Главная Юзердоски Каталог Трекер NSFW Настройки

Математика

Создать тред Создать тред
Check this out!
<<
Каталог
Сап, матач. Составьте уравнение по закону Кирхгофа для пикрила. Аноним 25/10/19 Птн 10:14:08 60650 Ответ
IMG201910251003[...].jpg 2120Кб, 3120x4160
3120x4160
Сап, матач.
Составьте уравнение по закону Кирхгофа для пикрила.
Аноним 25/10/19 Птн 10:16:36 60652
P.S
j -генератор
6узлов
5контуров
Аноним 25/10/19 Птн 11:16:14 60655
image.png 839Кб, 1336x1130
1336x1130
Аноним 25/10/19 Птн 14:56:46 60676
ижи на хуй со своим говном, мудень
Тяна загадала ребус Аноним 28/10/16 Птн 18:45:55 326 Ответ
1477672873.jpg 223Кб, 2048x1536
2048x1536
Сап, технари. Суть проста: я просил знак, тяна его дала, только я, как гуманитарий, нихера не понимаю. Банально даже логарифмы не помню еще со школы. Поможет кто?
Пропущено 70 постов
7 с картинками.
Пропущено 70 постов, 7 с картинками.
Аноним 06/10/19 Вск 21:12:13 59587
Почему некоторые считают, что составлять знаки с простыми выражениями имеет отношение к математике?
Аноним 06/10/19 Вск 21:44:45 59589
>>59587
Для математиков это хорошо же. Сложные задачи решить тяжело, но их и задать 99% людей не сумеет, а эту легкотню решишь и тебе телка даст, а потом можешь ломать голову над обычными задачами и никто не узнает, о чем ты думаешь.
Аноним 11/10/19 Птн 07:09:43 59827
>>326 (OP)
Охуенная тян. И ребусы у неё интересные.
Аноним 11/10/19 Птн 12:31:19 59831
image.png 119Кб, 338x372
338x372
>>59827
>Охуенная тян. И ребусы у неё интересные.
Аноним 23/10/19 Срд 08:00:48 60505
gTPW4Re1QqQ.jpg 74Кб, 1242x775
1242x775
ясно, автор, пиши адрес.
будем тебя, гуманитария, ногами пиздить
Значит так, Паркер! либо ты приносишь мне фото Паука сегодня вечером, либо ты уволен! Аноним 20/10/19 Вск 18:10:01 60375 Ответ
15714078366500.jpg 136Кб, 1280x720
1280x720
Значит так, Паркер! либо ты приносишь мне фото Паука сегодня вечером, либо ты уволен!
Построение действительных чисел с нуля Аноним 04/10/19 Птн 18:33:58 59491 Ответ
243567-pic905-8[...].jpg 59Кб, 895x504
895x504
Меня интересует вопрос. Есть аксиомы поля, которым удовлетворяет множество действительных чисел. А есть ли это самое множество и как оно построено? Что бралось из аксиом для его построения?
Пропущено 10 постов
2 с картинками.
Пропущено 10 постов, 2 с картинками.
Аноним 20/10/19 Вск 12:49:44 60361
>>60182
>1. Пустое множество - элемент I
>2. Если i - элемент I, то i∪{i} - элемент I
Это есть определение N, довен. Вот определение ординала:

Let S be a set. If S satisfies the two properties,
1) S a transitive set,
2) S is strictly ∈-well-ordered
then S is called an ordinal number.
Аноним 20/10/19 Вск 12:55:38 60363
>>60360
>Это есть определение N, довен.
Нет. N определяется как класс, являющийся пересечением всех множеств со свойствами 1 и 2. Этот класс является множеством, так как существует класс, элементом которого он является, - класс Ord.

Легко проверить, что свойствами 1 и 2 обладает w0+w0. Очевидно, не являющееся множеством N.
Аноним 20/10/19 Вск 13:00:12 60364
>>60363
Ты слепой? Это поредение ординала. Читай второй пост. Легко проверить... вот долбоеб. Это доказательства на страниц 10. Хотя может у тебя есть с кванторами своё.
Аноним 20/10/19 Вск 13:02:24 60365
>>60364
Слишком толсто.
Аноним 20/10/19 Вск 13:03:28 60366
>>60365
Ты уебан, отвечаю.
сап ананасы горит расчетно графическое задание в инстике нихуя не понял за семестр, решить надо хотя бы три задания с меня как обычно Аноним 17/10/19 Чтв 13:22:20 60108 Ответ
C1A4923C-4326-4[...].jpeg 2207Кб, 4032x3024
4032x3024
сап ананасы
горит расчетно графическое задание в инстике
нихуя не понял за семестр, решить надо хотя бы три задания
с меня как обычно
Аноним 17/10/19 Чтв 14:17:06 60111
Небось с НГТУ?
Аноним 17/10/19 Чтв 17:39:44 60148
Теория множеств бред Аноним 05/10/19 Суб 14:23:19 59513 Ответ
82964780-1C9D-4[...].jpeg 465Кб, 1864x2780
1864x2780
Никому больше не кажется, что теория множеств на которой строится вся математика это бред? Посудите сами, в основе неё лежат упорядоченные пары, и отношения на них: эквивалентность, частичный порядок. Это ещё тысячелетия назад в книжке Евклида появилось, только там наглядно показывается это на отрезках, как равенство и неравенство соответственно. Только обозвали по-другому, но что это меняет? Тоже самое с функцией, ничего не изменилось со времён Декарта, просто вместо наглядного графика запихнули в отношения, но что это меняет? Также с арифметикой, как была она интуитивной, такой и осталась.
Теория множеств ничего не привнесла, просто пересказ того как думали древние греки заумными словами очкариков из престижных университетов. Просто пересказ обычных интуитивных вещей, запихнутых в кванторы с логикой, опять же обычной, просто с апгрейдом в виде обозначений.
Теория множеств ничего не доказывает. Как была основа математики всей интуитивной, она такой и осталась. Просто вместо равно сделали красивое слово «эквивалентно» и вместо чертежей пишут буковки в фигурных скобках. Только пошли дальше и начали сравнивать бесконечности, а родоначальник этой идеи был душевнобольным, о чем это говорит?
Пропущено 99 постов
9 с картинками.
Пропущено 99 постов, 9 с картинками.
Аноним 13/10/19 Вск 09:39:40 59909
image.png 8Кб, 63x80
63x80
>>59899
>дед с dxdy подобен Маклейну в этом смысле, оба брали интегралы.
Аноним 13/10/19 Вск 17:42:33 59917
>>59535
Удваиваю этого оратора.
Аноним 13/10/19 Вск 20:54:10 59921
>>59917
Как вот можно считать дальше натуральных чисел? Это изначально ясно, что бред. Если нужно показаться умным, то можно хоть анализом заняться, но это говнище мало того, что легкое, так оно и не нужно никому. Почему в нормальный универ не брали? Потому что аутировал над этой херней - ни сложности, ни мысли в ней нет.
Аноним 13/10/19 Вск 20:54:43 59922
>>59921
не брали в универ Кантора*
Аноним 15/10/19 Втр 03:42:19 59965
>>59884
Пятитомный высер, который еще и зрение посадит? Ты чё охуел?
Бесконечная Вероятность. Kirill Dubovitskiy 05/09/19 Чтв 14:09:15 58418 Ответ
igrovayakost.JPG 1673Кб, 2560x1600
2560x1600
Может ли вероятность равняться бесконечности?
Пропущено 21 постов
4 с картинками.
Пропущено 21 постов, 4 с картинками.
Аноним 14/09/19 Суб 09:24:10 58801
>>58775
Кто это у нас тут пукает?
14/09/19 Суб 15:17:54 58807
>>58451
Что "именно"? Вероятность по определению не может быть больше 1.
Как мы все знаем inf>1, следовательно вероятность не может быть бесконечной.
>>58453
Делить на ноль в классической алгебре нельзя, тебе во втором классе должны будут рассказать
Аноним 29/09/19 Вск 06:02:52 59327
steamuserimages[...].jpg 81Кб, 1024x838
1024x838
>>58807
Мне во втором классе рассказали, что:
"1 - 2 = 0"
Как вам такое? А в 4м (который у нас был 5м), математичка удивлялась, что это за хуйня, как нас так научила прошлая училка, которая вела у нас все предметы три года.

Беру и делю на ноль, могу доказывать, что в конкретных случаях получается...

Беру и делю 1 на 1/2 и получаю 2. Делю на -1. Я всё, что угодно могу делать, щому такие ограниченные все?
Аноним 29/09/19 Вск 06:50:12 59329
>>59327
>Как вам такое?
Зависит от задачи. Может условие было "ребята собирали ягоды, миша собрал всего одну. Учительница сказала, чтобы каждый сдал по две ягоды, а остальное себе. Сколько ягод осталось у миши"
Т. е. от контекста в начальной школе можно определить
a-b=max(0,a+(-b))

А вот деление на ноль - это классическая тема всяких горе-шизиков. Стабильно ежемесячно появляется на форчане и реддите.
Аноним 05/10/19 Суб 23:47:29 59563
>>59329
Реддит - это как бы охеренная соцсеть, и там постоянно такие темы идут, каждый день.
Официальный анализа тред №1 Аноним 25/10/16 Втр 12:50:36 4 Ответ
226Кб, 500x619
500x619
Новая официальная нить, в которой изучаются пучки на многообразиях вообще и категория банаховых пространств в частности, а также все сопутствующие штукенции. Можно брать интегралы.
Пропущено 510 постов
57 с картинками.
Пропущено 510 постов, 57 с картинками.
Аноним 25/09/21 Суб 08:06:46 87604
>>87603
$\forall x\in dom f \forall n , m \in \mathbb{Z} : f(x+n+m\sqrt{2})=f(x)$
Во!
Аноним 13/12/21 Пнд 17:28:19 90902
двач, есть функция бесконечного количетсва переменных, а именно энтропия ДСВ, распределенной на натуральные числа.
$H(p1, p2, ...) = -\sum_{n=1}^{\infty}p_n log(p_n)$
Вопрос, могу ли я ее оптимизировать с помощью уравнения Лагранжа-Эйлера? Если да, то почему? Меня конкретно смущает то, что у нее счетное количество аргументов, и то, что про Лагранжа-Эйлера для интегралов везде написано. Препод говорит, что надо решать задачу через множители Лагранжа, но для бесконечномерных функций обычный метод не применим, а других вариантов решения подобной задачи я не нашел и не знаю.
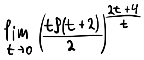
Аноним 20/10/22 Чтв 22:23:28 99439
image.png 51Кб, 340x131
340x131
image.png 27Кб, 481x202
481x202
На паре училка сказала использовать здесь замену t = x-2. Получается так, как на скрине. Но потом она сказала использовать эквивалентность tg(t+2) = (t+2), и я немного усомнился, а когда сказала применить эквивалентность к tg(2) я ахуел, ведь эквивалентность же можно применять, насколько я понимаю, к бесконечно малым функциям, я в матане скорее ниже среднего, мб чего-то не понимаю, но если я прав, то ебать у нас уровень обучения
Аноним 20/10/22 Чтв 22:24:50 99440
о ебать тут онлайн, прочитаю в старости
Аноним 02/10/23 Пнд 00:10:39 109210
Матаноны, не знаете ли вы, существует ли вообще русский перевод книги У. Рудина "Real and Complex Analysis"?
Есть дифференциальное уравнение y` = f + x; f непрерывна; Аноним 28/09/19 Суб 17:47:28 59315 Ответ
31408CN8CKL.SX3[...].jpg 13Кб, 315x474
315x474
Есть дифференциальное уравнение y` = f + x; f непрерывна; Может ли в каждой точке плоскости быть нарушена единственность задачи Коши? Кто-нибудь что-то про это знает? Мне говорили, что что-то есть в пикриле.
Аноним 28/09/19 Суб 18:20:59 59318
>>59315 (OP)
>ВНИМАНИЕ! Если ты школьник\студент или просто первый раз зашел на доску, НЕ СОЗДАВАЙ НОВЫЙ ТРЕД, а задай вопрос в прикрепленном треде "математика для начинающих".
Ты, сука, читать умеешь? Вот блять специально тебе никто не поможет за такую хуйню.
Математически-ориаенированных языков программирования тред. Аноним 23/09/19 Пнд 01:08:29 59113 Ответ
изображение.png 168Кб, 982x931
982x931
изображение.png 113Кб, 949x790
949x790
изображение.png 96Кб, 1280x800
1280x800
 .png 76Кб, 307x434
307x434
Здравствуйте, математики. Расскажите, на каких языках программирования пишете и пишете ли вообще. Если да, то что именно и с какой целью. Какие языки предпочитаете: R, Mathematica, Lisp, Python, Coq, Fortran или может быть Haskell? Какой был ваш самый крупный и сложный проект?
Пропущено 6 постов
2 с картинками.
Пропущено 6 постов, 2 с картинками.
Аноним 25/09/19 Срд 13:36:18 59188
>>59144
Не можете. У вас отсутствует аналитическая точность, потому что абстракция целочисленная (дискретная).
Аноним 26/09/19 Чтв 00:44:31 59215
изображение.png 510Кб, 1200x488
1200x488
>>59188
Ну да, я так и думал, ты просто не шаришь. В следующий раз, прежде чем сказать что-нибудь по теме, в которой не разбираешься, лучше предварительно хотя бы немножко погуглить, чтобы не выглядеть совсем уж смешно.
Аноним 26/09/19 Чтв 02:26:31 59219
>>59215
не хочу гуглить это говно, потому спрошу тебя
имеются ли компьютерные программы, которые могут делать то, что делает этот парень?
https://math.stackexchange.com/users/53268/ron-gordon

вольфрам например ему уступает
Аноним 26/09/19 Чтв 16:42:01 59231
Аноним 26/09/19 Чтв 18:00:10 59237
>>59231
няша, да
видел обсуждения под её постами

жалко, это всё давно было, а сейчас только история
сап, двач, есть мысли как это делать? пытался Аноним 15/09/19 Вск 21:02:18 58844 Ответ
image.png 15Кб, 899x59
899x59
сап, двач, есть мысли как это делать? пытался найти d(разность) и дальше отталкиваться от этого, но получились логарифмы с разными основаниями ==> решение застопилось

тому, кто поможет -- литр нефти
Пропущено 3 постов
2 с картинками.
Пропущено 3 постов, 2 с картинками.
Аноним 15/09/19 Вск 23:22:52 58848
Аноним 15/09/19 Вск 23:23:33 58849
>>58848
Я не знаю почему здесь не любят букву б, но ты понял
Аноним 15/09/19 Вск 23:50:56 58851
png.png 1Кб, 213x77
213x77
Аноним 19/09/19 Чтв 01:08:13 58946
>>58844 (OP)
b=d=1
Наименьшего c не существует, т.к. можно взять любое c > 0 и не равное 1.
Аноним 19/09/19 Чтв 01:14:07 58947
>>58946
А, сори, a,b,c,d различны. Тогда да, c = 1000.
Судьба математика в России Аноним 29/10/16 Суб 01:56:36 365 Ответ
180px-Perelmanonstreet.jpg 20Кб, 180x358
180x358
Я правильно понимаю, что желающему стать настоящим математиком нужно заранее готовиться эмигрировать из страны, иначе в России ничего не светит?
Пропущено 25 постов
1 с картинками.
Пропущено 25 постов, 1 с картинками.
Аноним 28/01/17 Суб 22:32:45 9598
>>9597
У тебя какие-то эльфийские мухгу. Я слышал ровно противоположные отзывы, тысячи их: постоянный дроч на ПЛАНЫ и упоротая бюрократия.
Аноним 28/01/17 Суб 23:27:11 9602
>>9598
Формальная сторона дела никак не отражается на содержательной, в том и суть. Россия же, всем похуй. Если можно получать зарплату и ни разу не появиться на работе, или ни разу трезвым и тд, то что тебя удивляет в особенностях подачи материала?
Аноним 28/01/17 Суб 23:43:55 9605
>>9598
Он, в целом, правильно говорит - свобода составления программы со стороны лектора весьма большая. Например, легко может оказаться, что на одном потоке треть курса комплексного анализа будет посвящена римановым поверхностям, а на другом (с другим лектором) их так и не упомянут.
Аноним 17/09/19 Втр 19:04:17 58902
>>9597
Только если весь поток напишет заявление о смене лектора, то мало чего сделаешь. Другая проблема, когда будешь принимать экзамены, если большинство улетит на пересдачу, то тоже можно получить неприятности.
Аноним 17/09/19 Втр 20:45:50 58906
>>58902
Не напишет. Если ты хороший друг заведующего кафедрой, тебе никакие проверки из деканата уже не страшны. А если ты сам заведующий и хороший друг ректора, и вообще, кафедру открыли под тебя, то ты даже в МГУ можешь делать что угодно.
Погомите проверить утверждение. Аноним 18/08/19 Вск 22:21:28 57908 Ответ
image.png 33Кб, 1132x89
1132x89
Все драсьте, можете пожалуйста помочь с доказательством 1 утверждения. Я пришел к следующему, утверждение неверно в силу того, что если А включено в В то А не может быть одновременно быть элементом С, т.к В уже является элементом С, т.е все элементы А явл. подмножеством В но даже не принадлежат С. Хз, подскажите как можно себя проверить и написать доказательство в человеческом виде плз.
Пропущено 1 постов
1 с картинками.
Пропущено 1 постов, 1 с картинками.
Аноним 18/08/19 Вск 22:24:52 57909
Такс, поторопился и напсал херню. Если А включено в В, следовательно все элементы А принадлежат В. В включено в С как элемент, тогда А не принадлежит С и не включено в С. Следовательно А является элементом С - противоречие.
12/09/19 Чтв 22:42:34 58761
>>57908 (OP)
По п.1 контрпример:
A = {1}
B = {1,2}
C = { {1,2}, {3} }
Имеем, A вложено в B, B принадлежит С, но A не принадлежит С.
Аноним 15/09/19 Вск 03:23:43 58826
>>57909
У тебя неверное доказательство. A может являться элементом С. Например:
A = {x}
B = {x,y}
C = {{x},{x,y}}
Аноним 16/09/19 Пнд 00:09:22 58852
Последний пост, я понял что тут из того что а включено в б и б принадлежит с как элемент следует, что а принадлежит с как элемент. Т.е тут на самом деле имелось ввиду возможность того что а может принадлежать с?
Аноним 16/09/19 Пнд 01:14:26 58856
Утверждение 1) неверное.

Допустим что оно верное, тогда от того что АсВ и ВєС следует что АєС. Если это так, А=B. В то же время, от того что АсВ и ВєС не следует что А=B.

Карочи, утверждение 1) верное только если А=В.
Где можно пхд чистую математику поступить? В Аноним 04/09/19 Срд 22:05:12 58401 Ответ
bf74a095ae111e5[...].jpg 33Кб, 800x600
800x600
Где можно пхд чистую математику поступить?
В мей мхосрани была аспирантура чистая м-ка, но её закрыли
осталась ток прикладная, но там "механика дерьмоформированава тела" и другого брльше ничё нет.
С физикой та жехуйня. Была теор.физика, твёрдого тела, кондеснированого хуястояния и прочее, а ща ничего нет.
Всё закрыли. Осталась ко прикладная физика, но там одна специальноть - наноматериалы, а это вообще не наука даже, а инжеренрня спицыальность. Это ж пиздец, ёптыть, блеать.
Мне эмигрировать надо или чё?
Пропущено 2 постов
1 с картинками.
Пропущено 2 постов, 1 с картинками.
Аноним 06/09/19 Птн 20:35:29 58469
>>58401 (OP)
А касательно твоего вопроса, о том где можно поступить в аспирантуру на "чистую математику". На самом деле это довольно глупая постановка вопроса. Здраво гораздо точнее понимать, чем ты хочешь заниматься и исходя из этого искать себе научного руководителя, дальше с ним уже и договариваться. Я бы советовал тебе скорее искать магистерскую программу в нормальном месте. Так тебе достаточно будет гораздо более примерно понимать, чем ты хочешь заниматься и, в зависимости от места, может и не требоваться знать, кто будет твоим научным руководителем.
Аноним 09/09/19 Пнд 06:24:11 58590
>>58401 (OP)
Ну в Стекловке программу закрыли (там и было-то три места в год, для своих). Остаются Вышка, МГУ, РУДН. Келдыша и Харкевича не посоветую. На самом деле проше уехать.
Аноним 11/09/19 Срд 15:14:46 58694
>>58590
>(там и было-то три места в год, для своих)
Насколько я помню там ни отсрочки ни жилплощади не давали.
Гораздо интереснее перспектива в стекловке работать исследователем, но это почти нереально.
Аноним 11/09/19 Срд 18:44:52 58706
>>58694
Ну эти проблемы думаю естественно предположить разрешенными. Я даже не уверен сейчас, можно ли уехать учиться за границу если годен к военной службе и не проходил её.
Аноним 12/09/19 Чтв 12:09:20 58723
>>58706
Да, можно. Вероятно будут проблемы, если ты прямо сейчас уклоняешься от призыва - при подаче заявления о загране паспортный стол должен делать запрос в военкомат и возможно могут задержать на границе. Но если получить отсрочку, например поступив в аспирантуру здесь, то проблем быть не должно.
Многогранников тред Аноним 15/11/16 Втр 20:36:56 2892 Ответ
image.jpg 161Кб, 640x640
640x640
Их ещё называют полиэдры.
Пропущено 45 постов
14 с картинками.
Пропущено 45 постов, 14 с картинками.
Аноним 19/01/18 Птн 12:18:53 35256
Аноним 20/01/18 Суб 22:22:05 35360
Аноним 20/01/18 Суб 22:32:34 35361
>>35360
Платоновые тела:
если — то
1.Тетрадэдрсостоит из четырёх правильных треугольников
2.Октаэдрсостоит восьми правильных треугольников
3. Гексоэдр, или куб — состоит из шести квадратов
4. Икосаэдрсостоит из двадцати правильных треугольников
5.Додекаэдрсостоит из двенадцати правильных пятиугольников
Аноним 06/09/19 Птн 21:50:11 58474
>>35237
Ты лох короче, уебок, шлюха и не прав
>ЭТО ЕДИНСТВЕННЫЕ ФИГУРЫ, ГДЕ ВСЕ СТОРОНЫ МОГУТ БЫТЬ РАВНЫ.
Аноним 07/09/19 Суб 12:49:45 58503
>>35238
Забавное наблюдение в том что в размерности 4 тоже есть исключительные и всего многогранников получается шесть, а начиная с пяти и дальше их всегда только три: куб, октаэдр и тетраэдр.
Бесконечное стремление и равенство Аноним 27/08/17 Вск 04:30:08 23902 Ответ
badf10c71eda294[...].jpg 105Кб, 632x501
632x501
Глупец тот, кто приравнивает 0,(9) и 1!
Сама запись 0,(9) уже подразумевает, что 1 никогда не должен быть достигнут!
Пропущено 428 постов
48 с картинками.
Пропущено 428 постов, 48 с картинками.
Аноним 29/09/18 Суб 22:19:19 43702
1.png 241Кб, 419x674
419x674
2.png 185Кб, 421x576
421x576
>>43693
Зато десятичные дроби автоматом формируют архимедово поле и все нужные свойства непосредственно проверяются. Заодно и работать с ними: делить и извлекать корни удобнее.
Аноним 30/09/18 Вск 02:47:26 43709
>>43693
не знаю, кто из вас там что писал, а я лично никогда строгим определением действительного числа не пользовался, и чтобы пользовались другие, не видывал. так что спор вызывает у меня немного странные чувства

>мы не выбираем канонического представителя.
т.е. ты реально смотришь на число корень из двух как на множество фундаментальных последовательностей в Q, так?
Аноним 30/09/18 Вск 06:14:35 43712
>>43709
Я действительно обычно смотрю на корень из двух как на множество рациональных последовательностей, которые к нему сходятся.
мимо
Аноним 30/09/18 Вск 06:56:22 43713
>>43709
>я лично никогда строгим определением действительного числа не пользовался
Ну дык оно сейчас только в педагогических целях считай и нужно. Типа, смотрите дети, нам недостаточно интуитивного понимания, нам надо опереться на теорию множеств. А когда мы это уже один раз проговорили на первом курсе, потом вспоминаем только рядом со всякими 0.(0)1-фриками.
Аноним 06/09/19 Птн 21:23:57 58473
Бамп!
Доброго дня всем. Учусь на математика. Не могу Аноним 31/08/19 Суб 14:59:32 58291 Ответ
загруженное.jpg 680Кб, 2019x1348
2019x1348
Доброго дня всем. Учусь на математика. Не могу сам себе ответить на вопрос: куда идти работать, кроме учителя и условной науки? Где в практическом смысле может пригодится обычному Васе Пупкину весь этот картофан?
Пропущено 13 постов
3 с картинками.
Пропущено 13 постов, 3 с картинками.
Аноним 05/09/19 Чтв 07:35:20 58409
>>58400
Не он, но авторитетно подтверждаю, что ты долбоёб. Экономисты != финансовые рынки, у тебя в голове есть стойкий образ "экономиста" и ты отказываешься с ним расставаться, поливая людей более знающих говном.
Теормодели из областей, которые упомянул анон выше, обычно применяются в той же самой статье, в которой они и предлагаются, а если штука полезная - то потом часто цитируются и применяются в других областях. Не знаешь - сиди тихо.
Или очередной илитарий-математик, который считает, как в известной мем-картинке, все остальные области говном? Ну вот я заканчивал чистую математку, ебошил производные функторы и когомологии. Это не мешает мне объективно оценивать использование теормоделей и их применение в экономике, а также понимать, что экономика != дрочильня на форексе.
Ебаный /sci/ что ли протёк сюда?
Аноним 05/09/19 Чтв 10:31:46 58415
Оп пик. У него такие ногти большие чтоли?
Аноним 05/09/19 Чтв 15:58:04 58426
матанчик.jpg 87Кб, 852x368
852x368
хуянчик.jpg 172Кб, 834x474
834x474
>>58409
Два чаю, не знаю насчёт когомологий, но в экономике модели хитровыебанные и теорию бывает завозят на уровне. Ничего про форексы не понимаю, но с матанализом, линейкой, теорией меры, и крайне не тривиальной матстатистикой в статьях встречаюсь регулярно. Вот скрины - обычное использование на уровне мэйджора экономики. Видимо, тут сидят аноны, которым до мэйджора даже экономики ещё далеко, что уж говорить про чистую математику.

Матх сливается потихоньку.
Аноним 05/09/19 Чтв 15:59:41 58427
>>58426
Ах да, забыл упомянуть для местных неосиляторов, которые кричат про финансовые рынки - у многих статей по экономике половина статьи - это аппендикс с доказательствами по типу прикреплённых выше. Так что соглашусь с анонами выше - если не разбираетесь, сидите молча или идите в обос/sci/.
07/09/19 Суб 09:30:30 58497
>>58307
>>58426
Я не увидел ничего, чего нету в двухтомнике Ширяева или его спецкурсах (заметь, я не сказал, что у него всё идёт легко и со свистом).
Вообще идей нет Аноним # OP 28/08/19 Срд 02:03:53 58197 Ответ
0E2DD3AC-7937-4[...].jpeg 36Кб, 750x120
750x120
Вообще идей нет
Аноним 28/08/19 Срд 07:00:11 58199
>>58197 (OP)
Разница между двумя соседними кубами не должна быть меньше 47249.
Аноним 03/09/19 Втр 22:53:41 58376
125^3 + 1
Найдено перебором.
Аноним 04/09/19 Срд 00:27:47 58380
>>58376
>перебором
Ну ты пиздец, конечно. Можно же неравенство было составить по подсказке >>58199
Аноним 04/09/19 Срд 00:36:02 58381
>>58380
(x + 1)3 - x3 >= 47249

x >= 124.997
x = 125
1253 + 1
ебучее гдз Аноним 03/09/19 Втр 13:37:18 58336 Ответ
images.jpg 6Кб, 150x234
150x234
Помогите найти гдз по матану, заебался, со школы привык смотреть гдз и разбирать, понимать материал, а без гдз НЕ МОГУ!
копал гугол, нашел лишь какие-то огрызки, т.е. там не все задания.
прошу хелп!
Аноним 03/09/19 Втр 14:04:32 58338
>>58336 (OP)
Во-первых, сажи долбоёбу - создавать свой тред это хлебушек уровня /b/.
Во-вторых, честный тебе совет - в универе у тебя за несколько лет будет много дисциплин с задачами, на всё гдх не напасёшься. Адаптируйся и меняй метод - научись искать учебники и информацию в учебниках и форумах, а также социализируйся и обсуждай решение ирл между парами.
03/09/19 Втр 15:54:59 58344
>>58338
Чувак, ты сажу проебал
03/09/19 Втр 19:12:09 58355
Ты хотя бы автора задачника озвучил
03/09/19 Втр 19:18:13 58356
>>58336 (OP)
Ты про берман чтоль? Он ыщется в две минуты, правда это не гдз.
А вообще, если есть вопросы, то лучше спрашивай
Столование-тред. В этом ИТТ тренже бьемся над Аноним 18/04/17 Втр 20:46:24 15401 Ответ
Lysyykaktus.gif 2004Кб, 500x500
500x500
Столование-тред.

В этом ИТТ тренже бьемся над проблемой столования вместе с величайшими умами научного мира.

Суть проблемы - есть некая математическая операция (условно обозначенная "столованем"), которая относится к сложению так же, как сложение - к умножению. При этом она дистрибутивна относительно сложения и коммутативна. Через нее можно выразить сложение. Существует также обратное столование.
Нужно понять, что это за операция, и решить уравнение 3 столование 3 = х, а также определить операцию для общего случая a столование b.

Внимание! За ответ "инкремент" в этом треде сажают на кол!
Пропущено 17 постов
2 с картинками.
Пропущено 17 постов, 2 с картинками.
Аноним 02/08/19 Птн 16:44:07 57445
Аноним 08/08/19 Чтв 15:02:43 57586
>>56914
фух, нечто внятное, спасибо)
Аноним 31/08/19 Суб 13:08:27 58287
Аноним 01/09/19 Вск 01:13:27 58294
>>56914
Нуля для этой операции нет.
Аноним 02/09/19 Пнд 00:33:49 58310
>>58294
Как ты его! Слабо доказать, что нет столования кроме инкремента?
Настройки X
Ответить в тред X
15000
Добавить файл/ctrl-v
Стикеры X
Избранное / Топ тредов