Главная Юзердоски Каталог Трекер NSFW Настройки

Математика

Ответить в тред Ответить в тред
Check this out!
<<
Назад | Вниз | Каталог | Обновить | Автообновление | 309 56 207
Прикладная математика Аноним 31/05/17 Срд 21:57:11 19499 1
aboutappliedmat[...].jpg 353Кб, 730x250
730x250
Elmer-pump-heat[...].png 575Кб, 818x640
818x640
HD-Rayleigh-Tay[...].gif 139Кб, 822x640
822x640
446-pure-math-v[...].png 24Кб, 473x226
473x226
#физика #механика #статистика #численные_методы #теория_игр #теория_ящика #анализ #оптимизация #экономика #менеджмент

Вычисление ящика и физический смысл эволюты, касательные плоскости к трехмерным кривым в частных производных, дифференциалы высших степеней для поиска разрыва в проводке, подводная акустика для поиска ктулху, создание паверарморов и ядерных реакторов с неоконченными классами церковно-приходной школы, все это и не только обсуждаем тут, не разуплотняем прикрепленные треды.

Тред модерируемый. Щитпостинг и совсем уж нерелейтед трется. Мод, добавь в список тематических.
Аноним 31/05/17 Срд 21:59:06 19500 2
Предыдущий засрали долбоебы: >>16786 (OP) (предлагаю его переименовать в срача о модулях тред, чтобы анон не путался)
Аноним 31/05/17 Срд 22:16:09 19504 3
Кстати, что по тиграм почитать? кроме Петросяна
Аноним 02/06/17 Птн 19:19:18 19612 4
Аноним 02/06/17 Птн 19:28:34 19614 5
А что по численным методам? Особенно интересует связанное с линейной алгеброй.
Аноним 02/06/17 Птн 19:34:21 19616 6
20170602193429.jpg 499Кб, 2048x1152
2048x1152
Матач, помоги
Что это и как это решается?
Аноним 03/06/17 Суб 16:39:56 19680 7
Посоветуйте хорошее по поводу математической оптимизации и сходных областей.
Аноним 09/06/17 Птн 15:38:09 19981 8
Снимок1111.PNG 93Кб, 570x474
570x474
3222.PNG 67Кб, 571x302
571x302
АНОН ПОМОГИ, СЕГОДНЯ СТАВЯТ ЗАЧЕТ УДАЛЕННО, НЕ МОГУ ОТВЕТИТЬ НА ВОПРОСУ, МОЛЮ.
--------------------------------------------------
Так как среди исходного набора условий было равенство (первое условие) мы ввели искусственную переменную R1. - во всех случаях так вводится или в каких только?

Приведите решение примера 1, если бы там тоже было равенство.

Аноним 12/06/17 Пнд 13:40:32 20078 9
>>19499 (OP)
>физический смысл эволюты
Скорость изменения направления касатльной в точке, тобишь величина отклонения "вектора скорости" от прямолинейного равномерного движения.
Аноним 14/06/17 Срд 12:59:10 20177 10
>>19680
Сухарев А. Г. Курс методов оптимизации
Реклейтис Г., Рейвиндран А., Рэгсдел К. Оптимизация в технике. Том 1-2
Аноним 21/06/17 Срд 10:23:03 20681 11
#теория_игр
В любой игрой с ограниченным числом ходов и отсутствием ничьей имеется выигрышная стратегия для одного из игроков. Доказывается по индукции.

В Го нет ничьей (т.к. у белых в начале игры 0.6 очков) и ограниченное число ходов(кол-во камней ограниченно).
Вопрос: получается что в Го для кого-то из игроков имеется выигрышная стратегия, которую вычислительно сложно найти?
Аноним 21/06/17 Срд 10:30:48 20682 12
Аноним 21/06/17 Срд 12:15:32 20684 13
>>20681
А еще там есть правило на запрет повтора уже бывшей на доске ситуации.
Аноним 22/06/17 Чтв 07:32:38 20702 14
>>20681
Более того, в некоторых играх есть выигрышная стратегия для обоих игроков.

Толку-то.
Кекер из Бешкека 21/09/17 Чтв 21:33:27 25084 15
ez.png 5Кб, 993x433
993x433
√(x + 8y) = 40% x2 + 6xy + 9y2 = 12


сап, ребят, помогите решить!
Аноним 23/09/17 Суб 16:21:14 25124 16
>>20702
Игры для особенных, где оба игрока - победители, - не рассматриваются.

Да, есть выигрышная стратегия.
Есть иные игры, где она выигрышная стратегия в принципе не вычислима. Там даже потенциально невозможно записать алгоритм выигрышной стратегии.

Они были бы очень интересны, если бы перебор вариантов не рос быстрее любой вычислимой функции, в том числе функции Аккермана.

Аноним 30/09/17 Суб 01:24:57 25342 17
>>25084
Пошёл нахуй, пидор ебучий!
Предел Аноним 04/10/17 Срд 21:10:08 25477 18
1111.jpg 32Кб, 249x139
249x139
Помогите решить этот предел последовательности, при n стремящимся к бесконечности
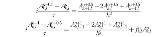
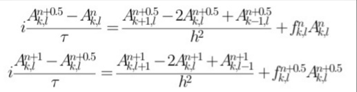
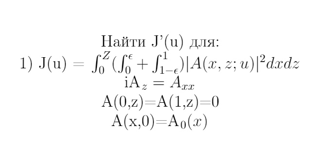
Аноним 06/10/17 Птн 04:26:56 25557 19
>>25477
Поделим числитель и знаменатель на n.
Получится (n^9 - 1/n)/(1/n + 1.1^n).
Очевидно, что знаменатель стремится к бесконечности быстрее, чем числитель. Поэтому предел равен 0.
Аноним 06/10/17 Птн 12:13:32 25564 20
>>25477
еще можно так:

заметить, что a_n = n^10/1.1^n > (n^10 - 1)/(1 + n 1.1^n). если a_n стремится к нулю, то и твоя последовательность стремится к нулю.

можно доказать, что a_n убывает, начиная с некого N. и ограничена снизу нулем. значит есть предел.
предел можно найти так:
a = lim a_n = lim a_{n + 1}
lim a_{n + 1} = lim a_n z_n = lim a_n lim z_n = lim a_n k
получается уравнение:
a = a k. k < 1, значит a = 0.

Аноним 08/10/17 Вск 20:22:04 25713 21
math.png 7Кб, 632x450
632x450
здравствуйте,
помогите, с формулой поиска смещения для функции, чтобы было пересечение в наименьшей амплитуде.
Аноним 09/10/17 Пнд 10:48:25 25728 22
cos.png 41Кб, 718x840
718x840
>>25713
у тебя дву функции:
1. cos(z(x))
2. cos(f(x))

найди x_0 при котором одна из фу-ий, к примеру cos(z(x_0)) = 0.
cos(z(x_0)) = 0, когда z(x_0) = %pi (или 2 %pi, ... n %pi)

для второй фу-ии:
cos(f(x_0 + k)) = 0
найди k.
Аноним 13/10/17 Птн 11:23:34 25841 23
Аноним 13/10/17 Птн 12:19:20 25842 24
>>25728
этот метод не работает если у функций схожая частота, например z = 2 x; f = 4 x;
Аноним 13/10/17 Птн 14:45:01 25843 25
>>25842
там у меня ошибки.

z = 2x
f = 4x

cos(z(x_0)) = -1 когда z(x_0) = %pi
откуда x_0 = %pi/2

cos(f(x_0 + k)) = -1 когда f(x_0 + k) = %pi
октуда k = - %pi/4

получилась новая функция с смещением:
cos(f(x - %pi/4))
Аноним 14/10/17 Суб 12:24:31 25850 26
math.png 9Кб, 640x448
640x448
>>25843
спасибо, у меня в сообщении тоже ошибка
z = 2x
f = 6x
вот для такого случая ориентация на -1 не работает
Аноним 15/10/17 Вск 19:39:50 25895 27
IMG201710151922[...].jpg 1730Кб, 3264x1836
3264x1836
помоги двач
Аноним 16/10/17 Пнд 16:16:44 25914 28
cap-r.jpeg 14Кб, 500x327
500x327
немного электроники без дифур.

прочитал немного про операционное исчисление.
решение дифур сводится к поиску в таблице и простому умножению, делению и другим простым алгебраическим операциям.

пик.
замыкаем рубильник и конденсатор начинает заряжаться.
нужно найти как меняется напряжение на обкладках конденсатора с временем: f(t)

E = Ri + 1/C i
1/C i = df/dt => E = RC df/dt + f или - E + RC df/dt + f = 0

вот эти вещи находятся из таблицы:
X(C) = C/p где C - const.
X(f') = pX(f) + f(0)
применения к каждому члену:
- E/p + RC(pX + f(0)) + X = 0
f(0) = 0 -- конденсатор разряжен до включения рубильника.

- E/p + RCp X + X = 0

решается для X:
X = E/p - RCE/(RCp + 1) = E/p - RCE/(RC (p + 1/RC)) = E/p - E/(p + 1/RC)
из таблицы, обратная операция:
f(t) = E - Ee^-(t/RC)
все.

в последнем шаге я немного упростил. при решении для X, может получится: E/(CRp^2 + 1)
это не найти в таблице.
нужно разложить на простые дроби. в символьной алгебре, к примеру в maxima, это делается функцией partfrac.
Аноним 17/10/17 Втр 19:00:17 25947 29
>>25914
1/RC, имеется ввиду 1/(RC).

колебательный контур, без сопротивления.

дифур: f'' + 1/(LC) f = 0

в начальный момент конденсатор заряжен:
f(0) = V_0
уравнение изображений, все берется из таблицы:
p^2 F + p V_0 + 1/(LC) F = 0
решается для F:
F = CL V_0 p / (CL p^2 + 1) = V_0 p/(p^2 + 1/(CL))
добавим переменную w^2 = 1/(CL), тогда:
F = V_0 p/(p^2 + w^2)
откуда, опять же из таблицы:
f(t) = V_0 cos(wt)

частота колебаний: w = sqrt(1/(CL))

но для сложных схем, уже не так просто свести к табличным функциям.

к примеру колебательный контур с сопротивлением.

дифур: f + f' CR + f'' CL = 0
F = (CL f(0) p + C R f(0))/(CL p^2 + CR p + 1)

в таблице есть: (p - a)/((p - a)^2 + w^2)

у меня не получается решить.
Аноним 18/10/17 Срд 13:05:35 25965 30
>>25947
вроде бы получилось.
f(t) = f_0 e^(-R/(2L) t) cos(wt) + f_0 R/(2L w) e^(-R/(2L) t) sin(wt)
w = sqrt(1/(LC) - R^2/(4 L^2))

для решения, в знаменателе:
p^2 + R/L p + 1/(CL) = (p + R/(2L))^2 + w^2

в числителе:
p + R/L = p + R/(2L) + R/(2L).

при R близком к нулю, w -> sqrt(1/(LC)) и
f(t) -> f_0 cos(wt)
как в случае когда нет сопротивления.
Аноним 19/10/17 Чтв 00:16:08 25986 31
а что можно почитать по нелинейным уравнениям Пуассона?

интересует решение внутренней задачи Дирихле для уравнения вида

Δu=αu, u=u(x,y)
Ребяяят, помогите сделать, очень срочно надо до завтра Аноним 08/12/17 Птн 18:33:42 31006 32
ZzVvZCHPsZA.jpg 82Кб, 1280x960
1280x960
1)г
2)а
Аноним 12/12/17 Втр 08:24:53 31478 33
>>31006
Так они же устно считаются? Вы правильо Лопиталя, разложение функции по Тейлору не проходили?
Аноним 14/12/17 Чтв 21:18:41 31733 34
>>3147
нам нельзя Лопиталя использовать
Аноним 18/01/18 Чтв 23:07:31 35232 35
Что есть годного по теории нелинейных колебаний? Чем полнее, тем лучше.
Аноним 07/02/18 Срд 21:40:12 36458 36
>>31006
Ебать ты бездарь
Я такое в 8 классе делал за 5 - 10 минут
Аноним 07/02/18 Срд 21:43:05 36459 37
>>36458
А бля, это тред ебаных физиков
Понятно почему такие бездари
Аноним 16/02/18 Птн 04:05:36 36761 38
213231312213.png 5Кб, 458x62
458x62
Объясните, что это значит. Это из ММиО мат методы исследования операций

Типо эффективные решения по Х включают в себя такие у, которые принадлежат Х, при условии что не существует такого х, который есть в Х а дальше что?

Пытаюсь сам это выучить перед универом, помогите, пожалуйста. Я не понимаю этих обозначений, загуглить не смог. И что такое х маленькое и большое, насколько я понял
х - верные решения
Х - множество всех решений. Спасибо, анон.
Аноним 17/02/18 Суб 01:32:41 36792 39
>>36761
P(X) это подмножество X, состоящее из y таких, что не существует x принадлежащих X таких, что x больше y.
Аноним 17/02/18 Суб 01:41:06 36793 40
>>36792
Грубо говоря множество максимальных элементов X или что-то такое.
Аноним 21/02/18 Срд 17:15:34 36972 41
Посоветуйте хорошую книгу по теорверу и статистике
Аноним 22/02/18 Чтв 05:58:04 36991 42
>>36972
Серр "Курс Арифметики"
Аноним 22/02/18 Чтв 09:46:31 36998 43
>>36991
двачую. но тут упор больше на статистику, нежели на теорвер.
Аноним 22/02/18 Чтв 15:23:08 37007 44
>>36991
Смешно, товарищ шутник.
Аноним 23/02/18 Птн 10:44:50 37021 45
>>36972
J-P. Serre, Cours d'statistique
Аноним 24/02/18 Суб 08:37:46 37046 46
>>36998
Они идут рука об руку. В его же книге "Local Fields" об этом рассказывается, правда не так подробно, как хотелось бы, научпоп всё же.
Аноним 02/03/18 Птн 13:06:20 37193 47
>>37046
В "Éléments de géométrie algébrique" всё есть. Рекомендую
Аноним 03/03/18 Суб 12:28:01 37239 48
>>37193
Жалко только, что все теоремы в томе по прикладной статистике даются без доказательств.
Аноним 04/03/18 Вск 04:36:07 37263 49
>>37239
Это всё потому, что к тому времени плохо был развит бескоординатный язык. Довольно неплохой (но примитивный) учебник - это Sheldon Axler, "Real Statistics Done Right"

Чуть более полное изложение можно найти в S. Ramanan, "Global Statistics".

Ещё категорный подход развивается Aluffi, "Statistics, Chapter 0". Но боюсь, это скорее дань моде, нежели полезный инструмент для реальных вычислений. Пусть аноны поправят, если им зашло
Аноним 04/03/18 Вск 16:11:24 37285 50
image.png 56Кб, 913x257
913x257
В общем, помогите решить данную задачу. Я могу без проблем найти по формуле матрицу ортогональной проекции на образ оператора и на образ транспонированного оператора. Теперь мне из них нужно получить соответственно проекцию на ядро транспонированного и исходного оператора. Как это сделать "easy to obtain"?
Аноним 04/03/18 Вск 16:46:18 37286 51
>>37285
Кажется, я понял. Нужно вычесть из Identity матрицы матрицу проекции на образ, чтобы получить матрицу проекции на KerAT, и вообще I = PE + PET
Аноним 04/03/18 Вск 16:47:28 37287 52
Аноним 04/03/18 Вск 20:41:37 37293 53
>>37287
⟂⟂⟂⟂⟂⟂⟂⟂⟂⟂⟂⟂⟂⟂⟂⟂⟂⟂⟂⟂⟂⟂⟂⟂⟂⟂⟂⟂⟂⟂⟂⟂⟂⟂⟂⟂⟂⟂⟂⟂⟂⟂⟂⟂⟂⟂⟂⟂⟂⟂⟂⟂⟂⟂⟂⟂⟂⟂⟂⟂⟂⟂⟂⟂⟂⟂⟂⟂⟂⟂⟂⟂⟂⟂⟂⟂⟂⟂⟂⟂⟂⟂⟂⟂⟂⟂⟂⟂⟂⟂⟂⟂⟂⟂⟂⟂⟂⟂⟂⟂⟂⟂⟂⟂⟂⟂⟂⟂⟂⟂⟂⟂⟂⟂⟂⟂⟂⟂⟂⟂⟂⟂⟂⟂⟂⟂⟂⟂⟂⟂⟂⟂⟂⟂⟂⟂⟂⟂⟂⟂⟂⟂⟂⟂⟂⟂⟂⟂⟂⟂⟂⟂⟂⟂⟂⟂⟂⟂⟂⟂⟂⟂⟂⟂⟂⟂⟂⟂⟂⟂⟂⟂⟂⟂⟂⟂⟂⟂⟂⟂⟂⟂⟂⟂⟂⟂⟂⟂⟂⟂⟂⟂⟂⟂⟂⟂⟂⟂⟂⟂⟂⟂⟂⟂⟂⟂⟂⟂⟂⟂⟂⟂⟂⟂⟂⟂⟂⟂⟂⟂⟂⟂⟂⟂⟂⟂⟂⟂⟂⟂⟂⟂⟂⟂⟂⟂⟂⟂⟂⟂⟂⟂⟂⟂⟂⟂⟂⟂⟂⟂⟂⟂⟂⟂⟂⟂⟂⟂⟂⟂⟂⟂⟂⟂⟂⟂⟂⟂⟂⟂⟂⟂⟂⟂⟂⟂⟂⟂⟂⟂⟂⟂⟂⟂⟂
Аноним 23/04/18 Пнд 15:54:38 38694 54
Тред жив? Есть неоднородная система диффуров второго порядка. Два уравнения где х1 и х2 зависят от t.
Не могу нагуглить, какой метод Рунге-Кутта лучше к ней применять. Буду признателен за полезные ссылки
Аноним 24/04/18 Втр 02:52:52 38719 55
>>38694
Посмотри по ссылке. В exposé IV об этом подробно рассказывается. Как раз про обобщение метода Рунге-Кутта для решения систем диффуров произвольного порядка.
http://www.normalesup.org/~forgogozo/SGA4/tomes/tome1.pdf
Аноним 24/04/18 Втр 08:24:13 38729 56
>>38719
Merci, monsieur.
А на русском ничего нет?
Аноним 27/04/18 Птн 17:44:12 38845 57
>>19499 (OP)
как в численные методы вкатиться? под рукой только самарский, но чувствую что он непрост
Аноним 30/04/18 Пнд 20:24:50 38962 58
Аноним 01/05/18 Втр 08:14:21 38976 59
Поясните дурачку разницу между ковариацией и корреляцией
Аноним 01/05/18 Втр 13:22:12 38986 60
>>38976
наверно, ковариация двойственна вариации, а корреляция - рреляции
Аноним 01/05/18 Втр 13:22:38 38987 61
>>38976
Корреляция является пучком на вероятностном сайте. Очевидно, что для ковариации это не всегда работает. Об этом можно узнать в любом нормальном тексте по теории вероятностей, например "Théorie des topos et cohomologie étale des espace probabilisé" Артина и Тао. Как раз в этой книге впервые появился известный метод этального градиентного спуска, который используется в доказательстве того, что корреляция является пучком.
Аноним 02/05/18 Срд 04:00:59 39004 62
Аноним 02/05/18 Срд 13:29:57 39015 63
в треде появился лягушатник, который только градиентный спуск и знает, ну что сказать - c'est le fagot monsieur
Аноним 03/05/18 Чтв 19:10:25 39059 64
>>25477
Если построже, то поделя на n, разложи 1,1 по биному Ньютона.
Аноним 14/05/18 Пнд 20:00:05 39306 65
Math.JPG 18Кб, 481x154
481x154
Сап, математики, буду благодарен если поможете мне с этой задачей, буду благодарен любой помощи:

Компания производит два вида полимерных материалов: полипропилен и полистирол. Для этого она нанимает неквалифицированных, квалифицированных и высококвалифицированных рабочих. Почасовая оплата в у.е. каждого рабочего и количество тонн материалов, производимым каждым рабочим в час, приводятся в таблице.

Рабочие могут производить одновременно оба продукта, например, квалифицированный рабочий может производить 3 тонны полипропилена 3 тонны полистирола каждый час. Поступил заказ произвести за один час 21 тонну полипропилена и 15 тонн полистирола

Требуется определить, сколько рабочих каждой квалификации необходимо нанять, чтобы выполнить заказ с наименьшими затратами на оплату труда. Постройте математическую модель и найдите оптимальное решение.
Аноним 15/05/18 Втр 00:26:39 39309 66
>>39306
Задачи на оптимальность не решаются простой подстановкой значений в формулу. Открой эксель и реши встроенным алгоритмом по линейному программированию, думаю это самый оптимальный вариант для тебя. Если ты не имеешь представления, а это видимо так и есть, ИМХО не знаю как объяснить.
Аноним 15/05/18 Втр 15:57:35 39349 67
>>39309
Решение не нужно, только составить целевую функцию и ограничения
Аноним 26/05/18 Суб 20:36:03 39825 68
Я погромист любитель. Вкатываюс в мошынное зрение. О свих успехах и проебах не буду. Раскажите как делать свертку 2d матрици другой 2d матрицей быстрыми преобразованиями фурие. Как сама свертка работает я знаю. Но в изоброжение 1млн пикселей и это 1 млн сверток естественно даже на с# это будет пиздец как долго. Я пишу на питхоне там есть овер дохуя сишных модулей делающих свертку бпф и делают они это хорошо но как они работают секрет фирмы запакованый в байт код. Мне бы хотелось про бпф узнать что это за зверь такой и как он ускоряет процесс в 1000 у раз?
Аноним 27/05/18 Вск 12:21:01 39854 69
>>39825
http://lmgtfy.com/?q=fft
Там рассказан алгоритм и асимптотическая сложность в сравнении с наивной реализацией преобразования Фурье
Аноним 27/05/18 Вск 16:30:47 39869 70
>>39854
Друган неужели ты думаешь что перед тем как спросить на дваче я не гооглил? Я не нашел ни чего вменяемого. Мне нужен пример где и что на что умножать, куда складывать и на сколько делить. А так вообще нахуй этот тред если есть такая охуенная ссылка как у тебя?
Аноним 28/05/18 Пнд 00:50:05 39897 71
>>39869
Я тебе не друган.
Аноним 28/05/18 Пнд 07:59:59 39903 72
>>39897
..., гнида второкультурная.
Аноним 31/05/18 Чтв 17:37:34 39996 73
Помогите пожалуйста, найти коэффициенты для метода Адамса высоких порядков, а то гугл выдает только до четвертого.
Аноним 01/06/18 Птн 06:25:41 40014 74
>>39996
>метод Адамса высоких порядков
Это хорошо описывается в его же книжке Stable Homotopy and Generalized Homology.
Аноним 01/06/18 Птн 10:44:27 40017 75
>>40014
>Stable Homotopy and Generalized Homology
спасибо
Аноним 05/06/18 Втр 23:10:29 40199 76
Аноним 05/06/18 Втр 23:20:36 40200 77
Аноним 11/06/18 Пнд 18:22:48 40361 78
>>19499 (OP)
Посоветуйте летиратуры по статистике и многомерной статистике (Айвазяна уже прочитал)
Аноним 12/06/18 Втр 02:33:11 40370 79
>>40361
Советую книгу Квиллена "Homotopical Statistics", но тут подразумеваются знания уровня второго тома Манина, а его можно читать как раз после Айвазяна. Для ознакомления с многомерной статистикой можно прочитать книгу Джейкоба Лури "Higher Statistics".
Аноним 12/06/18 Втр 23:13:28 40385 80
>>40370
шутник ебаный.
Аноним 16/08/18 Чтв 08:12:30 42167 81
>>20078
Что такое скорость изменения касательной в точке? Разве для каждой точки касательная не единственная?
Аноним 30/10/18 Втр 00:00:32 44614 82
ап
В общем задачка ммф
есть волновое уравнение Utt=Uxx и условия
U(x,0)=Sinx,
Ut(x,0)=0,
U(0,t)=t^2,
U(pi,t)=t^3.
нужно решить
для начала нужно краевые условия подогнать под нулю с помощью замены. Как ее сделать? у меня есть пара примеров, но с другими условиями и они не подходят, а я никак не могу провести параллель и логическую цепочку. Там как-то нужно через замену U=V+W W=d1(t)x+d0(t) (не уверен что там икс должен быть). в общем если кто знает отпишите кратенько как делать замену.
Аноним 30/10/18 Втр 00:00:53 44615 83
ап
В общем задачка ммф
есть волновое уравнение Utt=Uxx и условия
U(x,0)=Sinx,
Ut(x,0)=0,
U(0,t)=t^2,
U(pi,t)=t^3.
нужно решить
для начала нужно краевые условия подогнать под нулю с помощью замены. Как ее сделать? у меня есть пара примеров, но с другими условиями и они не подходят, а я никак не могу провести параллель и логическую цепочку. Там как-то нужно через замену U=V+W W=d1(t)x+d0(t) (не уверен что там икс должен быть). в общем если кто знает отпишите кратенько как делать замену.
Аноним 30/10/18 Втр 14:27:26 44629 84
>>42167
Единственная, но если проводить новую касательную "рядом" с предыдущей эволюта будеть показывать в какую сторону старую касательную нужно поворачивать чтобы она совпала с новой.
Аноним 30/10/18 Втр 17:11:21 44636 85
Анон, а что есть почитать по прикладной математике, но с уклоном в алгоритмы и их оптимальность?
Аноним 30/10/18 Втр 18:17:52 44645 86
Аноним 30/10/18 Втр 21:20:34 44652 87
>>44615
ну там что-то типа в ряд фурье раскладываешь и ебашишь, нет? я точно не помню
Аноним 01/11/18 Чтв 06:57:38 44713 88
>>25477
0, т.к знаменатель больше числителя.
Аноним 15/06/19 Суб 03:19:43 56089 89
>>19499 (OP)
Анон, как представить число в виде суммы в зависимости от его бит?
Есть разложение в виде bit x 2^разряд, можно ещё (x 2+bit), а ещё как?
Аноним 27/06/19 Чтв 21:48:11 56441 90
>>19499 (OP)
Какой базис надо иметь для аналитического решения rayleigh taylor instability(3пик)?
Аноним 27/06/19 Чтв 22:01:17 56442 91
Аноним 04/10/19 Птн 10:15:43 59482 92
63B170C9-5CF2-4[...].jpeg 2092Кб, 4032x3024
4032x3024
молю помогите с этой хуйней
второй вариант в первом задании
Аноним 04/10/19 Птн 12:38:54 59487 93
>>59482
Нахуй было идти в погромисты тогда? Забирай документы, пока не поздно, дальше - хуже.
Аноним 17/10/19 Чтв 13:20:44 60107 94
079D26FD-B5A9-4[...].jpeg 2207Кб, 4032x3024
4032x3024
ребят, горит расчетно графическое задание в инстике
нихуя не понял за семестр, решить хотя бы три задания
с меня как обычно
Аноним 21/10/19 Пнд 13:09:22 60415 95
>>59482
>>60107
ты бы ещё вверх ногами это зафоткал
Аноним 21/10/19 Пнд 15:47:38 60419 96
>>60415
да я сфоткаю вверх ногами, козлина. проблемы?
Аноним 21/10/19 Пнд 15:51:32 60420 97
>>60419
Если тебе было в падлу даже нормально повернуть листок, то зачем анону из /math стараться и тебе помогать, если тебе самому глубоко похуй?
Аноним 21/10/19 Пнд 17:30:07 60422 98
>>60420
Думаешь я ждал бля пока решите? Я не слепой ептить вижу активность, мне решил друган.
Аноним 21/10/19 Пнд 18:01:10 60423 99
>>60422
Ты ему пососал?
Аноним 22/10/19 Втр 02:31:49 60433 100
>>60422
>вижу активность
Но ты не видишь, что кривое фото, значительно снижает вероятность решения... Я бы не стал переворачивать фото только для того, чтобы тебе помочь. Другие как видишь тоже.
Аноним 22/10/19 Втр 09:24:33 60440 101
>>60433
Вы итак не смогли бы Пети пидары бля
Аноним 22/10/19 Втр 10:05:25 60447 102
image.png 225Кб, 1959x1959
1959x1959
>>60440
>Вы итак не смогли бы
Но это ведь ты не смог, и решал за тебя друг.
Аноним 06/12/19 Птн 22:24:05 62508 103
Кто разбирается в аналитической механике? Нет ли треда здесь такого?
Аноним 07/12/19 Суб 05:06:37 62514 104
image.png 413Кб, 474x726
474x726
image.png 187Кб, 617x876
617x876
image.png 177Кб, 600x749
600x749
>>62508
Анон, палю годноту по аналитической механики с расслоениями.
Аноним 07/12/19 Суб 20:48:26 62532 105
>>62514
Наверняка фактического материала раза в три меньше чем в Голдштейне или любом нормальном учебнике по классической механике. Зато безумного дриста вроде того что галилеевское пространство это расслоение - навалом.
Аноним 09/12/19 Пнд 22:41:21 62639 106
>>62532
>голдштейн
физик плиз
Аноним 21/01/20 Втр 09:59:08 64195 107
Дайте книгу-книжку-буклет по прикладной матике для быдла.
Нужно для того что бы решения в прогроммирования находились быстрее. (Желательно с картинками)
Аноним 30/04/20 Чтв 18:13:29 68255 108
>>19499 (OP)
Ты берешь 1000$ с собой к букмекеру, ставишь 1$ выигрываешь - ставишь ещё, проигрываешь - удваиваешь, до тех пор, пока не выиграешь

Какова вероятность того что я стану миллионером и того что проебу всю 1k$?
Аноним 30/04/20 Чтв 22:57:19 68269 109
fem.png 365Кб, 962x761
962x761
4.png 106Кб, 783x524
783x524
Некие крутые посоны запилили вот такую опердень: https://www.youtube.com/watch?v=3U4TbXMn41E - оптимизация топологии гридшеллов при помощи генетики. К сожалению, авторы не дали исходников. После 300-го просмотра возникло ощущение, что они юзают Grasshopper, или же какую-то простую FEM-модельку с балками (хотя профиль балок, вроде бы, тут должен быть учтен тоже). А после 2х лет созерцания этого я понял, что набыдлокодить сам такое же не смогу, потому прошу помощи в этом. Есть похожие работы: https://www.youtube.com/watch?v=9UJOKqP7YRA - тут похоже не заморачивались, отсимулировали поверхность, сделали ремеш топологии треугольниками и остались довольны (я тоже думаю запустить предварительную симуляцию для облегчения нагрузок, уже спиздил с гитхаба кусочек). А вот тут: https://www.youtube.com/watch?v=VC5yIl7anhM - используется другой подход, когда сначала удаляются слабые связи фермы (нулевые), а в местах повышенной нагрузки, толщина балки увеличивается. Такая парадигма легко ложится на древесину, а уж сеточку потоньше я сгенерить смогу, с тысячами связей между собой.

Есть лютое желание повторить самому и построить 3-х этажный домик из говна и палок в форме Рейхстага. Сам я байтодебил, потому от вида формул у меня поднимается давление и я иду спать. Потому прошу помощи и подсказки в виде каких-то библиотек, или же программных интерфейсов к чему-то вроде Грассхоппера или Матлаба.

Само собой, так как у меня программы обычно отображают погоду на марсе, все это надо будет верифицировать. Хотел засунуть в какой-нибудь Nastran, чтобы проверить один из вариант топологии, но узнал, что древесина изометрична и ку меня банально нет знаний как это сделать. Попытался заюзать Комсул, но тот вываливается с ошибкой деления на ноль. Сейчас смотрю на Софистик, благо там можно описывать геометрию чем-то похожим на скрипты, но знаний сильно нехватает. И для расчета деревянных конструкций, авторы предлагают купить готовый плагин, что намекает на то, что оригинальная софтина этим не очень хорошо занимается.
Аноним 30/04/20 Чтв 23:09:27 68270 110
>>68269
>>68269
Если ты байтоёб то бля тебя никаких проблем быть не должно, тут формул особо нету, это чистой воды структуры данных которые делают треугольники из трёх точек в правильном порядке. Как я понимаю это в основном деревья и линкед листы, но может что ещё.
Аноним 30/04/20 Чтв 23:56:45 68272 111
>>68270
Мне нужно понимать, где чего умножать, а где и чего делить. Если бы была какая-то референсная оптимизация, то портировать на сишку нет никаких проблем, хоть с деревьями, хоть с линкедлистами, хоть на хешах. А так я вынужден лазить по чужим пейперам в надежде, что там будет ссылка на гитхаб.
Аноним 01/06/20 Пнд 17:41:03 69585 112
image.png 44Кб, 821x450
821x450
image.png 53Кб, 712x825
712x825
Может есть мегамозги которые это решат, с программой для численного вычисления. Вот какие значения она должна выдавать. За денюжку, офк.
Аноним 02/06/20 Втр 00:17:57 69617 113
Аноним 07/07/20 Втр 13:39:35 70932 114
Аноним 07/07/20 Втр 18:00:44 70934 115
uniformq.png 21Кб, 1141x170
1141x170
Посчитал вероятности того, что значение случайной величины, которая равномерно распределена на [-1, 1], не отдалится от ожидаемого значения на kσ для k=1, 2, 3 ( P(|x - E[x]| < k σ), и нижнюю оценку (через неравенство чебышева 1 - 1/k^2). Но почему то при k=2 получается неверный результат.

Не подскажите, где я ошибся?
Аноним 07/07/20 Втр 21:21:49 70945 116
>>70934
Во-первых, что-то непонятно, у тебя Var[X]=1/3, тогда [math]k \sigma = \frac{k}{ \sqrt{3}} [/math]
Во-вторых, не очень понимаю, с чем ты что сверяешь - неравенство Чебышева не точное в том смысле, что это именно таки неравенство, и чаще всего это очень слабая оценка, если распределение неизвестно. То есть, например, неравенство даёт для любого распределения [math]P(|X-\mu|>=3 \sigma <= \frac{1}{9} [/math], но для нормального мы-то знаем что на самом деле [math]P(|X-\mu|>=3 \sigma \approx 0.0027 [math], что гораздо сильнее

Я просто не понял, понимаешь ли ты разницу между точной вероятностью и оценкой вероятности.
Аноним 07/07/20 Втр 21:22:37 70946 117
>>70945
>для нормального мы-то знаем что на самом деле [math]P(|X-\mu|>=3 \sigma \approx 0.0027 [/math], что гораздо сильнее
Быстрофикс
Аноним 07/07/20 Втр 21:23:23 70947 118
>>70946
>>70945
Ну и скобки забыл. Вобщем, разберёшься, я ебал латех с тилибона вводить.
Аноним 07/07/20 Втр 21:32:52 70949 119
>>70945
Да, спасибо, именно там и ошибся.
>неточное в том смысле
В том смысле, что слабая оценка, угу.
Ещё раз спасибо, не зря спросил.
Аноним 08/07/20 Срд 05:41:56 70958 120
>>70947
доллар формула доллар тоже можно юзать вместо math
Аноним 10/07/20 Птн 11:46:53 71054 121
>>19499 (OP)
Поясните за работу в поле. Работа A=Fl. Допустим мы толкаем надувной круг против течения реки, то работа определеяется как Fl, где F сила течения реки. Но ведь на круг действует F со стороны реки, и мы давим с другой стороны с той же силой F. Как мы его сдвинем та?
Аноним 10/07/20 Птн 15:37:47 71058 122
>>71054
>работу в поле
См. тематическую литературу, например "Урожаи и посевы" Гротендика.

А если серьёзно, то если ты толкаешь с абсолютно такой же силой, то, конечно же, ничего не произойдёт (векторное сложение тебе знакомо?).
Можешь ещё почитать
https://physics.stackexchange.com/questions/82196/intuitively-how-can-the-work-done-on-an-object-be-equal-to-zero
https://physics.stackexchange.com/questions/121955/is-there-work-being-done-if-no-displacement-occurs

Про работу в поле много пример из электромагнетизма, так что если дорос, почитай какой-нибудь учебник для начниающих (Парселл или Griffiths)
Аноним 10/07/20 Птн 16:31:50 71059 123
изображение.png 76Кб, 550x285
550x285
>>71058
Из Парселла. Допустим поле однородно и вектор напряженности E направленн от P1 к P2, d расстояние между точками. Тогда чтобы перенести заряд от P2 к P1, нужно затратить работу A=El. Но как я не понимаю, ведь на заряд в P2 будет действовать E, и мы просто с другой стороны толкаем его с такой же силой, он никуда не переместится.
Аноним 10/07/20 Птн 17:30:41 71060 124
>>71059
Мы совершаем работу ( = тратим энергию), чтобы перенести заряд из одной точки в другую. Нам нужно тратить энергию, потому что поле "сопротивляется". Естественно, если мы заряд принесём в точку Р2 и на этом взаимодействие с зарядом закончим, то его потом может куда-нибудь и хуйнуть (в зависимости от величины и направления Е в точке Р2), мы же его никак не "придерживаем".

Так и с твоим кругом в реке - ты его можешь 'придерживать' (силы равны, скорость 0), а можешь передвигать против течения.

Если у тебя таки есть Парселл, что замечательно, я тебе советую порешать задачки - многое прояснится. Ещё один вариант - взять какой-нибудь колледжевый учебник по общей физике (стандартныйстандартный, по-моему, Halliday Resnick), и посмотреть картинки/порешать задачки. А вообще с этим в /sci/, правда там одни шизики.
Аноним 10/07/20 Птн 17:40:42 71061 125
>>71060
Что прояснится? Везде пишут, что можно передвинуть.
http://hyperphysics.phy-astr.gsu.edu/hbase/electric/elewor.html
>The change in voltage is defined as the work done per unit charge, so it can be in general calculated from the electric field by calculating the work done against the electric field.
>against the electric field.

>то его потом может куда-нибудь и хуйнуть
Причём здесь это? Нас ни интересует что будет потом.
Аноним 10/07/20 Птн 18:10:46 71064 126
>>71061
>However, any movement of a positive charge into a region of higher voltage requires external work to be done against the field of the electric force, which is equal to the work that the electric field would do in moving that positive charge the same distance in the opposite direction.
С википедии например. Я не понимаю эту магию.
Аноним 10/07/20 Птн 18:36:01 71065 127
>>71064
Так я понял! Сила она дает ускорение! И когда одна и та же действует на движущуюся частицу с противоположных сторон то частица не останавливается, а теряет ускорение и движется с постоянной скоростью.
Аноним 11/07/20 Суб 07:14:29 71080 128
>>71065
>когда одна и та же действует на движущуюся частицу с противоположных сторон
... то ничего не меняется
Аноним 11/07/20 Суб 11:34:57 71081 129
>>71060
>А вообще с этим в /sci/, правда там одни шизики.
Мб ничего страшного, если в этот тред будут писать, по теме вроде подходит, там ведь и правда одни шизики.
Аноним 12/07/20 Вск 06:40:55 71113 130
>>71080
Первый закон Ньютона гугли.
Аноним 12/07/20 Вск 21:09:18 71134 131
>>71113
Ты траллишь сейчас так что ли?
Аноним 13/07/20 Пнд 04:11:20 71135 132
>>71134
Что не так? Если на тело ничего не дейстует, или сумма сил = 0, то тело либо покоится, либо движется прямолинейно. Если уравновесить напряженность поля, действующее на заряд, то частица движется прямолинейно или покоится.
Аноним 13/07/20 Пнд 06:27:27 71137 133
>>71135
Ну так анон и написал де правильно - ничего не меняется >>71080
Если частица двигалась равномерно и прямолинейно, но она и продолжит так двигаться
Если покоилась, то и продолжит покоиться
К чему был вот этот высер >>71113, непонятно

Ладно тут на доске математику не знают, но если и физику тоже - то вам всем в обос/sci/
Аноним 13/07/20 Пнд 08:46:24 71138 134
>>71137
Я тебя не понимаю. Изначально я думал, что если на заряд q, в поле с напряженностью E, подействовать с силой -E, то он просто застынет на месте. Но нет, у него просто пропадет ускорение, а двигаться он может дальше.
Аноним 14/08/20 Птн 15:35:11 72155 135
>>19499 (OP)
Сап, математики, надеюсь не ошибся тредом, помогите дурачку программисту. Есть некая задача оптимизации для многоэлементного геометрического тела (задача для геометрического CADA). На данный момент минимизация выполняется с помощью метода ветвей и границ, но при слишком большой глубине дерева а нужна очень высокая точность время выполнения становиться не приемлимым. Поэтому подумалось что доходя до конкретной кривой или поверхности стоит выполнять оптимизацию каким нибудь другим методом.

Теперь собственно вопрос, какой метод глобальной оптимизации наиболее приемлем по отношению скорость/точность. Пока что из всего что нашел это метод быстрого отжига и какойто страшный непонятный parzen-tree estimator.
Аноним 15/08/20 Суб 00:04:51 72161 136
>>72155
думаю, ты ошибся не только тредом, но и доской

в основном у нас обсуждают, как изучать матан, а твой вопрос мало того, что не про матан, он вообще какой-то крайне специфический

>многоэлементного геометрического тела (задача для геометрического CADA)
в математике таких терминов нет в принципе
Аноним 15/08/20 Суб 11:51:50 72164 137
>>72161
Ну вообще он по прикладной математике как мне казалось, а конкретно по вопросам задач оптимизации довольно большой пласт. Ну ладно пойду кому нибудь еще надоедать.
Аноним 15/08/20 Суб 12:34:34 72165 138
>>72164
Ты не ошибся, та доска, тот тред.
Медленно выполняется - а где именно? Ручками на плюсах писал? Если задачу можно перевести в какой-нибудь CPLEX, то там очень много вшитого эвристического трюкачества, до которого сам хуй дойдёшь.
Аноним 15/08/20 Суб 12:46:36 72166 139
>>72165
Писано все на плюсах 11, там проект такой что много инфы раскрывать нельзя, сторонние решения использовать тоже нельзя. Поэтому и стал искать именно алгоритмы оптимизации. Конкретно проблема как уже описал на этапе нахождения минимума произвольной NURBS поверхности/кривой они там могут представляться параметрически и сейчас минимум ищется по сути дроблением UV области и полным перебором по методу ветвей и границ. И на точности 1e-8 там настолько глубоко строиться дерево что поиск глобального минимума занимает до 5 минут в некоторых случаях, поэтому и подумалось переписать минимизацию на какойто другой метод. Но вот сравнение по быстродействию нигде не нашел( В идеале посмотреть бы на оценку большого O где нибудь для разных алгоритмов, но на крайняк может у кого какаято статья с обычными тестами разных алгоритмов имеется. Ну и стохастические конечно все же в меньшем приоритете чем детерминированые, но главное все же скорость.
Аноним 15/08/20 Суб 15:45:02 72169 140
>>72166
>сторонние решения использовать тоже нельзя
Ну земля пухом тогда.
Почему нельзя какую-нибудь библиотеку прикрутить вроде
https://arxiv.org/abs/2006.08741
?

А вообще вбивай в гугл сколар магические слова survey non-linear optimization, выбирай 2016-2020, и в путь. Тебе самому твоя задача известна, поэтому добавляй ключевые слова по вкусу.
Или допиливай свой B&B с помощью эвристик
Аноним 15/08/20 Суб 17:16:24 72171 141
>>72169
>Почему нельзя какую-нибудь библиотеку прикрутить вроде
заказчик ебанутый( мол продукт будет лицензироваться у сторонних типов поэтому никакого опенсорса и зависимостей от сторонних фирм. За ключевые слова спасибо, просто думал может кто из анонов юзал чего и есть мастхэвные решения, поэтому и спросил. Может к понедельнику чего и найду)
Аноним 25/08/20 Втр 15:50:51 72375 142
>>72166
Анончик, а как вкатиться в разработку таких штук? Такое в России вообще кому-то нужно?
Аноним 27/08/20 Чтв 18:09:12 72461 143
>>72375
Ну у меня все случайно получилось на бакалавриате в своем мухосранском вузе заметили позвали в проект эникейщиом/тестировщиком ну и по накатаной допустили до разработки. А вообще смотри вакансии на C++ у Т-флекса или Компаса ну или еще у кого из похожих фирм, если хочешь в такое вкатиться. Но мне за пол года честно говоря остоебала вычислительная геометрия, я как то видимо все слишком романтизировал. И опять же лучше не в России, потому что а) заказчики немного ебанутые как все российские кабанчики. б) большинство работы ради работы (читай попилы). А так САПРы довольно востребованая и денежная тема если нормально в вагон заскочить.
Аноним 27/08/20 Чтв 23:19:30 72471 144
>>72461
>Но мне за пол года честно говоря остоебала вычислительная геометрия, я как то видимо все слишком романтизировал.
Расскажи, что ты представлял, и как оно на самом деле оказалось.
Аноним 28/08/20 Птн 14:36:21 72479 145
>>72471
Ну я думал что здесь появится необходимость работать с новыми (для меня) алгоритмами, думал появится необходимость выучить топологию или еще какие смежные дисциплины. А по факту почти все сводится к школьной геометрии и поддержке огромного полудохлого мастодонта.
Аноним 28/08/20 Птн 16:24:54 72483 146
>>72479
>А по факту почти все сводится к школьной геометрии и поддержке огромного полудохлого мастодонта.
Так ничего удивительного. Программирование же
Аноним 29/08/20 Суб 15:08:00 72492 147
>>72483
Ну говорю же что был молодой наивный глупый верящий, что у программистов математика есть еще где то кроме ВУЗов. На самом деле есть но просто в соседних задачах, они там совместно с математиками пишут, а я видимо слишком глупый/неопытный для той команды
Аноним 29/08/20 Суб 16:31:06 72494 148
>>72492
Велик шанс, что твои соседи думают про тебя точно так же.
Аноним 05/09/20 Суб 15:40:43 72741 149
Привет, аноны! Помогите решить задачу, пожалуйста.

Вероятность какого события больше?

Есть колода из 99 карт, в ней карта А. Вероятность взять карту А в
1) первых семи картах.
2) первых восьми картах.

Есть колода из 60-ти карт, в ней карты А, В, С, каждой по 4 копии. Вероятность того, что в первых
1) 9-ти картах будет минимум по одной копии каждой карты А, В, С.
2) 10 картах будет минимум по одной копии каждой карты А, В, С.

Или наставьте на пусть истинный, как это посчитать правильно. Понимаю, что это созависимые события, но дальше не идёт.
Аноним 05/09/20 Суб 19:44:08 72750 150
>>72741
Забыл я тервер, надо повторить. В первом случае 7/99 и 8/99, а второй не могу решить.
Аноним 06/09/20 Вск 07:37:19 72786 151
>>72750
Вот у меня тоже во втором затык.
Аноним 06/09/20 Вск 18:57:51 72793 152
>>72786
1.) Ответ P=f(9, 60)f(8, 59)f(7, 58), где
$f(n, m)=\sum^{n-1}_{k=0}((\prod^k_{l=1}\frac{m-3-l}{m+1-l})\frac{4}{m-k})$.
2.) Ответ P=f(10, 60)f(9, 59)f(8, 58), где f такое же.

Если я не ошибся, то, например, f(3, 60) =4/60+(56/60)(4/59)+(56/60)(55/59)(4/58)
Аноним 07/09/20 Пнд 06:37:51 72796 153
Аноним 07/09/20 Пнд 23:29:57 72849 154
>>72796
Так а зачем тебе это было нужно?
Аноним 10/09/20 Чтв 19:32:33 72969 155
>>72849
Чтобы понять кто более удачливый игрок в клубе.

Тот который в 3х случаях подряд из 99 карт достаетвал именно ту одну карту, которая дает победу на первый ход. В этом формате, в колоде только 1 копия каждой карты.

Или тот, который в формате на 60 карт, 3 раза подряд, достает сочитание карт А, Б и С в первые 3 хода, учитывая что в этом формате карт А, Б и С, в колоде уже по 4 копии, а не по 1й.
Аноним 10/09/20 Чтв 19:39:56 72970 156
Аноним 14/11/20 Суб 15:37:04 76003 157
Аноны, помогите разобраться. У меня есть несимметричная матрица. Необходимо найти собственные значения и векторы. Нужно использовать QR разложение. Мне непонятно, как искать сдвиг в случае, если дискриминант матрицы для сдвига Вилкинсона меньше нуля. Я не могу совершать операции над комплексными числами
Аноним 14/11/20 Суб 16:16:18 76007 158
>>76003
>как искать сдвиг в случае
Что за сдвиг?
Аноним 14/11/20 Суб 16:21:41 76008 159
>>76007
вестимо, там какой-то оптимизированный алгоритм, в котором есть сдвиги для пущей оптимизации, а мы типа должны в этом разбираться
Аноним 14/11/20 Суб 16:22:18 76009 160
>>76007
QR алгоритм со сдвигом. Сдвиг в случае симметричной матрицы - одно из сз матрицы:
(X n-1,n-1 X n-1,n)
(Xn,n-1 X n,n)
Если исходная матрица симметрична, то дискриминант всегда больше нуля, если же не симметричная, то дискриминант может быть меньше. Что делать в таком случае - непонятно.
Аноним 14/11/20 Суб 16:24:10 76010 161
>>76008
У кого же еще просить помощи как не у всезнающего анона?
Аноним 14/11/20 Суб 16:32:41 76011 162
>>76009
так, может, твой алгоритм для несимметричных просто не приспособлен, это его условие применимости. ты должен почитать про модификации для твоей ситуации, что-то должно быть

>>76010
наверное
я пару раз в b спрашивал, что себе на др подарить
Аноним 14/11/20 Суб 17:09:22 76019 163
>>76009
>QR алгоритм со сдвигом. Сдвиг в случае симметричной матрицы - одно из сз матрицы
Судя по тому, что я начитал, cдвиг Wilkinson был придуман именно что для симметричных матриц. Для обычных надо использовать классический алгоритм сдвигов предложенный еще Francis. Тем не менее, мной также был прочитан пассаж о том, что в случае обзего положения(произвольной матрицы) нет теоремы о её сходимости. Поэтому методы QR со сдвигом могут и не сходится с приемлимой скоростью.
Аноним 14/11/20 Суб 17:10:18 76020 164
>>76011
Похоже алгоритм QR а случае несимметричных матриц вообще не работает. Возможно есть иные способы решения.
Аноним 14/11/20 Суб 17:14:12 76021 165
>>76019
Вот у меня и не сходятся. Попробую алгоритм Francis.Тащемта я решаю численно, так что сходимость достигается при нулевых элементах под главной диагональю.
Аноним 14/11/20 Суб 19:56:49 76026 166
Короче нихуя не получилось, сделал я двойной сдвиг, разложил. Следующая матрица вышла также с отрицательным дискриминантом. Повторил. Короче первый элемент улетел в бесконечность.
Правильно ли я понимаю алгоритм?
Ищем два шага, преобразуем матрицу,Т.к. получившаяся матрица почти Хесенбергова, то возможно стоит взять сдвиг для QR на следующем шаге алгоритма в виде последнего элемента матрицы , QR-им ее , новая матрица равна RQ, проверяем дискриминант, повторить пока он не станет больше нуля.
Со сдвигом или без получается хуита.
Аноним 30/11/20 Пнд 16:07:53 76678 167
image.png 6Кб, 667x36
667x36
Я хуй знает, туда ли пишу, но есть траблы с логикой. Как доказать, что это тавтология? Без помощи таблички.
Аноним 08/12/20 Втр 14:21:29 77003 168
>>76020
Ору))) это на втором курсе вычмедов проходят))) ну, ты молодец, как настоящий программист, изобрел велосипед.
Аноним 08/12/20 Втр 14:23:37 77004 169
>>76678
А как ты всеобщность собрался при помощи таблички доказывать...
Теорему о замене почитай и в сторону двигайся.
Аноним 15/12/20 Втр 10:40:03 77593 170
Снимок.PNG 36Кб, 568x164
568x164
Пацаны, от куда в 3.3 берется logC? Это преобразование на основании какого-то математического правила правила или чисто эмпирическая хуйня?
Аноним 15/12/20 Втр 14:58:47 77630 171
>>77593
Чему равно $\log (xy) =$?
Аноним 15/12/20 Втр 16:13:06 77633 172
Снимок.PNG 131Кб, 717x814
717x814
>>77630
Ты уверен? Там же n еще. Что они вообще логарифмируют, то, что посередине или то, что справа?
Аноним 15/12/20 Втр 18:18:05 77636 173
>>77633
Вероятно в (3.2) опечатка и должно быть $(\delta p^{2])^{n}$. Потому что если собрать в (3.3) все вместе под логарифмы, то (3.2) не получится.
Аноним 15/12/20 Втр 18:18:46 77637 174
Аноним 23/12/20 Срд 06:28:44 77973 175
Аноны, подскажите. Как мне учесть случайное ускорение тела, если я имею множество случайных воздействий на тело. Получается что-то вроде броуновского движения. Так вот, как мне его учесть для ускорения.
Аноним 31/12/20 Чтв 02:18:33 78429 176
>>77973
F=ma, F=dp/dt, ну и так далее физику за тебя решать чтоль? или я не понял чего ты хочешь? Для моделирования броуна лучше использовать статистические методы готовые
Аноним 31/12/20 Чтв 04:41:42 78431 177
>>78429
X k+1 = X + Vxdt + a t^2 / 2.
Вот уравнение. мне интересно, как шум в виде броуновского движения влияет на параметры, т.е.
X k+1 = (X+некое смещение) + (Vx+некая добавка) dt + (a+некая добавка) t^2 / 2. Меня вот интересуют ети добавки.
Аноним 31/12/20 Чтв 04:42:19 78432 178
>>78431
adt^2 / 2.
Быстрофикс
Аноним 02/01/21 Суб 04:00:56 78495 179
>>78431
Написан какой-то шлак, посмотри в любом учебнике(в том же Балеску) как обращаются на наивном уровне со случайными силами и прочем.
Аноним 08/01/21 Птн 05:23:04 78716 180
image.png 392Кб, 1733x980
1733x980
Аноны, как максимально быстро вкатиться в понимание таких вещей? В универе был просто матан (который я уже скорей всего успешно забыл).
Пробовал гуглить по-отдельности каждую хрень, а там к каждой хрени ещё такой же список прилагается, т.е. гугл тут не поможет и нужна нормальная система обучения (но без оверхеда, нужен самый минимум)
08/01/21 Птн 21:54:15 78739 181
>>78716
Ну вот нахуя носиться с голой жопой по всей доске и дублировать посты? Не ответили в течение получаса, и ты запаниковал?
Почему я гуглю и нахожу объяснение для школьников всех этих понятий?
Чем больше сижу в матх, тем лучше понимаю драконовы меры дидов с дхду.
Аноним 08/01/21 Птн 22:35:29 78740 182
>>78739
он написал всего в двух тредах, в общем и в тематическом. это вполне прилично

и сам вопрос тоже адекватный относительно (не математика, конечно, но хотя бы написан аккуратно)
Аноним 08/01/21 Птн 23:27:53 78741 183
плюсую, драконовские методы это прошлый век
Аноним 09/01/21 Суб 00:39:51 78742 184
>>78740
в трёх
мимо-автор-вопроса
Аноним 09/01/21 Суб 08:15:47 78745 185
>>78740
>и сам вопрос тоже адекватный относительно (не математика, конечно, но хотя бы написан аккуратно)
ну тогда давайте тут "есть одна тян" треды тоже поощрять, если написано аккуратно, или рулеточки
у доски медленная скорость, спамить во всех тредах - просто дурной тон
Аноним 09/01/21 Суб 11:47:02 78746 186
>>78745
>"есть одна тян" треды тоже поощрят
Давай.
>рулеточки
Уже есть. >>11707 →
ролл!
Аноним 09/01/21 Суб 14:26:17 78749 187
>>78745
>ну тогда давайте тут "есть одна тян"
давай (поддерживаю вышеанона)

>>78742
в трёх это действительно многовато уже
Аноним 14/01/21 Чтв 20:35:49 79012 188
>>70946
>>70945
Ну и cкобки забыл. Bобщeм, pазбepёшьcя, я eбал латeх c тилибона вводить.
Аноним 18/01/21 Пнд 16:49:44 79191 189
изображение.png 137Кб, 512x269
512x269
Хочу вкатиться в физику, точнее устроить себе ликбез по ней с последующими попытками освоения теоретической физики. Просто такое желание, не спрашивайте, зачем оно мне.
Сам по образованию кокограммист из довольно среднего МухГУ, поэтому с матанализом за первый курс нормального технического университета знаком, как и с простенькими диффурами. Хреново разбираюсь в линейной алгебре и практически никак в аналитической геометрии (и геометрии вообще). Совсем не знаю ТФКП, кое-как вычмат и статистику.
Физику последний раз серьёзно учил в школе в рамках подготовки к олимпиадам.

Нормальным ли будет план придерживаться учебной программы того же МФТИ по их лекторию и учебникам с сайта, или есть какие-либо альтернативы? Стоит ли начинать с чего попроще вроде школьного курса в рамках Ландсберга, или можно сразу же браться за университетский курс?
Аноним 18/01/21 Пнд 21:07:37 79196 190
Аноним 19/01/21 Втр 08:44:01 79202 191
>>79191
Вкатиться в физику без экспериментов не получится. А с экспериментами в домашних условиях ничего не выйдет. Максимум - сможешь прочитать несколько учебников по теории струн, там эксперименты не нужны.
Аноним 19/01/21 Втр 11:55:16 79205 192
>>79202
>Вкатиться в физику без экспериментов не получится
obligatory лол
Аноним 21/01/21 Чтв 22:05:24 79359 193
>>19499 (OP)
Посоветуйте что-нибудь вводное на доступном уровне (за плечами плохонький университетский курс матстата) про анализ неявных классов (latent class analysis).
Аноним 28/01/21 Чтв 23:02:43 79675 194
Я обезьяна человекоподобная, пердолю вашу прикладную математику в сраньГУ. Предоставьте пожалуйста варианты, в какую сферу выкатываться , помимо очевидного прогромирования, где можно начать зарабатывать деньги? Скоро заканчиваю учёбу, а кем становится- не ебу в душе. Кодить не хочется 100%. Кем стать, где нужны хоть частично навыки примата, и при этом порог вхождения без миллиардного опыта работы и дяди бафомета?
Аноним 30/01/21 Суб 16:53:54 79763 195
>>19499 (OP)
Аноны, как считаете прикладная математика более сложная и муторная чем чистая?
Аноним 05/02/21 Птн 11:59:41 79917 196
>>79675
Очевидный датасаенс. Особенно если с закосом в бизнес-аналитику, а не в машинное обучение.
Аноним 05/02/21 Птн 12:02:06 79918 197
>>79763
Это такой рофл?
Аноним 09/02/21 Втр 13:32:08 80104 198
>>79763
Зависит от образа мышления + и там и там есть мутные разделы а есть кристально ясные. А вообще тролить надо не в этом треде а в /b.
Аноним 09/02/21 Втр 14:01:44 80106 199
>>80104

А можешь примеры привести? Где какие ясные, а где мутные.
Аноним 09/02/21 Втр 16:55:28 80108 200
1612878926620.jpeg 33Кб, 662x328
662x328
Двачик, если захочешь и сможешь

За пару недель посчитал градиент интегрального функционала, но двойной интеграл убил. Сможет кто помочь не бесплатно?

Пытался делать по аналогии с интегральным функционалом, выразив по определению линейную часть приращения и остаток J(u) = \int_0^1 \rho(x) |A(x,Z,u)-g(x)|^2 dx, тут выходит просто J'(u)= \psi(x,0;u), где пси это переменная сопряженной системы , но чет нихуя по аналогии не выходит.
Аноним 09/02/21 Втр 16:58:33 80109 201
>>80108
Зы, думал на mathnet какие нибудь хорошие статьи по градиентам подобных функционалов есть но нихуя не нашел
Аноним 09/02/21 Втр 17:01:30 80110 202
>>80106
>Где какие ясные,
Теория категорий
Программирование на паскале
>где мутные.
Анализ с его трюкам.
Программирование на С++
Аноним 09/02/21 Втр 20:45:59 80115 203
>>80108
Непонятно, A есть функция двух переменных или трёх
Из последних двух строчек ясно, что A есть решение одномерного волнового уравнения, это решение как бы явно находится.
Аноним 09/02/21 Втр 20:54:17 80116 204
>>80115
Наебал тут сам себя.

В последней строке A(x,0) = А_0(x) = u(x).
То есть A(x,z;u) это А(x,z) при начальном условии u(x)
Аноним 10/02/21 Срд 00:19:05 80128 205
1612905537993.jpeg 3008Кб, 2340x4160
2340x4160
1612905540161.jpeg 3514Кб, 4160x2340
4160x2340
>>80115
Тут типо не совсем через А считается. Для интегрального к примеру примерно так (мб с опечатками, но решение верно), главное что в итоге получили линейную и остаточную часть. Но с двойным интегралом так не поиграешься, либо у меня мозги не варят
Помогите пожалуйста, я глуп для этого Аноним 26/04/21 Пнд 16:24:30 82843 206


Два друга Петя и Вася увлекаются рыбалкой. Петя за 1 день может поймать n карасей, Вася соответственно m карасей. Петя и Вася также очень увлекаются программированием, поэтому на рыбалку Петя может выделить только 2 дня из a дней, а Вася только 3 дня из b дней. Сколько рыбы поймают друзья за k дней (k кратно a и кратно b).

Например, если n = 10, m = 8, a = 5, b =4, k =40, то ответ составит 400

Ответом на эту задачу является некоторое выражение, которое может содержать целые числа, переменные a, b, n, m и k (записываемые английскими буквами), операции сложения (обозначается «+»), вычитания (обозначается «−»), умножения (обозначается «»), деление нацело (обозначается «//»), остаток от деления нацело (обозначается «%») и круглые скобки для изменения порядка действий. Запись вида «2a» для обозначения произведения числа 2 и переменной a неверная, нужно писать «2a». Пример правильного (по форме записи) выражения: a n + (b −a) 2. Операция a // b возвращает значение целой части от деления переменной a на переменную b. Операция a % b возвращает значение остатка от деления переменной a на переменную b.
Аноним 26/04/21 Пнд 17:01:07 82845 207
Аноним 26/04/21 Пнд 17:09:47 82846 208
Помогите пожалуйста, я глуп для этого 2 Аноним 26/04/21 Пнд 18:20:12 82848 209
image.png 229Кб, 578x556
578x556
Аноним 26/04/21 Пнд 18:49:38 82850 210
>>82848
Каким образом расстояние до соседних домов - это единственное число? Сумма что ли?
Аноним 26/04/21 Пнд 19:12:56 82855 211
>>82850
Да уже не надо, спасибо.
Аноним 26/04/21 Пнд 19:52:43 82860 212
>>82848
АХЪТУНГ!!! ТАРАКАН!! ДИХЛОФОС СЮДА ЮЫСТРЕЕ
Аноним 28/04/21 Срд 17:38:00 82944 213
>>82860
Почему вы кодеров тараканами называете?
Аноним 28/04/21 Срд 23:30:47 82957 214
>>82944
Завидуют высоким зарплатам программистов.
Привет анон Аноним 26/05/21 Срд 16:24:16 83819 215
Как записать математически (уравнение, модель...) такую зависимость. В общем. Есть две футбольные команды. Параметр Х - атака( или голы). У - зашита.
x-y < 0 - поражение
х-у > 0 - победа
х-у = 0 - ничья

Собственно как записать, что чем больше х1(первая команда), тем меньше у2. И т. д. ?
Аноним 02/06/21 Срд 19:25:48 84112 216
>>83819
y=f(x), очевидно
А вот каким правилом задать саму функцию f - в душе не ебу.
Аноним 04/06/21 Птн 14:55:35 84188 217
>>83819
>Собственно как записать, что чем больше х1(первая команда), тем меньше у2
Например, [math]x_1 + y_2 = c[/math] для какой-то константы [math]c[/math]
Или [math]x_1 \cdot y_2 =c[/math]
Или много чего ещё, откуда нам известно, как ты считаешь
Цирк с конями Аноним 07/06/21 Пнд 20:08:48 84302 218
Здраствуй матач. Можешь накидать математических моделек с фазовыми портретами. Надо свою проверить, а то научник говорит, что программа показывает стационарные точки там, где их нет.
Аноним 16/06/21 Срд 16:46:18 84596 219
Итак приматы-статисты.
Вопрос таков: Репрезентативность == прогнозируемость?
Аноним 17/06/21 Чтв 10:48:47 84607 220
Аноним 30/06/21 Срд 21:30:38 85118 221
>>84596
Нет, очевидно. репр. - один из методов добивки до семпларности.

Аноним 30/06/21 Срд 21:46:07 85119 222
>>84607
>>85118
Ну пацаны, смарите. А если подумать, что репрезентативность это попытка предугадать состояние неохваченных индикаторов? То есть прогноз на остальную, не взятую в выборку массу.
Аноним 01/07/21 Чтв 23:01:56 85129 223
>>85119
Во-первых, это только один из методов.

Во-вторых, хорошо на бумаге, да забыли про овраги.

Читай Тьюки, короче, от репрезентативности в математике не так просто отказались, чтобы кабанчиков заставлять за биг дата анализ платить.

ЕСЛИ БЫ человек мог нормально в репрезентативность, она бы работала, но человек не может охватить все классы и из взаимовложенность/пересечение. Поэтому попытки в семплы работают только в чисто идеальных условиях задач, практика семплированию провела по губам, ИРЛ это все дерьмо не работает.
Аноним 02/07/21 Птн 01:46:01 85135 224
Посоветуйте учебник
1) тервер и матстат в одной книжке
2) в меру строгое повествование, с доказательствами, теоремами и тд
3) легко и понятно написано
4) желательно на русском
Аноним 22/07/21 Чтв 11:26:04 85828 225
Сейчас будет очень глупый вопрос.
К чему прикладывается прикладная математика?
Аноним 22/07/21 Чтв 22:40:11 85831 226
>>85828
Лол, да самый банальный пример - это оценка сложности алгоритма, о-большое.
Аноним 23/07/21 Птн 19:42:45 85850 227
>>85828
К приложениям (компьютерным).
Аноним 19/08/21 Чтв 11:34:42 86689 228
>>85135
>2)
Мне понравилась "Мера и категория | Окстоби Джон". Но будь готовь к тоннам текта, т.к автор не может в кванторы.
Аноним 19/08/21 Чтв 15:42:13 86700 229
>>86689
Как же ты его приложил.
Аноним 25/08/21 Срд 19:02:42 86859 230
есть хорошие гайды/мануалы по приложению решеток (lattices) к hidden value problem (часты в криптографии)?
Нихуя не могу в этом плане, люди составляют магическую матрицу, B = M.LLL() ; все заебись, из каких-то ячеек собирается ответ. Из теории решеток не очень ясно, что с ними делать, честно говоря.
ой так нраица - составить матрицу
Аноним 21/09/21 Втр 09:17:37 87510 231
Аноним 24/09/21 Птн 20:18:02 87595 232
О, кстати про эвольвенту

Эвольвента удовлетворяет сразу двум условиям-полное отсутсвие проскальзывания и непрерывное постоянство передаточного отношения
Или только какому-то одному из них?
Аноним 24/09/21 Птн 21:13:16 87596 233
Помогите, не могу понять где проебался
Говорят что на расстоянии орбиты земли мощность солнечного излучения примерно 1кВт на квадратный метр, до солнца от земли 152млрд метров, ослабление излучения происходит обратноквадратично расстоянию, если так считать то мощность излучения поверхности солнца на квадратный метр должна быть примерно: 152млрд^2= 2.3•10^22кВт
При этом солнце излучает как почти идеальное абсолютно чёрное тело с температурой 5770 Кельвинов
Мощность излучения считается как четвёртая степень температуры умножить на постоянную стефана-больцмана равную 5.67•10^-8. Так мощность излучения 1 метра квадратного поверхности солнца получается:
5770^4•5.67•10-8=63000кВт или 6.3•10^4кВт
Где проёб?? 2.3•10^22кВт и 6.3•10^4кВт, 18 порядков нахой
хотя должны быть одинакове значения.
Аноним 17/10/21 Вск 13:49:07 88083 234
Помогите посчитать уравнения теплопроводности в сферических и круговых координатах
Мне интересно что когда добавляешь утеплитель например к трубе, в сечении круг,
а не, стоп... с трубой не катит, короче смысл в том, чтопараметр влияющий на теплоизоляцию изменяется линейно, ну собственно толщина утеплителя, а параметр влияющий на теплопотери-внешняя площадь поверхности-в случае трубы тоже(хотя тут зависит от диаметра и самой трубы, а не только утеплителя)
а в случае сферы так в любом случае изменяется в квадрате

И типа, допустим сферическая полость внутри куска утеплителя бесконечной толщины, с одной стороны, очевидно, для поддержания температуры в этой полости будет нужна не бесконечная энергия, несмотря на какбы бесконечную внешнуюю площадь поверхности, при этом очевидно что и не нулевая энергия нужна

Я нашёл уравнения теплопроводности, но даже не понял куда и как циферки подставлять
Аноним 17/10/21 Вск 14:28:06 88084 235
>>88083
Первое и последнее предложение понятно, между ними какой-о бред. Под "круговыми", наверное, имеются цилиндрические. Пересчитываются они подстановкой в соответствующее уравнение, можно найти уже готовые варианты в литературе. Однако, если у тебя коэффициент теплопроводности это разрывная функция, то дело становится намного хуже, так как решение уже не находится в хороших пространствах с хорошими теоремами, скорее всего это либо приличная задачка из матфизики, либо решается численно, как большинство диффуров сейчас. Советую копать в сторону готовых решений в ANSYS или подобных средах и корректировать под себя.
Аноним 29/10/21 Птн 00:11:51 88434 236
aaa.jpg 9Кб, 456x131
456x131
aaaaa.jpg 20Кб, 587x131
587x131
aaaaaa.jpg 20Кб, 517x134
517x134
Сап, ночной, как схемка пишется по методу покоординатного расщепления? Крайнов-Миньков убедительно пишут что в случае когда хвост это просто f, то верно как на второй пикче, но у меня то хвост это fA, поэтому кажется что третья вернее.
Аноним 03/11/21 Срд 03:20:37 88771 237
>>87596
> 2.3•10^22кВт
> 18 порядков нахой

Подели на квадрат радиуса Солнца в метрах, очевидно же.
Итого потерял 4.84416e+17
Аноним 29/11/21 Пнд 19:44:37 90382 238
Сап.
В игре есть ларцы, содержащие рубины, изумруды, сапфиры и алмазы.
В каждом ларце содержится ровно один самоцвет.
Алмазы встречаются вдвое реже любого другого самоцвета.
Вопросы:
a) Сколько ларцов потребуется открыть игроку, чтобы получить хотя бы по одному самоцвету каждого вида? Укажите минимальное, максимальное и среднее количество ларцов.
б) Какие способы вы можете предложить для уменьшения разброса между минимумом и максимумом (3-сигма), не добавляя новых типов наград и не нарушая правила "алмазы встречаются вдвое реже любого другого камня"?

Подскажите чем решать пж. Тут мат статистика и теовер.
Аноним 01/12/21 Срд 21:10:27 90437 239
image.png 53Кб, 942x343
942x343
Господа, правильно ли я ответил на задачу? Не очень понял в чём смысл $b_0$ тут, но предположил что это хуйня отвечает за знак $(-1)^{b_0}$
Аноним 05/12/21 Вск 14:18:23 90552 240
изображение.png 18Кб, 392x62
392x62
изображение.png 23Кб, 716x77
716x77
Господа, первый раз читаю англоязычный источник по примату, немножко в ахуе с нотации.
Поясните плес, что подразумевается в правой части в первой формуле? Что это дичь в виде индекса под знаком суммирования, и почему дальше di не там же? Типа, "суммируем все vi принадлежащие V, результат умножаем на di, и потом получившееся делим на C?
А во второй формуле забыли закрывающую фигурную скобку поставить, и вместо "|" знак деления захуячили?
Аноним 05/12/21 Вск 18:57:10 90566 241
>>90552
нет, имеется в виду "суммируем по всем vi принадлежащие V, соответствующие им d_i"
как d_i отвечает v_i, должно быть понятно из контекста

в более аккуратной записи это могло бы выглядеть так $\sum_{v_i} d_{v_i}$

со второй формулой всё, видимо, так, как ты написал
Аноним 08/12/21 Срд 13:07:34 90695 242
>>90552
>и потом получившееся делим на C?
Там еще и округляется наверх потом резульат.
Аноним 09/12/21 Чтв 04:09:50 90704 243
>>90566
В более аккуратной должно выглядеть так:
$$\sum_{i : v_i \in V} d_i$$
Аноним 09/12/21 Чтв 04:17:54 90705 244
>>90552
А вообще тут просто сумма по всем элементам некоторого множества, где под знаком суммирования берутся $d_i$ с соответствующими индексами. То есть в более общем виде нотация может выглядеть так: $\sum_{a \in A} f(a)$, что будет значить: "последовательно выбираем a из множества A и прибавляем f(a)"
Аноним 09/12/21 Чтв 11:45:53 90709 245
>>90704
моя аккуратнее: в твой неясно, откуда берутся i
Аноним 04/01/22 Втр 16:11:15 91922 246
>>19499 (OP)
Есть пароль вида x2yz3q. Буквы могут быть как заглавные, так и мелкие, а так все символы стоят на своих местах. Сколько всего вероятностей пароля может быть? Пытаюсь подобрать все, и хочу знать число вариантов, чтоб ничего не пропустить
Аноним 27/07/22 Срд 12:21:28 97371 247
>>19499 (OP)
#теория_игр
Привет, анон. Можешь подсказать какую-нибудь литературу или лекции по теории игр?
Аноним 27/07/22 Срд 18:14:49 97385 248
>>91922
Латинские 26, заглавные 26, цифры 10 = 56
Длина пароля 1: 56 (упорядоченных) комбинаций
Длина пароля 2: 56 x 56 = 3136 комбинаций
Длина пароля n: $56^n$ комбинаций
Аноним 27/07/22 Срд 23:46:54 97392 249
>>31478
>>36458
А нахуя вы сюда заходите? Ожидаете, что вас попросят гомотопическу группу вычислить и вы поможете?
Аноним 27/07/22 Срд 23:58:44 97393 250
>>97392
31478-му случайно реплайнул
Аноним 30/07/22 Суб 13:37:16 97437 251
>>97385
>Латинские 26, заглавные 26, цифры 10 = 56
Дальше можно не продолжать.
Аноним 01/08/22 Пнд 07:14:09 97511 252
>>97437
>Дальше можно не продолжать.
ну всё правильно же, я хуйню написал
надеюсь, анон понял мысль
>>97385
>>91922
Должно быть $62 x 62=3844$ и $62^n$, соответственно
Аноним 10/09/22 Суб 00:02:48 98800 253
Захотел подтвердить или опровергнуть одну конспирологическую идею. Сама теория заговора гуглится по словам BIG TREE GO WAR, я опишу только задачу:
>Определить вероятность появления 2-3-4х слов подряд (из словаря топ 5000) в случайной строке букв, собранной из первых/вторых(/третьих/последних) букв из слов произвольного текста на английском языке.

В топ 5000 словаре есть вероятность появления каждого слова в тексте.
На вики есть вероятность первой буквы слова в тексте.
Можно ли как-то математически такое высчитать из этих двух вероятностей? Я представляю, как написать программу, которая будет генерить строки и искать в них слова из словаря, но хотелось бы понять, можно ли эту задачу решить чисто математически. Надеюсь, кого-то заинтересует, потому что я вряд ли осилю подобное.
Аноним 14/12/22 Срд 16:36:50 100256 254
Как проверить, есть ли связь между индикатором и ценой на рынке?
Аноним 17/12/22 Суб 14:25:22 100307 255
>>100256
>Как проверить, есть ли связь между индикатором и ценой на рынке?
Всё кроется в определении "связи". В эконометрической литературе это может быть, например, коинтеграция, причинность Гранжера, или просто значимый коэффициент в регрессии (причём можно рассмотреть, например, какой-нибудь ГАРЧ, где индикатор будет зависеть не от цены, а от волатильности).

В литературе и практике, где индикаторы употребляются, скорее всего интересна предсказательная способность. Тут можно использовать любые методы/меры точности модели (backtesting/out-of-sample, какие-нибудь среднеквадратичные расхождения в среднем типа RMSE, медианные расхождения, можно квантили смотреть на основе какого-нибудь VaR или shortfall).

Так что проверить можно по-всякому, но нужно поставить задачу чётко.
Аноним 24/12/22 Суб 14:04:23 100395 256
>>100307
Большое спасибо, что ответил.
Я из курса мат.статистики вспомнил только критерий Пирсона. Я так понимаю, это не то, что нужно?
Короче говоря, можешь, пожалуйста, порекомендовать метод которым можно было бы проверить связь.
Через регрессию может быть?
Ну и суть того, что я хочу проверить.
Резкий рост индикатора предсказывает рост цены. Но только резкий рост, остальные движения индикатора роли не играют. Если я пострю регрессию этого хватит? Надо ли отсортировать пики индикатора, оставив только их?
Извините, за запоздалый ответ.
Аноним 25/12/22 Вск 22:02:24 100408 257
как определяют вероятности событий:
1. сложных, типа удачного расклада в игре "паук"? Точных цифр нигде нет, только примерные оценки.
2. никогда не происходивших или не наблюдаемых явлений, типа: возможности синтеза ДНК из неорганики, вероятность разумной жизни в космосе и т.п.?
Аноним 27/12/22 Втр 00:38:15 100447 258
>>100395
Если у тебя есть достаточно данных, я б начал с простой линейной регрессии. Что в твоем понимании резкий рост? Для этого полезным будет проверить как исторически были распределены изменения индикатора. Например, если они нормально распределены то посмтри как менялась цена при двух/трех стандартных отклонениях индикатора.
Аноним 01/01/23 Вск 00:10:02 100589 259
С новым годом всех!
Аноним 02/01/23 Пнд 17:47:00 100614 260
>>100408
>возможности синтеза ДНК из неорганики, вероятность разумной жизни в космосе и т.п.?
Период процесса зарождения, условия для синтеза в среде, условия для появление конкретной среды в рамках периода существования отдельной планеты... Да так чтобы потом эти условия среды ещё не сменились на опять непригодные, а изменялись только в нужные типы сред... Количество планет гипотетически имеющих нужную последовательность изменений среды во вселенной на миллионы лет... Ну, крч, подучи биологию, астрофизику, химию, геологию, логику и сформулируй пару тысяч переменных в развёрнутой работе. За такое можно нобелевку получить тащемта. Будешь как Дарвин, только с теорией "зарождения". Будут учёные на гравицапах летать и фальсифицировать твою теорию, правки делать всякие. Умным короче.
Аноним 12/03/23 Вск 17:17:56 101735 261
xkcd-Комиксы-ма[...].jpeg 43Кб, 740x308
740x308
Аноним 30/03/23 Чтв 22:25:11 102070 262
16601323951022.png 1079Кб, 1080x1350
1080x1350
Многоуважаемые матаны, спасити памахите! Нужна программа для доказательства тавтологичности формул состоящих из предикатов. Вот это вообще про это?
https://ru.wikipedia.org/wiki/%D0%97%D0%B0%D0%B4%D0%B0%D1%87%D0%B0_%D0%B2%D1%8B%D0%BF%D0%BE%D0%BB%D0%BD%D0%B8%D0%BC%D0%BE%D1%81%D1%82%D0%B8_%D1%84%D0%BE%D1%80%D0%BC%D1%83%D0%BB_%D0%B2_%D1%82%D0%B5%D0%BE%D1%80%D0%B8%D1%8F%D1%85

Поддерживаемые и активно развивающиеся решатели: Alt-Ergo, Barcelogic, Beaver, Boolector, CVC3, DPT, MathSAT, OpenSMT, SatEEn, Spear, STP, UCLID, veriT, Yices, Z3.

Какая из них попроще?
Аноним 05/09/23 Втр 01:06:02 107149 263
Подскажите книжку по методу конечных элементов. Галлагера не предлагать.
Аноним 06/09/23 Срд 09:45:27 107375 264
Привет.
У меня есть конкретная задача: на основании нескольких величин, собираемых раз в пять секунд и получаемых узлом принятия решений раз в 30 секунд, принимать решение о значении одной настройки на ближайшие полчаса.
Я ищу человека, который поможет мне составить алгоритм обработки этих данных, логику принятия решений и поможет выявить граничные случаи. Готов платить за консультации по договору, требуется подписание NDA.
Если интересно — пишите фейкопочты или другие контакты, обсудим и договоримся.
Аноним 28/09/23 Чтв 01:36:48 109094 265
Математические [...].jpg 154Кб, 702x902
702x902
Математические [...].jpg 217Кб, 691x833
691x833
Существуют ли нормальные учебники которые ПОНЯТНО поясняют как практически использовать формулы? Что бы их можно было реализовать в компьютерных программах, например формулы падение твердого тела на землю которая дает результат ввиде x, y в зависимости от времени.
Я скачал некоторые учебники и там написана одна галиматья оторвана от реального мира, какие то там евклидовые пространства и частные производства и прочая хуетень.
Есть учебники которые пишутся людьми а не шизофрениками?
Аноним 28/09/23 Чтв 08:00:47 109098 266
>>109094
>Я скачал некоторые учебники и там написана одна галиматья оторвана от реального мира, какие то там евклидовые пространства и частные производства и прочая хуетень.
>Что бы их можно было реализовать в компьютерных программах, например формулы падение твердого тела на землю которая дает результат ввиде x, y в зависимости от времени.
Ты просто даже не таракан. Тебе нужно зарядится теорией типов и дискретной математикой. Иначе ты и будешь как Вадим Викторович "а я не знаю шо это за праграмулька, лучше листочек дайте щяс пощитаю, у меня Касио фкс2 с геодезическими программами там всё понятно!!!"
Аноним 28/09/23 Чтв 11:31:13 109108 267
>>109094
Тебе нужны учебники по численным методам. Странно в учебник по математике/физике (а уж тем более в "разговорный" учебник вроде Арнольда) лезть за руководством по программированию.
Это как жаловаться, что в томике Пушкина нет объяснения правил русского языка.
Аноним 28/09/23 Чтв 11:56:58 109111 268
>>109108
>Тебе нужны учебники по численным методам.
Спасибо буду копать в эту сторону, я думал что учебники по физике и высшей математики дают исчерпывающую информацию о том как правильно пользоваться формулами на практике.
Аноним 28/09/23 Чтв 17:11:24 109122 269
>>109111
учебники по физике и математике учат физике и математика подумать только
Аноним 28/09/23 Чтв 17:29:06 109124 270
>>109122
А по сути должны учить как использовать формулы в реальности, зачем мне знания физики и математики если эти знания никак не учат применять?
Аноним 28/09/23 Чтв 17:51:31 109125 271
>>109124
что тебе нужно, это твоё личное дело
а учебники пусть учат тому, чему они посвящены, это нормально смирись
Аноним 05/10/23 Чтв 17:15:06 109343 272
Здравствуйте, уважаемые форумчане. Кто-нибудь может, пожалуйста, подсказать решение, или раздел главу параграф чего-нибудь, задача следующая:

Есть набор чисел (показания датчиков, которые должны быть равны между собой) (12,84; 12,99; 13,07; 13,1; 12,49; 12,56)
Каждое из этих значений является Х(допустим, X - среднее из набора)/Y(число в районе 10000 плюсминус пару десятков).
Цель минимум: определить Y для каждого из чисел набора
Цель максимум: определить Y для каждого из чисел набора на основании нескольких таких наборов чисел (срезов показаний датчиков).
Аноним 06/10/23 Птн 01:31:05 109370 273
>>109343
Положим $\hat{X}$ это то число, которому они равны, тогда твои $Y_{i}=\frac{\hat{X}}/X_{I}$. Мы хотим чтоб они были максимально похожи на какое-то число $A$, тогда можно записать ошибку отклонения как $\sum\limits_{i}\left(Y_{i}(X)-A\right)^{2}$, что минимизируется очевидным образом. Просто возьми производную и прировняй нулю.
Аноним 06/10/23 Птн 01:33:40 109371 274
Аноним 06/10/23 Птн 01:38:06 109372 275
>>109094
Ты смотришь на свою задачу, переписываешь ее как те шизо-задачи максимально похоже и решаешь. Потом имея ответ шизозадачи на руках ты пытаешься сделать первый шаг, но наоборот. Поздравляю, вы решили свою задачу используя шизо-книжку.
Аноним 06/10/23 Птн 01:40:52 109373 276
>>102070
Coq, потому что курсы по нему гуглятся даже на русском. Можешь взять Arend, если ты энджоер джетбрейнсов. Раз ты спрашиваешь это на двачах, то ты не сильно серьезно, и тебе этого хватит.
Аноним 06/10/23 Птн 01:45:06 109374 277
>>100307
Рынок это для институциональных игроков. Не трать на это свои силы, иди займись реальным сектором. Если ты из фонда, то сочувствую что нет спецов. Могу посоветовать просто херачить на бэктесте вместо всего этого статистического анализа.
Аноним 06/10/23 Птн 11:47:52 109385 278
>>109373
>Coq
>Arend
>вопрос про SMT
Ебать ты даунито.
Аноним 06/10/23 Птн 15:55:34 109408 279
Аноним 07/10/23 Суб 00:25:59 109427 280
>>109408
Все равно спасибо.
Coq получается тоже может в СМТ, только понавороченней?
Ты в погроммировании его использовал?
Аноним 28/10/23 Суб 21:15:53 110277 281
Помогите, пожалуйста, советом или рекомендациями по литературе. Не могу составить задачу в необходимой полноте.

Есть объекты двух конструкций - $A$ (основная) и $B$ (улучшенная). Известно, что для 30 объектов из множества $A$ справедлиы свойства $\overline{g}_A = 11$ и $\sigma_A = 0{,}5$, где $\overline{g}_A$ и $\sigma_A$ - матожидание и СКО результата измерения. Распределение результата измерения по предельной теореме следует полагать нормальным.
Как связать размер необходимой выборки объектов из множества $B$ с оценками вероятностных свойств результатов измерений $\overline{g}_B$ и $\sigma_B$, если нормальность распределения сохраняется?
Аноним 16/01/24 Втр 23:04:32 112033 282
Какие разделы математики надо изучить, чтобы легко использовать метод конечных элементов?
Аноним 17/01/24 Срд 02:58:53 112038 283
>>112033
Систему компьютерной алгебры какую-нибудь.
Аноним 17/01/24 Срд 07:54:42 112039 284
Хуёвый круг.png 2Кб, 400x400
400x400
Есть ли методы, чтобы аналитически строить приближённые решения диффуров в частных производных в кривых областях?
Например, вот мы решаем уравнение Гельмгольца с граничным условием u = 0 на границе типа неровного круга (красный на пике), вида r = R + f(φ), где у произвольной f характерная амплитуда d. Можно ли как-то записать решение в виде функций Бесселя плюс какой-то ряд по d/R (хотя бы пока у нас d меньше длины волны для высоких гармоник)?
Мне хотя бы название или ещё как ткнуть в нужном направлении, я просто даже представления не имею, какие слова в гугл тут нужно вбивать.
Аноним 19/01/24 Птн 15:36:40 112058 285
>>112039
а что мешает сделать замену переменных, чтобы граница имела вид $x = 0$ или $y = 0$? если не получается глобально, можно покрыть границу окрестностями, в которых так можно
Аноним 20/01/24 Суб 00:23:50 112064 286
$регистрация
Аноним 24/03/24 Вск 03:37:22 113897 287
>>112039
Записываешь в цилиндрических координатах, но заменяет граничные условия u(R,\phi)= 0 на u(R,\phi) + u'_{r}(R,\phi)f(\phi) = 0 и решаешь ну буквально так же
Аноним 20/05/24 Пнд 09:37:20 115063 288
image.png 2Кб, 260x51
260x51
Куда собираетесь прикладывать математику? Поясните за примат теоретику

Мимо мехматохуй
Аноним 20/05/24 Пнд 12:29:36 115064 289
Аноним 20/05/24 Пнд 12:56:11 115065 290
Без названия (3[...].jpeg 9Кб, 230x219
230x219
>>115064
Резонно.

К слову про вопрос: разгорелся жаркий спор, в ходе которого в принципе выяснилось, что последователи примата после четырех(+2 магистратуры) лет обучения лишь говнокодить в лучшем случае на питоне, математики из них выходят такие себе, а проггеры ещё хуже. Срач разводить не собираюсь, вопрос лишь чисто из интереса. Кем можно стать после окончания фпми кроме говнокодера?
Аноним 20/05/24 Пнд 16:57:47 115066 291
>>115065
Я лично сижу в ВЦ, чиню некорректные задачи. Но думаю переключиться на глобальную оптимизацию.
Аноним 21/05/24 Втр 11:41:45 115081 292
>>115065
>кроме говнокодера?
С такими картиночками тебя попросят развернуть односвязный список, а потом обоссут под громкий ржач всем отделом.
Аноним 21/05/24 Втр 13:36:22 115083 293
>>115081
[*A]?
Мимоговнокодер-питухонец
Аноним 03/06/24 Пнд 23:58:07 115332 294
Анончики, подскажите пожалуйста, как на практике находят значения производной? В той же физике допустим. Вопрос задаю потому, что, как мне показалось, предельный переход не очень удобная штука для прикладных задач, в физике по крайней мере. Но я нуб и, возможно, не прав, поэтому и интересуюсь
Аноним 04/06/24 Втр 10:11:57 115342 295
>>115332
>на практике
Что ты под этим понимаешь? Если совсем на практике, то матлаб с вольфрамом все считает. Если на уровне алгоритмов, то гугли плюсы и минусы для каждого и выбирай под свой случай.
Аноним 04/06/24 Втр 13:51:47 115350 296
>>115332
1) аналитически заранее
2) символьно по необходимости
3) численно как разностную схему
4) тащат скрытые параметры и по ним потом вычисляют
5) отказываются от производных и используют что-то типа производных. $f'(x) = \frac{f(x)-f(0)}{x}$ иногда работает

1001 способ, в каждой области свой нужнее.
Аноним 05/06/24 Срд 22:03:35 115391 297
1000013813.jpg 542Кб, 2404x828
2404x828
>>115342
>>115350
Извиняюсь, долго не отвечал

Да я статью Лузина читал, ну и там был пикрил, хотел прояснить, что конкретно он имел ввиду под "На практике..."
Аноним 06/06/24 Чтв 07:51:12 115397 298
>>115391
Лол. Ну исходя из этого фрагмента, предположу, что где-то выше там была приведена формула дифференциала dy=f'(x)dx, а далее идет объяснение "Можно подумать..." и т.д.
И "на практике" тут подразумевает не прикладную практику, а то, как в математике вычислялись формулы дифференцирования тем же Лебницем.
Аноним 06/06/24 Чтв 09:47:59 115398 299
>>115391
а труды Евклида ты не читал на древнегреческом?
Аноним 06/06/24 Чтв 22:58:01 115417 300
>>115397
> И "на практике" тут подразумевает не прикладную практику, а то, как в математике вычислялись формулы дифференцирования тем же Лебницем.
А, если в этом смысле, то ладно. Спасибо за ответ

>>115398
Если бы мозгов хватило — почитал бы. Ну а Лузина я упомянул на всякий, чтобы не булили. Типо: "Это он сказал, а не я хуйню несу"
Аноним 27/06/25 Птн 21:16:35 121879 301
CodeCogsEqn1.png 0Кб, 99x69
99x69
CodeCogsEqn2.png 3Кб, 630x67
630x67
Планирую решать уравнение движения точки по методу дифференцирования назад, но скорость брать с n-го временного слоя вместо n+1, как пишут в пособиях.
Какие подводные?
Аноним 12/08/25 Втр 13:57:22 122610 302
Чо есть годного по численным методам решения диффуров? Наибольший интерес к гравитационной задаче 2х и более тел.
Аноним 15/08/25 Птн 14:19:57 122652 303
>>122610
Я это ты, анон. Присоединяюсь к реквесту. Желательно, чтобы там были примеры кода на C++.
Аноним 15/08/25 Птн 15:33:05 122656 304
>>122610
>>122652
"МАТЕМАТИЧЕСКИЕ МОДЕЛИ ТЕОРЕТИЧЕСКОЙ ФИЗИКИ с примерами решения задач в СКМ Maple", Ю.Г. Игнатьев.
Аноним 03/03/26 Втр 17:30:23 126113 305
>>122656
Что то там нихрена нету интересного по теме.
Аноним 03/03/26 Втр 23:03:18 126116 306
>>126113
Потому что она неинтересная
Аноним 04/03/26 Срд 01:31:18 126120 307
изображение.png 37Кб, 498x596
498x596
>>126116
>>122656
>>122610
Кароч, я поэкспериментировал. Пришел к выводу, что для приближенного моделирования поведения тела в поле гравитации, вполне достаточно метода средней точки. Он гораздо точнее метода Эйлера, и x4 вариант средней точки не на много хуже Рунге-Кутты, при сопоставимых вычислениях. Он проще Рунге-Кутты, быстрее и даже точнее на больших шагах при сопоставимых вычислениях.

Также пришел к выводу что если вдруг нужен адаптивный шаг, то он обратно пропорционален гравитационному потенциалу.
Аноним 16/03/26 Пнд 17:43:26 126368 308
Есть тут люди, занимающиеся струнами/конформной теорией поля/смежными вещами?
Аноним 30/03/26 Пнд 05:08:05 126552 309
>>19616
Привет.
Надо что сделать?
Настройки X
Ответить в тред X
15000
Добавить файл/ctrl-v
Стикеры X
Избранное / Топ тредов