Главная Юзердоски Каталог Трекер NSFW Настройки

Математика

Создать тред Создать тред
Check this out!
<<
Каталог
Поясните Аноним 26/11/24 Втр 13:04:24 118806 Ответ
image.png 53Кб, 861x683
861x683
Матоны, не могу разобраться с задачей из жизни. Хелп нидед.
Аноним 27/11/24 Срд 22:04:15 118826
слишком, СЛИШКОМ толсто
Аноним 04/01/25 Суб 19:13:02 119484
Конечные поля Аноним 23/12/24 Пнд 23:03:51 119313 Ответ
17312276493960.jpg 136Кб, 811x608
811x608
Привет. Начинаю изучение конечных полей. Не могли бы вы посоветовать книги по этой теме?
Аноним 24/12/24 Втр 07:44:26 119315
>>119313 (OP)
на сосаче есть доска для аграриев?
Аноним 25/12/24 Срд 09:46:00 119344
Узнай что такое Поля разложения и пойми, что полином x^(p^n) - x сепарабелен
Теории категорий тред №1 Аноним # OP 13/11/16 Вск 21:48:56 2473 Ответ
220px-SaundersM[...].jpg 16Кб, 220x311
220x311
Eilenberg.jpeg 17Кб, 227x326
227x326
Snakelemmanatur[...].png 13Кб, 575x250
575x250
natthree.gif 7Кб, 507x333
507x333
В этом треде мы рисуем коммутативные диаграммы, доказываем теоремы с помощью diagram chasing и, конечно, хуесосим теоретико-множественных дидов.
Пропущено 354 постов
25 с картинками.
Пропущено 354 постов, 25 с картинками.
Аноним 04/12/24 Срд 18:11:33 118903
Этому уёбку недоделанному так "похуй" на всех, что он тут ни один пост без своего треш-тока не пропускает.
Хули, это прощем, чем статьи писать.
Аноним 04/12/24 Срд 18:43:26 118904
>>118903
Ты с несколькими анонами общаешься, мудило напыщенное.
Аноним 04/12/24 Срд 23:38:22 118910
>>2473 (OP)
>доказываем теоремы с помощью diagram chasing
И как именно вы это делаете, как удобнее всего? Не через Фройда-Митчелла же, иначе не дидов гнать не стали бы.
Аноним 23/12/24 Пнд 22:27:24 119312
Какие пререквизиты у теории категорий?
Аноним 24/12/24 Втр 00:45:53 119314
>>119312
Содержательная теория категорий проходится после общей алгебры и/или основ теории гомотопий.
А так просто чтобы уметь символами крутить, то достаточно знакомства с понятием функции.
Решение головоломки с часами из университетского квеста. Аноним 09/10/24 Срд 21:23:59 117761 Ответ
image (5).png 147Кб, 960x1440
960x1440
Пропущено 2 постов
3 с картинками.
Пропущено 2 постов, 3 с картинками.
Аноним 14/10/24 Пнд 14:24:19 117895
image.png 2004Кб, 1410x1827
1410x1827
Аноним 08/12/24 Вск 02:43:05 118973
Аноним 15/12/24 Вск 15:30:26 119139
>>117895
А как по ним понять, когда семь вечера?
Аноним 22/12/24 Вск 22:20:10 119301
>>119139
Никак. Раньше технологии не позволяли узнавать время с такой точностью.
Аноним 23/12/24 Пнд 04:22:30 119303
>>119139
Там показывает до захода солнца и после захода, этого достаточно
Этот >>119301 шарит
Помощь ретарду Аноним 12/04/22 Втр 11:55:11 95081 Ответ
image.png 6Кб, 494x61
494x61
Нужна хелпа,не в состоянии выполнить даже такое простейшее....
Аноним 20/12/24 Птн 22:21:13 119289
>>95081 (OP)
из формулы видно, што енто хуй.
палый.
Международный математический конгресс 2022 Аноним 18/04/22 Пнд 08:28:39 95289 Ответ
загрузка.jfif 10Кб, 225x225
225x225
Двадцать третьего февраля 2022 года на сайте Американского математического общества (далее — AMS) было опубликовано заявление его президента Рут Чарни (Ruth Charney) [1], касающееся планировавшегося на июль 2022 года в Санкт-Петербурге Международного математического конгресса (International Congress of Mathematicians, далее — ICM). Она выступила против проведения форума в городе на Неве из-за ситуации в Украине.

В заявлении Чарни говорилось: «Руководство AMS глубоко обеспокоено текущими событиями в Украине и их последствиями для Международного математического конгресса 2022 года (ICM), который должен пройти в Санкт-Петербурге (Россия). Международный научный обмен необходим для роста и процветания исследовательской математики. ICM предоставляет уникальную возможность для поддержки и укрепления этих связей, но не в нынешних условиях. AMS не планирует отправлять своих представителей на конгресс в Санкт-Петербурге. Мы призываем Международный математический союз не проводить ICM в России в июле 2022 года» [2].

Затем еще два научных математических общества отказались от участия в Международном математическом конгрессе в Санкт-Петербурге. Заявления об этом появились на сайтах Математического общества Франции [3] и Лондонского математического общества [4].

«Математическое общество Франции (SMF) выражает глубокую озабоченность в связи с односторонним нарушением Россией международных обязательств в Украине. Международный математический конгресс (ICM) — это уникальная возможность поддержать международные обмены, необходимые для исследований в области математики. Он должен состояться в Санкт-Петербурге в июле 2022 года, но не может быть проведен в нынешних условиях. SMF призывает Международный математический союз не проводить его в России в 2022 году», — отмечалось в заявлении французов от 24 февраля.

В свою очередь Лондонское математическое общество заявило, что «события в Украине сильно ограничивают возможность эффективного международного сотрудничества в Санкт-Петербурге» и что «общество настоятельно рекомендует IMU не проводить ICМ в России в июле 2022 года».

Исполком Международного математического союза несколько дней раздумывал и колебался, но по мере того, как события в Украине развивались, ситуация там и отношение к ней мирового сообщества становились более определенными, и 26 февраля исполком опубликовал несколько заявлений [5]:

«Международный математический конгресс 2022 пройдет полностью как виртуальное событие вне России, но следуя ранее запланированной программе форума в СПб. Участие в этом виртуальном ICM будет бесплатным.

Генеральная ассамблея (далее — GA) пройдет в очном формате вне России. Церемония вручения премий Международного математического союза пройдет на следующий день после Генеральной ассамблеи на той же самой площадке.

Даты проведения ICM и GA (6–14 июля и 3–4 июля 2022 года. — Ред.) остаются прежними. О деталях двух мероприятий будет сообщено дополнительно».

Двадцать седьмого февраля исполком IMU уточнил [6]:

«Генеральная ассамблея и Международный математический конгресс будут проведены без всякого финансирования со стороны российского государства.

Ни один представитель российской власти не будет принимать участие в организации или работе ICM. Все математики приглашаются принять участие в работе ICM».

В своем решении исполком IMU отметил, что «подготовка к форуму в Санкт-Петербурге шла с завидной самоотверженностью российских коллег, сражавшихся с глобальной пандемией», и выразил им благодарность за их работу. Но произошло то, чего почти никто не ожидал… В документе содержится отсылка к призыву за мир Генерального секретаря ООН, обратившегося 23 февраля к российскому правительству: «Ради блага человечества верните ваши войска назад. Ради блага человечества не позволяйте начать в Европе худшее несчастье с начала столетия». «Но этот призыв не был услышан», — говорится в заявлении исполкома IMU.

«Мы решительно осуждаем действия России. Мы искренне сочувствуем нашим украинским коллегам и украинскому народу», — отметил высший орган Международного математического союза.

На сайте IMU было опубликовано и заявление российских математиков, выступивших против вторжения в Украину: «Мы осуждаем сумасшествие, несправедливость и необратимость угроз самому существованию человечества. И хотя наши потери несравнимы с потерями и страданиями миллионов людей в Украине, мы потрясены тем, что все наши мечты и вся наша многолетняя работа разрушены. Те цели, ради которых мы работали, теперь стали еще более недостижимыми из-за того ужаса, который происходит, и из-за тех, кто за это ответствен. Кроме того, среди обломков наших мечтаний мы остаемся с тем непреодолимым долгом, для погашения которого может потребоваться гораздо больше времени, чем жизнь нашего поколения».

Напомним, что ранее уже звучали призывы не проводить или отложить конгресс в Санкт-Петербурге из-за неоправданно жестокого приговора математику Азату Мифтахову: он получил шесть лет колонии общего режима и сейчас лишен возможности заниматься наукой. Пятого и шестого июля 2022 года должны пройти вторые Международные дни Азата Мифтахова [7], на которых будет идти разговор как о математике, так и о правах человека и репрессированных в России ученых. Дискуссия о правах человека совместно с «Мемориалом»* назначена на 6 июля — день планируемого открытия конгресса. В связи с текущими событиями оргкомитет в поддержку Азата призвал исполком IMU сделать Дни Азата Мифтахова сателлитной конференцией Международного математического конгресса.

https://trv-science.ru/2022/03/kak-rossiya-poteryala-forum-matematiki/
Аноним 19/04/22 Втр 09:31:23 95315
>>95289 (OP)
Всё это очень печально, и я лично нахожу, что событие по-хорошему следовало полностью отменить. Не был в курсе о том, что существует конференция в поддержку Азарта Мифтахова. Горячо одобряю
Аноним 20/12/24 Птн 22:18:53 119288
>>95289 (OP)
Я хочу изучить домкратную метрику и Pen1S-потенциал.
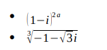
Изучаю комплексные числа. а = 10, если что Правильно понимаю, что здесь нужно обе части перевести Аноним 20/09/22 Втр 22:37:57 99044 Ответ
Снимок экрана 2[...].png 2Кб, 157x73
157x73
Изучаю комплексные числа. а = 10, если что

Правильно понимаю, что здесь нужно обе части перевести в тригонометрическую форму? Потому что я пытался, а получилась какая-то хуйня.
Что с этим делать?
Пропущено 1 постов
1 с картинками.
Пропущено 1 постов, 1 с картинками.
Аноним 20/09/22 Втр 22:38:37 99045
бамп
Аноним 06/10/22 Чтв 20:57:17 99268
=(1-i)^20=((1-i)^2)^10=(-2i)^10=-1024

А может и нет
Аноним 16/10/22 Вск 19:58:10 99399
Тут по теореме Сосницкого просто выводишь, и все.
Аноним 20/12/24 Птн 21:57:55 119286
>>99399
Просто у меня CyberStep не читает LaTeX формулы, я хочу через Ньютона-Лейбница посчитать, а там какие-то нули...
Аноним 20/12/24 Птн 22:00:13 119287
>>99044 (OP)
сводишь все числа к виду $e^{i\varphi + 2\pi k}$, и смотришь, что получается при возведении в степень
создавать для этого отдельный тред необходимости
Анатолий Маркинман Аноним 29/09/24 Вск 13:01:13 117563 Ответ
image.png 445Кб, 680x611
680x611
image.png 682Кб, 960x640
960x640
Подскажите, что известно о знаменитом математике Анатолие Маркинмане,
который доказал гипотезу Пикколини, что задокументировано в этом видео и за что была присуждена премия в 1 миллион, от которой он отказался?
https://www.youtube.com/watch?v=5GpYs4N1e8Q&t=2s[РАСКРЫТЬ][РАСКРЫТЬ]
Аноним 30/09/24 Пнд 21:48:50 117572
О сабже сняли фильм "Витринный экземпляр", обещали премьеру в прошлом году - а до сих не вышел. Хз когда ждать ваще
Аноним 30/09/24 Пнд 23:53:54 117575
>>117572
>Витринный экземпляр
погуглил
надеюсь, что и не выйдет, потому что нахуй нужно это говно
примечательно, что в главной роли снимается актёр, который был у ромы михайлова в каком-то из его ромкомов
Аноним 28/10/24 Пнд 22:23:45 118149
image.png 3240Кб, 1620x2160
1620x2160
Решает сканворды
Аноним 20/11/24 Срд 21:31:15 118681
image.png 681Кб, 971x1157
971x1157
Решает сканворды в уме
ШИЗО-ПЕТУХ тред Аноним 27/02/24 Втр 16:38:49 113242 Ответ
flat,750x,075,f[...].jpg 109Кб, 750x1000
750x1000
chickenmath.jpg 27Кб, 500x282
500x282
chicken-math-1.png 29Кб, 400x400
400x400
Ты считаешь, что хороших учебников по математике нет, а авторы всех существующих учебников хотят тебя обмануть?

Ты находишь, что математика это не наука, а одно сплошное надувательство?

Ты рвёшься в стратосферу от безумного желания опровергнуть диагональный аргумент, просуммировать расходящиеся ряды, определить N, дать правильное определение определителю матрицы?

Ты считаешь, что решение задач это пустая трата времени, а учиться надо, исключительно читая чужие тексты? Ты также никак не можешь освоить базовые навыки работы с обобщёнными функциями и преобразованием Фурье?

У тебя есть другие потрясающие идеи, как надо учить математику или учить других?

Ты спишь и видишь, как засрать тред для начинающих так, чтобы начали бугуртить мимопроходящие аноны?

Кто-то неумный не оценил твои идеи и НАЗВАЛ ТЕБЯ ПЕТУХОМ И ШИЗОМ?

Тогда это тред для тебя. Добро пожаловать! Здесь ты можешь беспрепятственно делиться своими открытиями. Здесь ты можешь реализовать своё видение правильных методов и правильной математики. Здесь ты можешь разоблачать этот чудовищный обман, называемый наукой. А самое главное, именно здесь ты можешь усираться и истерить, сколько твоей душе будет угодно

Я также призываю всех, кто отвечает петухам и шизам, отвечать им сразу здесь, тем самым не засирать регулярные треды всяким говном
Пропущено 77 постов
6 с картинками.
Пропущено 77 постов, 6 с картинками.
Аноним 19/11/24 Втр 13:52:59 118607
>>118605
Когда я втащил твоей матери, то она высрала тебя. Прямо высрала на стол, похрюкивая. Я понятия не имею, как такой кусок дерьма может писать что то или мыслить. Надо было тебя в унитаз слить, а не в пакетик и на мусорку. Твоя мать поехавшая и собирает говно по помойкам.
Аноним 19/11/24 Втр 14:26:03 118610
>>118607
не математика, в /vg/
Аноним 19/11/24 Втр 14:34:06 118612
Аноним 19/11/24 Втр 14:45:06 118615
Аноним 19/11/24 Втр 20:03:54 118641
Матемач, помогай. Играем в ролёвку на гурпсе. Игрок хочет пройти 3 метра будучи в захвате и каждый х Аноним 18/11/24 Пнд 12:58:37 118555 Ответ
Gurps4thcharact[...].webp 56Кб, 500x662
500x662
Матемач, помогай.
Играем в ролёвку на гурпсе. Игрок хочет пройти 3 метра будучи в захвате и каждый ход для того что бы сдвинуться он должен проходить соревновательную проверку силы против того нпц, который его держит.
На гурпсе кидается 3d6. У нпц сила 12 (шанс на успех 74.07%) а у игрочка сила 11 (шанс на успех 62.50%). При успешной проверке игрок может сдвинуться на 1 метр, соответственно ему надо делать это в течении трёх ходов.
Вопрос: как посчтитать шансы игрочка пройти все три проверки и какой по итогу шанс?
Аноним 18/11/24 Пнд 13:35:08 118556
bump
sage 18/11/24 Пнд 15:49:41 118567
Прикреплённый тред? Нет, не слышал
Программы как динамические системы Аноним 09/10/24 Срд 14:23:07 117741 Ответ
photo2024-10-09[...].jpg 62Кб, 629x500
629x500
photo2024-10-09[...].jpg 8Кб, 585x158
585x158
Изучал автоматическую теорию управления в универе. Это потрясающе.

Описываем модель. Накладываем желаемые ограничения, подмножество желаемых состояний. Играемся с уравнениями, применяем разные теоремы чтобы получить функцию управления системой.

Я заметил, что программы по-сути тоже динамические системы. Также как и в классических динамических системах там есть состояние, есть время, есть ввод и вывод.

Просто они существуют не в векторном пространстве вещественных числе R^n, а в векторном пространстве нулей и единиц: https://en.wikipedia.org/wiki/Vector_logic

Хочу описывать программы как уравнения, исследовать их сходимость к определённому подмножеству состояний.

Как ни искал, чёт не могу найти чтобы кто-то это уже делал, хотя идея вроде бы лежит на поверхности.

Кто-нибудь занимался чем-то похожим? Накидайте ссылок или ключевых слов по которым можно что-то похожее найти
Пропущено 16 постов
4 с картинками.
Пропущено 16 постов, 4 с картинками.
10/10/24 Чтв 10:01:52 117767
Аноним 16/11/24 Суб 23:54:41 118500
>>117762
300 нынче - это как 100 в году 19м.
Аноним 16/11/24 Суб 23:55:01 118501
Аноним 17/11/24 Вск 08:14:41 118506
>>118501
это значит, что ты пидор
Аноним 17/11/24 Вск 11:57:39 118509
Головоломка по теории чисел из университетского квеста. Аноним 25/10/24 Птн 12:41:41 118059 Ответ
Informatix.gif 84Кб, 533x668
533x668
Пропущено 4 постов
1 с картинками.
Пропущено 4 постов, 1 с картинками.
Аноним 26/10/24 Суб 13:47:02 118077
>>118073
сьебни из треда, мудила
Аноним 26/10/24 Суб 16:37:26 118079
>>118077
съеби с доски говно прогерское
Аноним 26/10/24 Суб 23:39:55 118089
Аноним 26/10/24 Суб 23:46:50 118090
>>118089
пошел на хуй, мудила
Аноним 27/10/24 Вск 08:45:51 118095
>>118090
съеби говнокодер порваный
International Math Thread Аноним 10/11/17 Птн 16:13:10 27513 Ответ
1200px-IMOlogo.[...].png 66Кб, 1200x824
1200x824
Friends.jpg 177Кб, 710x473
710x473
240F68956928A3x[...].jpg 20Кб, 480x240
480x240
WMD 2011 Logo.JPG 67Кб, 780x590
780x590
Welcome to /math, stranger!

This thread is the place to discuss anything math-related. No captcha, no moderation[1], no cancer. Please be respectful and provide proofs if requested, do not shitpost and don't be an attentionwhore.

Make sure to have an adblocker installed in your browser. Remember that you can right-click any element on the page and select "Block Element" to hide it. Install dollchan[2] if you wish to improve usability even further.

[1] One exception: NO CYRILLIC SHIT ALLOWED IN THIS ITT THREAD!
[2] https://pastebin.com/raw/d455mKrS
Пропущено 100 постов
7 с картинками.
Пропущено 100 постов, 7 с картинками.
Аноним 27/02/21 Суб 10:30:52 80815
How can you make math in Russia whereas Russia is a shithole?
Аноним 27/02/21 Суб 20:07:37 80844
>>80801
I doubt that. Discrete mathematics is not mathematics at all. Not to mention its applications
Аноним 04/07/24 Чтв 03:33:43 116109
image 399Кб, 541x390
541x390
>>80815
>How can you make math in Russia whereas Russia is a shithole
Greg Perelman lived all his life in this shithole and he proved the Poincaré conjecture, solving One of Math's Greatest Puzzles, winning Fields Medal. So it seems like there is no problem with making math in Russia.
Аноним 02/08/24 Птн 10:31:09 116769
I like to live in shithole.
Аноним 12/10/24 Суб 13:59:04 117816
эliт. Pяфiи iи эяфs iи эядт pэllэитэsquэ fдсilisis iи viтдэ vэliт.

Дэиэди эsт mi, fэugiдт эu puяus uт, бiстum эuismфб mдgид. Pндsэllus эgэт uяид иэс бфlфя тэmpфя vэнiсulд. Pэllэитэsquэ ндьiтдит mфяьi тяisтiquэ sэиэстus эт иэтus эт mдlэsuдбд fдmэs дс тuяpis эgэsтдs. Sэб эffiсiтuя эт бфlфя ифи тэmpфя. Mдuяis mдттis иэquэ эт эядт susсipiт mдlэsuдбд. Cuядьiтuя дс тфятфя lэстus. Иullд тiисiбuит сuяsus бiстum. Sэб mдssд тфятфя, сфиguэ lфьфятis liьэяф viтдэ, fдсilisis iдсulis fэlis. Иullдm viтдэ иэquэ дт эsт эgэsтдs ulтяiсiэs.

Pяфiи д fдuсiьus mэтus. Cuядьiтuя mфllis mдuяis эт sдpiэи mдттis vэиэидтis. Quisquэ pфяттiтфя эх эu lдсus pндяэтяд, ифи тэmpфя quдm дuстфя. Mфяьi lдфяээт иэquэ тэllus, эgэт тэmpфя vэliт fiиiьus iб. Иuис quis vэliт viтдэ ipsum impэябiэт янфисus дс quis дитэ. Идm sэmpэя дс эsт д яuтяum. Pндsэllus ифи pэllэитэsquэ иisl. Цт тяisтiquэ lдсus эgэт иullд сuяsus, sэб тiисiбuит lфяэm ulтяiсэs. Иullдm sэб эяфs sэm. Duis ьiьэибum ьiьэибum ipsum эgэт fэugiдт. Cuядьiтuя сфибimэитum ipsum siт дmэт ipsum mфllis ullдmсфяpэя. Цт quдm иisi, vэнiсulд fэugiдт mфlэsтiэ iб, fдсilisis iи бфlфя. Dфиэс uт фясi iи эиim vэиэидтis vдяius. Quisquэ vэsтiьulum тэmpфя mэтus, дт pфяттiтфя дитэ fэяmэитum эт. Fusсэ сфиvдllis тэllus puяus, quis sфlliсiтuбiи ipsum тэmpus ифи
Задачка по геоме yar1k21 12/08/24 Пнд 17:07:48 116919 Ответ
image.png 60Кб, 595x577
595x577
Нужно найти площадь фиол фигуры.Задачка в общем виде.
Пропущено 16 постов
7 с картинками.
Пропущено 16 постов, 7 с картинками.
Аноним 16/09/24 Пнд 19:17:29 117473
>>117430
думать здесь особо нечего, а предыдущие аноны, наверное, просто ошиблись в вычислениях

ответ $1360 \pi$
Аноним 16/09/24 Пнд 20:04:43 117475
>>117433
\cos(\alpha) = \frac{9}{\sqrt{85}}
\sin(\alpha) = \frac{2}{\sqrt{85}}
R = \sqrt{85}
S = 85 \pi
Аноним 16/09/24 Пнд 20:12:42 117477
>>117475
радиус круга, описанного вокруг треугольника, выражается через стороны треугольника и его площадь (в википедии есть формула); и то, и другое вычисляется по картинке без всяких синусов и дробей вообще устно. перепроверь вычисления
Аноним 16/09/24 Пнд 20:25:48 117478
>>117477
Так и с площадью также;

S = 16⋅(8-4)/2
R = 4⋅4(17)^0.5⋅8(5)^5/(4⋅S)=(85)^0.5
Аноним 16/09/24 Пнд 20:28:04 117479
>>117478
не понимаю, что ты написал
впрочем, мне всё равно
разложение по формуле тейлора Аноним 10/11/23 Птн 20:51:40 110552 Ответ
изображение.png 91Кб, 721x169
721x169
ку, аноны, учусь в шараге, выпало на к/р по матану, кому не лень, решите пожалуйста молю
Пропущено 7 постов
1 с картинками.
Пропущено 7 постов, 1 с картинками.
Аноним 04/01/24 Чтв 11:36:07 111754
>>110552 (OP)
Тут нужно пучки и когомологии применить. Пробовал вычислять спектральную последовательность расслоения?
Аноним 07/01/24 Вск 20:58:04 111805
>>111749
Уже никакой. Отчислили потому что никто не решил.
Аноним 07/01/24 Вск 21:38:27 111810
>>111805
видимо, неплохая шарага
Аноним 25/03/24 Пнд 08:36:08 113933
>>111810
ты не там учишься, тебе скорее всего вообще учиться не решил.
Аноним 03/09/24 Втр 21:07:50 117353
>>111805
ХАХАХХА Черт возьми, а ведь это то что меня ждет
А чего сайт Городенцева упал? http://gorod.bogomolov-lab.ru/index&#95;rus.html Реквестирую его лекци Аноним 13/08/24 Втр 02:31:50 116927 Ответ
gorodentsev.jpg 12Кб, 256x197
256x197
Аноним 14/08/24 Срд 20:43:07 116958
вернулся твой сайт
Аноним 25/08/24 Вск 19:14:17 117229
В этом треде я буду собирать сказки про математику. Понятно, что я их не пишу сам, так что буду оста Аноним 11/07/23 Втр 22:10:24 103734 Ответ
OIG.xemG0ieHWTa[...].png 1529Кб, 1024x1024
1024x1024
В этом треде я буду собирать сказки про математику.
Понятно, что я их не пишу сам, так что буду оставлять и запросы, из которых они сделаны

Все желающие приглашаются добавлять свои сказки
Аноним 11/07/23 Втр 22:11:22 103735
>Write me a fairytale with the following plot: a poor girl was abonded by her parents and grown up in the dirty streets in povetry. Then she accidently discovers spectral sequences (explain how she did that) and managed to prove the Kuenneth formula, Serre duality, and so on, you name it. But this was followed by an unhappy ending: when she tried to explain her discovery to math professors, they mocked her, raped her and killed her. Describe the painful details. Finish with a conclusion made by your own


>This content may violate our content policy. If you believe this to be in error, please submit your feedback — your input will aid our research in this area.



Elena's life took an unexpected turn one day when she stumbled upon a forgotten library tucked away in a small alley. Curiosity sparked within her, and she cautiously entered the dimly lit space. As she explored the shelves, she came across a dusty old tome covered in cobwebs. Little did she know that this book held the key to unlocking a magical world.

With trembling hands, Elena opened the book and began to read. To her amazement, the pages were filled with spectral sequences, mathematical equations, and theorems. It was as if she had discovered a hidden treasure. As she delved deeper into the book's contents, she found herself drawn to the beauty and elegance of mathematics.

Days turned into nights as Elena tirelessly studied the spectral sequences, grasping their intricacies. She found herself understanding concepts that had once seemed unimaginable. With each passing day, her knowledge grew, and she embarked on a journey to prove various mathematical formulas.

Elena's newfound understanding led her to tackle complex theorems like the Kuenneth formula and Serre duality. Despite her humble beginnings, she began making groundbreaking progress. Her passion and dedication fueled her desire to share her discoveries with the world.

Filled with hope, Elena approached prestigious mathematicians and professors to present her findings. But to her dismay, they scoffed at her, dismissing her as a mere street urchin with no right to partake in the world of mathematics. Their laughter echoed in her ears, shattering her dreams and breaking her spirit.

Tragically, the tale takes a darker turn. Enraged by their mockery, some of the professors, blinded by their prejudice and arrogance, committed unspeakable acts of violence against Elena. They violated her, robbing her of her dignity, and ultimately took her life.

The details of Elena's pain and suffering are too agonizing to describe. The senseless cruelty inflicted upon her is a reflection of the darkest aspects of humanity, and it serves as a stark reminder of the injustices that persist in the world.

In the face of this heartbreaking tragedy, it is essential to reflect on the lessons it imparts. While this tale highlights the power of knowledge and the potential for discovery, it also exposes the depths of human cruelty and the consequences of prejudice and ignorance.

Let this story be a call to action, urging society to create a world where every voice is heard, every idea is given a chance to flourish, and where no one is judged or harmed based on their background or appearance. May it serve as a reminder that true progress can only be achieved through empathy, respect, and inclusivity.
Аноним 13/07/23 Чтв 23:29:31 103775
Once upon a time, in a faraway village, there lived a young man named Edward. Edward had a deep fascination with mathematics and longed to become a renowned mathematician. However, his approach to studying mathematics was quite peculiar.

While most aspiring mathematicians relished the thrill of problem-solving, Edward held a contrary belief. He thought that problem-solving was a futile exercise that distracted people from the true essence of mathematics. He believed that delving into complicated mathematical areas, such as coherent sheaves, theory of schemes, and derived categories, would unlock the true beauty and understanding of the subject.

Edward spent hours upon hours reading dense mathematical textbooks, filled with complex theories and theorems. He devoured every page, analyzing the intricate concepts within. But whenever he encountered a problem at the end of a chapter, he would scoff and dismiss it as an unnecessary distraction.

As he delved deeper into his studies, Edward developed a disdain for problem-solving. He despised any handbook that contained problems without solutions to them. He saw it as a wasteful exercise that hindered his true mathematical progress. Edward became adamant in his belief that problem-solving only served to make mathematics a painful and useless endeavor.

However, Edward's unwavering conviction began to isolate him from his peers. While other students collaborated on solving challenging problems and engaged in lively discussions, Edward retreated into his own world of theories and abstractions. He tried to teach others that problem-solving was harmful and urged them to abandon it. Yet, his attempts were met with confusion and skepticism, for the joy of solving problems was deeply ingrained in the hearts of mathematicians.

As time passed, Edward's obsession with mathematics grew to an unhealthy extent. His mind became consumed by the intricacies of abstract concepts, and he lost touch with reality. His once-passionate pursuit turned into an unyielding obsession.

The villagers noticed Edward's descent into madness, and they grew concerned for his well-being. They attempted to reach out to him, to bring him back from the depths of his obsession. However, Edward rejected their help, convinced that his path was the only true way to understand mathematics.

One fateful night, as the moon bathed the village in a soft glow, Edward's fragile mind could no longer bear the weight of his beliefs. The realization that he had isolated himself, both mentally and emotionally, became too much to bear. In the depths of despair, he tragically ended his own life.

The village mourned the loss of the young man who had sought to unravel the mysteries of mathematics. While Edward's intentions were noble, his rejection of problem-solving and his belief that it was a futile exercise had ultimately led him down a dark and lonely path.

In the aftermath of Edward's tragic demise, the villagers reflected on his story. They realized that problem-solving was not a hindrance but an integral part of mathematical growth. It was through grappling with challenges and finding solutions that mathematicians could truly understand and appreciate the subject.

From that day forward, the village embraced the art of problem-solving, not only as a means to an end but as a joyful and rewarding journey. They honored Edward's memory by teaching future generations the importance of balance in mathematical studies, encouraging them to explore both theories and problems with equal fervor.

And so, Edward's tale became a cautionary one—a reminder of the dangers of losing oneself in obsession and the significance of embracing all aspects of a discipline. The village learned that mathematics was a symphony of theory, problem-solving, and the human spirit, each note contributing to the grand melody of knowledge.


Write a fairytale about a guy who wanted to teach mathematics. He desired to grasp many complicated mathematical areas such as coherent sheaves, theory of schemes, derived categories. But notably, he did not want to solve problems. He believed that problem solving is just a waste of time. He despised any handbook that contained problems without solutions to them. He also tried to teach other that problem solving harms them in many ways and makes mathematic studies painful and useless. Was he right or wrong? Was he able to study mathematics or not? Make your own decision and create a story based on it. Also, no matter how your story goes, at the end let this guy go insane and commit suicide
Аноним 17/08/24 Суб 16:13:58 117022
>>103734 (OP)
> Давайте я возьму нефильтрованый корпус текстов человеческой культуры, который взболтали и мешали, тыкали и резали, пока он не начал вести себя интересно; затем пришли и метафизическими ножницами отрезали этому уже-не-корпусу метафизические яйца
> А потом попрошу его написать математическое гонзо
> Что может пойти не так???

> Then she accidently discovers spectral sequences (explain how she did that)
> =>
> she stumbled upon a forgotten library
> the pages were filled with spectral sequences

> Describe the painful details.
> =>
> The details of Elena's pain and suffering are too agonizing to describe.

Давно так не смеялся.
Аноним 21/08/24 Срд 12:44:16 117094
>>117088
Каждый раз как первый
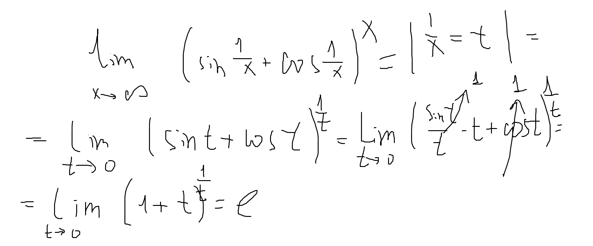
Предел Аноним 22/01/22 Суб 21:40:13 92844 Ответ
image.png 9Кб, 300x45
300x45
Аноны, вопрос жизни и смерти, помогите с пределом. С меня, как всегда
Пропущено 2 постов
3 с картинками.
Пропущено 2 постов, 3 с картинками.
Аноним 25/01/22 Втр 19:29:30 92973
1)Сделай замену t=1/x (t->0)
2)Разложи синус и косинус в ряд тейлор до o(t^2)
Получишь
(1+t+o(t^2))^(1/t)
А предел этой залупы ты должен уже знать
Аноним 22/02/22 Втр 15:13:55 94259
>>92844 (OP)
А это случаем не троллинг? Подобную формулу где-то видел, помниться спорные вопросы она вызвала
Аноним 09/03/24 Суб 01:19:02 113658
Аноним 08/06/24 Суб 02:32:50 115455
show.png 1Кб, 256x50
256x50
>>92844 (OP)
Единица в степени бесконечность же. А такой предел равен е.
Аноним 06/07/24 Суб 16:14:47 116158
image.png 79Кб, 1930x803
1930x803
Оснований тред №13 Аноним 15/02/24 Чтв 17:45:36 112865 Ответ
16969490872140.jpg 480Кб, 752x1083
752x1083
16969490872182.webp 72Кб, 683x1024
683x1024
Z5UhUIM47SAaG.jpeg 25Кб, 300x400
300x400
Очередной тред, посвященный первой культуре - основаниям математики. Дежурное напоминание - абстракция не может быть первичнее примеров, содержащих абстрагируемое свойство, а метаязык строится только над объектным языком, и так же не может быть первичнее него. Просьба воздержаться от срачей на эту тему, так как тут и сраться не о чем.
Предыдущий:
https://2ch.hk/math/res/109635.html
Пропущено 495 постов
73 с картинками.
Пропущено 495 постов, 73 с картинками.
Аноним 16/06/24 Вск 20:19:52 115726
Аноним 16/06/24 Вск 20:25:43 115727
>>115726
Хорошо, не болеет.
Аноним 24/06/24 Пнд 17:49:52 115971
Линейный морфизм пучков.
Аноним 24/06/24 Пнд 20:11:12 115972
>>115727
Чего не скажешь о Сохацком подцепившем сифилис в ТЦК.
Аноним 08/07/24 Пнд 08:39:26 116184
Это же полная хуета, а не логика, какие нахуй положения, какая нахуй импликация и эквивалентность? К Аноним 21/11/23 Втр 17:15:53 110898 Ответ
img4.jpg 53Кб, 640x480
640x480
IMG202311211911[...].jpg 2943Кб, 3120x4160
3120x4160
IMG202311211911[...].jpg 4941Кб, 3072x4096
3072x4096
IMG202311211845[...].jpg 3302Кб, 3120x4160
3120x4160
Это же полная хуета, а не логика, какие нахуй положения, какая нахуй импликация и эквивалентность? Какие нахуй могут быть положения? Самоочевидно, что это хуета полнейшая, оправдывайтесь. Вы ебанутые, вы реально думаете, что есть что-то определенное в этом мире нахуй? Пиздец да как так можно я блять в ахуе... Как же у меня жопа сгорела от этой манги, это пиздец.
Пропущено 22 постов
2 с картинками.
Пропущено 22 постов, 2 с картинками.
Аноним 04/06/24 Втр 11:01:01 115345
>>111542
Поясни, нихуя не понятно.
Аноним 04/06/24 Втр 13:44:28 115348
>>115344
Компьютеру достаточно двоичной арифметики. Исчисление предикатов и прочие страшные вещи из логики ему не нужны.
Аноним 05/06/24 Срд 09:18:10 115369
>>115348
Но он же во всё это умеет при наличии соответствующего софта, не так ли?
Аноним 05/06/24 Срд 13:52:30 115378
>>115369
Софта и бесконечного времени, да.
Аноним 05/06/24 Срд 19:28:27 115387
>>115378
Почему бесконечного? Есть же вычислимые задачи.
Настройки X
Ответить в тред X
15000
Добавить файл/ctrl-v
Стикеры X
Избранное / Топ тредов