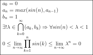
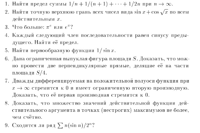
Вы знаете, откуда эта задача. Предлагаю в этом треде решить её, а также, может быть, и остальные 99
Аноним
17/01/18 Срд 15:13:47
№
1

