Главная Юзердоски Каталог Трекер NSFW Настройки

Математика

Ответить в тред Ответить в тред
Check this out!
<<
Назад | Вниз | Каталог | Обновить | Автообновление | 18 11 8
ДОКАЗАТЕЛЬСТВО ГИПОТЕЗЫ РИМАНА!!!!!!!! Аноним 28/08/21 Суб 01:09:35 86898 1
125.jpeg 91Кб, 981x531
981x531
Сап Двач. Я доказал гипотезу Римана. Сейчас я вам тут всё распишу по красоте.
Аноним 28/08/21 Суб 01:19:06 86899 2
1.1.png 74Кб, 515x523
515x523
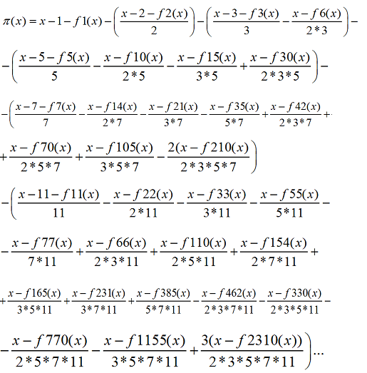
В данном разделе я представлю две формулы с помощью которых я доказал Гипотезу Римана. Это новая формула функции π(x) и новый метод интегрирования функции 1/ln(x).
Функция π(x) показывает сколько в данном числе x простых чисел. Простые числа — это числа, которые делятся только на себя и на единицу. Например: 2, 3, 5, 7 и так далее.
Формула функции π(x). (1.1, пик).

Доказательство:

Эта формула исключает из данного числа x все не простые числа, по правилам решета Эратосфена. Решето Эретосфена это метод, придуманный Эратосфеном Киренским для определения последовательности простых чисел. Алгоритм таков, если взять ряд из натуральных чисел без единицы:
2 3 4 5 6 7 8 9 10 11 12 13 14 15 16 17 18…
и исключить из него все четные числа, кроме самой маленькой из них, т.е. двойки, получится:
2 3 5 7 9 11 13 15 17…
А потом из этой получившейся последовательности исключить все числа которые делятся на следующее простое число после двойки, это число 3, не считая ее самой. Получится:
2 3 5 7 11 13 17…
Если так делать до бесконечности, то останутся только простые числа. Моя формула работает по такому принципу. Сначала формула исключает единицу из данного числа x, а потом количество всех четных чисел, кроме 2. Далее количество чисел, которые делятся на 3, кроме тройки, а из данного количества исключаются четные числа, которые которые делятся на 3 и т.д.
fn(x) обозначает самое минимальное число, которое надо исключить из x, чтобы получилось то число которое делится на n без остатка.
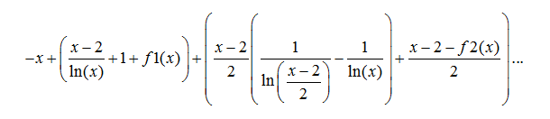
Аноним 28/08/21 Суб 01:24:31 86900 3
fn(x).png 5Кб, 801x499
801x499
График функции fn(x): (пик)
Область определения от (0;∞), область значения (0;n).

Каждое выражение в скобках содержит количество определенных не простых чисел не превосходящих x.
Рано или позно определенное выражение в скобках формулы π(x) будет равна нулю (1.1). Поэтому данная сумма не бесконечна.
Я не могу доказать математически формулу (1.1), но можно понять, что формула верна, исходя из того что ее функция напоминает решето Эретосфена. Можно сказать, что эта формула-аналитический вариант решета Эретосфена.
Аноним 28/08/21 Суб 01:27:16 86901 4
123.png 30Кб, 675x347
675x347
площадь.png 5Кб, 841x511
841x511
Формула функции Li(x) (1.2, пик):
Доказательство:

Все члены этой суммы это площадь прямоугольника под графиком функции 1/ln(x), бесконечное количество площадей прямоугольников сходятся к площади под графиком функции 1/ln(x), начиная с аргумента 2. А так как функция Li(x) это интеграл графика функции 1/ln(x), то формула (1.2) равна Li(x).
Аноним 28/08/21 Суб 01:29:37 86902 5
343а.png 6Кб, 410x402
410x402
Верхний правый угол всех прямоугольников лежат на определенной точке графика, а так как прямоугольников бесконечно много, то углы прямоугольников охватывают все точки графика от 1/ln(2) до 1/ln(x).
Аноним 28/08/21 Суб 01:31:32 86903 6
Итак, если Гипотеза Римана верна то

π(x) = Li(x) + Ο(√x∙ln x)
А если переделать это выражение то получится:
Li(x)-π(x)<√x∙ln x
Если доказать это неравенство то получится что Гипотеза Римана верна.
Аноним 28/08/21 Суб 01:35:01 86904 7
1б.png 4Кб, 610x132
610x132
2б.png 4Кб, 672x91
672x91
3б.png 8Кб, 684x190
684x190
4б.png 1Кб, 212x70
212x70
Подставив подставив выведенные формулы в неравенство получим (1б):
То есть (2б) при условии что x>2:
Преобразуем это выражение, для упрощения (3б):
Из этого можно сделать вывод что, если неравенство (4б) верно, а значит и гипотеза Римана верна. Проверим это.
Аноним 28/08/21 Суб 01:37:25 86905 8
5б.png 5Кб, 523x210
523x210
Если перенести все члены неравенства (4б) в правую часть неравенства, то получится (5б):
Первая разность этого выражения, при x>2, всегда отрицательна. А вторая разность отрицательна приблизительно лишь при x>10, но это не страшно, так как нас интересуют только большие аргументы, выражение (1.6) все равно будет верное.

Неравенство (5б) верное, значит и неравенство Li(x)-π(x)<√x∙ln x тоже верное, а значит гипотеза Римана верна, ч т д.
Аноним 28/08/21 Суб 01:52:07 86906 9
>>86905
брат, у тебя вторая разность становится положительной примерно при х>4000
Аноним 28/08/21 Суб 21:14:54 86920 10
>>86898 (OP)
Харкач как всегда на острие науки.
Аноним 29/08/21 Вск 16:10:53 86944 11
>>86899
Всем глубоко похуй
Аноним 30/08/21 Пнд 15:30:56 86962 12
>>86944
Возможно в этой тетрадке доказана гипотеза Римана
Аноним 31/08/21 Втр 00:45:05 86982 13
>>86962
Всем глубоко похуй
Аноним 31/08/21 Втр 17:03:28 86995 14
>>86898 (OP)
Помню, я думал, что доказал основную теорему алгебры с помощью одной лишь алгебры. А оказалось, что я просто вывел формулы Горнера. Лол.
Аноним 01/09/21 Срд 00:42:20 87012 15
>>86995
Завидую тебе. Ты вот умный, а я тупой, иногда даже над доказательствами в книгах туплю.
Можешь рассказать подробнее как доказывал?
Аноним 08/09/21 Срд 06:22:14 87197 16
>>86903
Ты определение бесконечно малой знаешь?
Аноним 11/09/21 Суб 21:56:40 87277 17
>>86898 (OP)
Так ты доказал или нет?
Судя по всему, ты пришёл к эквивалентной формулировке гипотезы римана, но так её и не доказал...

Как ты вообще её додуплил эту гипотезу?
Я вот пытался понять что она значит, по этому видосу: https://www.youtube.com/watch?v=KfKcWAnsG_s
и так и не понял как генерится та радужная полуплоскость, где половина её очевидна на ней. Тараканы памагити.
Аноним 12/09/21 Вск 11:37:59 87282 18
>>87277
А разве это не общее неравенство, частным случаем которого является гипотеза Римана?
Настройки X
Ответить в тред X
15000
Добавить файл/ctrl-v
Стикеры X
Избранное / Топ тредов