Главная Юзердоски Каталог Трекер NSFW Настройки

Математика

Создать тред Создать тред
Check this out!
<<
Каталог
Критология Аноним 14/10/18 Вск 14:20:31 44081 Ответ
tarihikisileral[...].jpg 102Кб, 835x1184
835x1184
bd71984d30ad4d8[...].png 180Кб, 800x568
800x568
0*zF9NCE1SEDAbC[...].jpg 115Кб, 720x615
720x615
shnaider3.jpg 72Кб, 581x342
581x342
КРИПТОГРАФИЯ И КРИПТОАНАЛИЗ ИТТ.

Здравствуйте, ребята! Какие области математики нужны для изучения крипты, нужно ли для успешной карьеры (ПРЕДПОЛОЖИМ, вы трудоустраиваетесь в АНБ) быть Богом в математике и как им стать. Также, советуем литературу по сабжу и те областям математики, которые нам нужны.

И еще. Реально ли полноценно вкатиться в криптоанализ самому по литературе в Интернете без университетов и знающих преподавателей?

В общем, обсуждаем, отвечаем на вопросы и делимся инфой, господа.
Пропущено 12 постов
1 с картинками.
Пропущено 12 постов, 1 с картинками.
Аноним 03/11/18 Суб 11:38:10 44771
>>44266
Разъясни, если это так просто.
Аноним 02/06/19 Вск 02:55:14 55139
>>44081 (OP)
Раз тред про криптографию, спрошу здесь.
Возможно ли как-то сделать так, чтобы вот здесь:
https://ru.wikipedia.org/wiki/Протокол_Диффи_—_Хеллмана#Алгоритм_Диффи_—_Хеллмана_с_тремя_и_более_участниками
Кэрол не имела возможности получить gabc?
Как лучше это сделать, на тех же эллиптических кривых, например?
Аноним 02/06/19 Вск 03:03:43 55140
>>55139
Вопрос звучит туповато (достаточно не выполнять 4-й и 5-й шаг),
поэтому уточню.
Алиса - залётный покупатель на бирже, желающий открыть market-позицию,
а не договорившаяся с Бобом заранее, сторона.
Кэрол - это биржа,
а Боб - это продавец, выставивший limit-ордер по фиксированной цене.
Боб может закрыть позицию в любой момент, и получить это своё gabc gabc или хрен знает что, но главное чтобы Кэрол, как биржа - не имела возможности получить доступ к этой хуйне,
чтобы её не хакнули, а бабло не забанили нахуй,
и чтобы всё не соскамилось и не гокснулось нахуй, как в 2013-м,
а продолжало фурычить заебато, децентрализовано,
и чтобы на DEX'ах: https://ru.wikipedia.org/wiki/Децентрализованная_биржа_цифровых_валют#Список_децентрализованных_бирж
проходил прямые обмены при помощи межблокчейновых ATOMIC SWAP: https://forklog.com/chto-takoe-atomarnye-svopy/
с использованием Multisig-адресов, Reedemption Script'ов всяких, и различных смарт-контрактов невъебенных.

Аноним 04/06/19 Втр 00:02:16 55660
>>55140
Гомеоморфное шифрование?
мимо 1 класс
Аноним 04/06/19 Втр 11:24:12 55683
>>55660
Нашёл https://ru.wikipedia.org/wiki/Гомоморфное_шифрование
Вроде годно.
Но я чё-т не вдупляю нифига.

Надо бы ещё хешей напихать туда цифровых подписей, шифрование и pgp.
PGP, кстати, умеет и в шифрование и в цифровую подпись, и сразу оба варианта доступны.
Потыкать и скачать - можно вот тут: https://username1565.github.io/pgp/

Я думал, поначалу, что limit-ордер (позиция на продажу по фиксированной цене)
его можно в блокчейн повесить, отдельной транзакцией,
после перевода Алисой средств - на некий адрес Алиса-Кэрол,
ключ от которого синтезируется из неких случайных значений, сгенерированных и Алисой и Кэрол,
и при этом - зашифровать рандом Алисы (продавца) - открытым PGP-ключём биржи (Кэрол).
А Кэрол, сможет расшифровать его, когда надо будет передать его Бобу,
и расшифровать - своим закрытым PGP-ключём,
затем - синтезировать из рандома Алисы и своего собственного секретного рандома Кэрол -
общий ключ Алиса-Кэрол, от счета, куда Алиса перевела средства,
и выдать этот ключ Бобу при покупке Бобом, чтобы он этим ключём снял средства со счёта Алиса-Кэрол.
Ну, или же просто выдать рандом Кэрол - Алисе, если Алиса отменила позицию...
Тогда, она сможет с помощью рандома Алисы и рандома Кэрол - получить ключ от счёта Алиса-Кэрол, и вернуть средства.

Схема неплохая, но...
Кэрол, как биржа, владея закрытым ключём PGP, и имея свой сгенерированный рандом Кэрол,
может в любой момент вытащить из блокчейна - шифр Алисы, содержащий рандом Алисы,
затем расшифровать его закрытым PGP-ключём, и получить этот рандом Алисы,
после чего - синтезировать ключ доступа к счёту Алиса-Кэрол.
То есть, Алиса, переводя на этот счёт - ДОВЕРЯЕТ бирже.
А на бирже - могут быть хакеры, взломщики всякие, крысы...
Ну ты понел...

Поэтому надо бы сделать так, чтобы сама Кэрол - не имела возможности получить доступ к счёту Алиса-Кэрол, в принципе.
Но могла, при этом - получить номер этого счёта, без ключа к нему, предоставить этот номер Алисе при открытии ордера,
а затем уже Кэрол могла бы, либо Алисе, либо Бобу - предоставить доступ,
к неким данным, позволяющим вывести ключ доступа к этому счёту.

Поскольку Боб - это залётный покупатель, и Алиса, при открытии позиции - не знает о нём,
очевидно, что Алиса не может включить данные Боба в свою транзакцию,
то есть ключ от счёта Алиса-Кэрол - не может зависеть от каких-либо данных Боба.

При этом, сама Алиса, как в принципе и Кэрол - может выпасть из сети.
Алиса - поставила позицию на Бирже, и ушла например - на год из биржи,
а бирже - могут домен разделегировать. Сайт недоступен. Что тогда?
Поэтому, надо бы писать данные, в зашифрованном виде - внутри самих транзакций,
и писать в блокчейн, который диверсифицируется децентрализированно,
и уже из блокчейна - дешифровывать их,
каким-то таким хитрожопым, изъёбистым образом,
чтобы только полноправные пользователи могли эти данные дешифровать.

Как это реализовать - не знаю, но на уме вертятся какие-то,
секретных значения, тайники, лазейка, для дешифрации.

Например, при наличии хэша транзакции от Боба, Боб мог бы дешифровать данные Алисы - этим хэшем.
Но в таком случае, транзакция должна быть не только подтверждена,
но и сами данные должны быть перешифрованы этим хэшем.
А если они уже попали в блокчейн, в виде транзакции,
то они однозначно зашифрованы каким-то определённым ключём.
Поэтому, можно было бы, как в BitMessage - устроить циркуляцию в P2P-сети, для зависших транзакций
в частности - транзакция Алисы, пока её ордер не исполнен, могла бы регулярно перешифровываться,
на базе ПУБЛИЧНОГО КЛЮЧА Алисы, но с некоей деривацией его - в зависимости
от значения хэша текущего блока в блокчейне (а он - менется).
При этом, внутри транзакции, мог бы содержаться адрес Алисы для получения других средств Боба
(если они меняют одну крипту на другую, то Алиса, как продавец продаёт одну крипту, но покупает другую),
И как только от Боба появляется транзакция на этот адрес, и как только она подтверждена,
её хэш XOR хэш шифрующей ноды - мог бы шифровать всю транзакцию целиком
(включая общедоступные для проверки транзакций адреса).
При этом, не только нода (а она может вывалится),
но и вся сеть - могла бы выдать Бобу - хэш шифрующей ноды,
в обмен на подписанное с адреса Боба - сообщение, и после проверки валидности цифровой подписи этого сообщения.
Таким образом, система удостоверится в том, что Боб владеет приватным ключём от адреса,
с которого была осуществлена транзакция на адрес Алисы, и выдаст ему хэш ноды.
Дальше, Боб, сделав XOR хэша ноды на хэш транзакции - получил бы ключ дешифрования,
и ним бы уже - успешно дешифровал и рандом Алисы и рандом Кэрол,
затем, получил бы ключ доступа Алиса-Кэрол, и уже как полноправный владелец - увёл бы свои средства со счёта Алиса-Кэрол.

Для того, чтобы удостоверится, что это реально был Боб, достаточно отправить Бобу любое случайное значение для подписи его.
Цифровая подпись производится приватным ключём Боба, а он - в секрете.
Проверка подписи - выдаёт адрес Боба:
https://username1565.github.io/brainwallet.github.io/#verify?vrAddr=18w2rtYxYse12po93P1dkf8QnW8DaYqRTD&vrMsg=%D0%A6%D0%B8%D1%84%D1%80%D0%BE%D0%B2%D0%B0%D1%8F%20%D0%BF%D0%BE%D0%B4%D0%BF%D0%B8%D1%81%D1%8C%20%D0%BF%D1%80%D0%BE%D0%B8%D0%B7%D0%B2%D0%BE%D0%B4%D0%B8%D1%82%D1%81%D1%8F%20%D0%BF%D1%80%D0%B8%D0%B2%D0%B0%D1%82%D0%BD%D1%8B%D0%BC%20%D0%BA%D0%BB%D1%8E%D1%87%D1%91%D0%BC.%20%D0%9F%D0%BE%D0%B4%D0%BF%D0%B8%D1%81%D0%B0%D0%BD%D1%82%D0%BE%D0%BC%20-%20%D1%8F%D0%B2%D0%BB%D1%8F%D0%B5%D1%82%D1%81%D1%8F%20%D0%B0%D0%B4%D1%80%D0%B5%D1%81%20%D0%BF%D1%80%D0%BE%D0%B2%D0%B5%D1%80%D1%8F%D0%B5%D0%BC%D0%BE%D0%B9%20%D0%BF%D0%BE%D0%B4%D0%BF%D0%B8%D1%81%D0%B8.&vrSig=HGcqNJiL%2BFec69qy9xY5eNGMRPn3glfGl7OAcr6iJ7zUVS4dO81b1C3jPE4h5mi50Vh5I1LkeyPsHXbRY9jVi5Q%3D&vrstrMessageMagic=Bitcoin%20Signed%20Message%3A%0A
И вот уже сравнивая этот адрес, можно убедиться, что транзакцию отправил именно Боб, и что это он реквестирует ключи.

Схема вроде тоже неплохая, но...
Слать из p2p-сети компоненты ключа дешифрования в открытом виде - не хорошо.
Во-первых, их могут перехватить, во-вторых если ключ дешифрования зависит от хэша транзакции Боба,
то этот хэш - доступен в блокчейне Боба, если кто смотрит его адрес.
Есть небольшой риск, что пока Боб не снял сдерства со счёта Алиса-Боб,
те кто просёк, что Боб перевёл средства на чей-то адрес,
могут перехватить данные, высланные p2p-сетью, после проверки подписи Боба - Бобу.
Затем, эти же люди уже, после перехвата хэша ноды - могут, уже, глядя в блокчейн Боба -
по общедоступной истории транзакций для адреса Боба, взять последнюю транзакцию, и взять её хэш,
затем, как и Боб - синтезировать ключ дешифрования шифросообщения Алисы,
и дешифруя данные Алисы (и Кэрол заодно ещё) - получить ключ доступа от счёта Алиса-Кэрол,
куда Алиса перевела средства. И оттуда их тупо уже увести...

Поэтому, надо ещё мудрённее всё это замутить, походу.
С гомеоморфизмом, гомоморфизмом, топологиями, гомологиями, когомологиями,
эллиптическими кривыми, и многомерными гиперкомплексными субподпространствами.
Приветствую аноны, посоветуйте, пожалуйста, задачники по математике для подготовки к ЕГЭ. Аноним 03/05/19 Птн 19:56:45 53084 Ответ
Иероним Босх – [...].jpg 1006Кб, 1640x2978
1640x2978
Приветствую аноны, посоветуйте, пожалуйста, задачники по математике для подготовки к ЕГЭ.
Пропущено 1 постов
2 с картинками.
Пропущено 1 постов, 2 с картинками.
Аноним 04/05/19 Суб 03:16:16 53098
Аноним 04/05/19 Суб 08:36:45 53101
tnEBYopTQFE.jpg 89Кб, 1080x780
1080x780
>>53098
Так, а кто это тут у нас, ещё один арнольдист?

Задачки хорошие, кстати, в этом Вербитский и Ко не правы, ящитаю. Другое дело, что под эти задачи не нужно выстраивать всю систему матобразования в стране, но это уже не арнольдовская "заслуга".
Аноним 07/05/19 Втр 21:45:31 53160
>>53084 (OP)
Ткачук - Математика абитуриенту.
Аноним 24/05/19 Птн 02:34:34 54798
>>53160
Двачую, только не увлекайся сильно, есть темы, которых нет на ЕГЭ, можно времени много потратить
24/07/19 Срд 18:23:45 57063
>>53084 (OP)
Спрашивай на уначе. Зачем сюда пришёл?
По сабжу: Ткачук, Сергеев и Праслов.
Бурбаки. Теория вероятностей Аноним 12/05/19 Вск 17:13:47 53312 Ответ
Рисуноккстатье«[...].jpg 57Кб, 493x642
493x642
0019-008-.png 14Кб, 1736x830
1736x830
Салют всем анонам. Созрел такой вопросец. Если уже было, ткните пальцем - официально запишусь в лентяи.

Почему французики обошли стороной как минимум теорию вероятностей? Вот русопедия: "Большинство членов группы не уделяло достаточного внимания таким разделам математики, как … теория вероятностей..." + абсурдопедия: "Как показало расследование, в день смерти они как раз собирались опровергнуть теорию вероятностей, сочтя её недостаточно строгой и формализованной" + цитата из бурбакиста Пьера Картье в англовики: "essentially no analysis beyond the foundations: nothing about partial differential equations, nothing about probability. There is also nothing about combinatorics, nothing about algebraic topology, nothing about concrete geometry. And Bourbaki never seriously considered logic. Dieudonné himself was very vocal against logic. Anything connected with mathematical physics is totally absent from Bourbaki's text". В последнем еще и комбинаторика упоминается. Окей, это всё мнения анона (кроме Картье), но по факту нет никаких крупных трудов по озвученными разделам. Почему же илитка того столетия игнорила теорвер? Ладно там численные методы и прочая приложуха, которая выводилась из аксиоматики других разделов, но вероятности-то что плохого сделали? Крупный раздел все-таки. Или он тоже откуда-то выводится? Аксиоматику Колмогорова - на помойку?

ЗЫ: Насколько я понял, они и теорию чисел не особо жаловали. Или ошибаюсь? Как же тогда гильбертовские проблемы? Бурбачей ведь неметчина и вдохновила на появление.
Пропущено 5 постов
1 с картинками.
Пропущено 5 постов, 1 с картинками.
Аноним 13/05/19 Пнд 15:04:00 53363
>>53312 (OP)
Аксиоматически теория вероятности совпадает с теорией меры. Теория меры у Бурбаки есть.
Про PDE тем более должно быть очевидно, Бурбаки это про систематическое изложение теории, никакой теории УрЧП нет, нечего и излагать.
Аналогично про алгебраическую топологию, по сути это целая наука об одной специальной категории. Теорию категорий Бурбаки не затрагивают. Какие к ним вопросы тогда.
Аноним 13/05/19 Пнд 18:17:43 53365
>>53363
Алгебраическую топологию они написали-таки с того света. Topologie Algébrique вышла в 2016 году. Хотя вместо категорий - колчаны и структуры на них.
Аноним 14/05/19 Втр 14:21:48 53384
>>53365
Это отстой полный. Без категорий неканонiчно.
Аноним 15/05/19 Срд 12:54:07 53423
>>53384
У них и гомологическая алгебра без категорий (том 10).
Аноним 19/05/19 Вск 23:39:39 54622
>>53384
У них свой собственный велосипед. Вместо ZFC - что-то загадочное с аксиомой глобального выбора.
Проверка алгоритмов на тождественность. Аноним 04/04/19 Чтв 23:24:54 51688 Ответ
Hearthstone Scr[...].png 8Кб, 1680x1050
1680x1050
Всем салют.
В общем, пусть даны два алгоритма, гарантированно останавливающихся на любом входе (либо нам заранее известно, на каком входе они останавливаются, и проверка производится только на нём (будем называть это корректным входом)). Существует ли алгоритм, выводящий 1, если на любом корректном входе, результат алгоритма будет одинаков, и 0 в остальных случаях? При этом, чтобы его длина зависела не от размера входа, а от длины описания алгоритма.
(Пусть будет даже более строгий вариант: алгоритмы получают на вход натуральное число; оба всегда останавливаются).
При этом я не говорю о вырожденных случаях (типа, два совершенно разных алгоритма в конце умножают число на ноль и получают на выходе ноль), меня интересует именно _структурное сходство_ действий.
Интересуют любые теоремы и работы на эту тему.
Простой пример: сортировка пузырьком и сортировка слиянием. По факту, оба алгоритма делают одно и тоже, что как бы очевидно при анализе мозгом (на уровне "понимания"). Но как это можно формализовать? (требование ко входу из натурального числа сохраняется; все конечные упорядоченные множества натуральных чисел образуют счётное множество)
Конечно, может показаться, что общее для них -- это вводить упорядоченность на множестве, и это касается только описания входных и выходных данных, но ведь что-то общее должно быть в самой их сути!
Я просто второкурсник, сори.
Пропущено 16 постов
1 с картинками.
Пропущено 16 постов, 1 с картинками.
Аноним 13/04/19 Суб 14:50:14 52354
>>51688 (OP)
Такой алгоритм невозможен.

Если бы мы дополнительно потребовали бы, чтобы твой распознающий алгоритм завершал свою работу не только на всюду определенных функциях, то его существование было бы запрещено теоремой Райса: для всякого нетривиального класса вычислимых функций C не существует алгоритма, который выдает 1 на всех кодах программ задающих функции из C и выдает 0 на всех остальных кодах вычислимых функций. Нетривиальность C здесь означает, что есть вычислимая функция из C и вычислимая функция не из C. Если бы был алгоритм проверки двух программ на совпадение задаваемых им функций, то подставив программу для функции f(x)=0 вместо одно из входов мы бы получили алгоритм распознающий класс {f}.

В исходной формулировке буквально к теореме Райса задачу видимо не свести, но тот факт, что такого алгоритма не существует легко доказать по теореме Клини о рекурсии. Если не вдаваться в технические подробности, то по-существу теорема Клини говорит, что можно определять программы, которые могут обращаться к своему собственному коду. Предположим, для противоречия, что был бы алгоритм h(x,y) такой, что при подстановке в него кодов программ вычислимых функций он бы выдавал 1 для программ задающих одинаковые вычислимые функции и 0 для программ задающих различные вычислимые функции. Фиксируем программу zero, задающую тождественно нулевую функцию. Определим вычислимую функцию f(x) с использованием теоремы о рекурсии: если h(zero,f) не завершилась за x шагов, то выдаем f(x)=0, если h(zero,f) завершилась за x шагов и её значение 0, то выдаем f(x)=0 и наконец, если h(zero,f) завершилась за x шагов и её значение не 0, то выдаем f(x)=1. Легко видеть, что f завершается на любом входе. f(x) не могла быть тождественна равна 0, так как тогда h(zero,f)=1 и тем самым для достаточно больших x мы бы имели f(x)=1. Но если бы f(x) не была тождественно равна 0, то из определения f следовало бы, что f(x) тождественно равна 0. Противоречие.
Аноним 13/04/19 Суб 17:17:31 52366
>>52354
Лол, чувак, я же говорил, что вольная трактовка у задачи может быть. Теоремы Райса и Клини я хорошо знаю.
Ответили же уже, большие дяди пишут докторские диссертации на эту тему. Задача PSPACE и PTIME.
Аноним 13/04/19 Суб 17:45:25 52367
>>52366
Если ты и так понимал, что в общем случае твоя задача неразрешима, то стоило бы об этом явно и написать в вопросе.
Аноним 13/04/19 Суб 18:56:25 52369
>>52367
Лол, я вроде конкретно написал, что, во-первых, заранее известно, что обе машины останавливаются на любом входе, во-вторых, интересуют любые частные случаи.
Аноним 13/04/19 Суб 19:08:30 52370
>>52369
Если что, я в последнем абзаце своего поста как раз и написал как доказывать неразрешимость именно в предположение, что на вход подаются программы всегда завершающие свою работу.
Фракталов тред. Аноним 09/03/19 Суб 19:56:42 50910 Ответ
9yq6-jaclmxp7qa[...].png 40Кб, 750x750
750x750
Го за фракталы тут общаться?

Выкатил еще одну статью, рейт пазязя: https://habr.com/post/441516/
Пропущено 13 постов
3 с картинками.
Пропущено 13 постов, 3 с картинками.
Аноним 11/04/19 Чтв 20:51:01 52305
Аноним 11/04/19 Чтв 21:03:17 52306
>>52305
Проорал че-т немношк)))
Аноним 11/04/19 Чтв 21:11:57 52308
>>52305
Только у меня бильярд не жидкий, а детерминированный.
Аноним 11/04/19 Чтв 22:27:12 52310
>>52306
Ну так это ж классика.
>>52308
Вроде на картинках жидкий был? Или то уже не бильярд? Ну я не всматривался, голова от такого болит. Ну раз не жидкий, тогда ты знаешь следующий шаг, сделай, чтобы шары катались, от них волны расходились, ну и они отталкиваются там и волны накладываются и получается картинка.
Аноним 11/04/19 Чтв 22:33:15 52312
image.png 168Кб, 600x388
600x388
>>52310
Знаешь, как вот на море шары резиновые, вот такое вот, только чтобы они скользили, а то на море не скользят почти.
О том что &#47;math&#47; мёртв говорить бессмысленно. Аноним 06/11/17 Пнд 15:53:25 27203 Ответ
39545da6942e229[...].jpg 32Кб, 358x358
358x358
О том что /math/ мёртв говорить бессмысленно.
Чуть менее бессмысленно будет скачать что мертва вообще вся российская математическая блогосфера, начиная с тифаретника и мелких бложиков на ljr/livejournal до dxdy который, в общем-то, никогда не был живым.
К счастью или сожалению, на западных имиджбордах ситуация аналогичная:
немалая часть потенциальных иностранных корреспондентов /math/ в форчановском /sci/ например просто тонет на фоне бесконечных тредов о 0,(9) =/= 1.
Лично двое моих знакомых читали здесь треды с удовольствием где-то в течении трёх часов, на большее их терпения копипастить посты в гугл-транслейт, конечно, не хватило.

Как вы сами относитесь к обновлению генофонда?
Английский более менее все знают кто могут что-то интересное сказать, сложностей перевести общение на международный язык никаких не будет, думаю.
В крайнем случае, можно выделить англоязычный тред, засунуть в faq плагины для перевода или попросить абу прикрутить перевод постов на стороне борды.
Пропущено 160 постов
13 с картинками.
Пропущено 160 постов, 13 с картинками.
Аноним 09/04/19 Втр 23:42:55 52236
>>52235
>Я понимаю, что ты хочешь сказать
Нет, не понимаешь. Я говорю, что надо быть дебилом и вертеть математику на хую. Это заболевание. Нет никого, кто бы это опроверг.

Арнольд делает то же, что и ты, но его голова может выдать нечто отличное от того, что туда насрали, а твоя --- нет.
Аноним 10/04/19 Срд 06:50:21 52241
>>52236
>надо быть дебилом и вертеть математику на хую
Прежде чем вертеть математику таким образом, начнем пожалуй с твоего никчёмного мнения, и будем вертеть его вместе с тобой.
Аноним 10/04/19 Срд 11:10:44 52247
>>52233
Каждый думает,что знает меня,но не каждый знает,что не знает,кто думает.
Аноним 10/04/19 Срд 11:58:10 52251
klichko37366386[...].png 349Кб, 689x449
689x449
Аноним 10/04/19 Срд 23:42:07 52275
>>52247
Это парадоксы теории множеств?
Двачеры помогите со статистикой Анатолий 05/04/19 Птн 02:10:54 51694 Ответ
optimization-76[...].png 54Кб, 768x520
768x520
Какой минимальный платеж нужно установить для новых клиентов Яндекс.Маркета, чтобы этих денег хватило на количество переходов, достаточное для оценки качества трафика с Яндекс.Маркета? Конверсию в продажи для визитов с Яндекс.Маркета считаите равнои 3%. Объясните ваши расчеты.
Анатолий 05/04/19 Птн 02:14:16 51695
Скажите хотя бы в каком направлении дышать
sage Аноним 06/04/19 Суб 04:14:36 51719
В направлении, обратном стажировке в Яндексе.
Сап двач,я студент из провинциального говноВУЗа Аноним 15/03/19 Птн 12:00:10 51031 Ответ
image (1).jpeg 47Кб, 606x456
606x456
Сап двач,я студент из провинциального говноВУЗа 18лвл ,учусь на специальность электроэнергетика и электротехника, вышмат преподается уберхуево и я нихуя блять не понимаю.Аноны, посоветуйте пожалуйста пожалуйста годных учебники по вышмату для энергетиков/электротехников или инженеров.
Пропущено 7 постов
2 с картинками.
Пропущено 7 постов, 2 с картинками.
Аноним 01/04/19 Пнд 00:50:19 51606
Аноним 02/04/19 Втр 11:33:20 51619
>>51037
Ты из меня сверхчеловека сделать хочешь?
Аноним 03/04/19 Срд 07:27:25 51628
>>51619
Все и не надо, можешь ограничиться 4 томами алгебры, томами по группам Ли, топологическим векторным пространствам и спектральной теории. Остальное уже не нужно просто, устарело во время написания.
Аноним 03/04/19 Срд 11:58:15 51629
>>51628
Там я вроде слышал нет дифференцирования
Аноним 03/04/19 Срд 20:39:40 51641
Screenshot20190[...].png 333Кб, 1200x1133
1200x1133
>>51629
>вроде слышал
У вас ненадёжные источники, советую проверять информацию самостоятельно. Бурбаки, Алгебра, том 4, страница 30.
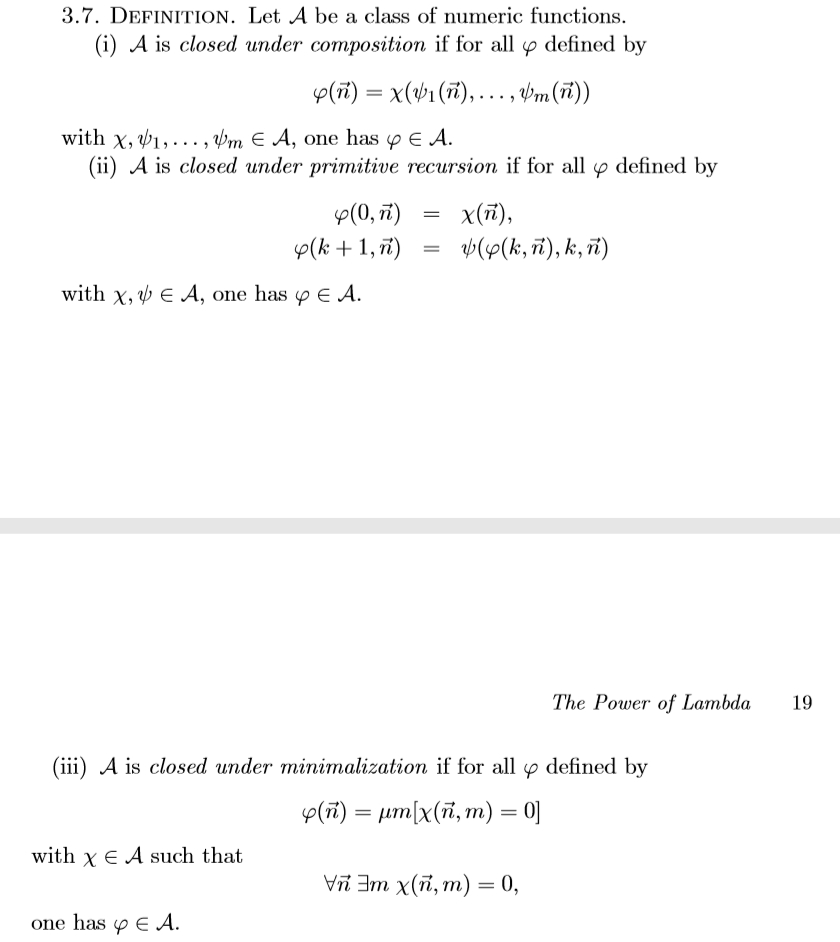
Решил я тут закинуться лямбда-счислением, потихоньку Аноним 21/03/19 Чтв 17:25:36 51205 Ответ
1.jpg 210Кб, 1166x856
1166x856
2.jpg 129Кб, 840x942
840x942
Решил я тут закинуться лямбда-счислением, потихоньку подобрал материалов от-простого-к-сложному и вот уже буксую вроде на довольно ознакомительной работе:
Barendregt - Introduction to Lambda Calculus (2000)
http://www.cse.chalmers.se/research/group/logic/TypesSS05/Extra/geuvers.pdf

До третьей главы всё хорошо идёт, а там на 3.5 становится сомнительно, и где-то до пункта 3.8 уже вообще едва что понятно.
Я хочу хотя бы догадываться, но текст не вводит определений символов и понятий, и оно вдобавок едва ли гуглится. При этом есть все основания полагать что та же "А" в странном шрифте явно что-то конкретное должна значить.

Может кто-нибудь вкратце объяснить что именно там доказывается, или чего покурить чтобы спокойно читать эти вычурные мат.символы?

Пропущено 13 постов
3 с картинками.
Пропущено 13 постов, 3 с картинками.
Аноним 22/03/19 Птн 13:21:30 51256
>>51244
Анон, я вообще физик, которому лямда-исчисление ну совершенно не интересно и я им никогда не занимался. Тот факт, что мне абсолютно каждое слово и определение из твоей картинки очевидны (не просто понятны, а тривиальны) говорят о том, что ты просто мало читал математики вообще и на англицком в частности. Ничего страшного, с практикой скилл подкачается, тот тут спросишь, то ещё на каком стэковерфлоу загуглишь. Но мне кажется, что тебе сначала нужно где-то достать более базовые знания, иначе пойдёт всё со скрипом.

Например, идея проекции - тривиальна, здесь неважно, как это называть, смысл один и тот же что в линейке, что в теории множеств (кстати, гуглится это нормально - wiki projection set theory выдаёт то, что надо). "Class" может использоваться как аналог "family" и в этом контексте просто означает "набор", "множество". Про функцию хи сказано, что она из А, это всё, не нужно додумывать себе авантюрный роман. Обзови её пси ноль для пущей consistency.

Может, оно и хорошо, что ты начал с этой книжки - теперь ты знаешь, что нотация может быть какая угодно, и с опытом ты будешь всё быстрее понимать, что имел ввиду автор.
Аноним 22/03/19 Птн 13:34:19 51257
>>51256
>"Class" может использоваться как аналог "family" и в этом контексте просто означает "набор", "множество". Про функцию хи сказано, что она из А, это всё, не нужно додумывать себе авантюрный роман
А вот тут не всё так однозначно. В математике в самом деле есть моменты что написанная другим шрифтом буква может означать принципиально иную вещь. Вплоть до того что формула уровня "А, Б принадлежит В" вне контекста может значить буквально что угодно.
Аноним 22/03/19 Птн 15:22:10 51260
>>51257
Я тебе написал свою интерпретацию, которую считаю очевидной и однозначной в этом контексте. С чтением куда более сложной как математики, так и физики на английском у меня лично проблем нет.
Аноним 24/03/19 Вск 09:22:13 51313
>>51257
в натуре, там же прямо написано

>Let $\mathcal A $ be a class of numeric functions

Это значит, что $\mathcal A$ есть множество "числовых функций" и больше ничего эта буква не обозначает. что не так?
Аноним 29/03/19 Птн 10:30:57 51549
>>51256
Аглицкий тут даже ни при чем, чувак просто открыл первую математическую книгу для себя и просит пояснить за алфавит математики на мертвой доске.
Лучшая книга по анализу Аноним 02/11/16 Срд 18:31:50 785 Ответ
1.jpg 47Кб, 555x327
555x327
ИТТ предлагаю выяснить классический спор на тему лучшей книги по анализу. Разделить на GOD TIER, TOP TIER и SHIT TIER следующих авторов:

Рудин, Спивак, Зорич, Лоран Шварц, Дьедонне, Апостол, Аман-Эшер, Львовский, Ильян-Позняк, Фихтенгольц, Кудрявцев, ...
Пропущено 522 постов
28 с картинками.
Пропущено 522 постов, 28 с картинками.
Аноним 27/03/19 Срд 11:33:50 51480
>>51479

Сбиваться в стаи это характерно для маолетних дебилов.
Аноним 27/03/19 Срд 11:41:02 51481
>>51478
ну ок. я с этого и начал примерно:
>не совсем понял из приведённой цитаты, что там имеется в виду, но наверно всё-таки имеется в виду что-то другое, помимо "не нужен". может быть, "неправильно сформулирован"


Аноним 27/03/19 Срд 13:03:41 51484
image.png 1310Кб, 1024x1391
1024x1391
>>51480
Валерия Ильинична, вы же вроде всё?
Аноним 03/10/19 Чтв 22:05:01 59456
Принстоновские лекции по анализу читал кто?
Аноним 23/11/20 Пнд 23:15:25 76382
Хочу стать теоретическим физиком, собственно учусь на него.
Анализ у нас довольно слабый, преподам на нас похуй. Зорич таки подойдёт?
МАТЕМАТИЧЕСКАЯ ПРОБЛЕМА Если есть две стороны, Аноним 23/11/18 Птн 00:05:34 45681 Ответ
blazingheartele[...].jpeg 201Кб, 707x1131
707x1131
15072362363120.jpg 146Кб, 1920x1080
1920x1080
МАТЕМАТИЧЕСКАЯ ПРОБЛЕМА Если есть две стороны, одна по 12 см, а две других по одному см, из них не получится треугольник. Открыто ли еще правило, которое определяет, из каких сторон можно составить треугольник, а из каких нет по длинне? Вроде проблема очевидная, а такого правила не встречал
Пропущено 7 постов
1 с картинками.
Пропущено 7 постов, 1 с картинками.
Аноним 05/03/19 Втр 11:45:25 50775
>>50774
Покажи тогда доказательство через вписанную окружность
Аноним 05/03/19 Втр 17:10:12 50787
>>50774
Разве существует окружность в трёхмерном и далее пространствах?
Аноним 08/03/19 Птн 11:29:31 50870
Аноним 08/03/19 Птн 17:33:17 50884
Аноним 14/03/19 Чтв 19:38:47 51012
>>50870
Сфера, а не шар.
inter-universal teichmüller theory Аноним 21/02/19 Чтв 10:29:08 50412 Ответ
homepage526178a[...].jpg 1700Кб, 2715x2748
2715x2748
The Multiradial[...].mp4 5515Кб, 1280x720, 00:01:14
1280x720
Sokkuri House r[...].webm 3280Кб, 480x360, 00:00:30
480x360
screen.png 98Кб, 708x472
708x472
Мочидзукиной теории тред. Постим свои мысли, интересные ссылки, лекции. Для примера - нихонский профессор математики раскидывает на пальцах за IUTeich, даже с простыми примерами.
https://www.youtube.com/watch?v=kq4jbNl4lJk
Пропущено 13 постов
1 с картинками.
Пропущено 13 постов, 1 с картинками.
Аноним 27/02/19 Срд 20:12:43 50582
Красная селедка и его анальный господин на месте?
Аноним 27/02/19 Срд 20:28:06 50584
>>50435
Объясни, о какой связи свойств сложения и умножения говорят, рассказывая о сабже?
Аноним 28/02/19 Чтв 10:52:18 50656
>>50584
> Объясни, о какой связи свойств сложения и умножения говорят, рассказывая о сабже?
Гугли ABC-conjecture. Это хороший пример задачи на свойства сразу сложения и умножения. В лекции, на которую ссылка в оп-посте, об этом рассказывается подробно. Суть в том, что числа, заданные индуктивно сложением и умножением одних и тех же чисел, дают последовательности, пересекающиеся только в некоторых точках, а в остальных местах ведут себя хуй знает как и уж точно независимо друг от друга. Суть мочидзукиного доказательства в том, что он эти последовательности не пытается натянуть одна на другую в рамках одного театра (как во всей нормальной математике), а рассматривает в разных театрах, соответствие между решениями в которых можно установить используя тета функции. Для сего ему пришлось нахуярить собственных формализмов, которые нигде кроме его работ не встречаются, и основаны на всяких гамалогиях Гротендика итп вещах не для всех.
Аноним 01/03/19 Птн 10:44:54 50683
>>50656
>Суть в том, что числа, заданные индуктивно сложением и умножением одних и тех же чисел, дают последовательности, пересекающиеся только в некоторых точках, а в остальных местах ведут себя хуй знает как и уж точно независимо друг от друга
Можно пример таких последовательностей и их построения?
Аноним 01/03/19 Птн 18:42:31 50692
>>50683
> Можно пример таких последовательностей и их построения?
ABC-conjecture же, эта гипотеза как раз про такие последовательности и их построение. При разных A B и C там получаются разные странные результаты, которые и показывают, что зависимость умножения от сложения есть, но она сложнее чем принято думать.
Анончик, помоги скачать книгу с World Scientific!!! Аноним 10/12/18 Пнд 14:26:00 46431 Ответ
61Gf13nqWNL.jpg 97Кб, 855x1360
855x1360
Аноним 10/12/18 Пнд 22:10:30 46457
Аноним 24/02/19 Вск 16:44:01 50516
Аноним 24/02/19 Вск 18:15:48 50518
Интересно, какие там приложения. Вроде - докажем что 1+1=2 через когомологии пучков.
Аноним 24/02/19 Вск 21:28:22 50523
>>50518
у теории категорий нет приложений, ведь это не теория, а язык..
Нигде не нашел доказательства того, что множители Аноним 14/11/18 Срд 10:58:55 45158 Ответ
3C599924-41E8-4[...].jpeg 29Кб, 594x316
594x316
Нигде не нашел доказательства того, что множители можно ставить в любом порядке. Я нашел доказательство максимум для четырех множителей.
Может кто-то знает?
Пропущено 8 постов
2 с картинками.
Пропущено 8 постов, 2 с картинками.
Аноним 16/11/18 Птн 14:06:56 45263
>>45262
Я на матрице с четырья множителями вижу, что можно в любом порядке их умножать, а дальше уже проверить не знаю как.
Аноним 17/11/18 Суб 09:19:38 45311
1.png 163Кб, 497x794
497x794
2.png 163Кб, 495x792
495x792
Аноним 13/01/19 Вск 18:33:08 48604
>>45158 (OP)
это аксиома ассоциативности умножения для поля, такая же в линейном пространстве есть
Аноним 13/01/19 Вск 18:42:25 48606
>>45158 (OP)
Это такой троленк или что?
Аноним 17/02/19 Вск 19:51:17 50311
>>48604
Можно тривиально вывести из определения умножения в арифметике и аксиомы для сложения.
Math.ru Аноним 28/01/19 Пнд 23:44:59 49455 Ответ
760E0ED9-D640-4[...].jpeg 41Кб, 640x168
640x168
9E087897-D21D-4[...].gif 8Кб, 180x122
180x122
Раньше был сайт math.ru, а теперь он лежит уже месяц. Проект закрыли или готовят серьезную обнову?
Аноним 10/02/19 Вск 17:30:29 50028
Почему 2 + 2 = 4 ? Или 1.1 - 1.(9) = - 0.9 ? Товарищи математики, Аноним 07/12/18 Птн 01:59:08 46335 Ответ
image.png 68Кб, 382x231
382x231
Почему 2 + 2 = 4 ? Или 1.1 - 1.(9) = - 0.9 ?
Товарищи математики, поясните. Поясните строго.
Эти факты кажутся очевидными, однако они не следуют ни из одного определения вещественных чисел, с которыми я знаком. Для простоты остановимся на сложении вещественных чисел.
Есть множество R, на нем определено отображение +, это отображение ассоциативное, коммутативное, есть 0. Так и получается операция сложения. Но в этом аксиоматическом определении абсолютно ничего не говорится о фактической природе этой операции. Как складывать-то? Мы ж ничего об этой операции и не знаем, кроме нескольких абстрактных свойств.
В определении вещественных чисел через бесконечные дроби сложение вводится через приближение рациональными числами. А рациональные через целые, а целые через натуральные. Ну мы ж все знаем как натуральные числа складывать, чо там, три яблока, два яблока, будет пять яблок. По-моему, говно это все какое-то.
Короче говоря, мой вопрос заключается в том, есть ли какие-либо строгие основания у арифметики. В соответствии с которыми проводятся арифметические операции, устанавливается связь между числами, устанавливается связь между числами и цифрами (цифрами не в смысле значков на бумаге, а в смысле системы и совсем не обязательно конкретной существующей системы вроде арабской, которая как-то упорядочивает числа и придает абстрактным а и b значения, имеющие материальный смысл)?

Почему математики осознанно кладут на этот вопрос хуй? Я вот учусь на примате, меня кто спросит, что такое 2 или почему 2 да 2 будет 4, так я же даже ничего не смогу ответить, кроме этого расплывчатого и банального пиздежа про абстракцию понятия количества.
Алсо я слышал про аксиоматику Пеано, которая вроде бы частично дает ответ на мой вопрос в случае натуральных чисел. Проблема в том, что функция следования в этой аксиоматике определяется через сложение (S(n) = n + 1), а само сложение, как это обычно бывает, не определяется никак. Поправьте, если я тут не прав.
Пропущено 26 постов
3 с картинками.
Пропущено 26 постов, 3 с картинками.
Аноним 10/01/19 Чтв 15:15:20 48440
>>46335 (OP)
Тоже мучаюсь этим вопросом, но пока как и ты не могу сформулировать его достаточно точно, чтобы получить конкретный ответ.
Аноним 10/01/19 Чтв 18:05:24 48467
>>46348
Если ты понимаешь аксиоматику Пеано, то вроде как должен и понимать, что её можно консервативно расширить алфавитом L =
0|1|2|3|4|5|6|7|8|9 и примитивно рекурсивной функцией digit : N x N -> L которая выдаёт цифру, стоящую в i-ом разряде числа n. Разве это не является хорошей формализацией той самой "связи между числами и цифрами", о которой ты говорил?
Аноним 22/01/19 Втр 20:27:13 49259
>>46335 (OP)
Всё это определяется через математическую логику.
Аноним 23/01/19 Срд 00:40:32 49273
Аноним 09/02/19 Суб 20:53:32 49999
NeonDictrict Аноним 24/01/19 Чтв 12:11:58 49312 Ответ
w3Lc0MetO-7h3.F[...].jpg 498Кб, 900x900
900x900
Разгадавший эту очевидно математичкскую загадку получит 15 эфиров, пруф:

https://etherscan.io/address/0xD64FDEfa8dbc540c2582a6FC44B8f88FfB6657Ce

Загадке скоро год, и пришли к этому этапу те ещё задроты (МОАР и пруф: https://zhuanlan.zhihu.com/p/44989584), так что не надейтесь на очевидные ответы.

Вводная (как я её вижу): к ядре зашифрован ключ (на 64 символа, пример 38baef228d0a63051548728d9c9c245198fb4974bbfd48e67281ac704feaac69).

Главным ключом в ключу (лол) служит эта функция, но вот не как интерпритировать цвет и толщину каждого отрезка на кругах - главное ХЗ.
Аноним 26/01/19 Суб 16:58:46 49389
Бамп
Аноним 28/01/19 Пнд 20:34:31 49445
>>49312 (OP)
боролись за 15к баксов, а получат 1,5к, 1к, ой уже ничего
Аноним 03/02/19 Вск 15:57:18 49865
Оснований тред №6 Аноним 24/06/18 Вск 00:56:00 40955 Ответ
Greatmathematic[...].jpg 509Кб, 2634x1124
2634x1124
Greatmathematic[...].jpg 55Кб, 650x341
650x341
mathematicians.jpg 120Кб, 950x473
950x473
KurtFriedrichGö[...].jpg 287Кб, 1240x698
1240x698
>В любой науке ровно столько науки, сколько в ней математики.
>В любой математике ровно столько математики, сколько в ней вычислимости.

Предыдущий, тонет тут: https://2ch.hk/math/res/25624.html
Архивач: https://arhivach.cf/thread/369697/
(У кого не открывается - попробуйте HTTP.)
Пропущено 519 постов
39 с картинками.
Пропущено 519 постов, 39 с картинками.
Аноним 21/08/20 Птн 09:49:00 72276
>>40955 (OP)
> Great Mathematicians
До чего же отстойный уебанский список. Максвелла нет, а Энштейн, известный молодёжи главным образом за копипейст работ Максвелла с незначительно дополненным списком приложений его математического аппарата к разным материальным сущностям, есть.
Аноним 02/11/21 Втр 17:44:33 88691
>>40955 (OP)
Матемач, можете помочь с логикой.

В общем чтобы нам определить некую дедукцию, нам надо определить некое множество аксиом. Множество аксиом это некоторое множество правильно составленных формул. И тут начинаются проблемы. Ведь значит в множество акисом может входить формулы с открытыми переменными.

И вот к моему вопросу автор дает даже задачу.
1) Σ = {∀xP (x, x),
P (u, v),
P (u, v) → P (v, u),
P (v, u) → P (u, u)}

Σ можество аксиом для языка L {P} с одним символом P для обозначения некого предиката. Так вот у меня вопрос на счет второй аксиомы, как вторая формула P (u, v) может быть аксиомой? Ее переменные не замкнуты кванторами. Что вообще может обозначать эта аксиома? Как она может иметь истинность?

Правильно ли я понимаю, что когда автор вводит формулу с открытыми переменными как аксиому то он намекает что эта формула верна под всеми функциями переменными в данной структуре. Но если это и так, то нельзя ли было написать вместо этого P (u, v) это ∀u∀vP (u,v)?
Аноним 08/12/21 Срд 15:50:26 90699
изображение.png 1078Кб, 683x1024
683x1024
что почитать по основаниям математики ньюфагу?
Аноним 01/01/22 Суб 02:18:40 91842
>>43148
>>50972
лол, счетная бексконечность, ведь все эти структуры можно да и только возможно описать через конечный текст логик первого или второго порядка. А если мы имеем дело с конечными описаниями - то множество корнечных рядов символов счетное бесконечное множество
Аноним 22/11/23 Срд 00:26:23 110923
Аноны, нет ли какой-нибудь популярной книжки по математической логике Рассела, Гильберта, аксиом Пеано, Дедекинду, Гэндальфу Серому и вот этому вот всему? От автора, который излагает популярно, типа Питцольда, Виленкина или на край Роджера Пенроуза? Или хотя бы хороших статей на хабре?
Где ты учился, анон? 17/01/19 Чтв 21:16:53 48808 Ответ
2000px-Greekucs[...].png 75Кб, 2000x2500
2000x2500
Пиши название своей шараги, где ты учил математику
Пропущено 2 постов
1 с картинками.
Пропущено 2 постов, 1 с картинками.
Аноним 18/01/19 Птн 07:56:50 48818
Аноним 18/01/19 Птн 14:43:46 48834
Аноним 18/01/19 Птн 16:03:30 48835
Аноним 20/01/19 Вск 20:43:24 48961
Аноним 21/01/19 Пнд 22:34:49 49227
>>48961
классный ты парень, завидую тебе бесконечно
пришёл к тому же самому ближе к 30
Решат только люди с iq 90 Аноним 15/01/19 Втр 04:15:33 48670 Ответ
photo2019-01-01[...].jpg 203Кб, 1080x974
1080x974
Дана карта, на ней города, которые имеют координаты X, Y, Z.

Нужно обозначить каждый город ОДНИМ числом исходя из его координат, да так, чтобы можно было сказать, к какому городу ты ближе всего находишься твои X, Y, Z тебе известны
Пропущено 24 постов
3 с картинками.
Пропущено 24 постов, 3 с картинками.
Аноним 16/01/19 Срд 09:37:27 48732
>>48725
Координаты всегда конечные дроби, их же с конечной точностью измеряют.
>>48670 (OP)
Ещё есть какие-нибудь условия ? Ведущие нули допустимы в числе ?
Аноним 16/01/19 Срд 23:00:12 48766
>>48730
А хули дерзкий такой?
Аноним 17/01/19 Чтв 08:47:26 48781
>>48766
Прости, я просто сходил в магазин за йогуртом тогда и он оказался просроченным с переклеенной датой, поэтому так некультурно ответил.
Аноним 17/01/19 Чтв 13:50:33 48791
Это даже не ящик решать
Аноним 17/01/19 Чтв 18:17:49 48803
>>48684
Этот анон прав.
>>48686
Этот шизик, не могущий в условие.
Настройки X
Ответить в тред X
15000
Добавить файл/ctrl-v
Стикеры X
Избранное / Топ тредов