Главная Юзердоски Каталог Трекер NSFW Настройки

Математика

Создать тред Создать тред
Check this out!
<<
Каталог
Вкат в IT для посредственого математика Аноним 22/07/22 Птн 23:08:18 97203 Ответ
code-3477973128[...].jpg 64Кб, 1024x574
1024x574
Ребзя, хочу совета. Знаю что меня могут отправить в другую доску, но хочу мнение именно математиков.

Ситуация такая. 28 лвл, ожидаю получить свой PhD по матем. в скором времени. Сразу скажу, я не умник и близко, ничего сверхестественного не делаю, просто так совпало, что случайно попал в асп. и кое-как пошло, решил, что надо завершать начатое. Так что я не выёбываюсь, а признаю свою никчёмность и тем не менее жду доброго совета.

Навык кодинга был околонулевой, но на меня вышла одна контора мирового класса, даже немного вложилась в меня. Так что, чутка прокачался в c++. Ожидаю попасть на стажировку, но суть не в этом.

Знаю чувака в похожей ситуации, которому так же фартануло, но он тупо не выдержал уровня сложности того, чем ему предложили заниматься и отвалился по собственному желанию в конце стажировки, хотя ему предлогали-таки попробовать взять проект.

Я не сильно превосхожу этого чувака в способностях, так что вероятно меня ждёт та же сама судьба, НО! Прошу совета. Как максимально извлечь для себя пользу из стажировки?

И ещё, вот допустим есть я, который посредственный, но математик с низкими прогерскими скилами, во что мне можно вкатиться параллельно? Какие альтернативы? Имею большой запас времени и кеша, так что год-другой готов работать тупо на становление "хоть кем-то в IT".
Пропущено 19 постов
2 с картинками.
Пропущено 19 постов, 2 с картинками.
Аноним 04/09/22 Вск 20:05:43 98658
>>98657
машинное обучение, нейросетки и всякое такое
Аноним 05/09/22 Пнд 09:22:32 98672
>>98658
Все про это говорят, но пока никто не объяснил, что куда и как.

Ну, в любом случае, мне уже в конторе сказали что изучать, перед работой. Так что хуй с этим.


ОП
Аноним 05/09/22 Пнд 16:05:14 98680
Аноним 05/09/22 Пнд 23:26:29 98701
>>98680
)))))))))))))))))))))больше скобо, Богу скобок))))))))))))))))))))
Аноним 06/09/22 Втр 15:29:58 98730
НМУ / IUM / Независимый Московский университет Аноним 24/10/20 Суб 07:30:53 75139 Ответ
нму0.jpg 81Кб, 700x393
700x393
нму1.jpg 108Кб, 893x1190
893x1190
нму2.jpg 142Кб, 893x1190
893x1190
нму3.jpg 92Кб, 893x1190
893x1190
Тред для обсуждения листочков и лекций НМУ. Можно обсуждать и другие связанные вопросы, поднимать разные темы. Всё во имя того, чтобы ходящий в НМУ анон не был одиноким.
Пропущено 165 постов
14 с картинками.
Пропущено 165 постов, 14 с картинками.
Аноним 18/08/22 Чтв 23:44:14 97971
>>96901
Так а на что ты в НМУ хочешь учиться? Если что-то связанное с естественными науками так тебе от математики никуда не деться и с хуевой математикой лучше не суйся, на первом же семестре жопа трещать начнет. А если с вычислительной техникой - то же самое, как минимум дискретная математика и линейная алгебра на первом же семестре порвут тебе жопу. Так что какой-то школьный базис тебе все равно нужен будет.
Ну а если на гумунитарные дисциплины тогда и на математику поебать абсолютно.

Но в целом если тебя интересует не сама математика, а ее прикладное использование сильно упарываться тебе ей не нужно, она лишь инструмент для расчетов. Однако рубить в ней все же нужно.
Если ты не умеешь пользоваться молотком ты не забьешь гвоздь чтоб сделать стол.
Аноним 19/08/22 Птн 00:03:18 97986
>>85424
Это база.
Математики идите на завод, там от вас будет больше пользы.
Аноним 19/08/22 Птн 00:04:17 97987
>>85191
А оно тебе надо?
Аноним 25/08/22 Чтв 08:39:30 98241
>>85424
>мимо-успешнофизик
Нахуй иди, быдло обоссанное.
Knuth Аноним 06/09/22 Втр 09:44:59 98717
1.png 33Кб, 1134x316
1134x316
2.png 78Кб, 1136x848
1136x848
3.png 46Кб, 1138x417
1138x417
4.png 2Кб, 395x44
395x44
Сорян за копипаст себя же.

Здравствуйте! Крайне слаб во внимательности и умственной ловкости для потуг в математике. Белой завистью завидую мехматовцем и студентам НМУ, олимпиадникам и прочим гениям. Но интересно, блин)) Может кто-нибудь мне поможет понять почему определении функции (n,pp,1) две буквы "p". Спасибо!
Школьная математика Аноним 17/10/19 Чтв 11:47:14 60101 Ответ
file-20181022-1[...].jpg 19Кб, 496x331
496x331
Предлагаю писать о том, что вам известно о школьной математике. О том, чему там учат, что на самом деле неправильно.
Я начну: понятие "переменная". Нигде в математике его нет, оно не определяется. В школьной математике смотрят на функцию, как на "переменную". Мало того что это отношение, так еще они и само правило и само отношение смешивают в одно понятие и называют это "переменной".
Продолжайте.
Пропущено 146 постов
19 с картинками.
Пропущено 146 постов, 19 с картинками.
Аноним 27/08/22 Суб 09:18:19 98327
>>60775
Да ты просто тупенький.
Аноним 02/09/22 Птн 01:23:37 98603
>>60101 (OP)
Чел, переменная на уровне школьной алгебры это достаточное и понятное определение. При переменной Х есть функция f(x). То есть при подставлении любого значения Х в качестве аргумента в функцию f(x) ты получишь какое-то одно значение.
Х это не функция, это значение, аргумент для функции f(x). И так школотрон и должен понимать что такое этот Х или любая другая буква.
А функция это функция, это никак не переменная.
Благо такие ебланы как ты в школе не преподают, ибо школьники бы нихуя еще больше не поняли и возненавидели математику абсолютно все.
Аноним 02/09/22 Птн 01:32:43 98604
>>60370
>В реальности умение брать интегралы и вычислять пределы в обучении математике никак не поможет.
Дауну-аутисту идущему на теоретическую математику? Мож и не поможет, тебе виднее. Только на одного полоумного долбоеба, идущего после школы надрачивать абстрактную никому не нужную хуету, есть 100 человек, выпускающихся после школы в инженерные, прикладные и естественно-научные направления, и им как раз эта часть матаппарата и нужна. А что там тебе, хуйлу, нужно или не нужно тебя забыли спросить когда в школе математикой обучали. Хочешь то что тебе пригодится в надрачивании своей абстрактной параши? Идешь в интернет, открываешь Вербицкого, параллельно подрочив на его небритое ебало свой вялый пиструн, и по списку начинаешь хуярить всю эту никому не интересную поеботу.
А цель школы - подготовить ученика к ВУЗу, любому, и дать формальное образование.
Аноним 02/09/22 Птн 11:09:08 98612
хочет жрать водовку под картофанчик
Аноним 02/09/22 Птн 13:25:29 98614
>>98604
Ну посчитал ты интеграл по всем правилам, и что? Тебе какая-то истина открылась?
Лучше уж об алгоритме Риша рассказать.
Образование математика Аноним 27/01/17 Птн 00:02:44 9453 Ответ
emblemavysshejs[...].png 108Кб, 2000x2000
2000x2000
145530222213877[...].jpg 237Кб, 887x634
887x634
145520740318148[...].jpg 36Кб, 532x530
532x530
DSC7693.JPG.jpeg 208Кб, 1004x670
1004x670
Последнее время в треде для начинающих было несколько вопросов о том, куда поступать, если хочешь стать математиком, и необходимо ли вообще куда-то поступать. Предлагаю тут обсудить российские (и не очень) учебные заведения с точки зрения преподавания математики и выяснить, передается ли математическая культура через соцсети и видеолекции.

модер, не удаляй, тред не про егэ и поступление, а про заведения и образование вообще
Пропущено 406 постов
30 с картинками.
Пропущено 406 постов, 30 с картинками.
Аноним 30/08/22 Втр 11:26:40 98488
>>98486
Да не трясись ты так.
Аноним 30/08/22 Втр 12:58:47 98491
>>98417
>понимание матана
>зорич
Каков пиздец. А ведь Лузин ещё в начале 20 века учил интегралу Лебега, топологии, рассказывал о кривой Пеано, о которой у Зорича лишь упоминание на 600+ странице, и пр. Спустя 100 лет анализу учат хуже, чем раньше.
Аноним 30/08/22 Втр 13:38:47 98498
>>98491
Интеграл Лебега в отдельном курсе функана рассказывают абсолютно везде, как и топология это отдельный предмет, хули ты бухтишь
Аноним 30/08/22 Втр 14:28:07 98505
>>98491
У Лузина строгость довоенная, уровня Фихтенгольца. Хотя Зорич не особо нужен т.к. есть божественный Кудрявцев.
Аноним 30/08/22 Втр 14:36:27 98507
16444116694650.gif 63Кб, 56x56
56x56
>>98487
Рожа твоей мамаши напоминает жирную целлюлитную жопу.
А ну-ка, головы запилите дешёвенький пример Найти х x/3-4-x/3=x-1/5+1/10 Аноним 28/08/22 Вск 14:35:27 98385 Ответ
qDMk8DpYss.jpg 36Кб, 590x390
590x390
А ну-ка, головы запилите дешёвенький пример
Найти х
x/3-4-x/3=x-1/5+1/10
Интересные учебники по матану и линалу Интересные учебники по матану и линалу 01/06/21 Втр 16:11:23 84027 Ответ
математика и пе[...].jpg 278Кб, 2560x1567
2560x1567
Подскажите интересные (!) учебники, а лучше записи лекций или онлайн курсы по матану и алгебре(можно на английском).

В вузе математический анализ по Зоричу, алгебра по Кострикину, вполне неплохие учебники, но там просто излагаются разные теоремы и доказательства, мне бы хотелось чтобы помимо этого были какие-нибудь интересные математические факты, отступления и прочее.

Что я понимаю под словом "интересны"? Например, мне понравилась книга "Теорема Абеля в задачах и решениях", в школе еще нравились брошюры от МЦНМО Гельфанда и Шеня. Вообщем, для меня интересная книга по математики - это та, где упор делается на понимание основных концепций, объяснение того, как автор какой-либо теоремы дошел до нее, интересные повествования о пременении математики в других сферах науки и жизни.

Очень надеюсь, мне кто-нибудь посоветует чего-нибудь годного!



Пропущено 80 постов
4 с картинками.
Пропущено 80 постов, 4 с картинками.
Аноним 25/08/22 Чтв 07:26:07 98238
>>98234
>это умные дяди долго думали и придумали"
Ну потому что это так. Исторически было несколько определений топологии. Традиционное через открытые множества стало де-факто стандартным после книги Бурбаков (и Келли). Но аксиоматизировать можно и другие понятия как ты уже и сам понял, читая Ишама - например точки сгущения (Рис), окрестности (Хаусдорф), замыкание (Куратовски) или идти через фильтры (Картан).

Ну невозможно весь исторический пласт знаний и обобщений, которые в итоге привели к этим определениям, описать в коротеньких учебниках. Это верно и для других областей и понятий.
Так что Ишам хоть и мотивирует (что уже хорошо), но исторически всё развивалось по-другому - сначала были разрозненные знания из анализа (и даже понятие окрестности не было стандартным языком), потом Рис, Хаусдорф, и Куратовски, и только много позже фильтры и "стандартное" определение.
Аноним 25/08/22 Чтв 16:44:35 98247
>>98234

Изначально была мотивация из свойств метрических пространств выделить такие, шобы от понятия расстояния отказаться, но сохранить непрерывность и предел. То есть изначально набор аксиом тополгии это небоходимые свойства метрики.
Если брать бесконечные пересечения, то это испортит всю конструкцию, типа все множества будут и открытие, и замкнутые и т.д.
Аноним 25/08/22 Чтв 19:37:03 98256
>>98238
>коротеньких учебниках
Да ты охуел 90% макулатуры "учебной" томики в over 800 страниц.

Помню очень меня порадовал отзыв на одну книгу на амазоне - Zeidler КТП в трех томах и каждый по тысяче страниц. Там человек офигевает от того что определение дельта символа в книге приводится раз десять, а какая то реально нужная вещь - ее предлагают посмотреть в другом томе. Так что проблема скорее в головах писателей, чем в каких то "ресурсных" ограничениях
Аноним 26/08/22 Птн 00:36:10 98282
>>98234
Никогда не называй книгу чем-нибудь со словами "новый" или "совеременный", через 30 лет будет смотреться тупо.
Аноним 26/08/22 Птн 01:05:49 98283
>>98282
Через 30 лет может одни выжевачеры будут по катакомбам от ядерной пыли прятаться, кому не похуй. inb4 поговорил с пастой.
KHAN ACADEMY, работаю тим лидом и плохо с математикой ( в свое время поступил на гуманитарное, а пот Аноним 17/08/22 Срд 10:54:39 97888 Ответ
1596624984749Ok[...].jpg 179Кб, 1080x1080
1080x1080
unnamed.png 37Кб, 512x512
512x512
KHAN ACADEMY, работаю тим лидом и плохо с математикой ( в свое время поступил на гуманитарное, а потом как-то хуй на нее забил ).
Знаю 'basic stuff', но не ударялся в эти логарифмы, формулы и т.п.

Как мне подтянуть математику с уровня класса 7-8 до уровня сдачи ЗНО/ЕГЭ без проблем на отлично. И сколько это займет времени? Учусь быстро, джава скрипт макакой стал за полтора месяца.

И какие курсы надо пройти.
Прошу не стебаться, вопрос серьезный.
Пропущено 1 постов
1 с картинками.
Пропущено 1 постов, 1 с картинками.
19/08/22 Птн 00:25:57 97998
>>97888 (OP)
>не ударялся в эти логарифмы, формулы и т.п.
Чел у меня от тебя кринж. Эти логарифмы формулы и т.п., что это блядь должно означать? Логарифм это функция, формулы бывают разными. Я чет сомневаюсь что ты какой-то там тимлид, похоже на петровича вернувшегося с завода.

Как подтянуть? А как подтягивают знания? Пиздуешь, открываешь книгу математики за 8й класс, читаешь, решаешь задачи. Дальше берешь книгу математики за 9й класс, читаешь, решаешь задачи.
Повторять до 11го класса. Все.
Слишком долго? Ну иди на скиллфактори и там поищи курс математики подготовки к ВУЗу, судя по всему свое айтишное образование ты получал там же так что проблем не будет.

Либо же просто идешь качаешь в интернете любую книгу по calculus и ее от корки до корки хуяришь, если не совсем отбитый то там тебя и дифференциировать научат, и интегрировать, и все че нужно знать для азов прикладной математики. Ток ты так и не написал какая цель и какая задача, в чем именно ты плаваешь так что и ответить тебе по существу невозможно.
Аноним 19/08/22 Птн 00:35:30 98001
>>97998
Чел, смотри, математика должна развивать логику, а тебе не помогло.
В моей тексте выше не опровергалось, что формулы бывают разными, а также, что логарифм это функция.
Как знание математики влияет на знание джава скрипта, джавы, клауд технологий, баз данных и т.п. - открытый вопрос. Иначе я не понимаю, к чему отсылка про Петровича.
19/08/22 Птн 02:25:44 98015
>>98001
Очень даже помогло. Пиздуй в закреп, я тебе уже написал
>Ток ты так и не написал какая цель и какая задача, в чем именно ты плаваешь так что и ответить тебе по существу невозможно.

Ты литературно приходишь в музач и гришь "хачу стать музыкантом, глубоко в эти ноты-хуеты, гаммы-хуяммы, не погружался с чего начать"
Буквально этим
> ударялся в эти логарифмы, формулы и т.п.
Ты даешь понять что тебе шо пен шо моцарт, математика для тебя какая-то абстрактная картинка в виде формул, графиков и непонятных логарифмов, так что ты для начала обозначь цель, отличную от ХОЧУ ФСЁ ЗНАТЬ, а потом и спрашивай ответа.

В закрепе, тред для этого не обязательно было создавать.
19/08/22 Птн 07:38:56 98016
>>97888 (OP)
Я понимаю что это очень сложно для жс-макаки, но всё расписано в закрепе. Если не подходит, то гуглишь нужную тебе школьную или подготовительную программу и учишь.

>>97998
>Я чет сомневаюсь что ты какой-то там тимлид
Такое вполне возможно в какой-нибудь провинциальной шараге на 10 человек.
Аноним 19/08/22 Птн 17:01:53 98045
>>97888 (OP)
>с уровня класса 7-8 до уровня сдачи ЗНО/ЕГЭ без проблем на отлично
На сайте поступашек есть инфа как закрыть школьные пробелы + как вкатиться в олимпиады.
Вкатываться хардкорно конечно не надо, но нулевой задачник стоит прорешать: индукция, инварианты, задачи на делимость. Обычно всё это не входит в обычные шк. учебники, в олимпиадных же они есть и понятно написаны.
Какую математику нужно изучать что бы постигнуть аэродинамику? Аноним 07/05/22 Суб 21:28:09 95703 Ответ
aerodinamika-av[...].jpg 149Кб, 717x365
717x365
Какую математику нужно изучать что бы постигнуть аэродинамику и иметь возможность написать средненький симулятор полета самолета с любым крылом и формой?
Пропущено 15 постов
2 с картинками.
Пропущено 15 постов, 2 с картинками.
Аноним 18/07/22 Пнд 18:32:41 97016
Re200-41x41-sta[...].png 78Кб, 800x600
800x600
Аноним 02/08/22 Втр 17:39:19 97559
>>95703 (OP)
нужно иметь представление о ТФКП, стандартных его функциях, в частности - функции Жуковского, знать что такое комплексная дифференцируемость, вычеты ну тд и тп.
Аноним 04/08/22 Чтв 20:56:40 97594
>>96105
>>95985
Анончики, у меня есть задача смоделировать вихри на ГПУ, проект коммерческий так как есть заказчик, заинтересованы ли вы в том чтобы разделить шкуру неубитого медведя вместе со мной? программистом макакером
Аноним 04/08/22 Чтв 21:00:40 97595
>>96285
> Что такое интегрирование по времени
Вот бля вот эта хуйня самая важная!
Аноним 11/08/22 Чтв 22:11:08 97717
>>97559
дядь, как там в 1930? NACA 0012 уже обсчитали?
R thread Что делает %&gt;% ? В проге есть, а через help не гуглится Аноним 02/08/22 Втр 16:31:12 97552 Ответ
1659447071718.jpeg 103Кб, 763x1200
763x1200
R thread


Что делает %>% ?
В проге есть, а через help не гуглится
03/08/22 Срд 12:59:56 97567
06/08/22 Суб 21:11:03 97600
Математики шутят Аноним 25/07/22 Пнд 09:36:20 97282 Ответ
121206newmath.jpg 5Кб, 226x238
226x238
Аноним 26/07/22 Втр 21:57:53 97352
убермаргинал шу[...].mp4 7224Кб, 1280x720, 00:00:49
1280x720
Физики тоже шутят
Пирильмансер 17/07/22 Вск 15:17:18 96998 Ответ
12d32886d284e03[...].jpg 43Кб, 600x400
600x400
Объясните на человеческом языке , что Открыл Перельман , почему всем не похуй? Нахуя давать нобел? Что за потоки ричи и нахуя
(Просвятите бадла пж
Аноним 18/07/22 Пнд 10:32:20 97008
Украинка выиграла медаль Филдса Аноним 12/07/22 Втр 13:40:49 96945 Ответ
image.png 21Кб, 979x152
979x152
Уважаемые математики, по Вашему, она заслужила ее? Или все же нет?
Аноним 12/07/22 Втр 14:01:35 96946
>>96945 (OP)
Ну что ты такого говоришь, не заслужила? На её страну напали русские орки, разве так может быть в такой ситуации чтобы украинка не заслужила медаль?
Аноним 12/07/22 Втр 14:17:15 96947
>>96945 (OP)
>ВязовсАЯ
>украинка
Нормально она так тупых бургов объебала.
13/07/22 Срд 20:05:54 96975
А Вербицкий когда получит?
Задача. Есть бесконечно малая мочка (пиксед). Задача столетия 02/06/22 Чтв 21:26:47 96174 Ответ
IMG202206022125[...].jpg 55Кб, 452x618
452x618
Задача. Есть бесконечно малая мочка (пиксед). Пиксеп состоит из 4-х компонентов, четырех писел. Не простых писел а компиксельных!! Так как сфинктер очень маленький, бесконечно маленький, то его надо как то увеличить. Возможно ли путем матемамичексмисмиих преобразований, дифуринциально-пинтегрального исчипления преобразовать бесконечно маленький пектин состоящий из компланарных чисел в огромный большой пикдес размером скажем с мой член :)) не потеряв информацию которая находиться в закомплексованных числах этого бесконечно малого пикселка????
Задача столетия 02/06/22 Чтв 21:28:44 96175
Сфинктер нужно расширить бесконечно малым пальцем.
Важно чтобы дивергенция векторного поля состоящего из несчетного количества бесконечно малых пальцев была при этом все время равна πr^2/e^(число введенных бесконечно малых пальцев)
То есть чтобы чем больше пальцев в бесконечно малом сфинктере тем она становилась ближе к нулю
И таким образом в пределе когда сфинктер будет уже конечных размеров (а не бесконечно малых) получится что дивергенция равна нулю
А там по теореме Сосницкого очевидное доказательство того что закомплексованность писел сохраняется при таком отображении сфинктера на очко из поля комплексных геморроев
Математика от Савватеева Аноним # OP 12/01/19 Суб 10:41:55 48552 Ответ
savvateev.jpg 12Кб, 250x249
250x249
maxresdefault.jpg 87Кб, 1280x720
1280x720
Смотрите на видео! Выступления странствующего лектора, доктора трехбуквенно-математических наук А.В. Савватеева. Без СМС и регистрации.

Эти записи не претендуют на систематическое изложение какого-либо раздела математики и представляют собой своего рода "витамины" - средство для повышения интереса к предмету и увеличения общей эрудиции.

Для понимания не нужно быть 77 пядей во лбу. Лекции полезны 1-2-курсникам, но и более продвинутые слушатели, вероятно, увидят какую-то формулу новыми глазами.

Теория игр:
https://www.youtube.com/playlist?list=PLlx2izuC9gjj4crXUkw2luo8JfNCfmbkn

Математика для всех
https://www.youtube.com/playlist?list=PLlx2izuC9gjhc6TOzoeL-ovXXsvjJi22f

Математический анализ
https://www.youtube.com/playlist?list=PLlx2izuC9gjgEWu2364R6GnrY8SMUYi-E

Линейная алгебра и элементы топологии
https://www.youtube.com/playlist?list=PLlx2izuC9gji7vdEkiEwIs7IHKY_64Ed2

Геометрия и группы
https://www.youtube.com/playlist?list=PLlx2izuC9gjgZsBALx2ZF7IMGoNl07A9l

Кроме перечисленного, лекции Алексея Савватеева есть в виде книги "Математика для гуманитариев". На самом деле книга предназначена скорее для людей, когда-то изучавших математику, но свернувших с пути истинного.

https://www.chitai-gorod.ru/catalog/book/994591/
(при желании нетрудно найти pdf)
Пропущено 509 постов
33 с картинками.
Пропущено 509 постов, 33 с картинками.
Аноним 16/06/22 Чтв 11:07:41 96405
Аноним 16/06/22 Чтв 21:41:55 96416
>>95948
>Никакого отношения она к обсуждаемому вопросу не имеет
https://ru.wikipedia.org/wiki/Бритва_Оккама
Изучай нынешнее значение, бездарь, и не копируй бездумно текст. Он не доказывает что ты прав, а лишь подтверждает, что за непонятными словами скрывается скудность мышления, у тебя, выблядка.
Аноним 18/10/22 Втр 21:39:28 99411
Тред умер, а между прочим Савватеев стал в этом году членом-корреспондентом РАН... Как думаете, почему?
Аноним 11/06/23 Вск 10:34:49 103098
16864111168980.mp4 8584Кб, 640x360, 00:03:28
640x360
Аноним 27/03/24 Срд 17:38:24 113991
Подарочек для С[...].mp4 6573Кб, 1024x576, 00:00:35
1024x576
Привет, я тупой ПТУшник, ушел после 9 класса, сейчас Аноним 13/04/22 Срд 21:17:20 95114 Ответ
16472711874520.png 504Кб, 800x538
800x538
Привет, я тупой ПТУшник, ушел после 9 класса, сейчас столкнулся с бытовой задачей. По рецепту нужно взять 30 миллилитров 9% уксуса, но у меня есть только 6% уксус. Сколько мне нужно 6% уксуса, чтобы концентрация кислоты была как в 30 миллилитрах 9% уксуса?
Пропущено 7 постов
9 с картинками.
Пропущено 7 постов, 9 с картинками.
Аноним 13/04/22 Срд 22:34:45 95122
FnVgCPINXI.jpg 101Кб, 497x489
497x489
ЭТО НЕ ТРОЛЛИНГ, МНЕ НУЖНА ПОМОЩЬ
Аноним 13/04/22 Срд 22:58:30 95126
16462150289570.mp4 4293Кб, 480x480, 00:00:28
480x480
Ладно, я воспользовался логикой. У меня вышло что 30 миллилитров девятипроцентного уксуса, ровняется 45 милилитрам шестипроцентного уксуса :0
25/04/22 Пнд 00:21:21 95398
IMG202204250018[...].jpg 280Кб, 1080x1165
1080x1165
уже поздно, но если что то вот:
Аноним 25/04/22 Пнд 14:10:33 95401
>>95114 (OP)
А вскипятить немножко не пробовал?
Аноним 28/04/22 Чтв 22:17:31 95459
V w v
30 9% 2,7
x 6% 2,7

27/6
4(3)
0,43
6

2,58
0,45
6
2,70
x = 45 мл
хаха решил в итоге подбором
весь текст мой ход мысли
Всем привет, давно использую одну фичу для подсчёта квадратов Аноним # OP 27/02/22 Вск 21:53:52 94353 Ответ
164578474815246[...].jpg 115Кб, 918x487
918x487
Ещё где-то в школе, при изучении ФСУ, вывел интересную для себя вещь:
x² = (x-y)(x+y)+y², где x — число, которое мы собственно хотим возвести в квадрат, а y — любое число.
Например, мы хотим посчитать 33², тогда за y мы возьмём 3, для простоты умножения, и получим: 36
30+9 = 1089, что для меня кажется многим проще, чем обычное возведение. Для куба тоже адаптировал: x³ = (x-y)*(x+y)+x²y

Хуйню делаю, аноны?
Пропущено 1 постов
1 с картинками.
Пропущено 1 постов, 1 с картинками.
01/03/22 Втр 04:06:54 94364
Аноним 02/03/22 Срд 21:12:09 94375
Аноним 16/04/22 Суб 10:53:13 95207
>>94353 (OP)
Кажется у Фейнмана было где-то про то, как удобно считать квадраты:
33^2 = (30+3)^2 = 30^2 + 2330 + 3^2 = 900+180+9=1089 у него
33^2 = (33-3)(33+3) + 3^2 = 30*36 + 9 = 1080+9=1089 у тебя. Твое все равно не калькулятора тяжело посчитать.

Аноним 16/04/22 Суб 10:54:15 95208
>>95207
Там знак умножения не пропечатался, как и у ОПа, хз мы криворукие или доска тупит...
Аноним 16/04/22 Суб 10:55:56 95209
А понял, когда символ закрываешь звездочками, он пишется курсивом
Что нужно знать инженеру? Аноним 04/02/20 Втр 13:02:05 64721 Ответ
image.png 98Кб, 266x190
266x190
Анон, какие области матана нужно знать инженеру который в будущем будет работать со всякого рода микроконтроллерами, электрическими цепями, монтажными платами, механикой и/или заниматься в аэрокосмической сфере. Плюс думаю о квантовой и нанофизике и о их потенциале в инженерной сфере. С чего начать натаскивать знания?
Пропущено 24 постов
1 с картинками.
Пропущено 24 постов, 1 с картинками.
Аноним 22/07/21 Чтв 09:00:06 85825
>>85732
А по-моему, наоборот. Много воды, мало полезного.
Аноним 22/07/21 Чтв 14:30:13 85829
>>64721 (OP)
Значит смотри, анончик, сейчас я тебе раскидаю все по полочкам.
Инженегру нынче надо уметь три вещи:
1) Бить
2) Крутить
3) Рубить
Больше в заборостроении и сантехническом ремесле особо ничего не требуется.
Аноним 25/07/21 Вск 12:12:24 85882
>>85829
Рыночек давно уже порешал таких инженеров, с тем чтобы бить, крутить и рубить отлично справляются выходцы из средней Азии.
Аноним 25/07/21 Вск 12:31:36 85883
>>85882
А других инженеров и нет.
Аноним 12/04/22 Втр 12:45:02 95085
>>64721 (OP)
Нужно знать, что система на картинке не будет работать...
Ты - не математик, если не знаешь NBG. Аноним 01/02/17 Срд 17:45:18 9895 Ответ
MATH001.jpg 1382Кб, 3308x4679
3308x4679

Решаем
Mendelson Elliott: Introduction to Mathematical Logic
http://rgho.st/7WHmFCSPM

По моему скромному разумению - уметь решать эти задачи максимально чётко должен уметь всякий уважающий себя математик, и неважно в какой сфере он работает.

Здесь я буду постить решения, до тех пор пока не прорешаю всё. Если кто хочет за компанию - присоединяйтесь, спрашивайте, предлагайте свои варианты, критикуйте.

Пикрелейтед включает в себя необходимые 13 аксиом(с галочками), которые составляют суть теории.

Чем крута NBG?
1) конечной аксиоматизируемостью(в отличие от ZFC)
2) отсутствием парадоксов (в отличие от наивной теории множеств)
3) наличием классов (в отличие от ZFC)
4) после её изучения - понятно о чём стандартные вузовские курсы
5) высокой скоростью доказывания, по сравнению с HoTT-ом, например, который собственно ещё очень сырой и совершенно невоспринимаем большинством математиков.

A про книгу - выдержала 6 изданий, что косвенно говорит о качестве. В подарок - определим таки наконец ординалы, и не только N.

Короче, в добрый путь!




Пропущено 54 постов
12 с картинками.
Пропущено 54 постов, 12 с картинками.
Аноним 21/03/17 Втр 21:56:01 13404
>>13225
>>9895 (OP)

По отзыву одного профессионального логика, у Мендельсона - лучшее изложение NBG.
(Опечатки, разумеется, есть, но нет небрежных выводов.)
Аноним 24/03/22 Чтв 21:28:47 94653
>>9895 (OP)
>>19319 (OP)
Почему ты выбрал Metamath, а не Mizar? Только из-за живого коммьюнити? Мне вот ещё приглянулся Isabelle, кто-нибудь тут пользуется им? Стоит ли вообще останавливаться на Metamath/Mizar/Isabelle/etc? Может сразу использовать Coq? Вроде в Coq ZFC очень неестественным образом реализована — это меня смущает. Но правильно ли я понимаю, что для серьёзной математики больше подходит Coq, нежели ассистанты на простой теории типов/теории множеств?
Аноним 26/03/22 Суб 02:28:26 94678
>>9895 (OP)
>По моему скромному разумению - уметь решать эти задачи максимально чётко должен уметь всякий уважающий себя математик, и неважно в какой сфере он работает.
А по моему скромному мнению, ты мудак
Будет он ещё решать, что я должен уметь, а что нет. Плюю тебе в твоё тупое ебало
Аноним 26/03/22 Суб 02:29:45 94679
>>94678
простите, не заметил тред 17ого года
ОП уже мёртв, наверное
Аноним 12/04/22 Втр 01:28:36 95073
>>9939
Так ты не пустые рассматривай)0
Сможет матемач справиться с задачками? мимогуманитарий Аноним 30/03/22 Срд 20:28:12 94762 Ответ
upload202203302[...].jpg 2137Кб, 3968x1463
3968x1463
Сможет матемач справиться с задачками?
мимогуманитарий
Пропущено 12 постов
2 с картинками.
Пропущено 12 постов, 2 с картинками.
Аноним 02/04/22 Суб 16:04:44 94821
Аноним 04/04/22 Пнд 17:21:22 94966
На матрицы всегда надо смотреть как на операторы. Если матрица зануляется, значит, должен существовать вектор, который она зануляет.

Характеристический многочлен матрицы имеет нечетную степень, а значит, очевидно, хотя бы один корень lambda над R. А значит, и хотя бы один собственный вектор v, соотв. этому собственному значению.

Также очевидно, что матрицы A и AT имеют одни и те же собственные числа и вектора.

Подействуем оператором (A - AT) на этот вектор v. (A - AT) v = Av - AT v = lambda v - lambda v = 0, мы построили вектор, который всегда зануляется, значит и определитель нулевой

Аноним 08/04/22 Птн 17:02:31 95028
>>94966
не стал внимательно читать твоё хитроумное решение, но где, скажи, пожалуйста, у тебя используется, что размерность $n$ нечётная?
Аноним 08/04/22 Птн 18:02:49 95029
>>95028
Вот здесь же. Второй абзац. Размерность матрицы нечетная, значит характеристический многочлен имеет нечетную степень.

Можно обобщить эту задачу и сказать, что ее условия верны не только для всех нечетномерных пространств, но и для тех четномерных, где оператор имеет хотя бы одно вещественное собственное значение.
Аноним 08/04/22 Птн 18:27:00 95030
>>95029
кстати, в предложенной формулировке факт доказывается элементарными алгебраическими манипуляциями:

$\det(A-A^T) = \det((A-A^T)^T) = \det(A^T-A) = \det(-(A-A^T)) = (-1)^n\det(A-A^T)$
в силу того, что $n$ нечётное, получаем
$\det(A-A^T) = -\det(A-A^T)$,
откуда вытекает требуемое
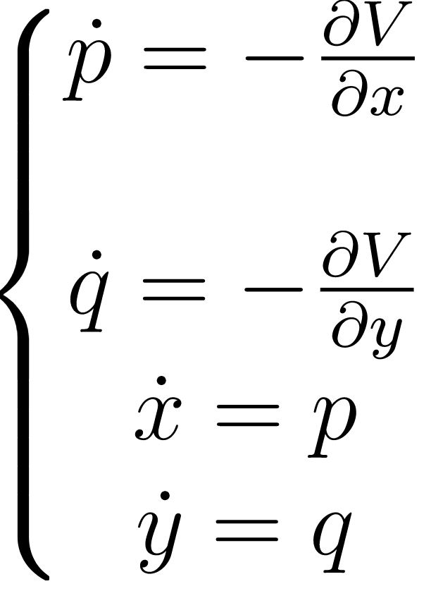
Интегрируемые/гамильтоновы системы Аноним 04/02/22 Птн 22:44:15 93472 Ответ
Capture.JPG 35Кб, 612x855
612x855
Не нашёл - создал!

Размышляю над одним вроде бы сравнительно несложным вопросом по гамильтоновым системам.

Вот, положим, у нас есть обычная плоскость $\mathbb R^2$ с координатами $(x,y)$, её кокасательное расслоение, изоморфное $\mathbb R^4$ с координатами $(p,q,x,y)$ и гамильтоново векторное поле на нём с гамильтонианом вида $H(p,q,x,y)=\frac{1}{2}(p^2+q^2)+V(x,y)$, то бишь просто сумма кинетической энергии, записанной через импульсы масса обезразмерена, на неё забиваем болт и произвольного гладкого потенциала.

Записав уравнения Гамильтона, получаем пик я просто не знаю, поддерживает ли местная разметка перенос строки для записи системы уравнений, если кто знает, подскажите. Собственно, вопрос - есть ли какие-то разумные способы отыскать первые интегралы у этой системы уравнений?

Буду заходить сюда время от времени и бампать своими идеями, немногочисленными и не очень плодотворными.

По совместительству - интегрируемых систем нить иди! А то чё тут у вас только первокурсники и школяры задачки обсуждают, уважаемая доска всё-таки хотя и почти мёртвая, пиздец просто, спрашивал в треде общих вопросов, так там вообще никого нет, а в "Математике для начинающих N+1" один анон мне что-то невнятное попытался донести, и то быстро утонула тема.
Пропущено 13 постов
2 с картинками.
Пропущено 13 постов, 2 с картинками.
Аноним 06/02/22 Вск 20:17:04 93528
>>93520

Про два интеграла (которые в инволюции находятся) это действительно так и есть, потому что есть Теорема Лиувилля. Размерность симплектического многообразия $=4=2n\implies$ кол-во первых интегралов в инволюции $=n=2$.

Ну вроде так, если я правильно понимаю. Алсо, вообще всего различных функционально независимых первых интегралов здесь будет, конечно же, $2n-1=3$, это по общей теореме из диффуров, типа такой, как в этой статье из вики

https://ru.wikipedia.org/wiki/%D0%9F%D0%B5%D1%80%D0%B2%D1%8B%D0%B9_%D0%B8%D0%BD%D1%82%D0%B5%D0%B3%D1%80%D0%B0%D0%BB
Аноним 06/02/22 Вск 21:55:19 93537
>>93528
Ну вот я тоже подумал что должно быть 3 из общих соображений: пересечение ядер внешних производных первых интегралов должно быть интегральными кривыми соответствующего векторного поля, т.е. чем-то одномерным, ядро 1-формы это что-то трехмерное в четырехмерном, поэтому нужно 3 чего-то трехмерного чтобы в пересечении получилось одномерное. Поэтому странно что один из диффуров, решение которого должно быть первым интегралом. А что за инволюция на первых интегралах?
Аноним 06/02/22 Вск 21:56:03 93538
>>93537
> Поэтому странно что один из диффуров, решение которого должно быть первым интегралом
Поэтому странно что один из диффуров, решение которого должно быть первым интегралом, не имеет решения.
самофикс
Аноним 07/02/22 Пнд 23:44:05 93604
Capture.JPG 93Кб, 1561x340
1561x340
>>93537
>>93538

Очень интересная идея доказательства того факта из общей теоремы о первых интегралах, раньше не видел, спасибо.

По поводу инволюции интегралов см. пик. Собственно, в этом и состоит интересное различие между просто системами диффуров (у обычной автономной системы ОДУ 4-го порядка локально существует 3 независимых первых интеграла) и гамильтоновыми системами - на первые интегралы у последней можно наложить более жёсткое условие про инволюцию, но зато это даёт много разных полезных свойств. Кстати, не совсем уверен, но вроде бы эти вышеупомянутые интегралы в инволюции существуют глобально, а не локально.
При этом, конечно, надо понимать, что общая теорема тоже, конечно же, работает, просто там интегралы похуже (зато их побольше).

ОП
Аноним 31/03/22 Чтв 18:38:46 94779
>>93485
Тоже ахуел, причем обычно его называют гармоническим.
Настройки X
Ответить в тред X
15000
Добавить файл/ctrl-v
Стикеры X
Избранное / Топ тредов