Главная Юзердоски Каталог Трекер NSFW Настройки

Математика

Ответить в тред Ответить в тред
Check this out!
<<
Назад | Вниз | Каталог | Обновить | Автообновление | 359 32 173
Теории категорий тред №1 Аноним # OP 13/11/16 Вск 21:48:56 2473 1
220px-SaundersM[...].jpg 16Кб, 220x311
220x311
Eilenberg.jpeg 17Кб, 227x326
227x326
Snakelemmanatur[...].png 13Кб, 575x250
575x250
natthree.gif 7Кб, 507x333
507x333
В этом треде мы рисуем коммутативные диаграммы, доказываем теоремы с помощью diagram chasing и, конечно, хуесосим теоретико-множественных дидов.
Аноним 13/11/16 Вск 21:55:33 2476 2
>>2473 (OP)
Джва года ждал этот тред!

По какой причине Бурбаки относились к теории категорий недружественно?
Аноним 13/11/16 Вск 22:04:28 2480 3
>>2476
Почему недружественно? Откуда такая инфа? Картан вместе с Эйленбергом пилили гомоалгебру и вовсю там жонглировал функторами, а Гротендик так вообще в них души не чаял. Современный алтоп без категорий - вообще нонсенс.
Аноним 13/11/16 Вск 22:33:05 2516 4
Аноним 13/11/16 Вск 23:21:40 2529 5
>>2480
Картан-Эйленберг пилили hom и ext для модулей, а не для категорий.
Аноним 13/11/16 Вск 23:57:03 2545 6
>>2529
Бытует легенда, что категории понадобились лишь для того, чтобы определить функторы, а фукнторы - чтобы ввести естественные преобразования. Так что как бы там ни было, функторы - это уже практически категории, как независимость интеграла от пути - гомологии. Тем более, что в "Гомологической алгебре" Картана-Эйленберга есть явные ссылки на понятие категории в смысле Маклейна-Эйленберга.
Аноним 14/11/16 Пнд 00:30:25 2552 7
>>2473 (OP)
Тоже хочу рисовать такие картинки! Что читать, чтобы научится?
Аноним 14/11/16 Пнд 01:49:50 2565 8
>>2552
Голдблатт - Топосы. Категорный анализ логики.
Аноним 14/11/16 Пнд 12:45:36 2586 9
Хачкелеёб вкатился.
Аноним 14/11/16 Пнд 17:30:07 2609 10
>>2586
А вот скажи, хачкелеёб, в чём силазачем тебе категории?
Аноним 14/11/16 Пнд 17:40:09 2610 11
>>2609
На случай, если в будущих билдах GHC завезут очередную ковариантную ахинею, мне будет в неё легче вкатиться.
Да и на самом деле, ничего серьёзнее Категорий для Работающего МатемашЫна я так до сих пор и не прочитал.
Мне ваши Гротенфрики и Эйленбергерги как-то по барабану, если чё.
Аноним 14/11/16 Пнд 19:02:40 2626 12
>>2610
И сильно ли тебе помогли "категории для работающего"? Мне правда интересно, как вы используете это всё в своих хачкелях и что мешает пользоваться хачкелем без всего этого.
Аноним 15/11/16 Втр 03:00:26 2661 13
Парни, такой вопрос, есть ли структуры наподобие топосов, только чтобы вместо интуиционистской логики с алгебрами Гейтинга, была паранепротиворечивая логика, с соответствующими алгебрами.
Аноним 15/11/16 Втр 15:43:24 2790 14
>>2661
Авотхуйзнает. На топосах точно нет? Я чет в этих логиках и топосах не особо как-то вообще.
Аноним 15/11/16 Втр 16:34:11 2836 15
>>2626
Ничего не мешает. Он же ответил вроде достаточно ясно: завезут в следующей версии гхц какую-нибудь очередную фишку - и сиди, разбирайся, что это за хуйня и что она значит. А ечли есть фундамент, то это как-то проще.

Но для написания кода на х-ле разбираться в этом необязательно, конечно.
Аноним 15/11/16 Втр 16:43:27 2838 16
>>2661
А как связаны топосы и интуиционистская логика? Какую хошь логику такую на них и строй.
Аноним 15/11/16 Втр 16:49:30 2841 17
>>2836
На самом деле, я не то что хочу любым способом доебаться, если что, просто мне правда сложно представить себе, что такое может быть в ЯП, что требует привлечения таких своеобразных математических структур, как категории. В явном виде, а не в духе подразумеваемых фон неймановских архитектур, булевых алгебр или чего-то ещё такого. Ну и в действительности я почти не знаком с хачкелем но знаком с быдлокодерством на иных языках в целом.
Аноним 15/11/16 Втр 16:53:12 2842 18
Аноним 15/11/16 Втр 17:00:59 2846 19
>>2842
Интересный тред. Спасибо.
Аноним 15/11/16 Втр 17:05:33 2848 20
Аноним 27/11/16 Вск 18:15:45 3938 21
Раз есть тред по топологии, этот тред теперь /тред?
Аноним 27/11/16 Вск 19:24:56 3944 22
>>3938
Поясни, открывал Аводея и Мункреса, ничего общего.
Аноним 27/11/16 Вск 20:39:40 3950 23
>>3944
Ты б еще учебник по теории множеств открыл
Аноним 27/11/16 Вск 21:10:38 3954 24
Аноним 27/11/16 Вск 21:47:25 3955 25
Аноним 28/11/16 Пнд 10:14:28 4009 26
>>2586
Но ведь в ваших хачкелях нет теории категорий.
Аноним 28/11/16 Пнд 15:35:46 4030 27
>>4009
И что? Интерес в хаскель-коммунити к ТК не обусловлен какой-то острой необходиомстью для нужд понимания/использования хаскеля. Это сопутствующий интерес, сложившийся исторически.
Аноним 29/11/16 Втр 00:52:47 4098 28
>>3938
Не совсем. В алтопе используется лишь некоторое подмножество категорного аппарата. Во всяких введниях в гомоалгебры и симплициальные гомологии категории излагаются довольно куце, в виде "наивной теории категорий" (определение, что такое категория, функтор, бла-бла-бла), не затрагивая такие вещи, как лемма Йонеды или аджойнты, например. Теория категорий всё ещё интересна в более общем сеттинге, чем топология и не ограничивается только ею (включая алгебру вообще, даже какие-то там основания).
Аноним 29/11/16 Втр 00:57:53 4100 29
>>4098
Ну таки аджойнты как раз из топологии пошли. Но я тоже против того, чтобы редуцировать котягории только до гом. алгебры. В тех же топосах понаделано не меньше.
Аноним 19/12/16 Пнд 00:55:46 5714 30
Парни, вопросик по категории отношений Rel:
Является ли пустое множество стрелкой/морфизмом в ней?

Рассмотрим три множества A, B и С. И две стрелки f: A -> B, g: B -> C (стрелки тут это множества пар). Возможно же, что g ∘ f это пустое множество, если в B нет таких элементов, которые встречаются и в f, и в g. Но композиция должна быть стрелкой.

Для справки если что:
https://ncatlab.org/nlab/show/Rel
https://en.wikipedia.org/wiki/Category_of_relations
Аноним 19/12/16 Пнд 08:29:10 5726 31
>>5714
Является. Композиция с любым другим отношением пуста.
Аноним 19/12/16 Пнд 20:01:00 5756 32
ребзя, любая абелева категория вкладывается fully faithfully в категорию модулей над кольцом

расходимся, теория категорий не нужна!
Аноним 19/12/16 Пнд 20:15:59 5758 33
Аноним 19/12/16 Пнд 20:24:32 5759 34
>>5756
Нахуй нужны модули над кольцом вообще?

Довольно бессмысленная структура, никогда особо не мог понять, нахуй она нужна, исключая конечно тот вариант, когда кольцо это поле.
Аноним 19/12/16 Пнд 20:29:39 5760 35
Аноним 19/12/16 Пнд 23:01:07 5780 36
>>5756
И ещё exact. Как-будто на абелевы не поебать кому-то, картофан какой-то, бля.
Аноним 19/12/16 Пнд 23:12:52 5789 37
>>5780

как будтно на теорию категорий кому-то не поебать, если бы не абелевы и производные категории
Аноним 19/12/16 Пнд 23:18:56 5792 38
>>5789
ncatlab нам построит мониматюку на топосах, будете ещё, картохи, диффуры как суб-infty-группоиды мыслить.
А ещё, как минимум, на дуализацию, из которой вырасли алгебры Хопфа и квантовое группы, не похуй.
Аноним 19/12/16 Пнд 23:47:45 5806 39
Что такое локали и фреймы?
Аноним 19/12/16 Пнд 23:54:19 5811 40
>>5759
Нахуй нужно что-то, кроме модулей над кольцом, вообще?
Аноним 19/12/16 Пнд 23:59:07 5813 41
>>5806
Интегралы брали,
а ваши локали
мы на хуй клали.
Аноним 21/12/16 Срд 23:45:24 5978 42
>>5789
>как будтно на теорию категорий кому-то не поебать, если бы не абелевы и производные категории

Кстати, а зачем нужны производные категории? Ну, можно все производные функторы записать сразу как один, можно композицию оных без спектралки написать, ну и что? Где это реально помогает? У вербита и ко, когда они обсуждали, что надо знать в математике (я говорю про более ранние обсуждения, не сегодняшние), всё время проскальзовало, что без этих категорий никуда. Но где никуда-то? Что с этим делать? Всё равно же производные функторы считаются по одному через точные последовательности. Так зачем они?

Не говори только, мол, типа как в геометрии, можно локально рассматривать, можно глобально, и типа локально это зашквар, а глобально заебись. Всё это хуйня. Что они действительно дают, эти категории?
Аноним 22/12/16 Чтв 00:48:38 5986 43
>>5978

ну например D^b(Coh(X))

аргумент не в том, что это более правильный формализм для производных функторов, аргумент, что это важный инвариант многообразия

кузнецов-орлов-бондал вон кучу понаоткрывали вещей, которые можно в ней увидеть. с ходу --- промежуточные якобианы.

гомологическая зеркальная симметрия формулируется в терминах эквивалентности триангулируемых категорий, одна из которых D^b(Coh(X))

извращённые пучки живут в ней, извращённые пучки нужны для того, чтобы обобщить соответствие римана-гильберта с плоских связностей на векторных расслоениях на голономные д-модули
Аноним 22/12/16 Чтв 01:30:58 5990 44
>>5986
А как думаешь, это естественный формализм или ad-hoc? Просто таким костылём всё это кажется - пиздец.
Аноним 22/12/16 Чтв 13:09:27 6013 45
>>5990

ну нет, как раз-таки описывать производные функторы на производных категориях канонiчней

понятно, что это всего лишь язык, но на этом языке проще говорить

потому что не делается например акцент на резольвентах. просто вот мы формально обратили квази-изоморфизмы комплексов и задались вопросом: как нам продлить функтор с объектов на такую категорию?

типичный пример понижения концептуальной сложности: спектралка гротендика. в классическом формализме этот результат надо формулировать именно что с использованием спектралки. с производными категориями ты просто говоришь, что при наличии достаточного количества инъективных объектов, если F-acyclics посылаются в G-acyclics, то R(G \circ F) = RG \circ RF.

понятно, что начни ты выписываеть это через конкретные резольвенты, у тебя всё равно получится спектралка. но тут ситуация как с безкоординатными рассуждениями с линейной алгебре против рассуждений, когда ты всё определёшь в базисе и потом доказываешь, что ничего от выбора базиса не зависит.
Аноним 22/12/16 Чтв 13:19:27 6014 46
>>5990

ну или вот: двойственность серра тоже на производных категориях формулируется естественней. двойственность серра можно сформулировать как постоение сопряжённого функтора к f_*: D^b(X) \to D^b(Y), его называют f^! обычно. так вот делинь показал (статья называется как-то типа "Cohomologie a supports propres et чтототам"), что этот сопряжённый существует по каким-то почти тавтологическим причинам. это уже когда ты начинаешь вычислять его на проективном гладком многообразии у тебя вылезает \omega в качестве дуализируещего комплекса, а так двойственность существует в гораздо большей общности. понять это, глядя в утверждение двойственности с \omega, представляется невозможным.
Аноним 22/12/16 Чтв 14:44:51 6021 47
>>5986
>>6014
Спасибо, очень хорошие ответы. Весьма убедительно
Аноним 22/12/16 Чтв 18:06:02 6051 48
>>6013
>>6014
Анончик, не уходи покаместь. Что думаешь насчёт модельных и триангулируемых категорий? Является ли это инвариантной (безрезольвентной/безкоординатной) формулировкой для всей гомотопической алгебры или это трюк, который зааксиоматизировали, потому что его слишком часто юзали?
Аноним 22/12/16 Чтв 19:40:21 6057 49
>>6051

тут циклическое определение: "гомотопическая алгебра" это название статьи квиллена, где он прописал определение модельных категорий.

насчёт модельных категорий у меня короче нету мнения. дело в том, что это лишь один из зоопарка формализмов (a_\infty, DG, дериваторы), которые нужны в "производной геометрии", что бы это ни значило. было бы натяжкой говорить, что эти формализмы вошли в арсенал среднего работающего математика (в отличие от производных категорий), а поскольку прям эти вещи я не изучал, являются ли модельные категории ответом на все вопросы, сказать не могу.

есть пара сюжетов более старых, классических, где возникают, типа гомологий андрэ-квиллена и кокасательного комплекса иллюзи, и с целью их ровно понять модельные категории я бы выучил (выглядит вполне подъёмно), а вот DGA и эти все альтернативные формализмы.. это уже наука переднего края, она огромная, надо кучу времени убить, чтобы составить мнение.
Аноним 22/12/16 Чтв 22:31:45 6074 50
>>6057
Спасибо ещё раз.
Аноним 22/12/16 Чтв 22:41:17 6077 51
>>6074

нзчт, я всего лишь расписался в своём неведении лол
Аноним 23/12/16 Птн 14:00:12 6146 52
Я не понимаю почему сингулярный комплекс топ. пространства Cone f равен комплексу (Сone f). / C(s) (где s - вершина конуса). Нахуй доп. факторизация по точке? Не понимать.
Аноним 23/12/16 Птн 14:29:43 6149 53
>>6146

у тебя ровно написано, что сингулярный комплекс Cone f определяется через самого себя. может ты что-то другое имеешь в виду?
Аноним 23/12/16 Птн 14:44:38 6150 54
screen.png 185Кб, 1366x768
1366x768
>>6149
Почему C.(CK)/C.(s) изоморфно cone(C.K), а не просто C.(CK)? какой в этом топологический смысл?

(CK - конус над топ. пространством, cone(K) - конус комплекса)
Аноним 26/12/16 Пнд 17:54:13 6411 55
>>6150

пусть f морфизм из K в L, как у вайбеля

подумай о такой симплициальной структуре на cone(f): i-симплексы это конусы над (i-1)-симплексами в К и i-симплексы в L

теперь сравни это с определением конуса морфизма на симплициальных цепных комплексах, индуцируемого f
Аноним 31/12/16 Суб 19:22:22 6904 56
>>2473 (OP)
Ребятки, сколько времени вам понадобилось для освоения самого основного теорката? Ну книжек типа Эводи, Маклейна и т.д. Не углубляясь во всякие энкатегории.


Аноним 31/12/16 Суб 19:34:10 6905 57
>>2473 (OP)
Есть куча универсальных конструкций:
representable functor
adjoint functor
limit/colimit
end/coend
Kan extension
dependent sum/dependent product
Ещё универсальный морфизм, хотя это и есть определение универсальной конструкции.

Так вот, всё это весело друг через друга выражается.
Они как-нибудь классифицируются? Ну то есть есть там какая-нибудь система? Или это пока слишком сложно и абстрактно.

Ну и у меня немного траблы с расширением кана через лимиты...
Аноним 05/01/17 Чтв 19:28:27 7078 58
А почему все носятся с канонiчностiю постоянно? Каноничный морфизм, каноничный выбор базиса, итд. Что плохого иметь несколько морфизмов например? Один есть и норм.
Аноним 06/01/17 Птн 05:48:14 7120 59
>>7078
Вот обычно канонiческий и "один есть и норм". А носятся потому, что он очевиден в силу несвободы выбора каких-то условий или произвола, которые могут повлиять.
Аноним 06/01/17 Птн 22:44:20 7216 60
>>2473 (OP)
Предлагаю такой вопрос - для чего может потребовать коэкспоненциал?
Обозначим его как (Z_Y, coeval).
Это начальный универсальный морфизм из объекта Z в функтор ( - \times Y).

(можно также рассматривать вариант функтора: ( Y \times - ) )
Аноним 09/01/17 Пнд 16:55:16 7613 61
Это, вот придумал задачку, например:
в некотором элементарном топосе есть f:X->Y, и
пусть мы знаем, что индуцированный морфизм
f_preimage : (Y->2) -> (X->2)
- биективен.

Тогда f должен быть тоже биективен. Соответсвенно пытаюсь построить invf.

Но чет у меня получается построить только отображение ( f_preimage o i_Y):Y->(X->2). А надо invf:Y->X.


Жалко чёт меня игнорируют и тред пустоват. Чому так? Мне спрашивать в местном раковнике рядом с вопросами про вычисление производных?
Аноним 09/01/17 Пнд 16:59:44 7614 62
>>7613
Скоро будешь спрашивать на нормальном математическом форуме, а не в этой помойке.
Аноним 09/01/17 Пнд 17:00:44 7615 63
>>7614
Ну, то есть, надеюсь, что тот анон заделает форум-то.
Аноним 09/01/17 Пнд 20:38:45 7621 64
>>7615
Конкретно этот вопрос - уже не буду - там просто по универсальному свойству пуллбэка $2^X \times_2 1$
Аноним 11/01/17 Срд 12:46:57 7730 65
>>2473 (OP)
В чём сила presheaves on sites ?
Этальные когомологии и топология Гротендика?
Что почитать на эту тему для новичка?

И самый важный вопрос: С помощью этого получены ли сильные результаты, влияющие на большую часть математики?
Аноним 11/01/17 Срд 13:35:05 7732 66
Сап. Насколько важно свойство F o G (в подкатегории) = F o G (в категории) при определении подкатегории? Может быть такое, что выполняются остальные свойства подкатегории, а законы композиции разные?
Аноним 11/01/17 Срд 20:47:09 7767 67
>>7615

зачем? уже есть mathoverflow
Аноним 11/01/17 Срд 20:47:57 7768 68
>>7730
>С помощью этого получены ли сильные результаты, влияющие на большую часть математики?

очень мудацкий вопрос. платиново мудацкий. фу такие вопросы задавать. нет, правда, анон, пойди, утопись в говне от стыда
Аноним 11/01/17 Срд 22:19:30 7777 69
>>7768
Да знаю я, что мудацкий.
Похоже немного на то, когда спрашивают "А зачем ты этим занимаешься, кому это нужно?"...

Ну а вот если меня интересует мотивация перечисленных там конструкций? По-твоему о мотивации стыдно спрашивать?

(например пост https://2ch.hk/math/res/20.html#6723 - мой)

Мне хотелось бы верить, что оно всё друг с другом связано и дико друг для друга полезно.

Но пока я вижу только изолированные друг от друга области.


Аноним 11/01/17 Срд 22:49:37 7786 70
>>7768
Или ты имеешь в виду подобные вопросы как часть fast and loose reasoning style?
Аноним 12/01/17 Чтв 12:08:51 7816 71
ну так и надо спрашивать о мотивации

а твой вопрос попахивает чем-то типа "я хочу быть уверен, что этот
раздел самый важный, самый пиздатый, самый модный, правда, это так?"

во-первых, как я уже говорил, вопрос мудацкий. с какого хуя отвечающий
должен заботится о твоём душевном комфорте, и выступать тебе
оправданием, что интересующий тебя раздел самый лучший?

во-вторых, на такие вопросы ответ может быть только субъективным, что
в рамках анонимной борды делает его особенно мудацким

так, про мудацкость, надеюсь, достаточно разложил.

по существу: не очень понятно, что имеется в виду. "пучки на
сайтах". ну типа, когда ты определяешь этальные когомологии, то ты
конечно же работаешь с пучками на сайтах, этальные когомлогии это
производные функторы функтора глобальных сечений пучка на этальнм
сайте (так же как когерентные когомолгии есть производные функторы
функтора глобальных сечений пучка в обычном смысле, или на сайте
зариского). с другой стороны есть категорная логика, там тоже пучки на
сайтах, топосы и хуёпосы. целая книжка про это есть, мурдайка и
маклейна. если хочешь знать моё мнение, первое (эт. когомологии) ---
давно вошедший в обиход сюжет, рабочий инструмент, второе ---
маргинальное переливание из пустого в порожнее, что-то сродни
основаниям и теории множеств, с точки зрения работающего математика.

этальные когомологии, этальная топология конечно глубоко интегрированы
со многими разделами математики. например, с одной стороны есть
теорема сравнения, что этальные когомологии (проективного, кажется)
многообразия над C совпадают с сингулярными (ну там тонкость есть, как
это сформулировать: надо брать коэффициенты в Z/l^n Z, и брать
обратный предел, и тензорить с Q_l, в результате получится Q_l
векторное пространство, у которого размерность совпадает с
размерностью сингулярных H^*(X, R)), так что можешь смотреть на них
как на алгебраическое определение такой казалось бы топологическоей
штуки. более общо, этальная топология позволяет алгебраически
определять аналоги топологических инварианнтов. ну типа есть этальная
фунд группа, которая есть проконечное пополнение обычной (если
многобразие над C, опять же), есть вообще --- этальный проконечный
гомотопический тип.

с другой стороны, этальные когомологии можно считать не толко у
многообразий над C, можно у штук над числовым полем, например. тогда
на них действует абсолютная группа галуа. понять это действие --- в
каком-то смысле основной челлендж для теории чисел. можно работать над
конечным полем, тогда действует фробениус, есть формула следов
лефшеца, это используется например в доказательств гипотез Вейля.

можно считать этальные когомологии у колец целых числовых полей. это
вообще глючная тема, у Z оказываются когомологии как у 3-сферы. таким
образом можно думать про кольца целых числовых полей как про конечные
накрытия 3-сферы, про простые идеалы как про зацепления, там куча
аналогий. называется эта тема "arithmetic topology"

в общем куча всего. есть ещё алгебраические когомолгии де рама, так
вот можно доказывать теоремы сравнения этальных когомологий с ними, по
аналогии с тем, как есть сравнение между сингулярными и обычным де
рамом. есть ещё разложение ходжа на алгебраическом де раме, короче,
много происходит похоже на комплексные многообразия, но со своей
спецификой (действие галуа). большой кусок современной теории чисел
вокруг этого вертится (ключевые слова: п-адическая теория ходжа).
Аноним 12/01/17 Чтв 22:45:39 7847 72
>>7816
Сейчас вот именно Sheaves in logic я и почитываю.
Жалко, что маргинальное.

Интересно же для общего развития: логики на топосах, семантика Крипке и внутренний язык Митчелла-Бенабу.

В этом приятно копаться, чисто чтобы говорить научиться на этом категорном. Видимо меня это интересует простопотому что я не получил пока нужного количества образования? Приятель мой, говорил про одногонаучрука, который этим занимается: "все сначала хотят к [нейм]" Значит, наверное это надо пройти, пока нравится. Или лучше сразу идти дальше, только вот куда? У меня своего чувства вкуса нет.

p.s. сорян, я не Х., я просто устал
Аноним 13/01/17 Птн 21:47:45 7905 73
>>7847

да понятное дело приятно копаться в определениях, синтаксисе и вещах, которые не апеллируют к чему-то существенному, а потому сложному

это как семечки лузгать

Аноним 13/01/17 Птн 22:07:51 7911 74
>>7905
Это пройдёт само, или мне надо совершать над собой усилие(даже скорее насилие)?
Аноним 13/01/17 Птн 23:13:58 7916 75
>>7911
>>7847
Да забей ты на этого элитиста, занимайся чем нравится. Пучки и топосы в логике тоже интересны, тем более если ты знаешь про Крипке. Интереса к топологии это не убавит, зачем сознательно ограничивать себя чем-то одним. Изучай вместе с алгебраической геометрией хоть феноменологию, хоть махаяну, а элитистов запрещающих это, посылай нахуй.
Аноним 13/01/17 Птн 23:24:02 7917 76
Маклейн книгу написал про логику, он был дурак и говноед. Занимался маргинальщиной, бессмыслицей. Читать это – дурной вкус, срочно надо избавиться. Анонимный студент/аспирант с харкача, пересказывающий Каледина, так сказал.
Не соскучишься с вами.
Аноним 14/01/17 Суб 02:30:35 7928 77
>>7917

какие свободные аналогии!

задай себе вопрос: про что написал маклейн книгу? когда? имеет ли отношение его книга к категорной логике?
Аноним 14/01/17 Суб 02:33:29 7929 78
>>7916

я тоже знаю про семантику крипке и топосы. и замечу, никому не запрещаю чем-то там интересоваться. просто указываю, что есть ошромный сложный мир помимо категорной логики, на случай, если кому-то неочевидно
Аноним 14/01/17 Суб 14:34:32 7960 79
>>7917

ну и не забудем, что маклейн бох, и ему заранее кредит доверия. и он знает ту математику, для переформулировки которой понадобится теория категорий, катенорная логика, и чёрт с рогами. может себе позволить вольный поиск, его книгу попробуют (уже попробовали) прочитать, потому что маклейн.

когда же молодой студент вышечки, любящий копаться в формализме, не хочет идти учить алггем там, потому что влом и не вызывает немедленный выброс допамина, это совсем другая история
Аноним 14/01/17 Суб 15:00:24 7962 80
>>7911

> Это пройдёт само, или мне надо совершать над собой усилие(даже
скорее насилие)?

ну это твой выбор, потакать своим слабостям или нет, и кто я такой,
чтобы говорить тебе, что делать?

просто даю информацию к размышлению, что есть широко известный
феномен: играться с формализмом, доказывать эквивалентность
определений, строить пустые абстракции, не основанные на примерах,
встречающихся в природе гораздо проще и приятней, чем непосредственно
пытаться понять какое-то сложное явление.

тут конечно нет чёткой границы, есть континуум. вообще, гротендик учит
нас, что правильно выбранные определения превращают теоремы в
тавтологии. но надо различать, когда ты ищешь правильное определение,
а когда переливаешь из пустого в порожнее. это навык, это вкус,
описать в двух словах не получится. в каком-то смысле это один из
обязательных скиллов математика, лучше всего, если у тебя перед
глазами есть живой пример работающего математика, у которого ты можешь
ему научиться.
14/01/17 Суб 15:41:21 7967 81
>>7960
Ну я как-то подразумевал, что тот, которому ты отвечаешь не является каким-то студентом "вышечки", а взрослым человеком, сознательно выбравшем математику уже в зрелом возрасте, поэтому меня возмутило. Если это студент такие вопросы спрашивает, то ссать в ебало ему надо, конечно, за такое.
Аноним 14/01/17 Суб 16:15:38 7968 82
>>7967

я уже запутался какой анон тут кто, если кого обидел, типа, прошу прощения. подразумеваю, что если человек спрашивает что-то про обучение математике, то значит он крякает как студент, ходит как студент, значит, можно считать студентом. в любом случае, нежно лелеять своё увлечение основаниями, семантикой крипке, и топосами, при этом игнорировать остальную математику, и считать, что всё нормально, типа учусь математике, буду специалистом по топосам --- это патология, это вам кто угодно скажет.
Аноним 14/01/17 Суб 16:19:29 7969 83

это >>7968, это >>7962, >>7960 и это >>7929
один и тот же анон, я. просто иногда есть емакс под рукой отформатировать, а иногда нет
Аноним 14/01/17 Суб 16:20:22 7970 84
>>7969

да, изначальная простыня >>7816 тоже моя
Аноним 16/01/17 Пнд 15:20:01 8138 85
>>2473 (OP)


Полный прообраз пересечения множеств f(A/\B) должен быть равен пересечению полных прообразов множеств (fA)/\(fB).

Построив кубик из соответсвующих пуллбэков я получил пуллбэка одной из диагональных "плоскостей" единственный морфизм h:(f
A)/\(fB)->f(A/\B)

А как блджад, в обратную-то сторону строить?
Аноним 16/01/17 Пнд 15:22:04 8139 86
>>8138
Да чтоб её, разметка поехала... Там, где "f" - "f" со звёздочкой, inverse image.
Аноним 16/01/17 Пнд 16:04:31 8144 87
Аноним 16/01/17 Пнд 16:05:18 8145 88
IMG201701161601[...].jpg 3016Кб, 3696x4928
3696x4928
Аноним 16/01/17 Пнд 16:21:51 8146 89
>>8144
>>8145
Всё, вопрос закрыт, просто ещё пуллбэки 2х сторон, содержащих ребро f, а потом пуллбэк правой стороны.
Аноним 16/01/17 Пнд 19:37:02 8177 90
>>8146
Ахах, как же я в лужу сел - прообраз же сопряженный и слева и справа функтор в топосе, так что лимиты и колимиты сохраняются, а топологии индуцируются и коиндуцируются.
Аноним 20/01/17 Птн 21:20:10 8958 91
>>8177
Не расстраивайся. Всё нормально.
Аноним 21/01/17 Суб 00:11:28 9001 92
Аноним 21/01/17 Суб 10:56:41 9027 93
>>2626
Внезапно, понимание категорий помогает в написании действительно больших приложений, если язык поддерживает композицию функций ( не только хаскель, даже си шарп это может). С опытом приходит понимание, что лучше сразу и явно отделить отношения от логики, а такой уровень абстракции - это ж категории и есть.
Аноним 21/01/17 Суб 16:58:12 9060 94
azmeuk.jpg 69Кб, 500x726
500x726
>>9027
> язык поддерживает композицию функций ( не только хаскель, даже си шарп это может)

Аноним 21/01/17 Суб 17:35:00 9063 95
>>9060
Также выглядят большинство идиотов, носящихся со своими пучками, тапалогиями и гамалогиями. Как же заебал этот рак.
Аноним 21/01/17 Суб 17:45:51 9065 96
>>9063

ну есть идиоты носящиеся, а кто-то пользуется

утверждение же про роль теорката в функциональном программировании ПОТОМУ ЧТО КОМПОЗИЦИЯ ФУНКЦИЙ, показывает, что говорящий не в курсе ни насчёт функционального программирования, ни насчёт роли в нём категорий
Аноним 21/01/17 Суб 19:53:17 9067 97
Категории в Хаскелле дают то же самое, что и в математике - правильно поставленный взгляд, правильный язык, правильные образы и метафоры, правильное понимание того, что такое на самом деле функтор, естественное преобразование, монада (сверхважный концепт в Хаскелле!), операды и т.д.
мимо-другой-хачкелеёб
Аноним 21/01/17 Суб 21:22:43 9075 98
>>9063
Рак это как раз не осилившие пучки ебаноиды вроде тебя.
Аноним 22/01/17 Вск 01:35:20 9137 99
>>9067

ну типа да, источник вдохновения

хотя вот недавно какой-то хаскелоёб вроде убедительно рассказал, что на данный момент нету строго определённой категории ("категории Hask"), к которой можно было бы применять теоркатные конструкции и получать концепты из хаскеля. есть какие-то тонкие причины, но короче просто типы, которые можно определить в хаскеле, не образуют категорию, в отличие от распространённого мнения (там сложность с тем, что считать морфизмами)
Аноним 22/01/17 Вск 01:54:54 9140 100
>>9137
>есть какие-то тонкие причины
В интернете пишут, что из-за undefined и прочих _|_ (это тип, у которого нет значений, a la пустое множество) проблемы. Можно, вроде, взять какое-то подмножество языка и думать категорно о нём.
Аноним 22/01/17 Вск 03:29:47 9145 101
>>9137
>>9140
Это известный факт. Но по мне это трудности такого же рода, что и "Cat не категория, потому что её носитель не множество". То есть как бы да, но во многих вменяемых случаях это можно игнорировать.
Аноним 22/01/17 Вск 05:07:24 9151 102
>>9145

для формальной семантики отсутствие корректного определения это удар ниже пояса

для проведения аналогий оно конечно можно в такие детали как боттом не вникать
Аноним 22/01/17 Вск 05:15:55 9152 103
>>9151
Я вообще не знал что такое "формальная семантика", у вики в энверсии на "semantics of logic" в которой какая-то философская вода об Органоне Аристотеля.
Аноним 22/01/17 Вск 05:25:10 9154 104
Аноним 22/01/17 Вск 07:36:22 9155 105
>>9151
Двачую! Всякий должен проводить жирную демаркационную линию между математикой с теорией категорий и языком программирования Haskell.

Уж очень он напоминает пузырь, ну как доткомы.
Аноним 22/01/17 Вск 12:08:02 9159 106
>>9155

ну в смысле пузырь, хаскеллоёбы пользуются, довольны вроде, ну и ладушки.
Аноним 22/01/17 Вск 15:28:46 9169 107
>>9159
Да пусть используют, конечно. Просто интересно было, как им это помогает. Пока я вижу, что помогает так же, как Иисус Нику Вуйчичу
Аноним 23/01/17 Пнд 12:54:39 9250 108
>>9065
Обоснуй теперь свою бурную реакцию
Аноним 24/01/17 Втр 12:59:49 9311 109
blob 5Кб, 231x121
231x121
>>2473 (OP)
Господа, прав ли я, что для вывода
hom(X x Y, Z) ~ hom(X, Z^Y)
достаточно лишь чтобы были все экспоненты и все бинарные продукты.

И не нужен терминальный объект, который почему-то всё-таки входит в определение декартово замкнутой категории. Почему?

Док-во:
(<-) UMP exp: g |-> Lg
(->) UMP prod и прекомпозиция: Lg |-> eval o (Lg x id_Y)
то, что секция и ретракция - по тем же причинам


Аноним 24/01/17 Втр 13:18:52 9312 110
Аноним 24/01/17 Втр 14:22:59 9316 111
>>9311
Без терминального объекта теряешь свойства Set
Аноним 25/01/17 Срд 13:34:53 9371 112
proof of distri[...].png 40Кб, 953x400
953x400
Нашёл красивую диаграмму.

Вопрос: в каких категориях она верна?

Ведь если на диаграмме обратить все стрелки и заменить продукты на копродукты и наоборот, то получится тоже верная диаграмма.

Однако же обращённая диаграмма неверна в категории конечных множеств FinSet, у которой есть конечные лимиты и конечные колимиты!

Поэтому недостаточно просто существования произведений и дизъюнктивных объединений. Что ещё требуется?
Аноним 25/01/17 Срд 13:36:46 9372 113
Аноним 25/01/17 Срд 13:43:21 9373 114
>>9371
Всё-таки наверное обращённая диаграмма верна и в FinSet, просто тогда единственный морфизм h_g - не изоморфизм.

А какое тогда свойство топоса конечных множеств заставляет морфизм h_g на изображенной прямой диаграмме быть изоморфизмом?
Аноним 25/01/17 Срд 17:59:41 9394 115
Аноним 25/01/17 Срд 20:03:27 9402 116
Аноним 25/01/17 Срд 23:39:15 9418 117
http://math.stackexchange.com/questions/674482/example-of-epimorphisms-such-that-the-product-is-not-an-epimorphism-in-the-categ

Zhen Lin утверждает, что произведение конечного числа эпиморфизмов - эпиморфизм.

Помимо этого, из множественной интуиции, кажется, что спаривание эпиморфизмов - тоже эпиморфизм.

По дуальности - получается, что мономорфизмы - тоже сохраняются при произведении или спаривании.

Но чего-то я пока туплю с диаграммами и ни одно из этих 4х утверждений не доказал.

Аноним 26/01/17 Чтв 02:12:39 9422 118
>>9418
> конструктивная математика
> пытается доказывать
Что- то не так
Аноним 26/01/17 Чтв 17:00:34 9435 119
>>9422
Ну ок, если если в произведение хотя бы один мономорфизм, то и произведение - мономорфизм.

( http://planetmath.org/propertiesofmonomorphismsandepimorphisms )

Ну а с объединением мономорфизмов - всё сложнее...
Вроде Prop 4.2.6 в Handbook of Categorical Algebra -- что-то связанное с этим.
( https://books.google.ru/books?id=YfzImoopB-IC&pg=PA135&lpg=PA135&dq=finite+coproduct+of+monos&source=bl&ots=P_73eBmD3N&sig=Z2b0xVjInmMm1w_EFtfUf6IjOzY&hl=en&sa=X&ved=0ahUKEwiWhoXd-d_RAhXqFZoKHTthCJoQ6AEIJTAC#v=onepage&q=finite%20coproduct%20of%20monos&f=false )
Аноним 26/01/17 Чтв 17:17:24 9436 120
А вот интересно:
Дан мономорфизм f:B>->1 (или эпиморфизм g:0->>B)
Верно ли утверждение, что "(B~0)\/(B~1)" где "~" - изоморфизм?
Аноним 27/01/17 Птн 11:38:37 9472 121
>>9436
По определению моника, он обратим слева, т.е. i o f = Id_B, с другой же стороны f o i = Id_1 (потому что, по определению 1, из 1 в себя должен существовать ровно один морфизм). Что означает, что В и 1 изоморфны.
Аноним 27/01/17 Птн 13:26:13 9482 122
>>9472
То, что ты говоришь верно для split monomorphism, то есть для секции, a я спрашиваю про обычный мономорфизм в произвольной категории.

Не надо применять "аксиому ковыбора", лол. :)
Аноним 27/01/17 Птн 13:55:41 9485 123
>>9482
Slishkom tonko dlya menya. Всегда думал, что моник - это обратимый слева, на геометрическом языке - сечение, да. А как ещё?
Аноним 27/01/17 Птн 13:58:49 9486 124
>>9482
А, извиняюсь, перепутал мономорфизм с коретракцией. Soryan.
Аноним 27/01/17 Птн 20:28:26 9513 125
>>9485

В определении мономорфизма m нет квантора существования обратного слева к нему. m o f = m o g => f = g

Вот видишь, значит двач чему-то тебя научил.)

Аноним 30/01/17 Пнд 18:38:02 9732 126
>>9436
( Ответ на немного изменённый вопрос: )

Если g:0->>B эпиморфизм и B := 1, тогда получается, что, во-первых, 0 населён(internally inhabited),
во-вторых, получается категория, в которой глобальные элементы одного и того же множества - равны.
В такой категории выполняется "forall B,(B~0)\/(B~1)", если считать верным утверждение "во всякий B либо идёт морфизм из 1, либо не идёт".
Таким образом это зависит от разрешимости множества морфизмов из 1 в B.


Аноним 30/01/17 Пнд 21:09:04 9740 127
IMG201701302059[...].jpg 2301Кб, 3696x4928
3696x4928
>>2473 (OP)
Коединица, определённая через биекцию hom-множеств - не просто функция, переводящая одни объекты в другие, а аж натуральная трансформация функторов!
Всё записал на пикрелейтед(в обозначениях крупной статьи на вики, разумеется), но не вижу как доказать нижнюю коммутативную диаграмму, которая всё и докажет.
Откуда она следует?
Аноним 03/02/17 Птн 01:05:53 10186 128
А можно в конце концов на пальцах пояснить почему гротендиковская схемная идея сработала в алгеме, а нигде аналогичное что-то больше не работает пока?
Аноним 03/02/17 Птн 17:22:23 10268 129
>>10186
Почему не работает?
Аноним 03/02/17 Птн 20:31:01 10285 130
Аноним 04/02/17 Суб 22:28:28 10345 131
>>10285
S. Ramanan - Global Calculus
Juan A. Navarro Gonzalez - C^\infinity - Differentiable Spaces

Ещё на mathoverflow.net есть несколько обсуждений
Аноним 06/02/17 Пнд 03:02:27 10403 132
>>10186
>схемная идея

в смысле нильпотенты в структурном пучке?

бывает, почему. см.: комплексные пространства, в изводе Грауэрта
Аноним 08/02/17 Срд 20:11:19 10654 133
>>10186
As David Mumford told me humorously, there was on the one hand the Zariski school in the United States, which had obtained many results using the method of resolution of singularities but which had already reached the limit.
“We were a group which had problems without methods, and on the other side Grothendieck had methods without problems.” So Zariski had the enormous generosity of sending all his students to learn Grothendieck’s ideas and the IHÉS became an annex of Harvard and Princeton. The second miracle consisted of a completely improbable collaboration between three very different people: Grothendieck, a prophet who was more interested in general ideas than in the details, Serre, an extremely logical spirit, precise, no nonsense, and Dieudonné, with his extraordinary capacity for work and understanding.
The Éléments and the Séminaires de Géométrie Algébrique are the result of this trio, on which no one would have bet.
Аноним 17/02/17 Птн 20:57:03 11388 134
>>10345
>>10403
После добавления нильпотентных элементов к R получается лажа (типа R={0}), чтобы этого избежать они начинают использовать другую логику (интуиционисткую), в которой этого не возникает, а это как-то связано с топосами.
Аноним 17/02/17 Птн 21:01:20 11389 135
>>10654
>>11388
В общем не стоит так надрачивать на отдельные идеи. То, что сработало в одном случае, может быть бесполезно в другом.
Аноним 21/02/17 Втр 20:51:06 11644 136
На курс леенсона ходит кто-нибудь?
Аноним 22/02/17 Срд 00:27:01 11689 137
>>11388
>После добавления нильпотентных элементов к R получается лажа (типа R={0})

what?!

что за гнойная хуйня?
Аноним 22/02/17 Срд 12:03:22 11702 138
>>11689
В принципе где топосы там ищи наебательство, но я совсем не понимаю, есть лекция шульмана, но я нифига не понял что там помимо нестандартного анализа.
Kock говорит что это по сути более удобное переложение идеи, которую придумал гротендик (the kth neigbourhood of the diagonal a.k.a. prolongation spaces of order k) а потом развили Malgrange, Kumpera и Spencer (есть даже книжка последних двух):
for the smooth case, Malgrange, Kumpera and Spencer, and others, described a category of “generalized differentiable manifolds with
nilpotent elements”
Аноним 22/02/17 Срд 12:04:27 11703 139
Гротендик стал систематически добавлять нильпотенты в алгебры функций в контексте алгебраической геометрии и придумал для этого теорию схем.
Smooth infinitesimal analysis — это просто добавление нильпотентов (в духе Гротендика) к алгебре функций, но для гладких многообразий.
Придумал это André Weil, его оригинальная статья по этой теме — «Théorie des points proches sur les variétés différentiables».
Аноним 02/03/17 Чтв 18:56:22 12345 140
Чё почитать? categories for working mathematician?
Аноним 02/03/17 Чтв 19:30:31 12347 141
>>12345
Если ты на первом курсе, да. А вообще Гельфанд-Манин, Вайбель.
Аноним 02/03/17 Чтв 19:36:05 12348 142
>>12347
Да, я первокурсник. Спасибо, записал себе авторов на будущее.
Аноним 03/03/17 Птн 12:50:22 12432 143
>>12347
Лол, Маклейн сложее Вайбеля в разы.
Аноним 03/03/17 Птн 17:30:13 12445 144
>>12432
Нет, не сложнее.
Аноним 04/03/17 Суб 17:40:51 12528 145
Аноним 04/03/17 Суб 18:34:48 12530 146
>>12528
Весь материал "Категорий для рабочего математика" умещается в первую главу Гельфанда-Манина (обоих книг).
Материал глав 6-9 у Вайбеля в Методах вообще отсутствует, а в 3 главе обзора представлен менее полно.
То есть о чем ты тут говоришь не ясно, но очевидно, что и сам этого не знаешь.
Аноним 04/03/17 Суб 18:42:53 12532 147
А вот Homology, естественно, сложнее. Но она принадлежит к доисторическому периоду, вместе с ветхим заветом Картана-Эйленберга. Вообще, большого смысла читать что-то кроме ГМ по этим темам нет. Но Вайбель писал некоторые главы "с прицелом на к-теорию", а писать только так и надо, в принципе.
Аноним 04/03/17 Суб 20:06:56 12539 148
>>12530
Спорно. Конусы и cocoon'усы у ГМ не рассматриваются так, как у Маклейна. Амальгамы, категория слайсов - где это всё?
19/03/17 Вск 18:32:19 13275 149
19/03/17 Вск 18:33:45 13276 150
nais.png 101Кб, 917x683
917x683
Аноним 19/03/17 Вск 18:55:18 13279 151
>>13275
В определении через протоморфизмы ошибка.
Аноним 06/04/17 Чтв 11:59:06 14292 152
Учебник по категориям для школьников таки есть: F. W. Lawvere S. H. Schanuel "Conceptual mathematics a first introduction to categories" Cambridge University Press 2009
Аноним 06/04/17 Чтв 12:44:51 14296 153
>>14292
Да, уже давно есть.
Аноним 07/04/17 Птн 00:27:06 14396 154
Надоел (1).png 290Кб, 600x600
600x600
Надоел.png 401Кб, 600x600
600x600
Надоел (2).png 103Кб, 600x600
600x600
Аноним 07/04/17 Птн 08:11:09 14442 155
>>14396
А мне нравится стрелочки рисовать.
Аноним 10/04/17 Пнд 19:17:47 14594 156
Поцоны, Бартош недавно написал статью про профункторы и (ко)end'ы. Почитал, более-менее осознал, вот только один вопрос мучает: как их по-русски нормально обозвать обозвать? Статью в Википедии еще не перевели, поэтому я в растерянности.
Аноним 05/05/17 Птн 10:59:37 17267 157
Аноним 06/05/17 Суб 16:00:04 17393 158
>>17267
Еще можно соконец, соднище, соторец (которец), соцель...
Аноним 18/05/17 Чтв 10:37:17 18514 159
14881193226140.jpg 57Кб, 850x480
850x480
Поясните-ка за эти ваши котягории, что годного есть почитать? В человеческий язык могу. Вот это норм книжка - http://5ht.co/cat.pdf ?
Аноним 18/05/17 Чтв 12:59:19 18526 160
Поясните за этот ваш теоркат?
В чем принципиальная новизна и в чем отличие от общей алгебры?
Выглядит, как ребрендинг
Аноним 18/05/17 Чтв 16:51:01 18545 161
Аноним 20/05/17 Суб 16:06:22 18699 162
>>18514
Пойдёт. Лутьше, чем Маклейн, во всяком случае, хотя тоже не божья благодать. Посмотри вот эту https://arxiv.org/pdf/1612.09375v1.pdf

>>18526
Блядь, ну сколько ж можно. Про это уже столько написано и переписано, сломано копий, что в приличном обществе за такие похабные вопросы и по ебалу можно получить. Серьёзно, анончик, ну погугли что ли.

>>18545
Ну уверен, но вряд ли.
Аноним 22/05/17 Пнд 11:36:09 18955 163
>>18545
В хаскеле нет категорий, потому что там всего одна категория Cat
Аноним 22/05/17 Пнд 12:06:50 18956 164
>>18955
Не Cat, а Hask.
Нет, Hask не является категорией.
Аноним 22/05/17 Пнд 21:31:27 19003 165
>>18956
Бля, надо Бартошу сказать, а то он там целые курсы по теоркату в хаскеле ведет, а тут такие новости.
Аноним 23/05/17 Втр 08:07:46 19031 166
Аноним 25/05/17 Чтв 07:53:28 19137 167
>>19003
Это не новость, почитай Awodey.
Аноним 29/05/17 Пнд 09:09:54 19351 168
Аноним 30/05/17 Втр 09:52:51 19375 169
>>19351
Норм, "категории для гуманитариев"
Аноним 02/06/17 Птн 09:30:19 19580 170
Сукаблядь, ну вот почему в нотации категорий продукт - это когда стрелки выходят из одного объекта к другим. Ну вот интуитивно же должно быть наоборот.
Аноним 02/06/17 Птн 15:03:35 19590 171
>>19580
Что это за интуиция такая, ничего не наоборот. Из XxY у тебя есть естественное отображение в X и в Y, а наоборот как?
Аноним 02/06/17 Птн 16:23:09 19597 172
>>19590
> а наоборот как?
Сам догадаешься? вариантов вроде не много
Аноним 02/06/17 Птн 17:28:59 19602 173
>>19597
Вот именно что дохуя. Для каждого элемента x из X у тебя есть своё отображение из Y в XxY: y |-> (x,y), для каждого y из Y есть отображение из X в XxY: x|->(x,y). Нет естественного выбора.
Аноним 24/08/17 Чтв 17:22:30 23817 174
Посоветуйте литературу по теме, и чтобы было не слишком сложно. В универе этот раздел не проходили.
Аноним 24/08/17 Чтв 18:03:41 23824 175
Аноним 10/12/17 Вск 01:48:49 31339 176
Аноним 26/12/17 Втр 12:52:15 33060 177
Анонасы, поясните вкратце, что такое диаграммный поиск и как его юзать?
Аноним 26/12/17 Втр 17:40:03 33144 178
>>33060
Ну тип доказательство лемм сводится к "водишь туда-сюда пальцем по диаграмме".
Аноним 26/12/17 Втр 22:47:26 33151 179
Сап, друзья! Может кто нибудт прояснить такую вещь. Когда доказывается существование классификатора подобъектах, в качестве омеги берем функтор, который на объектах отображается в множество всех решет под А. Как определяется его действие на морфизмах? Из того, что из терминального объекта есть естественное преобразование, вроде следует, что множество всех стрелок переводится в множество всех стрелок. Как определить остальные сорфизмы? У меня получается построить только функтор из двойственной категории.
Аноним 26/12/17 Втр 22:48:09 33152 180
>>33151
Морфизм
быстрофикс
Аноним 26/12/17 Втр 23:24:23 33156 181
>>33151
Эх я!
Забыл написать категорию. Речь идет о Fun(C,Sets)
Аноним 07/01/18 Вск 09:29:07 34149 182
Аноним 14/01/18 Вск 01:14:46 34797 183
sanders.jpg 22Кб, 545x127
545x127
>>12345
Где покупаете? Цена в Москве безумная.
Аноним 14/01/18 Вск 01:30:47 34798 184
>>34797
На libgen.io обычно покупаю.
Аноним 24/01/18 Срд 19:17:34 35747 185
Selection016.png 9Кб, 597x556
597x556
>>2473 (OP)

Почтенные мужи, в чём прикол ноликов на коммутативной диаграмме для первой теоремы о гомоморфизме групп?
Аноним 24/01/18 Срд 20:44:42 35748 186
>>35747
Группа с одним элементом.
Аноним 25/01/18 Чтв 00:04:50 35750 187
>>35747
Так на языке точных последовательностей показывается инъективность и сюръективность.
Сказать что стрелка A->B инъективна (сюръективна) всё равно что сказать что последовательность 0->A->B (A->B->0) точна.
Аноним 25/01/18 Чтв 01:10:59 35751 188
Аноним 26/01/18 Птн 13:05:07 35855 189
>>34797
Для работающего математика не безумная.
Аноним 26/01/18 Птн 16:57:29 35874 190
>>35750
Спасибо тебе!
Там же все последовательности - точные, да?...
Аноним 26/01/18 Птн 23:37:51 35926 191
>>35874
я не он, но если в последовательности рисуются нули, то наверно предполагается, что она точная? А иначе зачем их рисовать?
Аноним 27/01/18 Суб 20:08:07 35959 192
>>35874
Любой гомоморфизм f : A -> B даёт точную последовательность 0 -> ker f -> A -> im f -> 0.
Любая подгруппа A < B даёт точную последовательность 0 -> A -> B -> B/A -> 0. Это тоже легко проверить.
Аноним 12/02/18 Пнд 13:16:59 36650 193
А правда что теорию гомотопий лучше учить на категорном языка вообще без упоминания слова топологическое пространство?
Аноним 10/08/18 Птн 09:32:17 42006 194
Котаны, попробовал Tom Leinster, показалось сложно (у самого относительно свежая бульбазаврская по физике). Выглядит так, как будто нужно какое-то дополнительное чтение прежде, чем браться за это. Например, испугался слова гомоморфизм. Посоветуйте пре-чтение, пожалуйста?
Аноним 10/08/18 Птн 09:33:48 42007 195
Почувствовал себя гуманитарием от науки.
Аноним 10/08/18 Птн 14:34:32 42015 196
cat1.png 52Кб, 975x203
975x203
cat2.png 43Кб, 1016x262
1016x262
>>9001
Ебать великая тайна раскрыта. Не то что хуесосы вроде Аводия бросающиеся "универсальностью", но блядь что это такое так нигде объяснения и нет.
Алсо, проиграл с упражнения. Можно так и в ебучку словить.
Похоже, неплохая книга.
Аноним 10/08/18 Птн 16:26:31 42019 197
>>42006
>Например, испугался слова гомоморфизм
Линейная алгебра для первокурсников.
Аноним 10/08/18 Птн 22:48:03 42050 198
>>42006
я не знаю, что в алгебре может быть раньше слова "гомоморфизм". в принципе, ничего, это как бы часть определения основной категории, а раньше первого определения быть ничего не может

впрочем, я не знаю, о чём этот твой том ляйнстер. если он не про алгебру, то надо алгебры и навернуть, само собой
Аноним 11/08/18 Суб 18:11:26 42062 199
>>42006
А по какой физике? Вообще там вроде из контекста можно как минимум найти, где узнать про гомоморфизм. Там ведь дохуя групп, векторных пространств и всего такого фигурирует по ходу. Вот там и пре-читай, например.
А вообще, как ни парадоксально, изучать котегории в общем без какого-то частного бэка тяжко по-моему. Не понимаешь, что это за такая поебень и зачем кому-то вообще этот огород нужно было городить. Вот когда ты гетнешь какой-то стек объектов, на которые натягиваются котегории, типа там те же множества, группы, топологические пространства, ты уже начинаешь понимать, что всё это нужно для определения функторов, а категории функторов, универсальность и вот это всё можно использовать для всякой весёлой поебени. Кстати, почему Лейнстер, а не Маклейн?
Аноним 11/08/18 Суб 18:39:47 42064 200
>>42015
Хоть Аводий и не лучший вариант, но справедливости ради он поясняет за универсальность by example. В частности, прежде чем перейти к произведениям, он долго и нудно расписывает, что свободные моноиды на одном элементе изоморфны, аналогично и любые моноиды над данным множеством. Так что похоже проблема всё-таки в тебе, сорян.
Аноним 11/08/18 Суб 18:40:52 42065 201
>>42064
>любые свободные моноиды
Аноним 11/08/18 Суб 20:11:01 42072 202
>>42064
Меня беспокоит именно само слово "универсальный". Это как если бы тебе привели тысячи примеров абелевых групп, но это вообще никак не поможет тебе додуматься до того что это блядь был такой математик и в честь него их так назвали.
Аноним 11/08/18 Суб 21:59:31 42077 203
>>42072
Немного проблематично дать универсальное определение универсальности (pun intended). В простых терминах, это такое свойство объекта, которое делает все другие объекты, им обладающие, изоморфными данному. Но это определение на самом деле выглядит так себе. И Аводей приводит ненамного более внятное определение как "no junk, no noise". Оно хуёвое. Именно поэтому в данном случае определение через примеры лучше. Он писал, как умел. Не стреляйте в Аводея. Ну и опять повторюсь, я не его фанат. Лично мне Лейнстер нравится больше.
Аноним 17/08/18 Птн 10:44:13 42188 204
Какие пререквизиты для ТК? Читаю начало Маклейна, он определяет категорию через ГРАФ. Ну нифига себе, это же МНОЖЕСТВО упорядоченных пар вершин и вообще объект дискретной математики, а мне говорили ТК чуть ли не альтернатива основаниям всей математики, как так? Поясните плиз.
Аноним 17/08/18 Птн 13:07:57 42190 205
>>42188
>Какие пререквизиты для ТК
Начальный курс алгебраической топологии.
Аноним 17/08/18 Птн 14:57:11 42192 206
>>42188
Не через граф, а через метаграф. Метаграфом называется не граф в привычном смысле, а формальная теория. Как формальная арифметика, например.
Аноним 17/08/18 Птн 15:04:24 42193 207
>>42190

А она основана на теории множеств.

Аноним 22/08/18 Срд 18:42:15 42346 208
Как доказать что диаграмма коммутативная?
Аноним 23/08/18 Чтв 21:59:06 42372 209
>>42346
Так же, как и равенство двух отображений. Задай себе вопрос: когда два морфизма равны? Когда композиции двух морфизмов равны?
Реальная стори, я не тролль.
Аноним 13/10/19 Вск 19:58:54 59920 210
Как вкатиться? Я глупенький студент первокурсник, в универе зашли лекции про основные алгебраические структуры и теорию множеств, но сейчас пошла хуета про матрицы, а по дискретке скоро вместо множеств будет комбинаторика или че-то подобное.
По сабжу только знаю что он еще более глобален чем теория множеств, а я как раз дрочу на такую абстракцию и generiлизацию. ну а еще хаскель ее юзает на котором я пишу хелловорлды, ясен хуй
Аноним 13/10/19 Вск 21:15:22 59923 211
>>59920
Что ты несешь? Чистая теория множеств самая простейшая хуйня во всей математике, и именно хуйня потому что бесполезная. Какая глобальная? Её хватит описать одной двумя книгами, там и ничего нет практически.
Аноним 13/10/19 Вск 21:38:12 59924 212
>>59923
Ладно, я имел ввиду не саму теорию множеств, а группы, поля и тд а они то определены на множествах!. Просто после школы охуел что все, что я изучал - поле с умножением и сложением над множеством действительных чисел ну и плюс несколько других операций, а что кроме этого есть еще бесконечное количество других полей, колец и другие более сложные струткуры, про которые я не знаю
Аноним 13/10/19 Вск 22:16:14 59925 213
>>59924
Теорию множеств надо изучить, чтобы понимать это.
В школе не учат, как строятся действительные числа, а это между прочим реально существующий объект, как программа на компьютере. И десятичное представление чисел это не абстракция это реально ловишь все числа из этого множества, а не с какими-то яблоками, машинками работаешь, называя их количество. В этой книге The Real Numbers and Real Analysis (Ethan D. Bloch) первые 100 страниц посвящены этому, но там натуральные числа строятся как абстракция, в теории множеств конструктивно. Из этой книги узнаешь больше чем за 11 лет в школе.
Аноним 13/10/19 Вск 22:21:42 59926 214
>>59920
Нет в хаскеле никаких категорий. Нет и не было, и не будет.
Линейная алгебра это основа современной математики. Потому если тебе не нравятся матрицы можешь забить вообще.
По книгам, не помню автора, но название "топосы, категорный анализ логики".
Аноним 13/10/19 Вск 22:37:01 59927 215
>>59920
>а я как раз дрочу на такую абстракцию и generiлизацию.
ну и дурак

>ну а еще хаскель ее юзает на котором я пишу хелловорлды, ясен хуй
зачем тебе вообще математика?
а, ты же про теоркат спрашиваешь.
ну тогда хуй с тобой
Аноним 13/10/19 Вск 23:07:19 59928 216
>>59920
> Как вкатиться?
Без задней мысли.
> ну а еще хаскель ее юзает
Нет.
Аноним 15/10/19 Втр 10:39:46 59974 217
>>59926
Посоветуй книгу по линейке с нуля
Аноним 15/10/19 Втр 22:25:02 60015 218
>>59974
Не знаю. Тут тысячи раз писали списки книг. Если знаешь английский возьми Акслера "linear algebra done right". Навряд ли лучше в виде учебника что-то есть.
Аноним 15/10/19 Втр 23:27:57 60020 219
>>60015
А как же модули над кольцами? А Бурбаки? Зачем ты мальчику жизнь ломаешь?
Аноним 16/10/19 Срд 00:02:32 60021 220
Спасибо, но там с первой страницы сеты. Я понимаю сет {1, 5, 7}. Но сет с буквами я не понимаю {a,b}. И там матриц нету??
Аноним 16/10/19 Срд 13:23:39 60061 221
>>60021
Что ты не понимаешь?
>И там матриц нету??
Вроде как нет. Они и не нужны до того как ты не изучишь внешнюю алгебру.
Аноним 16/10/19 Срд 14:06:45 60066 222
>>60061

Ну вот там пишут, комплексное число это упорядоченная пара {a, b}, я правильно понимаю что это сет из двух любых(определённым образом законтрейченных) элементов a и b который и есть комплексное число?
Аноним 16/10/19 Срд 15:23:24 60072 223
>>60066
В фигурных скобках пишут множества. {a,b} это множество, содержащие a и b, а не упорядоченная пара. Пары обозначаются (a,b). Упорядоченная значит, что (a,b) != (b,a).
Аноним 16/10/19 Срд 15:44:10 60073 224
>>60072
Упорядоченая пара задается как {a,{b}}
Аноним 16/10/19 Срд 16:25:14 60074 225
>>60072
> {a,b} это множество содержащие a и b
то есть там может быть ещё много чего кроме a и b? то есть
1,3,7,a,8,b,4 и так бесконечно?
Аноним 16/10/19 Срд 16:31:28 60075 226
>>60074
Нет там должно быть такое только {{...}, {...}}
Но вместо многоточия хоть бесконечно много чего, главное чтобы закрывались фигурными скобками с двух сторон.
Аноним 16/10/19 Срд 20:40:49 60080 227
>>60073
Пошёл на хуй.
>>60074
Да.
Например дроби это тоже упорядоченные пары: a/b можно записать как (a,b). Порядок важен, так как a/b != b/a.
Аноним 16/10/19 Срд 21:20:26 60082 228
>>60080
То есть, я правильно понял, что когда мы делаем так {} то чтобы не оказалось внутри скобок это часть бесконечного набора?
Но ведь если мы делаем так {1, 2, 4} то мы так задаём набор ровно из трёх элементов? А так {1, 2, a} из бесконечного числа элементов так как есть буква?
Аноним 16/10/19 Срд 21:41:08 60084 229
>>60082
>это часть бесконечного набора?
Нет. У тебя в наборе есть всё ровно то, что у тебя в скобках и ничего более. Некоторые наборы перечислить нельзя. Например множество всех точек окружности ты не перечислишь в скобках, но ты можешь сказать, что A именно такое множество.
>{1, 2, 4} то мы так задаём набор ровно из трёх элементов? А так {1, 2, a} из бесконечного числа элементов так как есть буква?
В обоих случаях 3 элемента.
Дополню, что {1,2,2}={1,2}, то есть и слева и справа всего 2 элемента.
Аноним 16/10/19 Срд 21:46:21 60085 230
>>60084
Ну да у двоек же хеш одинаковый, лол
Аноним 17/10/19 Чтв 00:46:41 60087 231
>>60073
Хуйню ты написал, не будут так свойства упорядоченной пары выполняться. {a,{b}}

x = {c}
a = {{c}}
b = c

(a, b) = {a,{b}} = {{{c}},{c}} = {{x}, x} = (x, x), но x != a & x !=b
А должно быть так что (a, b) = (x, y) <=> a=x & b=y
Аноним 25/10/19 Птн 07:44:15 60647 232
>>60087
Также хочется заметить, что логарифмирование секвераторных констант прямо пропорционально логарифмированию вариативных производных косинусов чисел, следовательно, степени и индексы можно спокойно упускать из тождеств.
Аноним 20/03/20 Птн 01:27:31 66469 233
The MIT Categories Seminar has moved online!
The next talk will be livestreamed this week Thursday, 12 noon EST.
I'm going to speak about partial evaluations, the work that we did with the ACT School last year.
Email me if you want the access link, everyone is welcome.

Paolo Perrone
Аноним 08/11/20 Вск 04:26:44 75730 234
image.png 2Кб, 332x68
332x68
Аноним 08/11/20 Вск 05:10:44 75731 235
Аноним 08/11/20 Вск 05:48:54 75732 236
job job job Аноним 22/12/20 Втр 15:49:17 77955 237
Аноним 22/12/20 Втр 16:54:03 77957 238
>>77955
Слава тараканам
Аноним 23/12/20 Срд 06:25:28 77972 239
>>42064
> Хоть Аводий и не лучший вариант,
А кто лучший вариант?
Аноним 23/12/20 Срд 07:12:42 77974 240
>>77972
Мне нравится трёхтомник Борсо, который Handbook of Categorical Algebra.
мимо
Аноним 23/12/20 Срд 07:17:19 77975 241
>>77972
лучший вариант - изучать нормальную математику, теоркат придёт сам собой (в объёме, зависящем от твоей области)
Аноним 23/12/20 Срд 07:20:38 77976 242
>>77974
Будем посмотреть.
>>77975
Т.е ты согласен с тем, что теоркат это попытка формализации самого математического мышления?
Аноним 23/12/20 Срд 10:12:36 77978 243
>>77976
>попытка формализации самого математического мышления?
я в таких категориях не мыслю, как по мне, это словоблудие
очень, правда, любимое многими анонами на доске

для меня теория категорий это просто удобный инструмент, чтобы организовывать взаимосвязи и упрощать язык, как-то так
Аноним 23/12/20 Срд 13:18:17 77987 244
>>77975
вот этого матемачую. Это как изучать теорию множеств, может и содержательно, но наивного подхода и знания определений хватит в большей части математики.
Аноним 23/12/20 Срд 13:25:31 77988 245
>>77987
Ну, теория категорий - это вполне самостоятельная наука. Не хуже и не лучше теории каких-нибудь других структур. Можно закопаться и что-то открыть.
Аноним 23/12/20 Срд 14:36:05 77989 246
Аноним 23/12/20 Срд 15:40:30 77992 247
>>77989
1. Лившиц, Цаленко, Шульгейфер. Теория категорий. http://mi.mathnet.ru/inta5
2. Цаленко, Шульгейфер. Категории. http://mi.mathnet.ru/inta40
3. Цаленко, Шульгейфер. Категории. http://mi.mathnet.ru/inta71
Три обзора, сделанных с интервалом в несколько лет, первый в 1962 году, второй в 1969, третий в 1974. Интересны не только собственно текстом, но и прямо-таки здоровенной библиографией, частично до сих пор не потерявшей актуальность. Для полноты ссылок, наверное, стоит ещё упомянуть публикацию Шульгейфера с участием Куроша 1960 года, http://mi.mathnet.ru/umn6781

Скорее так
Аноним 24/12/20 Чтв 23:45:19 78084 248
>>77992
Этот обзор цаленко-шульгейферный входит в сборник "Общая алгебра" под ред. Скорнякова, более свежего образца.

Аноним 16/01/21 Суб 11:50:48 79091 249
Как лучше входить в теоркат?

Один раз пробовал через всем известную книгу, но там почти всюду упоминались структуры и связи между ними, ранее мне незнакомые.

Аноним 16/01/21 Суб 12:58:53 79095 250
>>79091
А зачем входить в теоркат, если нет в голове структур, к которым его можно применить?
Аноним 16/01/21 Суб 13:03:57 79096 251
>>79095
Ну когда пытался, мне очень понравилось рисовать стрелки и искать морфизмы из SET в RING, например. Но проблема в том что с кольцами не работал, а единственная алгебраическая структура, в которой я +- норм это магмы.
Аноним 16/01/21 Суб 14:09:11 79098 252
>>79091
>Как лучше входить в теоркат?
Лучше всего хорошенько смазав анус.
Аноним 18/01/21 Пнд 11:34:25 79170 253
>>79091
мне показалось, что удобнее всего входить через более-менее современные учебники по нужными тебе предметам, использующим теоркат как инструментарий: функан, алгебраическая геометрия, алгтоп, ...
там обычно в первых главах рассказываю быстренько все, что тебе надо + тебе интересно это читать, т.к. понятно, зачем ты это делаешь.

есть еще такая Category theory in context, но мне почему-то тяжеловато пошла - показалось, что плотность информации для моего слабого мозга великовата, хотя, конечно, проще маклейна
Аноним 18/01/21 Пнд 14:17:26 79176 254
>>79170
а в каком месте функану нужна теория категорий?

>Category theory in context
Эту книжку написала Emily Riehl
на тифаретники говорят, тётка очень зашкваренная (в том числе и в научном плане, вроде бы)
Аноним 18/01/21 Пнд 14:41:04 79181 255
>>79176
Может быть в современных конкретных работах и ни в каком, я, к сожалению, в функане не шарю. А тут я просто намекнул на книжку Хелемского по функану - не самое плохое введение в категории на конкретном примере.
Аноним 18/01/21 Пнд 14:56:41 79183 256
>>79181
Это в которой сияют ВРАТА СПЕКТРАЛЬНОЙ ТЕОРИИ?
Да, занимательная книжка
Аноним 18/01/21 Пнд 14:59:48 79184 257
>>79183
а что с ней не так? просто функан скучный и сложный, а эта книжка - достаточно увлекательная. Что еще нужно для тех, кто не хочет специализироваться в функане надо?
Аноним 18/01/21 Пнд 15:02:34 79185 258
>>79176
весь алгебраический современный функан категорный погугли что такое КК-теория Каспарова, и что такое циклические гомологии алгебр Фреше, можешь ещё погуглить operator spaces, где базовая идея в том, что категорию банаховых алгебр хитрым образом твикают чтобы она стала более алгебраичной и более адекватно себя вести.
Аноним 18/01/21 Пнд 15:13:03 79187 259
>>79184
ну нет. Эта книга достаточно скучная, Саймон-Рид в десять раз интереснее. Если "специализировать в функане", то, возможно, да, но это само по себе звучит уныло.
Аноним 18/01/21 Пнд 15:14:17 79188 260
>>79187
Функан топ, лучше функана не бывает ничего
Аноним 18/01/21 Пнд 15:28:00 79190 261
>>79184
мне кажется, если не специализироваться в функане, её лучше не брать, я согласен с >>79187 насчёт саймона-рида

>>79185
да, слыхал краем уха что-то о таких вещах! наверно, правда здорово
Аноним 18/01/21 Пнд 18:49:29 79194 262
>>79190
так-то напомню, что мы в треде про категории, а я в саймон-риде стрелочек не припомню
Аноним 19/01/21 Втр 13:58:20 79214 263
>>79194
любой оператор есть стрелочка, так что не расстраивайтся
а так, небольшой оффтопик (полу)мёртвому треду никогда не помешает
Аноним 19/01/21 Втр 14:27:43 79219 264
>>79214
стрелочки без коммутативных диаграмм - это еще не категории.
только диаграммный поиск, только хардкор!
Аноним 19/01/21 Втр 16:29:02 79231 265
>>79219
глупости же
известная теорема устанавливает эквивалентность между абелевыми категорями и категорией модулей. это нивелирует необходимость в диаграммном поиске в абелевых категориях, а в других он и до того не был нужен
Аноним 19/01/21 Втр 17:50:40 79240 266
>>79231
у вас бред. это никак не связано с абелевостью. chasing был есть и будед, алилуйя. любое доказательство сводится к поиску путей в графе.
Аноним 20/01/21 Срд 00:10:10 79263 267
>>79240
любое пусть и сводится, если очень хочется, только никто так никогда не делает
Аноним 20/01/21 Срд 01:56:28 79265 268
>>79231
Это что за теорема такая волшебная?
Аноним 20/01/21 Срд 09:02:57 79268 269
>>79265
теорема по фрейду
Аноним 20/01/21 Срд 12:06:50 79272 270
Аноним 20/01/21 Срд 15:43:17 79285 271
>>79272
да, там мерзкая и очень обидная какая-то была история
я не помню уже подробностей, но дорогой моему сердцу питер фрейд безусловно не в чём не виновен
Аноним 20/01/21 Срд 16:36:52 79299 272
>>79285
Что он заабузил свою лоли-дочь?
Аноним 21/01/21 Чтв 22:43:08 79361 273
>>79231
> и категорией модулей
истинно так. сегодня вечером я очнулся и узрел, что все в мире состоит из модулей. даже категории! даже Гротендик!
Аноним 22/01/21 Птн 01:39:32 79369 274
>>79361
Расширение модулей переломлено пополам
А наш батюшка Арнольд совсем усох
Он разложился на прямые слагаемые и на пересечение неприводимых подмодулей
А надстройка все идет и идет по конусу
И всё многообразие вложилось в $\mathbb{R}^N$
И весь мир состоит из модулей!
Модули над кольцом!
А моя судьба захотела на покой
Я обещал ей не участвовать в гомотопическом хаосе
Но на фуражке на моей коммутативная диаграмма и копредел
Как это трогательно коммутативная диаграмма и копредел
Лихая петля порождает фундаментальную группу
И весь мир состоит из модулей!
Модули над кольцом!
А моей статьёй накормили толпу
Анонимный рецензент нашёл в ней ошибку
Научное сообщество растоптало её на конференции
Так исправляйте же её сами
Потому что весь мир состоит из модулей!
Модули над кольцом!
Один лишь дедушка Шурик хороший был вождь
А все другие остальные такое дерьмо
А все другие враги и такие дураки
Над родною над математикой снег невежества шел
Я купил журнал LJ.ROSSIA там тоже хорошо
Там товарищ Миша там тоже что у нас
Я уверен, что у них то же самое
Весь мир состоит из модулей!
Модули над кольцом!
А при унивалентных основаниях все будет заебись
Их закончат скоро надо только подождать
Там все будет автоматически, там все будет в кайф
Там наверное вообще не надо будет ничего доказывать!
Я проснулся среди ночи и понял, что...
ПУЧОК МОДУЛЕЙ НАД ПУЧКОМ КОЛЕЦ
ПУЧОК МОДУЛЕЙ НАД ПУЧКОМ КОЛЕЦ
ПУЧОК МОДУЛЕЙ НАД ПУЧКОМ КОЛЕЦ
Аноним 22/01/21 Птн 16:33:04 79391 275
>>79369

все правильно анон написал, вот только

>при унивалентных основаниях все будет

сильно пахнет счастливым будущим коммунизма
знаменитая математика от Бурбаки Аноним 25/04/21 Вск 08:29:49 82799 276
Как стать подобием знаменитых французских школьников, которые могут оперировать всякими там кольцами и гомогруппами и при этом не умеющих делить в столбик?

Где раздобыть эту школьную программу по мотивам Бурбаков?
С какой книги нАчять?
Аноним 27/04/21 Втр 09:01:18 82875 277
Категория всех категорий не существует.

Определение 1. Категория категорий (кк) - такая категория, что каждый её объект - категория; каждый морфизм - функтор между соответствующими категориями, тождественный морфизм - функтор id, композиция морфизмов - композиция функторов.

Универсальная категория Un - такая кк, что любая категория изоморфна какому-то объекту из Un. Докажем, что универсальной кк не бывает.

Рассмотрим, согласно Маклейну, категории под названием 2 и 3 - соответственно стрелку между двумя точками и коммутативный треугольник. Будем говорить, что некоторая кк содержит 2 и 3, если она содержит объекты, изоморфные 2 и 3.

Лемма 1. Пусть A и B - две изоморфные кк, и пусть 2 и 3 являются объектами A. Тогда объекты A изоморфны объектам B, и наоборот, объекты B изоморфны объектам A.

В самом деле, пусть С - некоторая категория, являющаяся объектом A. Тогда каждый морфизм C соответствует функтору из 2 в C. Иными словами, класс морфизмов категории C биективно соответствует классу Hom(2,C) - классу стрелок из объекта 2 в объект C в категории A. Далее, закон композиции морфизмов в C задан, если задан набор всех возможных коммутативных треугольников в C. Набор коммутативных треугольников в C полностью определяется функторами из 3 в C - то есть полностью определяется классом Hom(3,C) категории A.

Таким образом, для любого объекта x категории A структура категории на x полностью определяется классами Hom(2,x) и Hom(3,x). Категории A и B изоморфны по условию, значит, hom'ы у них одинаковые. Отсюда следует лемма.

Определение 2. Категория категорий называется расселовской, если она изоморфна некоторому своему объекту.

Лемма 2. Пусть 2 и 3 являются объектами категории A, и A изоморфна какой-то расселовской категории B. Тогда и сама A является расселовской.
Доказательство. В категории B есть объект x, изоморфный B. По лемме 1, каждый объект B изоморфен некоторому объекту категории A. Значит, в A есть объект x', изоморфный B. Поскольку B изоморфна A, получаем, что x' изоморфен A. Значит, A изоморфна своему объекту.

Теперь, собственно, доказательство несуществования Un.
Пусть R - категория, объектами которой являются те и только те объекты Un, которые не изоморфны расселовским категориям (а стрелки - всевозможные функторы). Un, в силу универсальности, имеет объект R', изоморфный R.
Un содержит 2 и 3 - она же универсальная. 2 и 3 не расселовские, поэтому R содержит 2 и 3. Если R расселовская, то содержит объект x, изоморфный R, вопреки определению R (получается, что x изоморфен расселовской категории). Значит, R не расселовская. Поэтому лемма 2 запрещает R быть изоморфной какой-то расселовской категории. Значит, R' тоже не расселовская и поэтому является элементом R. Значит, R расселовская. Получили, что оба варианта дают противоречие.

Из https://arhivach.net/thread/683743/

Уточнение: категории категорий считаются полными, то есть hom(c,d) - класс всех функторов из c в d.
Аноним 27/04/21 Втр 09:24:54 82876 278
>>82875
У вас там это... доказательство поломалось
Аноним 27/04/21 Втр 09:29:44 82877 279
Аноним 27/04/21 Втр 14:13:48 82892 280
>>82877
Как минимум, ничего не доказано
Аноним 27/04/21 Втр 19:07:53 82907 281
>>82892
Со столь неконкретными претензиями, пожалуйста, проследуйте в какой-нибудь троллотред.
Аноним 27/04/21 Втр 23:14:18 82916 282
>>82907
вижу, в первый раз не дочитал твоё доказательство
вижу, ты упираешь на парадокс рассела, детали мне читать не хочется. насколько я могу судить, доказательство, если оно верное, должно упираться как-то в различия между "класс" и "множество"
Аноним 28/04/21 Срд 00:03:00 82919 283
>>82916
Нет, отнюдь. Доказательство остаётся валидным для любой подлежащей теории множеств, если в ней есть схема выделения подмножеств. Категория всех категорий невозможна не из-за того, что она слишком большая, а по соображениям самореференции.
Аноним 28/04/21 Срд 00:14:30 82923 284
>>82919
короче, ты парадокс лжеца поместил в простыню текста. ну ладно, пускай

помнится, меня учили, если не разрешать множествам быть слишком большими, "самореференции" не получаются (или даже запрещаются прямо, я уж не вспомню). например, если всё положить в один универсум Гротендика, тоже разве не получится?

впрочем, ответ на вопрос меня мало волнует, если честно
Аноним 28/04/21 Срд 00:29:26 82925 285
>>82923
Если фиксирован универсум, то категория всех малых категорий относительно этого универсума существует. Сама она, понятно, малой не является.

>ты парадокс лжеца поместил в простыню текста
Главная техническая деталь - что в категории категорий hom(2,C) и hom(3,C) полностью определяют структуру категории в C.
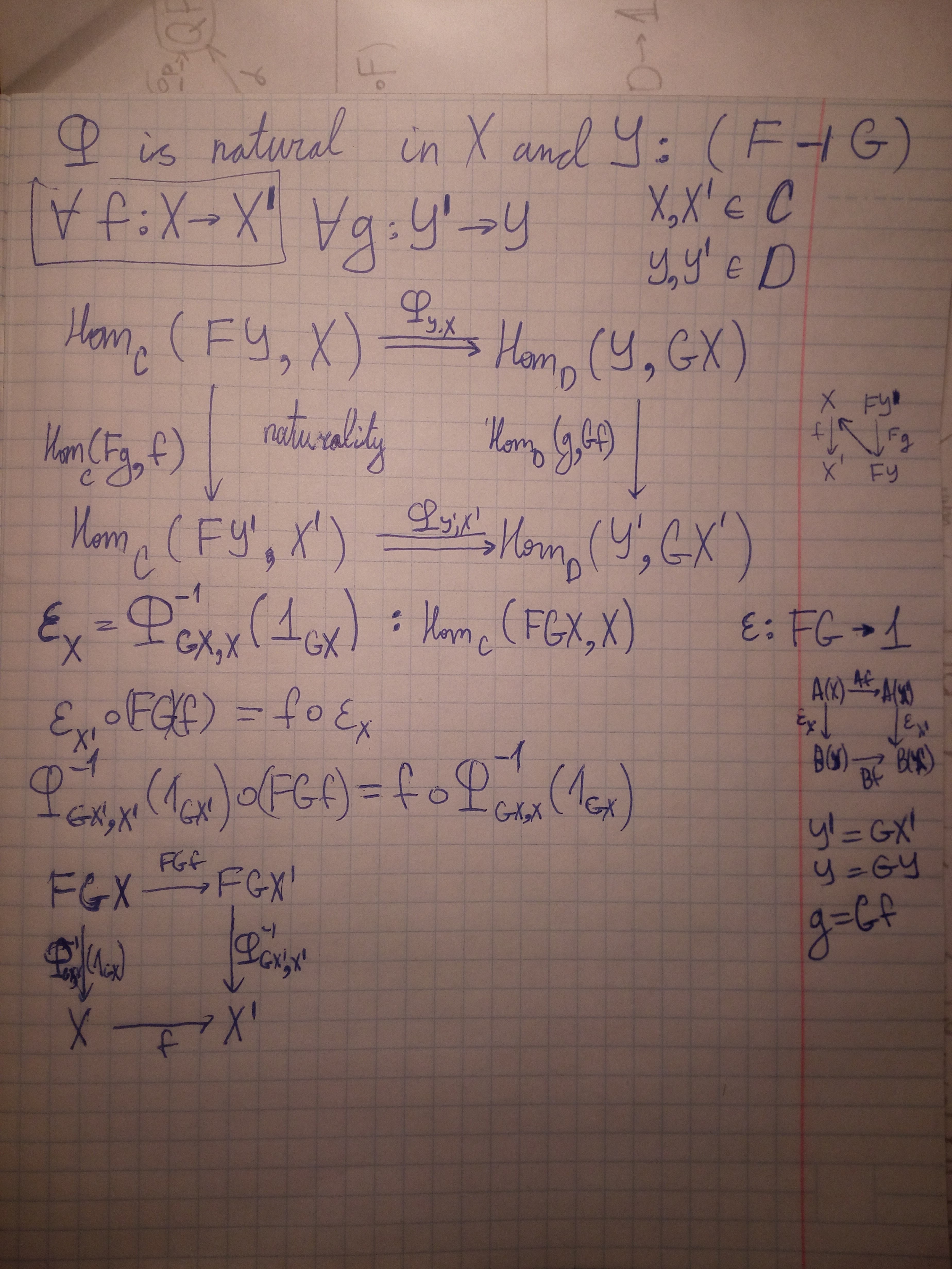
Аноним 01/06/21 Втр 03:20:04 84011 286
natural.png 117Кб, 936x404
936x404
Анон, что здесь значит "естественные по c и F"?
Аноним 01/06/21 Втр 11:00:11 84016 287
>>84011
ну типа там можно такие коммутативные диаграммы рисовать мне неохота пояснять детали

Вообще-то, если текст хороший, там ниже должно поясняться исключение: текст не для начинающих изучать теоркат, правда, непонятно тогда, зачем формулировать лемму ионеды
Аноним 01/06/21 Втр 11:40:52 84017 288
>>84016
А какие именно коммутативные диаграммы подразумеваются?
Аноним 01/06/21 Втр 14:55:02 84021 289
>>84017
В общей ситуации, если у тебя есть два функтора $F,G$ и для каждого объекта $A$ задана стрелочка $\varphi\colon F(A) \to G(A)$, то для любого морфизма $A \to A'$ можно рисовать диаграмму, в которой на горизонталях стоят $\varphi\colon F(A) \to G(A)$ и $\varphi\colon F(A') \to G(A')$, а на вертикалях - значения функторов $F,G$ на морфизме морфизме $A \to A'$. Говорят, что стрелочка $\varphi$ естественна по $A$, если всякая такая диаграмма коммутативна. На более формальном языке это означает, что $\varphi$ образует морфизм функторов $F \to G$ (естественное преобразование, отсюда и терминология). Если при этом, скажем, добавлено, что $\varphi\colon F(A) \to G(A)$ есть изоморфизм для всех $A$, то $\varphi$ доставляет изоморфизм функторов.

насчёт деталей, относящихся к лемме Йонеда, это, грешен, я уже не в силах
(меня и на основное её утверждение никогда уже не хватало)
Аноним 01/06/21 Втр 17:30:39 84035 290
>>84021
Спасибо, но это немного не то. Определение естественного преобразования понятное. Вопрос же был о том, что такое естественность "по объекту c и по функтору F".
Аноним 01/06/21 Втр 18:29:20 84038 291
>>84035
именно то
У тебя там изоморфизм между двумя хренями, которые зависят от c и F. Эти хрени надо вообразить себе как функторы (как они действуют на морфизмы между объектами типа c и F) и рисовать диаграммы, как я указал. Естественность означает коммутативность этих диаграмм
Аноним 01/06/21 Втр 19:18:48 84042 292
>>84038
Я не могу придумать, какая диаграмма должна быть для c.
Аноним 01/06/21 Втр 19:37:09 84043 293
>>84042
ну прости, может, более расторопный анон тут поможет, это не я
Аноним 02/06/21 Срд 01:34:45 84075 294
>>84043
Спасибо энивей.

So, вопрос >>84011 ещё в силе. Что такое естественность по c и по F, о коммутативности каких именно квадратов говорится.
Аноним 02/06/21 Срд 13:19:37 84087 295
>>2473 (OP)
Сап, категорщики! Как вкатиться в эту область с нуля? В матане не шарю, посоветуйте с чего начать?
Аноним 02/06/21 Срд 14:15:04 84094 296
Аноним 02/06/21 Срд 14:15:32 84095 297
Аноним 02/06/21 Срд 19:28:48 84113 298
>>2473 (OP)
Эти картинки можно переформулировать в терминах теории множеств.
Аноним 02/06/21 Срд 21:22:30 84114 299
>>84113
Любое утверждение о множествах можно переформулировать в терминах теории групп или в терминах графов.
Аноним 03/06/21 Чтв 11:32:07 84123 300
>>84114
Сформулируй "если есть инъекция из А в В и из В в А, то А и В равномощны" в терминах теории групп
Аноним 07/06/21 Пнд 01:15:00 84289 301
Аноним 07/06/21 Пнд 19:51:38 84300 302
1.png 51Кб, 215x211
215x211
Друзья! А где мне про спектральные последовательности почитать лучше всего, в частности для когомологий пучков.
Аноним 07/06/21 Пнд 20:01:40 84301 303
>>84300
посмеялся с картинки
Аноним 07/06/21 Пнд 20:54:24 84306 304
>>84300
Спектральные последовательности для когомологий пучков ничем не отличаются от других спектральных последовательностей, поскольку в сущности это все равно все в абелевой категории делается, а состоит она из пучков или из модулей, уже не суть важно
Аноним 07/06/21 Пнд 23:09:28 84311 305
>>84306
спасибо, я это понимаю. Просто мне кажется, что существуют источники где более подробно говорится о спектралках для пучков, типа Бейлинсона; про которые я собственно и спрашивал
Аноним 08/06/21 Втр 00:20:54 84315 306
>>84311
наверное
я не знаю
я про них только на каких-то лекциях слышал
Аноним 08/06/21 Втр 18:31:02 84329 307
>>84311
Differential cohomology theories as sheaves of spectra
Аноним 09/06/21 Срд 04:33:11 84342 308
16232001168620.png 675Кб, 1940x1250
1940x1250
Аноним 09/06/21 Срд 06:32:24 84344 309
>>84342
и как, вертикальная стрелочка понятна?
потому как без её пояснения ничем ответ от>>84021>>84038 не отличается
Аноним 09/06/21 Срд 08:10:34 84348 310
Monoidunitsvg.s[...].jpg 55Кб, 1200x413
1200x413
Monoidmultiplic[...].jpg 16Кб, 550x138
550x138
>>84344
Да, понятна. Вопрос был конкретно о том, как выглядит диаграмма для этого жаргонного выражения. Если бы это был вопрос о моноиде, то нужна была бы вот эта картинка.
Аноним 09/06/21 Срд 08:33:18 84352 311
Аноним 09/06/21 Срд 09:50:28 84354 312
>>84329
Не, тут не то что мне нужно, мне нужно для variety а тут какие-то manifodы и вообще чето не то всё это
Аноним 27/06/21 Вск 21:26:32 85010 313
photo2021-06-27[...].jpg 43Кб, 1280x558
1280x558
Аноним 27/06/21 Вск 22:26:10 85013 314
Народ, обьясните пожалуйста, что такое естественный изоморфизм вообще и также в данном контексте: между векторным пространством V и двойственным пространством двойственного пространства V есть естественный изоморфизм, по моему это при определении скалярного произведения. А вот между векторным пространством и его двойственным пространством естественного изоморфизма нет. Нигде в книгах по линалу дальше этих фактов никто не уходит. Сложное ли обьяснение?
Аноним 27/06/21 Вск 23:53:59 85022 315
>>85013
про линейные пространства можно думать очень просто:
изоморфизм между $V$ и $V^*$ в отсутствии скалярного произведения нельзя придумать никаким образом, не привлекая дополнительных построений, а если их привлекать, то изоморфизм построить можно, но будет от них зависеть (например, можно его построить выбрав базис, но тогда будет зависеть от базиса)

в то же время, если на $V$ введена дополнительная структура "скалярное произведение", то мы можем написать изоморфизм, который эту структуру использует. однако теперь она к $V$ привязана и никак уже не выбирается; поскольку она зафиксирована, мы говорим, что он ни от каких дополнительных построений наш изоморфизм теперь не зависит (только от заданных уже структур), тем он естественный

точное определение в смысле теории категорий я пояснял выше по треду: >>84021
коротко говоря, "естественный изоморфизм" - это изоморфизм функторов

>>85010
имеем $h \circ f = g \circ f = \operatorname{id}_A$ и
$f \circ h = f \circ g = \operatorname{id}_B$
эти соотношения означают, что оба морфизма $g,h$ суть двусторонние обратные к $f$, следовательно, они равны; это противоречит условию (что они разные)
Аноним 28/06/21 Пнд 10:55:11 85040 316
>>85022
Господи, спасибо тебе, спасибо, анон. Очень понравилось обьяснение через
>не привлекая дополнительных построений
Аноним 01/07/21 Чтв 21:47:13 85123 317
>>85022
Мимо другой, но можно ли найти объяснение на пальцах почему ломается изоморфизм между векторным пространством и дважды сопряженным, в случае бесконечной размерности.
Аноним 01/07/21 Чтв 22:14:15 85126 318
>>85123
потому что каноническое отображение $V \to V^{\ast\ast}$ является мономорфизмом, при этом (в конечномерном случае) $\dim V = \dim V^{\ast\ast}$. В бесконечномерном размерностей конечных нету, и начинаются патологии: одной мономорфности, чтобы был изоморфизм, уже недостаточно

Вообще, конечномерные векторные пространства похожи на конечные множества: с конечными множествами всё хорошо, а в бесконечности начинается всякое; из счётного множества (скажем, базиса в бесконечномерном пространстве) можно вытащить два непересекающихся равномощных с ним, например.
Аноним 02/07/21 Птн 01:45:20 85134 319
>>85126
>можно вытащить два непересекающихся равномощных с ним, например
Используя AC или нет?
Аноним 02/07/21 Птн 02:54:16 85136 320
>>85134
зачем? берёшь в натуральных чётные и нечётные числа, и всё
Аноним 03/07/21 Суб 05:37:27 85165 321
Ey4fI9ZXAAYunkv.jpeg 118Кб, 1280x720
1280x720
The new Godzilla anime
Аноним 13/07/21 Втр 13:19:06 85522 322
( ^^)人(^^ )
Аноним 23/06/22 Чтв 00:25:34 96556 323
Хочу вкатиться в вашу хуйню, про математику где-то слышал что такая штука есть.
Category Theory for Computing Science Michael Barr Charles Wells норм тема?
Олсо что такое "basic language of mathematics and computing science of the sort taught in an introductory discrete mathematics course"? Что в него должно входить?
Я знаю что есть там всякие множества, ряды, графы, матрицы, ещё какая-то хуйня. Что такое изоморфизмы и группы не знаю.
Аноним 02/07/22 Суб 13:32:44 96754 324
>>96556
>Что в него должно входить?
Там есть глава Preliminaries, почитай её. Если можешь эту главу осилить - читай дальше. Так можешь и с книгами по другим темам поступать, кстати - если начало идёт тяжко, сходи подкачайся.
>норм тема?
От книги тут ничего не зависит. Ты собрался читать теорию или скорее язык, разработанный математиками для математиков на основе десятилетий математических задач и примеров из нескольких огромных математических разделов. Если тебя это не смущает, то читай любую вводную книгу, они все одинаковые.

Теоркат в CS - это решение в поисках задачи. На выходе - китайская комната с сотней определений и двумя искуственными примерами. Как это взлетело, до сих пор не понимаю. Смысл говорить про естественные преобразования или даже функторы, если у тебя там 1.5 категории всего.
Аноним 07/07/22 Чтв 13:17:54 96875 325
>>96754
> Теоркат в CS - это решение в поисках задачи. На выходе - китайская комната с сотней определений и двумя искуственными примерами. Как это взлетело, до сих пор не понимаю. Смысл говорить про естественные преобразования или даже функторы, если у тебя там 1.5 категории всего.
Ну, вообще согл++. Тупа модно стильно молодёжно.
Аноним 07/07/22 Чтв 16:09:31 96877 326
>>96754
>Теоркат в CS - это решение в поисках задачи. На выходе - китайская комната с сотней определений и двумя искуственными примерами. Как это взлетело, до сих пор не понимаю. Смысл говорить про естественные преобразования или даже функторы, если у тебя там 1.5 категории всего.
Ну понятно, что если не лезть в чисто теоретические части CS с категорными моделями теорий типов, то там действительно все примерно на уровне того, чтобы говорить о монаде действующей на одной данной категории. С другой стороны, сами обобщения такого рода видимо вполне удобны для программистов (если бы они не знали о категориях, то наверное все-равно что-то функционально похожее придумали бы).
Аноним 24/07/22 Вск 19:22:39 97264 327
image.png 95Кб, 672x287
672x287
Привет двач, есть такой вопрос

Вот у меня есть какой-то текст на человеческом языке.
Текст это очевидно моноид, потому что к любому предложению можно добавить следующее.
(Текст может быть в виде юникод-строки например но это не важно)
Пусть этот моноид будет Z

Далее у меня есть какой-то способ закодировать произвольный текст словарем V фиксированной длины
То есть получается морфизм V -> Z
При этом образ всего V
может не совпадать с Z

Если я еще хочу чтобы совпадал, то как это называется?

И если я возьму все подобные кодировки V*->Z , какая структура получается, и что про нее интересного науке известно?
Аноним 20/11/22 Вск 21:17:34 99904 328
image.png 143Кб, 1555x452
1555x452
Я правильно понимаю, что здесь неправильно перевели, и на самом деле там enriched category, т.е. обогащённая, а не оснащённая?
Аноним 18/08/24 Вск 00:01:25 117039 329
1541321857950.jpg 63Кб, 807x419
807x419
Что интересного можно изучить в теории категорий?
Аноним 26/08/24 Пнд 11:42:23 117246 330
>>117222
С ними имел дело в алегеме. Я хочу именно интересные вещи в категориях.
Аноним 26/08/24 Пнд 13:41:54 117248 331
>>117039
1. Что ты уже знаешь?
2. Зачем?
Аноним 06/09/24 Птн 16:14:39 117367 332
>>117248
1. Самую базу. И теорию типов на уровне книжки про гомотопическую теорию типов.
2. Хочу изучить их применение к философии и логике, заметил некоторые интересные вещи (помимо интерпретации в духе диалектического кринжа). Нужно изучать теорию топосов?
Аноним 06/09/24 Птн 18:22:01 117368 333
>>117367
>Хочу изучить их применение к философии и логике
Есть стандартные работы по приложениям к логике, и для них как правило нужны топосы, да. Вот тут наверное самый полный список (вводной) литературы по теме, который можно найти: https://plato.stanford.edu/Entries/category-theory/bib.html
Еще советую посмотреть сюда https://awodey.github.io/catlog/ и сюда https://diliberti.github.io/Teaching/Teaching.html
Начинать имеет смысл с книжки Голдблатта. На русском еще есть книжка Васюкова "Категорная логика", которая про приложения к неклассическим логикам (на английском монографий по этой теме, насколько я знаю, нет), но педагогически она, по-моему, отвратительна, и научиться из нее чему-то сложно.
Аноним 16/11/24 Суб 23:57:36 118502 334
>>117368
Во, кстати, все говорят про Маклейна и категории для работающего, но ведь книжка Аводи - топчик. И для начинающего прям самое оно. Правда, там были неточности. Но это в мои времена, 13й-14й года, когда я её проштудировал
Аноним 17/11/24 Вск 12:07:46 118511 335
Есть прикольная формализация диалектики гегеля на нлабе
29/11/24 Птн 01:50:41 118835 336
Аноним 29/11/24 Птн 09:43:51 118836 337
Аноним 29/11/24 Птн 10:34:29 118837 338
>>118502
>Во, кстати, все говорят про Маклейна и категории для работающего, но ведь книжка Аводи - топчик
Это какая? "Introduction to Categorical Logic"? Так наверное потому и не говорят, что в ней математики в принципе и нет. И поэтому и говорят про книжку Маклейна, который собственно сам предмет и придумал, и который написал эту книжку для таких же математиков, как он сам, а не для "математиков" типа Аводи, которые суть погромисты, ларпающие математиков, и больше времени проводят на гитхабе.
Аноним 29/11/24 Птн 11:11:30 118838 339
>>118837
>Это какая? "Introduction to Categorical Logic"?
Нет, просто "Category Theory", лмао.
мимо
Аноним 29/11/24 Птн 11:31:48 118839 340
>>118838
Посмотрел, сорта говна. Никакой математики, никаких примеров из модулей\алгтопа\алгема, просто сухой теоркат, таких книг десятки. Где-то там в задачках что-то изолированное промелькивает про группы и топологии, и всё. Поэтому для математиков это всё равно хуита.
Маклейн крутился в среде Вейля и Нётер, а Аводи крутился в среде Маклейна. Если составить точную последовательность, то Аводи как раз и будет теоркатом, профакторенным по содержательной математике.
Аноним 29/11/24 Птн 13:28:41 118843 341
>>118837
ну давай, пучкни, хочешь же
Аноним 30/11/24 Суб 21:50:17 118852 342
image.png 54Кб, 910x242
910x242
>>118836
Разумеется, уёбок.
Аноним 30/11/24 Суб 21:50:56 118853 343
>>118837
А ты эту книгу вообще открывал, чмошник?
Аноним 30/11/24 Суб 21:52:55 118854 344
>>118839
ниасилятор, короче.
Аноним 01/12/24 Вск 07:20:08 118859 345
17237719223660.png 208Кб, 968x733
968x733
>>118852
> пик
Очень похоже на то как Сохацкий доказывал буддизм в MLTT.
Аноним 01/12/24 Вск 09:16:23 118861 346
>>118852
>пик
фелосафы-погромизды прикидываются математиками
Аноним 01/12/24 Вск 20:55:41 118872 347
>>118861
> пержу про пучки
> не вижу их в упор
Хули с тебя взять, ниасилятор. Решение задачек из учебников с помощью жпт - твой верх.
Аноним 03/12/24 Втр 08:50:12 118889 348
>>118872
таракан съебасос оформляем
Аноним 03/12/24 Втр 13:25:03 118890 349
>>118839
>Маклейн крутился в среде Вейля и Нётер, а Аводи крутился в среде Маклейна. Если составить точную последовательность, то Аводи как раз и будет теоркатом, профакторенным по содержательной математике.
слишком сложная для местных основателей аналогия
Аноним 04/12/24 Срд 00:35:38 118892 350
>>118889
Русский выучи, лох.
Аноним 04/12/24 Срд 07:43:39 118894 351
>>118892
в математических статьях тоже рассматриваешь точки и запятые вместо чтения? сразу видно бездарного любителя засунуть себе логику поглубже в очко
Аноним 04/12/24 Срд 14:55:41 118898 352
>>118894
Уёбище, не способное родной язык выучить, не в состоянии освоить язык математики, таракаш.
Аноним 04/12/24 Срд 16:53:31 118899 353
>>118898
по тебе и видно, кек
Аноним 04/12/24 Срд 17:48:28 118901 354
>>118894
обычно математики (русскоязычные) пишут довольно грамотно (на русском). ну, а в журналах уже редактура есть. понятно, однако, что придирки до размера печатных букв в интернетах едва ли имеют какое-то отношение к вопросам грамотности. это давно стало (в интернетах по сути и всегда было) больше элементом стиля, чем указанием на неспособность автора питать грамотно. тем самым, придираться к "мелкобуквам" и делать из этого выводы может позволить себе только тупой вонючий мудила, которому доебаться больше не до чего. ясно, что подобное говно либо посылать нахуй и игнорировать, либо сразу игнорировать, а большего внимания оно не заслуживает
Аноним 04/12/24 Срд 18:11:33 118903 355
Этому уёбку недоделанному так "похуй" на всех, что он тут ни один пост без своего треш-тока не пропускает.
Хули, это прощем, чем статьи писать.
Аноним 04/12/24 Срд 18:43:26 118904 356
>>118903
Ты с несколькими анонами общаешься, мудило напыщенное.
Аноним 04/12/24 Срд 23:38:22 118910 357
>>2473 (OP)
>доказываем теоремы с помощью diagram chasing
И как именно вы это делаете, как удобнее всего? Не через Фройда-Митчелла же, иначе не дидов гнать не стали бы.
Аноним 23/12/24 Пнд 22:27:24 119312 358
Какие пререквизиты у теории категорий?
Аноним 24/12/24 Втр 00:45:53 119314 359
>>119312
Содержательная теория категорий проходится после общей алгебры и/или основ теории гомотопий.
А так просто чтобы уметь символами крутить, то достаточно знакомства с понятием функции.
Настройки X
Ответить в тред X
15000
Добавить файл/ctrl-v
Стикеры X
Избранное / Топ тредов