожалуй, не станет преувеличением, если я скажу, что это бу Аноним 19/07/25 Суб 07:01:54 603177 Ответ
VisUniWikiBudas[...].jpeg 2181Кб, 2400x2400
2400x2400
NASA-HS201427a-[...].jpg 421Кб, 1200x1096
1200x1096
Здравствуй, анон, мой дорогой слушатель. Пожалуй, не станет преувеличением, если я скажу, что это буквально самый важный тред в твоей жизни. Я стараюсь разобраться в непростой ситуации, от которой зависит судьба человечества в известном нам на сей момент виде. Внесу ясность - я молодой ученый физик из Москвы, инвалид третьей группы, и абсолютно точно, да, все без сомнений верно, мной открыта формула некого условного бессмертия и возможности глобально отматывать время на 40-70 лет назад за цикл. К сожалению, все упирается в реализацию, ведь одно дело провести расчеты.. На бумаге то все бьется! А совсем другое - проект строительства сети суперкомпьютеров и медного конуса "центрифуги" размером во всю солнечную систему. Я понимаю, как безумно все это звучит. За одно поколение нереально нагнать подобный темп работы, я уже успею тысячу раз сдохнуть и разложиться, пока осуществляется проект. Хотя, если бы весь мир запускал экспедиции и детали в космос, а не дроны и бомбы на соседние государства да айфоны выпускал.. И я сейчас больше про америку. Мы в ловушке собственной бездарности как вида.
Мне говорят, топовые сотрудники из всяких сколково, бывшие профессора лучших НИИ, которым повезло увидеть и ПОНЯТЬ часть моих расчетов - не еби себе мозг зря, пиши статьи, подавай на нобелевку, сдохнешь сытым и известным, как скотину тебя откормят, будут приглашать на всякие дебильные передачи, уххх, бля, представьте? Мне это предлагают, вместо возможности стать Богом, подарить Человеку бессмертие, способность перематывать назад время и переживать разные версии себя. Как же мне хочется того, эти довольные рожи все отколумбайнить. Вы меня заебали. У меня в голове формулы, позволяющие преодолеть витальность бытия. Но обыватели поднимают каждое слово на смех, а коллеги на проверку оказываются скудоумными и "земными".
А что скажет двач? Может кто вынесет себе мозги от безысходности, как хочется сделать мне ежедневно? Даже если ты прошел endgame науки как таковой, сделать то все равно нельзя ровным счетом ничего, мы обречены.
Пропущено 29 постов
5 с картинками.
Пропущено 29 постов, 5 с картинками.
Аноним 02/11/25 Вск 22:32:09 605688
если ввести в поиске Яндекса: физик из Москвы инвалид, то выйдет твой пост на Дваче
Аноним 09/11/25 Вск 18:41:51 605806
1762471575425-0.png 50Кб, 1890x1500
1890x1500
>>603177 (OP)
>На бумаге то все бьется!


>2025


>на бумаге

вот тут у меня ДРАМА [Легко: Успех] активировалась
Аноним 10/11/25 Пнд 19:30:37 605816
А потом будем читать: "Русский Хоукинг погиб от пыток в СИЗО".
привет знающим. Прочитал пару тредов тут, восхищаюсь вами, народ. Чего я тут, мне надо выучить физи Аноним 08/11/25 Суб 21:00:49 605794 Ответ
e6108c21985afc9[...].jpg 76Кб, 732x802
732x802
привет знающим. Прочитал пару тредов тут, восхищаюсь вами, народ.

Чего я тут, мне надо выучить физику и математику. С математикой у меня проблем никаких - до этого удавалось на пятерки каждый раз закрывать все, но вот в этом году(учусь в 11 классе) нашу учительницу поменяли и я, сука, перестал понимать че мы делаем вообще.

А с физикой беда-беда, в начале учебы(когда у нас еще физику ввели, а было это, когда я еще сосать писю отца не мог) не смог в школу ходить 2 месяца из-за болячки, по итогу по сей день не соображаю нормально, хотя уверен что могу.

Что можете посоветовать? Какие книги, статьи или может быть что-то еще.
08/11/25 Суб 21:13:25 605795
Рабдовирусы(бешенство),ВИЧ и вирусный гепатит 06/11/25 Чтв 09:48:46 605750 Ответ
artificial-inte[...].jpg 52Кб, 1000x1080
1000x1080
Вот некоторые соображения и пояснения:


Водородные связи и вирусы: Вирусы действительно используют водородные связи для различных процессов, таких как связывание с клетками-хозяевами и сборка вирусных частиц. Однако, разрушение этих связей не обязательно приведет к нейтрализации вируса, так как вирус имеет сложную структуру, основанную на других типах связей и взаимодействий.
Электрический ток и клетки: Применение электрического тока к клеткам может вызвать различные эффекты, включая повреждение клеточных мембран, денатурацию белков и нарушение клеточных функций. Однако, воздействие тока может быть неспецифичным и повредить как зараженные, так и здоровые клетки.
Электролиз полимеров: Электролиз – это химический процесс разложения вещества под воздействием электрического тока. Электролиз полимеров может привести к их деградации, но эффективность этого метода против вирусов не доказана. Кроме того, необходимо учитывать, что электролиз может привести к образованию токсичных побочных продуктов.
Рабдовирусы, ВИЧ и вирусный гепатит: Эти вирусы имеют разные механизмы репликации и инфекции. Следовательно, универсальный метод их нейтрализации, основанный на воздействии на водородные связи, маловероятен.
Оптимальная температура тела: Поддержание оптимальной температуры тела важно для нормального функционирования организма, но не является фактором, который напрямую влияет на нейтрализацию вирусов электрическим током.
Пропущено 1 постов
1 с картинками.
Пропущено 1 постов, 1 с картинками.
Аноним 06/11/25 Чтв 20:11:49 605758
Бешенство (гидрофобия),ВИЧ и вирусный гепатит 08/11/25 Суб 14:31:05 605790
>>605758
Во Владимирской области продолжают фиксировать единичные случаи бешенства среди диких и домашних животных. В отдельных ситуациях могут пострадать не только сами зараженные звери, но и сердобольные люди, которые хотят им помочь — порой даже не догадываясь, что животное болеет.

Так произошло в ноябре в микрорайоне Юрьевец города Владимира. Семейная пара подобрала на улице бездомного котёнка. Однако на обследование в ветклинику найдёныша не отнесла. В итоге котёнок покусал обоих супругов, а спустя некоторое время приемыш скончался. Обследование показало, что уличный котенок был заражен вирусом бешенства. Сейчас хозяева животного проходят экстренную вакцинацию против бешенства, - отмечают в управлении Роспотребнадзора Владимирской области.
Профессии ,которые будут актуальны гугл лет! 08/11/25 Суб 14:33:30 605791
>>605758
Бешенство (гидрофобия, водобоязнь) — смертельное инфекционное заболевание, вызываемое вирусом бешенства. Передаётся через укус или ослюнение повреждённой кожи или слизистых оболочек больным животным. Вирус поражает центральную нервную систему, приводя к тяжёлым нарушениям и смерти практически в 100% случаев при появлении симптомов.
ru.wikipedia.org +1
Гидрофобия — один из ключевых симптомов бешенства. При попытке выпить воды или даже при виде и звуке льющейся жидкости у больного возникают болезненные спазмы мышц глотки и гортани, что делает невозможным питьё. Этот симптом развивается в стадии возбуждения заболевания.
gemotest.ru +1
Механизм развития и стадии болезни
Инкубационный период — от нескольких дней до года (в среднем 1–3 месяца). Зависит от локализации укуса: чем ближе к голове, тем короче период.
nesvetai.donland.ru +1
Продромальная фаза (предвестники):
повышение температуры, головная боль, слабость;
зуд и припухлость в месте укуса;
тревожность, бессонница, кошмары.
gemotest.ru +1
Стадия возбуждения (2–3 дня):
гидрофобия (водобоязнь);
аэрофобия (страх ветра или сквозняков), фотофобия (боязнь света), акустикофобия (реакция на громкие звуки);
судороги, гиперсаливация (обильное слюнотечение), психомоторное возбуждение, агрессия, галлюцинации.
gemotest.ru +1
Паралитическая стадия:
прекращение судорог и приступов, ложное ощущение улучшения;
развитие параличей конечностей, лица, дыхательных мышц;
повышение температуры до 40–42°C, тахикардия, гипотония;
смерть от остановки дыхания или сердца через 12–20 часов.
Общая продолжительность болезни — 5–8 дней.
Передача и источники инфекции
Основные переносчики: собаки, лисы, волки, кошки, летучие мыши и другие плотоядные животные.
ru.wikipedia.org
+1
Способы заражения: укус, ослюнение повреждённой кожи или слизистых, теоретически — через трансплантацию инфицированных тканей или при контакте с заражённой пылью в пещерах с летучими мышами.
Риск заражения зависит от глубины укуса, локализации (укусы в лицо и кисти рук особенно опасны), количества попавшего вируса.
dag-chum.ru +1
Профилактика и лечение
Специфического лечения при появлении симптомов не существует. Поддерживающая терапия направлена на облегчение страданий.
Единственная мера профилактики — срочная вакцинация после контакта с подозрительным животным. Вакцина вводится в течение 14 дней после укуса. В некоторых случаях дополнительно применяют антирабический иммуноглобулин.
gemotest.ru +1
Важно: чем раньше начата вакцинация, тем выше шансы предотвратить развитие болезни. При возможности животное, укусившее человека, наблюдают в течение 10 дней. Если за это время оно не погибло и не проявило признаков бешенства, вакцинацию можно прекратить.
Криптография Аноним 04/11/25 Втр 20:12:25 605734 Ответ
i (6).jpeg 23Кб, 800x600
800x600
Есть предложение создать простенький шифр на основе пигпена для всего народа чтобы можно было бесконечно его переделывать под себя и каждый бы мог пользоваться в своё удовольствие скрывать сокровенное от посторонних глаз
Пропущено 1 постов
1 с картинками.
Пропущено 1 постов, 1 с картинками.
Аноним 06/11/25 Чтв 12:36:13 605751
Гугл частотный анализ шифра подмены
Аноним 06/11/25 Чтв 20:10:40 605757
>>605734 (OP)
Зачем изобретать велосипед, когда уже существует AES 256?
Аноним 06/11/25 Чтв 22:57:50 605764
Это круто но нужен такой чтобы и ребёнка научить
объясните Аноним 04/11/25 Втр 15:07:12 605724 Ответ
ValdemarAtterda[...].jpg 223Кб, 960x594
960x594
573cc4bc7e9d6c9[...].jpg 85Кб, 735x474
735x474
сколько лет миру ? учоные сказали что миллиарды.
так вот все эти миллиарды лет люди жили без электричества, бензина, двигателей и прочих вещей?
а потом с 1800 года они резко все поумнели и изобрели и двигатели и оружие крутое и связь и электричество, за 200 лет всего!
200 лет. в масштабе миллиардов лет это все равно что за один миг.


каким нужно быть дебилом чтобы верить в это?
вы реально такие тупые хуесосы?
Пропущено 5 постов
3 с картинками.
Пропущено 5 постов, 3 с картинками.
Аноним # OP 04/11/25 Втр 18:31:51 605729
хахаха, ебать НИУДОБНЫЙ ТРЕД! странно что не потерли еще
Аноним 04/11/25 Втр 19:23:00 605732
>>605729
Ебать ты шизик. Пиздуй обратно на пикабу или редит с таким низким уровнем
04/11/25 Втр 21:41:37 605736
Биология и немного занудства Чел 10/01/25 Птн 10:52:18 597415 Ответ
800px-FightingH[...].jpg 117Кб, 800x533
800x533
Какой тогда смысл во внутривидовой конкуренции, если она только мешает жить и снижает выживаемость даже у успешных особей? Не убивай и не будешь убит, но существа слишком тупые, чтобы хотеть жить и устраивают жестокую борьбу только друг с другом(с теми, кто похож) не ради выживания, а ради чувства превосходства, иллюзии властности.
Пропущено 78 постов
4 с картинками.
Пропущено 78 постов, 4 с картинками.
Аноним 04/11/25 Втр 12:39:46 605719
>>605537
Я думаю, если взрослый чел съест лист табака, ему ничего не будет. Человек нормально переносит никотин, важна доза и способ употребления. Если ты будешь курить сухофрукты или вяленое мясо, лёгкие тоже спасибо не скажут.
Аноним 04/11/25 Втр 12:42:29 605720
>>605617
Ору, иди питайся одними булочками, посмотрим что с тобой будет через годик. Есть мучное =\= есть только одно мучное.
Аноним 04/11/25 Втр 12:44:48 605721
>>605643
>2025к
>готовить
ЛМАО.
Настройки X
Ответить в тред X
15000
Добавить файл/ctrl-v
Стикеры X
Избранное / Топ тредов