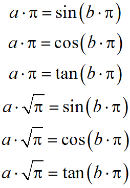
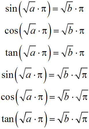
Существуют ли ненулевые одновременно рациональные числа для этих тригонометрических равенств?
Аноним
# OP
03/08/23 Чтв 13:04:08
№
1
Существуют ли ненулевые рациональные числа для этих тригонометрических равенств?
математик
# OP
04/08/23 Птн 16:41:29
№
7

