Главная Юзердоски Каталог Трекер NSFW Настройки

Математика

Ответить в тред Ответить в тред
Check this out!
<<
Назад | Вниз | Каталог | Обновить | Автообновление | 21 8 12
Задачка по геоме yar1k21 12/08/24 Пнд 17:07:48 116919 1
image.png 60Кб, 595x577
595x577
Нужно найти площадь фиол фигуры.Задачка в общем виде.
Аноним 12/08/24 Пнд 18:36:20 116920 2
могу только пособолезновать тебе
Аноним 12/08/24 Пнд 19:38:55 116921 3
>>116919 (OP)
траль что ли? В Гугле овердохуя решений
Аноним 12/08/24 Пнд 19:43:26 116922 4
image.png 231Кб, 1202x1202
1202x1202
>>116919 (OP)
> Нужно найти площадь фиол фигуры.Задачка в общем виде.
Смотри, есть площади a и b. Разность площадей квадрата и четверти круга составляет 2a + 2b. Разность площадей треугольника и одной восьмой круга составляет 2a + b. Зная площадь квадрата и круга, ты можешь отыскать a и b. Затем тебе нужно вычесть из площади квадрата 8a + 8b. Получится площадь фиолетовой фигуры.
Аноним 12/08/24 Пнд 19:45:52 116923 5
>>116922
>Затем тебе нужно вычесть из площади квадрата 8a + 8b
4a + 2b
Аноним 12/08/24 Пнд 19:46:22 116924 6
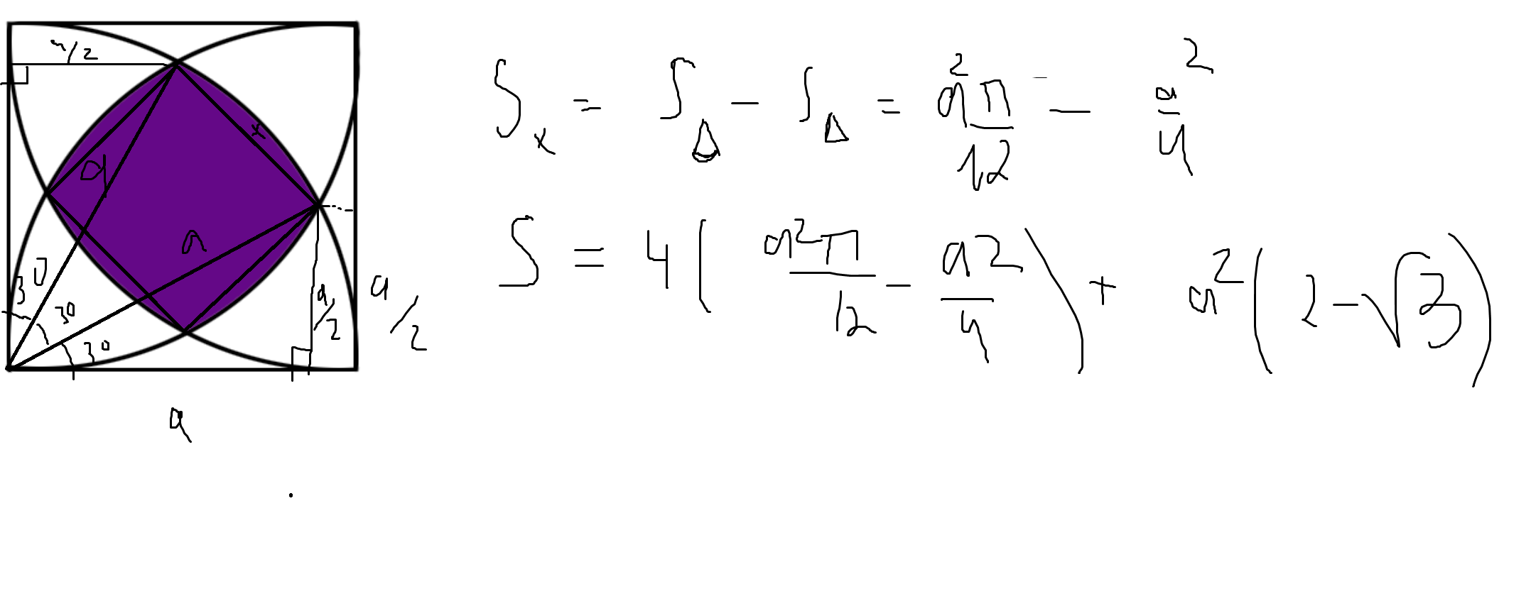
Аноним 13/08/24 Втр 07:54:57 116929 7
>>116922
Извиняюсь, Нет, не так.
Каким-то образом нужно рассмотреть соотношение площадей и получить систему линейных уравнений.
Я попытался в уме, но у меня, кажется, получается линейно зависимая система.
Аноним 26/08/24 Пнд 14:48:59 117254 8
image.png 148Кб, 2155x847
2155x847
>>116919 (OP)
Типо такого, думаю не надо объяснять, идея понятна.
Аноним 26/08/24 Пнд 21:30:03 117272 9
qwe.jpg 147Кб, 960x1280
960x1280
Не уверен правильный ли ответ, но рассуждения вроде верные
Аноним 30/08/24 Птн 22:59:14 117313 10
>>116919 (OP)
Суть:
1. Вычисляешь площадь одной четверти круга
2. Вычитаешь из квадрата четверть круга (получаешь пространство не заполненое частью окружности)
3. Вычтенное само умножаешь на 4 раза.
Аноним 12/09/24 Чтв 09:42:26 117427 11
wsef.jpg 36Кб, 595x577
595x577
tr.jpg 53Кб, 595x577
595x577
>>116919 (OP)
У нас есть пересечение четвертей круга.
Известна лишь длина стороны, она же радиус круга R.

Обозначим искомую фиолетовую площадь как F
Площадь квадрата вычислима S=R², сегменты обозначим a и b
Четверть круга вычислима, обозначим Q = (piR²/4)

S-F=4a+4b → F = S-4a-4b
Q = F+2a+3b → F = Q-2a-3b

S-4a-4b = Q-2a-3b → S-Q-2a = b
Выразили b через a, одной переменной меньше, с чертежом согласуется.

S = F+4(a+b)
S = Q+2a+b

F+4a+4b = Q+2a+b
подставляем ранее выраженное b

F+4a+4S-4Q-8a = Q+2a+S-Q-2a
F+4a+4S-4Q-8a-Q-2a-S+Q+2a=0

F-4a+3S-4Q=0 — новое соотношение.
Всё упирается в a. Нужно вычислять.

Тупая вершина сектора A лежит на дугах, то есть до неё так же расстояние R.
У нас есть равносторонний треугольник R.
Отхуярим половину чертежа.
Что имеем?
Половина состоит из: половины равнобедренного треугольника площадью R²/2
Сектора круга 30°, то есть Q/3 и половинки от a

a/2 = S/2 - (R
cos(30°))²/2 - Q/3
a = S-(Rcos(30°))² - 2Q/3

Итого:
F = 4(R²-(R
cos(30°))² - piR²/6) - 3R² + pi
Аноним 12/09/24 Чтв 09:43:32 117428 12
>>117427
Рот этой разметки ебал.
Звёздочки пропущены, но всё равно разберётесь
Аноним 12/09/24 Чтв 09:46:02 117429 13
>>117427
С квадратами и скобками в конце, подозреваю, напутал.
Переподставите сами короче
Аноним 12/09/24 Чтв 09:49:03 117430 14
image.png 149Кб, 425x419
425x419
Вот вам следующая задачка на подумать. Сам не решал ещё. 4 квадрата площадью по 16 вот так умещаются в круге. Какова площадь круга?
Аноним 12/09/24 Чтв 15:59:59 117433 15
image.png 168Кб, 1048x411
1048x411
>>117430
Вписываем треугольник, находим стороны, находим синус, потом по теореме синусов находим радиус, как элегантнее не знаю.
Аноним 15/09/24 Вск 16:50:18 117466 16
Аноним 16/09/24 Пнд 19:17:29 117473 17
>>117430
думать здесь особо нечего, а предыдущие аноны, наверное, просто ошиблись в вычислениях

ответ $1360 \pi$
Аноним 16/09/24 Пнд 20:04:43 117475 18
>>117433
\cos(\alpha) = \frac{9}{\sqrt{85}}
\sin(\alpha) = \frac{2}{\sqrt{85}}
R = \sqrt{85}
S = 85 \pi
Аноним 16/09/24 Пнд 20:12:42 117477 19
>>117475
радиус круга, описанного вокруг треугольника, выражается через стороны треугольника и его площадь (в википедии есть формула); и то, и другое вычисляется по картинке без всяких синусов и дробей вообще устно. перепроверь вычисления
Аноним 16/09/24 Пнд 20:25:48 117478 20
>>117477
Так и с площадью также;

S = 16⋅(8-4)/2
R = 4⋅4(17)^0.5⋅8(5)^5/(4⋅S)=(85)^0.5
Аноним 16/09/24 Пнд 20:28:04 117479 21
>>117478
не понимаю, что ты написал
впрочем, мне всё равно
Настройки X
Ответить в тред X
15000
Добавить файл/ctrl-v
Стикеры X
Избранное / Топ тредов