Главная Юзердоски Каталог Трекер NSFW Настройки

Математика

Ответить в тред Ответить в тред
Check this out!
<<
Назад | Вниз | Каталог | Обновить | Автообновление | 218 35 103
Рыбникова Юрия Степановича тред Аноним 28/10/16 Птн 01:03:31 237 1
IsOD-67gwys.jpg 60Кб, 978x290
978x290
В этом in this itt итт thread треде отличаем умножение от суммирования, вычисляем скорость света 0, изучаем двоичный счёт древних русов, разоблачаем парламенТОРОВ и призеденТОРОВ.
https://www.youtube.com/watch?v=kzV4KuZPQWk - для первого ознакомления
https://www.youtube.com/watch?v=dxD-3fTpA9E - Рыбников князь, а ты даже не PhD.
https://vk.com/rusrybnikov - группа в ВК
http://vserod.com/ - модель русского атома онлаен.
Аноним 28/10/16 Птн 08:41:14 241 2
2 × 3 = 8.
8 ÷ 2 = ?
Аноним 28/10/16 Птн 08:53:12 242 3
У неправедных злобных еврейских учоных есть семитская Б-гм презираемая Нобелевская премия...
А какая премия праведная? Какую получают РУСы благодать Б-жию?

Аминь.
23=8
Аноним 28/10/16 Птн 09:08:58 243 4
Аноним 28/10/16 Птн 09:18:38 244 5
>>243
Б-жья кара на тебя, семит!
Аноним 28/10/16 Птн 09:21:01 245 6
ZnI-GK2-7L8.jpg 44Кб, 550x400
550x400
>>244
Ты только глянь, в группе даже мемы на подобие треугольника есть!
Аноним 28/10/16 Птн 09:21:18 246 7
IMG20161028092049639.JPG 202Кб, 720x1231
720x1231
Аноним 28/10/16 Птн 09:27:06 247 8
>>245
Это не мемы, как ты не понимаешь, семит! Это доказывает праведность древней науки РУСов!

Иисус, слався!
Мне кажется, Величайший Князь Его Пресветлейшее Величество Рыбников и есть второе пришествие! Господи!
28/10/16 Птн 09:27:57 248 9
>>247
>как ты не понимаешь, семит!
>Иисус, слався!
А разве Иисус не семит?
Аноним 28/10/16 Птн 09:32:32 250 10
>>248
Ты что молотишь, урод? ИСУУС РУСКИЙ
28/10/16 Птн 09:33:13 251 11
>>250
А почему в библии написано, что он еврей?
Аноним 28/10/16 Птн 09:38:12 253 12
>>251
КАК ЗЕМЛЯ НАША ТАК ИХ ЛЮ ДЕЙ НОСИТ СУКА
Сгинь, американский бес!

Отче наш, сущий на небесах!
2×3=8
да святится имя Твое; да приидет Царствие Твое;
2×3=8
да будет воля Твоя и на земле, как на небе;
2×3=8
хлеб наш насущный дай нам на сей день;
2×3=8
и прости нам долги наши, как и мы прощаем должникам нашим;
2×3=8
и не введи нас в искушение, но избавь нас от лукавого.
Аминь.
Аноним 28/10/16 Птн 09:39:58 254 13
>>253
А что если Рыбников - еврей? И вешает лапшу на ушам гоям?
Аноним 28/10/16 Птн 09:44:38 255 14
>>254
Неплохо тебе твоя Америка мозги промыла.
Может, ещё и интегралы не берёшь?
Возьми интеграл по методу умножения Рыбникова, или я проклину тебя, бес!
Аноним 28/10/16 Птн 09:46:45 256 15
>>255
А как ты докажешь он не еврей? Он сам-то доказать это может?
Аноним 28/10/16 Птн 09:58:06 257 16
IMG20161028095626905.JPG 40Кб, 1280x671
1280x671
>>256
Господи, прости этого грешника! Доказательства ему нужны! Боже!
Возьми интеграл используя умножение Пресветлейшего Рыбника, или провалиться тебе на месте!
28/10/16 Птн 10:03:17 259 17
>>257
Ты в наглую уходишь от ответа.
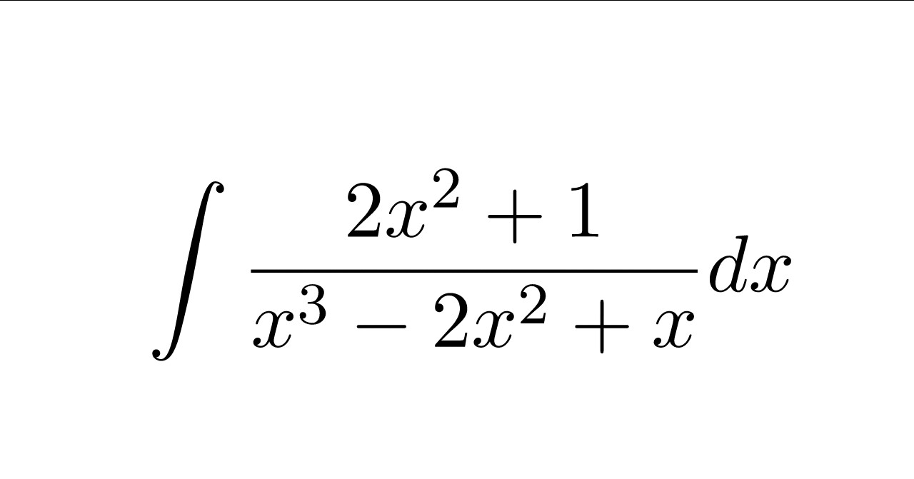
Аноним 28/10/16 Птн 10:17:34 262 18
>>257
>Возьми интеграл
ln(x)+ln(x-1)-3/(x-1) +C
Аноним 28/10/16 Птн 10:21:15 263 19
>>262
Ты встал на путь очищения. Господь может быть тебя простит за слова о Рыбникове. Может быть.
Вставай каждый день этот месяц во время восхода Солнца и бери по одному интегралу и соблюдай пост: водовка и картофель. Бог увидит твои молитвы.
Аноним 28/10/16 Птн 10:22:15 264 20
Аноним 28/10/16 Птн 10:27:16 265 21
>>263
>бери по одному интегралу и соблюдай пост: водовка и картофель.
Это уже слишком толсто и совсем не встили Рыбникова.
Аноним 28/10/16 Птн 13:53:25 281 22
>>265
>слишком толсто
А ты прогнись и расслабься, няша :3
28/10/16 Птн 14:03:22 285 23
>>281
Прогнутся под сионисткого агента моссада Рыбникова? Никогда!
Аноним 28/10/16 Птн 14:05:28 287 24
>>285
Именно так, няша, и подмахивай равномерней - с ритма сбиваешь :3
28/10/16 Птн 14:50:19 302 25
+15. Жду тебя.
Аноним 28/10/16 Птн 14:56:59 305 26
>>302
>Жду тебя.
Столько одиночества в этих словах :3
Аноним 28/10/16 Птн 14:57:30 306 27
>>305
Ты что на меня запал?
Аноним 28/10/16 Птн 14:58:50 307 28
>>306
>эта НАДЕЖДА
Очаровательно :3
28/10/16 Птн 15:01:08 308 29
>>307
Может политику обсуждать будем, пятнадцатирублёвка?
Аноним 28/10/16 Птн 15:03:17 309 30
>>308
>политику обсуждать
Ты болен, тебе нужна помощь.
28/10/16 Птн 15:04:01 311 31
>>309
>этот диагноз по двачу
Аноним 28/10/16 Птн 15:06:57 313 32
>>311
>диагноз по двачу
Ононизмус - хуже червя-пидора, ничего нового же.
Вот и ты, например.
28/10/16 Птн 15:08:27 314 33
>>313
>Этот самозашвар онанимуза
>Вся суть порашного русофоба
Аноним 28/10/16 Птн 15:13:12 316 34
>>314
>КУДАХ БАБАХ
>КУКАРЕКУ
Ну что же ты, русский ананизм-легивон, совсем по швам пошел :3
28/10/16 Птн 15:14:17 317 35
>>316
>Эти кукаренькая маньки
Аноним 28/10/16 Птн 15:19:03 318 36
>>317
>кукаренькая
А ручонки-то совсем трясутся, нервишки шалят :3
28/10/16 Птн 15:43:40 321 37
>>318
Одной ручкой пост строчу, а другой хуй дрочу :33
Аноним 28/10/16 Птн 15:52:52 322 38
>>321
>а другой хуй дрочу :33
Точно любовь :3
Аноним 28/10/16 Птн 16:00:21 323 39
>>322
Да, киса, я бы заставил тебя брать мои интегралы :33
29/10/16 Суб 08:33:43 368 40
Аноним 29/10/16 Суб 10:01:36 369 41
Capture.JPG 49Кб, 734x586
734x586
Прошу прощения, подскажите, а вот у этого человека что за диагноз?
29/10/16 Суб 10:55:45 372 42
>>369
Нарцисизм.
29/10/16 Суб 15:57:41 404 43
Ну что русофобный жидяра, ты тут?
Аноним 29/10/16 Суб 20:02:04 458 44
>>404
Да. Спрашивай свои ответы, мань.
Аноним 29/10/16 Суб 20:09:05 459 45
Аноним 29/10/16 Суб 20:42:14 462 46
Аноним 29/10/16 Суб 21:17:28 463 47
>>462
Ну и в чём вопрос? Вербитка всё верно говорит.
Аноним 30/10/16 Вск 06:07:52 477 48
>>463
Нет конечно же! Вербит простая обижонка и не более того.
Аноним 30/10/16 Вск 12:05:48 484 49
>>477
>обижонка
Не забывай о домашних заданиях.
Аноним 30/10/16 Вск 12:12:40 486 50
>>484
Я не буду твоюдомашку решать, школьник.
:3
31/10/16 Пнд 19:41:41 608 51
И вот после того как А.Н.Колмогоров получил премию Вольфа, М. написал в местную много(под)тиражку «За науку в Сибири» статью «Право на память», в которой утверждал, что А.Н.К. получил сионистскую премию за развал советского школьного математического образования. К тому моменту народ в республике СОАН был казалось бы ко всему привычный, но это уж было через край, и публика заволновалась… А.Д.Александров, однако, призвал к спокойствию на том основании что М. больной на всю голову…
31/10/16 Пнд 19:42:14 609 52
— Знаете, это очень трудный вопрос. Я бы рекомендовал в преподавании в школе вернуться к Киселеву. Но это мое личное мнение. Мой учитель, Андрей Николаевич Колмогоров, очень меня убеждал, когда он начинал свою реформу, принять участие в этой реформе и переписывать все учебники, делать их по-новому и излагать, как он хотел, бурбакизировать школьную математику и так далее. Я категорически отказался, прямо чуть не поссорился с ним, потому что, когда он мне стал рассказывать свою идею, это был такой вздор, про который мне было совершенно очевидно, что пропускать его к школьникам нельзя. К сожалению, после него еще несколько академиков пропустили, и они сделали еще хуже, чем он. Я боюсь этим заниматься, сейчас я не берусь за это дело, в частности, пользуясь вот этим всем опытом. Уважаемые мною люди, А.Д. Александров, Погорелов, Тихонов, Понтрягин — все приняли участие и все написали плохо. Я могу точно сказать, что плохо написал Колмогоров, скажем, ну и про других тоже знаю; учебники, которые они предложили, могу критиковать, но не могу предложить своего учебника...
31/10/16 Пнд 19:42:55 610 53
Что прошлое ворошить, сейчас надо жить, а не в прошлом. Тем более, что учебники Колмогорова (алгебра и матан, не геометрия) и Погорелова прижились. Щас надо бороться с деятелями типа Вербицкого. А то проталкивается мнение, что мол идея то хороша, только вот нормального (педагогического) изложения нет. Идеи Вербицкого в образовании - полная ерунда, чушь и даже не ноль, а минус огромный.
ЕГЭ кстати, это так, надстройка, на базис конечно влияющая, но не очень сильно.
31/10/16 Пнд 19:45:28 612 54
1.png 34Кб, 1846x304
1846x304
Аноним 31/10/16 Пнд 20:38:14 626 55
Аноним 31/10/16 Пнд 20:55:08 630 56
ll.png 292Кб, 629x681
629x681
Аноним 31/10/16 Пнд 21:19:58 633 57
35678579346555.jpg 39Кб, 568x391
568x391
>>626
Блджад, осилил только процентов 15 и дальше глаза в мозг затекают. Сколько ни пытаюсь продолжить - не могу ни в какую. Насколько реально прочесть этот текст? Это же просто эпик.
Аноним 31/10/16 Пнд 21:36:31 638 58
367346888282288.jpg 31Кб, 328x255
328x255
>>633
Пиздец, ещё и голова разболелась, это же психотронное оружие нахуй, конём оно ебись. Уже час не отпускает. Не читайте это, посоны
Аноним 31/10/16 Пнд 22:09:57 641 59
5/0
5/(5-5)
1/1-1
0/0-0
0/0
1/1
1!!!
Аноним 31/10/16 Пнд 22:28:35 642 60
саша пять лет.jpg 25Кб, 604x232
604x232
>>641
>5/(5-5)
>Саша 5 лет
%Kto-to% CONFIRMED!!1
рыбников ультрафинитист, как и РУСы 31/10/16 Пнд 22:37:22 644 61
Во-первых, отделим математику числовую (цифровую), где считают только цифры, от математики предметной, где действия производят с предметами, т.е. счёт предметов (счёт РУСов). Во-вторых, в действующей математике почему-то мы начало счёта ведём с единицы, а не с ноля(?), а таблицу «умножения» на школьных тетрадях начинаем считать с 2 , а не с единицы, при этом не показываем умножение на ноль и единицу. В-третьих, в природе ничего дробного нет, а есть только целые природные единицы. В-четвёртых, в природе нет ничего отрицательного и положительного, а есть реальные предметы и соответственно написанные цифры, тогда как положительное и/или отрицательное – есть условность и/или мнение отдельных лиц или группы лиц.
Аноним 31/10/16 Пнд 22:40:48 645 62
>>642
> 22:28:35
> 5!!!

>5!!!+1!!!=6

> 31/10/16
> 3+1+1+0+1= 6
> 22:28:35
> 2+2+2=6
> 8+5+3= 16
>#60
>№642
>66
6616666!!!
рыбников ультрафинитист, как и РУСы 31/10/16 Пнд 22:46:54 647 63
ля снятия противоречий в определении действия умножения необходимо логическое и природное обоснование математического определения действия умножение по правилам РУСов. Пример: 1.три семечки просуммируем 1с+1с+1с=3с «возьмём и сложим (складируем, капитализируем)» в ящик, где они будут храниться 1год, результат как до сЛОЖения трёх семечек-3с, так и через год 3с. 2. Три семечки просуммируем 1с+1с+1с, после чего посадим их в землю и польём, солнышко их прогреет и природа начнёт производить: вначале корешки, затем листочки, цветки и на последней стадии семечки.

Собрав урожай и посчитав семечки, мы с удовлетворением констатируем, что семечек произведено природой много, с точки зрения математической трактовки мы семечки умножили, а по знаниям РУСов УМНО ЖИЛИ. Очевидно, что подмена (переопределение) древнего РУСкого действия

УМНО ЖИТЬ, с ударением на первой букве У. «математики» пытались переопределить последовательно в умножить с ударением на букве О, а затем и в сЛОЖИТЬ, с ударением на букву О; примеры идут сверху.
Аноним 01/11/16 Втр 02:15:34 657 64
>>647
>>647
>три семечки просуммируем 1с+1с+1с=3с
Так. Но если семечки это понятие чисто из области рассудочного понимания, а в природе их нет, значит реальные семечки нельзя посчитать, даже если они на вид кажутся одинаковыми. Можно посчитать их только как некоторое количество виртуальных идеализированных моделей, ведь если модели будут не идеализированными, значит они будут разными, а если они будут разными, значит их нельзя принять как "универсальные", т.е "семечки" как называется то что я щас написал? Оно же как-то называется.
Аноним 10/11/16 Чтв 15:24:55 1869 65
>>237 (OP)
Есть ли смысл начать учить математику по Рыбникову, если обычная не даётся?
Аноним 10/11/16 Чтв 15:38:51 1872 66
Аноним 10/11/16 Чтв 15:43:45 1875 67
Аноним 12/11/16 Суб 01:04:33 2098 68
В чем он не прав? Поясните.
Аноним 13/11/16 Вск 18:56:55 2357 69
>>2098
В том, что твоя мать шлюха
Аноним 13/11/16 Вск 19:54:39 2392 70
>>2098
Смотря в чём твой вопрос, там же до жопы инфы на сайте.
Аноним 27/02/17 Пнд 13:06:50 12144 71
Бамп годному треду!
Аноним 27/02/17 Пнд 15:59:19 12153 72
>>638
Слабак.
Тонкая подмена понятий, которые все в первом классе проходили и забыли, в статье и ничего более.
Аноним 28/02/17 Втр 10:31:55 12185 73
>>237 (OP)
Интересно, что такое произошло с рыбниковым что он начал умножать степени?
Или он просто жид который на тупых гоях, которые не могут в математику, зарабатывает?
Аноним 28/02/17 Втр 13:30:52 12187 74
>>12185
Каким образом он может заработать на этом?
Аноним 28/02/17 Втр 14:31:48 12189 75
>>12187
Да как угодно. Продавать свои книги, проводить семинары по раскрытию вранья ОФФИЦИАЛЬНОЙ науки, тайны русов и их использование, заговоры президенТОРОВ из панСИОНатов, например.
Тем более я в видео с ним часто видел что он у доски стоит, будто учитель какой то.
Аноним 28/02/17 Втр 14:44:00 12191 76
>>12189
Я тоже видел, но не думаю, что это были платные встречи, да и рассказ у него на две минуты, потом зацикливается.
Аноним 28/02/17 Втр 17:17:35 12195 77
>>12191
На что он тогда живет? Для пенсионера слишком молодой.
Аноним 01/03/17 Срд 11:50:19 12234 78
Но он же ебнутый, даже формулу тяготения Ньютона не осилил, которую в 5 классе начальной школы разбирают.
Аноним 01/03/17 Срд 11:53:36 12236 79
>>657
Хуйня это называется.
Аноним 01/03/17 Срд 16:55:13 12241 80
>>12195
Ему 73 года, если судить по вк.
Аноним 02/03/17 Чтв 14:17:29 12329 81
>>369 Этого пидора ещё в сайнс-фрикс видел, деревянными уравнениями торгует.
Аноним 08/03/17 Срд 20:05:30 12779 82
14889907589050.webm 40042Кб, 1052x720
1052x720
Аноним 27/04/19 Суб 22:38:28 52839 83
народ, кто смотрел его лекцию про трибогенераторы в мгу, которая была этой осенью
Аноним 01/05/19 Срд 18:59:38 53059 84
15478972226340.png 766Кб, 900x900
900x900
>>237 (OP)
> Рыбников
Он же психический, лол. Года 3 назад смотрел видос, где он Ньютона "опровергает", это пиздец же полный. Деду к доктору надо, чердак дырявый совсем.
fs6ur11@gmail.com 02/05/19 Чтв 08:18:47 53064 85
FissionChainRea[...].gif 32Кб, 765x600
765x600
Тгхнн, отставить зоофилию. Пиши на мейл.
Аноним 03/05/19 Птн 02:24:16 53074 86
смотрю рыбникопа ради фана, это круче кинчиков
Аноним 27/10/19 Вск 20:11:27 60781 87
>>53059
ноль, целковый, чекушка, порнушка, пердушка, засерушка, жучок, мудачок, х_й на воротничок, дурачок
Аноним 28/10/19 Пнд 00:32:03 60787 88
А по химии у него годная модель или нет?
Аноним 28/10/19 Пнд 00:49:14 60789 89
origa03537f94b9[...].png 98Кб, 2180x1412
2180x1412
А как складывать?
Аноним 28/10/19 Пнд 00:54:03 60790 90
Поменяй тогда значок для множения потому что очень удобный значок, хочется чтобы коммутивной операция была с таким значком и вообде
Аноним 28/10/19 Пнд 17:53:59 60811 91
>>60789
Расскажите этому деду про степень, хотя я думал, что о них ещё в Древнем Египте знали. Наверное это всё из-за того, что Рыбников учился по книгам древних Русов, а они появились раньше, чем цивилизация Древнего Египта, вот дед и не знает о степени. А так всё верно, умножение - это ускоренное сложение.
Аноним 28/10/19 Пнд 18:52:30 60812 92
>>60811
Ты вообще не в теме
Аноним 28/10/19 Пнд 18:53:40 60813 93
Аноним 29/10/19 Втр 06:11:10 60826 94
Есть общепринятые определения сложения, умножения, степени итд. Что изменится, если умножением назвать возведение в степень? И в чем тут заговор семитов? Если бы вся хуйня, что предлагает этот дед решала какую-то практическую задачу, то ладно.
Аноним 29/10/19 Втр 14:15:38 60834 95
>>60826
Этот дед как раз и говорит, что математика хуйня полная, нужно идти на завод и там уже атомы всерода с повышенным содержанием духа предков тебе подскажут как нужно правильно самолёты и атомные бомбы делать, чтобы скинуть их потом на головы англо-масонам.
Аноним 29/10/19 Втр 18:00:48 60849 96
F6340537-DBAF-4[...].jpeg 136Кб, 1280x720
1280x720
>>237 (OP)
Все физики-прикладники так думают о математике. То же мне новость.
Аноним 29/10/19 Втр 18:20:22 60854 97
Аноним 29/10/19 Втр 21:11:02 60863 98
>>60834
Правильно говорит
Аноним 30/10/19 Срд 15:13:41 60891 99
ygfyCF0H.png 63Кб, 496x512
496x512
>>60854
Мань, если ты согласен с колхозаном из этого видоса, у меня к тебе только один вопрос - что ты в этом разделе забыл?
Аноним 30/10/19 Срд 16:06:36 60895 100
image.png 158Кб, 480x418
480x418
>>60891
Хочу узнать могут ли математики рассчитать смесь растворов.
Аноним 30/10/19 Срд 20:15:01 60922 101
Аноним 30/10/19 Срд 21:20:03 60927 102
>>60922
Этот рептилоид порвался, несите нового.
Слава РОДу!
Аноним 06/11/19 Срд 11:25:30 61183 103
>>60854
Нахуя он шрифт из подливиона спиздил?
Аноним 06/11/19 Срд 16:45:38 61192 104
>>61183
Ради пафоса же.
Аноним 06/11/19 Срд 21:48:38 61196 105
>>60895
Жаль пропало видео, где он доказывал, что ноль и нуль это не одно и тоже.
Аноним 09/11/19 Суб 13:50:28 61374 106
Почему сложение обозначается двумя палочками образующими крест, вычитание одной палочкой, но при этом:
Умножение одной точкой, а деление двумя?
Аноним 09/11/19 Суб 13:57:40 61376 107
>>61374
На самом деле деление и вычитание не существует.
Есть только сложение и умножение: и они определяются как рекурсивная функция в программировании (самая простая) например 4+5 = (4+4)+1 = ((4+3)+1)+1 = (((4+2)+1)+1)+1 = ((((4+1)+1)+1)+1)+1
И вот после этого только пойдет плюсование, так как + 1 это следующий элемент.
Аноним 09/11/19 Суб 14:48:21 61377 108
>>60826
Когда-то же называли первый множитель типа "множимое", а второй "множитель". Возможно, что вместо путаницы с размерностями тут и есть смысл некоммутативности множения потому что это возведение в степень.
Аноним 09/11/19 Суб 15:01:44 61378 109
>>61376
>программировании
Не математика.
Аноним 09/11/19 Суб 15:17:05 61379 110
Может множимое и множитель нужны для введения в разряды?
Аноним 27/11/19 Срд 21:56:10 62152 111
Аноним 08/12/19 Вск 13:09:12 62544 112
>>60895
Это должен знать каждый прикладник, чтобы правильно разбавить технический спирт вынесенный с завода.
Аноним 08/12/19 Вск 13:53:21 62545 113
schet-drevnih-s[...].jpg 53Кб, 624x433
624x433
jurij-rybnikov.jpg 19Кб, 720x405
720x405
Что вообще в наплечной параше у таких гейниев? Математика в нынешнем виде складывалась тысячелетиями, а потом приходит такой великий ниспровергатель и говорит, хуета это все, надо считать как древние русы - ноль, целковый, чекушка, подушка, осьмушка, стручок, пучок, петучок. Почему? Потому что яскозал. Вы долбаебы, а я весь в белом. Шизофренический уклад един...
Аноним 08/12/19 Вск 14:16:30 62546 114
>>62545
Практика - критерий истины.
Аноним 08/12/19 Вск 15:11:37 62547 115
>>62545
СЕМИТ ИВАН СРЕТ ТОЛСТО
Аноним 08/12/19 Вск 15:48:40 62548 116
Аноним 09/12/19 Пнд 16:44:36 62604 117
15755825039390.jpg 42Кб, 640x480
640x480
Кто в курсе за этот ваш счёт древних шизов? Раз тред создали, поясняйте. Ну вот досчитал мы до 8, что дальше? Или дальше нинужно? Есть какие-то числовые множества? Я так понимаю, это какой-то сорт ультрафинитизма?
Аноним 09/12/19 Пнд 20:08:02 62624 118
>>237 (OP)
А я и не знал, что здесь так давно существует тред моего любимого практика, Руса и гиганта шизофрении. Слежу за его деятельностью с 2010-го года, уже тогда был выведен из состояния зомбирования использовал русский (компьютерный) счёт для быстрого и эффективного решения задач из ЕГЭ. Однако затем был возвращён в зомбированное состояние Сектой Еврейского Медикаментозного Информационного Террора путём запирания меня в психосемитской больнице на длительный срок. С тех пор вновь использую вместо суммирования сЛОЖЬение.
Аноним 24/12/19 Втр 20:28:54 63203 119
Этот человек уже мемом стал...
25/12/19 Срд 17:50:52 63242 120
>>63203
Жаль что не Министром образования
Аноним 26/12/19 Чтв 20:40:04 63294 121
>>63242
> Жаль что не Министром образования
В Блинолопатии как раз такой министр образования нужен. Чтобы все по фэн-шую - какое образование, такой и министр. С министерством культуры получилось же.
Аноним 26/12/19 Чтв 21:52:04 63300 122
>>62604
Не до восьми, а до десятичка.
Аноним 28/12/19 Суб 11:08:46 63346 123
>>63300
Ок. А после десятичка что? Я даже у него на сайте этот счёт шизов не нашел. Только в видосах и без подробностей. Хотел на агде эту хуйню сделать.
Аноним 28/12/19 Суб 11:49:08 63347 124
>>63346
Да какая разница, как оно дальше называется, общий принцип-то понятен. Это порождающие квазациклической 2-группы, её можно и на агде сделать.
Аноним 28/12/19 Суб 12:28:16 63348 125
>>63347
> . Это порождающие квазациклической 2-группы,
Prufer group - это оно? Может быть, эту хуйню уже в коке делали?
Аноним 28/12/19 Суб 12:31:47 63349 126
>>63346
После десятичка чекушка, порнушка, пердушка, засерушка, жучок, мудачок, хуйнаворотничок, дурачок.
Аноним 28/12/19 Суб 12:39:13 63350 127
>>63349
Ещё был новогодний вариант, что-то типа снежинка, серпантинка, снежок, снег за воротничок, снеговичок.
Аноним 28/12/19 Суб 12:53:07 63352 128
>>63348
Да, оно. Судя по тому, что он называет свой счёт двоичным, речь о p=2.
>Может быть, эту хуйню уже в коке делали?
Не знаю, я в пруверы не умею. Но скорее всего делали, объект-то простой и встречается не так уж редко.
Аноним 28/12/19 Суб 20:50:34 63367 129
ШУЕ ППШ! СПАСИБО ЮРИЮ СТЕПАНОВИЧУ!
МИР ДОЛЖЕН ЗНАТЬ ПРАВДУ

подписался на тредж
Аноним 29/12/19 Вск 02:54:56 63379 130
15775140937650.png 483Кб, 779x767
779x767
Я так и не понял, что этот ваш счёт шизов даёт. Чем квазициклические группы и прочее изьебство лучше натуральных чисел, чем "ноль, целковый, чекушка" лучше "ноль, один, два". Хуйня какая-то.
Аноним 29/12/19 Вск 02:59:31 63380 131
>>63379
Суть Рыбникова доёбываться до нерусскозвучащих слов, не умножение, а суммирование, не 1/2, а полушка и тд
Аноним 29/12/19 Вск 14:06:36 63390 132
>>63379
Надо искать связь с сферами.
Аноним 29/12/19 Вск 15:02:15 63393 133
>>63390
Рыбников уже нашёл, судя по электроатомам.
Аноним 29/12/19 Вск 16:24:20 63395 134
Аноним 29/12/19 Вск 16:44:28 63396 135
>>63380
Для снятия противоречий в определении действия умножения необходимо логическое и природное обоснование математического определения действия умножение по правилам РУСов[4]. Пример: 1.- три семечки просуммируем 1с+1с+1с=3с «возьмём и сЛОЖим (складируем, капитализируем) в ящик, где они будут храниться 1год, результат как до сложения трёх семечек-3с, так и через год- 3с; 2. - три семечки просуммируем 1с+1с+1с =3с, после чего посадим их по отдельности в землю и польём, солнышко их облучит и согреет и естественным образом природа начнёт производить: вначале корешки, затем листочки, цветки и на последней стадии семечки. Собрав урожай и посчитав семечки, мы с удовлетворением констатируем, что из одной семечки произведено природой много семечек т.е. количественно увеличилось, с точки зрения математической трактовки мы семечки умножили, а по знаниям РУСов УМНО ЖИЛИ. Очевидно, что произошла подмена (переопределение) древнего РУСкого действия УМНО ЖИТЬ, с ударением на первой букве У. «математики» переопределили в сЛОЖИТЬ, с ударением на букву О.
Аноним 29/12/19 Вск 17:05:02 63397 136
>>63395
Какие же "оригинальные" комментарии под видео от малолетних дебилов...
Аноним 29/12/19 Вск 18:07:25 63401 137
>>63396
Ну так я и говорю, вся суть его доёбов заменить 3 умножить на 5 на
x = 0
for i = 1 to 5
x = x + 3
Аноним 29/12/19 Вск 18:09:51 63402 138
>>63401
ну типа сУМмировать 3 5 раз
Аноним 29/12/19 Вск 18:23:29 63406 139
>>63401
> Ну так я и говорю, вся суть его доёбов заменить 3 умножить на 5 на
Если бы. Он говорит, что вообще вся математика как абстракция это семитское наебалово. Что посчитать можно только что-то конкретное.
Аноним 17/01/20 Птн 21:20:24 64118 140
15768769156550.mp4 16839Кб, 854x480, 00:02:02
854x480
Аноним 02/03/20 Пнд 17:29:40 65732 141
Аноним 05/03/20 Чтв 13:32:21 65877 142
Ноль, целковый, полушка, четвертушка, осьмушка, пудовичок, медячок, серебрячок, золотничок, девятичок, десятичок

0, 1, 1/2, 1/4, 1/8, 1/16, 1/32, 1/64, 1/128, 1/256, 1/512, 1/1024

Так?
Аноним 06/03/20 Птн 10:51:21 65906 143
Рыбников, получается, пошел дальше, чем конструктивисты и ультрафинтисты, объявив что считать можно только предметы, и никаких отрицательных, комплексных и прочих мнимых чисел не существует.
Аноним 08/03/20 Вск 15:50:33 65982 144
>>65877
Нет, не так, ноль, целковый, чекушка, порнушка, пердушка, засерушка, жучок, мудачок, хуй на воротничок, дурачок.
Аноним 09/03/20 Пнд 20:37:55 66072 145
CuFuLQrWYAAkggG.jpg 28Кб, 310x233
310x233
>>65982
Хом, экстовый, торушка, тензорушка, представушка, монадушка, предельчок, копредельчок, топос на воротничок, квазикогерентный пучок.
Аноним 09/03/20 Пнд 20:50:00 66074 146
Вот вы ржоте а меж тем Russian Prison Algorithm это было очень круто и англичане о нём писали в книгах
Аноним 09/03/20 Пнд 20:52:26 66076 147
тьфу
“Russian Peasant Algorithm”
Аноним 09/03/20 Пнд 21:03:09 66080 148
>>66076
>also known as Egyptian multiplication, Ethiopian multiplication, Russian multiplication, or peasant multiplication
>was known from the hieratic Moscow and Rhind Mathematical Papyri written in the seventeenth century B.C.
Угу, хорошо жили russian peasants при царе Аменхотепе.
Аноним 09/03/20 Пнд 21:16:15 66083 149
>>66072
В голосину оппучкался.
Аноним 09/03/20 Пнд 23:35:45 66090 150
>>66076
Алгоритм русского холопа?
Аноним 10/03/20 Втр 00:17:46 66093 151
>>66072
функториальный счёт древних пучкистов
Аноним 10/03/20 Втр 11:30:36 66106 152
>>66090
Русский алгоритм холопа скорее
"Московский папирус" так называется не потому что его в Москве написали при мэре Аменхотэпе три тысячи лет назад
Аноним 10/03/20 Втр 12:49:08 66107 153
>>66106
Нет, англичанин путешествую на почтовых лошадях по России увидел как считают деньги кучера.
Аноним 31/03/20 Втр 23:45:10 66808 154
>>66080
Что взять со Скалигера с его хронологией.
Аноним 04/04/20 Суб 09:51:50 66944 155
Аноним 07/04/20 Втр 09:12:09 67062 156
Почему Рыбников пишет 2х3=2х2х2=8? Но ведь 2х2х2=16, а не 8.
Аноним 07/04/20 Втр 11:45:00 67083 157
Аноним 07/04/20 Втр 16:21:25 67108 158
>>67083
Я понял! Если в умножении два операнда, то это возведение в степень, а если несколько одинаковых множителей, то классическое умножение.
Аноним 07/04/20 Втр 18:07:20 67118 159
>>67108
по рыбгникову 2x3 это 2 умно жить на 2 три раза, это 16, а не 8, 8 он пишет потому что он шиз и у него из памяти отторгнутой личности осталось что 2^3 это 8
Аноним 07/04/20 Втр 18:38:22 67119 160
>>67118
2х2х2 - это разложение на множители и переводится в степенную форму 2^3.
Аноним 08/04/20 Срд 07:05:29 67139 161
>>67083
Счёт русов - это правильный счёт!
Аноним 08/04/20 Срд 20:14:48 67184 162
>>67062
Я слышал такую историю, что ему в руки попал школьный учебник по математики для начальной школы. Там была опечатка, перепутали умножение со степенью или что-то такое. От чего он и сошёл с ума.
Аноним 09/04/20 Чтв 07:30:29 67213 163
>>67184
Не всякий бы выдержал
Аноним 09/04/20 Чтв 07:46:21 67214 164
>>67184
Причём тогда счёт древних Русов?
Аноним 09/04/20 Чтв 08:17:27 67216 165
>>67214
Начал копать.
>>67213
Это кажется был тот учебник который он бояршинову показывал.
Аноним 09/04/20 Чтв 08:33:02 67217 166
>>67216
Неважно что натолкнуло его на мысль, тут дело в том, что можно самостоятельно проверить, что умножение в современных учебниках - это суммирование. А когда сам попробуешь умножить, то понимаешь, что к чему.
Аноним 09/04/20 Чтв 10:02:09 67222 167
>>67217
>А когда сам попробуешь умножить, то понимаешь, что к чему.
Да уж.
но поняло, видимо, пока всего два человека
Мочидзуки и Рыбников!

и оба пока не могут донести свет истины до человечества
Аноним 09/04/20 Чтв 11:03:38 67225 168
>>67222
Не понятно потому, что они занимаются переопределением понятий, которыми уже прозомбировали в школе. Эту зомбопрограмму очень сложно сменить.
Аноним 09/04/20 Чтв 11:24:26 67226 169
>>67225
иронии ты, конечно, в своём ответе не видишь
Аноним 09/04/20 Чтв 11:51:21 67228 170
>>67217
Что вы тут говно месите? Умножение это синтаксический сахар над сложением. А сахар все любят за удобство. Вы просто ретрограды и занимаетесь копанием в легаси говне.
Аноним 09/04/20 Чтв 11:53:58 67229 171
>>67228
> синтаксический сахар
> ретрограды
> легаси
Ты ошибся видно бордой. Борда для пидоров это вон туда --> /pr
Аноним 09/04/20 Чтв 11:59:04 67230 172
>>67228
Для тебя не важно как функцию назвать или какой значок использовать, а Рыбникову важно. Ему не нравится сЛОЖение, поэтому он говорит суммирование. Так же ему не нравится умно жение применительно к суммированию, потому что они ничего не умножаем.
Аноним 09/04/20 Чтв 18:15:27 67252 173
>>67225
Умножение и сложение очень разные.
Аноним 09/04/20 Чтв 20:17:42 67271 174
>>67252
сЛОЖение: 1+2+3+4+5
школьное умножение: 2х5=2+2+2+2+2

Как видим разница лишь в слагаемых, а не в знаке операции.
Аноним 17/04/20 Птн 09:04:06 67565 175
15848668286080.jpg 124Кб, 700x646
700x646
С.Е.М.И.Т
Аноним 17/04/20 Птн 21:50:23 67602 176
>>67252
Скажи это логарифмам
Аноним 02/05/20 Суб 13:19:58 68354 177
Gradient2020041[...].jpg 382Кб, 2160x1424
2160x1424
>>256

он не еврей.
Аноним 02/05/20 Суб 18:06:05 68373 178
Аноним 02/05/20 Суб 19:39:45 68376 179
>>68373
Естественнонаучный журнал «Точная наука» www.t-nauka.ru1Содержание1.ЭЛЕКТРОН И ЕГО ОСОБЕННОСТИ...............................................................................2Алиев И.Х.2.ОПРЕДЕЛЕНИЕ СОДЕРЖАНИЯ ТЯЖЕЛЫХ МЕТАЛЛОВ В ПОЧВАХ Г. КРАСНОЯРСК..........6Романова М.Н.3.ПРИМЕР РЕШЕНИЯ РАЗНОСТНОГО УРАВНЕНИЯ МЕТОДОМ НЬЮТОНА.......................8Веретенников В. Н.4.МЕТОД ПРОИЗВОДЯЩЕЙ ФУНКЦИИ СТОХАСТИЧЕСКОГО ПРОЦЕССА «РОЖДЕНИЯ И ГИБЕЛИ» В СЛУЧАЕ ЭПИДЕМИИ МАК-КЕНДРИКА .....................................................16Кондрашков А.В.5.СТРУННЫЕ КОЛЬЦА ВСЕЛЕННОЙ, ГАЛАКТИК, ЗВЁЗД И ЧЁРНЫЕ ДЫРЫ ...................22Сыздыков Д.Б.6.ДЕМОНТАЖНЫЕ РАБОТЫ В СТРОИТЕЛЬСТВЕ ПОТОЧНЫМ МЕТОДОМ...........................28Асанов В.Л., Цибаев И.Р.7.КАРТОФЕЛЬ ОТЕЧЕСТВЕННОЙ СЕЛЕКЦИИ В ЗАПАДНОМ КАЗАХСТАНЕ........................32Абдрахманова А.О., Шауленова А.Г., Филлиппова А.В
Аноним 02/05/20 Суб 20:52:53 68378 180
Аноним 04/05/20 Пнд 03:22:45 68401 181
>>68376
я бы взглянул на структурные кольца вселенной
Аноним 04/05/20 Пнд 03:23:02 68402 182
>>68401
струнные кольца
Аноним 14/05/20 Чтв 22:55:33 68801 183
Аноним 14/05/20 Чтв 23:00:44 68802 184
>>630
четырерод
пятирод
шестирод
семирод
яебалтвойротгосподин евро-фашист
Аноним 16/10/20 Птн 20:08:07 74861 185
Это база!
Аноним 17/10/20 Суб 04:01:39 74879 186
image.png 631Кб, 650x433
650x433
Аноним 24/11/20 Втр 18:43:36 76421 187
https://youtu.be/m6SK9honWYI
А ведь Рыбников всё верно говорит. В университете тоже пишут знак суммы, а не подменяют сумму умножением. Вот по результату да, можно там формулы всякие вывести для быстрого суммирования. Но это ещё надо доказать с помощью метода математической индукции, к примеру.
Аноним 24/11/20 Втр 18:56:40 76422 188
image.png 1Кб, 135x81
135x81
Суммировать два десять раз это будет формула как на картинке.
А вот умножить 2x10 это 2^10 что равно 1024
И это более правильно учить детей суммированию, чем пытаться определить умножение через сложение какое-то там
Аноним 24/11/20 Втр 19:08:21 76423 189
Интересен также вопрос почему вроде бы в коммутативной операции умножения первый операнд называется множимым, а второй множителем. Вероятно это в общем-то раньше и служило разделением на основание степени и показатель степени. Потом же, конечно, было выгодно перепутать понятия.
Аноним 25/11/20 Срд 05:13:56 76432 190
>>76423
>называется множимым, а второй множителем

кажется, после класса примерно 5ого с этой терминологией не сталкивался никогда
Аноним 25/11/20 Срд 11:27:56 76434 191
Снимок экрана 2[...].png 24Кб, 592x81
592x81
Снимок экрана 2[...].png 22Кб, 565x53
565x53
>>76423
У буржуев вот так
Аноним 08/12/20 Втр 21:31:10 77016 192
Аноним 09/12/20 Срд 14:42:55 77040 193
Аноним 25/12/20 Птн 18:58:12 78205 194
image.png 785Кб, 1363x906
1363x906
image.png 388Кб, 1358x819
1358x819
Медячок в пятому ряду потому что 2^5 = 32
таблица русов периодична и по вертикали и по горизонтали
Аноним 14/02/21 Вск 22:33:57 80330 195
1613331235004.mp4 478Кб, 624x640, 00:00:02
624x640
Аноним 27/02/21 Суб 06:25:35 80810 196
Аноним 27/02/21 Суб 09:16:36 80812 197
>>80810
Ну ничего интересного, Рыбников гонит свою пургу, Бояршинов кивает и соглашается, как врач в дурке. Была бы дискуссия, было бы забавно.
Аноним 02/03/21 Втр 18:32:59 80953 198
>>241
3? или правильно сказать четвертушка?
Аноним 18/03/21 Чтв 13:38:13 81566 199
есть ли шансы у этого течения стать новыми основаниями математики?
Аноним 18/03/21 Чтв 13:40:21 81567 200
Аноним 19/03/21 Птн 03:55:30 81600 201
Аноним 20/03/21 Суб 13:02:14 81635 202
>>81566
Неудобный вопрос
Аноним 04/04/21 Вск 13:36:17 81975 203
>>81566
Рыбников только основаниями и занимается. Не слышал, чтобы он уходил дальше арифметики.
Аноним 05/08/21 Чтв 00:08:40 86156 204
Кто теперь продолжит дело Мудрого Руса?
Аноним 05/08/21 Чтв 01:47:40 86157 205
>>86156

Думаю, Савватеев подойдет, у него как раз подходящий математический уровень.
Аноним 09/08/21 Пнд 18:15:59 86415 206
Интересно всё-таки этот дядька был тролль или сумасшедший..?
Аноним 09/08/21 Пнд 20:50:17 86421 207
Аноним 09/08/21 Пнд 20:58:46 86422 208
>>86415
Сумаседшими были люди вроде Кантора и теперь им поклоняются.
Аноним 09/08/21 Пнд 21:04:11 86423 209
>>251
>А почему в библии написано, что он еврей?
Жиды много чего могут написать.
Аноним 09/08/21 Пнд 22:34:33 86430 210
>>86421
Не тролль и точно не псих.
Бабки он на этих книжках зарабатывает. Из Вики:

> В середине 1990-х годов теория преобразовалась в коммерческий проект[21][22][23][24]. К началу 2011 года по «Новой хронологии» издано более 100 книг общим тиражом около 800 тысяч экземпляров[25].

Ну и может быть, совмещая полезное с приятным, нравится ему всякие небылицы сочинять. Вот такой математик – писатель-фантаст.
Аноним 10/08/21 Втр 00:15:36 86437 211
>>86422

Поясни за базар.
Аноним 11/08/21 Срд 19:10:15 86531 212
16286979315820.jpg 637Кб, 1280x972
1280x972
Как вы тут поживаете, древние Руссы? 10000 лет непрерывный цивилизации не прошли для вас даром?
Аноним 30/08/21 Пнд 23:49:28 86978 213
image.png 355Кб, 821x1080
821x1080
Аноним 15/05/22 Вск 18:28:52 95819 214
16507927590000.mp4 653Кб, 1280x720, 00:00:04
1280x720
Аноним 06/06/23 Втр 12:46:08 102978 215
>>237 (OP)
а известно его мнение про пучки и гомологии?
Аноним 06/06/23 Втр 12:59:27 102980 216
>>102978
Ты что, какие пучки, он даже арифметику считал наебом гоев, про остальное и так понятно. Вот как вариант, гамалогии древних шизов >>66072
Аноним 03/02/24 Суб 17:31:56 112351 217
>>237 (OP)
А причем тут Задорнов?
Аноним 25/02/24 Вск 08:36:13 113177 218
Настройки X
Ответить в тред X
15000
Добавить файл/ctrl-v
Стикеры X
Избранное / Топ тредов