Главная Юзердоски Каталог Трекер NSFW Настройки

Математика

Ответить в тред Ответить в тред
Check this out!
<<
Назад | Вниз | Каталог | Обновить | Автообновление | 515 68 211
Официальный анализа тред №1 Аноним 25/10/16 Втр 12:50:36 4 1
226Кб, 500x619
500x619
Новая официальная нить, в которой изучаются пучки на многообразиях вообще и категория банаховых пространств в частности, а также все сопутствующие штукенции. Можно брать интегралы.
Аноним 25/10/16 Втр 16:22:16 11 2
О, ламповая досочка. Будем дифференцировать-интегрировать всем харкачем.
Аноним 25/10/16 Втр 16:40:56 12 3
Все теоремы матанализа либо очевидны либо ненужны.
Аноним 25/10/16 Втр 16:53:48 13 4
>>4 (OP)
Пучки - это не анализ, так!
Аноним 25/10/16 Втр 17:39:38 14 5
>>4 (OP)
Алсо, анализ не нужен.
Аноним 25/10/16 Втр 17:39:43 15 6
Есть два стула. На одном вектора ортогональные, на другом -- комплексы симплициальные. Куда сам сядешь, куда научрука посадишь?
Аноним 25/10/16 Втр 17:45:51 16 7
>>13
Только пучки и являются анализом.
Аноним 25/10/16 Втр 17:47:28 17 8
>>15
Пропущу себя через поток Риччи. Мать выкину.
Аноним 25/10/16 Втр 17:50:39 18 9
>>16
Ложь. Не нужно сюда свой анализ приплетать, пучки - есть привилегия алгеометров.
Аноним 25/10/16 Втр 19:50:40 36 10
>>18
Нет, пучки - это анализ.
Аноним 25/10/16 Втр 20:38:27 46 11
>>36
Пиши определение пучков, потом определение анализа а потом в каком месте они связанны.
Аноним 25/10/16 Втр 20:43:26 48 12
>>46
Натуральные числа определив, взялися определять анализ?
Аноним 25/10/16 Втр 20:48:19 50 13
Это что, математиков пидорнут из /sci?
Аноним 25/10/16 Втр 20:52:48 51 14
>>50
Это математики сами оставили этот гниющий /sci с его модератором. Это математики пидорнули из себя /sci, а не наоборот.
Аноним 26/10/16 Срд 13:50:58 94 15
ну чо антоши как анализы, чо там нужно чтоб стать великим матиматиком?
Аноним 26/10/16 Срд 15:09:24 98 16
>>94
программу вербита осилить.
Аноним 26/10/16 Срд 18:50:52 126 17
Аноним 26/10/16 Срд 22:30:50 153 18
>>126
Не осилил?
Аноним 31/10/16 Пнд 19:02:40 605 19
.png 12Кб, 575x54
575x54
Понятно, что для любой композиции сдвига и ротации будет одна неподвижная точка, но если от этого еще и гомотетию меньше 1 взять (или вообще любую кроме 1), то каким нахуй образом эта точка останется неподвижной, если только специально её центром гомотетии не взять (но это противоречит условию ЛЮБАЯ композиция).

Вроде на стаке поясняли, но линалом. А тут без линала должна решаться задача, так что нахуй то говнорешение.



Альзо как доказать биноманальную формулу ньютана индукцией без всякой комбинаторики?
Аноним 31/10/16 Пнд 21:25:07 636 20
>>605
Братишка, там вообще не нужна индукция. Можно и так, но, при переходе от бинома к мультиному, ты жидко обосрешься.

Там проще рассуждение. (a+ b)^ n = (a+b)(a+b)...(a+b). Что будет, если попытаться раскрыть все скобки сразу? Сумма мономов вида a^ib^(n-i), осталось найти коэффициент. А сколько будет таких мономов с фикс. степенью? Число сочетаний из n по i, ну ты понел.
Аноним 01/11/16 Втр 03:39:19 659 21
Nu puchki eto vse taki vzglyad algebraista na analiz. Zachastuu sil'nie analitiki - eto te, kto ochen' virtuozno vladeet tehnikami svyazanimi s ocenkami, shodimostyami, chuvstvuet tonkosti v povedenii razlichnih diff operatorov, znaet chem local trace class luchse chem nuclear class i td
Vot Mariya Vyazovskaya nedavno poluchila resultat pro 8 i 24 spheri:
https://www.researchgate.net/profile/Maryna_Viazovska/publication/298738892_The_sphere_packing_problem_in_dimension_8/links/56eaa98008ae95fa33c8340a.pdf
vot eto kak bi analiz. A cohomologii puchkov na diff mnogoobraziyah schitat', eto konechno toje veselo (Eshe veselee daje!), no ne analiz.
Аноним 01/11/16 Втр 21:00:48 728 22
q3kMLzWnUmk.jpg 114Кб, 977x818
977x818
Доказал критерий сходимости Коши через лемму Больцано-Вейерштрасса, показал расходимость гармонической последовательности, спрашивайте свои ответы
Аноним 01/11/16 Втр 22:12:36 739 23
>>659
Kaledin, eto ti, suka?
Аноним 04/11/16 Птн 16:27:56 1060 24
>>605
слушь, мудак

x->x+a
y->y+b

x->(x+a)cost+(y+b)sint
y->-(x+a)sint+(y+b)cost

x->k((x+a)cost+(y+b)sint)
y->k(-(x+a)sint+(y+b)cost)

неподвижная точка

x=k((x+a)cost+(y+b)sint)
y=k(-(x+a)sint+(y+b)cost)

x(1-kcost)-yksint=k(acost+bsint)
xksint+y(1-kcost)=k(-sint+bcost)

чтобы решение существовало, детерминант должен быть отличен от нуля

det=(1-kcost)^2+(ksint)^2=1+k^2-2kcost!=0
очевидно что если k>0, найдется t, что det=0
сл., при k<0 всегда есть неподвижная точка

Аноним 06/11/16 Вск 23:13:00 1242 25
>>728
Что лучше - "Столичная" или "Русский стандарт"?
Аноним 06/11/16 Вск 23:47:16 1245 26
>>1242
обрати внимание на казенку
Аноним 08/11/16 Втр 11:36:29 1461 27
>>1060
> линейная алгебра
Учись читать, школьник.
Аноним 09/11/16 Срд 16:09:40 1657 28
>>4 (OP)
Чем анализ отличается от алгебры?
Аноним 09/11/16 Срд 17:02:28 1660 29
>>1657
Алгебра - подраздел анализа.
Аноним 09/11/16 Срд 18:21:59 1669 30
>>1660
Ты не ахуел ли, браток?
Аноним 09/11/16 Срд 18:45:45 1673 31
>>1669
Анализ уже выучил?
Аноним 09/11/16 Срд 19:04:53 1678 32
>>1673
Открыл когда-то, а там какие-то последовательности, и закрыл от греха подальше.
Аноним 09/11/16 Срд 20:21:28 1687 33
>>1678
У меня так с алгебраической геометрией было. Открыл, а там какие-то цепные комплексы, расслоения, ну и санина же. Закрыл сразу.
Аноним 09/11/16 Срд 22:47:18 1747 34
>>1687
Это не так скучно. Любой от бесконечных мантр аля "Найдется такой э > 0, что начиная с некоторого N a_n - a_m < э для любых n, m > N" сойдет нахуй с ума.
Аноним 09/11/16 Срд 22:50:19 1752 35
>>1747
Будто кольца интересней. Или модули над ними.
Аноним 09/11/16 Срд 22:52:59 1754 36
>>1752
Да. Сразу мощь чувствуется, аж течь начинаешь.
Аноним 09/11/16 Срд 22:54:34 1755 37
>>1754
Ну это только для извращенцев. Я предпочитаю более традиционную математику, с интегралами и производными. Алгебраическая геометрия - зашквар.
Аноним 09/11/16 Срд 22:57:29 1757 38
>>1755
Окей, дорогой.
Аноним 09/11/16 Срд 23:02:50 1760 39
>>1757
Я надеюсь, что ты не заражен алгебраическим спидом.
Аноним 10/11/16 Чтв 18:04:50 1903 40
Эй, аналитики. Вопросы к вам:
1) Почему в учебниках по анализу вводятся аксиомы ТМ, потом аксиомы N, а потом (sic!) аксиомы R, не связывая их между собой, когда по сути после аксиом ТМ остальное теоремы?
2) Почему предполагается, что тупые читатели анализа не знаю азов алгебры, и им надо как дебилам жевать R это линейно упорядоченное нетривиальное архимедово поле, вместо одной этой фразы? Мало того, что R1 это сам по себе просто интересный частный случай, так он еще и расписывается через такой же интересный частный случай алгебры.
3) Зачем давать три разных определения вещественных чисел (опять же, не связывая это с натуральными), доказывать их эквивалентность, а потом рассказывать, что вещественные числа это пополнение рациональных? Разве это все не должно быть в книжке по истории анализа, а не по самому анализу?
4) Зачем давать три разных определения непрерывности вещественных чисел, затем выводить их через друг-друга ("полезное упражнение"), хотя этим свойством уже обладают рациональные числа?
5) На кой нужны именные теоремы, если можно просто писать Коши-Вейерштрасс-Дедекинд-Кантор-Гильберт-Гейне-Больцано-Борель к каждой?
Аноним 10/11/16 Чтв 18:21:27 1914 41
>>1903
>тупые читатели анализа
Ты сам ответил.
Аноним 10/11/16 Чтв 18:30:09 1917 42
>>1903
>потом (sic!) аксиомы R,
Что тут не так?
>Почему предполагается, что тупые читатели анализа не знаю азов алгебры, и им надо как дебилам жевать R это линейно упорядоченное нетривиальное архимедово поле, вместо одной этой фразы?
Чтобы читетаель мог в катится в анализ не зная алгебры, идиот. Ещё скажи, что первое что должен учить математи - алгебра.

>Зачем давать три разных определения вещественных чисел (опять же, не связывая это с натуральными), доказывать их эквивалентность, а потом рассказывать, что вещественные числа это пополнение рациональных?
Чтобы у человека сложилось более общее представление о предмете.

>Разве это все не должно быть в книжке по истории анализа, а не по самому анализу?
Нет.
>Зачем давать три разных определения непрерывности вещественных чисел, затем выводить их через друг-друга ("полезное упражнение"), хотя этим свойством уже обладают рациональные числа?
А что ты предлагаешь дать одно для рационального? А потом для действительного?

> На кой нужны именные теоремы, если можно просто писать Коши-Вейерштрасс-Дедекинд-Кантор-Гильберт-Гейне-Больцано-Борель к каждой?
Хуёвая идея. Очень хуёвая.
Аноним 10/11/16 Чтв 18:53:13 1925 43
>>1917
>Что тут не так?
Пропущены рациональные числа. Даются ничем не обоснованные аксиомы с пометкой: поверь в них.

>Чтобы читетаель мог в катится в анализ не зная алгебры, идиот. Ещё скажи, что первое что должен учить математи - алгебра.
Далеко он без алгебры не уйдет.

>Чтобы у человека сложилось более общее представление о предмете.
Это не ответ. Человеку прежде всего надо знать как работать с действительными числами, а не изучать как их строили динозавры.

>А что ты предлагаешь дать одно для рационального? А потом для действительного?
Доказательство аксиомы? Верность для R при верности для Q это прямое следствие.

>Очень хуевая
Да я зуб даю никто нихуя не помнит, о чем там Кантора-Гейне, Гейне-Бореля, Больцано-Коши и прочие бессмысленные сочетания фамилий, доказывавших какую-то тривиальщину.
Аноним 10/11/16 Чтв 19:05:23 1929 44
>>1925
>Пропущены рациональные числа. Даются ничем не обоснованные аксиомы с пометкой: поверь в них.
>Доказательство аксиомы? Верность для R при верности для Q это прямое следствие.
Ты обосрался.
https://ru.wikipedia.org/wiki/%D0%9D%D0%B5%D0%BF%D1%80%D0%B5%D1%80%D1%8B%D0%B2%D0%BD%D0%BE%D1%81%D1%82%D1%8C_%D0%BC%D0%BD%D0%BE%D0%B6%D0%B5%D1%81%D1%82%D0%B2%D0%B0_%D0%B4%D0%B5%D0%B9%D1%81%D1%82%D0%B2%D0%B8%D1%82%D0%B5%D0%BB%D1%8C%D0%BD%D1%8B%D1%85_%D1%87%D0%B8%D1%81%D0%B5%D0%BB
войство системы действительных чисел R , которым не обладает множество рациональных чисел Q .
Аноним 10/11/16 Чтв 19:08:49 1930 45
>>1929
Там ниже специально для таких как ты показано, что не хватает рациональным числам для этого. Зато аксиома архимеда ака архимедовость поля определена и там, и там.
Аноним 10/11/16 Чтв 19:09:19 1931 46
Аноним 10/11/16 Чтв 19:26:06 1936 47
>>1931
ну концептуально хорошо, как кто-то будет учиться по ней, не знаю.
Аноним 10/11/16 Чтв 19:27:07 1937 48
>>1931
алсо сразу можно угадать, чем занимается по жизни автор
Аноним 10/11/16 Чтв 19:27:42 1938 49
>>1936
А там именно Advached Calculus или Real Analysis? Не пойму.
Ещё не пойму, зачем он добавил дифференциальные уравнения. Какой смысл?
Аноним 10/11/16 Чтв 19:27:58 1939 50
Аноним 10/11/16 Чтв 19:35:09 1942 51
>>1939
Руководит институтом Макса Планка
Аноним 10/11/16 Чтв 19:42:04 1943 52
>>1942
Тогда всё ясно.
Аноним 10/11/16 Чтв 19:42:11 1944 53
>>1939
дифференциальной геометрией и матфизикой.
Аноним # OP 22/11/16 Втр 22:00:53 3697 54
Пожалуйста, прикрепите тред.
Аноним 23/11/16 Срд 22:20:52 3766 55
Аноним 24/11/16 Чтв 22:03:43 3814 56
Подскажите годную литературу по гармоническому анализу.
Можно англоязычную.
Аноним 25/11/16 Птн 13:01:45 3827 57
>>3814
Очевидный Рудин очевиден.
Аноним 26/11/16 Суб 06:06:45 3857 58
>>3827
Рудин - это не калькулус случаем?
Аноним 26/11/16 Суб 15:23:17 3878 59
>>3857
а евклид это не алгоритм?
Аноним 26/11/16 Суб 15:30:05 3879 60
>>3878
Иди нахуй, мудак.
Аноним 26/11/16 Суб 16:52:09 3883 61
Поясните за complex convexity и зачем он нужен
Аноним 26/11/16 Суб 17:57:10 3885 62
>>4 (OP)
это тред о функциональном анализе или о математическом?
Аноним 26/11/16 Суб 19:42:11 3892 63
comicsoloorig13[...].jpg 145Кб, 794x619
794x619
Братик, расскажи в кратце что такое пучки не математик, из образования школа и быдлотехнарский универчик
Аноним 27/11/16 Вск 03:19:15 3912 64
>>3892
Ну вот есть множество непрерывных функций на [0..1], C([0..1]->R). Это, конечно, кольцо и даже R-алгебра, но это и нечто чуть чуть больше. Ведь если у нас есть функция f \in C([0..1] -> R) мы можем её ограничить и получить функцию f|_(1/3..2/3) \in C( (1/3..2/3) -> R). С другой же стороны, если у нас есть две функции g \in C([0..2/3) -> R) и h \in C((1/3..1] -> R) такие, что они равны на 1/3..2/3 то мы можем их "склеить" и получить функцию f \in C([0..1] -> R).
Вот эти две дополнительные структуры (ограничение у функции области определения и склейка по нескольким функциям одной) и определяют некоторую дополнительную структуру - структуру пучка.
Аноним 27/11/16 Вск 03:21:56 3913 65
>>1903
> Почему в учебниках по анализу вводятся аксиомы ТМ, потом аксиомы N, а потом (sic!) аксиомы R, не связывая их между собой, когда по сути после аксиом ТМ остальное теоремы?
Проиграл с алгебраиста. А аксиомы группы у тебя, случайно, не теоремы?
Аноним 27/11/16 Вск 14:39:59 3922 66
>>3913
Теоремы. Мы же не объявляем объект группой, а выясняем, является ли он группой.
Аноним 27/11/16 Вск 15:03:05 3923 67
>>3922
Какой ещё объект? Вот у тебя в учебнике написано, группой называется пара (G,*) с аксиомами такими-то такими-то. Это аксиомы или теоремы?
Аноним 27/11/16 Вск 16:30:31 3926 68
sheaf.png 6Кб, 585x323
585x323
>>3912
Ясно, спасибо. Я так понял пучки позволяют, например, как-то проще говорить о топологии пространств, в частности о непрерывности, переходя от непрерывности на открытых подмножествах к непрерывности на всём пространстве и наоборот? Ну и вообще переносить локальные свойства на всё пространство и глобальные свойства на куски пространства.

Алсо, глупый вопрос: почему использовали слово "пучки"? Потому что если нарисовать, что они делают по сути получится пикрелейтед?
Аноним 27/11/16 Вск 17:02:40 3929 69
>>3923
Вообще трудный вопрос. Для теории групп, наверное, аксиомы, а в более сильной теории теоремы.
Аноним 27/11/16 Вск 17:08:27 3930 70
>>3929
Ну разберись с этим трудным вопросом сначала, а потом претензии предъявляй.
Аноним 27/11/16 Вск 17:10:23 3931 71
>>3926
Да, вроде того.
>Алсо, глупый вопрос: почему использовали слово "пучки"? Потому что если нарисовать, что они делают по сути получится пикрелейтед?
Ну Гротендик вообще любил аграрную терминологию. Если грубо, то значение функции f : R^2 -> R в точке можно представить как росток торчащий из этой точки, а совокупность таких вот ростков связанных как-то между собой - это пучок.
Аноним 27/11/16 Вск 17:31:09 3932 72
>>3930
Я высказал своё мнение. Чтобы говорить "разберись с этим трудным вопросом", надо прежде всего пояснить, почему мнение неверно.
Аноним 27/11/16 Вск 17:33:51 3933 73
>>3932
Ты пока ничего не высказал. Если это теоремы в более сильной теории, то предъяви эту более сильную теорию и предъяви вывод из аксиом этой теории этих теорем.
Аноним 27/11/16 Вск 18:06:40 3935 74
>>3933
Пусть это будет ZFC. Тогда, я полагаю, утверждение о том, что множество является группой не является аксиомой, следовательно является теоремой. Мое сомнение заключается лишь в том, что я не знаю как строго доказать, что утверждения теории групп не эквивалентны аксиомам.
Аноним 27/11/16 Вск 18:10:10 3936 75
>>3935
Утверждение о том, что множество с бинарной операцией является моделью для аксиом теории групп является теоремой. Но аксиомы теории групп, всё-таки, остаются аксиомами теории групп.
Аноним 27/11/16 Вск 18:11:40 3937 76
>>3936
>Утверждение о том, что множество с бинарной операцией является моделью для аксиом теории групп является теоремой.
Ну вернее даже не теоремой, а одноместным предикатом, так что ты что так что так не прав.
Аноним 27/11/16 Вск 18:27:26 3940 77
>>3937
Ну не прав я в этом конкретном факте. При этом общее утверждение, что имхо при преподавании анализа рациональней сначала выводить некую модель чисел, потом доказывать, что она является алгебраической структурой, а затем расширять ее для дальнейший нужд, чем сразу давать в лоб какое-то непонятное поле.
Аноним 27/11/16 Вск 18:43:52 3941 78
>>3940
А смысл? Это есть очевидно, что существует одно и лишь одно непрерывно упорядоченное поле. Какая же тут общая ситуация?
Аноним 27/11/16 Вск 19:18:04 3942 79
Поясните по хардкору за автоморфизмы в поле комплексных чисел. С хуя ли их континуум(или 2^континуум, я уже запутался), как это строго доказать?
Аноним 27/11/16 Вск 20:55:30 3953 80
>>3941
>Это есть очевидно, что существует одно и лишь одно непрерывно упорядоченное поле
Очевидно для тебя, но не для читателя учебника, в котором этого факта нет.

Ситуация проста, мы пытаемся строго для читателя уложить понятие числа. После некоторой возни с определением N, мы обнаруживаем полугруппу. Но полугруппы недостаточно для комфортной работы. Тогда мы несложным жестом замыкаем N, чтобы получить кольцо. Но мы не можем делить. Тогда дополняем нашу структуру до поля. И вроде бы все хорошо, но ведь есть вещи вроде корня из двух. Мы исследуем их, приходим к сечениям и непрерывности. И получившаяся структура тоже поле, и теперь у нас есть фундамент для дальнейшей работы. И главное, все наши построения единственны с точности до изоморфизма, и именно это составляем понятие числа, а не какие-то конкретные примеры.

Или же мы доказываем, что R это поле, совершенно непонятными рассуждениями про сложение нулей и прочей казуистикой. Зачем это вообще делать? Какая глубина в таком результате?
Аноним 27/11/16 Вск 23:48:19 3959 81
>>3953
А с хуя ли эти рассуждения непонятные? Вот вы дали аксиоматику какого-то объекта(так называемых вещественных чисел), а потом проверяете, существует ли вообще модель, удовлетворяющая вашей аксиоматике. Мы же не философы, чтобы о глубине кукарекать
Аноним 28/11/16 Пнд 00:41:37 3964 82
>>3959
>эти рассуждения непонятные
Потому что у человека (который хочет узнать про действительные числа) нет алгебраического мышления. Человек на этом этапе знает теорию множеств, получил какие-то топологические термины, а теперь ему дают привычные числа и дают проверять непонятные факты: следствия из аксиом. Как ему понять, что он работает с какой-то там моделью? Он узнает об этом намного позже, когда откроет хороший учебник.
Аноним 28/11/16 Пнд 03:34:46 3995 83
>>3964
Этот аргумент можно обратить: необходимость дополнения натуральных до целых, перехода к кольцу частных и исследования сечений абсолютно не мотивирована. Зачем нам это делать? У нас и другие дела могут быть. Какова конечная цель?
Аноним 28/11/16 Пнд 04:08:13 3996 84
>>3953
Тоже этого не особо понимал, вынужден признать.
Аноним 28/11/16 Пнд 10:06:20 4008 85
>>3964
Выходит, проблема здесь в том, что эти числа для него "привычные". Не думаю, что было бы столько возмущений, если бы пришлось проверять аксиомы не для "привычных нам с детского сада" действительных чисел, а для какой-то более абстрактной(хотя, по-моему, действительные числа-это уже довольно абстрактное понятие) неведомой хуеты, которую ты второй раз за всю жизнь видишь
Аноним 28/11/16 Пнд 13:35:22 4023 86
С чего лучше в пучки-то заезжать? Положим, имея базу нескольких лет водофки и картофанчика. Я не шучу ни хуя, посоветуйте что после Кострикина с Зоричем брать, чтоб современный анализ на пучках зашел. Пробовал Раманана брать, но там гроб кладбище пидор, слишком сложно для меня.
Аноним 28/11/16 Пнд 21:58:53 4076 87
>>4023
Почитай этот тред http://mathoverflow.net/questions/14877/how-much-of-differential-geometry-can-be-developed-entirely-without-atlases если коротко, то совсем инвариантного бескоординатного языка для анализа ещё не построили; так что особой разницы нет, что рассматривать локальный пучок, изоморфный пучку гладких функций на R^n, что рассматривать соответствующую карту в атласно-картовом языке. Дмитрий Павлов в комментариях намекнул, что для того, чтобы разница появилась, нужно переосмыслять пониятие многообразия.

Поэтому пока, я бы советовал, учить дифгеом в терминах атласов и карт.
Аноним 29/11/16 Втр 03:28:59 4107 88
продолжена.png 32Кб, 1552x123
1552x123
Анон, помоги доказать, пожалуйста.
Аноним 29/11/16 Втр 04:07:44 4108 89
>>4107
Доопределить в точке x0 значением lim(x -> x0, x \in Q) f(x)
Аноним 29/11/16 Втр 04:56:35 4110 90
>>4108
В таком случае придётся понимать функцию f как частично определенную функцию R->R. Законно ли в этом случае делать предельный переход?
Аноним 29/11/16 Втр 05:02:17 4111 91
>>4110
Если точка в предельном переходе бежит по множеству Q, то почему нет.
Аноним 29/11/16 Втр 05:22:35 4113 92
>>4111
Собственно, в этом и был вопрос. Спасибо.
Аноним 01/12/16 Чтв 14:26:02 4336 93
neveroyatno.jpg 46Кб, 500x449
500x449
>>4 (OP)
Видел где-то охуенные гифки с интегралами. Хочу моар таких. Где искать?
Там были поля, в них S потом было наглядно показано в какой плоскости смотреть и как. В общем наглядного матана дайте, пожалуйста.
Аноним 02/12/16 Птн 03:12:42 4378 94
>>4111
А почему этот предел существует?
Аноним 02/12/16 Птн 18:20:25 4421 95
Пагни, а анализ активноразвивающаяся область? Видел, что Гротендик начинал с работ(-ы?) по функану, но это было 60-70 лет назад. Сейчас есть какие-то большие нерешённые проблемы в анализе или новые разрабатываемые теории?
Аноним 03/12/16 Суб 04:04:08 4517 96
>>4378
А что такое непрерывная на Q функция?
Аноним 03/12/16 Суб 04:33:31 4519 97
>>4517
Функция, непрерывная в любой точке Q.
Это значит, что для любого рационального числа q подмножеством любой окрестности точки f(q) является f-образ некоторого рационального шара с центром в q.
Аноним 03/12/16 Суб 04:46:31 4521 98
>>4519
В этом конкретном случае язык последовательностей удобнее (мне кажется). Возьмём x0, возьмём последовательность рациональных q_n, сходящуюся к x0. Теперь нужно показать сходимость f(q_n). То есть что непрерывное отображение переводит фундаментальные последовательности в фундаментальные. Но это же очевидно, isn't it?
Аноним 03/12/16 Суб 04:48:44 4522 99
>>4521
>непрерывное отображение переводит фундаментальные последовательности в фундаментальные
Разве?
Аноним 03/12/16 Суб 04:49:53 4523 100
>>4522
Нет, я проебался, сорян, пусть лучше тот анон ответит.
Аноним 03/12/16 Суб 04:50:39 4524 101
>>4523
Нет, подожди, может и так. Я что-то не могу понять, это правда или нет.
Аноним 03/12/16 Суб 04:51:00 4525 102
Аноним 03/12/16 Суб 04:55:08 4526 103
>>4525
И в самом деле. Хотя у нас функция непрерывна во всех рациональных числах, то есть это не какая-нибудь непрерывная вообще, а вот именно конкретная. Вдруг она переводит.
Аноним 03/12/16 Суб 05:06:17 4527 104
>>4107
А, ну да, это просто неверно, потому что функция 1/(x-sqrt(2)) непрерывна на Q но не продолжается на R; извини, что запутал.
Аноним 03/12/16 Суб 05:30:14 4529 105
>>4527
Вообще, это должно быть так. Это из листочков для НМУ по матану, и я уже нагуглил, что это должно быть частным случаем теоремы Титце-Урысона. Ведь должно же? R - нормальное пространство, правильное?
Аноним 03/12/16 Суб 05:30:32 4530 106
Аноним 03/12/16 Суб 16:13:28 4555 107
>>4529
R - нормальное пространство; к теореме Титце-Урысона это не имеет никакого отношения; автор листочка из НМУ по матану ошибся, так бывает.
Аноним 04/12/16 Вск 03:49:20 4617 108
Аноним 08/12/16 Чтв 21:34:57 4986 109
ебучий дифур.PNG 1Кб, 238x92
238x92
Здравствуйте, помогите решить дифференциальное уравнение.
Аноним 09/12/16 Птн 08:47:50 5048 110
>>4986
Это же линейное уравнение, пиздец изи.
Аноним 09/12/16 Птн 09:56:52 5049 111
>>5048
Спасибо, анон.
Аноним 09/12/16 Птн 11:41:31 5051 112
>>5049
Обращайся еще.
Аноним 10/12/16 Суб 23:49:35 5156 113
picc4g97rf7v0v4[...].png 24Кб, 698x365
698x365
Ребят очень прошу, докажите что предела не существует здесь. lim n->inf n*abs(sin(n))
И вот ещё доказать пикрелейтед.
Пожалуйста.

Аноним 11/12/16 Вск 12:45:28 5167 114
Пошел я значит в самый топ вуз на самую топ специальность для программиста, как советовали родители. Дико блеванул от того, что мы учили в первом семестре, а посмотрев на то, что будет на старших курсах офигел, что там уже больше какой-то менеджмент, а не математическая составляющая программирования( специальность Программная инженерия предполагает долю менеджмента). Так вот значит решил изучать математику самостоятельно, так как мне интересна область, где программирование пересекается с математикой (модное машинное обучение, например). Конечно же решил начинать с матана. Скажите, будет ли достаточным использование учебника Шварца/Зорича и попутное решение задач из Дороговцева? После матана планирую изучать дискретную математику, а далее всё более специальные темы (до этого ещё очень далеко)
Аноним 11/12/16 Вск 13:22:51 5173 115
>>5167
> топ специальность
> программная инженерия
Вуз-то тоже такой же "топовый"? Переводись на мехмат или физфак, чего ты. Гораздо проще и эффективнее учить математику в вузе, а девелопмент самостоятельно, чем наоборот.
Аноним 11/12/16 Вск 20:40:49 5200 116
Аноны, можете пояснить зачем вводить понятие равностепенной непрерывности, какие профиты можно извлечь из него, также про равномерную равномерность поясните плес, зачем, тоже какие профиты
Аноним 11/12/16 Вск 21:34:13 5207 117
>>5200
Равностепенную непрерывность гораздо проще доказать в практических задачах.
Аноним 11/12/16 Вск 21:55:30 5209 118
>>5207
чччерт, я опечатался, хотел спросить про непрерывность равностепенную и сходимость равномерную, но я спрашивал зачем они вобще нужны для рассмотрения, а не что проще доказывать
Аноним 17/12/16 Суб 17:19:53 5547 119
>>5200

низачем, в природе бывают такие функции, а бывают такие.

полиномы uniformly continuous, а экспонента уже нет, просто непрерывна в каждой точке
Аноним 17/12/16 Суб 17:33:31 5551 120
>>5200

а, ну вот например где возникает

uniformly continuous это условие типа "нет такого, что дико быстро растёт в одом месте, а в другом нет", что в каких-то случаях можно понимать как условие чуть послабее интегрируемости (в смысле сходимости несобственных интегралов)

если у тебя функция L_1, то её преобразование Фурье uniformly continuous, хотя может быть и не интегрируемым
Аноним 17/12/16 Суб 17:44:51 5552 121
кто-нибудь может объяснить, что такое параметрикс и с чем его (её?) едят?

очень нада
Аноним 17/12/16 Суб 21:17:29 5572 122
>>3931

терминологию "пучки" придумал не Гротен, а Лерэ (по легенде, когда в концлагере сидел)

Гротен знаменит тем, что придумал их применить к алггему, и родил теорию схем взамен промудохуеблядского формализма Вейля с "универсальной областью".
Аноним 18/12/16 Вск 00:05:29 5591 123
>>5547
Товарищ, вроде, про равностепенную непрерывность спросил, а не равномерную.
>>5209
Понятия обычно вводят, чтобы не говорить/писать многа одних и тех же букаф слишком часто.
Аноним 18/12/16 Вск 01:02:38 5593 124
>>5591

я плоха владей рускай терминология, сори

это equicontinuous sequence?

тогда полезность более осязаема: это необходимое условие существования предела в sup-норме
Аноним 18/12/16 Вск 13:02:39 5609 125
Сосоны, очеееень сильно хочу понимать мат. анализ. Какие есть учебники для вообще новичков?
Аноним 18/12/16 Вск 15:09:57 5612 126
>>5609
Фихтенгольца читайте, молодой человек
Аноним 18/12/16 Вск 15:51:58 5622 127
>>5609
Математическая грамотность:
https://www.amazon.com/Mathematical-Proofs-Transition-Advanced-Mathematics/dp/0321797094/
https://www.amazon.com/Naive-Set-Theory-Paul-Halmos/dp/1781394660/
Velleman "How to prove it"

Сам калькулюс:
Зельдович Я.Б., Яглом И.М. "Высшая математика для начинающих физиков и техников"
Зорич "Математический анализ"
https://www.coursera.org/learn/single-variable-calculus

Аноним 18/12/16 Вск 16:01:28 5623 128
>>5609
И делай упражнения в книгах. Это очень важно.
Аноним 18/12/16 Вск 16:04:11 5624 129
Аноним 18/12/16 Вск 16:07:33 5627 130
>>5612
Таки сложно для новичка.
>>5622
Спасибо, попробую.

Аноним 19/12/16 Пнд 13:22:29 5731 131
Сап матач, обращаюсь к тебе за помощью. Не догоняю в чем различие разложение комплексной функции в ряд Лорана и в ряд и в ряд Тейлора?
Аноним 19/12/16 Пнд 14:00:45 5735 132
>>5731

лоран по степеням x и x^{-1}, тейлор только по степеням x
Аноним 19/12/16 Пнд 20:55:57 5765 133
>>4 (OP)
Пацаны, посоветуйте простого в понимании для Преобразований Лапласа, способы нахождения оригиналов и изображений.
Препод говорит, что курсач должен быть понятен даже школьнику.
Аноним 21/12/16 Срд 00:22:38 5920 134
>>5765

преобразование лапласа это как преобразование фурье, только надо аддитивные характеры брать
Аноним 21/12/16 Срд 17:19:17 5952 135
>>5920
Спасибо, я уже всё.
Аноним 21/12/16 Срд 19:08:59 5961 136
>>5552
Какой-то там поиск решения уравнений в виде ряда каких-то определённых функций с параметрами какими-то.
Аноним 21/12/16 Срд 19:36:51 5962 137
Начал читать анализ Аманна-Эшера. Это нормально, что мне с немалым трудом даются упражнения из самых первых глав (множества, функции, отношения и операции и т.д.)? За плечами 11 классов гуманитарной школы с тремя часами математики в неделю и семестр высшей математики на инженерной специальности (учились тыгральчики считать, 0 теории и ещё меньше от этого всего пользы). Что посоветуете? Скипнуть упражнения до лучших времён (99.99% вероятность, что забью на них) или же сидеть до посинения (просветления)
Аноним 22/12/16 Чтв 00:13:22 5980 138
Аноним 22/12/16 Чтв 22:09:00 6073 139
>>5961

а для каких PDE?

параметры тут точно ни при чём
Аноним 23/12/16 Птн 09:18:16 6112 140
Снимок экрана 2[...].png 210Кб, 2064x908
2064x908
Ребят, помогите с задачей по кратным интегралам
Аноним 23/12/16 Птн 21:46:00 6177 141
Аноним 23/12/16 Птн 23:47:52 6184 142
>>5962
Нужно бросить институт. Анализ прочти по Рудину, но не всё. Дальше изучай анализ на многообразиях.
Аноним 27/12/16 Втр 07:53:06 6512 143
IMAG2234.jpg 517Кб, 2592x1552
2592x1552
Сап матемач, помоги глупому гуманитарию с производной. В первом важно исходя из определения.
27/12/16 Втр 08:38:49 6513 144
>>6512
как говаривал наш семинарист по математическому анализу: дифференцировать можно научить даже обезьяну.
Аноним 27/12/16 Втр 09:35:42 6518 145
>>6513
Но только не гуманитария
Аноним 27/12/16 Втр 10:48:04 6522 146
>>6518
Открою тебе секрет, любой математик это скорее гуманитарий, чем технарь.
Его интересует семантика понятий, придуманных человеком:
>Humanities are academic disciplines that study aspects of human culture
Заебали со своим "я гуманитарий", а мы тут все кто, тогда?
27/12/16 Втр 11:06:30 6523 147
>>6522
Гуманитарии изучают человеческую культуру. Математики изучают математику. То есть петь ртом, рисовать, писать стихи- гуманитарищина. Математика же не волнует, как математика относится к человеческой культуре, ему интересна математика само по себе.
Аноним 27/12/16 Втр 11:36:41 6524 148
>>6523
А художника волнует, как живопись относится к человеческой культуре?
>Математика же не волнует, как математика относится к человеческой культуре
Особенно это не волновало Арнольда, к примеру
Аноним 28/12/16 Срд 01:25:40 6684 149
>>6512
1)производная это предел отношения приращения функции к приращению аргумента.
lim x0->0 (f(x+x0)-f(x))/x0
подставляешь функцию сюда, упрощаешь выражение
2) считаешь производную по формулам. не забывай, про производную композиции:
(f(g(x)))'=f'(g(x))g'(x)
т.е. например (sin(x^2))'=sin(x^2)'
(x^2)'=cos(x^2)2x
неочевидны разве что примеры 5 и 6. в 5 надо не забыть, что дифференцируешь по x, в 6 представить выражения как x^(1/x).
3) считаешь производную, а потом снова считаешь производную. неочевидно, что имел в виду препод в третьем примере, учитывая текст задании
Аноним 28/12/16 Срд 04:44:52 6700 150
28/12/16 Срд 20:32:20 6745 151
Почитал я письмо студентов и нашел в нем многое в согласии с моими ранними наблюдениями. Во-первых, что они носятся с этим анализом на многообразиях, как дурак с писаной торбой? Чтобы понять анализ на многообразиях, нужно сначала основательно изучить мат.анализ в его обычном, человеческом изложении, а уж потом нагромоздить на него эту надстройку, исключительно ради ее инвариантного языка. Если нет костей, то мясу расти не на чем! Во-вторых, если им читают ТФКП по брошюре Львовского, то я не удивлен, что они ТФКП не понимают и знать не будут. :D Все эти новомодные штучки с общей формулой Стокса, изучением голоморфных функций сразу на Римановых поверхностях, конспективным изложением многих тем, изложением некоторых тем исключительно в виде набора задач и т.п. выхолащивают суть вещей, теряется базовая техника! Нельзя родить здорового ребенка через 3 месяца после зачатия выучить некоторые вещи быстрее, чем в сроки, установленные программой мехмата, поскольку эта программа годами обкатывалась на реальных людях студентах и уже ужата до разумных пределов человеческих возможностей. Тем не менее, как я понял из письма, на матфаке ВШЭ такие попытки ускорения предпринимаются.
Но более всего меня удивил их страх перед "построением фазовых портретов"! Вроде бы, курс динамических систем там должен был организовать Ю.С. Ильяшенко. Я сам когда-то учил УРЧП на семинарах у Ильяшенко, он хорошо знает и объясняет материал, четко проговаривает все скользкие моменты, так неужели, как пишут студенты, есть такие трудности в построении фазовых портретов, что и сами преподы на вопросы только разводят руками? :shock: Мне всегда казалось. что построение фазовых портретов - давно полностью алгоритмизированный раздел качественной теории ОДУ, во всяком случае, ни от кого из студентов мехмата я ни разу не слышал о немыслимой сложности этой задачи, более того, ввиду ее рутинности кафедра дифуров обычно не включает подобную задачу в задачи письменного экзамена в 4-м семестре...
28/12/16 Срд 20:38:00 6746 152
RedHerring 28/12/16 Срд 20:46:33 6747 153
Умение брать неопределённый интеграл—это умение производить некоторые формальные манипуляции и в этом смысле это действительно "алгебраический" навык. Но ценность он представляет именно для анализа и дифференциальных уравнений и потому читается в курсе анализа. Это не самый самый яркий пример того что алгебраисты строя свои курсы заботятся только о своих интересах и потому некоторые алгебраические курсы должны читаться специалистами по анализу (напр. линейная алгебра) в то время как ни один курс по анализу не должен читаться алгебраистами. Один мой глубокоуважаемый коллега (closet algebraist) пол-курса по ОДУ занимается решением ОДУ и их систем с постоянными коэффициентами и специальными правыми частями (квазиполиномами) уделяя гораздо меньшее внимание например вариации произвольных постоянных.
RedHerring 28/12/16 Срд 20:48:53 6748 154
Что же касается "широты", то, понимаете, в анализе накопали гораздо больше и глубже. В шестидесятые годы, когда я был студентом, нас по алгебре заставляли доказывать теоремы из теории колец, доказанные за 10-20 лет до этого в оригинальных работах. Разумеется, с тех пор много воды утекло, и алгебра ушла вперёд, но ведь и анализ на месте не стоял. Т.ч. помимо широты есть и глубина, и изучать разные области математики на одну и ту же глубину невозможно.
Brukvalub 28/12/16 Срд 20:54:37 6750 155
я так и не понял, в чем был "ужас" интегралов с параметром. На ум приходит только не совсем приличный анекдот про бордель, в котором бандерша, в отличии от девиц, оценила клиента как "ужас", возможно, "ужас, ужас", но уж точно не "ужас, ужас, ужас". :D
Интересно, почему же, скажем, курс анализа Уиттекера и Ватсона считается основополагающим, ведь он тоже состоит, в основном, из вычислительных рецептов и упражнений?
Да и математика - это, прежде всего, наука о вычислениях, приносящих пользу людям. В дифференциальной геометрии, теории чисел, урчп, методах оптимизации, тфкп, вычмате все основано на преобразованиях и вычислениях...
А уж "умников-первокуров", готовых учить профессуру, как и чему тем нужно учить студентов, я такую кучу перевидал... До сих пор вспоминаю, как мне досталась группа, почти целиком сформированная из "второшкольников", ух, и натерпелся же я в боях с теми умниками и умницами! :cry:
RedHerring 28/12/16 Срд 20:57:48 6751 156
Ядро современной математики—это прежде всего анализ в широком смысле слова (IMHO).
Brukvalub 28/12/16 Срд 21:09:28 6752 157
вы совсем не в теме.
Великолепные учебники Куроша, Колмогорова и Фомина, кирпич Александрова, Петровского, Маркушевича, Привалова, Зорича, Шабата, Винберга, Хелемского, Шубина, Филиппова, Алексеева, Тихомирова и Галеева, Ульянова и Дьяченко, Богачева и Смолянова, Ильина, Садовничего и Сендова, Архипова, Садовничего и Чубарикова, Нестеренко, Архангельского, и еще многая и многая возникли именно как результат чтения обязательных курсов на мехмате МГУ.
Более того, именно обязательные семинарские занятия на мехмате породили всемирно известные задачники, такие как:
задачник Демидовича по матану, задачник Филиппова по ОДУ, задачник Проскурякова по линалу, задачник под ред. Кострикина по высшей алгебре, задачник Моденова и Пархоменко по ангему, задачник кафедры ВГТ по ангему и линалу, задачник Тихомирова и Галеева по ОПУ, задачник кафедры ТФФА по действительному анализу, только что в МЦНМО издан задачник коллектива авторов кафедры ТФФА по функану, в 2016-2017 г. в МЦНМО переиздается переработанный энциклопедический трехтомный задачник по мат.анализу Виноградовой, Олехника и Садовничего и еще много чего.
Каким еще математическим факультетом во всяких там Оксвордах-Гарвардах написано такое большое количество великолепных задачников, по которым учатся студенты всего мира?
Так что умерьте свой пыл в охаивании мехмата, и без вас критиков хватает, но караван-то все идет и идет!
Аноним 19/01/17 Чтв 10:34:40 8528 158
Аноним 19/01/17 Чтв 14:26:52 8576 159
Аноним 04/02/17 Суб 14:19:13 10315 160
>>4 (OP)
Анон, объясни пожалуйста, почему из дифференцируемости функции следует непрерывность функции. Только, молю, не как в википедии, а нормально. Без упрощений вроде "приращение аргумента" и "приращение функции".
С меня что-нибудь.
Аноним 04/02/17 Суб 14:48:45 10320 161
>>10315
Если функция дифференцируема, значит в ней в каждой точке существуют пределы справа и слева, и эти пределы имеют одинаковое значение. То есть, все значения функции справа и слева (на малом расстоянии) ничтоже сумлящеся отличаются от значения функции в самой точке.
Аноним 04/02/17 Суб 14:57:38 10323 162
>>10320
>значит в ней в каждой точке существуют пределы справа и слева
Почему?
>ничтоже сумлящеся отличаются
Из существования пределов слева и справа и их равенства следует только существование предела. Непрерывность отсюда не следует же.
Аноним 04/02/17 Суб 19:28:00 10340 163
>>10323
>Непрерывность отсюда не следует же.
Определение непрерывности знаешь?

>Почему?
прямо следует из определения производной.
Аноним 04/02/17 Суб 20:28:22 10342 164
>>10340
Функция непрерывна в точке, если её значение в точке равно её пределу в этой точке. Предел может быть не равен значению.

>прямо следует из определения производной.
Но как? Производная f в точке a - это предел функции f(a+x)/x в нуле. Как отсюда можно вывести непрерывность f в a?
Аноним 04/02/17 Суб 21:14:18 10343 165
>>10342
>Предел может быть не равен значению.
В каком случае? Почему такая функция дифференцируема в этой точке?

>Производная f в точке a - это предел функции f(a+x)/x в нуле
чему равна производная x^3 в точках 0, 1, 2, 3 по данной формуле?
Аноним 04/02/17 Суб 21:45:39 10344 166
>>10343
>В каком случае?
В принципе. Бывают такие функции.
>чему равна производная
*предел (f(a+x) - f(a))/x в нуле.
((a+x)^3 - a^3)/x = 3a^2 + 3ax + x^2.
Равна соответственно 0, 3, 12, 27.


Аноним 04/02/17 Суб 23:28:45 10350 167
>>10344
>*предел (f(a+x) - f(a))/x в нуле.
что эквивалентно f'(x) + o(x)x = (f(a+x) - f(a))/x, где о - б.м.
можно ли из этого вывести условие непрерывности?

>В принципе
Раз уж мы нашли производную, скажи, дифференцируема ли функция, если она имеет производную в данной точке?
Аноним 05/02/17 Вск 01:55:00 10354 168
>>10350
Подожди, почему эквивалентно?
o(f) - это такая функция g, что найдется бесконечно малая функция h, что g=hf. Разве нет?

Функция называется дифференцируемой в точке, если у нее есть производная в точке.
Аноним 06/02/17 Пнд 03:19:09 10405 169
бамп
Аноним 06/02/17 Пнд 03:26:24 10406 170
>>10354
>Функция называется дифференцируемой в точке, если у нее есть производная в точке.
Это не правда. Не так дифференцируемость в точке определяется.
Аноним 06/02/17 Пнд 11:00:51 10414 171
Аноним 06/02/17 Пнд 15:32:26 10438 172
>>10354
>почему эквивалентно
чтобы доказать эквивалентность понятий 1 и 2, надо доказать, что 1 => 2 и 2 => 1. Нетрудно, например, доказать, в случае с пределом, что 2 => 1, просто взяв предел от двух частей. Почему 1 => 2, подумай сам.

>>10414
Функция дифференцируема если имеет производную (производная это отдельное понятие) в точке и наоборот, эти понятия эквивалентны. Производную ты уже определил.

А вот дифференцируемость функции в точке означает, наивно, что ее можно приблизить линейной функции. Т.е. взяв какую-то окрестность, ты можешь заменить функцию на ломаные линии, которые будут точно определять точки функции в такой окрестности.

Более точно, функцию в точке x0 можно представить в виде:
f(x0)+A(dx)+o(dx), где A - некая константа
Аноним 11/02/17 Суб 21:33:42 10802 173
Есть ли книга Зорича в одном томе? Нам вроде выдавали в библиотеке такую, а сейчас найти не могу.
Аноним 12/02/17 Вск 10:03:16 10815 174
1005295537.jpg 42Кб, 598x700
598x700
>>10802
Нет. Только двухтомники.
Аноним 12/02/17 Вск 12:44:51 10820 175
>>10802
Есть. Называется John Lee.
Аноним 17/02/17 Птн 17:12:35 11385 176
blob 188Кб, 1032x134
1032x134
Анон, б-г в помощь, решение в тетрадку. Что делать? Ну разложил я е и корень по маклорену и нихуя не выходит
Аноним 18/02/17 Суб 18:29:22 11420 177
>>11385
Ну так разложение показывай.
Аноним 24/02/17 Птн 08:38:08 11871 178
.JPG 1422Кб, 3264x2448
3264x2448
все правильно сделал?
Аноним 02/03/17 Чтв 22:59:57 12400 179
>>11871
Второе определение - частный случай первого.

Доказательство - вырвиглазное.
Непонятно что ты там доказываешь. Тебе стоит писать предложения с подлежащими, сказуемыми и дополнениями. Просто формулы - не читаются. Да и сам ты потом ничего не поймёшь.

И да, ты кванторы нормально пиши. Не сокращай так голимо.


Аноним 15/03/17 Срд 21:50:02 13028 180
Безымянный.png 3Кб, 198x53
198x53
почему ето так?
Я понимаю что там у 4^x -3 в числителе и -5 в знаменателе, но такое правило же вроде должно быть если x^4 а не 4^x? там через логарифмы че-то?

помогите плз срочно
Аноним 15/03/17 Срд 22:36:56 13032 181
>>13028
Выносишь 4^{x} сверху и снизу и медитируешь до просветления.
Аноним 16/03/17 Чтв 03:29:37 13053 182
>>13028
lim x->∞ 4^x бесконечно больше lim x->∞ 3^x, хули тут непонятного то?
Квантовые деформации Аноним 02/04/17 Вск 16:40:41 14079 183
Поясните, кто сталкивался с квантовыми деформациями. Просмотрел кучу статей (Риффеля и т.д.), не догоняю конструкции - как деформировать, например, линейный оператор.

Приблизительно понимаю это, как С*-алгебру с какой-то доп.структурой - особое произведение, норма, и т.д.
Аноним 08/04/17 Суб 15:11:30 14514 184
>>14079
Не знаю ничего про квантовые деформации, но должен заметить, что норма не является доп. структурой на C^*-алгебре
Аноним 03/05/17 Срд 23:32:14 17045 185
.png 2Кб, 191x36
191x36
> Найдите медиану упорядоченной выборки первых девяти целых чисел из области значений функции
Что это значит?
Аноним 16/05/17 Втр 16:09:31 18130 186
Аноним 19/06/17 Пнд 02:16:25 20544 187
Геноссен, понакидайте задачек по теории меры либо тем доля реферирования (с книжками, желательно потоньше). В которых сами разбираетесь. Масштаба примерно между курсачём и ВКР бакалавра. С меня принципиальная разница между группой Понтрягина и спектром Гельфанда :3
Аноним 11/07/17 Втр 15:58:59 21711 188
p0155.png 87Кб, 1545x1013
1545x1013
p0156.png 56Кб, 1545x662
1545x662
Предел.png 2Кб, 319x109
319x109
Анон, вот смотри. Есть определение непрерывности через дельта-икс и дельта-игрек. Но корректное ли оно? Чем являются Δx и Δy, функциями? Имеем ли мы право писать Δx→0 под символом предела? Ведь символ "limf→a g = b", где f и g - функции, не определен.

Как понимать предел "limΔx→0Δy"? О каких окрестностях, в каких пространствах, с какими элементами тут идёт речь?
Аноним 11/07/17 Втр 17:51:50 21719 189
>>21711
Посмотрел у Рудина, похожей символики не увидел. Или я в глаза ебусь?
Помогите разобраться, пожалуйста.
Аноним 11/07/17 Втр 23:12:21 21732 190
>>21711
Какие функции? Δx и Δy - разности:
Δx=x-x0
Δy=y(x)-y(x0).
Они стремятся к нулю при увеличении количества вот этих точек, узлов. Мы имеем право писать Δx→0. Мат. анализ - это классическая дисциплина и в ней уже давно всё истоптано вдоль и поперек, не понимаю откуда тебе привиделись функции и почему тебя это смущает.
Аноним 11/07/17 Втр 23:53:42 21734 191
>>21732
По определению, число A называется пределом функции f в точке a, если для любой открытой окрестности U точки A найдется такая открытая проколотая окрестность V точки a, что f(V) - подмножество U.

А что значит Δx→0?
Аноним 12/07/17 Срд 08:55:53 21742 192
>>21734
По определению, число A называется пределом функции f(x) в точке a, если для любого ε>0 существует такое δ=δ(ε) > 0, что для всех x, для которых |x-a|<δ выполняется неравенство |f(x)-f(a)|< ε
Аноним 12/07/17 Срд 09:48:03 21744 193
>>21742
Нет, неправильно, у тебя ошибка. Окрестность точки a должна быть выколотой, т.е. сама точка a не должна в неё входить. А у тебя - входит.

Чтобы не было таких косяков, лучше определять предел с помощью топологических пространств, а не с помощью эпсилон и дельта.
Аноним 12/07/17 Срд 09:56:13 21745 194
>>21742
Нахуя ты отвечаешь этому поехавшему?
Аноним 12/07/17 Срд 10:02:03 21747 195
>>21745
Вот сейчас обидно было. Сам ты поехавший, а у меня нормальный вопрос. Δx и Δy не вписываются в определение предела.
Аноним 12/07/17 Срд 14:13:05 21766 196
>>21744
Я могу дописать, что x неравно a, от этого ничего не изменится.
Аноним 12/07/17 Срд 14:30:25 21770 197
>>21766
>Я могу дописать, что x неравно a
Зачем? Это определение уже включает в себя возможное отсутствие f(a) (δ>0 а не ≥0)
Аноним 12/07/17 Срд 14:51:05 21772 198
>>21770
>Это определение уже включает
блядь я облажался, ничего оно не включает
там |x-a|<δ а должно быть 0<|x-a|<δ
похоже тополог прав
Аноним 12/07/17 Срд 14:52:40 21773 199
>>21772
В общем случае картофанного R1 насрать.
Аноним 12/07/17 Срд 18:50:12 21778 200
>>21766
Нет, от этого многое изменится.

>>21773
Ну не пизди, а.
Аноним 12/07/17 Срд 18:54:40 21779 201
>>21778
Энивей это не имеет к изначальному вопросу никакого отношения.
Аноним 14/07/17 Птн 03:50:30 21811 202
Аноним 14/07/17 Птн 10:26:56 21823 203
>>21811
ты дэбил? не можешь расписать delta(x)=x-x0 и потом подставить в предел? Слабоумный? Или что с тобой не так?
(Автор этого поста был предупрежден.)
Аноним 14/07/17 Птн 12:01:07 21827 204
предел нельзя.png 1Кб, 244x167
244x167
>>21823
Что ты предлагаешь расписать? Вот так написать нельзя.
Аноним 14/07/17 Птн 14:37:42 21838 205
>>21827
x0 - конкретное число.
Это предел, при x -> к конкретному числу x0
Аноним 14/07/17 Птн 14:42:53 21839 206
Предел.png 2Кб, 319x109
319x109
>>21838
Да. Я знаю, что такое предел. Мне непонятно, что означает символ пикрелейтед. Символ lim определен так, что под ним внизу можно писать только аргумент функции, стоящей справа от lim.
Аноним 14/07/17 Птн 14:50:14 21840 207
>>21839
Дельта y - это и есть функция от дельта x:
Δy = f(x0 + Δx) - f(x0), где x0 - это конкретное число. Если ты все еще чувствуешь туман в голове, когда размышляешь об этом, скорее всего ты прорешал недостаточно задач на пределы. Антидемидович в помощь
Аноним 14/07/17 Птн 14:51:43 21841 208
>>21840
Δx определено как разность x-x0, а не как самостоятельная переменная. Δx - это вообще не переменная. >>21711
Аноним 14/07/17 Птн 14:54:59 21842 209
>>21841
Дальше будет хуже, чел. Понимаю, что хочется поскорее перейти к чему-то серьезному, но если ты тратишь больше времени на чтение учебника, чем на решение задач на понимае, сосать подано.
Аноним 14/07/17 Птн 14:58:59 21843 210
>>21842
Просто помоги понять, что за хрень там написана, пожалуйста. Не надо нести какую-то дичь про антидемидовича.

Δx - не переменная. Под lim можно писать только переменную. Как понимать символ limx-x0 → 0Δy?
Аноним 14/07/17 Птн 15:03:20 21844 211
>>21843
Антидемидович -- это сборник задач. Если он тебе не нравится, можешь выбрать, например Виноградову или что-нибудь на английском. Ты же решаешь задачи для закрепления, верно? Мы тебе всем двачем все пояснили так, что уже не представляем, как ты можешь не понять. Мб нормальный препод в вузе умеет справляться с таким непониманием, но мы нет. Поэтому я могу только посоветовать вернутся и начать решать задачи, которые ты пропускал.
Аноним 14/07/17 Птн 18:44:22 21863 212
>>21843
limx-x0 → 0Δy = limx → x0Δy
Аноним 15/07/17 Суб 00:28:08 21873 213
>>21844
Извини, но объяснений не было. С твоей стороны были только советы решать антидемидовича.

>>21863
С чего вдруг? Пусть f - отображение P→Q, где P и Q - топологические пространства. Символ limx→af=A означает "для любой открытой окрестности U точки A найдется такая открытая проколотая окрестность V точки a, что f(V) - подмножество U". Его можно переписать как limBf=A, где B - база проколотых окрестностей точки a. В этом определении x - немая переменная, её можно заменить любой другой буквой.

А как определяется символ limx-x0→0f=A? Как его расписать словами? Как понимать x-x0→0? Это какая-то база, которую Зорич забыл упомянуть?
Аноним 15/07/17 Суб 09:06:58 21877 214
>>21873
>Как понимать x-x0→0?
x -> x0
Аноним 15/07/17 Суб 09:27:42 21878 215
>>21877
Но почему? По какому правилу?
Аноним 15/07/17 Суб 09:37:26 21879 216
>>21878
Ну рассмотрим изначальную Δx->0, для любого эпсиллона больше нуля, существует такая дельта больше нуля, что для любого x такого что 0<|Δx|<дельта следует что |Δy|<эпсиллон. Подставим Δx = x-x0, значит условие 0<|Δx|<дельта перепишется как 0<|x-x0|<дельта, а это и есть тоже самое что предел при x->x0
Аноним 15/07/17 Суб 10:03:21 21881 217
>>21879
Это неформальные рассуждения, к ним вопросов нет. Вопрос в том, как записать всё это, пользуясь формальным определением предела. Символ "x→x0" - это просто обозначение базы проколотых окрестностей точки x0, он не несет никакого самостоятельного смысла и может быть заменен любым другим символом, например буквой B. А обозначением какой базы множеств является символ "x-x0→0"? И как строго доказать, что предел по базе B влияет на неё, на эту загадочную базу?
Аноним 15/07/17 Суб 10:07:54 21882 218
>>21881
>формальным определением предела
Формальное определение предела как раз и дается через эпсиллон-дельту. Своё базо-дрочерство и прочее оставь при себе или неси к тапалагам.
Аноним 15/07/17 Суб 11:49:40 21888 219
>>21882
Ну вот когда ты говоришь "перепишем" и "подставим", где у тебя гарантия, что ничего не изменится? Когда ты переписываешь, ты, по сути, берешь композицию функций и пользуешься тем, что предельный переход перестановочен с непрерывной функцией.

0 = limh→0f(x0+h)-f(x0) = limx-x0→0f(x0+x-x0)-f(x0) = f(limx-x0→0(x0+x-x0))-f(x0) = f(x)-f(x0) - твоё рассуждение.

Ну а с фига ли f непрерывна, если мы как раз пытаемся доказать, что f непрерывна?
Аноним 15/07/17 Суб 12:02:02 21889 220
>>21888
>пытаемся доказать
На тех пиках речь идет о определении. Что ты там доказываешь, одному тебе известно.
И да, мочератор - петух.
(Автор этого поста был забанен. Помянем.)
Аноним 15/07/17 Суб 12:12:17 21891 221
>>21889
Ты бы хоть прочитал, прежде чем отвечать. На тех пиках даётся два определения и утверждается, что эти определения эквивалентны.
Сумма Ряда Аноним 17/07/17 Пнд 19:04:33 22041 222
Анонус, а какие аналитические методы нахождения суммы ряда есть, кроме тех, что даются на втором курсе анализа + всяких олимпиадных? Что прогуглить?
Аноним 02/08/17 Срд 01:24:08 22665 223
image.png 13Кб, 706x101
706x101
Кто-нибудь сможет решить?
Аноним 03/08/17 Чтв 03:44:42 22688 224
>>22665
Блин, интересная задача. Скинь контекст что ли, тему.
Аноним 03/08/17 Чтв 15:02:54 22693 225
>>22665
Решил. f = 0 для любого R. Если интересно, скину доказательство.
Аноним 03/08/17 Чтв 15:03:18 22694 226
>>22693
x,y принадлежащего R*
Аноним 03/08/17 Чтв 15:19:44 22695 227
Аноним 03/08/17 Чтв 16:16:47 22697 228
1.jpg 687Кб, 1936x1936
1936x1936
2.jpg 768Кб, 1608x1985
1608x1985
>>22695
Из какого вуза? Интересно.
Аноним 03/08/17 Чтв 18:40:29 22698 229
>>22697
Хуя ты. Олимпиады по матану?
Аноним 03/08/17 Чтв 21:08:56 22702 230
image.png 429Кб, 808x887
808x887
image.png 417Кб, 802x802
802x802
>>22697
Это вторая задача с недавно прошедшей межнар олимпиады в Рио. где,
кстати, парашка заняла позорное 11-ое место, при этом 42 балла (max) не набрал никто, какие-то задроты из вьетнама еле-еле наскребли 35. Возможно, это была самая сложная IMO за всю её историю.


Самая сложная была 3-я
обсуждения всех задач есть на artofproblemsolving в специальном топике про IMO
Аноним 03/08/17 Чтв 21:40:35 22703 231
image.png 68Кб, 635x487
635x487
>>22697
Ты C^2=1 немного не правильно рассмотрел. Вот топовое решение.
Аноним 03/08/17 Чтв 21:52:38 22704 232
>>22703
И правда. Я понял, спасибо. Интересная задача.
Аноним 03/08/17 Чтв 21:57:57 22705 233
>>22703
Хотя, погоди. Линейная функция не может удовлетворять решению, у меня есть контрпример. Ты видишь, что я не так делаю?
Аноним 03/08/17 Чтв 22:19:51 22706 234
Аноним 12/08/17 Суб 12:27:27 23023 235
>>22706
ты вышел на мета-уровень
Аноним 19/08/17 Суб 17:00:05 23603 236
У Эшера только первый том в открытом доступе? Что-то остальные не могу найти.
а платить не по карману
Аноним 19/08/17 Суб 17:17:44 23608 237
Нуфаг в тредю. Как фиксится понимание теории, но невозможность самостоятельного доказательства?
Аноним 19/08/17 Суб 17:25:35 23609 238
>>23608
>невозможность самостоятельного доказательства
Это норма.
Вот если ты еще и считать не умеешь по теории, то это пизда.
Аноним 19/08/17 Суб 17:29:02 23610 239
>>23609
Со счетом норм. Все со временем должно прийти?
Аноним 01/09/17 Птн 00:17:58 24097 240
Отпишу сюда.
y''+ (a^2)y = tg(x)
При каких а существует единственное непродолжаемое решение с областью определения (-1;3/2).

Я так понимаю, что раз все функции на этом промежутке непрерывны => мы можем поставить сколько угодно задач Коши и каждая будет решаться. И ответ ни при каких. Мне кажется слишком простое решение, чтобы быть правдой. Да и предыдущая задача решалась точно так же, что меня собственно и настораживает. Все выделенное жирным шрифтом - точное задание, возможно я как-то неправильно понимаю область определения?
Аноним 17/09/17 Вск 21:11:19 24955 241
>>4 (OP)
А тут могут подсказать по однопараметрической оптимизации?
Аноним 19/09/17 Втр 00:10:33 25012 242
ФЫВФЫВФЫВФЫВ.png 1083Кб, 1042x648
1042x648
Помогите сделать 7.1
Аноним 19/09/17 Втр 00:55:40 25015 243
>>25012
Не помогайте ему, этот даун отдельный тред для своего листика запилил.
Аноним 20/09/17 Срд 01:29:53 25034 244
>>25012
Q замкнуто относительно сложения и умножения(сумма любых рациональных чисел рациональна; произведение любых рациональных чисел рационально)
a+2b=(a+b)+b=r, пусть r - рациональное число, тогда b=r-(a+b) тоже рационально число, что противоречит условию
a-b=(a+b)-2b=r, пусть r - рациональное число, тогда b=((a+b)-r)/2 рационально число, что противоречит условию.
Аноним 17/10/17 Втр 23:27:24 25960 245
Сап, аноны. Помогите разобраться с критерием Коши/фундаментальной последовательностью. Собственно, вот определение: Последовательность Xn называют фундаментальной, если она удовлетворяет условию Коши: для каждого E>0 существует такое натуральное число No, что для любого n > No и любого m > No справедливо неравенство |Xn-Xm|<E.
Не могу понять, как это может быть возможно, что для каждого E выполняется |Xn-Xm|<E ? Допустим, E = 6, и есть последовательность, в которой Xn = 40, Xm = 50. |40-50|=10 10>E. И такой эпсилон, меньший, чем разность членов последовательности, я могу подобрать к любой последовательности. Следовательно, ни одна последовательность не является фундаментальной. Вот, в общем-то мои рассуждения, которые, очевидно, не верны. Но я не понимаю, в чем ошибка. Не закидывайте какахами
Аноним 18/10/17 Срд 02:53:25 25963 246
>>25960
Фундаментальная последовательность - такая, что для любого r>0 почти все её члены содержатся в каком-нибудь интервале длины r.

Пример фундаментальной последовательности - это 0.1, 0.01, 0.001, ... В ней xn = 10^(-n).
Аноним 18/10/17 Срд 05:11:20 25964 247
>>25960
Во-первых, n и m переменные. Ты не можешь написать xn = 40, xm = 50, потому что n и m - это любые натуральные числа, которые больше No. А не какие-то конкретные числа. Впрочем, твою идею можно исправить и сказать, что последовательность 40, 50, 40, 50, 40, 50, ... действительно не будет фундаментальной.

Во-вторых, из того, что некоторые последовательности не являются фундаментальными, не следует, что фундаментальных не бывает вообще. Пример фундаментальной тебе уже привели в посте выше.
Аноним 22/10/17 Вск 17:43:57 26117 248
images-22.jpeg 5Кб, 257x196
257x196
Господа, вот решил я еще раз все отсортировать и взялся за мат. анализ. Честно? Я не знаю, как его преподают зарубежные мужи, поэтому брал наших картофанов, а именно - Никольского. Ну да бог с ними, с нашими.
Дело в том, что как мне кажется, матанализ В ПРИНЦИПЕ - это набор каких-то отдельных тем, причем зачастую разрозненных но каким-то хуем переплетающимися в некоторых местах. Мне совершенно непонятно, например, нахуя пихать в один курс диференциальное и интегральное исчисление.
Но ладно, две стороны медали, пусть будет.
Но НАХУЯ ТУДА ПИХАТЬ РЯДЫ?
Это вообще блять какой-то школьный уровень математики.
А теория поля? Каким хуем она делает в матане, если это вообще блять тема алгебры.
Поясните по хардкору почему я неправ и как все-таки организовать этот биомусор, который дают в вузах
Аноним 22/10/17 Вск 18:28:30 26121 249
>>26117
>Но НАХУЯ ТУДА ПИХАТЬ РЯДЫ?
Ряды - это те же самые последовательности, вид сбоку. Всякий ряд - некоторая последовательность, и всякая последовательность может быть преобразована в ряд. Нельзя изучать последовательности без рядов. А последовательности - основной инструмент классического анализа, все объекты анализа изучаются через последовательности. Поэтому последовательности нужно изучать.
Упорядоченная пара Аноним 24/10/17 Втр 18:33:12 26212 250
Пацанята, начал читать том кудрявцева по матанализу, и у меня встал вопрос про упорядоченным парам. Почему упорядоченной парой решили называть именно множество вида {a,{a,b}}, а не например множество вида {a,b}. В чём смысл расположения первого элемента отдельно от пары {первый элемент и второй}?
Аноним 25/10/17 Срд 01:58:32 26240 251
>>26212
Чтобы можно было определить, какой элемент в паре первый, а какой второй. Т.к. множество {a,b} = {b, a}, то без хитростей подобных {a,{a,b}}, ты этого не сделаешь.
Аноним 25/10/17 Срд 05:50:03 26243 252
>>26117
> это вообще блять тема алгебры
Ну тут есть простое объяснение. Матан - это по большей части алгебра + предельный переход. Вот потому темы и пересекаются. Берешь алгебру, веришь, что если подойти близко-близко, но не до конца, то окажешься прямо там, где надо и получаешь матан.
Аноним 25/10/17 Срд 23:31:43 26297 253
>>26243
Почему его изучают до алгебры и до мат. логики или это у меня такой ебанутый вуз попался?
Аноним 26/10/17 Чтв 02:56:00 26307 254
>>26297
Велкам ту рашка. Везде так.
Аноним 31/10/17 Втр 22:42:10 26604 255
Помоги вычислить предел, пожалуйста.
lim (sin(11x)/sqrt(1-cos(x)), x - 0)
Я понимаю что sin (11x) ~ 11 x , но что делать дальше?
Как мне преобразовать sqrt(1-cos(x))?
Аноним 01/11/17 Срд 09:28:04 26621 256
Аноним 01/11/17 Срд 12:40:48 26652 257
Аноним 01/11/17 Срд 20:49:31 26711 258
Снимок.PNG 8Кб, 456x277
456x277
Аноны, можете помочь с этими двумя пределами? Я что только с ними не делал, даже от безысходности решил записать ∞-∞=0 и 1^∞=1 и косить под дурачка, сдавая контрольную. Только эти два предела остались.
Аноним 01/11/17 Срд 21:23:24 26712 259
>>26711
В первом дополнить до суммы кубов, во втором пропотенцировать.
Аноним 01/11/17 Срд 22:11:11 26714 260
Снимок.PNG 4Кб, 494x150
494x150
>>26712
Что-то с суммой выходит какая-то дрянь в знаменателе.
Аноним 01/11/17 Срд 22:16:14 26715 261
>>26714
Ноль же выходит не?
Аноним 01/11/17 Срд 22:16:30 26716 262
>>26714
1 / бесконечность = 0
Аноним 01/11/17 Срд 23:00:23 26717 263
>>26715
Ага, осталось это грамотно записать.
Аноним 02/11/17 Чтв 00:04:39 26718 264
IMG201711020001[...].jpg 1755Кб, 2592x1944
2592x1944
Это вообще возможно решить без Лопиталя, на уровне первого курса нематематической шараги, или я просто ультратупой?
Аноним 02/11/17 Чтв 19:25:32 26847 265
>>26718
Через эквивалентные.
Аноним 11/11/17 Суб 19:22:33 27629 266
Хоть кто-нибудь мне скажет где столько матана применяется?
Да что же это за издевательство над людьми такое...
Аноним 12/11/17 Вск 07:24:32 27647 267
>>27629
>Хоть кто-нибудь мне скажет где столько матана применяется?
Твой утилитаристский вскукарек тут не нужен.
>что же это за издевательство
Кто виноват, что ты даун, который не может сесть и разобраться в том, что ему непонятно. Ты понимаешь насколько ты дегенеративен? Ты не можещь сесть и разобраться в разделе математики, который оформился к концу 19 века, тебе должно быть стыдно, великовозрастному дылде, который имея при себе весь необъятный интернет, не научился находить информацию, окромя порнухи.
Аноним 12/11/17 Вск 13:01:48 27660 268
>>26718
сделай замену x\to x+4 и не еби себя большим дилдаком и по лицу и везде сперма
Аноним 12/11/17 Вск 13:03:05 27661 269
>>26240
Пиздец какой онанизм. Почему нельзя просто сказать, что это упорядоченное множество?
Аноним 12/11/17 Вск 16:49:12 27676 270
>>27661
В таком случае, нужно будет вводить понятие "натурального множества" и "соответствия"
{a; b, …}
{a} ~ 1
{b} ~ 2
{…} ~ n+1
Аноним 13/11/17 Пнд 22:45:33 27735 271
Тред вроде общий, обо всём, так что можно я ворвусь сюда со своими аутичными вопросами?
В общем, семпаи, помогите первокуру-физтеху-будущему-физику(?!) выбрать книгу по матану. Гугл, как и личные опросы, дал чересчур полярные ответы.
Аноним 14/11/17 Втр 10:30:31 27758 272
>>27735
Зорич + какой нибудь старый учебник( Фихтенгольц).
Аноним 14/11/17 Втр 11:11:50 27760 273
>>27735
Что за ВУЗ? Лучшее, что есть для самосостоятельного чтения - Зорич + Лоран-Шварц.
Мимо: аспирант ПОМИ после питерского говновуза
Аноним 14/11/17 Втр 11:18:14 27764 274
>>27735
Если пойдешь в теорию, то после говноучебника (Фихтенгольц, например) придется переучиваться. А это очень больно и долго. Делай так: бери список вопросов на семестр у лектора (по матанализу и потом, по матфизике) и разбирай их самостоятельно по книге. Будет уходить 10-12 часов в неделю, зато потом у тебя не будет проблем с аспирантурой. Терфизику слушай в том объеме, в котором дают - обычно, ее читают те, кто ей непосредственно занимаются, а не эти ушлемпки с кафедр математики во всяких СПбГУ.
Аноним 14/11/17 Втр 11:29:30 27767 275
>>27764
*по нормальной книге. Матфизику можно разбирать по Морсу-Фешбаху. +Обязательно к прочтению после первого курса книжка НЯ Виленкина - Теория представлений и Спец. функции (погугли, вроде так). После Морса-Фешбаха нужно будет срочно искать лектора по ОТО, ибо книжек по ОТО нормальных и понятных нет (есть или понятные или нормальные). Возьмешь книжку Вайнберга (ОТО) и, если понравится ее читать - то добро пожаловать в мир теоретической физики (то, что за бугром называется ТФ, не у нас - по сути, та самая Теория струн и вот этот весь наш онанизм). Если не понравилось, то можно идти во всякие Квантовые Оптики и Твердые Тела (что такое твердое тело хорошо поясняет нечитаемая книжка трех японцев - Термополевая Динамика, но ее нужно читать только после курса КТП - 5-6 курсы). На худой конец, если вообще ничто не вкатило, можно за год-полтора переучится на Software Design или Machine Learning и ебашить прогером.
Аноним 14/11/17 Втр 11:31:00 27768 276
>>27735
Тебе же еще линейная алгебра нужна. Есть книжка И Гельфанда и курс лекций Постникова.
Аноним 14/11/17 Втр 17:01:22 27792 277
>>27760
>Лоран-Шварц
Если только 1 том, все что касается дифф.форм лучше читать у кого то другого.
Аноним 14/11/17 Втр 17:46:46 27793 278
>>27735
У тебя там два разных вопроса
>первокуру-физтеху
Кудрявцев, Ильин-Позняк, Фихтегольц, Сивухин
>будущему-физику
1. Гельфанд Линейная алгебра
2. Артин Геометрическая алгебра
3. Вейль, Классические группы
>>27760
>Зорич
>Шварц
Не надо, это нереальное говно.
Аноним 14/11/17 Втр 18:11:36 27794 279
>>27793
Почему?

мимо другой
Аноним 14/11/17 Втр 20:10:11 27804 280
Аноним 15/11/17 Срд 03:23:50 27825 281
>>27804
МФТИ - говновуз с говносистемой
Аноним 15/11/17 Срд 07:42:31 27826 282
>>27825
Хоть одна альтернатива есть годная?
Аноним 15/11/17 Срд 08:35:18 27827 283
>>27826
Любой государственный ВУЗ с бюджетной зачной формой, и учиться самостоятельно. В магистратуру поступить проще все равно, это же не математика.
Аноним 15/11/17 Срд 08:37:48 27828 284
>>27827
А в ведущих базовых институтах практику тоже в любом ВУЗе можно проходить? Или тоже по учебникам это изучать, лол?
Аноним 15/11/17 Срд 11:14:13 27830 285
>>27828
>практику проходить
Ну это в пед, либо в мед. Не вижу при чем тут физика, тем более теоретическая.
Аноним 15/11/17 Срд 11:19:22 27831 286
Аноним 16/11/17 Чтв 12:36:29 27903 287
>>27826
Если пройдешь - СПбАУ. Но туда хрен пробьешься. Есть еще НМУ, но это особое заведение, а также, как ни странно, магистратура в Сколково. На худой конец физфак МГУ есть - там не так плохо, как в МФТИ.
Аноним 16/11/17 Чтв 12:38:05 27905 288
>>27827
Нереально без учителя только по учебникам.
Аноним 17/11/17 Птн 23:41:48 28046 289
>>27905
А в чем отличие? Препод может двадцати группам по двадцать человек читать свой предмет. Об индивидуальном подходе, указании на ошибки и их исправление речи нет.
Понятность материала зависит от человека, а не от формы подачи. Лучше хорошая книга, чем плохой лектор. А еще бывают случаи когда один и тот же человек пишет интересно, но объяснять в формате лекций совершенно не умеет.
Аноним 18/11/17 Суб 00:13:53 28050 290
>>28046
Лектор - в первую очередь человек, которого можно спросить - другие просто быдло и идут в сторону. Лектор, читающий дисциплину, которую он никогда не затрагивал в своих исследованиях идет туда же.
Аноним 18/11/17 Суб 10:41:01 28064 291
>>28050
Мне вот интересно, люди которые подобное утверждают, сами были в университетах хоть раз? Ну на дне открытых дверей хотя бы. Я не говорю про твоих одногруппников, которые косо смотрят на любого задающего вопросы.
Большинство преподов, читающих лекции по учебнику, сами это не приветствуют. При чем если ты шибко умный, могут начать открыто гнобить. Даже если сами плохо знают предмет и обсираются – преподу ты априори ничего не докажешь, хоть в книгу тычь, хоть куда.
>Лектор, читающий дисциплину, которую он никогда не затрагивал в своих исследованиях
То есть 99% лекторов.
Аноним 18/11/17 Суб 18:59:20 28106 292
>>27903
>СПбАУ
Это же CS вуз.
Аноним 18/11/17 Суб 19:13:13 28111 293
>>28106
Там очень сильные физики преподают на физ. специальностях
Аноним 18/11/17 Суб 19:14:12 28112 294
>>28064
У вас был очень плохой опыт обучения в ВУЗе. Наверное, в шараге.
Аноним 18/11/17 Суб 20:05:23 28126 295
>>28111
Но доска-то /math!
Аноним 18/11/17 Суб 20:08:23 28127 296
>>28112
Ну если ты думаешь что это не про мгу сказано, то спешу огорчить.
"Шарага" кстати это КБ изначально подпольные в ссср. Так что ты еще комплимент сделал.
Аноним 19/11/17 Вск 04:35:01 28147 297
>>28126
Но спрашивают про физику!
>>28127
У меня много знакомцев с физфака и они такой дичи не рассказывали. Большинство лекторов занимались именно тем, о чем они рассказывали.
Аноним 19/11/17 Вск 09:11:25 28156 298
>>28147
>знакомцев с физфака и они такой дичи не рассказывали
Я на физфаке не был. Но думаю что они, скорее всего, сами недалекие и соответственно им нормально.
Аноним 20/11/17 Пнд 20:12:27 28265 299
Чему равняется dx и dy? Мне нужно найти dz по формуле dz = dz/dx dx + dz/dy dy
Аноним 20/11/17 Пнд 20:13:57 28266 300
>>28265
Алсо, сам пример выглядит так z = u^2 - v^2u, где u = xsiny, v = ycosx
Аноним 24/11/17 Птн 03:23:25 28493 301
>>28265
>Мне нужно
А зачем?
Аноним 25/11/17 Суб 18:47:55 28585 302
Снимок.PNG 47Кб, 782x72
782x72
Анон, есть задача (пик). Решил ее так:

25+15=40
40-12=28
30-28=2 - ответ.

А как будут выглядеть эти диаграммы? Решил по памяти.
Аноним 25/11/17 Суб 20:15:31 28591 303
Безымянный.png 14Кб, 668x370
668x370
Аноним 25/11/17 Суб 20:42:44 28592 304
Безимени-2.png 23Кб, 583x275
583x275
>>28591
Анон, спасибо. Если оформлять по канонам (с окружностями), то получается будет выглядеть вот так?
Аноним 25/11/17 Суб 20:56:22 28594 305
Аноним 25/11/17 Суб 21:54:05 28605 306
depositphotos37[...].jpg 60Кб, 1023x682
1023x682
Аноним 26/11/17 Вск 17:07:42 28683 307
№5 в).jpg 119Кб, 960x720
960x720
Анон, еще раз здравствуй. В условиях задачи было написано: НЕ пользуясь правилом Лопиталя, найти пределы. Есть ли здесь ошибка? Может ли быть так, что ответ - бесконечность? Или все ок?
Аноним 26/11/17 Вск 17:10:34 28685 308
Аноним 26/11/17 Вск 21:33:16 28768 309
Снимок.PNG 60Кб, 286x170
286x170
Снимок 2.PNG 1Кб, 21x36
21x36
>>28685
Спасибо, анон.

Есть еще вопрос. Никак не могу найти в интернете вот этот знак (на втором пике детально выделил). В гугле криво выделяется. Может кто-нибудь сюда скинуть?
Аноним 26/11/17 Вск 21:54:36 28782 310
>>28768
Лол, вообще все лекции проебал? Это девочки так (некорректно) записывают строчную ёбсилен, греческий аналог буквы Е.
Аноним 26/11/17 Вск 22:16:22 28789 311
>>28782
Анон, ты не понял. Мне именно в таком варианте и нужно. Чтобы прописными были. В интернете есть варианты, но почему-то не распознаются.

А так, да, все лекции проебал.
Аноним 27/11/17 Пнд 00:58:06 28816 312
Аноним 27/11/17 Пнд 01:00:51 28817 313
Аноним 29/11/17 Срд 10:09:22 29255 314
Начал изучать матанализ сам, ибо в вузе он преподаётся очень медленно (МФТИ), плюс подготовка покрывала значительную часть курса. Увидел книжку Рудина, прочитал, задачи решил, хотел перейти к следующей -- но вот проблема, книжки "действительный и комплексный анализ" найти не могу, я так понял, она не переведена. Что читать? Английский слишком слабый, оригинал ниасилю.
Аноним 29/11/17 Срд 11:40:10 29261 315
>>29255
Не зря в МФТИ сильный уклон в сторону изучения английского, горжусь. Если серьёзно, то на русском выбор литературы гораздо меньше, особенно это касается книг изданных после 1980-х.
На русском лучшая книга по анализу это Глазман-Любич.
Аноним 30/11/17 Чтв 04:35:50 29425 316
>>29255
Хмм, я открыл все-таки "действительный и комплексный анализ", как оказалось, его-то я и читал... это что значит, я могу к функциональному анализу переходить?..
>>29261
На первом курсе откровенно ноль прогресса, даже близко не интенсив во вшэ.
Что я нашёл от Глазмана-Любича -- в предисловии сказано, что это взгляд на линейную алгебру с точки зрения функана -- где ж здесь анализ? Хотя метод изложения меня впечатлил.
Алсо, что читать по линалу, если эту область охота вдоль и поперёк изучить? Прочитал Беклемишева, думаю о допглавах.
Аноним 30/11/17 Чтв 06:43:16 29432 317
>>29425
>где ж здесь анализ
А чего именн не хватает? Топология есть, нормированные пространства есть, дифференциальное исчисление для операторов есть, спектральная теория есть. Вряд ли в средней книге по анализу особо больше.
Теории меры нет, но она к анализу вообще никаким боком (анализ строится на банаховых и гильбертовых пространствах, они по определению бесконечномерные).
>взгляд на линейную алгебру с точки зрения функана
Взгляд на X с точки зрения X. Линал от функана отличается тем, что алгебры конечномерные. Всё.
>что читать по линалу
Глазман-Любич.
Аноним 30/11/17 Чтв 09:06:54 29435 318
>>29432
Ну, в таком случае, вопрос меняется на "какой смысл мне это читать после Рудина и Беклемишева?". Я не спорю, что там есть существенная часть, которой я не знаю, но вместо этого я мог бы прочитать что-то более важное на моём этапе образования.
По поводу линала -- лол, ну это уж перебор. Бо'льшая часть того материала есть в Беклемишеве, однако там нет линейного программирования, например.
30/11/17 Чтв 09:26:42 29436 319
>>29435
>>29425
У Рудина вообще есть три книги. Одна undergraduate, "основы математического анализа", там в целом Фихтенгольц, только короче.
Другая "real and complex analysis". Она по-моему не переведена.
И ещё "функциональный анализ", перевод есть. Первые 2 книги брейнлеты с другой стороны океана именуют как baby rudin и papa rudin соответственно.
Функциональный анализ не требует знания "математического анализа"; "математический анализ" это бессмысленная дисциплина, что-то вроде дискретной математики.
Он состоит из дифференциального и интегрального исчисления. Дифференциальное исчисление это, по существу, часть алгебры (дифференцирование – гомоморфизм модуля, дифференциал – оператор в комплексе де Рама), Картан ещё в 1910-м показал, что дифференциальные формы это элементы алгебры Грассмана, у которых есть геометрический смысл (сечение кокасательного расслоения).
Любой (абсолютно любой) неопределенный интеграл это интеграл от дифференциальной формы. Определяется он чисто алгебраически, как отображение, сопоставляющее внешнему произведению цепи на коцепь – скаляр, то есть элемент \mathbb {R}.
Собственно, это получается из двойственности Пуанкаре. Работает она только для гладких ориентируемых многообразий, соответственно весь "calculus" и происходит там обычно; это раздел дифференциальной геометрии – науки про векторные поля, расслоения и связности.
Определённый интеграл (в многомерном случае, по крайней мере) это совсем другое, там не про решения дифференциальных уравнений, а про меру. Это не анализ, уже говорил выше, скорее раздел общей топологии.
Есть ещё интегралы от функционалов в бесконечномерных пространствах, например Фейнмана Березина, но это уже "суперанализ".
30/11/17 Чтв 09:37:10 29437 320
>>29435
>линейного программирования
Не математика.
>Бо'льшая часть того материала есть в Беклемишеве
Курс аналитической геометрии? Смотрел как-то, по-моему там нихуя нет, но ладно, поверю.
Почти все вменяемые учебники по алгебре на английском, например двухтомник Rowen. Из переведенного ещё хорошее Бурбаки, три тома про алгебру и "топологические векторные пространства".
30/11/17 Чтв 10:00:48 29438 321
По функциональному анализу – это раздел теории ассоциативных алгебр; более конкретно там изучают банаховы алгебры (ранее их назвали нормированными кольцами). Это более естественный объект, нежели банахово пространство; можно показать что при условии полупростоты норма задаётся единственным способом.
Примеров много, те же кватернионы это банахова алгебра. Ещё, в отличие от банаховых пространств, алгебры можно строить не только над R или C, но и над Q(p); то есть неархимедов анализ тоже имеется.
Гельфанд применил к нормированным кольцам методы теории представлений, и получил обобщение Фурье-анализа:
https://en.wikipedia.org/wiki/Gelfand_representation
Из литературы очевидные Гельфанд и Наймарк, на русском ещё неплохая книга Пирс "Ассоциативные алгебры".
Аноним 30/11/17 Чтв 20:33:37 29543 322
>>29436
>Любой (абсолютно любой) неопределенный интеграл это интеграл от дифференциальной формы.
Это частный случай интеграла по мере.
Аноним 30/11/17 Чтв 20:37:33 29544 323
>>29543
Неопределенный частный случай определенного?
Аноним 01/12/17 Птн 07:13:13 29677 324
>>29436
У Рудина гораздо больше чем три книги. Например, он написал "Fourier Analysis on Groups".
Аноним 01/12/17 Птн 10:44:15 29679 325
>>29677
Да; еще у него есть "Function Theory in the Unit Ball", например. Я это знаю, но имел в виду стандартный материал.
Аноним 01/12/17 Птн 17:00:00 29695 326
>>29436
Ну охуеть теперь. И что это мне дало? Может, тогда скажешь, что вся математика -- разделы теории множеств и стоит изучать только её? Я же должен следовать какой-то программе. Нашёл программу Вербицкого и оценил книжку Шварца. Занимательно, даже готов потратить время на то, чтобы прочитать то, что уже по большей части знаю, однако столкнулся с проблемой -- где упражнения? Брать из Зорича? В списке упоминаются и Зорич, и Шварц, это значит, что они взаимозаменяемы, или что дополняют друг друга? Без упражнений не катит, через месяц забуду, как было с алгоритмами перед всероссом по информатике.
Аноним 01/12/17 Птн 18:10:10 29697 327
>>29695
Теория множеств это вообще не математика.
У Зорича во втором томе написано ровно то, что я тебе сказал, но не так хорошо, как в других книнах; менее внятно и с уродскими выкладками.
Гораздо лучше Ботт, Ту Дифференциальные формы в топологии, первая глава. Еще хорошая книга: Федерер Геометрическая теория меры.
>Нашёл программу Вербицкого
Программа отличная, но список книг говно. Сам Вербицкий говорил, что "хороший студент выучится по самой хуевой книге; а плохой не выучится вообще". Он этот материал давно знает и 99% учебников новых или нет, ни разу не открывал, а советует в основном то, по чему выучился сам. Это не обязательно лучшее, чаще всего наоборот.
>книжку Шварца
Уебищное говно.
>где упражнения?
Самый тупой вопрос на доске про математику. Единственные упражнения, которые нужны, это упражнения на доказательство утверждений. Соответственно любая книга, где есть хоть какие-то теоремы это задачник: просто бери и доказывай всё сам.
>через месяц забуду
Хуй знает как ты читаешь тогда, видимо не понимаешь вообще ничего. Собственно, упражнения нужны только для того, чтобы "объективно" проверить, усвоил ты тему или нет.
>перед всероссом
Ну я бы не стал сравнивать тупой проблем-солвинг на скорость с математикой. Это скорее что-то вроде судоку, или шахмат, говно в общем.
Аноним 01/12/17 Птн 20:16:18 29708 328
>>29695
Кстати чуть не забыл, есть вполне вменяемая книга другого Шварца и Данфорда "Линейные операторы" в трех томах. Там как раз весь анализ есть, первый том элементарная теория как в Глазмане-Любиче, а вот второй уже с банаховых алгебр начинается.
Про теорию множеств вообще странная ремарка, будто методами теории можно что-то содержательное сказать про анализ (а вот методами алгебры и топологии про него можно сказать практически всё).
Аноним 01/12/17 Птн 20:26:59 29709 329
>>29697
>Это скорее что-то вроде судоку, или шахмат
Но шахматы это суть всего.
Аноним 01/12/17 Птн 21:21:06 29713 330
>>29697
Почему Шварц говно? Ботта и Федерера смогу читать, если по топологии в жизни книжки не открывал, а только то, что в Шварце было во второй главе?

Во-первых, мне надо сдавать экзамены, включая письменные (хотя для этого хватит и вузовского списка, уже решённого), во-вторых, сам я заниматься математикой не хочу (я подразумеваю профессиональную деятельность) и математическое образование получаю для "гимнастики ума", сам я в консалтинг и data science.

Большинство теорем из учебников либо тривиальны, либо слишком сложны, задач, подходящих для набивания руки, там мало, да и вообще, их просто мало. Я ставлю перед собой цель научиться хорошо и _быстро_ оперировать матаппаратом, чтобы мне не приходилось сидеть и что-то вспоминать, будь то при решении задачи (любого характера -- от взятия интеграла до доказательства сформулированных самостоятельно теорем в кандидатской/дипломной работах) или сдаче экзамена.

Причем здесь понимание? Ты не сможешь через месяц так же эффективно пользоваться аппаратом, как через день, это объективно, в этом вообще весь прикол обучения -- образованные связи надо отрабатывать. Естественно, я смогу рассказать определения/теоремы/доказательства и через месяц, и через два, но на это потребуется больше сил и времени.

Проблем-солвинг на время -- это то, что меня интересует как в математике, так и от неё.
Чтобы была понятнее моя позиция: допустим, мне дали задачу по физике -- мало того, чтобы я ее быстро решил, мне надо, чтобы я мог так же быстро доказать верность применённых теорем и методов решения, чтобы в голове выстраивалось дерево решения до аксиом ТМ (я утрирую, естественно).
Аноним 01/12/17 Птн 21:50:50 29716 331
>>29713
>Почему Шварц говно?
Дохуя страниц про всякие интегралы Римана, меры Радона, вариационное исчисление для кратных интегралов; дифф. формы же определяются на 300-й странице второго тома. Еще у него какие-то бурбакистские взгляды на то, как называть подмножества, но это мелочи.
>по топологии в жизни книжки не открывал
Весь необходимый в математике материал по общей топологии занимает примерно пять страниц.
>Большинство теорем из учебников либо тривиальны, либо слишком сложны
Да. Бывает непонятно что и доказывать, настолько всё очевидно; а иногда даже не ясно в чем состоит смысл утверждения.
Что поделать.
>Проблем-солвинг на время -- это то, что меня интересует как в математике
В математике этим не занимаются. Вообще. Умение понимать нужно при чтении чужих работ и конечно, при написании своих. Хорошо усвоенный материал предмета предоставляет некоторую интуицию, полезную, в том числе, и для взятия интегралов. Само же взятие интегралов ничего не дает.
Аноним 01/12/17 Птн 21:56:22 29717 332
>>29709
Нет, это развлечение для слабоумных кретинов, вроде игры в кости. Про шахматы всё сказал ещё Эдгар По:

Между тем рассчитывать, вычислять - само по себе еще не значит анализировать. Шахматист, например, рассчитывает, но отнюдь не анализирует. А отсюда следует, что представление о шахматах как об игре, исключительно полезной для ума, основано на чистейшем недоразумении. И так как перед вами, читатель, не трактат, а лишь несколько случайных соображений, которые должны послужить предисловием к моему не совсем обычному рассказу, то я пользуюсь случаем заявить, что непритязательная игра в шашки требует куда более высокого умения размышлять и задает уму больше полезных задач, чем мнимая изощренность шахмат. В шахматах, где фигуры неравноценны и где им присвоены самые разнообразные и причудливые ходы, сложность (как это нередко бывает) ошибочно принимается за глубину. Между тем здесь решает внимание. Стоит ему ослабеть, и вы совершаете оплошность, которая приводит к просчету или поражению. А поскольку шахматные ходы не только многообразны, но и многозначны, то шансы на оплошность соответственно растут, и в девяти случаях из десяти выигрывает не более способный, а более сосредоточенный игрок. Другое дело шатки, где допускается один только ход с незначительными вариантами; здесь шансов на недосмотр куда меньше, внимание не играет особой роли и успех зависит главным образом от сметливости. Представим себе для ясности партию в шашки, где остались только четыре дамки и, значит, ни о каком недосмотре не может быть и речи. Очевидно, здесь (при равных силах) победа зависит от удачного хода, от неожиданного и остроумного решения. За отсутствием других возможностей, аналитик старается проникнуть в мысли противника, ставит себя на его место и нередко с одного взгляда замечает ту единственную (и порой до очевидности простую) комбинацию, которая может вовлечь его в просчет или сбить с толку.
Аноним 01/12/17 Птн 22:28:50 29722 333
>>29716
По первым двум пунктам понятно. Интеграл Римана и прочая хуйня меня интересует, ибо мне ещё экзамены сдавать.

Я понимаю, к чему ты клонишь, но что такое "доказать" я понимаю. Я про то, что в большинстве теорем либо одна и та же идея, либо идея встречается единожды и пиздец непростая -- пока не прочитаешь, не догадаешься. А среднее положение имеет количество утверждений ещё меньшее, чем количество сложных, при том, что всего теорем и лемм в учебнике не так много, как должно быть, на мой взгляд, задач.
Хорошая усвоение материала слабо помогает скорости -- скорее, решишь более сложную задачу, но время решения средних изменится не сильно. Повторюсь, передо мной задача дроча до рефлексов.
В общем, я все понял, спасибо. Задачи в "линейных операторах" есть, хех.

Теперь меня интересует ещё учебник по диффурам и вариационному исчислению.
Аноним 01/12/17 Птн 22:44:54 29726 334
hirsh.png 64Кб, 330x410
330x410
>>29722
>вариационному исчислению
У математиков это называется "теорией Морса".
https://en.wikipedia.org/wiki/Morse_theory
В зачаточном виде эти идеи были еще у Максвелла, см. статью.
Ключевой факт там – клеточное разбиение в терминах геодезических. Из литературы очевидный Милнор (на английском есть ещё Matsumoto и Nicolaescu).
Аноним 02/12/17 Суб 00:01:40 29738 335
Снимок2.PNG 17Кб, 652x93
652x93
Чому здесь получается сумма частных производных, а не дивергенция?
Аноним 02/12/17 Суб 01:15:07 29742 336
>>29716
>какие-то бурбакистские взгляды на то, как называть подмножества
Он иногда позволяет себе называть их "части". Очень удобное слово, как по мне. Отвергаю ваши претензии.
мимошёл
Аноним 02/12/17 Суб 19:32:09 29960 337
>>29261
А на английском?
Аноним 02/12/17 Суб 19:33:41 29963 338
Аноним 02/12/17 Суб 19:45:46 29967 339
>>29963
Какие конкретно книги?
В Algebra: Groups, Rings, and Fields by Louis Rowen и в Basic Linear Algebra Blyth, T.S., Robertson, E.F. ни слова про дифференцирование и интегрирование.
Аноним 02/12/17 Суб 19:51:19 29968 340
>>29967
>Rowen
Graduate algebra же, второй том 19 глава и добавление к 6 главе первого тома.
>Blyth
Module theory, это пререквизиты (Rowen на линейной алгебре подробно не останавливается, а без нее в анализе делать нечего).
Аноним 02/12/17 Суб 21:07:56 29978 341
d anal deriv.png 219Кб, 685x1033
685x1033
d anal contents.png 188Кб, 683x1033
683x1033
>>29968
Спасибо, глянул.
> это пререквизиты
К чему? В этих двух книгах тоже нет ничего непосредственно аналитического, ведь так? Должна же быть книга с названием вроде Algebraic Approach to Real and Complex Analysis?

Единственное, что нагуглилось пока это Dieudonné "Foundations of modern analysis".
Аноним 02/12/17 Суб 22:19:38 29981 342
>>29978
>Real Analysis
Differential geometry
>Compex Analysis
Algebraic geometry
Книга Дьедонне тоже плохая, во всяком случае не лучше Шварца.
"Мат анализ" это лоскутная дисциплина, состоящая из криво пришитых друг к другу кусков дифференциальной геометрии, функционального анализа, теории меры; химера типа "дискретной математики".

Дифференциальное исчисление и неопределенный интеграл (читай: интеграл от дифференциальных форм на многообразиях) это часть дифференциальной геометрии. Фундаментом здесь опять служит полилинейная алгебра (дифф форма это элемент внешней алгебры, по определению).
Про это можно читать у John Lee introduction to smooth manifolds, либо у Ботта и Ту дифф формы в топологии (1 глава). Чисто алгебраическая экспозиция этого же самого дана в 16 главе commutative algebra Eisenbud'а.

Функциональный анализ это другая тема; но основанная так же на линейной алгебре. Линал это наука об операторах в конечномерных линейных пространствах, функан отличается тем, что пространства там бесконечномерные и нормированные. Впрочем, удобнее смотреть на эти пространства как на ассоциативные алгебры. Соответственно основные темы: спектральная теория операторов, банаховы алгебры, ядерные пространства, обобщённые функции, теория Фурье-анализа Гельфанда.
Читать про это можно у Пирковского (но там довольно кратко); Шварца-Данфорда, еще есть современные книги, например Kaniuth Eberhard.
С более общей точки зрения весь функциональный анализ является разделом К-теории С*-алгебр. Даже такая простая вещь, как теоремы Фредгольма, на самом деле опирается на К-теорию операторной алгебры.

Мне кажется, что выделение анализа как отдельной области это историческое недоразумение, все равно что выделять теорию множеств или универсальных алгебр, исследование асимптотик бесселевых функций никакой "теорией" не является.
Аноним 03/12/17 Вск 07:53:41 30097 343
>>29981
>интеграл от дифференциальных форм на многообразиях
А криволинейный интеграл типа B тогда как понимать?
Аноним 03/12/17 Вск 10:25:45 30098 344
>>30097
Открыть к примеру Зорича, увидеть что там криволинейный интеграл типа В определяется как интеграл от дифференциальной формы, некоторое время думать, осознать что отличия его от знакопеременного случая чисто косметические.
Аноним 03/12/17 Вск 12:20:45 30132 345
Аноним 03/12/17 Вск 12:40:48 30134 346
>>30132
Не получилось? Ну пробуй еще, может выйдет со временем.
Аноним 06/12/17 Срд 20:47:25 30677 347
image.png 75Кб, 352x333
352x333
>>4 (OP)
подскажите по каким правилам произошло это преобразование(если можно распишите)
Аноним 07/12/17 Чтв 19:39:25 30878 348
>>30677
Разложение дроби на простейшие
Аноним 18/12/17 Пнд 21:02:22 32189 349
Снимок.JPG 15Кб, 565x114
565x114
Аноны, добрый день. Прошу у тебя помощи. Сестра учится на заочке и голову мне сломала с этой задачей. Я 6 лет назад учился на тех. специальности, вот она и думает, что я способен решить подобное. Но это не в моих силах.
Аноним 18/12/17 Пнд 21:35:33 32196 350
image.png 3Кб, 337x143
337x143
Объясните, как это получилось
Аноним 19/12/17 Втр 00:38:10 32207 351
>>32196
Ну ёбона, бином Ньютона же. Распиши (1-1)^k и все увидишь.

Аноним 19/12/17 Втр 13:25:07 32317 352
>>32189
dy=2tdt
x=ln(t)
dx=dt/t
dt=tdx
но t=exp(x)
dt=exp(x)dx
dy=2exp(x)exp(x)dx
может так
Аноним 19/12/17 Втр 13:26:11 32318 353
>>32317
Я даун, надо было вторые производные найти.
Аноним 19/12/17 Втр 13:27:04 32319 354
>>32318
Хотя, раз первая найдена, можно просто продифференцировать.
Аноним 19/12/17 Втр 15:59:41 32345 355
>>32317
Спасибо, анон, но там вторые производные нужны.
Аноним 19/12/17 Втр 23:28:22 32392 356
>>32345
dy=2exp(x)exp(x)dx
dy/dx=2exp(x)exp(x)
y’=2exex=2e2x
y’’=22e2x=4e2x
Аноним 19/12/17 Втр 23:29:39 32393 357
Аноним 20/12/17 Срд 11:39:32 32420 358
>>32392
Благодарю по-братски, ежже. Всех благ.
Аноним 20/12/17 Срд 21:27:01 32479 359
Снимок1.JPG 14Кб, 554x107
554x107
Безимени-1.jpg 344Кб, 716x866
716x866
Безимени-2.jpg 165Кб, 843x323
843x323
Анон, скажи, правильно ли сделано задание? Благодарю.
Аноним 22/12/17 Птн 23:02:40 32622 360
Что такое микролокальный и геометрический анализы?
Аноним 23/12/17 Суб 09:42:44 32642 361
>>32622
It is not easy to give a comprehensive definition of this subject, and the name 'geometric analysis' has only been in common currency for the last 25 years or so. Loosely speaking, this field involves the many interlocking relationships between geometry and partial differential equations. These interconnections go both ways. For example, a 'purely geometric' problem, such as finding the optimal shape of a manifold, can be translated into an equivalent problem which involves solving a PDE. If a solution of that equation can be found, this can then be translated back into a solution of the original geometric problem. A classic instance is the uniformization theorem, where one seeks optimal (constant curvature) metrics on surfaces. There are several different analytic approaches, the earliest involving complex analysis and later ones involving semilinear elliptic PDE's. In the other direction, new perspectives in the field of PDE and many new techniques to solve various classes of equations have been inspired by the geometry underlying these equations. Among the many examples here, deep advances in fully nonlinear elliptic equations originated in the fundamental breakthroughs by Yau and others on Monge-Ampere equations arising in geometry. In a different direction, the entire modern theory of linear partial differential using microlocal analysis, pioneered by Hörmander, Kohn, Nirenberg and others, relies on a new way of viewing linear PDE through a geometric lens and exploiting the deep connections with symplectic geometry.
Аноним 25/12/17 Пнд 01:19:04 32927 362
Безымянный.png 44Кб, 800x600
800x600
Вот простой пример замены переменной, который я нашел на одном из сайтов, и меня интересует, почему d(t) равен не просто -2x, а -2x*d(x). Откуда взялся дифференциал x?
Аноним 25/12/17 Пнд 13:41:04 32943 363
>>32927
Потому что по факту dt=d(9-x^2)=-2xdx
что такое дифференциал вообще не знаешь?
Аноним 18/01/18 Чтв 19:18:30 35216 364
>>32479
Неправильна формула второй производной в [2.1] y''xx в числителе должно быть Fxx(Fy)^2-2FxyFxFy+Fyy(Fx)^2.
В задании [2.1] в формуле y''x Fyy неправильно подсчитана, вторая производна от tg''(y) = 2sin(y)/cos^3(y) по y. [2.2] вроде правильно
Аноним 18/01/18 Чтв 20:13:11 35221 365
index.jpg 101Кб, 800x600
800x600
Аноним 30/01/18 Втр 15:26:08 36099 366
Посоветуйте какой-либо том, делающий упор на глубину и осознание материала, а не на объём. Желательно с теорией множеств, из которых затем вытекает строение чисел, а потом уже изучение пределов и тд и тп.
Аноним 30/01/18 Втр 15:42:06 36100 367
Аноним 30/01/18 Втр 16:35:11 36101 368
>>29717
Щас бы прислушиваться к высерам поехавшего, который даже в орангутанах разобраться не в состоянии.
Аноним 30/01/18 Втр 18:13:35 36103 369
>>36100
Я посмотрел, там аксиоматическое введение действительных чисел, а я бы хотел что то более высокого уровня (если есть такое)
Аноним 30/01/18 Втр 22:05:35 36108 370
>>36099
Éléments de géométrie algébrique.
Аноним 31/01/18 Срд 07:28:07 36129 371
>>36108
ей чё за хуйня неруский
Аноним 01/02/18 Чтв 19:18:09 36210 372
>>36103
Ну посмотри в другой книжке конкретно этот вопрос. Особой разницы нет.

Алсо аксиомтически подход это и есть "более высокий уровень", т.к. абстрагируется от деталей конструирования объекта.
Аноним 02/02/18 Птн 06:43:46 36237 373
>>36210
А в какой книжке можно этот вопрос увидеть подробно?
Аноним 11/02/18 Вск 12:42:29 36622 374
>>27768
А что насчёт Винберга?
Аноним 17/04/18 Втр 12:38:03 38512 375
Вопрос2.png 10Кб, 364x93
364x93
2.jpg 154Кб, 720x960
720x960
Аноны, правильно ли решил?

Аноним 18/04/18 Срд 07:00:06 38536 376
>>38512
Вольфрам тебе на что Господь дал?
Аноним 18/04/18 Срд 17:10:58 38550 377
>>38536
>Вольфрам
Ты про wolfram.com?
Аноним 19/04/18 Чтв 09:25:41 38572 378
Аноним 19/04/18 Чтв 17:00:40 38590 379
>>38572
Но ведь там надо знать ангельский. Теперь мне придется страдать?
Аноним 19/04/18 Чтв 18:46:08 38594 380
Аноним 19/04/18 Чтв 18:49:01 38595 381
>>38594
Я пытался найти, куда мне вбить мой пример с помощью Гоогле Транслите, но так ничего и не вышла. Видимо, это злой рок. Судьба. Апокалипсис.
Аноним 19/04/18 Чтв 20:01:24 38605 382
>>38595
В главное поле ввода:
integrate ((x^2-2x)/(x^3-блабла))dx from 0 to 1

Если брать предел, то limit (f(x)) at x=+inf (+ бесконечность, к примеру)

Ряд Тейлора:
taylor e^x at x=0

Если какой-нибудь пример решить или уравнение, то просто его ввести и всё.
Аноним 19/04/18 Чтв 20:14:34 38606 383
>>38605
Жизнеутверждающе благодарю тебя. Думаю, разберусь.
Аноним 30/04/18 Пнд 18:46:33 38958 384
как выглядит резольвента оператора дифференцирования?
Аноним 30/04/18 Пнд 20:07:38 38961 385
>>38958
сначала укажи, в каких пространствах ты его рассматриваешь
Аноним 30/04/18 Пнд 21:01:37 38964 386
Аноним 30/04/18 Пнд 21:13:38 38966 387
>>38964
и как у тебя оператор дифференцирования действует на C[0,1]?
Аноним 30/04/18 Пнд 21:17:00 38968 388
>>38966
хз на самом деле. в задании так указано. Скорее всего подразумевается С2[0;1], т.к. нужно найти резольвенту второй производной
Аноним 30/04/18 Пнд 21:37:36 38969 389
>>38968
Оператор $d/dx - \lambda \colon C^2[0,1] \rightarrow C^1[0,1]$ не является ограниченным, соответственно, его резольвента есть пустое множество
Аноним 09/05/18 Срд 05:21:21 39209 390
>>38969
>его резольвента есть пустое множество
Как цепной комплекс может быть пустым?
Аноним 27/05/18 Вск 09:59:54 39847 391
27/05/18 Вск 17:02:37 39871 392
Аноним 15/08/18 Срд 19:33:56 42158 393
Для того чтобы показать, что существует непрерывная функция на R, которая нигде не дифференцируема, часто используют функцию Вейерштрасса. Какие есть другие функции для иллюстрации этого факта? Как их искать?
Аноним 27/08/18 Пнд 21:05:07 42519 394
Почему любое индуктивное множество бесконечно (равномощно любому своему собственному подмножеству). Интересует только строгое доказательство (задача из Зорича)
Аноним 28/08/18 Втр 02:29:18 42528 395
>>42519
Любому? И пустому тоже? Ты ебанулся?
Аноним 28/08/18 Втр 14:32:56 42543 396
>>42528
Сорян, некоторому. Грубо говоря, нужно построить такую биекцию, но как ее строить и в какое конкретно множество непонятно

Аноним 29/08/18 Срд 15:42:37 42581 397
>>42543
Возьми каждый второй элемент
Аноним 29/08/18 Срд 15:47:14 42582 398
>>42543
Каждому элементу x сопоставим элемент x', где x' - элемент, следующий за x. У Зорича x' определяется как x∪{x}, емнип. Легко видеть, что это биекция на собственное подмножество.
Аноним 06/09/18 Чтв 00:03:43 42797 399
image.png 11Кб, 532x50
532x50
Пацаны, объясните. Вот определение:
ТРАНЗИТИВНОСТЬ := (x, y) ∈ R ⋀ (y, z) ∈ R → (x, z) ∈ R
Пусть A = { a, b, c } и есть такое отношение на А:
R = { (a, a), (b, b), (c, c), (a, b), (b, a) }
Нигде в определении транзитивности не сказано, что x ≠ z. Тогда отношение R рефлексивно, симметрично И в любом случае транзитивно. Т.е. в случае, если отношение рефлексивно и симметрично, то оно не может быть НЕ транзитивным. Чому тогда пикрелейтед?
Аноним 06/09/18 Чтв 14:12:24 42817 400
>>42797
R = { (a, a), (b, b), (c, c), (d, d), (e, e), (a, b), (b, a), (a, c), (c, a) }
(a,b) ∈ R ⋀ (a,c) ∈ R, но (b,c) ∉ R
Аноним 07/09/18 Птн 15:46:47 42861 401
>>42797
но нигде и не сказано, что x=z
09/09/18 Вск 18:37:25 42941 402
>>42817
Твой контраргумент не соответствует определению транзитивности. Впрочем, мне уже провели хуем по губам объяснили всё в прикреплённом треде, а пост я удалить не могу, поэтому неважно.
Аноним 09/09/18 Вск 23:36:04 42958 403
>>42941
Я тебя неправильно понял. Ты спрашивал только про множество A={ a, b, c }, да?
Аноним 09/09/18 Вск 23:39:35 42959 404
>>42941
Чекнул прикреплённый, и, кажись, это ты нормально выразиться не можешь.
Мой контраргумент как раз задаёт НЕ транзитивное отношение, всё по определению.
Аноним 10/09/18 Пнд 00:03:33 42961 405
>>42959
>(a,b) ∈ R ⋀ (a,c) ∈ R, но (b,c) ∉ R
Есть (a, b) и (a, c). Второй элемент первой упорядоченной пары не равен первому элементу второй упорядоченной пары, поэтому отсутствие (b, c) в отношении не связано в этом контексе с его транзитивностью никак. Если бы были пары (b, a) и (a, c), то тогда да, это выражение бы указывало на нетранзитивность R. Это просто опечатка, скорее всего. Ну там реально вопрос решённый, но всё равно спасибо за интерес.
Аноним 12/09/18 Срд 13:35:05 43043 406
>>42961
Бля, проебался, да.
Аноним 24/09/18 Пнд 01:41:22 43470 407
Ебаный демидович
Аноним 30/09/18 Вск 23:19:49 43796 408
Untitled.png 14Кб, 965x77
965x77
Куда тут думать?
Аноним 01/10/18 Пнд 12:03:35 43805 409
>>43796
просто распиши все определения и станет очевидно
Аноним 05/10/18 Птн 00:46:58 43875 410
какой предел у sin(n!)? как доказать?
Аноним 05/10/18 Птн 01:49:51 43879 411
Замыкание Cl(A) из X - множество пределов всех последовательностей из A?
Замыкание содержит все предельные точки.
Насколько знаю в R у каждой сходящейся последовательности есть только одна предельная точка.
Но зависит ли это от топологии X?
Аноним 05/10/18 Птн 04:15:45 43881 412
>>43879
не у всех последовательностей есть предел
в нехаусдорфовом пространстве у последовательности может быть больше одного предела
Аноним 05/10/18 Птн 04:24:26 43882 413
>>43879
думаю ещё, можно придумать множество, у которого есть предельные точки, не являющиеся пределами никаких последовательностей в этом множестве. но это что-то хитрое
Аноним 10/10/18 Срд 20:04:41 43958 414
Посоветуйте учебник по комплексному анализу. Обычный по Зоричу учил.
Аноним 10/10/18 Срд 21:48:01 43962 415
>>43882
Нельзя. Беру окрестности 1/n, в каждой выбираю по точке и последовательность готова.
Аноним 10/10/18 Срд 23:46:15 43970 416
Аноним 11/10/18 Чтв 12:05:36 43982 417
>>43962
>Беру окрестности 1/n

что?
Аноним 11/10/18 Чтв 18:47:33 43994 418
>>43982
Ну это в метрическом пространстве радиусы окрестностей, а в общем случае просто семейство вложенных окрестностей.
Аноним 11/10/18 Чтв 22:34:56 44003 419
>>43994
>а в общем случае просто семейство вложенных окрестностей.

Ты уверен, что в общем случае такое семейство можно найти?
Аноним 13/10/18 Суб 14:17:03 44039 420
>>43879
Думаю, что в Хаусдорфовом пространстве это всегда так. В другом случае нужно придумать пример.
Аноним 21/10/18 Вск 17:18:59 44296 421
Где найти доказательство того, что интеграл по поверхности, натянутой на контур, не зависит от выбора такой поверхности?
Аноним 21/10/18 Вск 18:03:06 44297 422
>>44296
Есть только идея, что это следствие формулы Стокса
Аноним 21/10/18 Вск 20:05:37 44300 423
>>44297
Не понял утверждения. Чтобы вычислить интеграл по поверхности, нужно иметь диф. форму на ней. Каким образом диф. формы на разных поверхностях связаны?
Аноним 21/10/18 Вск 21:09:59 44308 424
>>44300
Видимо, неправильно сформулировал. Тогда сначала частный случай.
Есть вектор S=∫dS, равный векторному интегралу от dS по поверхности, натянутой на замкнутый контур, где dS - вектор элементарной площадки поверхности (dS=dS*n, где n - нормаль элементарной площадки).
Удтверждается, что этот интеграл не зависит от выбора натянутой на этот контур поверхности, а только от самого контура
Аноним 22/10/18 Пнд 11:43:37 44324 425
>>44308
неновижу все эти обозначения. Разве интеграл по dS от поверхности это не тупо её площадь? Это не наводящий вопрос, если что, я сам не знаю.
Аноним 22/10/18 Пнд 17:28:05 44327 426
>>44003
Можно, но нам нужно не абы какое семейство, а счётное. Без первой аксиомы счётности не факт, что оно обязательно существует, но я тупой и пример выдумать не могу.
Аноним 22/10/18 Пнд 19:12:41 44328 427
>>44296
Смотря что ты интегрируешь по поверхности. Если dω какую-то, то не зависит по Стоксу (интеграл dω по S = интеграл от ω по ∂S). Если произвольную, то вообще говоря должен зависеть.
Аноним 22/10/18 Пнд 22:19:03 44343 428
\omega_1+1 или косчетное пространство
Аноним 23/10/18 Втр 03:18:37 44362 429
>>44324
Там не интеграл не по скаляру, а по вектору dS
Аноним 23/10/18 Втр 03:42:04 44363 430
>>44328
Я написал полное условие, больше ничего не дано.

Собственно я сейчас электромагнетизм учу и там часто на какой-то контур натягивают какую-то поверхность и говорят, что поверхность может быть произвольной.

Мне ещё одно непонятно. Почему телесный угол, под которым видна поверхность, натянутая на контур, тоже не зависит от выбора этой поверхности, а только от контура? Разве нельзя так "выпучить" нятянутую поверхность, что она выйдёт за пределы телесного угла, из-под которого виден сам контур?

Можно чуть подробнее про Стокса? Можно такой же вывод сделать не из общей формулы, а из той, которая с ротором?
Аноним 24/10/18 Срд 07:12:57 44385 431
>>44363
>Почему телесный угол, под которым видна поверхность, натянутая на контур, тоже не зависит от выбора этой поверхности, а только от контура?
Не ебу, что там в электромагнетизме, но может быть дело в том, что там, где поверхность "выпячевает", наш взгляд проходит через неё дважды?
Вообще, физики любят подразумевать и недоговаривать. Если они подразумевают, что ты интегрируешь какое-то dω, а в определении телесного угла имеют в виду правило "два раза - не пидорас", то всё сводится к Стоксу. Если нет, то хуйню несут, контрпримеры можно составить.
Аноним 24/10/18 Срд 13:17:04 44388 432
>>44385
>там, где поверхность "выпячевает", наш взгляд проходит через неё дважды
Блин, точно.
>Если они подразумевают, что ты интегрируешь какое-то dω
Может ли dS=n*dS (n - нормаль к элементарной площадки поверхности, dS - её площадь) являться дифференциалом какой-то формы ω?
Аноним 24/10/18 Срд 14:51:27 44393 433
image.png 13Кб, 764x63
764x63
>>44388
>Может ли dS=n*dS (n - нормаль к элементарной площадки поверхности, dS - её площадь) являться дифференциалом какой-то формы ω?
Нет, это вообще не дифференциальная форма в R^3. Это описание самой поверхности, по которой ты интегрируешь. "Элементарная площадка" у физиков идёт вместо карты поверхности, а нормаль - вместо ориентации.

Тебе же важно понимать, что именно ты по этой поверхности интегрируешь, например какой-то оператор от какого-то поля. Вот он должен быть дифференциалом какой-то формы, чтобы Стокс работал.

То есть смотри, у тебя в учебнике по электродинамике утверждение: "Интеграл от хуйнянейм_1 по поверхности S, натянутой на контур T, не зависит от выбора такой поверхности." Не зависит почему? Скорее всего, потому что этот интеграл равен интегралу от хуйнянейм_2 по контуру Т, а контур T не меняется. Первый интеграл равен второму почему? Потому что хуйнянейм_1 - это дифференциал от хуйнянейм_2, T - край S, а тут и Стокс подъехал.

Пикрил пример из википедии. хуйнянейм_1 - это первое подинтегральное выражение (вместе со всеми dxdy), хуйнянейм_2 - второе выражение. И действительно, первое - это дифференциал второго, что можно легко доказать чистописанием, пользуясь правилами дифференцирования функции нескольких переменных и учитывая, что dxdx=dydy=dzdz=0.
Сигма и дэ сигма здесь - это как раз поверхность и её граница.
Аноним 24/10/18 Срд 17:30:03 44401 434
>>44393
>Тебе же важно понимать, что именно ты по этой поверхности интегрируешь
Ну, в том-то и прикол, что интегрирую я единицу, умноженную на dS и больше ничего.
Есть векторный интеграл, который целиком выглядит вот так и берётся по поверхности, натянутой на какой-то фиксированный контур: S=∫dS. Удтверждается, что S зависит только от контура.
Это полное условие удтверждения.

Возможно, конечно, что я чего-то в упор не понимаю.
Аноним 24/10/18 Срд 17:31:27 44402 435
>>44401
*S и dS - вектора, если не видно.
Аноним 24/10/18 Срд 21:00:30 44408 436
>>44401
Можно на этот интеграл от вектора dS посмотреть покомпонентно. То есть, S_x = ∫e_x dS, где e_x - единичный вектор по оси x. Теперь нужно показать, что e_x - ротор какого-то векторного поля. Можно взять в качестве такого поля, например, a=y e_z. Стокс теперь говорит, что ∫e_x dS = ∫y dz, где интегрирование идет вдоль контура. То же самое для компонент у и z работает. Независимость интеграла от выбора поля, ротором которого является e_x, будет обеспечиваться тем же Стоксом.
Аноним 25/10/18 Чтв 00:52:23 44421 437
>>44408
Спасибо за разъяснение
Аноним 25/10/18 Чтв 18:21:09 44430 438
А есть нормальная форма записи дифференциальных уравнений или все ученые мужи ставят всякие греческие заглавные буквы и дохуя дифференциалов в разных степенях без всякого формального смысла?
Аноним 26/10/18 Птн 00:21:13 44456 439
>>44430
дифференциальное уравнение -- это задача об описании ядра некоторого (дифференциального) оператора, действующего в определённых (функциональных) пространствах, которые, по-честному, должны быть заданы в условии задачи

что именно ты понимаешь под "нормальной формой", не очень понятно
Аноним 30/10/18 Втр 21:56:44 44656 440
IMG201810302251[...].jpg 671Кб, 4146x404
4146x404
Помогите, пожалуйста, я уже истыкал эту задачу всем матаном, какой знаю. Спасибо Зоричу за счастливую юность.
Аноним 01/11/18 Чтв 05:16:12 44711 441
>>44656
Это теорема Соболева о вложении по сути, ты можешь передоказать её небольшой кусочек самостоятельно, там несложно.

Тривиальная часть 0: Если бы f была многочленом - задача решалась бы тривиально.

Нетривиальная часть 1: покажи, что любую l-гладкую во внутренности шара и непрерывную на его границе можно приблизить многочленами по норме W_inf^l (за определениями в википедию, но для того чтобы это доказать, ничего кроме определений знать не нужно).

Тривиальная часть 2: покажи, что предел многочленов по такой норме будет l-дифференцируемой функцией.

Тривиальная часть 3: используя часть 1 приблизь функцию f многочленами, после чего заметь, что многочлены у тебя продолжаются тривиально (часть 0), предел продолжений приближающих многочленов по части 2 и будет исккомым продолжением.
Аноним 01/11/18 Чтв 10:43:26 44719 442
>>44711
Спасибо. Я немного знаю соболевские пространства, но не может быть, чтобц Зорич подразумевал такое решение. Это же всего лишь учебная задачка по матану, да и в Зориче нет соболевских пространств.
Аноним 01/11/18 Чтв 11:08:49 44720 443
>>44719
А их тут тоже по сути нет нет, нужно всего лишь показать что гладкая функция равномерно приближаема многочленом, вместе со своими первыми l производными, используя теорему об аппроксимации Вейерштрасса (которая у зорича, думаю, есть)
Аноним 01/11/18 Чтв 11:26:00 44721 444
>>44720
Даже если я найду такую аппрксимацию на компакте, где функция задана, то с чего бы на каком-то большем компакте эта последовательность должна быть фундаменьальной?
Аноним 01/11/18 Чтв 11:27:53 44722 445
>>44720
И я про такую аппроксимацию (в C^l, а не в C) первый раз слышу, ты уверен, что они существуют?
Аноним 01/11/18 Чтв 17:14:21 44737 446
>>44721
ты прав, сорян бротан, не онолитик по жизни, я ещё подумаю
Аноним 23/11/18 Птн 12:50:42 45697 447
Как по вариации или по вариационной производной найти сам функционал?
Аноним 25/11/18 Вск 14:00:59 45749 448
>>45697
Функциональный интеграл?
Аноним 25/11/18 Вск 18:56:13 45767 449
>>45749
Такое есть? Там есть тонкости или как обычный интеграл брать? Где почитать про это? Вариационное исчисление через полгода только начнётся в универе.
Аноним 26/11/18 Пнд 14:21:42 45792 450
>>45767
> Там есть тонкости
Ну да, по сути, ничего кроме функционального гауссова интеграла точно взять нельзя.
Аноним 28/11/18 Срд 20:50:58 45899 451
Может ли дифференцируемая функция f:R^2→R иметь ровно три критические точки, из которых одна локальный минимум, одна локальный максимум и одна седловая?
Аноним 30/11/18 Птн 20:53:24 45967 452
Снимок.PNG 13Кб, 361x285
361x285
Анон, преподаватель молчит. Почему выбранный ответ неверный?
Аноним 30/11/18 Птн 22:26:01 45968 453
>— Нас, — говорил он, — всегда интересует именно отношение конечных приращений, а производные математиков — это просто приближённые математические формулы для вычисления отношений этих конечных приращений.
Аноним 01/12/18 Суб 10:47:50 45971 454
>>45967
ты предлагаешь мне считать твой интеграл? не, не буду
Аноним 01/12/18 Суб 14:39:15 45973 455
>>45899
почему нет? критическая точка -- это явление локальное, так что, если взять критическую точку, что там функция, кроме неё имеет ещё, уже неважно

возьми постоянную функцию, в окрестностях трёх изолированных точках продеформируй её, как тебе надо, будет пример.

можно взять три функции, каждая с нужной тебе точкой, умножить их всех на срезающие функции с носителями в окрестностях этих точек, получившиеся новые три функции сложить
Аноним 01/12/18 Суб 14:48:54 45974 456
>>45971
Не тебе, может быть, другому ;(
Аноним 01/12/18 Суб 17:31:11 45975 457
>>45967
По теореме о вычетах у меня получился такой же ответ.
Аноним 01/12/18 Суб 17:54:02 45977 458
>>45975
В данной задаче особые точки +-2i лежат на контуре, теорема о вычетах вроде как неприменима.
Аноним 01/12/18 Суб 17:54:41 45978 459
>>45977
Но я, конечно же, обосрался, не лежат они.
Аноним 05/12/18 Срд 02:19:42 46074 460
>>45967
>Почему выбранный ответ неверный?
Потому что он верный.
Аноним 06/12/18 Чтв 11:56:21 46096 461
Аноним 20/12/18 Чтв 22:16:46 47396 462
Задана последовательность a_n. Как построить бесконечно дифференцируемую функцию f на R: f^(k)(0)=a_k?
Аноним 20/12/18 Чтв 23:23:33 47398 463
Аноним 20/12/18 Чтв 23:26:23 47399 464
Аноним 21/12/18 Птн 01:05:10 47404 465
Что больше e^pi или pi^e?
Аноним 21/12/18 Птн 01:20:55 47407 466
>>47404
1) pi^e = e^(elnpi)
2) (elnx - x)' = ?
Аноним 22/12/18 Суб 01:16:14 47429 467
Какое разложение у x^3+3xy+y^3 в ряд?
Аноним 22/12/18 Суб 12:19:14 47437 468
Какой предел у последовательности: lim x->∞ {x_n}: x_1=1/2, x_{n+1}=x_n-{x_n}^2.
Аноним 22/12/18 Суб 13:44:22 47450 469
Есть отображение из C в R по правилу z->|z|. Для каких z оно дифференцируемо? Там где оно дифференцируемо, какой ранг производной?
Аноним 22/12/18 Суб 22:25:10 47468 470
Какая асимптотика у a_n=(n+1)^(b)-n^b?
Аноним 24/12/18 Пнд 08:27:32 47501 471
Как водится в конце декабря, трэд традиционно забит отчаянными анонами, не успевающими сдать зачёт.
Аноним 25/12/18 Втр 06:48:07 47528 472
>>47501
Так лучше, чем когда пуст!!!
Аноним 31/12/18 Пнд 16:59:41 47658 473
/
Аноним 31/12/18 Пнд 23:09:31 47663 474
>>47528
Было бы классно, если ещё на вопросы отвечали.
Аноним 05/01/19 Суб 14:21:06 47781 475
>>47663
так на весь раздел 1,5 шизоида и те сидят в треде про основания переливая одно и тоже говно. Нахуя делали доску, непонятно.
Аноним 11/01/19 Птн 21:37:11 48539 476
yB5l-UwRNaA.jpg 124Кб, 1511x274
1511x274
Такс. Господа шизикиматематики. Есть утверждение пикрелейтед (со слов "читателю, должно быть, известно"ух сука ненавижу подобное).
Где про это почитать?
Аноним 12/01/19 Суб 01:14:12 48542 477
>>48539
>ух сука ненавижу подобное
люто поддерживаю

А имеется в виду разложение Гельмгольца (его и гугли)
что авторам мешало написать напрямую название теоремы вместо того самого подобного, не ведаю. видимо, то же, что и всегда в подобных случаях
Аноним 12/01/19 Суб 02:21:21 48544 478
>>48542
Спасибо.
>что авторам мешало написать
Нет, что ты, куда лучше вместо двух слов написать две строчки про то, насколько это очевидно))0)
Аноним 12/01/19 Суб 15:53:08 48557 479
QlhHSZGIgo.jpg 180Кб, 1020x894
1020x894
Немного не в тему, но в общем треде вряд ли ответят.

Утверждение: разность двух телесных углов одинакова, если:
1) Сместить на какой-то вектор вершину угла
2) Сместить на этот же вектор сам контур (в этом случае разница будет равна телесному углу, под которым видна цилиндрическая поверхность, описанная точками контура при смещении).
Это идейно очевидно в каком-то смысле, но ни геометрически, ни математически не очевидно лично для меня.

Может кто что подсказать на эту тему?

пикрил
Аноним 12/01/19 Суб 17:01:40 48562 480
>>48557
Дичь страшная, сомневаюсь, что кто-то даже попытается это прочитать, сорри. Если герой найдётся, не скупись на благодарности
Аноним 13/01/19 Вск 03:57:55 48581 481
>>48557

А чё не очевидно-то?
1. Одинакова, поскольку вершина относительно контура расположена так же.
2. Телесный угол - это площадь высекаемого конусом участка на единичной сфере. Нарисуем хрень, которая добавилась/убавилась - это будет как раз телесный угол, под которым видна цилиндрическая поверхность. С учетом ориентации, если надо.
Аноним 13/01/19 Вск 10:58:11 48587 482
>>48581
>Одинакова, поскольку вершина относительно контура расположена так же.
Так было бы при смещении на противоположный вектор, а не на тот же самый.
Аноним 13/01/19 Вск 11:53:23 48589 483
>>48587
>>48581
Собсна да, я уже разобрался, там рисунок хреново нарисован. В тексте про смещение на -dr говорится. Спасибо.
Аноним 15/01/19 Втр 20:51:53 48703 484
Аноны, накидайте задач на равномерную сходимость рядов (равностепенную тоже можно).
Аноним 28/01/19 Пнд 23:47:43 49457 485
image.png 2Кб, 185x90
185x90
Сап, кто нибудь знает что означает эта штука? Набла действует на то что справа же, но тут он сам справа.
Аноним 29/01/19 Втр 00:13:10 49459 486
>>49457
возможно, имеется в виду, что оператор, умноженный на функцию, тоже есть оператор (точнее: композиция двух операторов -- данного оператора и оператора умножения функцию)

Пример: оператор x d/dx (дифференцирует и умножает результат на х)
Аноним 30/01/19 Срд 21:58:08 49644 487
>>4 (OP)
Из-за каких трюков получаются оценки со множественными логами логов логов логов?
Аноним 10/02/19 Вск 15:35:39 50021 488
Аноны, посоветуйте книжку/что-то другое, по чему можно понять матан первого курса мехмата, желательно не только теорию, но и практику
Аноним 10/02/19 Вск 15:51:29 50023 489
Аноним 10/02/19 Вск 20:22:17 50043 490
Аноним 13/03/19 Срд 16:25:27 50978 491
>>48539
Правильно ли я понимаю, что дивергенция суть разность между скалярами векторов, входящих в некую бесконечно малую точку?
А ротор - геометрическая разность между векторами.
Аноним 16/03/19 Суб 03:13:14 51066 492
Аноним 20/03/19 Срд 11:51:08 51170 493
>>51066
Что это за опущ и при чем здесь ротор и дивергенция?
Аноним 22/03/19 Птн 13:42:41 51258 494
Есть ли места где best practises по изготовлению оценок изложены в компактном почти энциклопедическом виде?
Аноним 26/03/19 Втр 21:35:26 51469 495
>>51258
Наверное, в каждой области свои приемы.
Аноним 15/09/19 Вск 14:05:39 58833 496
>>51258
Что за изготовление оценок? Тебе нужна книжка по неравенствам?
Аноним 15/09/19 Вск 15:49:05 58836 497
>>58833
Может шпиён пиндосский с гуглтранслейтом?
Аноним 16/09/19 Пнд 09:01:59 58859 498
>>58836
Возможно, но всё равно интересно, что имел ввиду.
Аноним 29/09/19 Вск 13:39:34 59333 499
Screenshot20190[...].png 22Кб, 724x191
724x191
>>4 (OP)
Как решать подобные пределы? Точно так же как и другие неопределенности типа бесконечность деленная на бесконечность -- разделив числитель и знаменатель на старшую степень n или же как-то иначе?
(N стремится к бесконечности, символ бесконечности почему-то не отображается на картинке)
Аноним 29/09/19 Вск 23:55:49 59336 500
>>59333
Конкретно в твоем примере надо домножить числитель и знаменатель на сумму корней из числителя. А дальше уже выносить старшую степень.
Аноним 05/10/19 Суб 22:11:41 59555 501
Принстоновские лекции по анализу читал кто?
Аноним 20/11/19 Срд 09:09:04 61866 502
HorseatStGluvia[...].jpg 6616Кб, 2885x2885
2885x2885
Как исследовать метрическое пространство?
Вначале проверяем на полноту, а потом на открытые множества.
Возьмём метрику на R: r=|f(x)-f(y|, f - инъективны.
Обязательно ли оно должно быть полным. Берём arctg(x) и получаем что необязательно.
Правда ли, что в каждом открытом шаре есть точка из множества. Взял открытый шар с f(x_1) и f(x_2). |f(x_1)-f(x_2)|<r, но в этом шаре x_1 и x_2 и есть точки этого множества. Что не так?
Аноним 02/12/19 Пнд 22:35:47 62345 503
>>59333
Как сказал этот джентльмен: >>59336 , подобные примеры решаются удалением кхуям корней из числителя.
Делается это путём умножения на т.н. "сопряжённое выражение". По сути - нам нужно получить в числителе разность квадратов:
(a-b) x (a+b) = a2-b2

Тогда в числителе кубы уходят сами
А знаменатель всё также положительный - то есть никакой неопределённости. И вот теперь можно выносить старшие степени.
Аноним 02/12/19 Пнд 22:42:37 62346 504
Я и не знал, что классический матан такой охуенный. Когда ты таки понимаешь то, зачем он нужен, он становится настолько по-настоящему П Р Е К Р А С Н Ы М, что, блджад, короче, сейчас я удивляюсь, как я этого не увидел во время моего первого обучения.
Сейчас я учусь и прямо реально кайфую от охуенности выводов и построений. Само понятие предела это же надо было додуматься! Это же настолько элегантно точный метод приближений... а студенты, школота вчерашняя, этого не понимают, им бы побыстрей с пар съебать. Им под нос суют настоящее сокровище, достояние величайших умов человечества, а они...
Аноним 19/04/20 Вск 02:28:32 67647 505
2020-04-19 0400[...].png 110Кб, 1373x922
1373x922
Анон, привет.
Пытаюсь понять, как выводится формула распределения Максвелла. За основу взял вот это пособие: https://portal.tpu.ru/departments/kafedra/tief/method_work/method_work2/lab1/LabsMechMolecFiles/ModT-04.pdf
И не могу понять начало страницы 5 (оно же и на пике).
По сути в этой системе есть два понятия: вектор и норма. И берутся частные производные по одной из переменных (допустим, x).
Для того, чтобы потом прийти к равенству, нужно, чтобы дифференциалы у обоих уравнений были одинаковые. Как я понимаю, это дифференциал нормы/дифференциал х.
Почему такой дифференциал существует во втором уравнении - это понятно. Но как нужно продифференцировать первое уравнение, чтобы получить его там? И существует ли он вообще?
Заранее огромная благодарность.
Двач, помоги Аноним 27/04/20 Пнд 23:10:59 68103 506
S00427-23034971.jpg 7Кб, 1080x100
1080x100
S00427-23042089.jpg 7Кб, 606x142
606x142
Двач, помоги найти общее решение дифуров,уж очень нужно
Аноним 30/04/20 Чтв 18:14:15 68256 507
>>4 (OP)
Ты берешь 1000$ с собой к букмекеру, ставишь 1$ выигрываешь - ставишь ещё, проигрываешь - удваиваешь, до тех пор, пока не выиграешь

Какова вероятность того что я стану миллионером и того что проебу всю 1k$?
Аноним 25/09/21 Суб 07:59:09 87601 508
Привет,Матач. Как я могу построить аналитическую функцию f, такую что: [mаth]$/forall x/in domf /forall n,m /in /mathbb{Z}: f(x+n+m/sqrt (2)=f(x)[/mаth]$?
Аноним 25/09/21 Суб 08:01:43 87602 509
>>87601
Блять. А хули у меня формула всратая?
А если так:
[mаth]/forall x/in dom f /forall n , m /in /mathbb{Z} : f(x+n+m /sqrt{2}=f(x)[/mаth]
Аноним 25/09/21 Суб 08:03:12 87603 510
>>87602
ласт трай
$/forall x/in dom f /forall n , m /in /mathbb{Z} : f(x+n+m /sqrt{2}=f(x)$
Аноним 25/09/21 Суб 08:06:46 87604 511
>>87603
$\forall x\in dom f \forall n , m \in \mathbb{Z} : f(x+n+m\sqrt{2})=f(x)$
Во!
Аноним 13/12/21 Пнд 17:28:19 90902 512
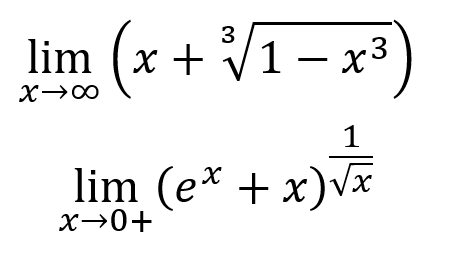
двач, есть функция бесконечного количетсва переменных, а именно энтропия ДСВ, распределенной на натуральные числа.
$H(p1, p2, ...) = -\sum_{n=1}^{\infty}p_n log(p_n)$
Вопрос, могу ли я ее оптимизировать с помощью уравнения Лагранжа-Эйлера? Если да, то почему? Меня конкретно смущает то, что у нее счетное количество аргументов, и то, что про Лагранжа-Эйлера для интегралов везде написано. Препод говорит, что надо решать задачу через множители Лагранжа, но для бесконечномерных функций обычный метод не применим, а других вариантов решения подобной задачи я не нашел и не знаю.
Аноним 20/10/22 Чтв 22:23:28 99439 513
image.png 51Кб, 340x131
340x131
image.png 27Кб, 481x202
481x202
На паре училка сказала использовать здесь замену t = x-2. Получается так, как на скрине. Но потом она сказала использовать эквивалентность tg(t+2) = (t+2), и я немного усомнился, а когда сказала применить эквивалентность к tg(2) я ахуел, ведь эквивалентность же можно применять, насколько я понимаю, к бесконечно малым функциям, я в матане скорее ниже среднего, мб чего-то не понимаю, но если я прав, то ебать у нас уровень обучения
Аноним 20/10/22 Чтв 22:24:50 99440 514
о ебать тут онлайн, прочитаю в старости
Аноним 02/10/23 Пнд 00:10:39 109210 515
Матаноны, не знаете ли вы, существует ли вообще русский перевод книги У. Рудина "Real and Complex Analysis"?
Настройки X
Ответить в тред X
15000
Добавить файл/ctrl-v
Стикеры X
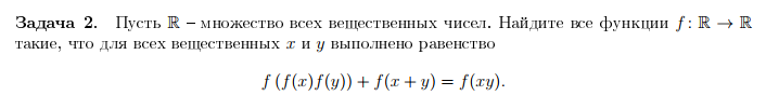
Избранное / Топ тредов