Главная Юзердоски Каталог Трекер NSFW Настройки

Математика

Ответить в тред Ответить в тред
Check this out!
<<
Назад | Вниз | Каталог | Обновить | Автообновление | 18 5 9
Решил я тут закинуться лямбда-счислением, потихоньку Аноним 21/03/19 Чтв 17:25:36 51205 1
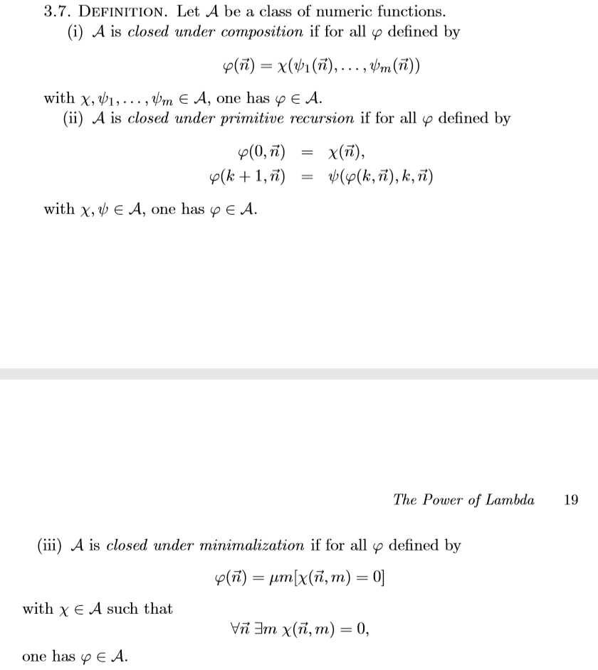
1.jpg 210Кб, 1166x856
1166x856
2.jpg 129Кб, 840x942
840x942
Решил я тут закинуться лямбда-счислением, потихоньку подобрал материалов от-простого-к-сложному и вот уже буксую вроде на довольно ознакомительной работе:
Barendregt - Introduction to Lambda Calculus (2000)
http://www.cse.chalmers.se/research/group/logic/TypesSS05/Extra/geuvers.pdf

До третьей главы всё хорошо идёт, а там на 3.5 становится сомнительно, и где-то до пункта 3.8 уже вообще едва что понятно.
Я хочу хотя бы догадываться, но текст не вводит определений символов и понятий, и оно вдобавок едва ли гуглится. При этом есть все основания полагать что та же "А" в странном шрифте явно что-то конкретное должна значить.

Может кто-нибудь вкратце объяснить что именно там доказывается, или чего покурить чтобы спокойно читать эти вычурные мат.символы?

Аноним 21/03/19 Чтв 17:46:45 51206 2
>>51205 (OP)
>ри этом есть все основания полагать что та же "А" в странном шрифте явно что-то конкретное должна значить.
написано - пусть а класс числовых функций, то и значит.
Обведи кружочком что тебе неясно.
Аноним 22/03/19 Птн 05:53:14 51229 3
1.jpg 232Кб, 1166x856
1166x856
2.jpg 129Кб, 840x942
840x942
>>51206
Ну давай если совсем честно по пунктам:

1) Что здесь значит множество натуральных чисел в степени?
2) Какому понятию в русской математике это самое "p-ary" должно соответствовать?
3) Автор взял эту U внезапно и она явно должна иметь какое-то название, учитывая вполне конкретное поведение. Что характерно, выше по тексту автор не даёт указанчий что S там - это то что везде зовётся successsor'ом.
4) Учитывая что он там заявлется либо мю должно иметь конкретный смысл и собственное название, либо P. При этом m почему-то хотя и обзывается номером уже не следует ранее принятым написаниям номеров ни в одной из двух введённых нотаций.
5) Учитывая курсив и новый текрмин я могу сделать вывод, что под А подразумевается некая конкретная алгебраическая структура. Зная о чём речь я хотя бы могу иные определения посмотреть и тогда 3.6(i-iii)
6) Представляет ли собой отдельные стандартные сущности эти X и пси?

Аноним 22/03/19 Птн 05:53:39 51230 4
2.jpg 136Кб, 840x942
840x942
>>51229
Обводка отклеилась.
Аноним 22/03/19 Птн 07:44:23 51231 5
>>51229
1. Гуглится за 5 секунд ("степень множества"). Читай основы теории множеств про степень множества, кортежи/tuples/декартово произведение и проч. базовые вещи.
2. Гуглится за 5 секунд ("арность"). Опять же, читай основы про декартово произведение, отображения, арность операций.
3. В чём вопрос? Функция U - проектор, основы теории множеств и гуглится легко. Функция S здесь же и определяется, не вижу проблем.
4. В чём вопрос? Смысл функции дан, это номер по определению, но это не значит, что любой номер это мю.
5. В чём вопрос? Ничего не подразумевается, определение работает для любого множества, вводятся понятия замкнутости относительно различных операций.
6. "Отдельные стандартные сущности" - такой язык мне не знаком. Все функции кроме фи произвольные из этого множества.

Теперь мой пронумерованный список.
1. Выражайся яснее.
2. У тебя пробелы в базовой математической культуре, в частности совершенно обычных понятиях из теории множеств. Тебе не нужно читать весь учебник на эту тему, всякие zfc и прочие леммы цорна, но основные объекты тебе должны быть знакомы, жто уровень первого или второго семестра первого курса.
Аноним 22/03/19 Птн 10:40:44 51242 6
>>51231
>проектор
Не помню такого в теории множеств, гуглится только линейная алгебра.
Аноним 22/03/19 Птн 10:47:08 51243 7
Аноним 22/03/19 Птн 10:52:57 51244 8
>>51231
> Гуглится за 5 секунд ("степень множества")
Замечательно конечно, но именно такой запрос в ггуле выдаёт почему-то другие вещи.
Я сейчас склонен считать, что в (1) записан маппинг (не знаю как по-русски правильно) для функции от p аргументов. Вот только текст не даёт мне никаких оснований полагать что именно эта интерпретация верна или хотя бы подразумевалась автором.
>Гуглится за 5 секунд ("арность")
Опять же, откуда мне из текста знать что автор имеет в виду именно это, а не что-либо другое? У меня тоже первая мысль что речь идёт о простой валентности\арности. Но окончательный ответ из текста я получить не могу.
>Функция U - проектор, основы теории множеств и гуглится легко
Откуда мне об этом названии догадываться (кроме как заранее знать определение и свойства проектора и уже после догадываться что имелось в виду), если в других пособиях ту же самую нотацию могут использовать для совершенно других вещей?
>Функция S здесь же и определяется, не вижу проблем.
Проблема в том, что её название по которому она и ищется в литературе, интернете и ещё где-либо появляется в тексте лишь многим позже.
>это не значит, что любой номер это мю
Там вообще любая латинская буква курсивом - это лямбда-выражение. Если внезапно вводят новую букву, ещё и греческую, то только и остаётся что подозревать здесь нечто специфичное.
>Ничего не подразумевается, определение работает для любого множества, вводятся понятия замкнутости относительно различных операций.
Это ясно, но почему понадобилось при этом вводить термин "класс" и почему вдруг используется редкий шрифт?
>"Отдельные стандартные сущности" - такой язык мне не знаком.
"принятые допущения", если угодно.
Я не понимаю как исходя из текста понять что речь X тут произвольная функция, а не какая-то конкретная. И, в зависимости от ответа уже зависит как мне воспринимать i-iii.


>У тебя пробелы в базовой математической культуре
Что есть то есть, в том году была попытка вторую вышку хватануть специально чтобы заполнить пробелы, но по деньгам не потянул.
>Читай основы теории множеств про степень множества, кортежи/tuples/декартово произведение и проч. базовые вещи
Это довольно охуенный совет, вот только я только потому с вопросом в интернет и вышел, что листая разные пособия не могу найти аналогичные описания.
Ну и очевидности - для мат.литературы вообще очень характерно вместо сыпать буквами и символами, про которые даже не сказанно как их человеческим языком произносить, при этом в разных местах могут варьироваться написания и даже системы записи.


А вообще спасибо большое, помогло в целом.
Аноним 22/03/19 Птн 11:08:30 51246 9
>>51244
>н маппинг (не знаю как по-русски правильно) для функции от p аргументов.
Map это отображение, синоним функции, в 1 написано, что ф отображение из Np -> N, Np это NxNxNxNx..xN раз, то есть множество всех упорядоченных кортежей длины p/упорядоченных пшек/(x1, x2, x3, ..., xp), где каждое xi пробегает по всем натуральным числам. Закрой эту книгу, тебе слишком рано такое, возьми книгу по основам теории множеств, например, Верещагин Шень теория множеств.
Аноним 22/03/19 Птн 11:10:01 51247 10
>>51244
А нафига тебе вообще Барендрехт? У него все довольно абстрактненько и с чисто теоретической стороны. Если тебе лямбды интересны с точки зрения практики, лучше навернуть что-то попроще и даже с привязкой к условному хачкилю.
Аноним 22/03/19 Птн 11:10:21 51248 11
>>51246
>отображение из Np -> N, Np
Np -> N, Np
фикс
Аноним 22/03/19 Птн 11:20:41 51250 12
>>51246
>Np это NxNxNxNx..xN раз
Так это я уже сообразил. В той же дискретке подобное постоянно встречалось но таки в другой форме записи.
>возьми книгу по основам теории множеств
Смотри, я уже делал это ранее, однако если в дальнейшем я сталкиваюсь с другой формой записи без вербальных пояснений - могу впадать в ступор от того что текст уже не даёт однозначных прочтений.
>>51247
Попался в среди библиографии одной книги как материал "чуть выше среднего".
>Если тебе лямбды интересны с точки зрения практики, лучше навернуть что-то попроще и даже с привязкой к условному хачкилю.
Если проще и только для практики, то это, как правило, совсем энтрилевел. Который ещё и одинаковый везде.
Аноним 22/03/19 Птн 12:17:59 51255 13
>>51250
>совсем энтрилевел
т.е. Nederpelt, Geuvers слишком просто для тебя?
Аноним 22/03/19 Птн 13:21:30 51256 14
>>51244
Анон, я вообще физик, которому лямда-исчисление ну совершенно не интересно и я им никогда не занимался. Тот факт, что мне абсолютно каждое слово и определение из твоей картинки очевидны (не просто понятны, а тривиальны) говорят о том, что ты просто мало читал математики вообще и на англицком в частности. Ничего страшного, с практикой скилл подкачается, тот тут спросишь, то ещё на каком стэковерфлоу загуглишь. Но мне кажется, что тебе сначала нужно где-то достать более базовые знания, иначе пойдёт всё со скрипом.

Например, идея проекции - тривиальна, здесь неважно, как это называть, смысл один и тот же что в линейке, что в теории множеств (кстати, гуглится это нормально - wiki projection set theory выдаёт то, что надо). "Class" может использоваться как аналог "family" и в этом контексте просто означает "набор", "множество". Про функцию хи сказано, что она из А, это всё, не нужно додумывать себе авантюрный роман. Обзови её пси ноль для пущей consistency.

Может, оно и хорошо, что ты начал с этой книжки - теперь ты знаешь, что нотация может быть какая угодно, и с опытом ты будешь всё быстрее понимать, что имел ввиду автор.
Аноним 22/03/19 Птн 13:34:19 51257 15
>>51256
>"Class" может использоваться как аналог "family" и в этом контексте просто означает "набор", "множество". Про функцию хи сказано, что она из А, это всё, не нужно додумывать себе авантюрный роман
А вот тут не всё так однозначно. В математике в самом деле есть моменты что написанная другим шрифтом буква может означать принципиально иную вещь. Вплоть до того что формула уровня "А, Б принадлежит В" вне контекста может значить буквально что угодно.
Аноним 22/03/19 Птн 15:22:10 51260 16
>>51257
Я тебе написал свою интерпретацию, которую считаю очевидной и однозначной в этом контексте. С чтением куда более сложной как математики, так и физики на английском у меня лично проблем нет.
Аноним 24/03/19 Вск 09:22:13 51313 17
>>51257
в натуре, там же прямо написано

>Let $\mathcal A $ be a class of numeric functions

Это значит, что $\mathcal A$ есть множество "числовых функций" и больше ничего эта буква не обозначает. что не так?
Аноним 29/03/19 Птн 10:30:57 51549 18
>>51256
Аглицкий тут даже ни при чем, чувак просто открыл первую математическую книгу для себя и просит пояснить за алфавит математики на мертвой доске.
Настройки X
Ответить в тред X
15000
Добавить файл/ctrl-v
Стикеры X
Избранное / Топ тредов