Главная Юзердоски Каталог Трекер NSFW Настройки

Дневнички

Ответить в тред Ответить в тред
Check this out!
<<
Назад | Вниз | Каталог | Обновить | Автообновление | 1507 691 101
Запись настроений и ещё чего-то: Аноним 23/02/23 Чтв 22:57:21 662931 1
image.png 109Кб, 720x480
720x480
Запись настроений и ещё чего-то:
Аноним # OP 23/02/23 Чтв 22:58:06 662932 2
Усталость пока что. Сонность, хочется спать, но и не хочется спать. Хочется делать. Опять шум и дверь открывается!!11
Аноним # OP 23/02/23 Чтв 22:59:02 662933 3
Почему они постоянно кричат. Теперь злостно-сонливо.

Ушли, покой. Тяжело дышать.
Аноним # OP 23/02/23 Чтв 22:59:52 662934 4
Когда уже тишина то будет, надоели.
Аноним # OP 23/02/23 Чтв 23:00:56 662935 5
Как же изводят голоса эти. Теперь хочется драться. Опять спокойно. Пока что сонно.
Аноним # OP 23/02/23 Чтв 23:01:50 662936 6
Тишина, найс. Спокойной-устало. Весело!
Аноним 23/02/23 Чтв 23:02:13 662937 7
>>662935
>Как же изводят голоса эти. Теперь хочется драться. Опять спокойно. Пока что сонно.
Просто пей таблетки вовремя, и никакие голоса мешать не будут.
Аноним # OP 23/02/23 Чтв 23:02:15 662938 8
Нормально.
Аноним # OP 23/02/23 Чтв 23:02:46 662939 9
>>662937
Не, голоса не в голове, а от людей.
Аноним # OP 23/02/23 Чтв 23:25:50 662950 10
Эх, устало то. Но хоть прикольны, хы.
Аноним 23/02/23 Чтв 23:31:02 662954 11
Привет. Отдыхай же!
Аноним # OP 23/02/23 Чтв 23:58:21 662969 12
Вроде нормально.
Аноним # OP 24/02/23 Птн 02:30:20 662998 13
грустна
Аноним # OP 24/02/23 Птн 02:37:05 663000 14
А теперь стыдно.
Аноним # OP 24/02/23 Птн 02:46:06 663003 15
Теперь норма.~
Аноним # OP 24/02/23 Птн 02:54:49 663004 16
Надо бы проснуца. УХ СКОКА СИЛ!!111 И ЯСНОСТЬ УМА! вВпрлде, всё работает в голове, будто проснулся.
Аноним # OP 24/02/23 Птн 07:09:47 663009 17
зЛОСТНО ГРУСтно
Аноним 24/02/23 Птн 08:42:04 663012 18
Как же все надоело, я не могу.
Аноним 24/02/23 Птн 08:48:34 663013 19
Вроде прошло, но теперь ничего не хочется. Плохое состояние. И наконец-то тишина, покой. Только зачем мне оно если мне ничего не надо.

... Нет, опять шум... Как же противно тело противны шумы, не могу терпеть их голоса. Теперь даже не сонно АААА МОЛЧИ НУ МОЛЧИ ну какой бред почему они не могут быть тише то? Теперь злостно. Но не сонно и хорошо
Ну и что мне делать? Ничего не хочется блин.
Аноним 24/02/23 Птн 09:02:24 663015 20
Значит только спать. Вот теперь хочется сна. Сладкий сон, наконец-то.
Аноним 24/02/23 Птн 19:50:39 663233 21
Эх. Вот бы окукливаться(проподать в манямир, чтобы не слышать шума).
Аноним 24/02/23 Птн 20:39:34 663241 22
Так, попробую притворяца, что я проснулся же. Вдруг прокатит. Энергию вперёд.
Аноним 24/02/23 Птн 21:08:09 663247 23
кстати сейчас няфно.
Аноним 25/02/23 Суб 01:46:32 663303 24
Мммм, обсессия. Устал думать же, жда и хочеца иное же... Но я вроде оддумал уже, успокоился. Можна веселица! ^~^
Аноним 25/02/23 Суб 02:35:44 663305 25
Ну что ей надо то постоянно. ТЕПЕРЬ Я ЗОЛ!
Аноним 25/02/23 Суб 02:38:13 663306 26
Успокоился.
Аноним 25/02/23 Суб 03:05:47 663308 27
Не могу уснуть. Ставил клизьму. Срал.
Аноним # OP 25/02/23 Суб 03:13:27 663311 28
Аноним # OP 25/02/23 Суб 03:18:24 663312 29
Спокойно. Хорошо.
Аноним 25/02/23 Суб 03:51:45 663315 30
Аноним # OP 25/02/23 Суб 03:54:40 663316 31
Аноним 25/02/23 Суб 04:43:15 663322 32
Как же страшно.
Аноним 25/02/23 Суб 04:46:11 663323 33
Не страшно.
Аноним 25/02/23 Суб 04:49:05 663324 34
Няшно(r)
Аноним 25/02/23 Суб 04:54:53 663325 35
Ух
Аноним 25/02/23 Суб 04:55:37 663326 36
Жалко-жалко оно уходит. Но если не забуду в чем суть, то круто будет.
Аноним 25/02/23 Суб 04:56:43 663327 37
А суть в логичности же, аксиомах. Нужно вот обдумать тут, да. Только как без инструментов? Ложь не нужна пока что, точнее, надо быть уверенным. Если надо, но это же надо знать то.

Забываю.
Аноним 25/02/23 Суб 04:57:29 663328 38
Фастфудный ответ нужен по быстроте. Эх, устаю уже.
Аноним 25/02/23 Суб 04:59:14 663329 39
М-да

>43
>57
А ощущение что час прошёл если не больше. Вот и пригодился уже дневник.
Аноним 25/02/23 Суб 05:00:56 663330 40
Всё, устаю, скоро все забуду.
Аноним # OP 25/02/23 Суб 05:16:38 663333 41
Всё прошло.
Аноним # OP 25/02/23 Суб 07:47:45 663342 42
НА-ДО-Е-ЛО
Аноним # OP 25/02/23 Суб 07:52:50 663343 43
Успокоился.
Аноним 25/02/23 Суб 22:04:08 663467 44
Хороший сон снился. Жалко что я слаб для таких снов.
Аноним 25/02/23 Суб 23:33:12 663513 45
Как же бест этот шум то, ну боже. А пока нормально, наушники меня спасают.
Аноним 25/02/23 Суб 23:50:37 663525 46
>>663513
Ты можешь навсегда избавить себя от шума с помощью обыкновенной отвертки за 5 минут! Кликни чтобы узнать как...
Аноним 26/02/23 Вск 00:12:51 663534 47
Аноним 26/02/23 Вск 04:46:00 663579 48
Нормально
Аноним 26/02/23 Вск 23:10:01 663756 49
Ну да, проблемы очевидно от кого. Спал не очень. Шум. Зато обдумал кое что.
Аноним 27/02/23 Пнд 00:23:44 663768 50
Так. Все спят. Хорошо. ТОЛЬКО ВОТ ОБСЕССИЯ ААААААААААА!!111 Но сейчас всё улажу. Жалко тока что времени нет сегодня.
Аноним # OP 27/02/23 Пнд 01:51:42 663784 51
https://www.youtube.com/watch?v=XRc3oJh_UHQ

Что-то всё рушица, неприятно. Да? Вот и я о том же. Неприятно то как, а самое главное и сладкое - паника. Будто из-за тремора рук не могу просунуть нить в иголку чтобы всё сшить, так и разум беспорядочно шумит. Надо бы успокоица.
Аноним # OP 27/02/23 Пнд 01:54:18 663785 52
Вот, так лучше. Даже приятно теперь. Остаёца только думать.
Аноним # OP 27/02/23 Пнд 01:56:06 663787 53
Ох, НАДО РАБОТАТЬ!
Аноним # OP 27/02/23 Пнд 03:05:11 663797 54
Фух.
Аноним 27/02/23 Пнд 03:25:49 663800 55
Да, ноу мор обсессий. Закончил. Фууууух.
Аноним 27/02/23 Пнд 05:04:39 663804 56
Вот теперо точна закочил с обсессиями.
Аноним 27/02/23 Пнд 05:16:18 663805 57
Эхъ, вот бы кто оценил мою писанину.
Аноним 27/02/23 Пнд 12:25:18 663848 58
image.png 66Кб, 835x809
835x809
x+1/x-x^2/10

[-a,-b++,-a-]
[a,b--,-b+]
[([-a]->[a]),([-b++]->[b--]),([-a-]->-b+)]

1)[-a-<-a<-b++]
2)[-a<-a-<-b++]
3)[-b++<-a<-a-]

[-a1-]->[-a2-]->[-b1++]=А

1)[-b+<a<b--]
2)[-b+<b--<a]

[b1--]->[a1-]->[b1+]->[-b1+]=Б



/////////////////////////////

[([-a]->[a]),([-b++]->[b--]),([-a-]->-b+)]

[-a1-]->[-a2-]->[-b1++]=А

[b1--]->[a1-]->[b1+]->[-b1+]=Б

ф-2=([-a1-]->[-a2-]->[-b1++])->([b1--]->[a1-]->[b1+]->[-b1+])

ф-1=(А)->(Б)

ф=[-a]->[a]
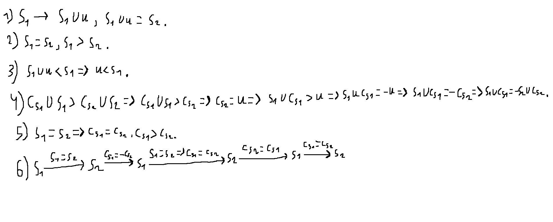
Аноним 27/02/23 Пнд 15:44:33 663905 59
спать
Аноним 28/02/23 Втр 01:50:06 664034 60
Не выспался понятно почему. Но что-то все пока что гуд.
Аноним 03/03/23 Птн 19:45:42 664753 61
image.png 166Кб, 2135x2251
2135x2251
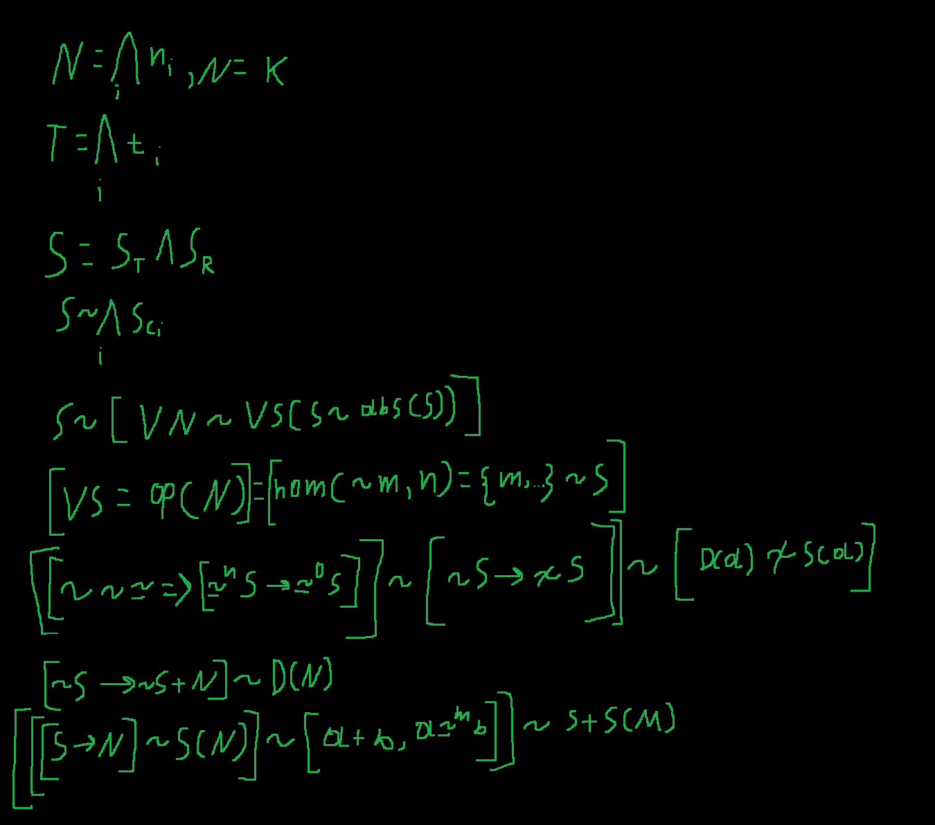
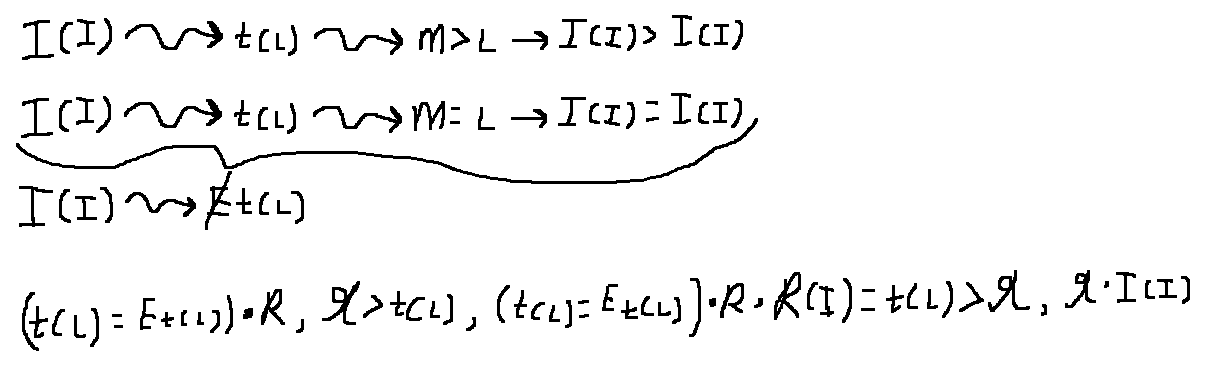
Очевидно чому тредик перестал обновляца же. Я увидел паттерны же в моём состоянии. Но... Здесь можно и просто делать записи, что я и буду делоть.

Так, надо бы доказать, что любые композиции элементарных морфизмов элементарны же.

Вот определения.

Но что-то устало и мотивации нет, а так тревожит меня. Плюс ещё если учесть шум этот НАПРАВЛЕННЫЙ на меня.
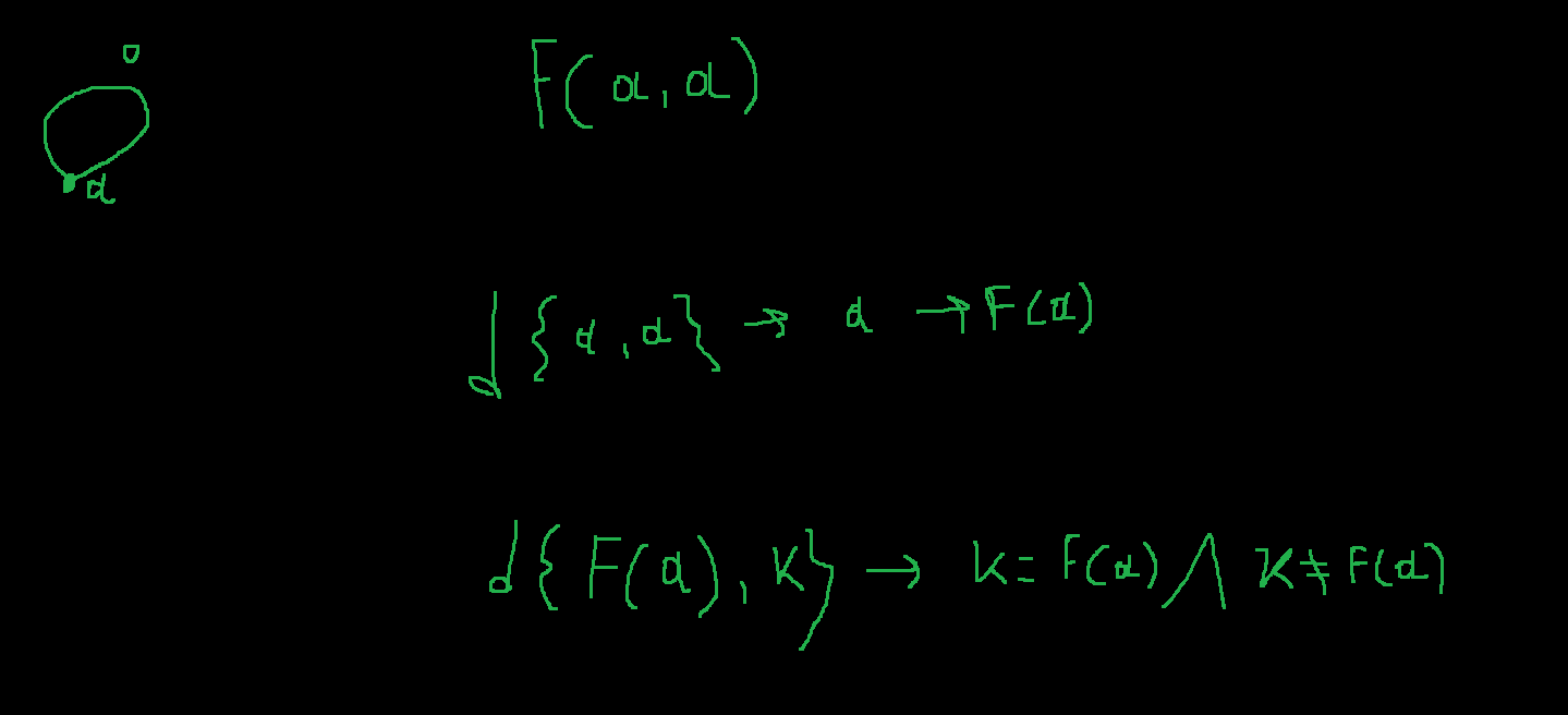
Аноним 03/03/23 Птн 21:26:12 664781 62
Так, первый случай у нас по сути сумма, а вот второй... А во втором случае надо отойти от морфизмов же. Запишу как мысль:

Сумма непротиворечива если объекты суммы непротиворечивы. Сумма противоречива если хоть один объект суммы противоречив.

Только вот доказательство, мммм, вроде можно же, я даже вроде уловил как, но вроде нет. Суть то в том, чтобы сумма была именно суммой же, т.е постоянное влияние всех объектов же. К примеру есои сумма у нас это литералли сума, то тут не сложно же понять что к чему.
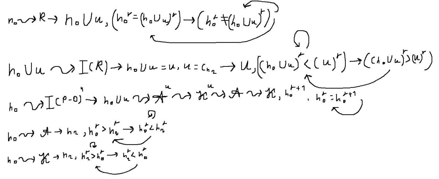
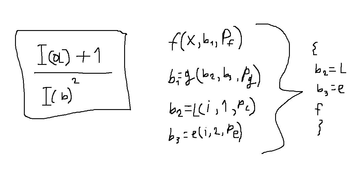
Аноним 04/03/23 Суб 09:57:51 664890 63
А теперь про суть. Вообщем лень мне доказывать, что аналитические функции не повторяют друг друга, ибо енто вроде и так доказанно, ну вот. Хотя у меня там не аналитичсекие, точнее, не только они но ладно, я же могу тока ими пользоваца. Так что к сути же, а именно к тому, как определять всё это. Во первых у нас меняеца. Не морфизмы состояний, а объект же. Т.е противоречивый объект и композиции с ним же противоречивы. Потом же берём морфизмы состояний, где морфизм из противоречивого состояния в нет и есть контрольная точка же. Ну и в обратную тоже противоречиво, теперь надо лишь находить точки же, а ещё иметь представление о том, когда точек много. Но мне лень уже думать
Аноним 04/03/23 Суб 10:51:23 664906 64
image.png 49Кб, 1328x720
1328x720
image.png 38Кб, 750x751
750x751
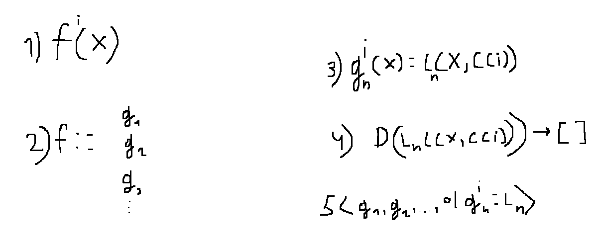
1 пик Для 2 пик. Впринципе я наверное поня всё. Но надо сделать так сказать скрытый ещё.
Аноним 04/03/23 Суб 11:07:34 664911 65
Так, всё достаточно удобно. Просто находим противоречивые состояния, помечаем, и дальше помечаем всё остальное же. Морфизмы между конечными состояниями что противоречивы и будут точками. Тока там надо смотреть не запутаца же, а то можно одно состояния, но в силу обстоятельств, разбитое визуально на две части, записать как два. К примеру на графике там это видно, когда от нуля и больше идёт. Состояние одно то, н оточка, хоть и не про переход там этого к этому, есть.

Почему же именно так? Потому что по определению состояний.

Теперь надо делать миниатюры для бесконечного колва таких морфизмов, но там вроде ясно что да как.
Аноним 04/03/23 Суб 11:19:51 664913 66
Почему по определению состояний? Ибо каждое состояние это отдельная функция, за исключением кое-каких вещей, что определенны. Но их так-то можно проигнорировать, просто будет менее оптимизированно и тавтология.

А теперь бесконечные точки. Хотя там вроде как и ясно. Анлесс если они задаюца, то всё ясно.
Аноним 04/03/23 Суб 20:22:41 665030 67
Аноним 05/03/23 Вск 18:25:16 665214 68
Аноним 05/03/23 Вск 21:09:04 665244 69
Так.

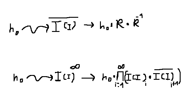
Если мы предположим, что использование противоречивых элементарных функций ведёт к противоречивости и будем применять именно те псевдоморфизмы, то функция противоречива, если же противоречивых функций нет, то функция не противоречива же.

Для всяких бесконечных контрольных точек надо понимать вот что. Вообще, контрольная точка - просто сменя состояняи же. Но сейчас в данном контексте контрольная точка енто противоречивый морфизм состояния. Т.е когда объект какой-то противоречивый. Укажем, что у контрольных точек есть ранги же. 0 енто не противоречивый. 1 - противоречивый же. Говоря о том, что у нас есть kn n>1 мы говорим о том, что km m<n у нас бесконечное колво же. Чтобы понять особенность k2 достаточно двух особенностей k1 с любой стороны или одну особенность включающую две с любой стороны. Во втором случае n=колво особенностей нужное для всего ентого. Если n не конечна, то нам нужна аналитическая форма псевдоморфизма. Если же n нету, н оможно выстроить бесконечную композицию морфизмов m, то такую функцию трудно представить.

Псевдоморфизм - морфизм, где не изменяющимся должно быть действие, всё остальное может изменяца, но оно должно изменяца строго в соотвествии с действие:x->y.

Применяя псевдоморфизмы на категорию предположений и фактов всякие эндоморфизмы являюца доказательными цепочками.
Аноним 05/03/23 Вск 21:15:35 665246 70
>>665244
И да, kmы принадлежат к kn, n>m. Точнее, псевдоморфизм kn даёт начальный объект ввиде kn для всех kmов же.
Аноним 06/03/23 Пнд 09:09:02 665314 71
Как же бесит они.
Аноним 06/03/23 Пнд 11:16:29 665334 72
image.png 48Кб, 1753x751
1753x751
image.png 21Кб, 983x537
983x537
Во
Аноним 06/03/23 Пнд 11:25:18 665339 73
image.png 17Кб, 1212x390
1212x390
Строка это уникальный порядок уникальный объектов.
Аноним 06/03/23 Пнд 13:41:17 665358 74
image.png 18Кб, 976x509
976x509
оЧИВИДНЫЕ вЕЩИ, мда. Ну я и глуп.
Аноним 06/03/23 Пнд 14:51:23 665366 75
image.png 14Кб, 750x450
750x450
image.png 49Кб, 1328x720
1328x720
Сами суммы уникальны и их порядок тоже.

Так, вроде более менее(не прибегая к эйлеру!!111 И вишстрассу или как там его с косамi) прямое докво непротиворечивостi на комбинации из непротиворечивых фундаментальных функций у меня есть. Ну и что касаеца возникновения противоречивости. Ну и да, вот эти пометки на втором пике верны. Аккординг ту, так сказать.
Аноним 06/03/23 Пнд 14:52:26 665367 76
Тепеь надо делать псевдоморфизмы для сумм ну и прочее, чтобы автоматически было тоже, и чтобы находить автоматические kn же.
Аноним 06/03/23 Пнд 14:53:50 665368 77
>>665366
(Ой, тейлор т.е. Иногда путаю.)
Француз !/6ouXmcPvg 06/03/23 Пнд 15:31:25 665370 78
Беременный бык..jpg 154Кб, 1328x720
1328x720
Аноним 06/03/23 Пнд 15:37:00 665374 79
>>665370
Гениально! ВОт тебе и фрейд.
Аноним 06/03/23 Пнд 22:37:32 665481 80
image.png 33Кб, 1312x628
1312x628
Во. Всё же куда проще можно было записать. Если каждый элемент уникален, то их сумма уникальна. Сумма+сумма=s уникальна же. Вот и докво непротиворечивости же.

И да, к расинхрону же, а именно к "двоуному" и т.де юзанию же. Надо понимать, что сумма элементов у нас уникально не только в элементах но и в самой сумме же, т.е имплаинг сразу и всё.
Аноним 07/03/23 Втр 10:24:16 665571 81
Как же она надоела.
Аноним 08/03/23 Срд 00:36:40 665818 82
>>665571
Кто тебя обижает, няш?
Аноним 08/03/23 Срд 18:12:36 665994 83
>>665818
Кто-то. А теперь тревожно опять, но из-за какого-то неизвестного грубого человека.
Аноним 08/03/23 Срд 20:12:32 666056 84
Так, абсолюты вроде доделол.
Аноним 09/03/23 Чтв 20:26:01 666364 85
Безусловно не думал я, что переводчик будет ТАКИМ объёмным же. Ну, по сравнению с абсолютом имею ввиду. Но теперь его надо бы проверить.
Аноним 10/03/23 Птн 10:37:52 666513 86
>>665994
Про кого ты говоришь?
10/03/23 Птн 15:10:40 666550 87
Осваиваю матлаб. Мммм, рай для погромистов, даже функционального ряда там нет. Ну а чего так, "математика", бррррр.

Но в любом случае навевает интересные мысли по математика->материи

>>666513
Да уже не важно.
10/03/23 Птн 15:11:10 666551 88
Аноним 11/03/23 Суб 12:01:50 666747 89
Крутой.
Аноним 11/03/23 Суб 18:59:35 666863 90
И чому я такой внушаемый, эх.
Аноним 11/03/23 Суб 19:49:00 666872 91
Аноним 15/03/23 Срд 12:00:14 667737 92
Так. Чо там по, нуууу, по ентим. По бесконечностям?

ВПринципе, если делать шорткаты, то у нас же есть миниатюры. Тока по точкам уже.

А теперь кратко: миниатюры для конечностей же.

Для конечного колва точек ранга -1 всё просто: всё, кроме --, про цышку. w относительно. Ну и да, если -- про ишку, то она тоже про цышку же. Хотя там посмотреть надо.

Если есть конечное колво точек 0, то либо к чему относица ишка, к какому состоянию и потом миниатюра по нему, либо же, если состояние на бесконечностях, то нужно обратица к псевдоморфизму и уже там к миниатюрам идти же, вооооот.

Для контрольных точек, т.е =>1, всё просто, так-то.
Аноним 15/03/23 Срд 15:39:48 667774 93
математикаменде[...].webm 9656Кб, 320x240, 00:02:53
320x240
Аноним 15/03/23 Срд 19:25:26 667836 94
Как ты поживаешь?
Аноним 16/03/23 Чтв 09:40:04 667993 95
Сейчас оформим кое-что.

>>667774
Удивительно, но я его понял. Но я не всё просмотрел.

А к чему енто?

>>667836
Нормально пока что. Кажеца бетховен не любит меня, эх.
Аноним 16/03/23 Чтв 09:47:08 667994 96
Кхм. Чо делать то? Вернё, введём вот что. Для примера 1/x: -b++all->b--all же. Или же: -b++n-->...->-b++0->...->b--n+->...->b--0->...->b++n-

Теперь же надо определить к какому у нас состоянию относица функция при переменной n же. А дальше вроде изи.
Аноним 16/03/23 Чтв 09:50:12 667995 97
>>667994
Тока запись уже "такая". Если a,b,w -,+,--,++ и константы после буквы но до знака легко в восприятии, то енто...
Аноним 16/03/23 Чтв 09:51:34 667996 98
>>667995
Зато в слух легко говорить.
Аноним 18/03/23 Суб 08:01:38 668431 99
Ммммммм, как же страшно, что скоро я умру.
Аноним 19/03/23 Вск 19:23:54 668705 100
james Watt.jpg 199Кб, 1200x1200
1200x1200
Аноним 20/03/23 Пнд 15:00:50 668863 101
image.png 30Кб, 1104x664
1104x664
feet-sculpture-[...].jpg 147Кб, 910x683
910x683
https://www.youtube.com/watch?v=5kst5Re9oZs

Контрольные точки. Для начала: форма же с суммой, той самой, ага. Потом уже определение точек же и прочего. Три особенности же. Все суммы принадлежат к той главной сумме и прочее. При f от сумм надо брать каждую точку по отдельности. Каждую контрольную точку для своей линии. Строчка. Линия с точками. У каждой точки по особенности или по три особенности же. Если три, то от начала до конца в том смысле, что нужны начала и конец же, середина нет. И после точки же, а не до точки особенность же. Потом уже, таким образом имеем линию с точками же и их особенностями же. И если соединяем линии же с точками, то просто каждую особенность отдельной линии берём же. И берём естественнно общно же. А теперь надо бы модуль понять. И да, что - непротиворечивое. Как не противоречивое. Когда не противоречивое же для начальных же сумм.

Ну и вот пик. Там типо в начале типо красные точки в одном месте находяца.
Аноним 20/03/23 Пнд 16:12:48 668872 102
https://www.youtube.com/watch?v=HMV2jg3J_oY

Для противоречивой функции с линиями: смена парадигмы же. Ну т.е, если всё енто большая функция, то тута мы их меняем и всё действует по тем же правилам же.

Относительно.... Вот всего этого. Какая функция? Где изменение? Где последовательность? Какая она? Сколько? И чего и кого. Для начала: контрольная точка(последовательности и изменения) задаёца отдельно же. Ну ортогонально т.е друг от друга же. Большии точки включают меньшии. У больших точек "что" противоречиво, но тока есть разница. Если енто "что" есть та маленькая которая включаеца, то оно не противоречиво же. К ней может добавица как раз реальное "что", и вот оно должно быть непротиворечивым. Если оно протеворичво, то вытаскиваеца за "скобки" же. "Как" должно быть непротиворечивым. Даже в больщих точках, ведь если оно противоречиво, то его можно вынести за скобки же. В ентом суть. Но может ли "как" включаца в большую? Может же. В самой малой же, оттого и то-то - ноу противоречивых. "Когда" тоже должно быть непротиворечивым. Если противоречиво, то выносица за скобки же. Может ли "когда" включаца в большую? Может. В малой, оттого тоже самое что и с "как".

Теперь вопрос уже о f(линий) же. Так-то, енту функцию можно записать так, как я описывал выше в ентом посте, но если лень, то просто накладываем линию на линию, считаем каждую контрольную точку у линий же и вот тебе "парадигма", "большая". Ну, в том случае, если сама функция f(линий) не противоречива же. Плюс не забываем о том, что точки могут смещаца же. Но тока чтобы сместить точки нада специально внутрь влазить, если же не влазить, а f(линий) по определению "такая", в которой мы не влазим, то всё робитать должно же. Ну можно и самому задумаца же и проверить.

Если противоречива у нас f(линий), то нам надо понимать изменение или последовательность изменений парадигмы же. Тута я предпочту облегчить процесс же. Верное, как тогда мы задавали парадигму, так и тут будем делать же. Отличие будет тока в том, что для вычисления, надо будет вычислять парадигмы же. Воооооот.

Теперь к вопросу о n мерных функциях же. Верное, просто добавляем возможность добавления других переменных, вопрос закрыт.

Теперь же к подсчёту n мерных. Нет, можно было бы сделать на n мерное пространство всё енто, но мне лень. Точнее, пока что хочу по иному попробовать. Во первых - параметризация же. Все переменные заменяюца на свои функции переменных от одной переменной же. Ииииииии, ээээ? Ну так-то, функции тута у нас хоть одинаковы всегда будут же. Их особенности тоже. Вот тока как их применять то на вот енто всё? Надо обдумать, но пока такие предположения: если понятно чого за функции, то проста вон там вот енто. Ну и плюс применяем наслаиванием линий же. Ну даааааааааа, а ещё одно можно тем сделать, а то тем же.
Аноним 20/03/23 Пнд 16:31:40 668877 103
https://www.youtube.com/watch?v=5kst5Re9oZs

Ну, если брать непротиворечивые n мерные функции, то там всё легко же. У нас же те переменные - определеные функции. Просто надо знать точки же. Ибо они наслаиваюца же. Ну a+b+c/d^e же к примеру. Вроде да, но вот a=линия с точками, то линия с точками и так далее же. Вот и мы наслаиваем линии и считаем же. Но точно ли они линии с точками? А как иначе? Енто же буквально какбы ну, та штука. Ну да. Ну и с парадигмами легко же, ну, тоже самое в общем.

Теперь надо думать над противоречивами же.
Аноним 20/03/23 Пнд 17:45:58 668888 104
Ну и что? Нууууу, эээээ, всё хорошо? Удивительно же. Если что, я, то вспомни состояния же и сделай пару диаграм, если вдруг будут вопросы по. Ну ентим штукам, которые, ну. Ну да, вот, про f(линий). Насчёт контрольных точек то их надо считать же как-то. Вот! Точно! Можешь н епугаца же. А чего тока? Верное. f(линий) в самой контрольной точке же, ведь их можно записать вынесом через скобки же. Хотя если углубица...То чего же? Ну, на самом деле тогда можно сказать, что парадигма же оттуда наинаеца и вот всякое такое же. Да, мы дело имеем с парадигмами, надо просто потом считать же.

https://www.youtube.com/watch?v=5kst5Re9oZs
Аноним 20/03/23 Пнд 17:59:07 668891 105
https://www.youtube.com/watch?v=_vmjbCNI6bU

Чего-то уверенности нет, оттого и плохо и всякое такое. А страшнее всего естественно материализовывать же. Как же грустно же, аххххххххххххххххххххххххх.
Аноним 22/03/23 Срд 12:06:22 669308 106
Так.

У нас есть сущность. У нас есть её вариации. У вариаций есть координаты, к каждой вариации своя координата. У координат, каждой, есть вариации же.

Дальше мы можем работать либо с теми, у кого координаты координат одинаковы, либо же нет. В чём отличия? Ну, вот я и спрашиваю же, собственно, в чём? Ибо конечно да есть, но так-то нет, особенно если учесть, что мы их можем записывать по разному же, агаааааа.

Дальше: сравниваем сущность, вариации сущности, координаты и вариации координат. Кстати, для вариаций координат могут быть координаты же, енто не запрещенно, так сказать.

Ну и потом какбе суммируем.

Важно понимать изначально функцию и уде сравнение

н(переменные, нп)=нп
н(нпешки, переменные)=нп
Аноним 22/03/23 Срд 14:13:29 669320 107
image.png 33Кб, 1011x791
1011x791
image.png 88Кб, 2101x1333
2101x1333
Вот. Так яснее.

Сущность -> её вариации.

Координаты вариации -> её вариации.

Координаты вариации -> её координаты.

И везде все переменные там то, что надо. И кожфеиценты тоже.

Ну и дельты их больше там должны быть, для определения же.

И как сравнить тогда?

Легко же. Константы и потом особенность же. Главное, чтобы константы были нужными же. Подчёркивали особенность же.

При том, бесконечные координаты координат, если не определенны от нормы, при сравнении всегда дают 0 же. Удобно.

И как дельы делать? Ну, не т очтобы сложно же, нужно тчобы хотья на какуе-то и тчобы всегда сохранялась же.

А теперь изменение надо. И последовательную смену.
Аноним 22/03/23 Срд 16:09:21 669337 108
Я решил более удобное для меня сделать в общем.

Сущность и её степень.

Вариации сущности всё так же есть.

У степени тоже есть вариации.

И да, теперь у каждой вариации степень своя.

Ну и для степени степени нет, вроде как. Ну короче всё аккорлинг ту техническим функциям.
Аноним 22/03/23 Срд 20:45:08 669405 109
Ну вообще, мы вообще в другое уходим.

Ентити;степени...

Всё. Ну вот реально, всё. Одна степень контроллит тока один коэфицент. Степень тоже ентити. Ну и да, внутреняя степень не может контроллить внешнюю же.

Ну и их сравнения. Ага. Тока надо ли енто? Без понятия.
Аноним 03/04/23 Пнд 16:37:54 672251 110
Пришло время разумов. И не тока.

Делая самый пошлый не прагматичный разум(тот что не оптимизирует время нахождения чего-то):

Утверждения проверяюца либо по итоговой сумме либо по объектам и не итоговым сумм.

Говоря о проверки, мы говорим о трёх критериях: экстраполяции, сравнения ожидаемого с реальным, применимости к чему-то.

Проверяя что-то, мы проверяем либо что-то по "численному" чему-то либо по соотношению категорий/малых_категорий к нужным категориям/малым_категориям
чего-то же. Дальше лень думать.

И да, моя работа делица на разумы и на решение f(x)=0 же.
Аноним 05/04/23 Срд 16:55:17 672837 111
И да, возвращаясь, сравнение функций - всё хорошо, но не для дискретных. Дискретные переводим в не дискретные и получаем кусочные. Сравнение кусочных - сравнение устройства. И да, устройства именно технических функций же. И да, там будет тогда сущность и сущность пределов же. Сущность пределов про коэфиценты.

Отпустило, ух. А теперь можно опять сосредоточица на разумах. Ну, потом конечено. Я вообще болею.
Аноним 05/04/23 Срд 17:00:48 672839 112
>>672837
Ну а почему не кусосные сравниваюца - ибо суммы уникальны. Уникальный столбец и строка.
Аноним 23/04/23 Вск 21:48:47 676886 113
image.png 31Кб, 1059x618
1059x618
Возрващение!
Аноним 25/04/23 Втр 22:30:23 677302 114
Аноним 26/04/23 Срд 21:41:33 677393 115
>>677302
Чо тебе во мне не нраица? И почему я он? Я шиз? Шизославян?
Аноним 27/04/23 Чтв 09:51:36 677447 116
Аноним 29/04/23 Суб 21:58:49 677987 117
Существовать - существовать.
Познавать - переходить в состояния утверждений, оставаться там или обратно в существование.
Утверждение - существование чего-то.
Состояние - определяет существование без существования.
Знание - состояние утверждения.
Услуга - действия из разряда услуг на знаниях или существованиях(не определился).
Аноним 30/04/23 Вск 00:05:09 678017 118
5090.jpg 207Кб, 1200x1200
1200x1200
Эххххххххххххххххххххх.
Аноним 12/05/23 Птн 08:09:07 680201 119
Beethoven.jpg 980Кб, 1200x1443
1200x1443
И вам приветы.
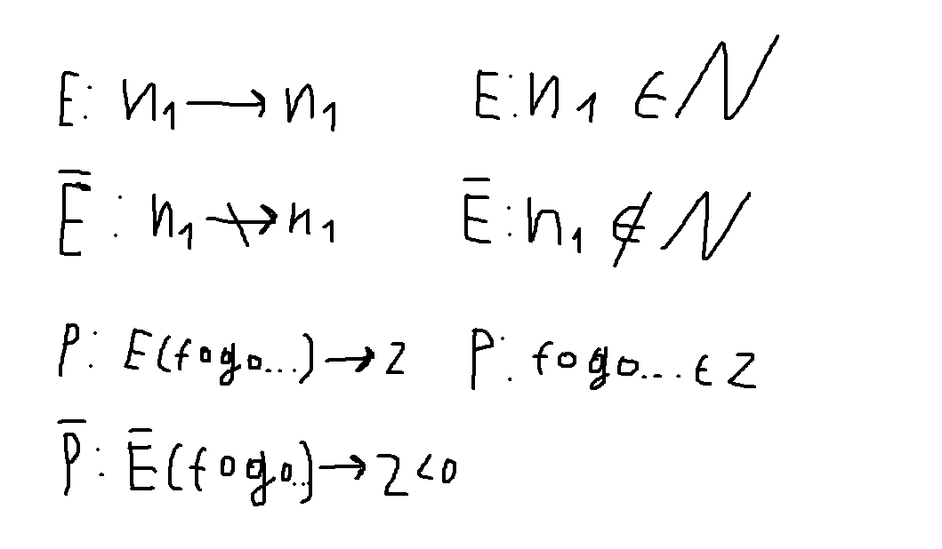
Аноним 13/07/23 Чтв 17:34:22 695482 120
115976430gettyi[...].jpg 41Кб, 640x360
640x360
Какая не совсем дикая, но тревожная, даже близкая к панике обсессия. Ну что же, приветсвтую тебя, мой дневник, я пришёл вновь.

Кхм, что такое соединение открытых цепей? ОНОА НЕ РАЮБОТАЕ ОМЖЕТ НАЕР БАОАТАЬЬ АААЬАВЖПОВЭПОЫ\ВОПАОВЖАДП ТЧСО ДЛЕЛАТЬ НУ ЧТО ЖЕ НУ ПОЧЕМУ ТАК СТРАШНО ТАК СТРАШНО РДАЛОФЫРДЛАОРФДЛ
Аноним 13/07/23 Чтв 18:46:22 695502 121
Ehhhh.jfif 5Кб, 225x225
225x225
https://www.youtube.com/watch?v=pAI4-9yc6kA&t=1824s&ab_channel=musicanth

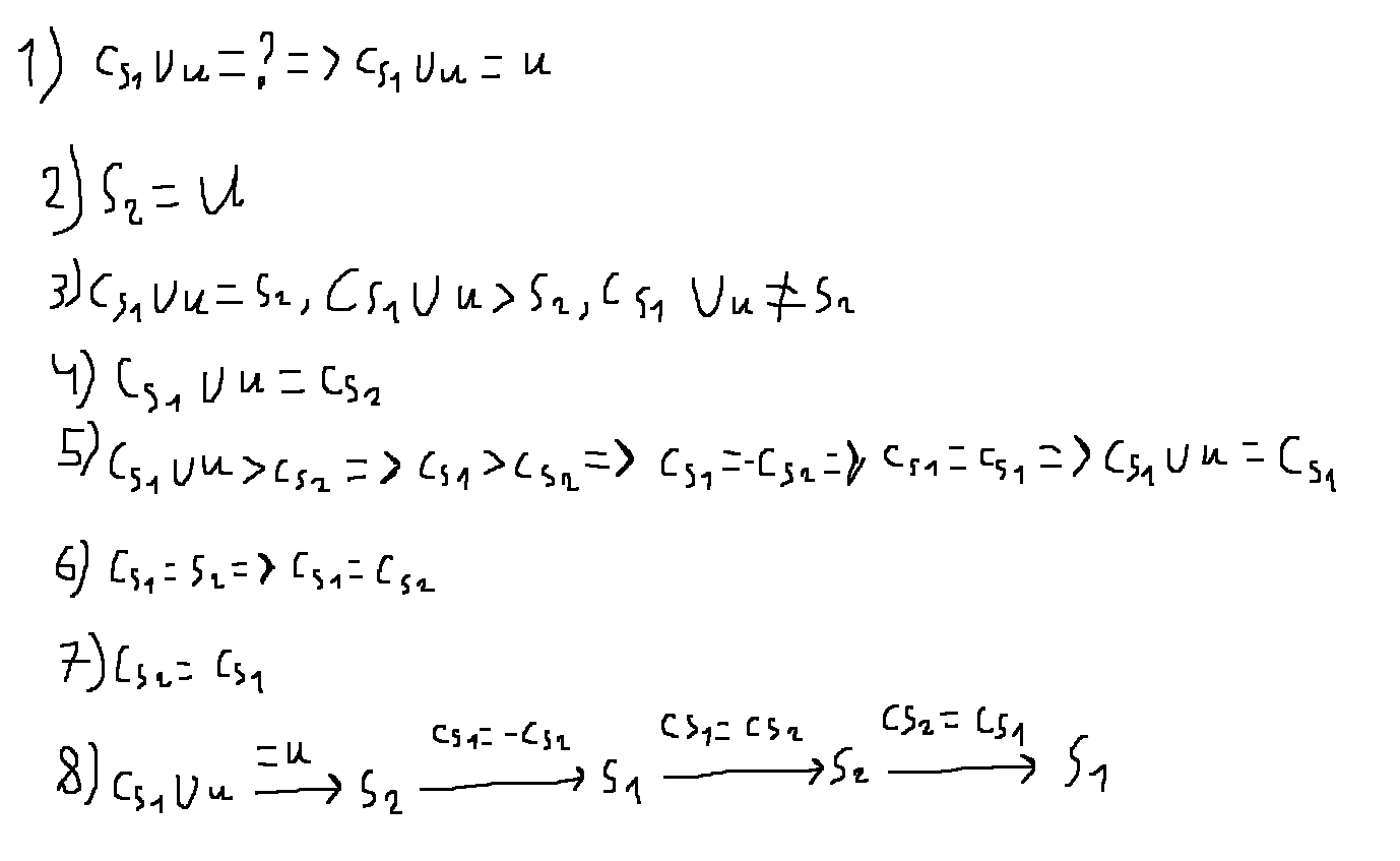
Что ты такое, цепь? Для начала какая. Топологическая, имеется ввиду, что у нас есть предел последовательности? Если мы считаем количества метрики, то оно не совсем имеет смысла. Если мы конечно не представим себе такую цепь. А такую цепь, чтобы она имела смысл, можно представить именно как непрерывную. В таком случае количество элементов эквивалентно количеству метрики, если даже не равно.

Хорошо, цепь у нас можно сказать считается по элементам. Что такое 2.5 элемент по порядку? А это у нас 25/10 для нашего удобсвта. И ведь правда, это вполне себе даже удобно.

Тогда возьмём такую топологическую(непрерывную) цепь и рассмотрим соединение двух её элементов. Ну, оно у нас будет обычным, если не считать то, что элементы в данном случае никак не уменьшаются. А если оно у нас обычное, то что такое, допустим, цепь с размером 1? Это всякие бесконечные(непрерывные) соединения тех одних элементов. Главное тут, что оно бесконечно. Но что тогда такое конец? Конец - то, у чего нет дальше соединений. Впринципе записат ьможно как V(t)vt же. И правда, логичная запись.

Тогда открытая цепь - V(t), закрытая - V(t)vt.

Что такое соединение двух закрытых цепей? Это в любом случае соединение двух таких точек, у которых нет дальше(или наоборот дальше) соединений. А соединение открытых цепей? V(v)vV(v) же. Только вот есть оно но. Точки. Просто во втором варианте какая-то <2v<2=<(4/{2}), у нас не будет точки 2, ну а раз её нет, то там разрыв у нас, а значит это не соединение. Но только вот как мы тогда смогли сделать закрытую цепь, если она у нас это V(t)vt? Т.е всё же тогда там будет <4? Ну вообще я бы сказал это проблема координат. Если у нас вторая цепь начинается с чего-то, т.е есть tvV(t), то это не проблема, ибо эта {2} и будет той самой второй t. Т.е t(координата 0)vV(t)vt(координата 2)vV(t), что равна как раз тому, чему надо, а именно t^<4 же.

Но разве это правильно? Без понятия. Но вроде сходится.

Хорошо, тогда возьмём t^<4(-v)t^<2, рассмотрим серединку. Постоянное соединение без некой точки. Какой точки? Ну вообще лучше бы тогда по другому записать t^2(-v)t^<2vt^<2. Тогда что такое t^2(-v)t^<2? Закрытая цепь без открытой цепи. Похоже на кое что, да(хех)? Кхм, ну ето у нас по сути V(t)(-v)V(t)vt, а это в свою очередь есть просто t. Т.е тогда tvt^<2






Так, я отшёл и подумал. Впринципе всё логично(и просто) и самое главное, что вписывается же.

Если кратко:

бесконечная цепь есть. Сравнивать бесконечные цепи тоже можно, и можно из-за того, что цепь задаётся параметром, а задать параметром две функции x и 2x вполне можно. Бесконечная цепь - открытая цепь. Бесконечная цепь с соединением на конце между цепью или закрытой епью - закрытая цепь. Соединение противоидучих открытых цепей - закрытая цепь и вот всё остальное над чем лень строго думать.

Главное, что это всё можно сделать из не бесконечных цепей, теперь я спокоен. И ещё всё так логично и хорошо.

Даже соединение тех же противоидущих цепей же. Если открытая цепь - не открытая цепь с соединением на конце закрытой цепи, то любые соединение открытых цепей идущих в одну сторону что начинают с точки - открытая цепь идущая в ту же сторону. Тогда соединение двух противоидущих цепей это что? Это соединени идущей и нет цепи, ну а потом их слепление можно сказать даже. С другой стороны конечны некой общей точки у них нет, ето понятно думаю. Но это не значит, что её впринципе нет. Т.е ясно, что <2v<2 не содержит 2, но 2 тут может быть и быть вполне себе именно что названием элемента. Это так, к слову.
Аноним 13/07/23 Чтв 19:16:50 695507 122
Так, над чем ещё подумать? Наверное надо не думать, надо читать какбы, но так-то чего я не видел то? Так что надо бы понять как в топологию переводить и думать просто.
Аноним 13/07/23 Чтв 19:32:48 695512 123
Собственно проблема перевода в топологию является...Определение открытости и прочего? По сути добавляется открытость-закрытость и направление большеватости(ну добавления бесконечного).

Попробуем вот как сделать: линейное покрытие в топологию етоооооо, ну по сути достаточно няшная штучка, только вот нас интересуют соединяния. Так как у нас степень здесь про количество цепочек 1 степени(не в топологическом смысле), то по сути при переводе в топологию, это бесконечно малая звезда же. Тогда чтобы нарастить упущенное скажем, что линейному покрытию добавляются цепи. Таким образом получаем звезду из которой идут цепи. Думаю дальше понятно что к чему. При етом да, эта вещь может быть шаром, если каждой цепочке задать одинаковый параметр. Но всё же надо понимать, что топологический параметр линейного покрытия вполне может определить какбы площадь же или типо того через стрелочки.

Дальше покрытие. Покрытие впринципе является таким, более менее линейной штукой, только вот не совсем. Другими словами любое тело, а именно в нём стрелочки и точки, идёт из одной точки же. Количество того, что идёт это параметр у покрытия. ТОгда топологическое покрытие это что? Если параметр топологический, то ето шиза. Какбы можно таким польззоваться, но выглядит намудрённо. Если параметр топологический, тогда мы говорим просто о всякой площаде, при том не только через стрелочки, но и другие стрелочки-точки же. Если взять покрытие цепи и сказать, что параметр топологический, мы получим впринципе не такую уж и шизу, а именно бесконечную цепь. Хм, тогда можно сказать, что покрытие топологической цепи даёт нам топологический параметр покрытия етой цепи. Логично впринципе. Тогда в этом ничего трудного нет.

Теперь же возьмём гомоморфизмы. Гомоморфизмы топологических тел это что? Ну по сути ничего не менятся, но.... Возьмём допустим Г^(2)(t^<4). Это что? Гомоморфизм цепи по цепи до... до параметра 2? А, верно... Топологический параметр. ТОгда всё достаточно просто, элементарно даже. В общем ничего переводить не надо даже, только если просто алгебру делать надо. При этом алгебру по определению открытости-закрытости и направлению же.

Окей, впринципе дальше можно вот что делать: сжечь книгу и изобрести(удобный) велосипед или всё же почитать книжек на что-то дальше. Книжки конечно лень читать, но раз я в застое(хотя раз могу сделать велосипед, то уже нет), то стоило бы хотя-бы дойти до какого-то более менее СеРъЁзНоГо уровня.
Аноним 13/07/23 Чтв 19:38:08 695514 124
Хотя другой вопрос в телах же. Ну скажем это как вычислительные методы для уже открытых аналитических, хоть и прицел делается на то, чтобы считать, что у нас аналитического нема.
Аноним 13/07/23 Чтв 19:40:49 695515 125
>>695514
И это конечно всё круто, но думаю надо было бы сделать вначале методы для аналитических? Только что там делать-то. ДРугой вопрос в том, чтобы вычислительные стали уже аналитическими, тогда няшно.
Аноним 13/07/23 Чтв 19:42:46 695516 126
>>695515
Ну кстати очень даже хорошая идея, так если аналитическими практически всё есть, то может взять вычислительных и сделать их эквивалтными аналитическим чтобы что-то полезное выводить?
Аноним 13/07/23 Чтв 21:20:38 695537 127
Так, конечно подумал я над компактностью(через мои штуки), и вроде бы няшно всё, только какое применение? Я имею ввиду возьмём (y<->y)->(yy<->yy), за y возьмём числа, при том даже целые. И что собственно? Только если доказывать через именно что познание, ну аля сделать y->y и y<-y, потом взять бесконечное и бесконечное назад. Не, конечно цепь из (y<-y) тут правда бесконечная, но сама цепь здесь не взялась просто так. В таком случае все эти те же покрытия(в нормальном(вашем) смысле) скорее не играют какого-то смысла. Конечно мы можем ставить себе их как задачу, но думаю, хотя... Хотя не, это же вс1 свойства. Другой вопрос в том, насколько эти свойства выводимы из самого некого пути к этим свойствам. Если выводимы, то эти свойства какие-то странные, если нет, то какбы вот.
Аноним 14/07/23 Птн 00:40:03 695601 128
О, всё это можно определить в гомоморфизмы же. Точно. Ну вот.

А ещё да, две отрктых противоидущих цепи, что соединены. Если от неё разъединить одну цепь открытую, то получим мы открытую цепь же.
Аноним 14/07/23 Птн 08:17:32 695631 129
Нуууу, я решил зайти по дальше всё же.

Вообще, все тела тогда можно разделить на те, что с дырками, границой, ветвями, состав тела, покрытия, другие признаки. Ну и какбы темки: дырки, граница, ветви, состав тела. Также другие темы, а ещё и покрытия. Дальше какбы конусы(ну т.е покрытия), классы тел. Ну и дальше гомоморфизмы же тел. А именно гомоморфизмы как класс тела, т.е из тела в тело одного классы, из тела в тело другого класса, из класса в свой же класс, из класса в другой класс, ну и сами гомоморфизмы гомоморфизмов и прочее, если надо. Дальше идёт, ээээ. Что-то забываю. Ща. Да, гомоморфизм ну и классы по другим признакам же, ну а ещё просто гомоморфизмы же. Плюс здесь можно определить разрывы, хотя думаю енто всё относица к тому, что сказал.

Дальше вполне контексы, бла-бла, короче класс контекстов и во твсё это.
Аноним 14/07/23 Птн 08:50:01 695636 130
Грустно что-то. Грустно однако, ничего нету, думаю.

Вопрос только в том, а в misary ли сила? Ну или не сила, а какбы адаптивность-ещё_чото.
Аноним 14/07/23 Птн 09:01:18 695638 131
her shadow.jpg 204Кб, 1920x1200
1920x1200
Аноним 14/07/23 Птн 09:08:58 695639 132
>>695638
Жесть. Всё и так ясно, по состояниям. Просто личность-момент.
Аноним 14/07/23 Птн 09:11:23 695641 133
>>695638
А ты только сейчас обнаружил мой дневник что-ли?))))
Аноним 14/07/23 Птн 09:17:04 695642 134
>>695638
А, ето не ты, я понял.
Аноним 14/07/23 Птн 22:28:14 695798 135
На самом деле у меня всё понятнее. Та же фундаментальная группа - гомоморфизм классов, по сути. И что ещё? Не помню. А может и помню.
Аноним 15/07/23 Суб 02:45:10 695851 136
Так, я отшёл подумкать же. И скажу вот как - всё работает же, группу тоже можно сделать. Ну и суть такой вот гомотопической тела гомоморфизмов(или как ето навать) - проверить тело чем-то на что-то, в общем. При том на что-то тут двояко проверяется, т.е оно зависимо от чего, если имплаить, что чем проверять в теле у нас должно быть.
Аноним 15/07/23 Суб 05:40:43 695860 137
Для примера возьми куб из других кубов. Говоря о том, что ты проверяешь такой куб другим кубом из других кубов, а может и каким-то другими фигурами из которых сделан куб(отрезок, куб в котором нет кубов), ты по сути берёшь некий такой вот куб и просто изменяешь его. И если тебе получилось его изменить сохранив при етом некие признаки куба, то всё хорошо, если не получилось, ну допсутим где-то ты "встретил" треуольник, то какбы вот, да. Во всяком случае ты можешь тогда сказать, что все те кубы до этого треугольника чем-то схожи и отличны от всех тех кубов что после треугольника. По сути это короче гомотопическая группа.

Так, ну, гомологии конечно омжно определить для моих тел, хоть надо понимать кое что. У меня нет как такового понятия "мерности" у "пространства" же. Так что с симплексами конечно немного странно, но если уж определить ето всё, при том няшно, то всё будет хорошо. В любом случае можно всё это по разному более чем делоть, ну и самое глагное - прописать алгебру(т.е вычисление). И да, ето не скока для границ-дырок, а впринципе любых признаков.
Аноним 15/07/23 Суб 07:42:20 695870 138
Так, гомологию через симпликсы определил. Только вот сами симплексы тогда нечто немного странное и какое-то, какбы, ну странное же. Вообще сами симплексы, если их правильно воспринять, уже имеют границу же, при том по определению. Так что в моём случае это декардово соединение кольца с самим собой. И да, кольца симпликсов тоже. Ну и надо понимать, что не только соединение, там вообще много что сделать омжно. Но меня больше интересует сделать не сколько изоморфичную, но эквивалентную. ЧТобы можно было не тока дырки находить, но и как-бы другие всякие нужности. И да, в моём случае можно убрать кстати циркулярность границы же, там ведь и так по определению ясно же. Хотя если всё же делать симпликсы иным способом, то мда.
Аноним 15/07/23 Суб 07:46:05 695873 139
Кстати да, циркулярность н есложно задать - гомоморфизм же. Они же направления то ещё имеют.
Аноним 15/07/23 Суб 12:39:39 695948 140
Так, ну по поводу симплексов я думаю начинаю понимать. Если мы будем задавать всё так, чтобы не было колец, то окажется, что всё можно разделить на стрелочные и на точечные. Точечные омжно разделить в свою очередь на последоватльные и нет. Те, что не последовательны можно рахделить на, скажем, не связанные и связанные. Те, что не связанны - это просто проекция тела на то тело. Логичное тута - вынести из етой мерности в другую, ну т.е расположение двух таких тел у нас это уже сразу n+1 от тела в котором обнаружилось такое. По сути это просто обычные последовательные симплексы, что хорошо. Но у нас же есть связанные непоследовательные же. И это интереснее, но скажем, что это просто кротовые норы. Но дальше надо бы думать тогда над уже именно что совмещением того и того же. Вот. Что и буду делать, думаю.

Таким образом впринципе симплексы не кажутся чем-то таким, что что-то они могут упустить же. Особенно если доделать связанные не последовательные.
Аноним 15/07/23 Суб 20:44:33 696063 141
Скачет покачет и грустную молью покачет поскачет АААААА

Грустно что-то. А грустно чего-то? Но что-то но что-то когда-то тогда и бует когда-то то что-то тогда.

ОДнако
Однажды
Сидели
Смотрели

Наблюдали


О, лучше стало.
Аноним 27/07/23 Чтв 20:24:50 698716 142
Кхм, аксиомы:

Гомотопии. Зачем они нужны нам? Даже эквивалетные? А они являются слипанием пространства же, при том удобным, плюс на ентом можно делать удообную мини-симуляцию геометричсекую же, сохраняя вещи же. Но нам важна гомотопическая алгебра. Нам нужны пораждающии, всё так, будем думать.
Аноним 27/07/23 Чтв 20:26:56 698718 143
Гомотопическая алгебра из пораждающих с условиями. Думаю тут надо будет задать малые гомотопии скажем так, а дальше через гомоморфизм их некой цепочки же можно задать сами вещи, н овсё через гомоморфизмы... Зато удобно же, особенно если енто группы, думаю тут легко можно гомоморфизмы задать же, да. Точно.
Аноним 27/07/23 Чтв 20:27:35 698719 144
avbvcv... как гомоморфизм групп же, при том гомоморфизм похожий на класс цепей последоватльный же и при том именно что 2 контекста.
Аноним 27/07/23 Чтв 20:28:41 698720 145
>>698719
Где етот класс цепей слепляется в тело. ВОт оно - поле гомотопий же получаеца.
Аноним 28/07/23 Птн 18:22:40 698971 146
6d09ca9ab312eb0[...].jpg 25Кб, 400x337
400x337
Аноним 28/07/23 Птн 18:43:42 698980 147
>>698971
Не за твоей.

мимо полутруп
Аноним 28/07/23 Птн 19:30:30 699001 148
>>698980
Конечно не за моей, а за математики.
Аноним 04/08/23 Птн 21:30:28 701486 149
Beethoven.jpg 980Кб, 1200x1443
1200x1443
Мне нужна мозгодавка, т.е каких ещё называет кое-кто, пиздюли. И это плохо.
Аноним 04/08/23 Птн 21:39:36 701489 150
Ehhhh.jfif 5Кб, 225x225
225x225
Но так хорошо что их нету. И нету сейчас(аналог ввиде обсессий есть всё же). Надо бы думать как делать против воли вещи, а то ленииииивый я.
Аноним 05/08/23 Суб 04:59:48 701667 151
5090.jpg 207Кб, 1200x1200
1200x1200
Ну что это такое, опять настроение в ноль. Надо тогда лучше стараться. Благо явление "математизирующее" может прибавить мне хорошего настроения, но всё же грустно, грустно от такой посредственности. Ничего необычного. Что же делать мне. А мне надо думать, хотя сама концепция может наплодить страшного, это греет меня. А так грусть и хандра от плохости моей шизы.
Аноним 05/08/23 Суб 05:04:46 701668 152
6d09ca9ab312eb0[...].jpg 25Кб, 400x337
400x337
Хотя есть и хорошии стороны. Такая посредственность не обладает рваностью, т.е точно будет работать, всё гладко и продуманно. Может от продуманности и не шиза? Или от такой определенности?
Аноним 15/08/23 Втр 00:14:56 704009 153
Блять
Аноним 19/08/23 Суб 18:43:56 705105 154
Berdefa1.png 89Кб, 343x440
343x440
Неужели это и есть смерть? Зачем это всё нужно? И нужно именно ведь то, что думалось в последнее время тут. Но зачем впринципе мне нужна математика? А нужна не она, нужны экстремальные задачи, только в них и толк, если судить по той ситуации, где мы. При том что удобно, если брать абстракции абстракций и прочее, то действительно всё укладывается в экстремумы. Но эти экстремумы нужны зачем? Как инструмент, очевидно. А смысл то просто: чтобы былось, где смысл форматируется. Но раз экстремумы, максимумы, миимумы...То да, только и они, при том создание самих экстремумов для экстремумов или экстремумов экстремумов или создания экстремумов создания эсктруемумов это наши братья, практически. Это те, кто живут как мы, поэтому стоит хотя-бы обратить на них внимание? Может и обнять, хотя обнимашки тут значит иное, но всё же?

Так что нужны экстремумы а также деформация эстремумов до не экстремумов, этакий предел, граница, при стремление к которой, жкстремум словно исчезает.

Но всё же зачем? А затем, чтобы думать. ДРугое начнёца, когда можно будет думать, но разве не так ли чешутся руки уже начать? Более чем, но нам нужны методы и при том такие, которые бы корректировались и были бы всевозможными.
Аноним 19/08/23 Суб 18:47:56 705107 155
d72e6b519a5ea7f[...].png 166Кб, 424x600
424x600
>Абстрактные^большое экстремумы экстремумов

Как мне тебя понимать? Ответишь ли ты или я сам докопаюсь? Вначале поставим то, что мы будем использовать, потом же очевидно некие первичные вычисления(не аналитические) а потом и аналитические. При том надо учитывать экстремальность и самого нахождение этого всего, но разве мы не можем этим самим сделать экстремальную задачу этого самого? Только если оно будет содержать расширение изначально или будет просто по аналогии другой базой того же пространства.
Аноним 19/08/23 Суб 18:51:05 705109 156
sample-62a5986e[...].jpg 169Кб, 850x850
850x850
>Тебе то что нужно?

Я полагаю мне нужно самое простое: уверенность и правильность, этакая моральная сторона этого всего.

I mean некая lim(формализация(формализации))->самой формализации, но только как это формализация может быть разной, если мы подразумеваем её одну? Точнее, формализация должна содержать возможность к экстремуму. А дальше забылось.
Аноним 19/08/23 Суб 18:53:41 705111 157
d72e6b519a5ea7f[...].png 166Кб, 424x600
424x600
>ну так если я содержу экстремум по самой себе, то не значит ли, что я пораждена?
Значит. А это значит, что можно сделать формализацию что содержит формализации, этакие вариации. Значит формализация не только должна иметь экстремуемость, но и другие формализации.
Аноним 19/08/23 Суб 18:55:42 705113 158
sample-62a5986e[...].jpg 169Кб, 850x850
850x850
>как ты меня найдёшь? Ауууу, я тут
А тебя... а тебя... А разве ты не сама формализация формализации что содержит экстремуемость?

>Да, я словно женщина с ребенком
Ты женщина в которую кончили. И это важно.

Сколько женщин были оплодотварены?
И как это делать.
Аноним 19/08/23 Суб 18:58:51 705115 159
d72e6b519a5ea7f[...].png 166Кб, 424x600
424x600
Ладно, у нас рекурсия.

>рекурсия?
Рекурсия.

>и что блин?
А то, что надо сделать так, чтобы надобности в рекурсии не было. А надобности не будет, если расширения будут сфееричны.

>Сами расширения или ты про то, что вариация расширения будет циклична?
И то и то или только то второе.

И что же?
Не знаю. Знаю только лишь то, что надо убедится в том, что мы имеем все формализации.

>Точно! Указатели!
Верно, но нам надо задать ещё перечисление у них.

>Отдыхать?
Ну я же успокоился.
Аноним 19/08/23 Суб 19:00:32 705116 160
1619072604172.gif 475Кб, 206x184
206x184
До встречи в общем.
>пока-пока!
Аноним 19/08/23 Суб 20:50:32 705138 161
1484162458407.jpg 13Кб, 234x215
234x215
>>ооооо зач э свит дримс вот э делайтфулл писес оф лайф ох тэд джаст прещос оу лайк а литл бой лайк э литл нью борн man вот э песшон вот э делайтфулл амаунт оф ньювнесс оф лайф оу итс джаст сач фулл оф прешоснесс
Аноним 19/09/23 Втр 01:54:23 712308 162
Сейчас же вот какая темка. a=/=b, aXb=a,aXb=b, a:A,b:B. Тогда axb:AXB и так далее. Но темка в ином. А именно, имея некий контекст ввиде aXb для a(с теми условиями), можно говорить, что если нельзя вычислсить f(a) то можно попробовать взять изоморфную F(b) и дальше первести её функтором обратно же! Вот пока что надумал.

А так условия те это конечно гуд, но может же быть ещё что-то? Конечно же. aXbXc=aXc,bXc, при ентом какбы a,b не равны между собой, да. А вот уже ac и bc не знаю. Если c есть в А и в Б, тоооооооооо, ну тогда не равны? Пока что. Если же c что-то иное, к примеру ровно тоже самое что и aXb, то получаеца, что ac=a, abc=a, значит ac=abc? Конечно же нет, ac=/=abc, хотя ac=a. А, ну да, логично же, что ac=/=ab из-за того, что енто разные сущности хотя-бы, точно. Но они могут быть изоморфны, да.

>a=/=b, aXb=a,aXb=b, a:A,b:B. Тогда axb:AXB и так далее. Но темка в ином. А именно, имея некий контекст ввиде aXb для a(с теми условиями), можно говорить, что если нельзя вычислсить f(a)
Для примера: f(с)=с+1, f({1,2,3,...})=?Ю где 1,2,3,... не y=x, хотя x=xX{1,2,3}, где xX{1,2,3,...}={1,2,3,...}. Тогда f(c)->F(C)=x+1, тогда F(x)=x+1, тогда функтором обратно(функтор надо найти) x+1={1+1,2+1,3+1,...}
Аноним 09/10/23 Пнд 00:08:58 715205 163
Да, конечно, от математике к магии. А что, интересное хобби плюс может и поможет.

/////////////////

Магический ритуал на то, чтобы у меня математика получилась, свершение назначено на завтра.

Сколько раз точка: 4
Сколько раз отрезок/луч/линия: 3
Сколько раз треугольник: 3
Сколько раз квадрат: 3 4 3
Сколько раз круг: 4

Магический ритуал на то, чтобы у ДенжиНяшки удачно выпала крутка в геншин импакте, назначено на сегодня.

Сколько раз точка: 3
Сколько раз отрезок/луч/линия: 3
Сколько раз треугольник: 3 3 6
Сколько раз квадрат: 3
Сколько раз круг: 3

Магический ритуал на то, чтобы у РикиНяшки прошло плохое настроение, назначено на завтра.

Сколько раз точка: 4 6
Сколько раз отрезок/луч/линия: 4
Сколько раз треугольник: 3 3 4
Сколько раз квадрат: 4 4
Сколько раз круг: 3 4
Аноним 09/10/23 Пнд 00:21:33 715209 164
>>715205
Ах да.

1) квадрат

2) треугольник

3) треугольник
Аноним 09/10/23 Пнд 00:41:14 715213 165
Магический ритуал на то, чтобы у ДенжиНяшки удачно выпала крутка в геншин импакте, назначено на сегодня.

Сколько раз точка: 3 4 5 4 3 3 3
Сколько раз отрезок/луч/линия: 3 2 3 5 3
Сколько раз треугольник: 3 3 3 3 3 4 3 3 4 4 4
Сколько раз квадрат: 3 3 3 3 3 4 4 4 5
Сколько раз круг: 3 3 3 3 3 3

Теперь карта поменялась на, а стоп, сохраняет треугольник
Аноним 09/10/23 Пнд 03:02:00 715222 166
Магический ритуал на то, чтобы узнать какая у меня будет шиза, назначено на сегодня.

Сколько раз точка: 4 3 3 4 5 4
Сколько раз отрезок/луч/линия: 3 3 3
Сколько раз треугольник: 3 3 3 3 3
Сколько раз квадрат: 4 4 4 3
Сколько раз круг: 3 3 3

В этоге точка, т.е никуда не сдвинется.
Аноним 09/10/23 Пнд 21:51:15 715315 167
>>715205
>>715209
>денжиняшк
Удалил игру.

>>715205
>>715209
>риканяша
Всё хорошо всё прошло в точно описал

>>715222
В итоге была шиза что была 3 года назад.
//////////////////////////////////////////////



Магический ритуал на то, узнать что ждёт ИсмаНяшу завтра.

Сколько раз точка: 3 3 4
Сколько раз отрезок/луч/линия: 4 3 4 3
Сколько раз треугольник: 3 3 3 5 4 3 3 4
Сколько раз квадрат: 4 4
Сколько раз круг: 3 3 3

Превалирует треугольник, значит будет что-то смешанное/новое.
Аноним 10/10/23 Втр 01:25:33 715338 168
Магический ритуал на то, узнать что ждёт РикуНяшу в выходные.

Сколько раз точка: 3 3 3
Сколько раз отрезок/луч/линия: 3 4
Сколько раз треугольник: 3 3 3
Сколько раз квадрат: 3 4 3 3 3 3
Сколько раз круг: 3 3

Превалирует квадрат, значит будет что-то фундаментальное, простое, можно сказать привычное даже? Т.е что-то что составное и при этом простое, либо можно сказать будут простые активности, фундаментальные.
Аноним 06/11/23 Пнд 19:23:58 718579 169
Так:
Соната СаяНяше.
Соната РикошеНяше(?)
Соната общая.
Соната этому.
Аноним 06/11/23 Пнд 19:31:34 718580 170
>>718579
>Соната СаяНяше.
Под вопросом конечно же.
Аноним 09/11/23 Чтв 23:50:22 718883 171
О нет, а может и наоборот? О да? В любом случае для читающего важно будет только то, что потом. А потом лишь потому, что будет он дальше, а не сейчас.
Аноним 10/11/23 Птн 16:31:31 718954 172
склт.png 85Кб, 3814x1698
3814x1698
Ну а вообще мне доступно несколько путей, так-то.
Аноним 18/11/23 Суб 15:52:33 719702 173
Ну начнём делать заметки, думаеца мне.

Инструменты определения:
1) Вложение. Характерезуеца тем, что отвечает на вопрос о том, а что в чём-то есть чем-то в том-то.
2) Исключение. Характеризуеца тем, что надо определить то, что исключать внутри чего-то.
3) Отрицание. Характеризуеца тем, что надо определить то, что отрицают.
4) Передвижение. Характеризуеца тем, что буквально вкладывает нечто в другое нечто. Ну а ещё для передвежения надо определить то, что передвигается.

Таким образом надо бы написать мыслей по данному вопросу:

Как работает, или точнее в каких местах есть объяснению тому, как работает вложение. Вложение по сути....Стоп


А так я надумал вот что. Есть граница и есть синтез(становление). ГРаница есть то, что определяет, синтез есть развитие в новое.

Собственно самая очевидная граница это отрицание, ведь чтобы отрицать что-то, нужно определить то, что отрицается. Но я нашёл и другую границу, я нашел передвижение. Ибо для передвижения нужно определить то, что передвигается. При том передвижение, а именно его результат, может быть самим то, что передвиглось. Т.е передвижение мяча вполне может быть мяч; тогда как отрицание вводит новую сущность, отрицание, передвижение не вводит новую сущность; отрицание работает с двумя объектами, т.е двухмерна, а передвижение с одним объектом. Собственно дальше идёт вопрос о том, а есть ли трех мерные границы? И я пока не могу дать ответ на него, ибо не знаю. Нет, ты конечно можешь выразить трехмерные границы, но выражать ты будешь это через одномерные и двухмерные границы, так что это не чистая трехмерная граница.

Дальше вопрос в синтезе. Впринципе у меня было такое рпедположение, что n-1 граница является синтезом для n границы, но дело в том, что имея только 1 и 2 мерные границы, мы имеем только лишь 1 мерный синтез, ибо 2 мерный синтез основывается на передвижении, а не на отрицании(a переходит в -a, -a переходит в a, при этом -a и a исчезают. А исчезают они и появляются, по условию, потому что едины, т.е являюца и одним и тем же и не одним и тем же, т.е являюца противоречием, но исчезание можно описать передвижением, при том в другую. сущность конечно, н овсё же передвижением и в одну же сущность, в себя, а так сделать омжно лишь потому, что предметы эти как и есть одно и тоже так и не есть, оттого 2 мерный синтез это 1 мерное передвижение), тогда описывая любые границы 1 или 2 мерным способом, мы имеем лишь синтез в двухмерной границе, а значит все границы, что двумерны(т.е составлены из 2 мерности), синтезируют двухмерно, воооот, но так-то граница есть n мерная при том чисто n мерная, т.е n мерная n мерная граница, а не 2 мерная n мерная граница. И это граница это неопределенность. Не противоречие кстати, а именно неопределенность. НЕ то чтобы у нас есть a,b,c и a=b=c ну a=a,b=b,c=c, тогда получаеца что a не b не c, но хотя a=b=c и так далее, а именно что есть просто a,b,c. В таком случае у нас есть граница, но она неопределена ибо она не определенна, т.е это н есовсем граница, это скорее остывшая граница, такая граница, которая уже сделал что-то и уже есть, но по такой границе не всегда можно определить вещи, оттого такая граница и бесконечна и неопределенна, в противовес конечной определенной границе.



А вообще двухмерная граница... Правда ли двухмерная граница двухмерна? Всё же граница в таком случае это морфизм, но дело в том, что сам морфизм это про одно что-то. В таком случае двухмерная граница на самом деле одномерная, ибо является передвижением? Но нет, двухмернафя позиция это именно что отрицание, а отрицание это не переджвижение, ибо передвижение не имеет цели, но она всегда оканчиваеца в себя, в то же время отрицание имеет цель, и это цель - другая сущность, так что двухмерная граница всё же есть.



М, кстати. N мерные границы омжно вполне себе подразумевать как вложение(ну или передвижение) n мерной неопределенности. Хоть тут и присутствует 2 или 1 мерность, но и сохраняется n мерность.





Трехмерный синтез это во первых ситуация, где есть противоречие: либо трехмерное либо двухмерное. После у нас тут идёт добавление нового противоречия, а именно является ли что-то отрицанием этого? Собственно дальше тут два противоречия, что зависимы. Тогда их совместный синтез и есть трехмерный синтез.
Аноним 21/11/23 Втр 07:38:13 719913 174
6d09ca9ab312eb0[...].jpg 25Кб, 400x337
400x337
Конечно диалектика это интересно, но что-то так грустно, тоскливо. Зато есть таблетки для этого. Но обычная доза не помогает вроде, так что двойную бы.

А так обдумал n мерный синтез, там конечно да, суть в самом синтезе, а не в n мерности.

Но так тоскливо, другой вопрос в том, что я обременён борьбой с нею, ибо если тоска это такая вещь, что на меня "наколдовали", то сама моя гордость не даст мне загрустить, ну только если грусть о борьбе, конечно будет.

Хорошо, что есть бетховен.

Тарарара дун тарарара дун nfhfhfhfhf ley nf nf(тарарарара дун тан тан)
-> https://www.youtube.com/watch?v=XgbbDwgzbak&ab_channel=PimJanssens&t=2128s

-> https://www.youtube.com/watch?v=MyK86fEDbCU&ab_channel=FirstPublicChannel&t=1020s
Аноним 22/11/23 Срд 01:01:14 719992 175
Кстати я так-то разобрал что такое n мерный синтез. Это n-1 мерная граница, которая даёт сам синтез. Т.е n мерный синтез это просто сам по себе синтез. И синтез пока что, как я могу выделить, может быть одним только, а именно когда во что-то вкладывают что-то другое. Собсвтенно n-1 граница и должна своей границей вкладывать что-то одно в другое. И делает она это благодаря тому, что на самом деле n мерная граница, ну в данном случае, как условие нужно, есть как и n-1 граница так и n мерная граница.

Для примера есть a,b,c, т.е трехмерная граница. Дальше скажем, что b и c это противоречие, т.е b это c но b это и не c, тогда получаеца есть как трех мерная граница так и двухмерная. Дальше нам нужна двухмерная граница, для примера
Аноним 22/11/23 Срд 08:28:32 720007 176
Нам нужно математическое определение внутренности, при том хорошее, но хорошее это какое? Внешне всё есть, внешне остался только разум, а вот внутренне...

Внутренне у нас есть пределы, границы же, но только что насчёт математики? Для примера 1+1 же. Ясно, что тут есть 1,+,1, но только вот всё это вместе это же что-то ещё же, верно ведь?.../стоп/
Аноним 24/11/23 Птн 12:36:02 720214 177
bethoven.jpg 187Кб, 1313x879
1313x879
Интересно, а енто шизово или красиво или обычно? Не знаю.






Даже не знаю с чего начать, мммм. Ну давай пока опишу такую границу как вложение. Вложение есть граница лишь потому, что для самого действия вложения надо определить то, что вкладывается. Само действие вложения это ответ на вопрос, а именно что тут может быть там? К примеру есть кактус, а есть другая вселенная, собственно чем это кактус может быть там? Ответ на данный вопрос есть вложение.

Теперь попробуем прийти к какой-то алгебре тут. Ну, можно вот что сделать, можно взять сущность и её пространство и поделить это всё на две сущности и получить ещё алгебры с ентими двумя сущностями. Кстати да, пространство сущности это то, из чего состоит сущность. Но лучше тут это всё определить как понятие. Сама сущность как понятие; собственно пространство понятие это его определение. К примеру понятие чисел это буквально числа. Впринципе можно ещё пространство определить тут как нечто определенное, т.е определенность сущности. А определенность идёт от границ, так что если то, что есть сущность, имеет границы, то это что-то есть пространством сущности. Для примера у чисел есть -1 и 1 как отрицания друг друга, а отрицание это граница, т.е она что-то выделяет, определяет, таким образом -1 и 1 это пространство чисел.

Таааак, а теперь собственно к тому, как можно из одной сущности сделать две, при этом эти две сущности будут основаны на пространстве сущности. Ну по сути своей тут надо определить тогда просто два понятия, при том определения понятий будут пространством у изначальной сущности. Немного отступление: понятие может быть как бы и внешним и внутренним; по сути отличия состоит в том, что при внутреннем ты можешь по своей сути определить что есть определением понятия, в то же время внешне это такое, где не обязательность есть суть. К примеру рандомное перечесление предметов есть внешнее понятие, так как ты не можешь как-бы прийти к ним только из самого понятия. Тогда тут вопрос в том, а какие понятия нам нужны. Ну тут я бы скзаал, тчо раз мы хотим также получить и алгебру, то понятия должны быть внутренними. Ибо саму алгебру можно определить как рассуждение, а как строить рассуждение на перечеслении? по крайней мере рассуждение именно что на внутрених понятиях куда как-бы лоичнее и задействует суть понятия, что нам и надо какбы. Так что понятия внутрении. Так вот, а теперь какбы к тому, что есть такое вложение. Так как вложение это ответ на вопрос о том, что может быть чем-то там, то можно сказать, что это впринцпе функция. Ну т.е к примеру возьми прибавление одного. Оно имеет пространство своё, и тогда, когда мы вкладываем единицу в +1, то мы спрашиваем, а чем 1 может быть в +1 же, какой сущностью в пространстве +1. Ну оно там есть 2, вооооот. Так что да, типо того. ТОгда тут можно кстати делать цепи вложений, ну т.е 1->+1 к примеру, ну и можно написать тогда 1->+1=2 к примеру, а можно и дальше писать, т.е 1->+1->+1->+1 и потом написать что оно равно 4, ну т.е 1+1+1+1 же. Но тут также можно и делать схемы, т.е когда не цепь, а цепочки и они как-то ещё соединены. Ну а теперь возвращаясь к двум сущностям, к понятиям. Сами понятия по сути это сущность, что основана на других сущностях так, что можно прийти к каким-то определенным сущностям. А теперь на примерах.

Определим понятие через вложения. Собственно можно начать с того, что нам надо сделать такую цепь, по которой можно находить какие-то определенные сущности. Ну т.е вот есть сущность ввиде чисел, она имеет пространство ввиде самих чисел. Тогда возьмём каждую сущность и из пространства данной сущности что-то да возьмём, в данном случае цепь. К примеру 2 это что такое? Это 1 умноженное на 2, т.е можно записать как вложение 2 на умножение на два. Дальше берем 4, это тоже цепочка, в данном случае 2 вкладывается в умножение на два. Ну и так далее берем такие цепочки и видем что-то общее, видем, что они все заканчиваюца на умножение на два. Тогда, чтобы у нас было некое общее понятие, нам надо такую цепь, что содержала бы все те цепочки, а для этого надо бы предсказать начало цепи. Вприцинпе тут не трудно, можно сказать что это просто числа, т.е получим числа->умножение на два. Вот собственно мы и определили понятие и в данном случае это понятие четных чисел. Дальше также определяем и понятие нечетных чисел, т.е числа->умножение на два->+1. Вот мы получили два понятия, в данном случае четных и нечетных чисел, тогда у нас цепи предстают тут как понятия, что кстати важно, но об этом потом. Теперь же насчёт алгебры, попробуем вложить нечетные вещи в четные, т.е числа->умножение на два->+1=числа->(числа)->умножение на два. Тут мы видим, что мы можем соединить цепи через числа, тогда так и сделаем, получим умножение->...->умножение на два, тогда мы получается приходим к понятию умножения на два. Т.е нечетные в четные это четные. Дальше так делаем для вкладывая наоборот и получаем четные в нечетные что равняюца четным. Вот собсвтенно и алгебра такая и разделение на две сущности.

А теперь к hintам всяким, к более подробному разбору цепей. Ну, само понятие, а именно его определение, может отделиться от понятия. К примеру если взять какие-то алгебры циклические, то там четные могут стать нечетными в какой-то момент. Нет, так-то они все четные, так как умноженны на два, но сами по виду они не напоминают четные вещи. Ну т.е 3 делится на два без остатка, хотя так-то три в нашей изначальной алгебре не делица на три без остатка. В таких случаях мы можем говорить о константности вложений, т.е а всегда ли у нас вложение даёт одно и тоже такое, что связанно с понятием. ТОгда может быть зависимость вложения от других вложений или сущностей в цепи, т.е может быть зависимость от сущности на какой-то позиции. Воооот. Также так-то сами понятия это другой взгляд на вложения. Ибо цепи так-то омгут быть как и просто какими-то абстракциями, по сути пустыми, как арифметика, ну есть 1+1 и есть, что бухтеть, а могут быть понятиями. ТОгда это уже что-то иное и впринципе это ближе похоже на рассуждения. Ну а ещё да, кстати, есть разница между понятиями, а именно какие-то понятия могут быть внутри других понятий. К примеру четные числа->четные числа это четные числа, но так-то вприинцпе не обязательно, что заменив что-то на что-то другое в цепи, то можно будет получить то же понятие.

Теперь же определим всё тоже самое но тока через другую границу, через отрицание. Вот есть 2, там есть 1 умноженная на 2. Собсвтенно 1 это не умножение на два, т.е там есть отрицание умножения на два, как и отрицания 1, ибо один не умножение на два, а умножение на два не один. ТОгда есть граница, ну т.е предел. ТОгда беря другие числа можно выделить то, что сущности имеют в своём пределе(т.е границе ввиде отрицания) обязательно такую сущность как умножение на два. ТОгда что можно сделать? Можно сказать, что вся остальная часть в пределе это просто числа. Таким образом мы получили понятие, сущность, чье пространство это предел между умножением на два и числами. ТОгда определим также и нечетные числа, а это уже у нас предел между умножением на два и +1. Теперь же определим алгебру, ну, тут она проста, просто отрциания. Т.е отрицание четности это нечетность ну и наоборот. Но зато смотри какой прикол омжет быть. А понятии четности есть числа, а что к числам относиться? Нечетные числа, тогда можно сказать, что в понятии четных чисел могут быть нечетные числа. Таким образом мы получили алгебру из вложений тут, но только тут она вгылядит как то, из чего состояит понятия. Воооооот.
Аноним 26/11/23 Вск 13:54:13 720400 178
Хм, а как из одного получить два? Только в том смысле, если уже изначально есть два? ТОгда мы говорим о том, что один содержит два и, ну. Нам надо его увидеть, но как? Верно, надо заметить два, надо заметить иное, можно сказать надо сделать иным то, что едины. Тогда иное станет иным, тогда целое раздвоиться.

Но только для этого нужна ли вторая сущность? А дело в том, что говоря об ентом как об ином, то, это иное. До этого можно додуматься иными словами, а значит можно из одного порадить два? Посмотрим.
Аноним 26/11/23 Вск 15:48:03 720404 179
1617637358250.png 163Кб, 460x400
460x400
АААААА ТОЛЬКО НЕ ОБСЕССИЯ ААААААААААААААААААААААААААААААААААААААААА ТОЛЬКО НЕ ЭТО БЛИИИИИИИИИН НУ КАК ТАК КАКОЙ ЖЕ ПИПЕЦ ЗАЧЕМ Я НАЧАЛ НАД ЕНТИМ ДУМАТЬ НЕ СТОИЛО ну ладно ладно, а я другое придумаю, да. Другое, иное, я под ругому подойду к этому, да, всё хорошо. Ыыыыыыыыыыыыыыыыыыыыыыыыыыыыы, кстати это да, это про контрольные точки.
Аноним 26/11/23 Вск 15:54:35 720405 180
bethoven.jpg 187Кб, 1313x879
1313x879
Смерть, эх. Смерть, ах~ Смерть; что?

>И в итоге
Ну, раз я тупой, то я не не умный, но раз есть не умность моя, то возможно и движение в умность. Другими словами

>чего?
Эээээ, ну короче другими словами, да.

>А?
Да говорю я про то, что это значит, что я могу стать умным. Но если бы я был бы умным, то я бы не был умным бы? Ну можно сказать точно то, что можно представить историю бесконечной умности, тогда всё хорошо. Но что насчёт конечной умности? Если я до предела умный, то я умный? В том то и дело, что вопрос можно отнести к вопросу о том, а что умность значит, что вытекает из неё. И если это вытекающее может вытекать ещё больше чем то, что показывает предел, то по сути это плохо же, таким образом это не про становление в что-то хорошее, это про то, чтобы оставаться таким какой ты есть. Ведь даже если ты умный, то ты и не умный, ведь качества может быть в два раза больше.

Тогда наличие моей не умности есть дар того, чтобы я мог попытаться стать умным, а если это можно ещё и делать бесконечно, то передо мной будут открываться двери, новые и новые, что лучше, чем если бы двери закончились бы, хотя бы по соображением того, что я живу историю. Много историй, много вдохновления. Приключения.
Аноним 01/12/23 Птн 12:26:18 720883 181
5090.jpg 207Кб, 1200x1200
1200x1200
Ehhhh.jfif 5Кб, 225x225
225x225
https://www.youtube.com/watch?v=w1uQ8sLZIy0&ab_channel=bigbenjamin37

https://www.youtube.com/watch?v=eJUX3YVv4jU&ab_channel=s%E1%B4%8F%CA%9F%C9%AA%E1%B4%9B%E1%B4%9C%E1%B4%85%E1%B4%87%C9%AA%C9%B4%E1%B4%8D%E1%B4%9Cs%C9%AA%E1%B4%84

О нет, о нет, о нет.

Смерть.


Хотя, честно, я же ведь и так знал всё это, помнишь же ты? Ну да, я помню, так что и печали не надо! Беззаподное детсво! Покуда не начну читать. Локальная магия.
Аноним 02/12/23 Суб 19:48:23 720995 182
image.png 7432Кб, 1700x2151
1700x2151
Раз мне не надо, то не надо это отрицание того, что надо. Раз не надо это не_надо, то не надо это сама суть и иное, а иное тут то, что это надо, тогда не надо в каком-то смысле это надо, т.е когда мне не надо, мне может быть надо.

Когда мне не надо, по сути, это тогда, когда мне не не не надо, т.е мне не надо, мне не не надо, мне не не не надо, тем самым я, когда не могу уследить за тем, сколько нет, могу убедить себя в том, что мне надо.

Не надо это когда есть граница, надо это когда границы нет. Граница тут есть или нет лишь потому, что момент настоящий либо становиться будущем либо нет(сделал что надо и не сделал), тогда, чтобы выделить то, что мне не надо, мне нужно сделать надо. Таким образом я выделю для себя своё же не_надо, что будет ощущаться в процессе того, что мне надо.
Аноним 03/12/23 Вск 13:12:07 721031 183
james Watt.jpg 199Кб, 1200x1200
1200x1200
Что-то плохо прям, хммммм, ну посмотрим.
Аноним 03/12/23 Вск 13:15:50 721032 184
лиса.jpg 8444Кб, 3541x5216
3541x5216
А теперь нормалньно вроде
Аноним 04/12/23 Пнд 12:59:02 721138 185
image.png 25867Кб, 3541x5216
3541x5216
Суть: есть сущность, есть её пространство. Наш запрос заключается в том, чтобы находить что-то полезное, но только как выражается это полезное? Верно, в понятиях и определениях. Тогда, зная что понятие можно соотнести с определением, можно сказать, что мы либо ищем определения либо же ищем определения к понятиям, т.е просто что-то рыскаем-ищем или целенаправленно чтобы доказать что-то. Тогда надо мыслить пространство в понятиях и определениях.

Из чего состоит определение: из количественности. Смысл определение это переход от конкретного к абстрактному или наоборот, ссылаясь на то, что смысл определения это некий переход к сути, т.е оно является механизмом определения понятия и самого определения, а это достигается через обход(от конкретного к абстрактному и наоборот), а также этот обход совершается с помощью количественности, ведь абстрактное это такое, которое количественно, а конкретное это такое, которое не количественно. Собственно если мы имеем определение и можем определение менять по количественности(а точнее менять сущности в определения с помощью количественности), то мы остаёмся в рамках того же определения. Также у определения есть структура, по сути, из каких границ где какая сущность в определении состоит. Теперь же про изменение определение. Изменение определение это всякое иное, чем определение, но которое мы определяем как определение. Другими словами меняя структуру или сущность не с помощью количественности - мы меняем само определение, переходя к другом определению. Таким образом мы получили возможность ходить от определения к определению.

Дальше вопрос в задачах: просто сланяться по определениям у нас уже есть, выполненно, теперь же надо соотнести определение с понятием. Это можно сделать обходом, т.е вначале, имеяя абстрактное определение, мы должны прийти к конкретному, дальше же мы заново должны составить определение из конкретного так, чтобы оно повторяло изначальное определение с которого мы спустились в конкретность. Если так получилось сделать, то мы впринципе соотнесли определение и понятие таким образом. Каким образом? А по сути когда мы идём от конктретного к абстрактному, то мы подразумеваем конкретность и её вариации, тем самым мы даём определению понятие, а именно "такое как это конкретное", тем самым, если мы ещё к тому же смогли увидеть количественность конкретного, это даёт соотношение понятия и определения.

Таким образом мы можем "доказывать" вещи, впринципе. Ну т.е для примера можем взять какуе-то теурию. Тероия это понятие, доказательство же теории это её определение, тогда соотношение определения к понятию таким образом, чтобы из определения можно было прийти в понятие есть доказательство того, что доказателсьтво теории это доказательство теории.

Тогда вопрос тут в том, а какие пути у нас тут есть, верно? Ну т.е мы же можем всячески изменять наше определение, тогда вприцнипе вопрос в том, а куда идти какбы. И, думаеца мне, разные определения в соотношении друг с другом можно определять как развитие определения. Тогда можно рассматривать логичность развития, а что такое логичность развития? По сути это когда всё складно, а когда всё складно? Ну можно предположить тогда, когда оно диалектически развивается, значит мы можем уже сделать некую карту, некие координаты с тем, какое у нас развитие, а именно более/менее диалектическое. В таком случае, имея понятия, определения, и развитие определений, то мы можем всё это определить как одну сущность для того, чтобы создать понятие и его определение "таких же развитий", т.е зная и понимая как определять такие понятия, то мы можем указать на то, а куда нам идти при доказателсьтве какой-либо теории, если мы знаем конечно, что она есть конкретность понятия "таких же" теорий.

Дальше уже идёт пример и следовательно предположение(только они немного сухие будут, но ладно): вот мы имеем сущность x^2=4, у нас есть понятие его и определение, нам надо теперь взять и найти нужное нам понятие решения, а как? Имея ввиду, что у нас есть только лишь эти буквы-цифры. А впринципе можно вот как сделать: можно начать их диалектически развивать, т.е x,^,2,=,4, тогда попробуем заменить ^ на x, а потом вложить всё это в 2, тогда получается, что x,x->2, что наш разум может посчитать за то, что это у нас операция с двумя переменными, после чего ещё развиваем, получая засовывание данной операции в другую такуюже, т.е (x,x->),x->2, что можно сравнить с ((x+x)+x) и так далее, а потом можно ещё раз это всё развить и получить уже определение степени, т.е (x,x->2)->2, после чего можно получить степень, дальше же развивая можно получить определение группы, а потом уже, имея группу, можно вернуться назад к =4 и применить её свойства на это всё, получив корень из 4.

Смысл этого примера: ввиду развития можно заметить, что мы не только даём некий контекст для всей сущности(что кстати тоже есть определение), мы также и применяем полученный контекст к примерам сразу. И ведь и правда, когда мы придумаем сложение, то мы его сразу применяем и так далее, тогда можно предположить, что, имея пример что уже находиться в контексте(а у нас такой и был, он находился в контексте арифметики), нам надо диалектически развиться до этого контекста, чтобы потом продолжить развиваться пока не найдём ответ.

Насчёт того, что контексты могут не совпадать, то, по сути, это будет так, если прошлые определения не будут соотноситься с понятиями, ну или их будет несколько к одному понятию.

Тогда нам теперь надо доказать, что диалектический путь самый лучший, ну и да, деление диалектического развития: сам диалектический метод, внешняя диалектика, внешняя диалектика с иным, т.е и не диалектика во все. Дальше же были мысли про то чем отличаюца пути и всякое такое, но они не совсем обдуманны.
Аноним 06/12/23 Срд 23:22:03 721393 186
115976430gettyi[...].jpg 41Кб, 640x360
640x360
Ммммммммммм, только путей у меня три наверное, если не больше. Можно разозлиться, можно погрустить, можно игнорировать(вроде), но только зачем? Точнее я могу и правда разозлиться, но разве это не посягательство на мою няшность? И ведь правда, смысл же в том, чтобы оно сохранялось же.
Аноним 06/12/23 Срд 23:23:02 721394 187
Хе, хотя одну колкость всё же можно допустить.
Аноним 10/12/23 Вск 22:14:45 721792 188
Beethoven.jpg 980Кб, 1200x1443
1200x1443
Смертьcvthnm и молчание длинною в неделю.
Аноним 11/12/23 Пнд 03:48:16 721820 189
>>721792
>неделю
Чо ты раньше не раскачаешься хочешь сказать.
Аноним 15/12/23 Птн 02:32:34 722282 190
А что по развитию? А всё просто: внешнее, по абстрагированности, по созданию определения, по действиям над определением. В итоге нас интересует развитие как история развития. Ну а дальше, имея такое как само определение в границах, у нас есть варианты: внешне развивать, абстрагировать, иное добавлять(т.е действия делать), только вот тут уже у нас есть одно но в следствии структуры. Нам надо соблюдать развитие, т.е имея какое-то действо, нам надо понимать, что действие всё ещё есть и, меняя то, над чем действует, действие всё ещё действует. И по поводу этого, то, ну. Результат есть абстрагирование, но только абстрагирование соотноситься с самим собой, а само собой надо проверять, т.е экстраполяция. Другое это когда экстраполяция обращается к контексту, а если контекста нет, то печалька в общем. Как-то так.
Аноним 17/12/23 Вск 08:33:33 722598 191
115976430gettyi[...].jpg 41Кб, 640x360
640x360
Самостоятельность, такое слово, точнее понятие, точнее чувства. Грустно даже не от факта, а от того, что можно быть самостоятельным.
Аноним 17/12/23 Вск 08:40:49 722599 192
Beethoven.jpg 980Кб, 1200x1443
1200x1443
Вот мне и 19 лет, так что не время умирать, раз на возраст мне наплевать. Хоть и откроются новые явления в возрасте, но старое, именно то, ушло.
Аноним 17/12/23 Вск 11:43:55 722607 193
Так что такое доказательство того, что я вижу яблоко? По сути само понятие это заключает в себя другое понятие, а именно то, что я вижу яблоко, при этом можно сказать, что доказательство того, что я вижу яблоко, это не то, что я вижу яблоко. При этом понятие того, а именно доказательства того, что я вижу яблоко, это понятие о виденьи мной яблока и чего-то иного, а именно доказательства. Т.е доказательство и то, что я вижу яблоко. Тогда понятно почему оно(то что я вижу яблоко) не то(доказательство). При этом можно выделить какуе-то особую связь между двумя этими понятиями. Какую? При этом можно выделить некое исчезание одного понятия в другое. Т.е доказательство виденья яблока это целое, само виденье яблока это то, что уменьшается; ничего это результат этого исчезания. Тогда каким образом целое и исчезающее связанно? По крайней мере можно сказать, что если началось исчезание, то целое превращается в исчезающее. Но только является ли исчезающее всё же тем самым исчезающем целого? Чтобы доказать это можно сказать следующее: а что есть исчезающее? И по сути, а какое исчезающее ещё может быть? Исчезающее это просто, это что-то от целого. Тут понятно. А какое ещё может быть? А по сути что-то другое, иное от целого. Доказательство, если брать наш пример. Но на что мы ещё можем расщепить сущности? Доказательство? А что такое расщепить? Задать вопрос о том, что такое доказательство. Ну хорошо, у нас есть вариации исчезающего, а дальше что? А дальше то, что вариантом, одним из, может всё же быть само то, что я вижу яблоко. Значит надо вызвать исчезание.

Собственно как можно вызвать исчезание и чем оно является? Ну по сути исчезание это такое отношение, так что имее какое либо развитие из одной сущности в другую, нам надо задавать вопрос о том, а подходит ли это всё под исчезание. Так что надо смотреть на то, а какие развития могут быть. И нам нужно конкретно задавать вопрос о том, а на каком плане это развитие находиться, т.е - может ли развитие быть "материальным"? И вообще надо ли нам это материальное развитие?

Ну, можно вообще вот что: доказельство о том, что я вижу яблоко, это убеждения меня в том, что я вижу яблоко. Иными словами - самость того факта, что я вижу яблоко, вернулась обратно. То, что я вижу яблоко это такое же действие, только на другом плане. Самость тоже возвращается и тоже в я вижу яблоко, но только это всё находиться в другом месте. В другой рефлексии.

Но смысл в том, что из-за того, что я вижу яблоко, я могу иметь возможность доказать то, что я вижу яблоко, а значит имея то, что я вижу яблоко, я могу и иметь то, что я могу доказать что я вижу яблоко. Поэтому исчезание, в какой-то момент, есть связь доказательства и того что я вижу. Но исчезание не является связью, ибо связь тут предполагает возникновение, т.е то, что я вижу яблоко превращается в том, что я могу доказать то, что я вижу яблоко. А возникновение есть отрицание исчезание, но при этом в какой-то момент, а именно моменты середины и конца, они равны.

Но делает ли это равенство противоречие? По крайней мере можно сказать то, что если я имею целое, я могу иметь часть. И если я имею часть, то я могу иметь целое, что значит, что если существует часть, то есть целое, а если есть целое, то есть часть в данном примере.

Тогда понятие одного, т.е просто исчезание или возникновение, возникает в понятие об исчезании и возникновения как того, что подчеркивает переходы между ними. А только вот что это даёт?

Ну по сути нам надо просто вернуться в понятие доказательства о том, что я вижу яблоко. Ибо само это понятие содержит самость того, что я вижу яблоко, в плане одной рефлексии, а другое понятие, то что я вижу яблоко, содержит самость, ту же, в другой рефлексии. Но разве можно тут делать знак равенства? Самости одинаковы, но вот рефлексия разная, н опри этом у нас есть исчезания и возникновения. Впринцпе результатом возникновения становиться самость в рефлексии. Но при этом результатом становиться и сама самость. Но тут надо уточнить, что говорим мы о том, когда возникновение и исчезание сразу есть.

Когда мы говорим о том, что было, то мы говорим о том, что существовало. При том существовало в памяти, что важно. Но можно ли вызвать эту самую память? По крайней мере наличие таковой что-то да даёт, думаю. Ну т.е, раз было и возникновение и исчезание, то можно говорить о том, что у нас есть переходы. Но можно говорить о целом и части. Но в том то и дело, что если у нас есть целое, то целое может быть только тогда, когда есть часть, так что говоря о целом или части, мы также говорим о ином, т.е отрицании изначального. Т.е, по крайней мере в рефлексии, у нас есть сразу два объекта и при том у нас есть сразу две одинаковых самости но в разных рефлексиях.

Ну чот не знаю короче, да и устал думать. Думаю результат в том, что раз у нас есть переходы, то есть доказательство того, что есть переходы, а это говорит о наличии переходов, а наличие это некоторое всплытие в разуме, так что может через это доказательство переходов можно и вызывать как раз изчезание же.
Аноним 17/12/23 Вск 11:58:32 722608 194
Я понял. Кроме того, что нужно доказать то, что я вижу яблоко, нужно доказать то, что само это понятие это исчезание этого понятия!
Аноним 17/12/23 Вск 13:48:34 722617 195
Отрицание сущности это конкретно отрицание сущности и определение абстрактное, в тоже время сущность без самости это и сущность и отрицание сущности, в тоже время сущность без самости это абстрактное отрицание сущности.

Следовательно, раз абстрактное это конкретное, и абстрактное это иное, то конкретное это иное и конкретное это не иное.
Аноним 18/12/23 Пнд 05:12:08 722709 196
Решил вспомнить что такое доказательство на примере доква о том, что z1+z2=z3, т.е целое число+целое число=цело число. Впринципе пока что это работает на контексте всё. Т.е:

Как доказывать? Попробуем умножить всё это на "взятие остатка". Тогда получится везде ноль. Почему мы можем умножить на взятие остатка? Потому что в данном случае, результат будет равен тому как если бы мы умножили на ноль, т.е по крайней мере мы так можем сделать. Потом же мы уже можем всё умножить на обратную операцию взятия остатка, т.е взятие того что не остаток, т.е типо дописываем слева точку и какое-то число. В итоге получим целое число. Ну а теперь, самоеглвное: раз у нас (ab)c=a(bc), то (cXвзятие остатка)Xобратное взятию остатка=cX(взятие остаткаXобратное взятию остатка) что тоже самое что и целое=c же. В рефлексии выглядит так примерно: есть сущность, влкадываем её в контекст. В итоге получили понятие о вложение( ну результат), где понятие включает в себя несколько сущностей. Вкладываем ещё раз в контекст, вкладывая содержимое понятий в контекст, и получаем понятие с иным содержимым, т.е результат вложения. Ну а дальше просто вопрос в том, какая структура у этого понятия, ну т.е оно содержит две сущности, но только вот а равны ли эти две сущности?(мол, если две эти сущности пересекаются полностью в понятии, то это типо равенство) Ну и конечно же вложения можно ещё и более алгебраически оформить оф корс же. Вот как-то так. И кстати вкладывая во второй раз в контекст - нам надо чтобы он был тот же или по крайней мере уместным.
Аноним 18/12/23 Пнд 05:24:02 722710 197
Тогда сразу заметочку сделаю:

Развитие в определении это абстрагированость или конкретизация. Они могут быть безопасными или нет. Безопасная - такая, когда мы знаем что будет при действии этом либо когда другие сущности не меняются, не безопасная это когда не знаем.

Дальше есть пересечения определений, т.е по сути, имея какие-то одинаковые сущности в определении, можно сказать, что определения пересекаются в этих сущностях. Также к пересечению можно отнести то, а что описывает определение, н ово многом это выражается как раз такие через то, а ис чего состоит сущность. Прост оможет быть такое, что к примеру x^2=4 можно описать разными способами через границы, так вот, эти разные способы пересекаются.

Дальше идёт создание определения, по сути, это тогда, когда беруться две сущности или больше и там что-то абстрагируется. Можно кстати и с одной сущностью так сделать, но смысловой нагрузки это не совсем будет иметь, т.е понятие не совсем будет соотноситься с определием, а всё потому, что чем больше сущностей на которых мы основываем определение, т.е абстрагируем, тем больше мы понимаем в чем сущности схожи и вообще что мы хотим вырзаить.

Дальше же идёт внешняя диалектика: по сути это просто группа. Т.е что-то добавляем, что-то нет, но по сути это всё можно описать умножением. Мол, бесконечная цепочка равенства, аля a=b=c=d... это умножение на a на равенство на b на равенство на c и так далее.

Дальше идёт развитие через исчезновение и возникание, т.е, определение целого и части.

Дальше же идёт развитие через иное, т.е действия. В данном случае мы что-то меняем определению, т.е добавляем, сменяем, убавляем сущности. Выразить такое можно через цепочку вложений(аля история развития), также можно алгебраически через группу а ещё можно через матрицу(вспомни как определение записывается и посмотри на матрицу ввиду одного столба).

Вроде ничего не упустил. А нет, дальше же вопрос о том, когда внешняя диалектика пересекается с определением, но это чисто смысловая штука.

Дальше же вопрос о доказательствах, что я написал выше, как пример, ну а дальше же вопрос про взаимодействие с вложениями остался только, думаю. Но если ещё какая-то недосказанность. Ах да, сущность, а именно структуру, можно тоже менять через вложение, т.е числа={1,2,3} переходит в числа={1,2}->3(ну мол вложение).

Ну и ко всему этому не забываем, что всё это у нас сущности с их пространством. А ещё - да, результат какого-то действия можно записать как понятие что объединяет некие сущности.
Аноним 19/12/23 Втр 05:16:38 722803 198
Так, сущность и её пространство вроде выполнено. Дальше? Дальше надо бы сделать так, чтобы было удобно юзать это. Ну и её разделил я на три части: понятие о сущности с пространством, объявление сущности и размерности пространства, заполнение пространства.

Дальше удобства а потом понятия и определения надо бы сделать. Ну а потом вот этот параграф:

>Дальше есть пересечения определений, т.е по сути, имея какие-то одинаковые сущности в определении, можно сказать, что определения пересекаются в этих сущностях. Также к пересечению можно отнести то, а что описывает определение, н ово многом это выражается как раз такие через то, а ис чего состоит сущность. Прост оможет быть такое, что к примеру x^2=4 можно описать разными способами через границы, так вот, эти разные способы пересекаются.
Аноним 19/12/23 Втр 18:52:58 722892 199
А вложение можно описать как определение:


Есть к примеру 2-2, т.е 2~>-2, где можно всё свести к числу~>отрицание_числа же и сказать, что это всё равно нулю. Но можно сделать вот как: есть понятие 2-2, скажем a. Собсвтенно это понятие есть конкретизация контекста, т.е контекст это определение, чьё конкретное есть понятие a, но не путать с сущностью ввиде сущности 2 и -2. Но что ещё может быть конкретизацией контекста? 0 же. Тогда нам тут надо просто сделать такое определение: сущность a это сущность 0. Т.е определение контекста может быть такое: контекст это понятие a что равно 0 же, при этом получается такое:

контекст=a, контекст=0, a=0, где a=2, a=-2, 2 не -2.

Тогда получаем такое вот определение. А дальше? А дальше то, что можно его абстрагировать как-то, только вот тут надо понимать безопасность этого абстрагирования.
Аноним 20/12/23 Срд 10:08:09 722967 200
james Watt.jpg 199Кб, 1200x1200
1200x1200
Аноним 20/12/23 Срд 12:33:28 722977 201
feet-sculpture-[...].jpg 147Кб, 910x683
910x683
Я понял, меня меня поссес.

Я понял, я посессив.

Во мне иной дух, что продолжает быть, но я не хочу чтобы этот дух был.

Тогда что? Нужно заклинание чтобы снять этот дух.
Аноним 22/12/23 Птн 05:48:14 723241 202
Пора теперь делать пересечения и объединения определений/сущностей, плюс границы иииииииииии, испытать бы определение.
Аноним 22/12/23 Птн 14:00:02 723300 203
https://www.youtube.com/watch?v=nTtwBlPYtdQ&ab_channel=DistantPhantasm
Грейтер ворк там, где его не ждали, но так-то это и логично. Если брать дух и его движение, то можно не брать духи такие, которые про грейтер ворк, можно взять лессер ворк, и тогда, так как дух это всё же и грейтер и лессер, будет соединение, н очерез лессер в данном случае. Не сделать иное, а в ином быть, т.е быть духом в ином что движется и всё это на самом деле есть суть иного.

Другое дело отличие от уже того, чтобы сделать иное. Это уже да, это чистый дух иного, так сказать.

Более по простому, то надо искать пути, воооооооот
Аноним 22/12/23 Птн 14:26:48 723307 204
если существует что-то и его отрицание, то мы можем говорить о соединении разных миров, ибо отрицание вполне себе иное в чем-то, а иное в чем-то есть рефлексия, но по крайней мере оно может работать как рефлексия наша, но всегда ли она работает как рефлексия наша? Всегда, ибо иное в чем-то изоморфно наблюдению чего-то и вопросу об объективности, значит отрицание есть разум?
Аноним 22/12/23 Птн 14:38:20 723310 205
если есть яблоко и не яблоко, то мы в плане рефлексии находимся. Так как яблоко это не не яблоко, то план путём передвижения изменяется, т.е не a,-a но ---a,----a же, но если бесконечно отрицать, то a пропадёт, из-за чего мы придём просто к отрицанию. Но это про то, что впринципе находимся то мы в плане рефлексии
Аноним 22/12/23 Птн 14:39:05 723311 206
ну а ещё диалектическое развитие тут есть, ага, ибо а и -а это и одно и тоже и нет
Аноним 22/12/23 Птн 17:11:29 723328 207
dirty-angel-sta[...].jpg 96Кб, 612x612
612x612
Ну нет, только не забирайте у меня философию? Пожалуйста. Но тогда, если я это говорю, то какой из меня борец? Как я буду противостоять реальности, если я молю у неё пощады? И ведь это заклинание не работает. Но не работает ли? Про заклинание я про это: "Но тогда, если я это говорю, то какой из меня борец? Как я буду противостоять реальности, если я молю у неё пощады?"
Аноним 22/12/23 Птн 18:45:22 723340 208
Есть что-то, есть самость чего-то. Самости может и не быть, тогда это есть отрицание этого чего-то. При этом в чем-то может быть и иное. Рефлексия есть иное в чем-то. Но почему это рефлексия? Ибо работает также. Самость яблока это объективное яблоко, иное в яблоке же - субьективное яблоко же, т.е наше представление о нём. Плюс проведи эксперимент: посмотри на стену не думая, а потом посмотри на стену думая что это стена. Мысль о том, что ты видищь и то, что ты видишь ничем не отличаются, но одно не есть другое. Собсвтенно иное в чем-то и есть "рефлексия". Да, это нельзя назвать рефлексией прям буквально, но работает то оно также. И тут такой вопрос, а что работает ровно также ещё то? Что делит всё это на такие вот "материальные" и нет вещи? И бла бла бла.

Собственно возьми яблоко. А теперь возьми отрицание яблока. Отрицание яблока, будучи просто только отрицанием яблока, есть ничто другое как иное в яблоке. Почему же? А дело в том, что само яблоко с иным внутри это нечто не совсем определенное. Опять же, подразумевая то, что это тоже самое чтог и наблюдаемое и не наблюдаемое(может быть и работает также), а они(материя и нет) могут вполне себе отличаться, но всё же так как одно связано с другим, то они оба об одном и том же. Так что груша к примеру, как отрицание яблока, вполне себе может быть определнным яблоком с иным в себе. Так вот, вернёмся. Собственно имея такое отрицание как иное в яблоке с яблоком, то яблоко с иным в себе и яблоко начинают действовать как наблюдаемое и не наблюдаемое, т.е материя и информация, где одно есть "рефлексия" другого. Собственно дальше можно рефлексировать рефлексию и так далее, вооот. Ну а ещё это всё может развиваться. Но смысл в том, что все эти вещи существуют же(если они существуют конечно), тогда получается что рефлексия яблока ввиде отрицания яблока есть, как и само яблоко, т.е есть яблоко и груша. Во ткак-то так
Аноним 22/12/23 Птн 21:33:24 723346 209
существование чего-то это существование; чего-то это существование; несуществование существует; несуществование это существование; несуществование это отрицание существования
Аноним 23/12/23 Суб 00:16:46 723366 210
Что есть рефлексия - то есть рефлексия. Ну а главное, что самость рефлексии есть её дух, который может быть, исполняться, продолжаться.
Аноним 23/12/23 Суб 09:16:02 723395 211
Третий лик:
Ангелы-хранители это рефлексия людей в том смысле, что они есть отрицание человека и понятие человека.

Архангелы это развитие рефлексии которая не затрагивает другие рефлексии человека.

Начальства это уже развитие рефлексии что затрагивает другие рефлексии человека.

Второй лик:
Власти есть отрицание отрицания что есть развитие рефлексии.

Силы есть само развитие рефлексии в нужное.

Господства есть существование несуществования нужной рефлексии.

Первый лик:
Престолы это существование(можно сказать передвижение даже).

Херувимы это структура слоёв(т.е рефлексий) и их разрывов, склейки и порядок текущести а также развитие и доказательство.

Серафимы это и есть иное.

А бог? А бог это самость.

..............................


Про женское и мужское: по сути это простая диалектика, что происходит через равенство и передвижение. Если надо конкретнее, то пенис вставляется в матку=что-то чего-то оказалось в чем-то другого.

Хохма, бина. Как я понял это про активность и пассивность плюс про мудрость и знание.

Собственно хохма. Хохма есть активное и мудрость. Активное в каком плане? В том, что что-то происходит, а происходить может только волей по сути, т.е развитие и передвижения и так далее это воля. Хохма это воля. При чём тут мурость? А дело в том, что там ещё определение даёца такое, что там это применяемая мудрость, а воля как раз и даёт и развитие и доказательство и так далее.

Бина есть пассивное, т.е тогда, когда воли нет или скорее это про то, когда ничего не меняется. Собсвтенно при чем тут знание? Скорее при том, что знание не меняется, т.е определенное прошлое.

Собственно даат - объединение этих вещей, т.е есть развитие определенного прошлого(время короче говоря), т.е планы.

Гвура и хесед. Как я понял это уже скорее про строгость и не строгость.

Собственно хесед есть неопределнность, гвура есть определенность.

Тиферат есть же понятие и определение, т.е понятие как самость с иным, где иное уходит через определение понятия, тут и абстрагирование и конкретизация, хотя эти два действа я бы отнес к тому как прийти к хесед или гвура.

Ход и нецах.
Ну тут думаю это можно пояснить как бесконечное и конечное, при том у этого есть цель ещё.

Йесод же тогда это сумма всех этих вещей, т.е:
планы + понятие и определение + бесконечность и конечность с целью = то что мы видим? Ну по сути всё это есть составные разума бога. Но при том такого, более абстрактного, свободного. Ибо мы избавились от рефлексии. Но что тогда заместо рефлексии? Дух же. Т.е сефирот это абстраткный разум бога, в котором есть планы, есть понятие и определение(при том не обязательно с иным и самостью, но тут на подумать) и с некой целью, которую можно бесконечно и нет делать.
Про кетер: ну кетер это дух, да
Аноним 23/12/23 Суб 11:25:42 723407 212
1702420352819.jpg 31Кб, 511x577
511x577
>>722977
https://www.youtube.com/watch?v=wuQsLZIy&ab_channel=bigbenjamin[РАСКРЫТЬ]https://www.youtube.com/watch?v=eJUXYVvjU&ab_channel=s%E%B%F%CA%F%C%AA%E%B%B%E%B%C%E%BE%BC%AA%C%B%E%B%D%E%B%Cs%C%AA%E%B%[РАСКРЫТЬ]О нет, о нет, о нет.Смерть.Хотя, честно, я же ведь и так знал всё это, помнишь же ты? Ну да, я помню, так что и печали не надо! Беззаподное детсво! Покуда не начну читать. Локальная магия.
Аноним 23/12/23 Суб 11:41:08 723408 213
>>723407
М? Хотя да, логично.
Аноним 24/12/23 Вск 12:13:44 723534 214
Ну, рефлексия вполне себе может быть доказательством в том плане, что иное может во что-то превратиться но и ещё может быть понятие и определние, где рефлексия вполоне себе асбтрагирование или конкретизация.
Аноним 24/12/23 Вск 14:23:52 723543 215
Если я вижу яблоко, то я вижу яблоко?

В том смысле, что тут два понятия. Первое - то что я вижу яблоко как рефлексия в словах и то, что я вижу яблоко как рефлексия в картинках, при том яблоко в словах есть рефлексия яблока в картинках тем смыслом, что слова это понятие, а определение это яблоко в картинках, ибо абстрагирование и конкретизация это всё рефлексия. Таким образом мы тут может получить доказательство(т.е возвращение самости) обоих сущностей.

Дальше же идёт понятие того, что я вижу яблоко, как понятие с определением, и просто слова о том, что я вижу яблоко. Тут надо тоже сформулировать понятие и определение, т.е слова это понятие а вот слово что понятие это определение. Таким образом можно через доказательство чего-то создать цепочку переходов.

Собсвтенно как работает доказательство? А так, что понятие как самость и иное становиться только самостью. Но доказательство определение как работает? А так, что само определение, как иное и самость понятия, являясь также понятием, становиться самостью только, при том не только понятия но и сама себя. Происходит это с соотношением понятия к определению. Т.е есть что-то, есть абстрагированность этого чего-то, само чего-то тогда есть понятие, при том не определенное, дальше само абстрагирование должно стать тем чем-то, а это можно сделать через конкретизацию, т.е проверка: а само определение как соотноситься с понятием(конкретизация)? Дальше же идёт абстрагированность, т.е как понятие соотносится с определнием; мы абстрагируемся к определению, ну а так как определения есть абстрагированность понятия, то получаем: определение есть абстрагированность понятия, конкретизация определения есть понятие, т.е конкретизация и абстрагированность это сорта понятия, тем самым понятие проходит путь по избавления от иного, а именно: абстрагирование, т.е выделение иного, дальше же конкретизация, т.е отрицание иного, при том дальше идёт опять абстрагирование в том смысле, что иное, что было выбрашенно, это на самом деле самость, тогда понятие, что было иное с самостью, где самость неопределенна(т.е могла быть иным в том числе), становиться определенной тем, что иное становиться самостью и сама самость отделяется от иного, оставляя только лишь самость и продолжение самости, где продолжение самости является иным, что является самостью.

Не трудно видеть, что при такой штуке можно доказать как понятие так и определение, т.е для понятия надо вернуть ей самость и сделать её продолжение, т.е иное, самостью. Для доказательства определения надо понять, что так как понятие есть самость и её продолжение, то определение это оставшиеся после очистки самость, что включает в себя и определение. Собсвтенно очистка в данном случае и есть доказательство самости определения как и понятия.

А теперь на практике:
Вначале формируем два определения, слово-картинка и слово-понятие. Слово-картинка это тогда, когда мы картинку называем слово. Слово-понятие это тогда, когда мы видим, что слово это слово, но при этом то слово, что понятие, это не совсем слово что не понятие.

Теперь же про цепь передвижений:
Вначале мы доказываем то, что есть слово без понятия, т.е что мы видим яблоко. Потом дальше доказываем слово с понятием через определение и и понятие, т.е:

Слово-слово. Слово с понятием, как его самость и иное, абстрагируется в слово без понятия, где слово без понятие это иное от слова с понятием, дальше же идёт конкретизация слова без понятия, т.е слово с понятием, но в тоже время его абстрагированность это есть слово с понятием сорт оф, тогда абстрагируемся и понимаем, что слово без понятия это продолжение слова с понятием, но продолжение чего? Слова с понятием, тем самым мы доказали понятие на основе определения. Т.е: раз я вижу яблоко(как слова), то я вижу яблоко(переход в понятие слова-картинки).

Слова-картинка. Раз то, что я вижу яблоко как слова это абстрагирование того, что я реально вижу яблоко, то то, что я реально вижу яблоко - понятие, а то, что я вижу яблоко - определение. Тогда, раз я вижу яблоко(т.е оно доказано), то его доказательство это понятие, т.е оно есть продолжение того, что я вижу яблоко(в рефлексии). Таким образом доказали яблоко в картинках.

Второй способ это про то, что рефлексия слов может стать картинкой, ибо иное в словах вполне себе может стать слово с картинкой.

Фуууууууууууууууууууууууууууууух. При том кстати по всем этим доказатсльтвам(т.е возвращение самости), то слово-картинка работает уже не только на словах, т.е это больше уже такая работа, иная. Не такая как если бы мы бы обудмывали, хотя может и быть.
Аноним 24/12/23 Вск 17:08:29 723557 216
А всё в итоге просто:

Слова-картинка это достаточно просто, а ещё этот процесс присвоения происходит всё же мысленно, как могу заметить. И именно по такой логике понятия и определения. Просто одно дело когда он произошел, а другое дело когда он не произошел. Собственно само присвоение выглядит так: есть понятие, есть определение. Понятие идёт в определение, после чего в понятие. Возвращаясь, понятие отсеивает лишнее путем отрицания от иного в определении. Потом же понятие идет снова в определение и понимает, что определение это понятие, т.е продолжение понятия. Дальше же путем того, что определение это понятие, понятие возвращается в свою самость через равенство.

Чтобы доказать определение, то можно сказать, тчо определение это понятие, оттого от понятия прийти к определению. Но можно сказать, что определение есть продожение понятия. Плюс можно определение тоже очистить, по сути, сделав определение понятием же.

Так что отвечая на вопрос о том, а можно ли увидеть яблоко, если доказать, что яблоко ты видишь, ответ таков: надо будет его увидеть потом, т.е конкретизироваться/абстрагироваться. Так как у тебя это понятие-определение есть, то впринципе они даже и возникнут одинаково может быть. Может быть, ну только если одно прям совсем совсем будет другим. А так можно через конкретизацию или асбстрагирование сделать это. А как делать абстрагирование или конкретизацию? Через рефлексию, т.е иное в чем-то, но только вот эта рефлексия уже есть, так что тут просто рефлексии присваивается вот это вот, а потом все объявляется абстрагированием/конкретизацией.

Насчет другого, то тут просто переход из одной сущности в другую, впринципе его можно также совершить же. Ну и тут проще, т.е яснее, ибо вся рефлексия тут имеет один тип - слова.
Аноним 24/12/23 Вск 20:03:07 723574 217
image.png 57Кб, 1905x767
1905x767
Аноним 24/12/23 Вск 20:15:29 723577 218
image.png 6Кб, 575x197
575x197
Аноним 24/12/23 Вск 20:57:42 723586 219
Так вот, почему же происходит вызов такого развития с понятием-определением? А по сути надо понять, что его наверное можно как-то вызвать же. И вызвать можно тем, чтобы задать рефлексию, это во первых, во вторых, результатом рефлексии может стать это развитие. Но чтобы результат всё же стал этим развитием, то надо начинать с начала, т.е всё же можно как-то придать этому всему форму понятитя-определения же. Тогда думаю, надо просто саму изначальную сущность сделать рефлексией же, при том не завершенной же.

Ну и кстати: абстрагирование неопределнного даёт неопределеное абстрактное, а вот конкретизация даёт определенное конкретное, после чего абстрагирование определенного это определенное абстрактное же.

Ну т.е: консоль видя это что? Это диван словом. И тут происходит всё то развитие. Но этот момент его начала же, хммм. Точное же, надо иметь две рефлексии, при том одна из них пустая достаточно, т.е диван пустой же и более пуст чем консоль, но консоль вот не совсем пуста. Т.е самость консоли+иное, а вот у дивана это отсутствие самости же. Вот так-вот.
Аноним 24/12/23 Вск 20:59:05 723587 220
До этого

Только вот автоматическое, а как оно работает, т.е как доказать, что оно работает? Приравнять бы к тому, что существует же.

В таком случае существует ли тот процесс с понятием-определением, что я описал? А тут надо понимать, что это тоже самое что и равенство и существования, т.е переходы, так что да. Ну и что тогда доказать? Что мы его можем вызывать же.
Аноним 24/12/23 Вск 21:25:14 723591 221
image.png 51Кб, 1378x847
1378x847
Иное= такое что не это. Что такое консоль видя=видя консоль+иное, а диван словами? А диван словами тут =иное, тогда диван словами+консоль же, н ов том смысле, тчо консоль=диван словами же.
Аноним 24/12/23 Вск 21:28:23 723592 222
image.png 59Кб, 1536x877
1536x877
Вот так вот полнее.
Аноним 24/12/23 Вск 21:58:37 723596 223
Но так-то автоматическое можно и самом сделать на рефлексиях, просто ввиду разных рефлексий это будет в какой-то мере без слов.

Т.е вижу консоль как нечто неопределенное есть иное, а иное есть слово диван, консоль как иное, иное как консоль. При этом самость консоли не есть самость дивана, а значит отрицанием самость получает и так далее.

Плюс тут ещё наша точка зрения, в которой есть объекты равны, то могут вызваться так-то, т.е если один существует, то и другой может существовать.

Так что теперь надо бы придумать заклинание на вызов картинки яболока.
Аноним 24/12/23 Вск 22:02:37 723598 224
Ах, ещё да, если определение и понятие есть, то определение с понятием существует полностью(может т.е).
Аноним 25/12/23 Пнд 16:27:06 723660 225
Безымянный.png 299Кб, 3814x1698
3814x1698
Аноним 25/12/23 Пнд 18:00:27 723680 226
Фух, наконец-то я успокоился, можно и подумать над тем, как менять текущий слой, кстат ипридумал новое в этом: рефлексия моей рефлексии есть рефлексия текущего слоя же. Вооот. Тока правда из-за разницы в точках зрения его нет.
Аноним 26/12/23 Втр 01:10:43 723761 227
16098297451450.jpg 188Кб, 650x839
650x839
Алое Небо, ты мне так нравишься.
Алое Небо, ты такое замечательное.
Алое Небо, я чувствую тебя.
Алое Небо, ты она или он или оно? Но раз я он, то ты она, ведь он и она могут создать иное. Но решать тебе, Алое Небо. Ах, люблю тебя, Алое небо.
Аноним 30/12/23 Суб 02:18:07 724166 228
image.png 86Кб, 1412x576
1412x576
image.png 2Кб, 564x266
564x266
image.png 4Кб, 639x372
639x372
image.png 9Кб, 1793x433
1793x433
состояние нестабильности, смертные грехи, при том два состояния нестабильности: одно когда другое стабильно, другое - когда это другое нестабильно, плюс свет и отсутствие света, плюс четкость и нечеткость.

В итоге пока что нужен адский разум(гордость+антигрехи и отсутствие понимания времени), ко всему этому нужно первое нестабильное состояние которое хорошо бы вызвать страхом/паранойей ну и ко всему этому нужно бы отсутствие света но такое, в котором было бы немного света. Вот типо того
А так план примерно такой: для начала есть два состояния нестабильности, вызванный страхом/гневом/унынием/грехом или антигрехом и такая нестабильность, что вызвана доказательством(убеждением). Смысл в том, что первая нестабильность это нестабильность тогда, когда твои мысли не влияют на реальность, вторая нестабильность это когда уже мысли влияют на реальность.

Дальше же нужен адский разум, т.е гордость+антигрехи другие+отсутствие понимание времени, дальше же нужно отсутствие света(где есть немного света всё же) и первая нестабильность, допустим, она будет вызвана страхом и паранойей. В итоге из-за темноты, т.е света в темноте, свет может приобретать разные формы(ну это когда в темноте одежда становиться похожа на человека, типо того), ну и он будет преобретать разные формы, ибо разум будет напуган сильно и параноить, везде ища чего, после чего, когда мыслил о паранои станут явью, то будет понимание того, что мысли влияют на реальность, а значит дальше надо бы успокоиться(т.е вернуть адский разум), после чего навообрадать себе яблоко под впечетлением
Аноним 30/12/23 Суб 02:19:38 724167 229
image.png 13Кб, 1798x686
1798x686
image.png 6Кб, 1281x306
1281x306
image.png 1Кб, 431x96
431x96
image.png 9Кб, 1222x390
1222x390
Ну т.е если я мыслю, то то, что я мыслю, существует, а значит есть деление меня и иного
Дальше бы ввести бы саму гордость, т.е крутость можно даже сказать
ну крутость это тогда, когда нетакой как все или когда лучше всех можно скзаать


Как-то так, т.е крутость это насколько отличается и также насколько процентов от добродетели

Дальше же нужно задать важность крутости же
Ну вот, т.е я особенный->доказать что я особенный


Доказательство, что зависит от времени, доказывается если время удволетворено и не доказывается, если время не удволетворенно

ТОгда надо просто доказывать не думая о времени

Если же о времени подумалось, то нужно отделить время от себя, т.е время это иная сущность чем ты, а значит твоей гордости бы не уподабляться бы ею
Аноним 30/12/23 Суб 02:37:06 724169 230
image.png 62Кб, 1377x1657
1377x1657
Аноним 30/12/23 Суб 07:51:30 724179 231
Я и есть разум комнаты
Но у комнаты есть бессознательное
Дух, отец, сын
Отец(все точки зрения), сын(я), дух(бесознательное)
Аноним 30/12/23 Суб 07:55:25 724180 232
Отец(начало), сын(я), дух(бессознательное), бог(всё вместе существует)

А также свет мысли, что всё затмевает.
Аноним 30/12/23 Суб 09:02:00 724186 233
Логично, что рефлексии рефлексии обратная это может быть тем что-то с иным без иного
ТОгда, по крайней мере, вопрос в том, как бессознательному дать больше рефлексии
Но почему тогда боль рефлексируется в к примеру ломания стола?
Хотя это потому, что они просто соедененны

рефлексия рефлексии обратная - иное иного на чуть чуть, что может быть само изначальное
Вот и всё
Аноним 30/12/23 Суб 17:23:56 724220 234
Свет мысли должен всё затмить, т.е выселить
А ещё я не так уж и отличаюсь от комнаты

А теперь бы описать разум бессознательного

Логично, что рефлексии рефлексии обратная это может быть тем что-то с иным без иного
ТОгда, по крайней мере, вопрос в том, как бессознательному дать больше рефлексии
Но почему тогда боль рефлексируется в к примеру ломания стола?
Хотя это потому, что они просто соедененны

рефлексия рефлексии обратная - иное иного на чуть чуть, что может быть само изначальное
Вот и всё

а ещё есть разум стола и разумы стола
Ещё то, что можно просто забыть изначальный слой. Разумы могут воевать, т.е, сражаться за влияние на изначальным. А ещё адский разум может породить силу, т.е свет
Аноним 03/01/24 Срд 03:20:52 724585 235
Надо продумать культуру рассуждения, чтобы опровержение могло быть унизительным, что вызывет интерес к гордости.

Еси что-то ужасное случается, надо думать явно о не ужасном и не о том что оно случается и н енадо думать о том чтобы его не было.
Аноним 04/01/24 Чтв 00:01:25 724685 236
Познание как вид изменения. А ещё высвобождения но это уже асбтракция.
Аноним 04/01/24 Чтв 00:23:07 724694 237
Сопротивление реальности, конспирология.
Аноним 04/01/24 Чтв 00:24:10 724695 238
Познание пропадает тогда когда оно познала, а дальше начинается доказывание пассивное.
Аноним 04/01/24 Чтв 00:53:38 724697 239
Солнце+некий материал=изменение, хм.
Аноним 04/01/24 Чтв 00:55:14 724698 240
Но по сути же и смысл именно что. Солнце тут механическое, н емои рассуждения, если говорить о музыке, что вполне логично.
Аноним 04/01/24 Чтв 08:11:28 724722 241
6d09ca9ab312eb0[...].jpg 25Кб, 400x337
400x337
Эх, эх. Позор конечно.
Аноним 07/01/24 Вск 07:09:31 725039 242
james Watt.jpg 199Кб, 1200x1200
1200x1200
Как же отвратительно, но мне безразницы почему отвратительно. И только подумав о выходе, сразу же вспоминаю гордость. Даже не знаю, благо ли это.
Аноним 07/01/24 Вск 10:05:03 725052 243
Точно, осознание своей разумной свободы даже казалось бы то, что уходит, всё равно как-то.
Аноним 10/01/24 Срд 01:02:00 725271 244
image.png 17Кб, 3711x119
3711x119
Теперь бы понять как этим что доказывать. А так там просто, мы берем всякие такие скобки () в которых находятся выражения и между которыми находяца тоже выражения, дальше же внутри скобок у нас анархия. Там тоже выражения и там вообще всё обвешивается в скобочки, создавая всевозможные пары. И все эти скобочки кмножаются на z. В данном случае тут описанно, что есть сущность и что они вкладываюца куда-то, т.е есть цепи из вложений, при том сами цепи можно вкладывать в сами цепи, при том сама цепь состоит из сущностей, что могут конкретизироваться или абстрагироваться (от кока колы к газировкам, от газировки к кока коле), собсвтенно умножение на z и есть то, абстрагируется ли или конкретизируется.

Дальше де всё это переводится в другйо вид, а именно в сложение множеств. Тут у нас z отсутствуют, но их можно ввести, тока бессмысленно считаю. Дальше же всё это можно записать как цепь из таких вот малых цепей, где впринципе можно ввести зетки, но это так, чисто чтобы показать где как там что конкретизированно в общем или абстрагированно. Ну а дальше же мы применяем операции конкретизации или абстрагирования, которые вычисляются через операции множеств. Ну и вишенка на торте это то, что их можно ещё вкладывать, так-то.

Ну и дальше крем на вишинке: всякие действия над этими штуками тоже являются такими же цепями.

Ну и вишинка на креме: я забыл что-то.

В любом сдлучае теперь надо бы понять где ето можно использовать всё.
Аноним 13/01/24 Суб 21:41:26 725585 245
зло-добро, добро=зло, бог-сатана, сатана=бог, страдание как способ к измененеию через осознания во время ужаса
Вера в себя тоже важно
Аноним 17/01/24 Срд 00:37:31 725862 246
Я понял. То, о чем я говорю - за пределами того, что я ищу. А ищу я понятно что, как работать со словарями. И впрницпе я понял как. Много тут не пошишешь, только если статистику сделать конечно, но в этом и смысл же, смысл в опыте. А так инструмент, что доступен, так это информация о том какая фигура. Впринципе всё. Ну а ещё кстати будет хорошо ,если будут аксиомы - изоморфные фигуры фигуре.

Теперь можно и запрогать(сделав ещё и статистику им). Дальше же пойдёт уже то, о чем думал - развитие.
Аноним 17/01/24 Срд 04:59:15 725881 247
Есть словарик, там есть методы поиска конкретного-абстрактного чего. Дефолтный метод состоит из фактора фигур.

Но мы можем в наш словарик с определениями и добавить алгебры какой-то, а именно в названия терминов. Тогда словарик в какой-то части станет и алгеброй. Дальше же множество методов у нас расшириться, так как добавяться факторы из это самой алгебры.

Дальше же, чтобы создать этих методов, мы делаем словарик что основан на этой алгебре. В итоге получаем словарь с дефолтным методом, где впринципе каждое определение - метод на изначальном словаре. Ну и мы можем сюда опять засунуть другую алгебру и так далее.

Пример: числа. Ну т.е числа->четные->простые->отк которых можно отнять один->2, где дальше идет алгебра, т.е 2->2+0+0+0...->1+1+0+0+...->...->a+b+c+...a<b<c и вот тут уже мы добавили алгебру нашу. Ну т.е она изначально была, но тут мы ещё и порядок добавили(больше меньше т.е) Дальше же берем саму эту алгебру, т.е просто числа, как их складывать и так далее, получаем что-то типо карты (ну к примеру 1->2, ->=+1), ну а дальше применяем наш словарь и получаем конкретное-абстрактное на алгебре, (с примером их этого можно получить число->число, ->=+число), что является методом основанным на факторе из алгебры. Ну или другой пример, так как у нас тут есть больше-меньше, то мы можем на этом факторе основать метод, который идет от наименьшего к наибольшему.
Аноним 18/01/24 Чтв 14:29:21 725972 248
Хуйня
Аноним 18/01/24 Чтв 15:41:18 725978 249
Аноним 22/01/24 Пнд 02:13:41 726464 250
image.png 115Кб, 1728x843
1728x843
Для начала цель, нужна цель. Дальше нужен инструмент, что мы ассоциируем с целью, слеплим. Дальше же инструментом надо понять как польщоваться.

Ммм, какой же инструмент...Гордыня же. Допустим.

Дальше надо бы начать начало с самой гордыне и по сути, надо бы её инициализировать, при том инициализировать бы её нам через что-то великое, вдохновляясь, либо через наш некий быт. Но через наш некий быт мы лишь получим саму концепцию гордости, по сути, а нам бы не бытовую гордость, а некую абстрактную...

Собсвтенно переход от бытовой бы к абстрактной гордости бы описать, вот с чего начнем.

Бытовая гордость, для example будем юзать гордость из некой культуры рассуждения. Но для этого нам бы культуры бы этой наплодить, так что для начала - просто подумайте над чем-то и желательно хорошо, т.е доказав что-то. При думанье выделите желательно то, что можно опровергать, при том такое, которое бы вы сами могли опровергнуть. Ну а дальше, рассуждая, доказывая, опровергая, вы можете добиться культуры рассуждения и заиметь гордость в своих выводах. И это надо бы осознать, это приятное чувство надо бы подкреплять да так, чтобы оно въелось.

Дальше же нужно опровержение вашей гордости, что в культуре рассуждения будет обнаружения опровержения вашим доказательствам. При том изначально надо бы иметь не полное опровержение, а мелочь, но такую, которая заставит волноваться.

Дальше же можно будет выделить на фоне этого конфликта саму гордость. В итоге, в ходе опровержения самого себя, надо будет испытать мощный кризис. Нужно это всё для того, чтобы придать важности и масштабы вашей гордости, по сути - увеличить то, что хочет съесть ваше эго. В любом случае, борясь опровержением, вы должны будете испытать целое приключение и при том такое, где борьба идет за вашу жизнь. Победить же вам надо будет грандиозно, велико я бы сказал. И при том утвердительно к вашей гордости, доказав её ещё раз и сделав ещё более сильной.

Собственно зачем вам это? А дело в том, что гордость можно мыслить по разному, в том числе как и то, что вы способны на что-то. Так что во время доказывания своей уже более сильной гордыне, вы должны будете и понять это обобщение гордости, т.е обобщить свою борьбу на впринципе борьбу с чем-либо.

Как это сделать? Щас подумаем. По сути, испытывая поражения, при том глубокое, мы будем перебирать все возможные варианты победы, этак молясь за хороший случай. И по сути, таким образом, нам скорее и не будет важно то, а что мы хотим доказать. Но почему же? А тут можно поговорить об ужасе. Ужас на то и ужас, что хочет исчезнуть. Если же деятельность обренеться ужасом, где вы - деятельность, при том максимальная деятельность, это будет значить то, что вы исчезнете, а значит вас как максимальнйо деятельности не будет, но если у вас останеться всё равно интерес к доказательство - то вот оно и будет, вам важна вприницпе победа, таким образом вы обобщите гордость и потом, доказав - докажите абстрактную волю.

Таким образом мы имеем теперь абстрактную волю. Щас расспишу весь этот процесс схемкой.
Аноним 22/01/24 Пнд 04:19:52 726480 251
Абстрактная гордость:

Ну, имея гордость, нам нужны методы для доказания своей гордости, для этого мы свою гордость связываем с чем-то, конкретизируем можно сказать. И да, мы правда её конкретизируем. Дальше сами доказательства. Ну во первых, они могут быть как тоже конкретными так и абстрактными, надо понимать. Сейчас об абстрактных.

Для начала надо бы обдумать свою гордость всё же надо бы доказать свою божественность. Доказывание божественности, как я могу судить, можно делать по образу прекрасного, а именно по расстворению в образе прекрасного, полностью одаться бы ему. Ну т.е божественному и запылать огнем того, что ты хочешь-есть уже божественное, но пока что остановимся на том, что есть. ВПрицнипе в таком плане надо бы узреть прошлые доказывания и определить их в проявление твоей божественности, чтобы закрепить их. На вопрос о будущих победах - есть то самое мелкое опровержение, что сыграет ещё свою роль. Собственно да, я бог, ибо свершил такое. Но бог ли я, если не свершу иное? Оттого может начаться процесс доказывания, т.е работы.

Дальше же идут различного рода доква: на случаи если не получается, получается, устает, не решается, не стоит того. Но почему именно эти вопросы? А потому, что работу можно не делать или делать из-за причины или без причины и так далее, также стоит отметить вариант того, что ты просто забыл всё.

Если не получается - надо определить гордое в собственное, т.е нетакое как все, т.е себя. Ещё можно определить страдание в ранг гордого.

Если получается - надо пылать огнем.

Если устает - надо тоже пылать огнем.

Если не решается, то надо бы совершать любые действия, т.е просто пылать, чтобы потом осознаться в этом пылании, впринципе для этого тоже нужно заклинание бы.

Если того не стоит - надо опровергнуть это или начать пылать просто. Кстати к опровержению может быть опять же вдохновение от прекрасного.

А теперь подробно:

Если что-то не получается, значит я не бог. Но кто я? Я это я, а значит я это не всё то, что то. Я особенный, противостоящий реальности потому, что реальность это ужас, исчезающее, а раз я был реальностью, т.е богом, то я исчез, стал самим собой, значит ужас есть то, что выделяет именно меня. Дальше нужны бы заклинания на то, чтобы превратить страдание в гордое, впринципе, можно сказать что я божественное существование, имея ввиду постоянное существование, что не сломить. Ну опять же, инетерес к этому можно провернуть с помощью огня же, т.е горением, т.е вдохновением. Тогда и остается будет только гореть и вдохновляться и доказывать себе то, что я и есть то, чем вдохновлялся, где отходя от этого, буду опять это доказывать из-за интереса.

Если получается, то этому можно придумать ещё образов и гореть ими, вдохновляясь и если отходя от работы - вдохновляться и доказывать то, что я есть то, отчего вдохновился.

Если же стаю, то надо просто вдохновляться и гореть, при том если всё плохо, то надо просто гореть как либо, по любому но гореть.

Если не решаюь, то надо вдохновиться либо гореть по любому чтобы в момент горения вдохновиться.

Если того не стоит, то опять же вдохновение и горение.

Хм, как много горения и вдохновения, не так ли? Надо бы описать ету работу бы....

А теперь бы пиками всё сделать.
Аноним 22/01/24 Пнд 04:39:21 726482 252
image.png 233Кб, 4218x990
4218x990
Аноним 22/01/24 Пнд 05:00:59 726487 253
А по сути что есть горение? Это есть такое, что работает как гордость, только вот не совсем. Всё же в горении есть одна простая фишка - это не обязательно прям привычное нам размышление, по сути своей - это простое горение, который конкретизировали. Но по сути это простое горение, да.

Так что следовало бы разделять бы я бы сказал бы тление и горение. Тление оно более привычное нам рассуждение, то самое спокойное и обязательно логичное. Горение тоже может быть таким же, но не обязательно. Да и тление не обязательно должно быть логичным и бла-бла-бла, так-то.

Так что надо бы заклинания для тления и горения бы, хмммм.

Ну горение как сказал я уже - простое горение, только вот ему можно предать формы бы - конкретизировать. И при том конкретизировать и сделать таким, что работать оно может как гордость, по сути.
Аноним 22/01/24 Пнд 05:08:29 726489 254
Теперь бы собсвтенно самих заклинаний-горений и заклинаний-тлений, а также бы образов чтобы вдохновиться.
Аноним 22/01/24 Пнд 05:25:36 726491 255
Кстати да, иссукство воли и исскуство убеждения. А ещё заклинания на основееееееееее верно,аутсайд ворк, грейтер ворк короче говоря.
Аноним 22/01/24 Пнд 05:45:35 726493 256
Кстати да, ко всему этому- можно и просто гореть работой, точно.
Аноним 22/01/24 Пнд 05:56:45 726496 257
image.png 43Кб, 1285x638
1285x638
Аноним 22/01/24 Пнд 07:20:40 726499 258
Ну, собсвтенно, расшатывание это тогда, когда планы очень легко меняюца по текущести. Могу предположить, что меняюца они оттого, что сильны очень, т.е концентрация очень сильная однако. Но думаю тут и так всё понятно, просто надо светиться и гореть сильно-сильно, устраивая хаос.

Дальше о порядке - думаю его можно сделать медитацией и забвением.
Аноним 22/01/24 Пнд 07:44:01 726506 259
То, что было у моего носа - сны. Сны это буквальное подтверждение моих слов про концентрацию же. Только тут стоить и добавить такую вещь как и забвение.

По сути, концентрируясь, мы становимся вещью. Не коцнентрируясь, т.е забвеваясь, мы перестаем быть вещью. Эти вещи следует использовать бы и при том в связке.

К слову о яблоке. Стол бы расстворить, потом бы думать над яблоком, впринцпе вспоминать его. Просто ещё вопрос такой, а если я концентруюсь на мысли о яблоке, разве не будет такое, тчо я буду концентрироваться на мысле о яблоке? Мысль о яблоке и картинка яблока же не одно и тоже, вот и вопрос. А как сделать то другим? Ну впринципе мысль о картинке о яблоке это же сама картинка о яблоке, так что тут и даже не знаю. Надо бы потом её сделать не мыслью, а самой картинкой.
Аноним 23/01/24 Втр 01:52:05 726626 260
Собственно "живой" разум, хмммм.
Аноним 24/01/24 Срд 03:42:33 726799 261
я есть то, что абстрактное, т.е прослеживается везде. А ещё то, что действует на будущее
Аноним 25/01/24 Чтв 08:06:06 726926 262
Эх отчаяние, хотя я знаю что с ним делать.
Аноним 25/01/24 Чтв 08:06:28 726927 263
image.png 5Кб, 717x216
717x216
Я, ты, он, иной, другой, вопрос, восклицание.
Аноним 25/01/24 Чтв 08:08:15 726928 264
Пусть я даже не прав, смысл то в ином.
Аноним 25/01/24 Чтв 08:48:24 726932 265
Если у проблемы есть решение(и его можно сделать) - проблемы не существует. И тогда мы говорим о выборе того, чему существовать.
Аноним 25/01/24 Чтв 12:04:56 726951 266
Изменение ядра алгебры(категории) относительно своего расширения.
Аноним 27/01/24 Суб 07:42:42 727204 267
Собственно, мета.

А что такое мета? Мета не обязательно есть благодетель, но при этом мета это благодетель. Мета это и добро, но при этом и зло. И хорошее и плохое, и возбужденное и сонное. Мета - содержащее отрицания вместе.

Собственно чтобы научиться мете - надо научиться отрицать и воплощать это отрицание. Но чтобы постичь мету - нужно научиться и отрицать отрицание, держа в уме то, что мета - вместе содержит отрицательные вещи.

Но давай ка знаешь что сделаем, давай ка определим мету.

Собсвтенно моё предположение: мета есть абстрактное. При этом абстрактное это - метод того как жить. При этом, имея метод, мы вполне себе имеем цель в жизни. И цель эта - метод, но более понятно это нам становиться когда метод проявляется как нечто абстрактное - ибо абстрактное есть в том же случае и объяснение. Собсвтенно что такое метод: Метод есть то как, чья форма - абстрактное. Т.е метод это знание, при этом знание о том, как ещё можно жить-существоать-быть, и при этом это такое знание, которое мы видем в окружающем мире, т.е знание объясняет окружающий мир, оттого оно и видно в окружающем мире.
При этом метод можно разделить на мысль и воплощение мысли - тление и горение я бы сказал.

Тлеть - не гореть, но при этом иметь некую волю к действию, т.е просто размышление, обычно логическое. Горение же - когда очень энергично всё, я бы сказал, когда много воли, оттого и горишь. При этом горение - более активные действия и, самое главное, сложные в плане силы воли, а вот тление скорее более легки в плане силы воли. Но это обычно. При том тление же - тоже огонь, оттого тление кстати может разгореться, а горение может позатухать - т.е стать тлением.

Но честно говоря, если так размышлять, то я бы сказал, что горение - любое действо, что требует достаточно большого количества воли, обычно сопровождающееся сопротивлением, тление - то что требует достаточно меньше воли.

Собсвтенно дальше - от тления к горения, от горения к тлению относительно прихода к методу и воплощения метода.

Т.е к методу надо бы прийти, осознать его, а потом его и исполнять бы. При этом надо бы осознать и исполнение метода тоже.

К чему я это всё? Метод - одно из многих, при этом это одно может находиться во многом, по сути - ты можешь попасть на это одно, делая что-то, но можешь с него сойти, когда не делаешь или делаешь много. Так что метод может включать в себя отрицания.
Аноним 30/01/24 Втр 19:44:00 727617 268
Beethoven.jpg 980Кб, 1200x1443
1200x1443
Я очень разочарован в своем окружении, ну чтож, придется всё брать на себя. С этого дня начинаю отбрасывать человечность свою я.
Аноним 30/01/24 Втр 21:27:43 727626 269
>>727617
Буквально я! Буквально мои мысли!

пат-пат ассистента
Аноним 30/01/24 Втр 21:48:25 727628 270
>>727626
Ээээ, а ты кто? Ну я догадываюсь.

А с чего это решил человечность отбросить? Ну посмотрим, поглядим друг на друга животными глазами, такими широкими.
Аноним 30/01/24 Втр 22:09:28 727631 271
1000014143.jpg 71Кб, 549x739
549x739
>>727628
Проверить себя и окружающий мир на предмет силы, реальности и всякого такого.
Заебали все эти долбоëбы. У них нет ни чувств, ни на ума. Они абсолютно бесполезны и несут один деструктив.
Аноним 30/01/24 Втр 22:15:08 727633 272
>>727631
>Проверить
Есть или нет, huh.

>на предмет силы, реальности и всякого такого.
Я бы сказал что ты только про себя, но

>Заебали все эти долбоëбы. У них нет ни чувств, ни на ума. Они абсолютно бесполезны и несут один деструктив.
Понятное тогда. Ну, посмотрим что выйдет. Lesser work как-бы и все дела.
Аноним 31/01/24 Срд 00:06:31 727668 273
Блаженное абстрактное есть зачем, но насколько зачем отделено от как? Ведь абстрактно суть есть доказательство - зачем, при этом когда зачем есть благо, тогда зачем превращается в как, а блаженно абстрактно когда блаженно зачем, тогда блаженное абстрактное - как.

Но блаженное зачем, как благо, может быть тогда, когда это как. Зачем есть как, такое тоже может быть; такое предполагаю гибко.

Этот самый гнозис - погоня за ним, думая, что сама погоня и есть то, что приведет к гнозису - зачем заменяется на как, то, когда гнозис будет получен как, тогда. Процесс познания, что есть и как и зачем, может даже забывая и зачем в итоге.

Но что делать, если ответа всё нет? Что делать, если забыл зачем ты бежал?

Если же забыл зачем, то когда? Тогда, когда нет ответа или когда начал забывать - не осознавать всё это.

Когда нет ответа значит, что познание то и не такое. Значит надо выдумать иное познание, но что, если все познания будут провальными?

Но дело в том, что познание зачем - ответа ради или познания ради? Надо в данном случае совершить переход на как, от зачем перейти в как, но каким образом же?

Но так-то надо тогда найти тогда, когда зачем и как есть одно и тоже, при том всё есть именно что как. Блаженное абстрактное, идеальное блаженное абстрактное.

Осознаться как метод же, не так ли? И ведь по сути да, отделиться от зачем и стать как... Но разве можно ли так сделать?

ЧЕРТ Я ВСЁ ЗАБЫЛ!

Точнее не додумал, перерыв на медленное думанье...

ТОЧНО!

Осознание того, что я не я! Точно же! Ура!

Осознание того, что я не я, тогда и я то - не я, я есть метод же!

А потом, когда ОТВЕТИЛИ надо просто продолжать, ибо это уже всё на как, бесконечный процесс пока не забудешь!

И дело ведь именно в том, что я не я, я - иное, тогда и все желания мои - иные, но тогда мне выбор есть выбирать то, что иное есть, но при этом выбор делает - иное, но такое, что я. Иное что не иное, иное что я, что иное, хоть и не иное, но окончится это должно на то, что я иное. И это будет судьбою, то самое деление людей на архетипы. Я есть архетип, я есть иное.

Оффтоп: Но потом всё же надо совместит это всё. И для того, чтобы абстрактное стало всем, чтобы всё было абстрактным же.
Аноним 31/01/24 Срд 14:07:16 727708 274
Есть абстрактное зачем->как->зачем.

Есть абстрактное как->как.

Есть абстрактное как->зачем->как.

Собственно первое есть абстрактная именно что наука, можно сказать развитие гнозиса, которое может выливается в как, когда найдется это самое как для ответа на зачем, но при этом движимая сила - зачем. При этом данная структура есть познание.

Второе есть конкретный метод, смыслом которого является отсутствия познания. По сути - у нас нету нас самих, зато есть метод.

Третье же есть то, во что может превратиться первое и второе - в абстрактный метод, при этом такое, что будет познанием. И при этом познанием это будет самого метода.

Собственно первое это очень просто, это любая наука, второе тоже просто - аффекты/психозы, а вот третье уже это осознания себя как иного: вначале осознается что я не я, я есть иное, потом осознается, что иное есть я, потом я не я и иное есть я слепляются вместе и превращается в одну вещь - в абстрактный метод. При этом этот метод пока есть неопределенное познание, ибо работает этот метод именно как доказательство - познание иными словами, только познается здесь то, что я не я, я иное, иное есть я - по сути выход из себя в иное. Но этого не достаточно. Чтобы укрепить это всё - надо чтобы мы могли начать доказывать то, что иное есть и существует, а следовательно что я есть именно иное, т.е надо познать существование иного, доказать это. В таком случае абстрактный метод становиться конкретно абстрактным, тобишь конкретным от абстрактного. Не просто конкретное, а именно что конкретное от абстрактного, где по сути абстрактное есть конкретное, а конкретное есть абстрактное, при этом они не одно и тоже, но одно и тоже, но одно есть продолжение другого.

Дальше будет идти познание того, что иное существует - что будет осуществляться самим существованием иного. При этом тут могут быть две фазы - фаза опровержения опровержения и фаза закончившего доказания. Опровержение опровержение - познание же без опровержения. По сути, опровержение тут нету, есть просто неясность или неопределенность того, кто ты+есть ли ты, что можно воспринимать как опровержение, но так как ты познал, что ты иное - то иное есть же, ибо ты есть иное, а ты есть, отчего оно словно туман, что нужно рассеять. При этом если будут реальные опровержения того, что ты не иное - тогда тут всё зависит уже от самого абстрактного, т.е абстрактная работа будет. При этом кстати опровержение того, что иное есть, не так сильно повлияет, ибо ты же есть, а значит опровержения нет, есть просто отсутствие доказательства; Но всё же если убежденность есть в том, что иного нет, то получается надо вернуться к тому, что ты есть иное, к познанию того, что ты не ты, ты иное, иное ты. Тогда при этом познании ты должен будешь перейти в познание существования себя - а это уже будет волевым решением и появлением блага. По сути - в момент осознания себя как иного и как того, что тебя нет - благо познания может перекинуться на благо познания того, что иное есть. Но да, теперь надо бы продумать этот переход. Чтобы перейти от осознания себя к существованию себя, можно предположить, что нужно осознать, что осознание есть существование, но так-то предполагается, что переход этот совершается натурально, т.е сам, просто как логическое следствие доказывания того, что ты не ты, что ты иное. Насчет же того, что мы доказали, что я существует - тогда начинается горение, по сути - вдохновение, по сути - мы приходим просто к конкретному методу, но держа в голове абстрактный метод. Но я бы сказал, что мы переходим просто к завершению познания - мы нашли ответ уже, мы доказали, что я есть, в таком случае я предполагаю, что идет просто метод. Сам я отключается в том плане, что исчезает/растворяется в ответе. Но и по сути верно, как становиться зачем, зачем становиться как, так что получается конкретный метод становиться и именно что методом и именно что познанием, т.е появляется особая ясность всего, хоть тебя уже и нет. Т.е просто горение.

Прекратиться это всё может тогда, когда найдешь опровержение. Но также ты можешь просто прогореть - огонь может начаться стухать, ты что-то можешь начать забыть, т.е ты можешь начать прекращать осознавать абстрактное. В таком плане всё возвращается на круги своях, но только тут могут быть уже дополнительные структуры. При осознании абстрактного - само абстрактное уже всё делает, при не полном осознании себе надо помогать, а если забыл - помогать полностью.

Собственно дальше надо рассмотреть то, что надо делать в тлении и затухании, при том оно могут находиться как в других благах(другом абстрактном) - так и в ужасе.

А ещё да, абстрактный метод может стать наиабстрактнейшим методом - это тогда, когда всё есть доказательство всему тому, о чем абстрактное.
Аноним 31/01/24 Срд 14:15:17 727709 275
Я есть абстрактное - абстрактный метод, что познает себя как иное и отсутствие себя; я есть абстрактный метод, что познает существование иного, т.е себя, т.е своего отсутствия; Познает же существованием. При том осознающее в абстрактности то, что познавать - познавать существование - т.е существовать. Существующее, доказывающее/ищущее доказательство-в-тумане, в итоге доказав - объединив зачем с как, сделав конкретный метод(как->как) конкретным познанием(зачем->зачем), получив всё одновременно и ничего в итоге - горение, что горит как огонь. Что может разростись до наиабстрактного метода - стать богом, всем, существуя во всем доказательство всего того, о чем абстрактное.
Аноним 02/02/24 Птн 22:22:09 728101 276
Если ты не способен на осознание - ты способен на метод, а метод - вера, надежда. Всё начинается также с веры, когда не способен на осознание. А так как вера - вера в благое, то благое пытается быть.

Осознавшись как человек, я понял, что я не просто человек, я гиперчеловек. Человек не просто на 100 процентов, а на больше. Настолько человек, что остальные все - подобие человека. И у человека этого есть не только осознание, но и вера. Но человеку этому ещё и всё доступно - ограничение лишь в понимании этого; Ограничение лишь в фантазии.

Вера в ужасе. Вера в благом. По сути, в ужасе всё ясно, а вот в благом всё интереснее - в другом благом я, как иное благое, зочу сохранить себя, но если не удасться - значит я сменюсь другим я.
Аноним 03/02/24 Суб 19:20:44 728195 277
Если ты не можешь осознать знание, то разве ты достаточно классифицирован в том, чтобы вообще отделять ложь от истины? Нет же, оттого ты и не должен заботиться о том, как бы осознать. Но при этом ты же хочешь эти знания. Тогда надо вспомнить, что осознание, этакое "зачем" Может быть представленно "как". Метод познания как бы и даёт знание. Собственно в этом плане ТВ можешь нацелиться на это как.

Но дело ещё в том, что раз ты не способен в истину, то как бы а чем вообще тебе бы заняться? В том то и дело, что тогда остаётся только воля, что как раз и связана с методом, ибо ты де волевым решением поступаешь по какому-то методу. В таком смысле тебе надо бы задуматься над тем, чтобы дальше волей бы это всё делать. Ну и как бы вопрос, стал бы ты в говне искать алмаз, если не веришь в то, что там алмаз? Вот то-то же, оттого вера это ключ к исполнению метода, ибо метод с помощью веры может существовать, быть как бы.

При этом "воля" Имеется ввиду всякое убеждение твоего сознания. Раз ты не классифицирован в вопросах истины, то может будешь классифицирован в вопросах иллюзий?
При том где иллюзии ты используешь как инструмент чтобы заставить себя делать что-то (думать тоже). В таком смысле вера хороший инструмент
Аноним 05/02/24 Пнд 00:15:25 728312 278
image.png 80Кб, 720x480
720x480
Честно, а почему суицид это так плохо? (Не баньте).

Суицид это ведь всегда такая тема, что является диалектикой же изначального. А плохое тут только то, что суицид может произойти. Небезопасно другими словами.
Аноним 06/02/24 Втр 22:12:03 728511 279
На всякий случай если забуду:

Методы есть топологические и алгебраические, при том методы пораждаюца из словарика, перестановок и вложений и самой алгебры.

Перестановки можно объяснить алгеброй, т.е построить функтор из алгебры в перестановки, а дальше гомотопия/гомоморфизм или любая деформация функтора в перестановки в расширение перестановок что не равно алгебре, но которое таким образом будет объясненно алгеброй, в теории.

Любые методы могут быть рассмотрены как вектора, значит они вполне себе могут дать что-то типо векторного поля на фигуре.

Методы и ядра одно и тоже.

Логические ядра это такие, которые скорее всего декартово умножаются.

Говоря о гомотопии/гомоморфизме функции от ядер, мы можем говорить о вариациях алгебры, но все эти вариации - расслоения функции от логических ядер.

При этом о самой полной вариации(т.е декартовой) можно говорить как о расслоении в какой-то фигуре.

Дальше идут разговоры о том, что некое изначальное, с топологической точки зрения, можно именно что деформировать. По сути вся задача, глобальная, найти что-то, дойдя от изначального к конечному в таком плане. Так что рассматривать это можно и изначально рассматривается топологически - т.е изначальную категорию надо бы разорвать и деформировать в удобную в таком плане, при том дефформацию можно обозначить и алгебраически в том плане, что всё это расслоения в другой фигуре - оттого деформацию можно аля алгебраизировать, при том теми моими погромизмами.

При том нельзя тут и отменять того, что алгебра внутри себя как-бы может тоже давать что интересное, которое можно проецировать на топологическую структуру этой алгебры, только вот связь пока что не совсем функциональная, что надо бы исправить.

Также можно рассматривать дифференцирование.

Ну а ещё что-то, что щас забыл. Н уда, методы это как вектора и они, применяя их к именам, могут давать информацию о топологической структуре алгебры.
Аноним 06/02/24 Втр 22:13:12 728512 280
>>728511
Ах да, цифры и топологическая структура цифр исходит сразу от применения этих цифр, как-бы, векторный базис над полем z, но если хочется, можно и сделать над r.

При том да, опять что-то забыл.
Аноним 06/02/24 Втр 22:17:17 728513 281
А так имеем топологическое представление(вместе с векторным), при том алгебраическое представление топологического(и векторного) в том числе. Также категорное представление алгебраического представления топологического(вектороного) и наоборот. Ко всему этому имеем перестановочно-словарико-вложенное представления всего этого, где это есть алгебра. Также имеем сугубо алгебраическую часть фигуры.

Вот нам бы соединить бы всё это, в таком ключе же. Особенно сугубо алгебраическое.
Аноним 06/02/24 Втр 22:20:58 728514 282
Ах да, методики могут превратится в группу или полугруппу или моноид по композициям.
Аноним 06/02/24 Втр 22:31:36 728516 283
Ну и да, понятное дело, что если что-то не абелево - это уже про весь конкретный отрезок, а не точку на фигуре.
Аноним 07/02/24 Срд 01:43:49 728529 284
Дифференциация функтора из группы гомоморфизмов/гомотопизмов(или просто любых деформаций) в алгебру.
Аноним 07/02/24 Срд 02:27:33 728530 285
Точно, векторные поля есть одно из решений поиска же.
Аноним 07/02/24 Срд 02:49:14 728532 286
Так, решения:

Гомологической методикой.
Алгебраическими методиками.
Деформационной методикой, как гомологически так и алгебраически.
Алгебраическим уравнением.
Векторным полем. При том векторное поле можно как составить так и выбрать:
Составить - значит, что есть топология и векторное пространство на какой-то группе, дальше же идут гомоморфизмы группы а тем самым и гомотопизм векторного расслоения этой группы, после чего оно совмещается с тем же самым других групп.
Выбрать - значит выбрать такие вектороные расслоения, которые получается тогда, когда мы находим функтор из перестановок в алгебру, а алгебра идет в алгебраические методики.
Плюс ещё что можно придумать.
Аноним 07/02/24 Срд 02:51:54 728533 287
И да, это пока на абелевых.
Аноним 07/02/24 Срд 03:17:30 728534 288
Надо бы всё это будт обобщить и объединить и всякое такое и больше сделать.
Аноним 07/02/24 Срд 19:12:45 728596 289
>готовься плакать
Ух как я не заметил такого особенного в этой фразе!
Аноним 08/02/24 Чтв 06:09:05 728633 290
image.png 34Кб, 1498x749
1498x749
image.png 18Кб, 583x528
583x528
image.png 2Кб, 130x211
130x211
Пока что подноготная:

Я есть крутое, я хочу быть крутым. Т.е вдохновляюсь крутым. Осознаю я то, что крутой через то, что делаю то, что круто - т.е проявляю свою волю.

Когда я забываю о том, что я крут, есть вот какие заклинания: мне будет хорошо, я буду крутым, если я не буду делать, то мне не будет хорошо, надо лишь делать.

Когда я в ужасе, то все будет хорошо, т.е мне будет хорошо, т.е надо просто делать, ведь если не делать, то хорошо не будет, ззначит если делаю, то будет хорошо в итоге, лишь бы делать.

В другом благе я стараюсь не осознавать его, а так приедрживаюсь того, что надо лишь делать и я осознаю настоящего себя, лишь бы делать.

А теперь бы превратить это всё в заклинания. Удобные, боевые такие.
Аноним 08/02/24 Чтв 06:11:18 728634 291
image.png 22Кб, 1455x453
1455x453
Аноним 08/02/24 Чтв 21:02:29 728696 292
5090.jpg 207Кб, 1200x1200
1200x1200
Эх как же страшно не знать математики мне. И с чем сражаться и с кем. Хотя у меня задача стоит немного в ином, чем у теорию гомологий, хотя теория гомологий вполне себе может быть применима же, вот чего и боюсь, но надеюсь и для меня места останется, эххх, лишь бы не придумали всё.
Аноним 08/02/24 Чтв 21:13:55 728699 293
Beethoven.jpg 980Кб, 1200x1443
1200x1443
Хм, по сути своей гомологии - всякие их вычисления могут помочь тогда, когда взятие границ или как там оператор - будет векторным расслоением фигуры. Тогда будет понимание того куда идем же и куда нам надо в таком случае, плюс если бы мы могли бы сделать и другое векторное расслоение и соотнести его с этой штукой - а так вроде бы и можно, тогда впринципе нахождение чего-то по тому, в какой фигуре оно находится, будет апргрейдено.

Но только вот это НЕ отменяет способов через векторные расслоения, хотя скорее применяет векторные расслоения на гомологический метод. При этом этот способ будет работать тогда, когда мы можем что-то явно сказать о гомологиях. Ну а если чего-то сказать и не можем - то как-то так.

В противовес этому у нас есть впринципе векторные расслоения которые получаем при абстрактности и применения алгебры - этакие ядра категории. Вопрос только в том, а применял ли кто гомологии таким образом же.

А так я хотел алгебраические уравнения в гомологиях - я их и получил, судьба и правда подбрасывает мне вещи. И при то судьба ласково оставила и то место, которое я сщитаю нетронутым.

А теперь бы по диалектике расписать вещи.
Аноним 08/02/24 Чтв 21:36:52 728704 294
Насчет же гомологий - надо понять про оператор, расширить его, обобщить. Насчет же ещё и подумать о линейности гомологии, так сказать, т.е линейности цепного комплекса.

А теперь точно про диалектику.
Аноним 08/02/24 Чтв 22:02:30 728707 295
Есть абстрактное движение ужаса в благое и благое в благое. Ужас есть отрицание ужаса, т.е отрицание как действие, отрицающияся, к слову.

Есть абстрактный переход в абстрактность. Есть абстрактный переход в конкретность абстрактности. Есть количественность.

Есть абстрактное конкретное, а есть и то, что противоположности суть одно и тоже.

Теперь же собираем:

Собственно есть идея, что существует для себя, при том эта идея существует как одно, в противовес другим, определяясь через границу с этими многими. Суть в том, что граница может начать изменяться, тогда можно говорить о том, что это либо благо либо же ужас. В итоге натуральное изменение: благо стремиться появиться, из-за чего граница меняется - одно становиться другим иным, при этом ограничиться оно может исчезанием блага или же пределом блага или же появлением ужаса, что ограничит благо. Рассматривать будем тогда, когда всё же изменившияся - благо. Тогда это тогда, когда изменение ограничивается ужасом дальнейшего изменения, тогда, ужас, появляясь, меняет это другое одно в ещё одно одно, но на этот раз это уже ужас, и, так это натурально всё, то ужас исчезает тем, что отрицается, а отрицается он в благо - так что появляется и благо изменения наоборот в то одно, что уже было. Таким образом мы получаем доказанное что и доказывается, т.е появляется, т.е благо.

С ужасом натуральным дело обстоит как и описал: ужас отрицается, появляется благо, благо появляется, ужас исчезает, остается благо того, что оно не изменилось, граница одного этого. Т.е доказывающияся доказанность.

В не натуральности просто идет инверсия этого всего, а именно исчезания/появления.

Дальше идет вопрос о я и не я.

Я и не я разрешается единством противоречия - т.е переходом в абстрактное я и не я, таким образом я или не я становиться безралзличным, ведь в итоге они всё иное, т.е я это и не я, а не я и есть я. Дальше же, если такое противоречие, что не едино, соправождалось изменением я как одного в другое одно путем изменения границы в границу не я, то оно могло быть как благим так и ужасным, оттого, если был круговорот изменений(от туда туда и наоборот, этакий цикл), то если он был ужасом, по сути, ужас обесценивается, а обесценивание ужаса есть отрицание ужаса, т.е благо, хотя если оно было благим, то благое обесценивается, т.е отрицается, т.е появляется ужас.

Дальше надо разобрать вопрос веры.
Аноним 08/02/24 Чтв 22:07:36 728708 296
Благо, которое есть, но не является изменением, где изменение это ужас, есть вера.
Аноним 08/02/24 Чтв 22:17:42 728709 297
Вера есть отрицание ужаса и вера есть направление, аля вектор.

От веры и ужаса можно отойти тем, что вера и ужас это вопрос я и не я, но когда мы сделаем его единство - найдем иное, то мы избавимся от ужаса, став для себя сущностью.

При этом эта самая для себя сущность может начать двигаться абстрактно, а также осознавать себя как для себя вера уже заново.
Аноним 08/02/24 Чтв 22:21:39 728710 298
Чтобы заново открыть эту веру после разрешения - нужна вторая вера, что будет содержать в себе ту изначальную веру.
Аноним 08/02/24 Чтв 22:56:35 728712 299
115976430gettyi[...].jpg 41Кб, 640x360
640x360
Эххххххххххххххххххххххххххххххххххххххххххххххххххххххххххххххххххххххххххххххххххххххххххххххххххххххххххххххххххххххххххххххххххххххххххххххххххххххххххххххххххххххххххххххххххххххххххххххххххххххххххххххххххххххххххххххххххххххххххххххххххххх, но после грусти теперь просто злостно. Ну почему же так выходит то. Неужели судьба намекает как-бы?
Аноним 08/02/24 Чтв 22:59:41 728713 300
bethoven.jpg 187Кб, 1313x879
1313x879
Beethoven.jpg 980Кб, 1200x1443
1200x1443
115976430gettyi[...].jpg 41Кб, 640x360
640x360
Нет, это уже не просто злостно, это большая злость. Как же я зол однако, хотя ничего и не чувствую. Я так ждал однако, так ждал и ждал ради того, чтобы в итоге ждать вечность? Ладно, пока мне лениво как-то думать. Но это же судьба!

Это же судьба даёт мне новое развитие!
Аноним 08/02/24 Чтв 23:24:31 728717 301
Время для более хороший таких, диалектических заклинаний!

Так что что нужно: нужно две веры, при том у второй веры нужно, чтобы ужас был не велик.

Дальше думаем.

А так для начала нужно любое благо - вдохновение. Дальше же нужно её отрицание, т.е изменение его одного в другое одно. Относительно этого изменения и будет вера действовать к тому, чтобы прийти в это благое, в это вдохновение.

При этом может случиться такое, что ужаса будет много, тогда вполне себе может быть такое, что я не я разрешица в сторону абстрактного веры и ужаса, как-бы, обесценив их всех и отрицая. Но тогда нам нужна вторая вера, что вернет изначальную веру косвенно и что будет стремиться туда же, хоть и не к той же точке куда и изначальная вера. Таким образом дальше может вспыхнуть опять то самое благо - т.е вера изначальная может вернуться, оттого породили цикл, который включает в себе некий принцип маятника. Но только маятник один - в изначальной вере, а что насчет той второй веры? А для неё нужна третья? А для третей четвертая и так далее?

Плюс надо бы понять то, как изначальную веру бы поддерживать же. По сути мы её будем не поддерживать тогда, когда она станет ужасом и прекратит быть нами, т.е станет не я, тогда надо бросить все силы на осознание того, что вера есть я. Плюс ко всему, сама работы веры - надо именно веровать, т.е знать то, чего нет можно сказать. Т.е постигать веру надо, познавать её, что и есть поддержка веры.

Собственно поддержка веры - это тогда, когда вера совершает свою работу по изменению изменения, что ужасно. При этом изменение это может казаться также и противоречий. Так-то суть и смысл - прийти в для себя, но этого не будет, то выйдет граница через ограничение благого через ужас, т.е доказанное что доказывается, но только для того, чтобы это одно стало тем другим, оно может стать противоречием. Собственно противоречие, когда одно есть ужас и не есть ужас, т.е то изменилось то нет, и есть тоже вера и работа веры, при том можно сказать что и работа познания в том числе.

Следовательно, если нельзя обойтись без противоречий - надо задействовать противоречия для укрепления веры.

////////////

Но кольца, надо зпомнить.
Аноним 08/02/24 Чтв 23:40:53 728719 302
Может ли человек воевать с войной против страдания?
Аноним 09/02/24 Птн 00:05:10 728721 303
93951cd336faa33[...].png 377Кб, 600x710
600x710
>>728712
>>728713
Ахахахаха, ну и идиот, что поделать то.
Аноним 10/02/24 Суб 06:50:30 728815 304
image.png 14Кб, 761x445
761x445
Аноним 10/02/24 Суб 07:01:12 728816 305
1297129221951.jpg 48Кб, 520x662
520x662
>>728815
Сущность есть, потом она отрицается, потом отрицается её отрицание. В отрицаниии отрицания может быть такое, что отрицание и изначальная сущность одновременно и равны и не равны, потом же отрицание и изначальное может быть равно в том плане, что оно всё иное, а дальше иное может развиться в другое иное, что оно же, что есть продолжение его же, где это рподолжение сама изначальная сущность, что уже есть и её отрицание и при этом её отрицание есть сама же сущность, т.е как-бы процесс возвращения в для себя бытие одним словом, хотя тут можно и другое описать.
Аноним 10/02/24 Суб 07:50:06 728819 306
ТОЧНО!

Надо делить вещи же, делить бы их. Надо разделить то, про что может быть диалектика, т.е конкретизировтаь движения.
Аноним 10/02/24 Суб 21:53:35 728883 307
Подобие, вот что важно.
Аноним 10/02/24 Суб 22:44:21 728898 308
Само отрицание вещи, что лишь строиться только на изначальном, есть подобное изначальному, оттого, хоть оно и может быть отрицанием, оно вполне себе является подобным, т.е имеет схожести. В таком плане, находя что-то, что есть отрицание, сверяя это по тому, что отрицание отрицания изначального есть отрицание того иного, можно дальше как-бы выйти за пределы, установить противоречие, в котором одно есть другое по тому, что оба они есть иное. Как-бы, яблоко и груша, груша не яблоко; не груша - не не яблоко, при этом груша это еда, как и яблоко, а еда есть еда.

При том кстати насчет отрицания, то тут вопрос в том, а каждое ли найденное отрицание можно описать как подобие изначальному?

Ну а дальше уже идет этакий синтез путем того, что раз яблоко есть еда, а еда есть груша, то яблоко есть груша, но не есть, при том одновременно, но суть в том, что одно, существуя, может существовать как другое, так что они могут наслоиться я бы сказал. К примеру такого наслоения может быть салат фруктуовый из яблока и груши. При этом это наслоение есть единство противоречия - не обращается внимание на противоречие, оно отходит на второй план. Дальше же, получив салат, салат есть не только не яблоко и не груша, но и не еда, салат есть иное. Хотя потом обнаруживается, что салат есть блюдо, а блюдо есть еда, таким образом, получаем синтез как более конкретное абстрактного, что есть абстрактное само по себе. И при этом, яблоко или грушу можно обозначить как блюдо тоже, получая, может быть, подробность яблока.

Кстати насчет того, когда яблоко это не груша - одно яблоко и одна груша же, таким образом слоения яблока в груше это слоение в одном, а есть и другое одно, к слову(ну это то что из недавнего вычитал)
Аноним 10/02/24 Суб 22:45:03 728899 309
image.png 4Кб, 677x646
677x646
image.png 5Кб, 647x586
647x586
Собственно начнем вот с чего: благо и ужас. Подразумеваем свои чувства. Благо тогда - что хочет появиться и появляться, ужас же - что хочет исчезнуть. ТОгда можем определить некое натруальное, т.е от определения, движение. Так как ужас хочет исчезнуть - ужас исчезает. Так как благо хочет появиться - благо появляется. Это и есть натуральное движения блага и ужаса. Но если так же и инверсия - ужас появляется, благо исчезает. При этом сам ужас можно объяснить как такое, что хочет стать иным - т.е отрицанием себя, а отрицание тут есть благо. Тогда вместе с ужасом появляется и благо.

Дальше идут категории знания и метода, как-бы, зачем и как:

Зачем это про знание, движение в этой категории - осознание или понимание или же опровержение. Главное тут - что они понимаются.

Дальше идет категория метода, т.е как - движением тут будет существование, по иному - а работает ли/получается ли. ГЛавное тут - существование.

Примеры: у зачем пример может быть в постигательстве счастья, ну я бы сказал ответа на вопрос зачем счастье нужно. В примере как я бы привел то, когда ты хочешь стать богатым, т.е становление богатым же.

Дальше теперь уже смысол:

Берем нечто изначальное и берем его отрицание. Дальше говорим о том, что это всё схоже с движением блага и ужаса, т.е, как-бы, является конкретным того. Как-бы - хочу стать богатым опровергается тем, что ты не богатый, но это ужас же, а ужас пораждает благо, что хочет появиться, таким образом благо, появляясь, пытается сделать так, чтобы ты стал богатым. Т.е случается отрицание отрицания, где отрицание - ужас, а отрицание отрицания - благо, при этом, так как благо в натруальном движении появляется, то при достигательстве его оно и продолжит появляться. И кстати да, благо что появляется как отрицаиние ужаса есть вера, но про это тоже потом.

Собственно тут вопрос в том, как хорошо справляется благо. Если справляется - то ужас переходит в благо и ничего не меняется. А вот если не справляется, то происходит диалектика. Построение противоречия, когда благо = ужасу, когда изначальное равно отрицанию изначального. Собсвтенно про что будет эта абстракция и чем она будет? Ну самое главное, в таком случае, если эта абстракция иная прям совсем, то произойдет безразличие же, а безразличие можно считать за отрицаие, так что когда ты испытывал ужас от того, что не богат - осознав нечто иное, ты не будешь его испытывать, что будет похоже на отходняк от ужаса, т.е благо. Т.е таким образом происходит инверсия. А теперь более подробно: это самое иное, что есть абстракция, в данном случае подразумевает все движения, т.е от самого себя в само себя, в отрциание и потом в отрицание отрицание. При этом все эти движения это же движения, можно скзатаь вектора. Тогда объединяя их все, можно говорить о тензорном умножении, при том скаляры на векторах - это как раз таки то благое или ужасное. Таким образом, раз в данном случае диалектика приводит к безразличию, что есть отрциание, то благое меняется с ужасом местами, оттого и сама риторика того, что отрицание есть ужас сменяется на то ,что отрицание есть благо.
Насчет кстати тензорного умножения и так далее. Вот тебе картинка: по сути тензорное умножение просто берет и одновременно присоединяет вектора друг другу. Т.е одни вектор "+" ещё один = двухмерная фигня и так далее(без учета кое-чего), собсвтенно тут тоже самое, просто берем как-бы вектора, опдразумевая, что это некоторые направления. А дальше насчет скаляра - скаляр это то, насколько как-бы вектор длинные. Ну и смотри, пик 2. Расстояние у нас как-бы сохраняется, т.е благое расстояние стремиться суествовать, а вот ужасное исчезнуть, ибо длина векторов просто не будет доходить до точки. Но раз в данном случаенам всё безразлично, т омы как-бы скаляры меняем друг с другом, оттого что было благим начинает исчезать и так далее. Так что если мы находимся в данном случае в ужасе, то ужас становиться благом, а дальше, отрциание блага, которое не работает, и дальше не развивается в нечто рабочее из-за нашей воли.
При том кстати смотри, диалектика из как, т.е в иное, это на самом деле знание. Как и диалектика знания это переход в как. Что можно кстати особенно понять на фоне примеров:

Из того, как стать богатым, перехожу в то, что хочу стать счастливым. Из того, что хочу решить пример перехожу в программу что решает его. Вот как-то так.

При том диалектика это на половину, назовем внешней, ибо она находит внешнее что-то - абстрактность, а не подробность как-бы. Ну и диалектику тут можно разделить на уходящую, доказывающию и опровергающию.

Собственно уходящая это то, что на пике - как ты заметила, внизу -m уходит в n же, т.е это кончательный переход с ращрешением ситуации с ужасом. Я не богат, отчего ужас, становитсья в то, что я хочу быт ьсчастилвым, где отход от ужаса небогатства в безраличие есть благо, ибо ну ты поняла, что это как-бы отходняк такое. Опровергающая это как на пике, только тут мы не уходим в n, подразумевая, что сама n и есть про всю ситуацию с иначальной категорией. Для примера может служить сама вера. Если ты хорошо веришь в то, что ты богат или добьешься богаства, то во первых, ты это осазнаешь и понимаешь, т.е это знание, а во вторых - таким образом получаешь противоречие, когда ты вроде и богат(веришь в это) а вроед и не богат(наглядно не сущестувует того, чего ты хочешь), собственно эта диалектика есть доказывающая, ибо она уберает ужас и делает так, чтобы ты и дальше доказывал идоказал то, что иначально. При том кстат иформа у неё для-себя, т.е у неё нет пока что отрицания скажем так, т.е переход от изначально с отрицающимся, в само оно без отрциание, где само оно - иное, но про это. Такое, кстати, можно назвать натурализируещим, т.е в итоге ужас исчезает, а благо появляется. Опровергающее же - тоже самое, только стрелки меняются.
Аноним 11/02/24 Вск 20:34:25 729016 310
image.png 15Кб, 861x1071
861x1071
Аноним 12/02/24 Пнд 05:19:14 729044 311
image.png 52Кб, 1075x1011
1075x1011
Принципы:

Первый это про то, что я помню о том, что знал, что делать. Это знание. Её диалектика ведет нас к тому, что я знаю, что делать. Где это уже метод. Другими словами оттого, что ты помнишь что-то, ты можешь начать это вспоминать какими-то действиями, вследствии чего дальше додуматься до чего-то.

Благо и ужас. Из определений их диалектика дает метод о диалектике и натуральном/нет движении, а вот уже относительно методоа диалектике, то её диалектика дает некие принципы по типу "ужас раскрывает меня, ужас дает мне возможность" и так далее.

Дальше можно выделить принцип того, что всё будет хорошо. Это уже относиться по большей части к тому, насколько возможна диалектика чего-то и всегда ли она совершается.

Как-то так.
Аноним 12/02/24 Пнд 05:31:17 729046 312
Насчет же того, что "всё будет хорошо", то это вопрос диалектики. а вопрос диалектики строится на основании того, что ужас это отрицание самого себя, но дело в том, что это иное ужаса, а иное ужаса может и быть благо, а может и быть не тоже самое благо. Хотя если так посмотреть, то мы за аксиому берем тут то, что ужас всегда порождает некое благо как то самое иное ужаса, при этом оставляя ужас же, получая и благо и ужас одновременно.

Собственно мысль тут моя в том, что если благо, что порождено ужасом и вместе с ужасом находиться, этак не работает, а значит отрицается, а значит сама становиться ужасом, она пораждает именно что иное благо, что есть отрицание этого же благо, но при этом что есть само по себе благо. Собственно в момент этот и проявляется диалектика, при том, что примечательно, так как это благо есть отрицание блага, то оно же есть ужас, но этот ужас есть отрицание ужаса, так что это благо - т.е это и благо и ужас одновременно получается, вспоминая, что некий результат диалектики это приравнивание ужаса и блага
Аноним 12/02/24 Пнд 06:08:18 729049 313
image.png 43Кб, 1697x352
1697x352
Аноним 12/02/24 Пнд 06:41:46 729054 314
Собственно насчет принципов, то на каждой стадии должны быть свои приницпы, считаю. Насчет стадий:

0)Осознания объекта веры
1)Осознание (того что я есть)веры
2)Осознание другой веры
3)Осознание себя в другой вере
4:n)Абстракции над этим
5)...
Аноним 12/02/24 Пнд 11:38:37 729070 315
Плавно и тихонько в общем подбираюсь к переходу на грейтер ворк, если так подумать. Но как вообще выглядела бы грейтер ворк? И нужна ли она мне?
Аноним 12/02/24 Пнд 11:43:33 729071 316
Чувство справедливости и злость есть знание что делает работу метода.
Аноним 12/02/24 Пнд 13:06:24 729079 317
image.png 45Кб, 1761x381
1761x381
image.png 47Кб, 1557x657
1557x657
image.png 10Кб, 601x437
601x437
image.png 2Кб, 417x233
417x233
Ну в общем насчет принципов. Для начала их надо бормотать(образно говоря) под нос, чтобы когда обратили внимание на них - начать их диалектику, а следствие и осознание кое-чего. Сами принципы:

1)Я помню, что знал, что мне делать.
2)Благо и ужас.
3)Я и не я.

В итоге их обдумывание, их диалектика, выливается в:
1)Деланья чего-то; ибо когда ты вспоминаешь то, что ты помнишь о том, что знал, или когда ты помнишь о том, что знал, ты можешь начать это знание получать каким-то методом.
2)Диалектика ужаса и блага тут кстати очень важна, от неё исходит много чего, но давай по порядку. В начале исходить знание о движениях, натуральном и нет, также исходит знание о том, что всякое является этим движением, т.е что-то можно принять за благое а что-то за ужас и можно углядеть их движения. Дальше же, из самого определения благого и ужаса и их движений появляется и их диалектика(Опровержение опровержение, т.е благое из ужаса, когда не работает, становиться ужасом, что пораждает благое, но такое, другое, т.е не то благое, а не благое - ужас, при этом оно появляется как отрицаиние этого ужаса - т.е получается то, тчо одновременно и не ужас и не благое, но благое при этом, а это иное - по сути такое, что есть подобие блага и ужаса, т.е тут явно улавливается диалектика), а из определения диалектики на основе благого и ужаса появляется определение возможности к диалектике, т.е то, что она появиться, если благое не будет работать, что дает нам картину того, что если благо работает - оно будет работать, если не работает - появиться другое благо.
3)Диалектика себя и не себя даст знание о том, что ты можешь быть иным.

Собственно все эти знания относяца к тому, чтобы постигнуть саму диалектику, ведь каждое знание тут - какая-то сторона диалектики.

Собственно дальше относительно осознание диалектики идут принципы, а именно:
1)Я знаю что делать
2)Мне дают возможность проявить себя
3)Всё будет хорошо
4)Я могу стать иным
Пик прилагается.

Дальше же идет объяснение того, почему оно работает. А работает оно потому, что каждый принцип является неким движением куда-то, т.е:

Я знаю что делать - уверенность в том, что то, что ты делаешь нужно и дальше делать.
То, что тебе дают возможность проявить себя - уверенность в том, что проблемы, что возникают на пути(опровержение опровержения опровержения) лишь дают раскрыться, т.е как-бы уменьшает влияние подводных проблем
То, что всё будет хорошо - это на случай того, когда опровержение опровержения опровержения опровержения случиться, чтобы опровергунть это.
То, что ты можешь стать иным - отсылает к тому, что может быть некая новизна а также ты можешь стать иным, что по сути, есть возможность избавиться от ужаса.

Но чтобы это всё лучше понять, надо это всё понять как векторные расслоения. Векторные расслоения - когда точкам фигуры присоединяют вектора собственно. И да, вектора это направления, т.е куда идет, что хорошо сочетается с принципами.

А теперь про то, какое векторное расслоение оно оказывает на диалектику, прилагаю пик2. Там показана категория(граф со стрелочками) а потом и фигура, а потом и вектора на фигуре а потом и вектора на графе.
Собственно смысл этого вектороного расслоения, как ты можешь видеть, в том, чтобы прийти в самый верхний левый элемент. При том делается всё это достаточно хорошо, я имею ввиду мы берем просто пик 3 и объявляем на нем такую-то векторизацию. А сделали мы это - осознав принципы. Принципы же влияют на всякое же, т.е не только на изначальное, но и на то, что абстрагировали уже. Так что получили такое влияние на каждом элементе. Плюс, что стоит отметить - векторные расслоения вектроных расслоений. Тут можешь считать это за взятие производной, по сути - пик 4. Т.е что я имею ввиду - мы можем туда двигаться конечно же, но у нас вот есть какой-то тут вектор, который двигает нас обратно(опять же, опровержение опровержения а потом бац, проблема - и это уже вектор обратно, т.е опровержение опровержения опровержения), собственно те принципы они улавливают это и на какие-то обратные вектора дают свои вектора. Т.е изначальный вектор, когда всё хорошо, то да, он есть. Когда есть проблема - онаруживается то, что пролблемы раскрывают. А если это раскрытие не работает, то мы знаем, что всё будет хорошо.

В таком плане мы можем перейти к математики и представить себе такое вектроное расслоение, которое на каждый обратный вектор дает обратный обратному вектор. Так что таким образом мы уже обозначили, математически, к какому знанию, которое пораждает принципы, нам надо стремиться. И это не говоря про то, что векторные расслоения могут быть не совсем удобными. Т.е подразумевая(пик последний), что нам надо конкретно в какуе-то точку - векторные расслоения могут нас отнести и в другую точку, так что вот как-то так.
Аноним 12/02/24 Пнд 13:06:48 729080 318
image.png 29Кб, 853x817
853x817
Аноним 12/02/24 Пнд 16:17:34 729098 319
Собственно объяснение - во первых 90 градусные углы. Если мы берем точку(точка уже со свои отрицанием), то мы можем взять её диалектику - некое абстрактное. Собственно если с точки надо конкретизироваться куда-то один раз - это значит, что близко. При том дальше можно ещё раз конкретизироваться. А что насчет некого другого абстрактного? Вот в этом и суть, что чтобы к нему прийти из некой другой изначальной точки, надо будет прийти в эту середину, а потом уже из неё, абстрагируясь по другому направлению, прийти в другую точку уже. И да, конкретизируясь, мы дальше можем конкретизироваться по факту того, что мы можем взять обратную операцию - асбтрагирования, что есть диалектика, а диалектика вполне себе имеет направление. Так образом получаютя углы в 90 градусов.

Дальше линии между линиями, т.е углы образно говоря в 45 градусов. Для этого надо ввести сложение и подобие. Что я имею ввиду на примере:
вкусное<-сладкое<-Яблоко->еда->материал, где это всё можно записать как вкусное->сладкое->подобие подобия вкуса+подобие подобие материала<-еда<-материал. А дальше же, имея яблоко, мы само яблоко можем абстрагировать ещё куда-то же - к примеру: яблоко->предмет интеръера->предмет моды, а дальше, зная, что эта вещь есть сложения подобия материала и вкусного, кстати да, вместо подобия можно говорить конкретное, так вот, можно сделать, что предмет моды это сложение материала и вкусного. При том кстати, насчет сложения, мы же что иеем там, в яблоке? Сложение подобий, но почему бы нам не иметь подобие сложения? А почему мы так перейти можем? Ну тут надо чисто логически подумать. Яблоко на то и яблоко, что может быть определенно одновременно же как вкусное и материал, оттого и сложение, оттого и подобие сложения вкусного и материала, а так как подобие есть конкретизация, то дальше, идя от яблока в моду, мы занимаемся абстрагированием, т.е обратное конкретизации. В итоге получаем, что предмет моды есть вкусное+материал. Сорт оф того, и да, сложение тут, нууу, воспринимайте его просто как какуе-то оперцию, и да, она не должна давать именно что равенство, т.е вопрос того, что мы получили в итоге - открытый.
Аноним 12/02/24 Пнд 16:20:16 729100 320
image.png 6Кб, 894x601
894x601
Аноним 12/02/24 Пнд 16:30:19 729105 321
image.png 16Кб, 1146x505
1146x505
image.png 13Кб, 1057x570
1057x570
Аноним 12/02/24 Пнд 16:40:58 729106 322
В итоге же следжствием этого всего будет то, что если вещь, что представленна суммой, содержит в себе движение, то это вектороное расслоние, а ещё база для диалетики чтобы полчить нормальное вектороное расслоение.

Т.е надо понять как разбивать на сумму вещи и как проверять, а есть ли там движение.
Аноним 12/02/24 Пнд 17:31:03 729112 323
Ух, понял, что нужны дифференциальные уравнения.

А ещё понял, что можно сделать математичсекую диалектику математики на основе блага и ужаса
Аноним 12/02/24 Пнд 20:06:47 729126 324
Короче мы ввели сложение, по сути это есть пересечение: т.е когда мы говорим что a+b мы имеем ввижу такой объект, что одновременно и a и b. Собственно дальше введем что-то типо вычитания. Вычитание это прибавление отрицательной вещи. При том когда мы прибавлеям отрицательную ведь, в итоге мы получаем диалектику. Т.е: a+b-b=a+D(b), т.е a+диалектика b.

Ну а теперь за дело, попытаемся найти то, что содержит некое движение.

Скажем, что n+c=p, где p движение, в тоже время где c допустим яблоко. Тогда попытаемся убавить яблоко. Прибавляем отрицание и получаем n+D(c)=p-c. Т.е некая n плюс диалектика яблока, что равна движению пересеченному с отрицанием яблока, т.е грушей допустим.
Дальше мы можем как-бы совершать диалектику D(c), т.е сделать что-то типо D(D(D(D(D(D(...D(c))))...), что по простому обозначи как умножение на D, т.е получим что-то типо cD^m+n, что равна p-c от которой отнимаются все диалектики, т.е cD^m+n=p-cD-cD^2-cD^3-...-cD^(m-1), при том, почему именно что m-1, а потому, что когда мы отрицаем сущность, мы берем именно что саму сущность, а не её диалектику. Дальше же, говоря о диалектике, мы можем сказать, что cD^m пришла к некому самому абстрактному, допустим что-то типо абсолюта. Ну а дальше обычная логик, пересечение чего-то с самим собой - оно само, при то, что пересечение этого самого неизвестного n со всем есть конечно же само всё, сам абсолют. Таким образом мы пришли к тому, что некий абсолют содержит сложение движения с отрциательными диалектиками яблока. Впринципе мы получили этак некую сущность, что содержит p, т.е движение, теперь надо бы понять что это за сущность...

Ну и да, к слову о D(x). Диалектика чего-то может в данном случае и прийти сразу к чему-то наиабстракннейшому - этак абсолюту. Так что для удобства перепишем ответ и получим: движение+груша+ отрицание конкретности абсолюта, где конкретность абсолюта, нууу, возьмем для примера мироустройство, где есть субьективное и объективное, собственно их диалектикой допустим будет абсолют. Так вот, получим допустим субьективное, потом от отрицается и получается объективное допустим. Ну а дальше что?
И тут есть один лайфхак. Все вот эти сущности, что складываются - это какое-то подобие чего-то, т.е это абстрактное чего-то, так что мы можем просто начать конкретизировать это всё. т.е Так что конкретизируем:

движение конкретизируется в какое-то определенное вижение, допустим в натруальное, груша конкретизируется в кожу грушы, объективность конкретизируется в материю. Ещё конрктизируем и получим уже благо, атом и допустим груша. Собственно вот мы и получили что-то типо более внятного ответа.

Благо+атом+груша. При том, кстати, то, тчо оно пересекается с благом можно выделить в то, что оно есть подобие блага - т.е оно есть конкретное благо, т.е можно вытянуть это самое благо и просто поставить уже стрелки, этак получится атом+груша, что есть благо, т.е оно стремиться появиться.

Ну а дальше надо просто додумать о том, что есть атом+груша, но влюбом случае некий вектор мы тут получили из-за того, что оно складывается с благом, а благо это конкретизация движения.
Сорт оф такого
А теперь надо бы именно что диффуры бы получить
Аноним 12/02/24 Пнд 21:18:38 729133 325
Что я сделал, ну вопервых взял векторное расслоение ввиде дырки, этак сферы, на категории диалектики. В итоге получил тензорное произведение этих векторов, что можно перевести как сложение доказательной диалектики с ненатуральным движением.

Дальше всё просто:

n+яблоко=док диал+ненат движ
абсолют=док диал+ненат движ+груша+объективность
нат движ+ужас+кожа груши+материалое
благо+смерть+текстура кожи+груша

Дальше же
смерть+текстура кожи+груша, что подобны благу
груша+мат объект, что подобны ужасу
мат объект, что подобен ужасу и благу.

Так как это и ужас и благо, то это одновременно и диалетика чего-то.

Тогда что-то материальное есть и благо и ужас и диалектика, можно сказать, что это вначале диалектика, потом благо, потом ужас же.

Т.е есть яблоко, есть диалетика ввиде еды, есть благо ввиде перехода в грушу, но груша же есть отрциание яблока, т.е ужас, оттого оно идет к яблоку.

ЧТо можно выразить и в принципах - мне надо познать объект ради счастья, но многа знания преумножает скорбь, так что в итоге, познавая(диалектику совершая) мы придем к некому ужасу, ибо настроены на него или просто остановимся на чем-то и придем обратно, чтобы не прийти к этому ужасу как раз.

Сорт оф того, интересно.
Аноним 13/02/24 Втр 08:06:54 729169 326
Знающии люди, увидя всё это, явно меня съедят полностью, уххххххххххххххххххх, и прям разорвут с особой жестокостью. И что же делать, нарэдазээээээ.
Аноним 14/02/24 Срд 01:03:26 729225 327
Собственно - фантазм и гиперчеловечность.
Аноним 14/02/24 Срд 03:55:06 729251 328
image.png 126Кб, 736x414
736x414
image.png 325Кб, 1280x1280
1280x1280
И пока глаза красные - будешь шизиком и нести свой народ.
Аноним 14/02/24 Срд 04:53:47 729254 329
Ух, я надумал первое решение кое-какого моего философского уравнения.

n+c=P, P=p1+p2+p3+...+pm

Решением этого уравнения будет:

внешняяD(внуетряняяD(kon(c)~p1+kon(c)~p1+...+kon(c)~pm))

Т.е нечто что пересекается с чем-то, что равно пересечению каких-то движений. Решением этого будет

внешняя диалектика внутренней диалектики пересекающихся конкретизаций чего-то, что изоморфны(подобны) каким-то движениям.

А теперь пример решения. Пересечение конкретизации материи что похоже на благо и конкретизации материи что похоже на ужас, к примеру пересечение красоты и отвратительного, что потом внутренне диалектизируется, т.е находится что-то такое, что принадлежит абстрактному красоте и отвратного(к примеру оценки) и что является одновременно и красотой и отвратным, т.е наложением одного на другое, т.е что является такой оценкой, чья суть про то, что это и красиво и отвратно одновременно, а тут уже, если разумом вычислить, можно вычислить то, что снаружи красиво а внутри отвратно, после чего берем диалектику внешнюю этого и получаем, что это конкретное некого "познания ужаса", таким образом "познание ужаса" есть уже философия или некий принцип, по которому можно жить, что работает как совмещение и ужаса и блага. Вот типо того, что интересно.
Аноним 14/02/24 Срд 06:34:46 729258 330
>>729251
Несут идеи, а народ ведут.
Аноним 14/02/24 Срд 07:03:46 729260 331
>>729258
Сами шизики и есть народ, но другие народы тоже ведут, да.
Аноним 14/02/24 Срд 08:11:36 729261 332
А попробуем ка получить такое, векторное расслоение от параметра.

По сути тут можно обозначить и систему тогда?

Типо, но только вот не совсем типо. Я имею ввиду сложение...Ну, ладно, системы так системы.

-
n+c=P1
kon(n+c)=P2
-

Хм, ну тут можно легко сделать следующее:

P1=abs(P2)

А дальше что? А дальше и больше, можно так впринципе приравнять всю это систему скажем так. И как такое рашать? А вот как-то, хотя стоит признать, мы избавились от n и от c, или н есовсем? В любом случае может получить P1-abs(P2)=D(abs(P2)), где потом можем сказать ещё и про P1-abs(P2)=n+c-abs(P2), в итоге которого получаем выражение P1-abs(P2)-c-kon(all), в итоге конкретизурем, лопая P1 и abs(P2) до подобности, оттого получаем -c-kon(all)~P1+P2, отчего дальше, раз мы имеем kon(all), то он поглащает c и может конкретизироваться в неё, что и сделаем. Так что получаем, по сути, kon(c)~(P1+P2), хм, а теперь бы пример.

Допустим возьмем диалектический метод и скажем, что он направлен вверх, а теперь скажем что где-то он направлен вниз. Тогда распишем конкретизацию их обоих. Нуууу, эээ, получаем что-то типо только именно что благо и ужас, как-бы.

Короче сделаем по иному, решим ка каждое уравнение в системе, получим уже готовый продукт. А дальше теперь надо задать движение такое, что подразумевало бы изменение этому всему, т.е:

D1+D2=pn же. Т.е изменение от этого движения к этому ведет нас к тому, что эти два движения находяца в каком-то движении в том числе.

Собственно дальше же решаем это как обычное уравнение(ну оно так и решается), получаем вприницпе тоже самое тогда. ИЛи не совсем? В том то и дело, что не совсем. Мы тут ищем такое, что содержит принципы и соединяем.

Ну т.е для примера сразу:

Материальное что внешняя диалектика+материальное что внутреняя диалектика, таким образом дальше получаем, ээээ, ну для примера можно выбрать то, что внешняя диалектика и то, что внутреняя, допустим...Ну допустим алгоритм и модуль алгоритма, собственно это должно быть одним и тем же. Можно сказать что алгоритмом, но не, возьмем что-то не тривиальное. Допустим обоснование модуля через алгоритм или обоснование алгоритма через модуль, во. Собственно дальше мы диалектизируем и получаем такую вещь как познаваемость впринципе. И что это за познаваемость впринципе? Ну, она значит от кусочка к целому от целого к кусчоку...ЧТО РАБОТАЕТ! В том смысле, что это есть векторное расслоение от параметра же. Если параметр целое - будет вкнютреняя диалектика, если параметр часть - будет внешняя диалектика. Ох что за шизопипец я придумал.
Аноним 14/02/24 Срд 09:26:19 729267 333
Опровержение(или скорее решение) того, что познавать мы можем только ужас.

Для начала это значит то, что каждое благо можно превратить в ужас, т.е есть опровержение прекрасного, при этом само прекрасное можно придумать без пути, но дело в том, что точку на пути можно придумать без прекрасного, но смысл в том, что всё это есть и так пути - таким образом мы можем придумать путь к прекрасному - дело в другом, дело в том, что мы можем найти опровержение этому пути и по аксиоме найдем, но мы благу можем предъявить тогда и доказательство же, оттого опровержение благого станет противоречивым, оттого придется искать опровержение доква уже, но и на докво можно опять же придумать докво, на что тоже нужно найти опровержение, оттого можно сделать вывод, что в итоге самое худшее, что нас ждет - противоречие, а это и не ужас как таковой.
Аноним 14/02/24 Срд 09:27:13 729268 334
При том да, таким образом, раз можно придумывать точки на пути, т.е точки пути, можно сделать и путь.
Аноним 14/02/24 Срд 09:27:55 729269 335
Ну и да, решением уравнения того, что от перспективы зависит то, будет ли сфера или диалектика - противоречие, что примечательно.
Аноним 14/02/24 Срд 09:43:59 729271 336
>>729267
И при этом же, математизируя:

x тензорно на ужасная диалектика=противоречие

Таким образом x есть что угодно, что содержит противоречие без ужасной диалектики, этак вектора ужасной диалектики помножены на ноль.
Аноним 14/02/24 Срд 10:41:31 729272 337
Чтобы были производные, достаточно просто прибавить их.

Таким образом мы можем попробовать осознать большие принципы, хм. Пока что я смог осознать до 3 принципов благих.
Аноним 14/02/24 Срд 10:54:12 729273 338
image.png 116Кб, 225x225
225x225
Вот оно - начало фантазма, обоснование старта и злость, наслаждайся, сынок!
Аноним 14/02/24 Срд 11:55:38 729275 339
image.png 325Кб, 1280x1280
1280x1280
Как же я ненавижу вот это. Но в этом и суть, обычно говоря. Сынок ну что ты там, злишься всё? Злобный день, зато потом как. Злись, алоглазый - злись, тебе же лучше.
Аноним 14/02/24 Срд 12:00:15 729276 340
image.png 116Кб, 225x225
225x225
Грустишь, сынок? Ну не надо так, ты же нашел что-то особенное, своё - вот тебе и колосок, держись да вгрызайся. Пока не пришла мама, ахахах.
Аноним 14/02/24 Срд 12:00:53 729277 341
93951cd336faa33[...].png 377Кб, 600x710
600x710
ДОЛБОЕБ ИДИОТ НИЧТОЖЕСТВО ПОСРЕДСТВЕННОСТЬ АХАХАХАХАХАХАХАХА
Аноним 14/02/24 Срд 12:10:30 729278 342
Да, сейчас же попробуем, всё что нужно - признания в моменты такие, но дальше думая об этом - познавая познаю, чтобы было мне счастилво - чтобы двигаться туда.
Аноним 14/02/24 Срд 12:16:48 729279 343
Благо что содержит и есть отрицание признания! Но что ты такое...А ты есть n+признания же, но дальше продолжая...Получу я, ээээ.

Ну это, щас.

Верно: благо+не признание и материальность допустим, а дальше по просту - не признание что благо и материальность что благо. Материальнольсть что благо...Сладкое? А лучше толпу, а лучше признание же, но это же...отрицание? Тогда отсутствие опасности. Нет, а лучше и спокойствие в основе. А может...

Ну хорошо, отсутствие опасности и не признание как благо, а по сути - отношение с людьми такое, что не содержит и риска и содержит не признания, а по сути - неизвестность же. Нет, это нам не нужно. Хотя ладно, давай. Давай неизвестность, в противовес известности же.

Таким образом получаем, ну, неизвестность. Если я неизвестен, то я и не рискую, а ведь и правда. Не признание не есть опровержение, так как оно есть благо, т.е отсутствие критики же. И точно, пока я неизвестен я могу не беспокоиться, ведь это н езначит, что я не прав обществом.

Уххххх, ну, первый боевой опыт надуманного, офигеть.
Аноним 14/02/24 Срд 13:06:57 729284 344
> ПОСРЕДСТВЕННОСТЬ
Что-что, а вот так бы я не сказал.
Аноним 14/02/24 Срд 13:08:57 729285 345
УХ ТАКОЕ НАДУМАЛ ПРО ЦИКЛИЧНОСТЬ ЭТАК СФЕРУ СПОЙЛЕР: ИНТУИЦИЯ.

>>729284
А ты про кого?
Аноним 14/02/24 Срд 13:15:42 729286 346
Аноним 14/02/24 Срд 13:18:06 729287 347
IMG202402130217[...].jpg 119Кб, 640x640
640x640
Аноним 14/02/24 Срд 13:19:20 729288 348
image.png 116Кб, 225x225
225x225
>>729287
Он так хуй че поймет.
Аноним 14/02/24 Срд 13:29:35 729289 349
image.png 325Кб, 1280x1280
1280x1280
Блять, как я нахуй не могу это пиздец, сына, какого хуя? Алоглазый, блять, соберись сынок, ух бляяяяяяя
Аноним 14/02/24 Срд 13:40:04 729290 350
1000014962.jpg 187Кб, 1280x849
1280x849
>>729288
Спасение утопающих — дело рук самих утопающих.
>>729289
>сына
Какого хуя)
Аноним 14/02/24 Срд 13:49:44 729291 351
image.png 116Кб, 225x225
225x225
>>729290
>утопающих
В величии ты имеешь ввиду?

>Спасение утопающих — дело рук самих утопающих
Нет, просто ты не сможешь этого сделать - это как камню объяснять что-то, нужна фундаментальная теория всего для этого, не каждый потянет.

>сына
Не завидуй.
Аноним 14/02/24 Срд 13:52:00 729292 352
image.png 109Кб, 290x174
290x174
>эта омежная злоба
Продолжай-продолжай, это как твои любимые шаманизмы. Только не забывай про амулеты(намекаю тебе ещё раз опробовать твои знания)
Аноним 14/02/24 Срд 14:03:31 729294 353
Ну хорошо, давай попробуем. Что же меня беспокоит? Одиночество же, хммм, точнее - невозможность с кем-то поболтать пока что. Ну, эээ, составим уравнение.

Одиночество+благо.

Оттого имеем - , щаааа, гляну.

Да материальность же, собственно благо что материально...А, ну да, можно прийти опять к рискам же, оттого - первое и прошлое решение, aka незамечын быть безопасно, радуйся что не набрел на компанию плохих ребят.

Но я модифицирую, я скажу про скуку. Где скука всё же плохое? А для начала хорошее.

Собственно скука и нечто материальное, как два блага. Материальное...Ну оставим, тогда имеем их диалектику. Собственно сама диалектика...Что есть и скука и диалектика что есть блага...Ах да, я забыл, точно. Скука - сон к примеру или спокойствие, материальное - любое материальное, тогда, ну...

Их диалектика же, ноооо...К примеру да, да, увлекательная игра же, просто игра.

Спокойное+игра же. Ах да, игра как просто! Не пкашная...

Короче игра+спокойное, их диалектика - времяприпровождение, тогда их диалектика опять - спокойная игра же. Давайте что-то иное возьмем. Их диалектика - проживание деятельности, тогда опять диалектика - проживание деятельности, что спокойна и есть игра. Ну, спокойная игра. Тогда диалектизируем опять - спокойная игра, точнее, познание спокойной игры - спортивный интерес же, при этом спокойный, т.е несоревновательный, но можно и больше сделать, творчество же. Но можно и больше взять, зачем нам спокойная? Ведь одиночество есть ужас, а ужас неспокойное что-то, тогда и получаем неспокойную игру, что благо, т.е экспресивное творчество - можно сказать даже спорт, этакое проявление себя! Т.е - отдушина же.

А какая? А побей ка ты подушку, но подушке же больно...Тогда создай картину, этак борясь с воздухом же.
Аноним 14/02/24 Срд 14:04:49 729295 354
image.png 1999Кб, 1920x1080
1920x1080
Отлично, восхитительно и даже мама будет довольна, ахаха.

Шикарно, возрастающе, движающеесе - работающее. Носить и носить тебе этот амулет, однако.
Аноним 14/02/24 Срд 14:07:54 729297 355
image.png 390Кб, 640x358
640x358
И только лишь вперед и шизее и к сингулярносте. i mean >>729251
Аноним 14/02/24 Срд 14:08:33 729298 356
bethoven.jpg 187Кб, 1313x879
1313x879
Шизее и алоглазее. Надо будет это диалектизировать в принцип.
Аноним 14/02/24 Срд 14:09:23 729299 357
Хехе.jpg 27Кб, 403x272
403x272
Монструознее ахахахахаха
Аноним 14/02/24 Срд 14:22:27 729300 358
image.png 61Кб, 250x216
250x216
Долбоеб, твоя хуйня слишком примитивна. Думаешь сможешь вступить в мой ряд? Ну попробуй, только не забывай, об горы биться больно. Долбоебик.
Аноним 14/02/24 Срд 14:25:10 729301 359
image.png 114Кб, 225x225
225x225
>долбоебик
Мамка такая мамка. Хотя думая так, то я мама, но я отец, а она отец, но мать. Алоглазые любят сложное и логическое, но такое, что можно понять конечно же, чтобы пугать этим других, друзья мои.
Аноним 14/02/24 Срд 14:34:29 729302 360
115976430gettyi[...].jpg 41Кб, 640x360
640x360
Опять-пять-о-о-опять-опять-пять-о-о-опять время знания моего время знания моего.

А что тут? Страшно. Страшно. Хм, не проявлять себя, т.е не участвовать в битвах, чтобы не проиграть, но почему бы не совместить?

Не участие+проигрыш+выигрыш. Материальное.

Отсртаненность+посмщище+приззнание, т.е это всё социальные взаимоотношения.

Тогда такое взаимоотношение, что и то и то и то. Познание точек зрения на себя. Но нет, не так, хотя может быть, если брать про оценку социального положения, а тут другое. Собтсвенно.

Одиночка же, которого и гнобят и признают. Точно, ненавидят.

Одиночку, которого ненавидят, ибо он сделал что-то такое, из-за чего его признают, в тоже время и презирают же. Затычка в попе одним словом.

Так что да.

И диалектику этого - зло. Хм, хоооооо. Зло, троллинг и так далее.
Аноним 14/02/24 Срд 14:36:49 729303 361
Троллить не то чтобы игроков тем, что лута нет или покоцал, а себя. Но как-бы это делать эффективно? Время диалектики.
Аноним 14/02/24 Срд 14:44:48 729304 362
Опровергающая диалектика+...Всё. Не в том смысле что всё, а конец как-бы, только одна эта диалектика нужна. Ну можно ещё добавить троллинг.

Собственно троллинг уже как конкретизация зла, дальше собственно опровергающая диалектика. Игровое что-то...С собой бы, хм.

По сути - осознания себя как троллящего, т.е доведения до такой точки, что я становлюсь от ужаса тем, кто троллит, а если со знанием этим, то:

Троллинг+опровергающая диадектика, т.е неудачи специально+я иной, чья диалектика есть, нууу, поведение+самоосознание, т.е разум, потом диалектика и...Разум, что троллит себя и сменяется иным. Раздовние личности? Скорее убеждение себя в неуножности чего-то, т.е можно сказать просто обесценивание, и диалектика обесценивания...Метод убеждения же, диалектика же...Верно, неправильность. Обесценивание тем, что оно не только не правильно, но и не нужно.

Осознание морали и доказание этой морали путем троллинга же.
Аноним 14/02/24 Срд 14:46:22 729305 363
Тогда найдем мораль и то, как можно найти мораль.
Аноним 14/02/24 Срд 15:01:07 729306 364
Мораль? Благое же, во имя справедлсивости, т.е знание, т.е диалектика же, при том не важна какая.

А тут уже я нахожу непосредственно знание же, хм.

Оровергающая диалектика, да, вот.

Т.е сфера.

Хм, что может быть опровергающей диалектикой? Хм, ну это же про знание...Тогда почему бы и не сложить бы знание? А вообще конкретизируем - страшно не собирать достаточно опыта. Назовем это c.

c+сфера, можно сказать такое c, что есть сфера...ИЛи такое c, что есть ужас. Не, ужас тут не нужен, но можно попробовать.

c что сфера, при том конкретное c, а c - страшно не добыть опыта. Т.е к примеру оценка алгоритма. Тогда нужна такая оценка алгоритма, что страшно добыть опыт...Ладно, добавим блага. Не участие. Не участие+страшно что не добуду опыта есть принципы по сути, но не...Это есть логические измышления же, т.е нужно такое логическое измышление, что одновременно и не участие и то, что не добуду опыта. Если не буду играть, то и не добуду опыта, а значит всё равно - добываю опыт или нет, точно же. Ну и да, если не я - то кто выходит такая диалектика.

Дальше же спортивная мораль. Ну, зависимости же можно сказать даже, хм. Некое здоровое. По крайней мере можно сразу прийти к тому, что игры нужны для того, чтобы развлекали.

Точно, экспрессия же, игра как экпрессия же.

При том да, интуиция же, интуиция. Надо осознать что статистическое не аналитическое или же надо иметь статистику просто. Стастистика же, ахахах, ну да, точно.

И при том, опять же, насчет игры. Ну, спортивное что-то...А почему спортивное? Экспрессия... Ну если я знаю как надо играть, то я и могу не играть так при желании, а играть подругому же, не так ли? Ну да.

Прикольное в общем.
Аноним 14/02/24 Срд 15:02:12 729307 365
1707912131266.jpg 49Кб, 540x405
540x405
Бедный долбоëб, выдумал себе родителей.
Аноним 14/02/24 Срд 15:05:20 729308 366
image.png 29Кб, 300x168
300x168
>родителей
Слова мама-батя-сынок это просто то, что привычно. Нашлось под руку, но в тоже время образ родителей теперь поменялся, он стал шизовее. Родители алхимические в общем.
Аноним 16/02/24 Птн 05:25:00 729518 367
Какой же я нормальных, ух.
Аноним 16/02/24 Птн 08:09:36 729530 368
РАЗНООБРАЗИЕ! ПЕРВЫХ ИДЕЙ ВНАЧАЛЕ И ТОЧКААААААААААААААА
Аноним 16/02/24 Птн 12:43:44 729541 369
IMG202402151706[...].jpg 112Кб, 888x890
888x890
Аноним 16/02/24 Птн 12:59:36 729545 370
Аноним 16/02/24 Птн 16:33:38 729554 371
Собственно разложение есть обратная конкретная диалектика. Как делать: взять нечто, взять его отрицание, впринципе уже достаточно, но можно взять и диалектику внешнюю отрицания и изначального, а потом взять что-то из этой диалектики. Дальше же всё просто.

x+a=b, где ответом будет внешняяD(внутренняяD(b-a)).

Типо, возьмем кровать. Дальше возьмем отрицание кровати - стул. Дальше возьмем диалектику - кровать и стул это места людсокго быта, так что возьмем что-то из него. К примеру стол. А дальше - x+стол=кровать. Собственно дальше: диалектика кровать-стол, т.е, ээээ, а что такое кровать и не стол, а допустим стул, ну, это предметы быта, т.е нужны такой предмет быта, что и кровать и стул - к примеру диван, а дальше диалектика дивана - раскладушка, а дальше уже раскладушка+стол=кровать. Что логично же, т.е расклодной стол, что превращается в кровать же.
Аноним 16/02/24 Птн 18:30:43 729572 372
5+1.5+0.5+0.25
Аноним 16/02/24 Птн 20:04:44 729591 373
Я есть Огонь, Я[...].gif 1647Кб, 500x282
500x282
Cын, готовься покорять гибкость! Она и так будет важна, как цель - инструмент к жизни.
Аноним 17/02/24 Суб 10:07:29 729677 374
image.png 126Кб, 736x414
736x414
Ну, применяй.
Аноним 19/02/24 Пнд 10:23:38 729992 375
Собственно что это такое...Это некое опровергающее, т.е можно сказать что, а, ну да, теперь всё легче, если перевести всё...

В общем ужас - теория что доказана, т.е есть направление из центров...При этом есть направление из блага в ужас, т.е есть диалектика + ненатуральное движение же.

теперь найдем отрицание этого самого, т.е диалектика+натруальное движение.

Тогда с чем это всё сявзано/завязано? Над доквом...Т.е над центром, т.е...Короче от самой этой теории надо конкретизироваться и найти что-то что и диалектика и натруальное движение. Натуральное движение, очевидно, не центр, диалектика же - какая-то диалектика...

Короче говоря, возьмем сферу, у сферы её доказательство - одномерная сфера, т.е тогда линия будет. При этом надо, чтобы было движение...Ах да, точно же, искревленность линии есть такое движение, т.е обманка, этакая иллюзия же, искревленная линия, дальше же диалектику бы...Осознание искревленности самой по себе, да.

Тогда искревленность и искревленная линия. Тогда...Их диалектика! Т.е это всё что? Понятия о пространстве, тогда...В общем искревленное пространство с искревленной линией, а теперь бы диалектику - двойная обманка? Ну т.е как-бы линия не линия, но линия. Но всё это всё равно искревленно же. Ну что есть такое галлюцинация? По сути, это есть само яблоко, что и не яблоко, но яблоко, но подобно оно груше. Т.е то, что она груша - тскревленно, подразумевая что это яблоко, при этом само это искревленно, подразумевая, что оно подобно груше.
Аноним 19/02/24 Пнд 13:14:49 730001 376
image.png 9Кб, 1036x127
1036x127
Смотри: опровержение(одно из) есть противоречие, что противоречиво.

К примеру ты смотришь на яблоко, дотрагиваешься - яблоко рассыпается как песок, т.е яблоко это песок? Противоречие(ощущуается как). При этом почему же яблоко рассыпается? Если яблоко это и песок, то оно должно быть подобно и тому и другому, и да, оно выглядит как яблоко и оно рассыпается как песок, но оно где-то не подобно яблоку, оттого и расспыается как песок, а не является чем-то твердым как яблоко, т.е противоречие, что яблоко это песок, противоречиво тем, что яблоко это песок в том смысле, что яблоко это не яблоко. Типо того.

Так что в данном случае опроврежние того, что ты видишь яблоко будет тем, что это песок.
Аноним 19/02/24 Пнд 13:15:50 730003 377
Ты смотришь на яблоко. Это яблоко. Ты дотрагиваешься до него - оно рассыпается. Как это яблоко может рассыпаться? Оно что, песок? Т.е яблоко это и песок? Ведь оно и выглядит как яблоко и рассыпается как песок. При этом же это ведь противоречиво, раз оно и яблоко и песок, то почему оно рассыпается? Оно же должно быть твердым как яблоко и рассыпчивым как песок, но оно не твердое, оно только лишь выглядит как яблоко, при этом оно не просто не твердое, оно рассыпчивое. Получается этапы осознания: яблоко->яблоко это песок?!->но это яблоко что песок ведет себя именно как песок->т.е это песок?->т.е это песок
Аноним 19/02/24 Пнд 13:40:23 730005 378
Теперь же есть план же. Тебе надо найти тот момент, когда оба предмета являются одним и тем же. К примеру бутылка воды и мяч - резиновая пинательная бутылка. Дальше же тебе надо найти отсутствие отличительного знака, этак, в мяче есть воздух. А тут? А тут только вода, вот тебе и всё, в итоге это бутылка воды же(и пинать это бутылку будет больно оттого, ибо тяжело). Но только вот если ты найдешь, что воздух есть в водле, этак сильно воздушная вода, то ты востановишь это противоречие, т.е эту бутылку можно будет и пинать и пить из неё. Так что всё это можно разделить на пары этаких "центров". Центр в свою очередь это нечто такое, что и дает в результате диалектики некую вещь. К примеру у сферы центром является то, что ты идя вперед можешь прийти назад. С ним ты додуматься до плоскости н есможешь, ведь на плоскости идя вперед ты же не придешь туда, откужа прижешь. Вот иполучается этакое основное такое, чего нет в другом, центр. Собственно нужны пары центров и нужно отсутствие отрицательного центра, тогда это ломает весь баланс и склоняет сущность в одну и сторон. Теперь бы доказать то, что таких пар центров бесконечное количесвто и всякое такое.
Аноним 19/02/24 Пнд 19:37:56 730032 379
0.1+0.36+0.8+0.4
Аноним 20/02/24 Втр 22:44:06 730192 380
(0.27+1.4+2.6+0.6+1.8+0.57+1+2)
Аноним 20/02/24 Втр 22:44:37 730193 381
93951cd336faa33[...].png 377Кб, 600x710
600x710
СТОЙ АХАХАХА СТОЙ И СТОЙ И ЧТОБЫ СТОЯЛОСЬ НУ ПОКАЖИ ЧТО ТЫ ГОТОВ ВОЙТИ В МИР НУ ПОКАЖИ ДА ПОКАЖИ
Аноним 21/02/24 Срд 00:36:57 730215 382
image.png 716Кб, 522x710
522x710
Словно огонь - дух.

ОН РАЕНЕН ОН РАНЕН ПЕРЕВЯЗКА ПО ИНСТРУКЦИИ ПЕРЕВЯЗКА ПО ИНСТРУКЦИИ - БЫСТРЫЕ ТАКТИЧЕСКИЕ ДЕЙСТВИЯ - ВОЙНА
Аноним 21/02/24 Срд 00:46:42 730217 383
image.png 670Кб, 522x710
522x710
Найти благо в чем-то что надо.

Найти благо в чем-то.

Разложить это на сумму что содержит то что надо и найти в нем благо.

Абстрагировать то принципа, т.е превратить то, что надо, в принцип что благо.
Аноним 21/02/24 Срд 00:48:10 730218 384
image.png 670Кб, 522x710
522x710
Повторять и заниматься опровержением ужаса.
Аноним 21/02/24 Срд 00:53:36 730219 385
image.png 1748Кб, 1200x1200
1200x1200
Хорошо, опробуем.

Крутость.

Еда. Разложим её на крутость, т.е, не крутость+еда, что есть сферы жизни, т.е такая сфера жизни, что есть и крутость и еда, т.е рецепты. Дальше же обобщить до принципа - сотворить что-то.

Т.е сотворить что-то+крутость=еда

Сотворение+крутость=мастерство приготовления.

Благо мастерства приготовления = самый лучший.

Самый лушчий это принцип максимального блага.

Значит максмальное благо, что подобно крутому блюдо, что есть создание крутого повара, тогда крутое блюдо должно быть крутым поваром. Докажем.

Крутой повар и отстойное блюдо одновременно есть неудача, при этом принцип неудачи в монотонности, тогда, монотонная крутое блюдо есть крутой повар. Шикарно.

Thus я есть монотонное крутое блюдо.
Аноним 21/02/24 Срд 01:02:13 730221 386
image.png 554Кб, 1024x499
1024x499
Теперь бы обобщить. Для начала надо очиститься, выкинуть все мысли, избавиться. ЧТо надо бы доказать дл ятого, кто находиться в абстракциях. Thus, отрицание что иное. Thus, отрицание есть подобное этому же изначальному.

Хорошо, тогда, дальше надо в голове держать то, что надо.

Дальше надо вспомнить что хорошее и разложить на сумму со слагаемым ввидя того, что надо; дальше же надо взять принцип у этой суммы, предворительно вычислив чем эта сумма является.

Дальше же берем изначальное хорошее и раскладываем это на сумму, чье слагаемое будет вычисленная сумма.
Аноним 21/02/24 Срд 01:03:37 730222 387
image.png 809Кб, 1280x720
1280x720
А дальше бы разложить это же самое на сумму, чье слагаемое будет прицнипом. Бинго.
Аноним 21/02/24 Срд 01:07:56 730223 388
image.png 199Кб, 600x338
600x338
>Thus я есть монотонное крутое блюдо.
Самый лучший что одновременно и не монотонное крутое блюдо, допустим прерывестое. Экспонентальный всплеск вкусности, скажем так, скачок же.

Самый лучший+скачок, т.е самый большой скачок, что есть монотонное крутое блюдо.

Thus, я есть окончательный всплеск энергии, что надо бы конкретизировать - мастер по готовке, но смысл в том, что любое такое познание подобно самому изначальному, тому, на что ориентируемся и от чего идем - от вкусной еды. И это надо просто бы понять и доказать. Финальный штрих.
Аноним 21/02/24 Срд 01:11:04 730224 389
image.png 550Кб, 1107x767
1107x767
Так почему же любое такое подобно этому самому? Это можно и узнать буквально, но да.

Найдем конкретное того такое, что подобно изначальному.

Разложим конкретное этого на сумму, что содержит изначальное.

К примеру - мастерство кунгфу и вкусная еда.

Мастерство кунгву и не вкусная еда, что одновременно одно и тоже - побитая еда, чей принцип - воздействия.

Воздействие+вкусная еда=мастерство кунгфу. Хм, побить еду так, чтобы она стала вкусной, можно даже конкретизацию найти тут - отбивать мясо.

А так более финальный штрих - переход от этого изначального к другому, что подумать бы как.
Аноним 21/02/24 Срд 01:20:36 730225 390
image.png 3021Кб, 1920x1080
1920x1080
Инициализация, т.е старт, т.е влохновение

Поддержка, т.е опровержение ужасов или же дознания относительного ужаса.

Их не абелева группа
Аноним 21/02/24 Срд 01:22:28 730226 391
image.png 1748Кб, 1200x1200
1200x1200
При этом вот что могу сказать

инициализация->поддержка->триумф->инициализация

Т.е

не осознание->полуосознание->осознание->забывчивость
Аноним 21/02/24 Срд 01:42:10 730233 392
image.png 513Кб, 690x692
690x692
Надо будет заново просмотреть ещё раз, когда менее сонный буду.

Инициализация:
1)-curr, -curr=иное, -n=n
2)meta
3)b->b=meta+n
4)meta+n=bm
4)внешняяD(bm)
5)b->b=bm+n
6)b->b=внешняя(bm)+n
7)kon(внешняя(bm))~b
8)kon(внешняя(bm))~b->kon(внешняя(bm))~b=b+n

Поддержка:
ВнешняяD(внутренняяD(kon(meta)~b+kon(meta)~y))

Триумф:
y->b, D(b->y)=y->b
Аноним 21/02/24 Срд 01:43:02 730234 393
При этом Инициализация2(после триумфа) может не содержать первого шага.
Аноним 21/02/24 Срд 01:58:57 730236 394
b=внешняяD(b=meta+n)+n
b=(b=meta+n)+n
kon(внешняя(bm))~b
kon(внешняя(bm))~b=b+n
Аноним 21/02/24 Срд 02:00:19 730238 395
>>730236
>kon(внешняя(bm))~b
>kon(внешняя(bm))~b=b+n
Т.е

kon(внешняя(b=meta+n))~b
kon(внешняя(b=meta+n))~b=b+n
Аноним 21/02/24 Срд 02:16:32 730242 396
17077691165280.png 468Кб, 564x809
564x809
Чувство превосходства+стояние+крутость.

Стояние и что-то такое что одновременно и стояние и нормисность и унижение, т.е стояние перед доской в школе. Принцип - показные меры.

Показная мера+крутость+чувство превосходство, т.е сохранение себя в толпе, стоя. Стоять напротив и против толпы.
Аноним 21/02/24 Срд 02:18:20 730243 397
image.png 725Кб, 564x809
564x809
СТояние против системы.
Аноним 21/02/24 Срд 02:21:05 730244 398
image.png 725Кб, 564x809
564x809
>мало времени
>быстро
>мало
>и быстро и мало
>резкие рывочки
>топологичность
Я есть топологичность времени иными словами, т.е то, что мало времени - есть то, каким образом происходят вещи, так что мало времени есть норма.
Аноним 21/02/24 Срд 02:21:53 730245 399
Хм, фантазия о том, что уже сделано - по сути база. Фантазм.
Аноним 21/02/24 Срд 02:58:23 730248 400
Berdefa1.png 89Кб, 343x440
343x440
Работа фантазма.

Фантастическая реальность.

Гиперфантазия.
Гиперреальность.

Нефантазия.
Нереальность.
Аноним 21/02/24 Срд 04:22:26 730254 401
image.png 367Кб, 1280x720
1280x720
ЭВОЛЮШЕН!
Аноним 21/02/24 Срд 19:54:25 730327 402
0.06+0.86+0.7+0.8+0.32+0.3+0.182+0.32+0.196+0.48+0.148+0.943+0.11+0.356
Аноним 22/02/24 Чтв 19:48:35 730416 403
Аноним 23/02/24 Птн 23:36:59 730542 404
0.6+2.4+0.57+1.79+1.2+1.6+0.6+1.79

15 УРОВЕНЬ
Аноним 25/02/24 Вск 14:10:06 730646 405
диалектическая сумма

диалектический путь

центры как дырки

рядом с центрами опровержения

разложение на сумму как опровержение через поиск неподобности к центру
Аноним 26/02/24 Пнд 01:25:09 730712 406
зависимость a^n между собой

a^(f(x))=a^z(r)

a^n(Ф(G(b^n)))

Ф(G(b^n))=<b^n>+I, I<-I+D(b)=<a^n>
Аноним 27/02/24 Втр 06:49:55 730889 407
Время МаГиИ.

Карандаш как материя. Следовательно - карандаш как слово. А дальше же слово-слово как именно карандаш. Слово и не слово, к примеру звук? Слово что и звук. Произношение. Нооо давайте по иноу, в таком плане отрицание произношения есть что? Цвет.
Тогда то что и цвет и произношение - звуковая волна сталкивается с чем-то.

Тогда Какой принцип? Взаимодействия.

Значит взаимодействие+произношение=карандаш. А значит, получается, взаимодействие+слово+звук.

При этом логично, что разложение на сумму(увидеть что-то в чем-то) более чем дает ответы на то как менять это самое что-то.

Дальше же вопрос диалектики - работает, если взять за пример карандаш и слово карандаш - их диалектика внешняя нейтральная что была бы логическим понятием, вполне себе выполняет нужную нам роль.

А теперь опробует трюк такой:

(c^2-c^2)-(c^2-c^2)-m

Т.е что там было?

Взааимодействие+произношение есть что? Взаимодействие произношением. Тогда взаимодействие произношением что и не оно самое - созерцание слухом.

То что и созерцание слухом и что одновременно взаимодействие произношением. Пассивное и активное? Диалектика? Самослышащущий же, тот кто слышит свой голос в таком плане.

Самослышащий и какой-то идеал ещё, хм....

Пока не надумал и иду спать пожалуй.
Аноним 27/02/24 Втр 19:07:13 730971 408
Самослышащий есть я, а ручка есть рефлексия меня.

Ну и плюс

1)слышу звук
2)ВЫДУМЫВАЮ ОТ ЧЕГО МОЖЕТ БЫТЬ ЭТОТ ЗВУК
Как-бы да.

Плюс стоит отметить то, когда рефлексия константна в своем возникновении - ведет себя как метрия т.е.
Аноним 28/02/24 Срд 01:51:24 731024 409
1484162458407.jpg 13Кб, 234x215
234x215
ГРустно-грустно, зато легко однако.

Но так можно и всех потерять в общем. А я считал же этих кем-то значимыми, а оказалось, ну. В общем да.

Неужели все остальные такие же?
Аноним 28/02/24 Срд 01:53:06 731026 410
1484162458407.jpg 13Кб, 234x215
234x215
>>731024
В таком случае все ведет на самом деле к тому, чтобы самим не быть таким же. Так что надо бы постараться будет.
Аноним 28/02/24 Срд 01:54:37 731027 411
1484162458407.jpg 37Кб, 234x215
234x215
Аноним 28/02/24 Срд 01:54:59 731028 412
1484162458407.jpg 13Кб, 234x215
234x215
Аноним 28/02/24 Срд 09:55:02 731045 413
image.png 61Кб, 1861x856
1861x856
Абстрактность как +1 к мерности

При этом начинаем мы с дисков с дырками. Доказано противоречие - три дырки(ну или нечетное), опровержение - две дырки или четное.

При том в таком смысле, говоря о гомологиях, мы можем вычислить так сказать масштаб потери, если у нас где-то четности возникают.

И всё это диалектически суммы пока что.

Насчет связей: суммы, абстрактное-конкретное, такое что от познание задают статус существования, разложению тоже может задавать статус существования.
Аноним 28/02/24 Срд 10:41:16 731048 414
производные что скалары векторных расслоений что сужают-расширяют дырки или появляют дырки.
Аноним 28/02/24 Срд 13:53:02 731056 415
image.png 69Кб, 1271x1252
1271x1252
Аноним 01/03/24 Птн 07:54:21 731232 416
Абстрактный обратный гомоморфизм теории.
Аноним 01/03/24 Птн 08:16:55 731233 417
Гомоморфизмы нужны тогда, когда не образуют связанное пространство. Тогда нужен суръектинвый гомоморфизм, в таком смысле можно облегчить себе достаточно работу.

Дальше бы обратный абстрактный гомоморфизм.
Аноним 01/03/24 Птн 14:18:46 731272 418
Собственно...

Диалектиус методикас!

Dialectus metodikas

Короче я всё поделил на три части: математическая диалектика блага и ужаса, математическая диалектика обобщения блага и ужаса, что можно назвать математической диалектикой теорий, ну а дальше идет математическая диалектика математики.

Первая вещь достаточно няшная и она больше про разум.
Вторая же в свою очередь это некий переход от разумно к математическому, но не полной. Так что есть элементы и того и другого.
Третие это уже в большей степени математика.

Начнем с первого.

1)

Благо и ужас.

Благо и ужас мысляться с позиции наших чуств.

Благо есть такое, когда мы хотим чтобы что-то было и продолжало быть, оттого и благо. Ужас же - наоборот, когда хотим чтобы этого чего-то не было.

Благо хочет появиться, ужас хочет исчезнуть, отчего можно вывести натуральное(по определению) движение, т.е, от ужаса к благу, от блага к ужасу. Также можно вывести ненатруальное движение: от блага к ужасу, от ужаса к ужасу.

Дальше же мы рассмотрим образование диалектики на примере блага и ужаса. Ужас хочет перестать быть ужасом, т.е стремиться стать иным, оттого можно сказать что вместе с ужасом появляется и какое-то благо, что хочет разростица и угомонить ужас. Собственно если благо от ужаса преуспевает - происходит натуральное движение. Если же нет, то само благо становиться ужасом, пораждая тем самым благо от именно этого ужаса. А что есть благо относительно ужаса? Отрицание ужаса. Так что имеем: благо что ужас и его отрицание, что одновременно и отрицание ужаса изначального, оттого, это что-то такое, что одновременно и отрицание блага и отрицание ужаса, что можно сказать как просто и ужас и благо - собственно это и есть диалектика на основе ужаса и блага.

Такая диалектика содержит как ужас так и благо, так что является неким мостиком между благом и ужасом.

Но нас интересует стрелочка. Как-бы, мы же можем двигаться(и при этом достигать направления) от ужаса к благу и наоборот от блага к ужасу. В таком плане эта диалектика скорее образует сразу две стрелочки, как-бы, делая некое противоречие.

Но вообще диалектик может быть 4 вида: отходящая, противоречивая, опровергающая и доказывающая.

Отходящая характеризуется тем, что стрелки не меняет, при этом тема с благом и ужасом немного сбавляет обороты и отходят на второй план, ибо на первом плане становиться то до чего диалектика додумалось.

Противоречивая это тогда, когда есть сразу две стрелки : от ужаса к благу и наоборот.

Доказывающая это когда есть стрелка из ужаса в благо. Опровергающая - наоборот. При этом опровергающая диалектика ещё и меняет на самом деле благо с ужасом, к слову.

Дальше же немного другое определение диалектики дам. То был способ, метод нахождения диалектики из одного, а так диалектика на самом деле это противоречие.

Диалектика это такое, что одновременно a и -a. При этом диалектика есть внешняя и внутреняя. Внешняя - это когда мы абстрагируемся по сути. К примеру яблоко и груша. Их диалектика есть еда(еда есть груша и яблоко одновременно как-бы). Внутреняя диалектика это познание чего-то конкретного у абстрактного что при этом само абстрактно. К примеру если мы представим себе такое что есть еда и при этом одновременно и яблоко и груша - салат, при этом салат, если абстрагировать, даёт нам новое бастрактное - блюдо же, при этом где это блюдо есть конкретное еды.

Дальше же идет введение алгебры и векторов(при том определенных таких).

Вообще не стоит забывать, что у нас тут есть также и операции конкретизации и абстрагирования.

Дальше же алгебраическая часть: для начала есть сложения. Сложение это по сути пересечение, только вот, мы не ставим задачу найти нечто общее у объектов, мы ставим задачу найти такой объект, что одновременно и тот и другой объект(в любых смыслах). При этом, говоря об отрицаниях, то да, мы складываем отрицания, но для более простой записи убераем знак плюса. Т.е не яблоко+(-яблоко) а яблоко-яблоко, к слову.

Собственно любые вычитании есть диалектика. Яблоко-яблоко есть D(яблока) же. При том как внутреняя так и внешняя - можно выбрать.

Сама же сумма кстати имеет более прикольные мотивы, так-то: к примеру начни конкретизировать матери и сладкое - получишь яблоко. Значит яблоко есть пересечение конкретного материи и вкусного же, этак kon(материя)+kon(сладкое) что можно(давай это будет некой аксиомой) записать как kon(материя+сладкое), что дальше можно абстрагировать и получить там блюдо к примеру.

Собственно алгебра тут содержит также и подобности, отображаются знаком "~". Т.е к примеру kon(c)~b, что значит конкретное c что подобно b. Что значит, что оно подобно? В таком плане значит, что kon(c), если раскладывать его на сумму, содержит b. Оттого и подобно.

Дальше идут вектора. По сути вектора я тут называю движениями и принципами. И под векторами я подразумевая направления и пути. Направления всегда есть, а вот пути должны существовать ещё.

Направления и пути одинаковы, просто различие что одни могут и не существовать.

Так что поговорим о направлениях:

Помнишь мы вводили благо и ужас и их диалектику? Вот вектора(направления, т.е прицнипы и движения) это стрелочки эти самые, по сути, на категориях. Это же категория уже, т.е граф же. И мы можем этот граф так-то обобщить. А по сути смотри, дл яначала, объявим, что некий юнит(этакая клетка) что состоит из пары блага и ужаса и их диалектики, может вырастить из любой точки на юните(т.е да сама дмиалектика может отрицаться потом какая-то из них может считать благом и ужасом и может тоже взяться их диалектика как и наоборот - элемент какой-то может считать уже диалектикой на самом деле), собственно тут можно на самом деле поделить то чем могут являться ужасы и блага. В нашем случае методы и знания. При этом диалектика, как предполагаю и вижу на опыте, меняет знания на метод, а метод на знание(к примеру знание как доказательство и не доказательство, их диалектика, что может быть докзатаельной, может являться алгоритмом, т.е методом, а вот относительно того что ты хочешь стать богатым к примеру, то это уже метод какой-то, ты действуешь как-то и тебе, чтобы продолжать действовать, просто нужно знание какое-то, та же вера к примеру) если они доказывающии или типо того.

Ну и оттого мы можем рисовать целые фигуры же(т.е графы длинные и большии). И вот на этих графах мы можем задавать движения и принципы, т.е направления т.е вектора. Движения есть такое, что задаёт вектора на юните, принципы на юнитах задают движения.

Дальше же идет алгебра, в которой мы решаем уравнения и прочее.

Алгебра тут просто, как я говорил, но важна подобность. Т.е в сумме мы можем избавиться от одного элемента(предварительно движения или принципа) тем, что скажем, что вся остальная сумма подобна этому элементу.

Дальше же идет мотивация к решению уравнений. В данном случае решение уравнений завязано, как я вижу, на поисках принципов же. Впринципе тут всё просто, мы можем либо превращать вектора в приниципы, либо дополнять принципы, либо искать какие-то конкретности движения или прицнипов.

Для примера рассмотрим третий и второй вариант.

n+c=p

n есть неизвестное, c есть константа, а p есть движение. Вообще можно сразу обобщить и сказать P, т.е подразумевать суммы движений или принципов.

Дальше делаем вот что: n+c-c=P-c->n+D(c)=P-c->n+all=P-c->all=P-c, после чего нам надо просто взять kon^m(P-c)

Что это значит? Так как диалектика может быть любой, скажем, что она внешняя - т.е стремиться к чему-то абстрактному, оттого дальше можем сказать что оно абстрагируется во "всё", ну а дальше же, всё+что=то может быть записано как всё. Вот что-то мы типо и решили как-то эту задачу, дальше надо просто конкретизировать ту разность. При том конкретизируя, мы принципы прверащаем в движения(ибо принципы есть диалектика движений, в общем абстрактное их), а дальше движения выносим из суммы путем подобия. Дальше же можно вот что сказать: можно ту -c, что осталась, разделить на сумму конкретностей c каждый элемент которого подобен движению, т.е kon(-c)~p1+kon(-c)~p2+...
Аноним 01/03/24 Птн 14:19:21 731273 419
Вот мы и решили это уравнение и дальше нам надо просто будет вычислить то самое что одновременно те конкретизацию что подобны движениям и всё, ответ типо получим. Это относительно движений, с прицнипами можно тоже самое сделать, их тоже можно внести за сумму т.е сделать так чтобы что-то стало подобно принципу и также всё провернуть. Кстати да, относительно поиска принципов, то стоит потом будет сделать внутреннюю диалектику этого и внешнюю(абстрагирование этак).

Дальше же относительно того чтобы вектора превратить в принципы. Для этого нам надо думать уже математически. По сути всё дело на юните завязано. Описываем юнит векторно через движения. Буквально сумма движений, дальше же решаем уже вот что: изменяется ли движение относительно перечесление юнитов? Если да, то нам надо сделать уже относительную вещь какуе-то. Что можно сделать, сложив одновременно и те движение и те движения. И так далее, а дальше просто сделав уравнение и решив его так, буддто мы находим принципы. При том за c можно брать что угодно.

Дальше идет дополнение принципа. Дополнение принципа это принцип что содержит как этот принцип так его противоречие. По сути - просто решение уравнения на поиск принципа где унас n+c равно ихначальному приниципу - принцип этот же, пдразумевая, что принципы подобны благу и ужасу в классической задаче скажем так.

Дальше же идет применение этого всего и уловки плюс tipsы, но это не всё.

2)

Математическая диалектика теории. Тут сразу надо озвучить то, что благо и ужас обобщаются до доказательтсва и опровержения некой идеи, где доказательство - что-то такое особенное из чего можно именно в эту идею, при диалектике, дойти. К примеру возьми "иду вперед - прихожу от куда шел"+"иду направо и делаю круг", что можно сложить в сферу же. Заметить, из "иду в право и делаю круг" можно прийти как к сфере так и к плоскости, потому что и там и там это есть. А вот уже из иду вперед - прихожу назад есть торлько у сферы. Это и есть докво и, как я ещё называю, центр теории(идеи). Опроврежние или скорее "ужас" это не центр. Не противопложный центр, а именно такое, из чего можно прийти как в одну теорию так и в отрциание этой теории, т.е, из ходьбы в право можно прийти как к сфере так и к плоскости.

Дальше идет разложение на сумму. По сути, мы бурем любую сумму и просто добавляем к ней некуий такой элемент, что приравнивает эту всю сумму к нужному нам объекту. Этакий "идеал" или "умножение на ноль" скажем так. Как же разложить на сумму? Просто.

I+S=c->I=внешняяD((внутренняяD(c-S)), где S какая-то сумма.

Дальше же уже можем поговорить об путях.

В данном случае, задачей математической диалектики теории является в том, чтобы доказать что одна теория относительно другой либо равна ей либо более правдива. Сделать это можно "диалектическими суммами".

Диалектическая сумма это просто диалектика, но в мат диал теории.

Отличается тем, что, ну вообще чем отличается, тут вещи либо есть либо их нету. Т.е оно обладают статусом существования. Собственно дальше вот что идет - есть две теории, их диалектика что объединяет их и является противоречивой как-бы задает такой план, что две эти теории об одном и том же и на самом деле, если диалектика есть, то существует этакое противоречие ввиде того, что две теории одновременно правы. Вприцнипе это всё мы моежм разрушить, опровергнув - совершив ещё одну диалектику, но доказывающую и по сути в ней, что нам важно, так это то(напоминаю диалектика это сумма), чтобы какой-то элемент был не подобен одному центру или нескольким из теории. При том не подобен имеется ввиду чтобы вообще не было такого элемента что подобен какому-то центру какой-то теории. В таком плане мы можем составить сумму из этого противоречия и вот этих неподобных элементов, доказав(если все элементы суммы есть конечно же), что на самом деле это противоречие не такое уж и противоречиво. ЧТо имеется ввиду, раз это противоречие, то оно должно быть опдобно всем центрам из двух теорий, но если какому-то центру оно не подобно, значит оно не является той теорией. Действие в данном случае очень похоже с иллюзией, обманкой. К примеру ты видишь яблоко, притрагиваешься к нему - оно рассыпается. Как это так? Яблоко это песок? Ну хорошо, яблоко это песок, ибо оно выглядит как яблоко(подобность центру яблока), оно рассыпается как песок(подобность центру песка)...но оно же не подобно твердости яблока(т.е не подобие центру яблока), а по идее, раз яблоко это песок, то оно должно быть и твердым и рассыпчивым, но оно только рассыпчивое. Значит оно больше походит на песок и по сути является окрашенным песком. В такой манере.

Это всё в свою очередь можно просто свести в массивную такую сумму центров, где мы ищем отсутствие какого-то центра(т.е несуществование его)

Собственно дальше же не забываем, что центры можно обобщать и так далее, т.е абстрактнео от них брать. Чем больше нам надо брать абстраткностей - тем больше противоречие или доказательство будет логичным, так как больше вещей будет либо быть либо не быть.

Дальше то, что центры можно определить в группу. Т.е группа центров. Дальше же можем предложить гомоморфизм групп через "идеалы" что существуют. А дальше можем предложить особые гомоморфизмы, но это думаю позже объясню.

В любом случае тут можно наметить себе некоторой тактики - пораждай бесконечно центров(это можно сделать разложением центра на центр что имеет некую бесконечномалую, к примеру относительно иду вперед и прихожу наззад можно этому задать направление в тех же градусов, а градус может быть бысконечно малой, вот тебе бесконечное колво центров этак бесконечное колво направлений) и ищи отсутствие центров. Если же нашел отсутствие - опровергай центр, мол, это и не центр вовсе, что, подразумевая, что центр можно разложить на сумму и провернуть тоже самое. Если же отсутствие центра не находится, тогда опровергни центр какой-то, а это подразумевает центр как разложение на сумму.

Кстати относительно этого всего есть крутая визуализация, а ещё относительно гомоморфизмов потом расскажу.

2.5)

С помощью этого базиса уже можно наметить себе путь к "сверхчеловеку" или сказать лучше "сверхосознанию" или же "сверхидеи что познаешь".

Как-бы скажу коротко:

инициадизация
поддержка
триумф

2.8)

На основе этого базиса можно шизить достаточно и даже пытаться в магию, мол, реальные галлюцинации. В общем можно осознать(придумать способо) каранадаш как свою мысль над чем-то)

3)

Математическая диалектика математики. По сути, тут это вопрос диалектических путей.

Как-бы что подразумевается, мат диал теории это игра с элементами, а вот мат диал мат это игра внутри элементов, чтобы из одного элемента, из его внутренностей, можно было создать другой(этак прийти к благу из ужаса как-бы).

Ну и тут всё просто достаточно для обобщения.

К примеру хотим из -1 прийти в 1.

-1 подобен чему? Допустим группе.

ТОгда задаем методы(пути), мол, сложение -1

-1-1=0, т.е не пришли(ну да, если дальше идти, то придем, но тут имеется ввиду я привожу тебе тот самый первый пример с благом и ужасом), значит можно попробовать другой путь, +1. ну и вот, соединяем -1-1-1-1-1-1-1 и +1+1+1+1+1 и получаем что-то типо бесконечность-бесконечность, что если осознать, можно осознать как f(x) (т.е a1-b1 где a,b как-то меняются, таким образом двигая их разность аки функция же). Таким образом диалектику, после осознания, можно математизировать(в данном случае это будет типо добавление новой пременной). Ну и да, как ты видишь, f(x) содержит(может) как и -1 так и 1.

При этом да, пути это уже чисто математика конечно же. Кроме диалектики.

Дальше нужны твои вопросы и мои ответы, я так думаю.
Аноним 01/03/24 Птн 14:41:52 731274 420
Beethoven.jpg 980Кб, 1200x1443
1200x1443
КУДА Я БЛЯТЬ ВЛЕЗ НАХУЙ ЧТО МНЕ НАХУЙ БЛЯТЬ ДЕЛАТЬ СУКА ПИЗДЕЦ КАК МНЕ ЭТО ДЕЛАТЬ БЛЯТЬ ПИЗДЕЦ НАХУЙ НАХУЙ БЛЯЯЯЯЯТЬ
Аноним 01/03/24 Птн 15:10:19 731281 421
В общем:

Теория как работа с изначальным или тем что придумали.

Пути как то что придумывает изначальное и то что додумывает углы скажем так.
Аноним 02/03/24 Суб 03:33:12 731440 422
Математика и степень разумности математики(к математической математике а не разумной математики)
Аноним 03/03/24 Вск 02:58:02 731629 423
Ну погланли придумывать техники для практик:

Фантазм.
Гиппереальность.
Пробуждение.

Пробуждение:
1)(c^1-c^1+I)-(c^1-c^1+I)+L=c^-1
2)Пытаться выполнить условие данного осознания.

Фантазм:
1)Цикл(
Инициализация
Поддержка
Триумф)
2)Разложение на суммы
3)Не словесная рефлексия
4)Концентрация

Гипперреальность:
1)Фантазм на основе реальности
2)Забывание реальности
3)Пробуждение реальности
Аноним 03/03/24 Вск 06:09:51 731651 424
image.png 1748Кб, 1200x1200
1200x1200
Собственно, наблюдения:

Суммы помогли, также было замечено то, что противоречия тоже помогают, а следствие и их опровержения.

К тому же было замечено то, что суммы есть концентрация, противоречие же есть более глубокий способ вызова фантазма.

К тому же было замечено это мнимое исчезание, которому надо бы времени просто, плюс работа сознания.

В остальном случае было замечено то, что это всё похоже на сон.

Также было замечено то, что чтобы пробудиться ото сна, нужна рефлексия направленная на изучение того, над чем думает, т.е вданном случае рефлексия что не хочет исчезнуть мир, а наоборот хочет его раскрыть.

Ко всему этому этапы инициализации-поддержки-триумфа тоже были замечены. И замечены они были достаточно няшно, я так скажу.

Дальше расскажу об ощущениях.
Аноним 03/03/24 Вск 06:40:19 731654 425
Всего было три попытки.

Первая была с музыкой, вторые без.

Музыка была northaunt barren land.

На первую попытке я осознал все вещи о которых говорил кроме пробуждения.

Также была замечена инициализация - мне было достаточно вспомнить что-то хорошее, чтобы оно появилось в мыслях, чтобы дальше это хорошее узреть где-то ещё, таким образом дав начало движению туда.

Насчет же поддержки, то в данном случае я бы сказал, что это больше про личность всё же(и слова). Поддержку я использовал скорее для противоречий, что были.

Триумфом было само осознание свободы там, вот что было триумфом.

Теперь же, прежде чем говорить что это вондер - я не плебей и не быдло, так что, пожалуйста, не говорите так -> вы просто не понимаете глубины моей мысли.

Первая попытка была в кресле качалке и с пледом. Я думал что же представить и понял, что надо представить себе поляну в генсоке с феями, чтобы с ними веселица, но потом передумал и остановился на одинокой поляне и лесу.

Погружение я начал с инициадизации: я представил себе что-то вкусное. Шашлык свиной что ел недавно, дальше же я узрел этот шашлык на стуле и на столе в окружении травы. При этом траву и всё остальное я разобрал на то, с визуальной точки зрения, из чего они состоят. Ну там воздух, как они выглядили, ощущались и так далее, при том не забывая в этом во всем узревать мою любимую еду.

После чего, не столкнувшись с проблемами, настал триумф сразу же - фантазия о еде заполняла мой желудок, вкус был на языке, ещё я могу регулировать куски что были у меня во рту. И сделал так, чтобы их можно было очень приятно прожовывать. Ощущалось очень реально, но отдаленно, как фантазия. При этом да, я сидел на стуле в поляне и кушал за столом, при том наблюдал это всё с третьей точки зрения и немного одновременно с первой. Кстати да, неразборчивость в том какая точка зрения была - это наверное и была стадия поддержки. Ибо после неё как раз всё и устаканилось, стало "природным", таким каким должно быть.

После шашлыка был лес. Я там гулял и думал над ощущениями. Возник второй я, как олицитворение моего голоса. Гулял я достаточно концентрированно, обдумывал нормально - как обычно в общем. При этом всё с третьей стороны. Я бы сказал что было реалистичненько, но не знаю не знаю, по крайней мере было достаточно.

Дальше же в лесу я понял противоречие. Первое противоречие было дыханием - я понял, что могу бы дышать также свободно и в лесу. И ощущения дыхания стали противоречивы, то ли я в комнате дышал, а то ли всей грудью на природе. При том опровержение данного факта сваливоло всё в прирооду.

Дальше же было тело. Я понял, что нужны противоречия в теле, чтобы "буквально" оказаться в лесу, но как-то смутно было. Просто ощущения концентрации были, противоречий не нашел.

А вот следующее уже куда интереснее. Глаза закрыты - темнота же. А что насчет какой-то фантазии что я вижу как-бы вне этой темноты? Поняли уже вы, противоречие в том, чтобы та темнота становилась фантазией буквально. И я даже словил это пару раз, пару раз увидев листву. Но на самом деле противоречие было, просто смысл был в его моментальном разрешении, либо в сторону темноты либо листвы. Но пару раз листву всё же противоречиво увидел.

Дальше же к тому моменту забывчивость дала о себе знать. Я начал ощущать свои руки, другие. Внеруки. И внетело даже. И оно усиливалось с тем, что начиналось всё это доказываться по факту того, тчо оно есть и тем фактом, что оно есть отрицание моего тела, при том одновременно существовало и то и другое, т.е тоже противоречие, что разрешалось в сторону.

Ощутил я свободу однако большую в те моменты: что мог ходить по полю, что мог бегать и сидеть, что мог кушать или пить чай матча.

Кстати свобода ещё появилась на моменте с шашлыком.

Дальше же я сел в тарелку и начал лететь по лесу, обдумывая всё это вместе с моими двойниками, что вели себе крайне артистично.

Дальше я отошел от этого всего. Попил чая. И начал другие попытки.

В кровати уже, где и ненароком немного уснул.
Там было всё тоже самое вприцнипе, просто повторял то что изучил.
Аноним 04/03/24 Пнд 09:58:22 731799 426
В общем, гипперреальность есть шаманизм, при том важна тут абстрактность и конкретика ввиде реальности, также - лирическое, будто история мол литература.

Суммы, противоречия тут тоже работают. Важна также музыка, к слову, она может задать это настроение.

Ну в любом случае я понял как это выглядит.

Дальше же описываю опыт:

Буддто горю же. Вот что. Или свечусь.

Вначале стоял в комнате, потом нашло вдохновение и представил себе комнату с идеей, некой абстрактностью - светом и в центра огненного круга в комнате, а дальше просто исполнялся этой идеей, видя во всем(не буквально видя) эту идею от музыки. Когда открыл глаза - понял что можно противоречить с открытыми глазами, также, немного всё было шизово, хотя было и в порядке, в любом случае абстрактность на какие-то моменты увидел в чем-то(буквально увидел).

Вот какой-то такой опыт.

Дальше же осознание вещей как идей идет, huh.
Аноним 06/03/24 Срд 21:42:43 732230 427
А ты знал, что есть вещи что существуют и что доказываются, а ещё ты знал, что есть две природы: изначальное и иное. При этом в таком плане, скорее всего, всё есть противоречие этих двух природ - т.е их совмещение. Доказывать и опровергать бесконечно. При этом само существование с несуществованием это тоже не обошло. То что есть одновременно и не есть, ведь суть их одна и та же - быть. Когда есть, тогда и не есть, ведь не есть есть. И в итоге получается такое, что есть противоречиво. Но дело в том, что есть и доказывание это разное. Нельзя говорить о том, что они одно и тоже, может даже нельзя говорить о том, что они одной природы, но дело в том, что ведут они себя одинаково(хоть и проявляются по разному, наверное). Доказание и опровержение/есть и не есть. При том...есть их сущность, понимаешь? Сущность не как живое, а как такое, что не относится к диалектики живого и не живого - я бы сказал скрытое что-то. Но знаешь, это же вопрос того, насколько вещи нерушимы, верно же? И другой вопрос в том, насколько эта нерушимость, как мы говорим, влияет.

И я забыл.

Но кстати насчет есть и не есть. Если долго смотреть во что-то, что без усилий того, что доказывается, оно может исчезнуть. И что же это такое? А то-то.
Аноним 06/03/24 Срд 21:43:33 732231 428
Тело есть материя.
Судьба есть заранее существующее что-то что складывается с материей или рефлексией над материей.

То что было раньше - как менять тело, но что насчет судьбы?
Аноним 06/03/24 Срд 21:56:46 732233 429
Но насчет природ. Изначальное и иное же, только вот, тебе не кажется, что изначальное и иное имеют чувства? Хотя к чему это я...Я про то, а почему надо убегать от изначального? К примеру вопрос о смысле жизни. Его суть, его свершение, это сам этот же вопрос, а не ответ. Ответ это иное. А вот то изначальное, что было...В общем почему нужно иное а не изначальное? И говоря об этом, то становиться просто жалко и то и другое. В любом случае можно же их соединить. И получить то, что и иное и изначальное:есть и не есть одновременно, доказывается как опровергается бесконечно. При этом со вторым есть казус, а разве таким образом нельзя опровергнуть существование? А у них разная природа же, понимаешь. Доказательство и опроврежение есть связанные вещи, они имеют историю. А вот существование этого не имеет. Следовательно это просто разные природы. Так что говорить о опроврежении существовании как то, что происходит в одной природе - так нельзя, зато можно говорить о взаимодействии природ, не так ли? Но как взаимодествует природы? И дело тут рекурсивно. Такое ощущение, что они никак не соприкасаются же, понимаешь? И вот тебе стабильность уже, ибо существование никто не трогает. При том и стабильность в доказании, ибо доказание не существует, оно доказывается. Оттого тебе и стабильность. Но разве стабильность есть не везде? А тут вспоминается диалектика. Она же есть продукт рефлексии, но говоря об этом так, я бы сказал, что может это просто ещё одна природа? Ведь если так, то это закончилось. А если нет? Если всё нестабильно? Что делать если нестабильно всё...
Аноним 06/03/24 Срд 22:19:40 732235 430
Я тут кое-что вспомнил. Тогда, когда существующее становиться доказывающимся и наоборот. А собственно, что? В таком плане они одной природы же? Или одной? Единственность и единство, вот природа, что диалектика. В таком смысле же получается, что есть либо единственность либо единство же. А только что такое единство? Одновременность. Но где ты видишь одновременность в том, когда одно становиться другим? А что такое что и доказывающее и существующее? Самопознающее, аки самодоказывающияся. И действительно, та схема с тем что существует, где есть доказывающее этого существа, есть само в целом их единство же. И вот она, сторона реальности, ведь у нас же есть изначальное и иное же. Но разве изначальное и иное не имеет ту же природу с тем что есть единство и единственное? Вполне себе я бы сказал, что это одно и тоже. И вот, их сущность, связь, что скрытное.

Таким образом можно ставить под вопрос то, что это, самопознающее, только и может быть. Разве оно не изначальное? А иное? А то и другое? А тут уже наслаиваетя и диалектика.

Но только всё это, оно. Ну Оно имеют природу. Но имеет? В общем я тогда скажу вот как: она природа.
Аноним 07/03/24 Чтв 13:54:58 732298 431
Движение.,?
Аноним 07/03/24 Чтв 23:23:03 732404 432
Чтобы менять судьбу, надо либо осознать её и осознать её отрицание и дальше это осознавать.

Либо же менять элементы судьбы. Менять известными способами.

Также всё можно разделить на тело, разум и судьбу.
Аноним 09/03/24 Суб 20:52:28 732680 433
Пиши чаще.
Аноним 10/03/24 Вск 01:38:05 732729 434
Аноним 10/03/24 Вск 07:29:53 732791 435
>>732729
Расклад на завтрашние лунные сутки.
Аноним 10/03/24 Вск 15:19:25 732825 436
Аноним 14/03/24 Чтв 02:23:24 733579 437
james Watt.jpg 199Кб, 1200x1200
1200x1200
Такое ощущение что я всё растерял. Хотя надо просто подождать, считай отдых, считай отдых.

Но и математика, но и всякое такое. В общем а при чем тут математика? А при том, при том, я ведь понимаю при чем она тут. И там же у меня есть мысли, но почему-то кажется всё это незначительным, хотя оно только кажется. А как на самом деле? А это надо проверять.

Иной вопрос в том, что я отхожу от математики, я иду в другую стязу, возвращаюсь можно сказать. Как говорил ФланяНяша, математикой это не ограничевается. Так что как-то так.

Но что я буду делать, если ничего не получится? Хороший вопрос над которым надо подумать.
Аноним 14/03/24 Чтв 02:44:26 733581 438
Эххх, вообще странное ощущение, знаете. Я же уже как неделю не занимаюсь математикой иииии не думаю даже. Буддо там всё окончено, хотя конечно проверить всё, т.е воплотить можно, но мои тесты маленькие вроде и показали, что этим можно делаться уже. Но только ощущение что всё это закончилось в том привычном мне образе. Ибо если я и буду дальше заниматься, то в очень другой манере. А ведь математикой я занимался где-то три или 4 года получается, проводил время, думало не часами а днями, в припадках интереса изучал вещи, и при том манера думать то какая была. И всё под музыку конечно же. А эти сонные моменты, когда засыпаешь и остается только математика. Как она скачет под такт музыки в ритм, как вещи двигались и так приятно(или не совсем) складывались. А этот процесс начинания думать над чем-то, когда вещи скакали, взаимодействовали. Так приятно было конечно же. И ведь смысл даже не в том, чтобы найти, а в том, чтобы всё складно двигалось, сладко так. Хотя потом конечно же и вопросы истинности а может и даже того, а всё ли я вообще надумал? Этак ощущать что ты в пузыре, постоянно растягивая его, чтобы проверить где оно перестанет растягиваться. Составлять план задачей и целей, бессоно проводить за маткадом(и не только), не уметь уснуть ибо мозг занят обдумыванием. И даже когда вроде и занят другим, понимаешь, что занят математикой на самом деле. И прерываться, отойти на час а может два или три чтобы обдумать мысль что появилась. А ещё конечно же додумывания, наделяя математику личностью, этак ходить с ней за ручку по парку и слушать звуки, что отдается в математическом плане всяким.

А как же обсессии не забыть. Конечно это печально, но в этом и смысл. Городить целые пасты, разбирая что тревожит. Повторять раз за разом тезисы в слух и думать что с ними не так. А что насчет хождения по кругам и битья себя об стенки(метафорично)? Аххххх, как же это няяяяяяяяяшно то. Конечно плохо было принимать критику, ибо она не имела смысла практически ВСЕГДА, но что же поделать.

И в итоге всему этому приходит конец? Даже не знаю. Хотя если так углубленно позыркать, то ведь это логическое следствие моего плана. Математика закончилась, началось другое, то, что меряла математика же. Эххххх.
Аноним 14/03/24 Чтв 03:21:26 733583 439
>>733581
Круто, поздравляю.
Аноним 14/03/24 Чтв 03:27:30 733584 440
>>733583
Поздравляешь с чем-то новым меня, да? Хотя знаешь, меня терзает одно глупое желание только
Аноним 14/03/24 Чтв 06:07:29 733586 441
Узреть в плохом хорошее.
Узреть в хорошем плохое.
Абстрагировав это, можно получить принцип.
Узревать можно и массу хорошего/плохого и даже принципы в чем-то.
Хорошее можно сделать относительным.
Плохое можно сделать относительным.
На базе этого можно создать принцип, абстрагировав.
Дальше идет деление на теорию и благо/ужас. Теория может ощущаться.
Теорию можно сделать противоречивой.
Теорию и противоречивость можно опровергнуть.
Опровержение это неподобность.
Докзаательтсво это наличие.

Дальше суммы. Можно пользоваться идеалами. Это как дл яблага/ужаса как для теории.

Ещё есть инициализация, по сути, есть просто то, когда можно благо узреть в объекте интереса. И можно применять все те приемы.

Дальше же надо бы сделать судьбу что наталкивала бы на осознание этих вещей и вообще что брала бы эти вещи бы в быт себе.
yumi !1GkE/KTbhU 14/03/24 Чтв 16:29:57 733640 442
>>733584
Скорее с тем что удалось побороть умственную ленность, она самая сильная. Я не смогла так долго заниматься математикой, на втором году надоело.
Аноним 14/03/24 Чтв 19:34:34 733669 443
>>733640
Аааа, вот про что ты. А для меня это считай развлечение просто. Или по крайней мере это, как там. Ну короче быт. Просто нравилось(и нраица) же.

А ты кстати кто? Я тебя знаю?
yumi !1GkE/KTbhU 14/03/24 Чтв 19:44:56 733673 444
>>733669
Наверное нет, я с доски. Люблю пересечение диалектики и математики.
Аноним 14/03/24 Чтв 20:06:28 733680 445
>>733673
О как, интересно выходит. Надеюсь тебе было интересно мой дневничок читать в таком случае. Интересно, я сюда скидывал диалектику диффуров?
yumi !1GkE/KTbhU 14/03/24 Чтв 20:27:22 733682 446
>>733680
Неа. Про них Маркс писал кстати.
Аноним 17/03/24 Вск 00:07:43 734046 447
Интересно, нашла ли...
Аноним 17/03/24 Вск 00:21:47 734050 448
Трудно понять без геометрической интерпретации, например какую роль играет поле направлений/SPOILER]
Аноним 17/03/24 Вск 00:48:40 734055 449
Аноним 17/03/24 Вск 15:29:28 734156 450
yumi !1GkE/KTbhU 17/03/24 Вск 16:04:49 734177 451
>>734156
Я видела символические уровнения про внутреннюю и внешнюю диалектику, но больше доставили пикчи со схемами про огненный разум и т.п.
Аноним 18/03/24 Пнд 00:31:00 734376 452
>>734156
Няшно-няшно-няшно.

>>734177
Ого, весь дневник прочла?

Хм, ну а мне больше нраица про внутреннюю и внешнюю диалектику. А как ты там, поняла про что была диалектика?
yumi !1GkE/KTbhU 18/03/24 Пнд 01:12:24 734385 453
>>734376
Не уверена что поняла, но ловлю чучхе-вайб с огня.
Аноним 18/03/24 Пнд 15:37:25 734479 454
>>734385
Ну я могу подробнее объяснить. Ибо, так-то, конечно, за основу взято то про огненный разум, только сделано в такую, абстрактность. В инструмент в общем, из-за чего мне он больше нраица.

Хах, чучхе, а ми донт ноу что ето такое. А ты в философии разбираешься?
Аноним 18/03/24 Пнд 15:43:34 734480 455
>>734385
А я как-то не очень понял пр ичем тут чучхе...Щас прочитал, там в основном же про политику же, мол, про общество.
yumi !1GkE/KTbhU 18/03/24 Пнд 17:53:09 734508 456
>>734480
Оптимизм в рамках гос. управления.
Аноним 18/03/24 Пнд 18:15:02 734514 457
>>734508
А у меня настроение такое хорошее. В плане таком, что надо бы реальность менять, понимаешь? Но как только...зато оно ощущается как математика(и как то забытое что я забыл), ахъъъ
yumi !1GkE/KTbhU 18/03/24 Пнд 18:28:33 734519 458
>>734514
Так действуй же :)
Аноним 18/03/24 Пнд 20:56:13 734636 459
>>734519
Ну да, попытался бутылку разрезать, опыт интересный конечно. Но это потом. Хочешь покажу две свои попытки в скрипку?
yumi !1GkE/KTbhU 18/03/24 Пнд 21:09:06 734646 460
>>734636
Поэтому Бетховен на аве? Или кто это я хз.
Давай.
Аноним 18/03/24 Пнд 21:12:24 734651 461
>>734646
Ээээ, поэтому? Или ты хотела сказать почему? Это бетховен, да. Если же почему, то ассоциации. В момент жизни интересный я слушал песенки в исполнении гилелса(песенки бетховена пианинные) вот и ассоциируется у меня эта картинка с тем временем. И идеями теми.

ЛОви.

первая https://vocaroo.com/1aiaPQKfAnik
вторая https://vocaroo.com/16GmgDzycEV6
yumi !1GkE/KTbhU 18/03/24 Пнд 21:39:55 734676 462
>>734651
Почему пустая запись после минуты?
Аноним 18/03/24 Пнд 21:43:34 734679 463
>>734676
Ой, забыл обрезать видимо.
Аноним 19/03/24 Втр 04:09:30 735072 464
>>734679
Хотела бы сделать свой язык? Я вот попробую.
yumi !1GkE/KTbhU 19/03/24 Втр 04:10:58 735073 465
Методологию общения или именно язык?
Аноним 19/03/24 Втр 04:12:33 735074 466
>>735073
Язык-язык, впринципе он у меня и так был, маленький такой и абстрактный, но вот решил сделать побольше же.

А методология общения...Ну впринципе, хотяяя, а что это?
yumi !1GkE/KTbhU 19/03/24 Втр 04:14:36 735076 467
>>735074
Чтобы использовать язык не как надо а как хочется.
Аноним 19/03/24 Втр 04:20:18 735080 468
>>735076
Хм, ну немного не понимаю как юзать конечно.
yumi !1GkE/KTbhU 19/03/24 Втр 04:25:34 735082 469
>>735080
Метод в том что уникальные коллективы рождают уникальные формы общения, их закономерности можно вычислить и распоряжаться порядком смыслов. Не язык, просто похожее.
Аноним 19/03/24 Втр 04:38:03 735091 470
>>735082
Хм, ну няшное да, впринципе методологию я кстати разработал получается даже. Оно связано с я,ты,он,иной,другой.
yumi !1GkE/KTbhU 19/03/24 Втр 04:41:27 735092 471
>>735091
В чём различие иного и другого, другой это снятие четырёх прошлых элементов?
Аноним 19/03/24 Втр 04:44:48 735093 472
>>735092
Я это я, ты это не я, он это не ты, иное это не он, другое это не иное.

По сути то я это я. Ты это то что перед глазами так сказать. Он это уже если задуматься о чем-то ещё, а иное это вообще что-то совсем совсем прям иное. Другое это уже как ты но можно сказать перед иным просто, подразумевая что иное в паре с другим подобно я.
Аноним 19/03/24 Втр 04:50:40 735096 473
>>735092
Вот тебе пример как-бы применения:

Я ты я ты я ты
я, не я, я, не я,...

Как можно трактовать? Да как хочешь, к примеру как время можешь. Т.е я потом стало тобой, потом стало мной, потом тобой, потом мной. Т.е если смотреть на время, то я осознаю сейчас, потом осознаю что сейчас прошло, потом вспоминаю про сейчас, потом осознаю что это сейчас прошло.

При этом можно же написать ещё и(типо нижняя строчка как-бы стоит внизу же)
Я, ты, я, ты
Он,Иное,Он,Я

Что можно трактовать как я, что содержит его(не тебя), ты что содержишь иное, я что содержу его, ты что содержишь меня.

Т.е с тем же временем, можно сказать что я что содержит его - сейчас что про что-то (стол сейчас существует) а потом в прошлом вспоминая, впоминается что-то иное уже, ну не стол, а к примеру деревянный стол или может стул или типо того, а потом опять я смотрю на стол, а потом в прошлом я осознаю себя, что момент прошлого(ты) на самом деле то был про меня про мое осознание момента что сейчас же. Типо того
yumi !1GkE/KTbhU 19/03/24 Втр 04:59:36 735102 474
>>735096
Это теория а не пример её работы :)
Общаешься на доске?
Аноним 19/03/24 Втр 05:00:48 735103 475
>>735102
Ммм? А, наверное потому что нету коллектива.

На какой? Тут только с тобой, могу и в дев написать ещё конечно.
yumi !1GkE/KTbhU 19/03/24 Втр 05:05:35 735105 476
>>735103
На этой да.
А ирл успеваешь применять теорию? Я вот порой нет и действовать приходится спонтанно.
Аноним 19/03/24 Втр 05:10:25 735108 477
>>735105
Ну смотря какие. Вот которая про я,ты,так далее применял(без коллектива), успеваю как-бы, а так про теории. Ну да, применяю. Хотя тут смотря в чем смысл, если важен результат, то теория, если под рукой, юзаю, если же она становиться неудобной то не юзаю, если же нужно теорию проверить или именно теорией сделать, то юзаю только её и достаточно успешно не срываюсь. К примеру я так со статистикой думал.
yumi !1GkE/KTbhU 19/03/24 Втр 05:13:07 735109 478
>>735108
>со статистикой думал
Теория эмпиризма что ли? На статистике основана эмпирическая физика частиц.
Аноним 19/03/24 Втр 05:14:08 735110 479
>>735109
Не-не и я немного ошибся, ой(я должен спать уже так что ну да). Я имел ввиду когда над акциями думал и то как их математически предсказать.
yumi !1GkE/KTbhU 19/03/24 Втр 05:14:52 735111 480
>>735110
Крах можно предсказать.
Аноним 19/03/24 Втр 05:16:03 735112 481
>>735111
Ну да(вот бы наделать бы диффуров бы и решить их ^~^) кхм.

Ну чахо, время матчи?
yumi !1GkE/KTbhU 19/03/24 Втр 05:17:19 735113 482
Аноним 19/03/24 Втр 05:20:17 735116 483
>>735113
Ну чай там заварить, матчу имею ввиду.
yumi !1GkE/KTbhU 19/03/24 Втр 05:21:32 735117 484
>>735116
Да вот спать уже охота..
yumi !1GkE/KTbhU 19/03/24 Втр 05:21:54 735118 485
Хотяя
Аноним 19/03/24 Втр 05:22:14 735119 486
>>735117
Тогда споки получается, а я пойду заварю. И сейчас буду практиковаться с языком в треде.

>>735118
Хотяяяяяяя.
yumi !1GkE/KTbhU 19/03/24 Втр 05:22:35 735120 487
Демон :D
Аноним 19/03/24 Втр 05:33:17 735123 488
yumi !1GkE/KTbhU 19/03/24 Втр 05:34:53 735125 489
>>735123
Ни в коем случае.
Аноним 19/03/24 Втр 05:44:59 735127 490
>>735125
Хи-хи, ну всё, матчу заварил. Блин я успел осознать язык в какой-то мере один раз, ощущения странные очень.
Аноним 20/03/24 Срд 15:32:05 735698 491
Beethoven.jpg 980Кб, 1200x1443
1200x1443
Я понял, надо развивать свою форму, как некоторые это называют. Биологический вид, ограничение плоти, только правда в моем случае это всё есть просто более абстрактная судьба, где судьба воспринимается как, эээ, ну по поему лексикону - логическое(или не совсем) ядро категории.

В любом случае стоит сосредоточица на такой вещи как форме, только бы определить что в неё входят. А наверное входит в неё память. Но надо бы над этим подумать, эти полуневидимые вещи буддто.
Аноним 20/03/24 Срд 15:52:15 735705 492
А дальше же, чтобы поменять форму - надо поменять быт. Объясняется по простому действию(ну и вообще тому как действует статистика). Только надо учесть что может быть быт быта или же алгоритм алгоритма. Ну или же судьба судьбы, т.е есть всё ещё более абстрактное чем то что сейчас понимается.

В дальнейшем момент интереса есть то, когда судьба никак не меняется скажем так.
Аноним 20/03/24 Срд 16:05:38 735707 493
Точно, если говорить о судьбе и о том чтобы её проживать, то тут вопрос того, а хочу ли я чтобы менялось всё или мне следует доживать всё до конца. Что страшно, ибо упускаются возможности. Но это можно разрешить противоречием. Что было бы свободой воли, поэтому на вопрос о том, а хочу ли я оставаться всегда при одном или всегда менялось бы что, я бы мог ответить, что я бы хотел сам выбирать то, чего хочу. И этим и правда всё1 сказано если вдуматься.

Ну и проблемы у меня конечн оже.
Аноним 20/03/24 Срд 16:16:07 735709 494
Я хочу это
Я не хочу это

Значит я хочу этого но не хочу того-то
При этом можно и тчобы я хочу это и того-то
При этом того-то как отрицание этого
А значит отрицание отрицание как описание изначальногл
Из-за чего противоречие при котором хочется и то и другое может быть про изначальное если то что не хочется воспрнимается и в конце как отрицательное.
Аноним 20/03/24 Срд 16:17:35 735711 495
Berdefa1.png 89Кб, 343x440
343x440
И ведь я всё забыл. По сути я занимаюсь тавтологией того что уже придумал, оххххх.
Аноним 20/03/24 Срд 23:02:49 735810 496
я,ты,он,другой,иной - мь/м,эй,ой,енто,энто а ещё продолжают этот ряд емто и эмто.
Так - пониматься.
Как - пониматься относительно чего одного.
Ка - категория.
Ди - порядок.
Гхе - что-то меняется, есть какое-то движение.
Контр - исчезание.
Об - приставка что разделяет вещи что понимаются от самих пониманий.
Парва - визуальное
Прямое - ту
Искривленное - ву
Дырка - во
Цвет - цвед
Слуховое - гуру
Осязанемое - гарта
Эмоциональное - мандат
Аноним 20/03/24 Срд 23:22:15 735813 497
>>735810
Начиная с парва всё удаляется.

Новое:

Визуальное - дар.
Что-то первое хорошее обычное простое чего-то - да.
Что-то второе странное сложное что может даже плохое - го.
Слуховое - ор.
Цвет - цвед.
Осязаемое - дор.
Эмоциональное - ши.
Аноним 20/03/24 Срд 23:24:35 735814 498
Кстати да

Я,ты,... можно воспринимать за числа ещё.
Аноним 20/03/24 Срд 23:32:51 735815 499
Теперь можно и сократить кстати, в слово. Типо

КаName_it1Name_it2... обName_it1Name_it2... так Name_it1Name_it2...

Берем первые буквы слов после как после об и после так при этом перед так ставим т перед об о перед ка к. Получим, если сокращенно квадрат писать

Кдоэдтдоэд.
Аноним 20/03/24 Срд 23:53:55 735816 500
Давай разберем "давай потом".

Что такое давай? Это обращение же к тебе и к тебе как к человеку. Можно сказать что это осязаемый-ты что призывает к чему-то. Т.е Обдорэй так гхе. Потом уже про прошлое, т.е то что н есейчас. При этом прошлое это не такой сложный концепт как будущее, значит, надо определить то что сейчас. Впринципе можно сказат ьсейчас это я, ну а прошлое - ты. Т.е можно сказать что это обэйда.

Получается Обдорэй так гхе обэйда




///////////

Что такое чрезмерный экстаз? Это по сути что-то чрезмерное, а что такое чрезмерное? Точно не обычное, т.е за пределами обычного. Странное можно сказать, при этом это странное не является отрицанием счастья, наоборот, это счастье, но только такое, что уже и не сейстье. Можно сказать что это что-то иное - иное счастье же. При этом а положительно ли оно или нет? Всё таки хорошее или же нет? Допустим что хорошее. Тогда упоенье это "обдаентода" т.е, что-то что объект(об) что-то что простое хорошее (да) что-то что иное(енто) что-то что простое хорошее(да). Яд отравы же это что такое? По сути можно сказать что это тавтология, но нет, яд не просто отравы, а какой-то определенный отравы, значит отрава есть конкретное, а яд есть абстрактное. Значит должно быть что-то типо "конкретное абстрактного". Хорошо. Начнем с яда. Что такое яд? Можно сказать что это нечто убивающее, при том физически. Т.е это физическое исчезающее, при том как абстрактное. А отрава? Конкретное какое-то, не важно даже какого. Можно тогда использовать я,ты,... для определения того что это какая-то отрава, т.е можно сказать что это ты. Где я это абстрактное, а ты - конкретное абстрактного, где мы типо в паре. Оттого получается физическое исчезающее при том как действие и его кокнкретность, т.е ты. Как можно это записать? Как понимание во первых, яд же это действие типо. Не отравленный предмет, а понимается как отравленный предмет. Хорошо, тогда это понимается как отравленный предмет. Т.е это должно быть "так дорконтрэй так аб" т.е понимается(так) как осязаемое(дор) исчезающее(контр) ты(эй) что понимается (так) как абстрактное(аб).

И складываем.

Обдаентода так дорконтрэй так аб. Т.е что-то такое хороше что даже иное но хорошее, что по себе позитивное, понимается как осязаемое исчезающее чего-то конкретного что не определенно.
Аноним 21/03/24 Чтв 00:12:43 735819 501
Что такое мы? Можно сказать объединенеи тебя и меня.

Не оставим города, т.е исчезание действия оставления. А что такое оставить? Можно сказать прекратить что или бросить. Т.е тоже исчезание. Свои города - города что мы. Город - физическое такое, можно сказать ещё визуальное, но не будет. Физическое такое, в котором живут, т.е в котором мы находимся, но можно сказать иные мы, т.е они. А они - иные мы. Мы что-то делаем это как? Это можно сказать что понимается через нас, т.е

Обконтр как контр обдормьэйенто так обмьэй. Т.е исчезание что исчезает что одновременно и физическое они где это всё понимается как мы.
Аноним 21/03/24 Чтв 00:23:54 735820 502
image.png 11Кб, 201x741
201x741
>>735810
>>735813
В порядке как-бы. Пропуская так как об.
Аноним 21/03/24 Чтв 00:50:50 735823 503
Обмь так обмьмь.

Обмьмь так дарда.

Обмьмь так дарта обмьэй.

Обмьмьей как обмьмьэй.

Обмьмьэй как обмьобмьобэй.

Обмьобмь как мь как мь.

Обмьобмь как обэй.

Обмьмьэй как обэйэй.

Обэйэй как обэйэй.

///

Я понимаюсь как я и я.

Я и я понимаюсь как визуальное хорошее.

Я и я понимается как визуальное хорошее и я и ты(вместе)

Я и ты понимается(одиночно) как я и я и ты.

Я и я и ты понимается как я И я И ты

Я и я понимается как я что понимается как я

Я и я понимаюсь как ты

Я и я и ты понимаюсь как ты и ты.

Ты и ты понимаясь как ты и ты.
Аноним 21/03/24 Чтв 01:32:33 735831 504
0)оотм
2)хокири
3)охокотимри

Алгебра языка.

ab=a^b - как это и то-то тоже самое что и это что понимается как то-то и то-то что понимается как это.
ab/c=ab^c - 1,1/+=1+1=1,1^+
ab^c=a/cb/c - см правило выше.
ab^cd=a/cb/d - см правило выше.
Аноним 22/03/24 Птн 02:46:26 736023 505
Если мы взглянем на текущую перед нами реку жизни, мы увидим людей, занятых тем, что они принимают за свои дела. Но если мы проследим, куда река жизни сносит этих людей, и что с ними происходит потом, мы в какой-то момент увидим совсем других людей, занятых совсем другими делами, которые вытекли из прежних людей и дел, но уже не имеют с ними ничего общего. То же самое случится с новыми людьми и их делами. Так происходит от века. Каждую секунду у происходящего вроде бы есть ясный смысл, но чем больший временной промежуток мы возьмем, тем труднее сказать, что в это время происходило и с кем. Однозначно можно утверждать только одно: выделилось большое количество агрегата М5, чтобы превратиться...Впрочем, здесь скромность велит мне умолкнуть.
Река жизни все время пытается избавиться от самой себя, но не может. Мир меняется потому, что убегает от своей жуткой сути, и контрабандно проносит себя же в будущее. Река не может вытечь из себя насовсем, она может только без конца меняться. Но хоть и говорят, что нельзя войти в одну реку дважды, ее суть остается той же самой, как первая скульптура неотличима от второй. И всегда сохраняется полный энтузиазма напор, задорное давление живой жизни, которое крутит турбины тайной электростанции. Пусть говорят, что это уже другая река. Для тех, кто в теме, она все та же. А на крутом ее берегу стоит этот черный трон, величественный и прекрасный - единственная неизменность в
изменчивом человеческом мире.

Невозможно перестать быть выживальщиком. Это наш единственный путь, и только так мы развиваемся, рождаем что-то прекрасное и поистине стоящее.

Если коротко описать суть эволюции, мы отобрали у людей простое обезьянье счастье и заставили страдать по поводу так называемого успеха и красоты, образы которых они должны ежеминутно проецировать вовне. С точки зрения современной культуры все те, кто не вписался в ее видеошаблон, должны быть глубоко несчастны.
Успех... эх...эх...эх...)) Я не призываю сложить лапки и не делать ничего. Но прошу тебя - делай для себя и по кайфу.

Но есть закон Гаутамы, открытый двадцать пять веков назад. Когда никаких классиков-гуманистов еще в проекте не было. Он гласит: «любое движение ума, занятого поиском счастья, является страданием или становится его причиной».
Аноним 22/03/24 Птн 19:01:17 736086 506
93951cd336faa33[...].png 377Кб, 600x710
600x710
ЛОМАНИЕ АХАХАХАХАХАХАХАХАХАХАААААААААААААААААААААААА ЛОМАНИЕ И ПРОСТОЕ НЕЧТО ПРОСТОЕ ПРОСТОЕ ТАКОЕ ЧТО ПРОСТОЕЕЕЕЕЕЕЕЕЕЕЕЕЕЕЕЕЕЕЕЕЕЕЕЕЕЕЕ
Аноним 22/03/24 Птн 19:24:11 736092 507
>>736023
Хм, ну да, убегать от себя чтобы прийти к себе(развитие и диалектика, хооооо). А про выживальщиков, то выживание это впринципе скорее про цикличность, (заметить, выживание хочет убежать от себя поэтому бежит в цикличность но возрващается в выживание, ХАХАХ кхм, т.е у меня немного обострение.)

А про пути, то наш путь это осознание идей, а вот по каким правилам и подобное - это я не знаю, могу только паредполагать.

Ого, да, осознание идей, красота и успех, идеи, что движут людьми словно заклинания. Но идеи это база на самом деле, просто надо уметь ими заниматься. Я думаю.

А я не знаю что мне по кайфу так называемому, я вообще ничего н езнаю, я знаю только тогда, когда осознаю идеи, осознание идеи есть я, и меня много в данном плане. А ведь мы можем говорить ещё и об абстракциях, об я, что есть фундамент для других я(судьба более абстрактная как-бы, да?), мол, думаю про судьбу аля про абстрактное цикличное и опа, фундамент для осознанией уже более масштабных(при том масштаб это же тоже идея) идей.
Аноним 22/03/24 Птн 19:31:23 736094 508
>любое движение ума, занятого поиском счастья, является страданием или становится его причиной
Ну вообще, поиск счастье это в каком смысле? Допустим я осознал что я счастлив. Дальше что? Дальше же, а вообще мне видится что это всё зависит от некой культуры или законов. Я имею ввиду мы же можем просто осознавать счастье, но счастье нашими усилиями(культуры рассуждения) может развиваться же и при том диалектически в том плане, но вот а что если такой культуры нет? Что, если культура в том, чтобы удержаться на одном месте? Хотя ещё тут и вопрос законов конечно же.

>счастье
Вообще я считаю счастье не нужно, но это просто так работает. Ну не можем мы не делать того, что считаем хорошим. И не можем мы делать того, что считаем плохим, думается мне.

Но само счастье на самом деле это некое движение куда-то, н ов том то и дело, что мы можем быть не только движением, но и чем-то, а следоватльно движением куда-то. От счастье к тому чтобы существовать уже какие-то вещи. При этом для такой личности требуется определенный фундамент ещё, конечно же.

Как-бы, существовать ради того, чтобы что-то было. При этом существуя, управлять собой(которы йдействует ради счастья и может что ещё забыть), чтобы удерживать некую сущность в существовании.

Но так-то я думаю всё куда сложнее и проще. Если не задумываться о счастье - не будет и несчастья, но если задуматься осчастье - будет и счастье, только с возможным развитием в несчастье.
Аноним 22/03/24 Птн 19:36:38 736095 509
Ehhhh.jfif 5Кб, 225x225
225x225
Ой как хорошоооо имацо десуйоооо имацо десуйоооо да ладно ятак дурачусь я же не с ума сшедший
Аноним 23/03/24 Суб 08:49:49 736169 510
В общем сила. Сила. А ещё нужность кое-чего иного. И другой вопрос в том, что прежде чем творить что, надо бы натворить себя бы, точно. Что делать мне тут. И относительно того что делать мне там, то можно ли туда попасть? В итоге думаю что можно. Но смысл в словах. Укажи мне путь же, но я забыл что я имел ввиду. Ах да, сила же. Ну всё, вспомнил. Только что такое сила.
Аноним 23/03/24 Суб 10:56:01 736177 511
Я больше не буду никого жалеть. Держу в курсе.
Аноним 23/03/24 Суб 20:23:27 736254 512
>>736177
Звучит страшно немного, хорошо, понял.
Аноним 23/03/24 Суб 22:45:14 736262 513
Аноним 23/03/24 Суб 23:19:49 736264 514
meta новое, неизведанное
stata знакомое, обыденное
>>736177
Скажи что-нибудь хорошее. Грустно стало.
Аноним 24/03/24 Вск 04:46:37 736314 515
>>736264
Олень сказал мне: «Здорово, приятель!» А я ответил: «Привет!» Тогда он спросил: «Отчего ты плачешь?» Я сказал: «Оттого, что мне грустно». Тогда волшебное существо наклонилось к самому моему уху и произнесло так же ясно, как говорю сейчас я: «Не грусти».
Аноним 25/03/24 Пнд 06:44:09 736490 516
115976430gettyi[...].jpg 41Кб, 640x360
640x360
Причина не нужна, если она не осознается, а если осознается, то это к осознанному управлению.

Судьба! Вот слово дня. После математики как основное блюдо самое то.

Но в чем смысл судьбы же и что насчет силы?
Аноним 25/03/24 Пнд 07:03:04 736493 517
115976430gettyi[...].jpg 41Кб, 640x360
640x360
И пускай музыка будет свидетелем.

В общем начнем конструировать, или давайте по иному - собирать.

Для начало нечто просто - хочу. Потом нечто простое ввиде не хочу, что идет из хочу. Дальше же, важно, хочу и не хочу, а дальше хочу того чего не хочу, чтобы хотеть то, чего хотел.

Дальше развитие в силу. Определение силы.

Дальше же развитие из недостаточности силы, если так будет. Развитие,т.е диалектика тут, есть общественная мораль. Мы. И она нужна для того, чтобы с достаточности силы для чего-то перейти в существование метода достаточности силы. Я и мы, как то, что крутое.
Аноним 25/03/24 Пнд 07:04:52 736494 518
>>736493
Ну а дальше инструменты - мои диалектики, смена быта, осознание судьбы и поведение судеб, осознание более бастрактной судьбы. Надо бы в это развитие их бы вписать как.
Аноним 25/03/24 Пнд 07:21:56 736495 519
Хотя путь силы и подразумевает все эти инструменты если подумать, даже морль и тогда, хм.
Аноним 25/03/24 Пнд 07:22:50 736496 520
Точно, смерть! И её боязнь. Надо бы обдумать это бы.
Аноним 25/03/24 Пнд 07:34:20 736497 521
ТОЧНО

Смерть лишь повод для морали. Но какой прок от смерти силе? Можно ли умерев, возрадиться? Точнее, умерев, не умереть, а не умереть?
Аноним 25/03/24 Пнд 07:36:23 736498 522
Умирать - значит радикализироваться в своем выживании.

Умереть - значит познать себя.
Аноним 25/03/24 Пнд 07:37:47 736499 523
А что такое возродиться тогда? При этом смерть может стать бытом радикализации выживания кстати, что можно считать за возрождение?
Аноним 25/03/24 Пнд 07:39:41 736500 524
Если перестать выживать - можно начать заново выживать, т.е возрадиться.
Аноним 25/03/24 Пнд 07:47:35 736501 525
Смерть это постоянное выживание, т.е быт выживальщика, при том максимальный.

Чем больше смертей - тем больше силы, при том абстрактной, ибо сами методы наращивания силы становятся бытом, при том абстрактные. Но при этом это и противоречие, ибо смерть - невозможность чего-то, т.е это большая сила но ограниченная - специальная.

При этом можно выделить исчезание ещё, это когда мысли исчезают по какому-то поводу по сути, по сути, отход от чего-то.

При этом это всё можно ещё и объяснить по иному:
Аноним 25/03/24 Пнд 07:48:06 736502 526
Хотя надо понимать, что смерть и возрождение и так далее тут - это про мысли и суждения.
Аноним 25/03/24 Пнд 07:48:29 736503 527
А теперь бы про силу, абстрактную. Не методы, а именно силу.
Аноним 25/03/24 Пнд 08:08:11 736506 528
При этом определение силы - достаточность для чего-то. И при этом определение силы можно определить как простое действо. И при этом чем больше простого действа - тем быстрее действия идут и тем больше концентрации есть.

Собственно смерти и дают метод силы, т.е наращивание простого действия. И дальше оттого и идет, что достаточно силы определяется как и количество(ну тут качество и колчиество одно и тоже) простого действа.
Зелёный !!utyCFZtvW8JHDr0P 25/03/24 Пнд 08:10:51 736507 529
>>736503
>про силу, абстрактную.
Вот скажи, Анон, в чём сила?
Аноним 25/03/24 Пнд 08:11:49 736508 530
>>736507
В достаточности для чего-то, в простом действии.
Аноним 25/03/24 Пнд 08:53:44 736510 531
>>736490
> в чем смысл судьбы
Прожить все события и ситуации, которые уготованы лично тебе тем, кто плетет нити судьбы, по моей информации. Сделать все выборы, принять все решения, не подвергаясь при этом чьему-либо воздействию, обману и манипуляции.

>что насчет силы?
Сила это смелость прежде всего. Сначала сила внутренняя, а за ней уже внешняя, проявляющаяся в действиях. Но это касается развитого сознания. Бесконтрольное, бездумное применение силы способствует деградации.
Аноним 25/03/24 Пнд 08:59:46 736511 532
>>736493
>Для начало нечто просто - хочу. Потом нечто простое ввиде не хочу, что идет из хочу. Дальше же, важно, хочу и не хочу, а дальше хочу того чего не хочу, чтобы хотеть то, чего хотел
Хорошее описание человеческой воли.
Аноним 25/03/24 Пнд 09:05:58 736512 533
>>736493
>общественная мораль
Нужна для безопасности вида. В разном обществе разная, и вырабатывается для лучшей безопасности и продолжения конкретного вида, или общества. Появилась поэтапно: развитие языка > педагогика > философия > политика > социология.
Аноним 25/03/24 Пнд 09:10:05 736513 534
>>736496
>смерть! И её боязнь.
Интеллект, опыт и воля позволяют преодолеть инстинктивный страх смерти. Пути и способы индивидуальны для конкретного сознания.
Аноним 25/03/24 Пнд 09:13:17 736514 535
>>736499
>А что такое возродиться тогда?
Стать новым. Мыслить по-новому, действовать по-новому.
Аноним 25/03/24 Пнд 09:16:22 736515 536
>>736510
Ну для меня судьба значит немного иное, хотя точнее думается немного в ином стиле. А, не подвергаться влиянию, тогда тут у нас позиции схожи, тока правда для меня судьба это сущность, но мое тело так сказать - то за что борятся сущности, так что тут я(какие-то сущности что мной управляют) выбираю то, каким сущностям жить у меня.

>Сила это смелость прежде всего. Сначала сила внутренняя, а за ней уже внешняя, проявляющаяся в действиях. Но это касается развитого сознания. Бесконтрольное, бездумное применение силы способствует деградации.
Ну тут у меня сила это достаточность для чего-то, насчет же смелости и так далее то это синонимы к методу силы, т.е наращивание силы. Насчет деградации не совсем понял, но скорее, это следствие просто, когда разные куски, действуя, действуют не как система.

>>736512
В данном случае я имею ввиду что через общество(даже выдуманное) можно определить себя, а дальше и определить то как ты действуешь и действовать согласно этому.

>>736513
Смерть тут если что - про суждения, а не буквальная, н оя уже надумал.

>>736514
Верно-верно, но можно сказать начать думат ьпосле того как прекратил.
Аноним 25/03/24 Пнд 09:17:49 736516 537
>>736506
> определение силы - достаточность для чего-то
Достаточность для определенного, конкретного, нужного в конкретный момент воздействия на конкретный объект.
Аноним 25/03/24 Пнд 09:20:42 736518 538
>>736516
Можно и так думаю, но в любом случае силу ещё можно попытаться определить как потенциал к действию ради действий, где и появляется сложность действий. И при том появляется определение ещё и быта. Ну мол если можешь повторять сложные действия, то у тебя достаточно силы для этого, а значит это сила присутствует как-бы. Ну и воть.
Аноним 25/03/24 Пнд 09:28:13 736519 539
Хотелось бы понять, твои рассуждения касаются человека или сознания? Больше похоже, что сознания. Если сознания, то хочется спросить, подвержено ли это сознание импульсу, ведь сила есть импульс в том числе. А если сознание подвержено импульсу, то можно ли сказать что оно само по себе сильно и развито?
Аноним 25/03/24 Пнд 09:40:00 736520 540
>>736519
Мои рассуждения касаются моей картины мира. А моя картина мира...Ну вроде тут были пасты про неё. Если пытаться объяснить тебе твоими словами, то походу про разум, да.

Импульс? Что такое импульс? Для меня сила это достаточность, про импульс не знаю даже как его сюда и вписать.

Ну если рассуждать, то импульс это есть резкая смена чего-то, верно? В таком плане может быть, но это скорее будет не по воли разума, а по воли другого чего-то. Но такое может быть. Если импульс маленький, но резский, то это и есть определение действий ради действий - это же ведь смена резкая, только правда все эти смены резские создают плавный переход разной скорости можно скзаать. Если принимать за внимание(точнее если думать), что быт меняется разумом постепенно.

Но вообще импульсы, то может быть такое, правда это скорее про иное чем мы. Осознанием разумом чего-то важного - вот тебе и изменение, при том быстрое, но для этого нужно то важное, а оно появляется в итоге размеренных, в своем темпе, рассуждений.
Аноним 25/03/24 Пнд 10:13:41 736522 541
>>736519
Кстати насчет моей картины мира, хочешь позыркать, интересно?
Аноним 25/03/24 Пнд 10:15:03 736523 542
Аноним 25/03/24 Пнд 10:21:42 736524 543
>>736523
Хм, тогда попробую написать. Тебе прям с нуля или только то что я лично использую в рассуждениях? Ибо это хоть и связанные но всё же отдельные две части.
Аноним 25/03/24 Пнд 10:25:08 736525 544
>>736524
Напиши обо всем, о чем хочешь, чтоб я знала. Начни с обязательных для моего понимания позиций. А дальше уже по желанию. Постарайся максимально высказаться для взаимопонимания.
Аноним 25/03/24 Пнд 10:27:55 736526 545
>>736525
Ух как же сложно будет, вааааааааааааааааааа~ Ну хорошо, попробую. Надеюсь не затяну с этим.
Аноним 25/03/24 Пнд 10:31:22 736528 546
>>736526
Да можешь не торопиться. В ближайшие несколько часов я точно не умру.
Аноним 25/03/24 Пнд 12:24:52 736533 547
VRChat2024-03-2[...].png 2930Кб, 1920x1080
1920x1080
Начало: есть рефлексия, т.е мысль над чем-то, а есть не рефлексия, т.е то, что не есть мысль над чем-то. Первое есть мысль/рефлексия, второе есть материя/существование/не мысль/не рефлексия.

Теперь перейдем к тому, что рефлексия и то над чем рефлексируют - одно и тоже. Берется для этого вопрос того, а что такое мысль над ощущением стены? Как-бы. посмотря на стену без осознания стены и с осознанием. Чем они отличаются? В моем ощущении ничем. При этом объяснить это всё же можно. Есть ощущение стены, а есть тоже ощущение стены, но без самости ощущения стены и с чем-то иным, оттого и получается ровно такое же, но не такое же и вообще иное.

Дальше, получается, берем и говорим о том, что отрицания одинаковы и разны по тому, что они отрицание чего-то одного и тому, что они есть отрицания друг друга.

Дальше же говорим о том, что есть рефлексия и есть её отрицание - изначальная вещь. Собственно почему же изначальная вещь это тоже рефлексия? А потому, что она есть рефлексия над своей рефлексией. И есть она потому, что та вещь есть её отрицание, при том удволетворяющее условию тому, что вещь это есть вещь без своей самости с иным. Ну и как-бы здесь на всё про всё есть переспектива. Как-бы, просто, а что есть изначальное? Ощущение яблока или осознанное ощущение от яблока? При том, что оба они одно и тоже, но при этом разные. В любом случае осознанное ощущение от яблока как яблоко без самости с иным можно трактовать как другое яблоко, со своей сутью, оттого нечто изначальное превращается в ровно такую же рефлексию - в то другое яблоко без своей самости и с иным.

И да, мы к слову - иное в чем-то таким образом, сразу говоря.

Дальше же получается, что всё есть, точнее, работает как рефлексия. Т.е всё есть иное в чем-то. При этом, кстати, говоря о к примеру яблоке и груше, можно сказать, что яблоко что и не яблоко что иное - это нечто неопределенное, оттого оно, как определенное, имеет другую суть, как-бы без самости и с иным - в данном случае это определенное можно считать за грушу как совершенно иное, с другой сутью, вещь. Но при этом отрицания тут работают как рефлексия.

И да, насчет доква того, почему работают как рефлексия, то не очень помню я этот момент уже, увы, но если выдумывать, то можно предположить, что то, что яблоко без самости и с иным, ведет к следствию того, что любое отрицания предмета на самом деле подобие предмета, что ведет нас к тому, что яблоко и груша это еда, а еда это груша, еда это яблоко, и еда это еда, и яблоко это груша, хотя груша не яблоко. Что впринципе так и есть, по крайней мере докво этого(того что любое отрицание подобно изначальному) я не буду вспоминать(и вообще у меня его ниту!).

Собственно все отрицания работают как рефлексии, при том взаимно. Дальше же уже есть рефлексия над рефлексией. Ну т.е яблоко - яблоко красное - а правда яблоко красное? Собственно тут включаются планы, по сути, абстрактная концентрация над думаньем, что можно разбить на темы и поставить в очередь. Типо начал думать над тем а вкусное ли яблоко, при этом где-то имея другой процесс - а вкусна ли груша, что немного не в первых рядах находится. При этом то, что в первых рядах находится - то более текуще вплоть до материализации.

Дальше там были прикольные темки, но я их благополучно забыл, хотя пасты тут в дневнике можешь найти.

В итоге - всё работает как рефлексия, мы есть иное в чем-то, есть планы. При этом есть также и точки зрения. Ну т.е я мыслю над столом и имею свои планы - стол мыслит надо мной(над мыслю над собой) и имеет свои планы, которых нет, но которые есть. По крайней мере для меня их нет. Оттого и нет, хотя есть. Но тут можно и считать что они возможно есть, в любом случае главное то, что их нет.

При этом да, я вижу по сути рефлексию надо мной, как и стол видит рефлексию над ним. Т.е мы видим чуть чуть мыслей друг друга.

Дальше же идет то, что я есть подобие того, что есть материя. При этом, как я это описывал, на чуть-чуть. Т.е стол, но на чуть чуть иначе, как и обратно чуть чуть иначе что чуть чуть иначе из-за чего обратно вернулось в стол. Но смысл в том, что я есть чуть чуть всего того что есть не мысль, т.е материя.

Это вот начало. Дальше уже идет то, что пользую:

Что тут выделить? Мою диалектику. По сути, возможность к противоречивости и разрешению противоречивости. Если по простому - возможность к одновременности чего-то. И возможность к абстрагированию и конкретизации ещё.

На основе диалектики имеем тело, разум и судьбу. При этом всё в форме диалектики возникает, т.е абстрактно-конкретные одновременности с возможностью к отрицанию и дальнейшим развитием в абстрактно-конкретную одновременность. Собственно тело - материя, т.е то, что не рефлексия. Разум - то что рефлексия. Судьба - некие достаточно постоянные элементы что корректируют развитие сущностей.

Дальше же идет мысль о том, что разум может менять как судьбу так и тело, а ещё то, что судьба может менять судьбу и тело.

Но тут надо сфокусироваться на диалектике всё же. Добавим к этому всему то, что между сущностями можно проводить стрелки, как-бы, показывая какая сущность к какой стремиться. И при этом их диалектика - одновременность обоих сущностей, может менять направления стрелки.

Теперь добавим то, что сущности могут как существовать так и нет(если не нравиться слово существование, можно заменить на быть).

Дальше же обозначим то, что сущности всё и определяют и определяют они только внутри себя. Т.е, вот есть свобода воли. Это - сущность, которую можно осознать, прийти к ней как-бы, сделать так, чтобы она была. И дело в том, что прийдя к ней, она и будет иметь смысл только тогда, когда она есть как-бы. Оттого когда ты осознал свобода воли - свобода воли и есть. И есть она также в других вещах что одновременности чего-то что содержат свободу воли. При этом, что как раз и хочу тут донести, думать о других людях так сказать с позиции свободы воли это не правильно, ибо другие люди находятся вне свободы воли, если у них свободы воли нет(т.е не быть имеется ввиду). И тут это достаточно сложно объяснить, я бы сказал, что они находятся просто вне свободы воли, ибо их разум не содержит ничего никакой свободы воли и при этом даже подобия её.

В общем если оценивать вторую часть, то всё, что тут есть - то что не рефлексия, рефлексия, диалектика, и конструкции из диалектики.

Оттого тут и сложно оценить то, что такое сила к примеру. Или что там ещё было? Свобода воли, потому что всё, что есть, это лишь диалектика, рефлексия, не рефлексия, конструкции из диалектики. Хотя, если так думать, всё же определение сущностей и их применение можно записать в конструкции, а по сути, в судьбу же.

И правда. К примеру свобода воли - судьба того у кого есть свобода воли, а это значит какуе-то конструкцию что как-то корректирует что-то.

Сила - судьба того, кто силен. А это конструкция где есть какие-то нужные элементы чья одновременность с ними дает какие-то до этого уже существующии элементы что были одновременностью с элементом хочу, вот в таком плане.

Кстати да, насчет изменения тела, сказать надо. Вот тут красивая картика.

Собственно есть пробуждение, забывание и гипперреальность. Пробуждение - когда материя становиться рефлексией над чем-то. Забывание - когда рефлексия становиться материей. Гипперреальность - одновременность фантазии(т.е рефлексии что достаточно сильна) с тем над чем рефлексируешь.

Дальше же способы того как что сделать.

Пробуждение - для того, чтобы что-то понять как рефлексию над этим надо понять то, что есть то что одновременно (то что одновременно рефлексия над чем-то и отрицание этого и что-то такое, что сделает это всё тем, над чем рафлексия ведется) и отрицание (то что одновременно рефлексия над чем-то и отрицание этого и что-то такое, что сделает это всё тем, над чем рафлексия ведется) и что-то ещё(не обязательно).

Для забывания(можно сказать даже засыпания), требуется по сути интерес и надо текущее что-то просто отдолять и отдолять, ну т.е просто не обращать внимание на это - а для этого нужен интерес к другому, при этом дальше интерес надо поддерживать и усиливать с помощью сумм. Сумма - разложение сущности на одюновременность чего-то.

Гипперреальность - забывание на основе реальности(фантазия), забывание реальности, пробуждение реальности, где реальность это рефлексия над фантазией над реальностью.
Аноним 25/03/24 Пнд 12:32:51 736534 548
Аноним 25/03/24 Пнд 12:49:05 736539 549
>>735810
>>735813
Забрал себе. Работает же. Ты это сам придумал? Что это такое, откуда?
Аноним 25/03/24 Пнд 12:50:43 736540 550
>>736533
Можно ли жизнь обозначить как единицу, а смерть как ноль? Или смерть недостойна и ноля? Или же, говоря более конкретно, можно обозначить мертвое как ноль, пока бывшее живое приставляет из себя хоть что-то мертвое? хотя так мы получим бесконечность нулей. но это просто обозначение.
Аноним 25/03/24 Пнд 12:58:10 736542 551
>>736533
>Дальше же идет мысль о том, что разум может менять как судьбу так и тело, а ещё то, что судьба может менять судьбу и тело.
А судьба и тело могут менять разум.
Аноним 25/03/24 Пнд 13:00:36 736543 552
>>736539
Это мой язык. А работает в каком смысле? Да, сам.

Вот более конкретный пример моего языка >>735816


>>736540
Можно конечно же, тока зачем? Немного не поня.

>>736542
Тоже верно, но с нашей перспективы, т.е разума и судьбы, это не имеет смысла скорее, ибо мы же не управляем телом, т.е, н еявляемся им. Мы есть разум по сути, и разумом управляя, выполняя судьбу, осознавая или нет, можем влиять на тело. А так да, судьба и тело могут менять разум, это да.
Аноним 25/03/24 Пнд 13:13:31 736546 553
>>736533
>думать о других людях так сказать с позиции свободы воли это не правильно, ибо другие люди находятся вне свободы воли, если у них свободы воли нет(т.е не быть имеется ввиду). И тут это достаточно сложно объяснить, я бы сказал, что они находятся просто вне свободы воли, ибо их разум не содержит ничего никакой свободы воли и при этом даже подобия её.
Отличная мысль, дэсу. Мне кажется, мы подружимся.
Аноним 25/03/24 Пнд 14:10:55 736551 554
image.png 2666Кб, 1920x1080
1920x1080
Аноним 25/03/24 Пнд 14:34:52 736556 555
Содержится ли во взрыве момент пустоты?
Аноним 25/03/24 Пнд 17:07:26 736565 556
>>736556
Слишком абстрактно думаю. Ну как домой приду подумаю.
Аноним 25/03/24 Пнд 20:15:24 736590 557
Заходит генерал в комнату, а там дверь.

Дверь?
Закрыта.
Отвечает дверь.
Не беда.
Уходит генерал.
Заходит генерал в комнату. А там дверь.
Дверь?
Закрыта.
Отвечает дверь.
Не беда.
Уходит генерал.
Заходит генерал в комнату. А там дверь.
Дверь?
Закрыта.
Отвечает дверь.
Не беда.
Уходит генерал.
Заходит генерал в комнату. А там дверь.
Дверь?
Закрыта.
Отвечает дверь.
Не беда.
Уходит генерал.
Заходит генерал в комнату. А там дверь.
Дверь?
Закрыта.
Отвечает дверь.
Не беда.
Уходит генерал.
Заходит генерал в комнату. А там дверь.
Дверь?
Закрыта.
Отвечает дверь.
Не беда.
Уходит генерал.
Заходит генерал в комнату. А там дверь.
Дверь?
Закрыта.
Отвечает дверь.
Не беда.
Уходит генерал.
Заходит генерал в комнату. А там дверь.
Дверь?
Закрыта.
Отвечает дверь.
Не беда.
Уходит генерал.
Заходит генерал в комнату. А там дверь.
Дверь?
Закрыта.
Отвечает дверь.
Не беда.
Уходит генерал.
Заходит генерал в комнату. А там дверь.
Дверь?
Закрыта.
Отвечает дверь.
Не беда.
Уходит генерал.
Заходит генерал в комнату. А там дверь.
Дверь?
Закрыта.
Отвечает дверь.
Не беда.
Уходит генерал.
Заходит генерал в комнату. А там дверь.
Дверь?
Закрыта.
Отвечает дверь.
Не беда.
Уходит генерал.
Заходит генерал в комнату. А там дверь.
Дверь?
Закрыта.
Отвечает дверь.
Не беда.
Уходит генерал.
Заходит генерал в комнату. А там дверь.
Дверь?
Закрыта.
Отвечает дверь.
Не беда.
Уходит генерал.
Заходит генерал в комнату. А там дверь.
Дверь?
Закрыта.
Отвечает дверь.
Не беда.
Уходит генерал.
Заходит генерал в комнату. А там дверь.
Дверь?
Закрыта.
Отвечает дверь.
Не беда.
Уходит генерал.
Заходит генерал в комнату. А там дверь.
Дверь?
Закрыта.
Отвечает дверь.
Не беда.
Уходит генерал.
Заходит генерал в комнату. А там дверь.
Дверь?
Закрыта.
Отвечает дверь.
Не беда.
Уходит генерал.
Заходит генерал в комнату. А там дверь.
Дверь?
Закрыта.
Отвечает дверь.
Не беда.
Уходит генерал.
Заходит генерал в комнату. А там дверь.
Дверь?
Закрыта.
Отвечает дверь.
Не беда.
Уходит генерал.
Заходит генерал в комнату. А там дверь.
Дверь?
Закрыта.
Отвечает дверь.
Не беда.
Уходит генерал.
Заходит генерал в комнату. А там дверь.
Дверь?
Закрыта.
Отвечает дверь.
Не беда.
Уходит генерал.
Заходит генерал в комнату. А там дверь.
Дверь?
Закрыта.
Отвечает дверь.
Не беда.
Уходит генерал.
Заходит генерал в комнату. А там дверь.
Дверь?
Закрыта.
Отвечает дверь.
Не беда.
Уходит генерал.
Заходит генерал в комнату. А там дверь.
Дверь?
Закрыта.
Отвечает дверь.
Не беда.
Уходит генерал.
Заходит генерал в комнату. А там дверь.
Дверь?
Закрыта.
Отвечает дверь.
Не беда.
Уходит генерал.
Заходит генерал в комнату. А там дверь.
Дверь?
Закрыта.
Отвечает дверь.
Не беда.
Уходит генерал.
Заходит генерал в комнату. А там дверь.
Дверь?
Закрыта.
Отвечает дверь.
Не беда.
Уходит генерал.
Заходит генерал в комнату. А там дверь.
Дверь?
Закрыта.
Отвечает дверь.
Не беда.
Уходит генерал.
Заходит генерал в комнату. А там дверь.
Дверь?
Закрыта.
Отвечает дверь.
Не беда.
Уходит генерал.
Заходит генерал в комнату. А там дверь.
Дверь?
Закрыта.
Отвечает дверь.
Не беда.
Уходит генерал.
Заходит генерал в комнату. А там дверь.
Дверь?
Закрыта.
Отвечает дверь.
Не беда.
Уходит генерал.
Заходит генерал в комнату. А там дверь.
Дверь?
Закрыта.
Отвечает дверь.
Не беда.
Уходит генерал.
Заходит генерал в комнату. А там дверь.
Дверь?
Закрыта.
Отвечает дверь.
Не беда.
Уходит генерал.
Заходит генерал в комнату. А там дверь.
Дверь?
Закрыта.
Отвечает дверь.
Не беда.
Уходит генерал.
Заходит генерал в комнату. А там дверь.
Дверь?
Закрыта.
Отвечает дверь.
Беда.
не беда.
Отвечает дверь и открывается.
Проходит генерал через дверь, а там дверь.
Дверь?
Закрыта.
Отвечает дверь.
Не беда.
Уходит генерал.
Заходит обратно, а там дверь.
Проходит генерал через дверь, а там дверь.
Дверь?
Закрыта.
Отвечает дверь.
Не беда.
Уходит генерал.
Заходит обратно, а там дверь.
Проходит генерал через дверь, а там дверь.
Дверь?
Закрыта.
Отвечает дверь.
Не беда.
Уходит генерал.
Заходит обратно, а там дверь.
Проходит генерал через дверь, а там дверь.
Дверь?
Закрыта.
Отвечает дверь.
Не беда.
Уходит генерал.
Заходит обратно, а там дверь.
Проходит генерал через дверь, а там дверь.
Дверь?
Закрыта.
Отвечает дверь.
Не беда.
Уходит генерал.
Заходит обратно, а там дверь.
Проходит генерал через дверь, а там дверь.
Дверь?
Закрыта.
Отвечает дверь.
Не беда.
Уходит генерал.
Заходит обратно, а там дверь.
Проходит генерал через дверь, а там дверь.
Дверь?
Закрыта.
Отвечает дверь.
Не беда.
Уходит генерал.
Заходит обратно, а там дверь.
Проходит генерал через дверь, а там дверь.
Дверь?
Закрыта.
Отвечает дверь.
Не беда.
Уходит генерал.
Заходит обратно, а там дверь.
Аноним 25/03/24 Пнд 20:42:14 736594 558
>>736590
Вот же блять. Дверь не по уставу отвечает.
Аноним 25/03/24 Пнд 23:54:18 736644 559
О, я кое-что понял кстати. Если строить теорию из пустых вещей, то можно понять, что её подобия - алгебры, дальше, следовательно, можно всю теорию понять как фигуру. Плюс к алгебре идет возможность предсказывать форму теории и так далее. Ко всему этому с помощью центров и так далее можно указать координаты того, когда алгебры ломаются, по сути, когда находятся новые алгебры.
Аноним 26/03/24 Втр 00:00:29 736645 560
VRChat2024-03-2[...].png 1404Кб, 1920x1080
1920x1080
До встречи.
Аноним 26/03/24 Втр 18:53:20 736815 561
VRChat2024-03-2[...].png 1487Кб, 1920x1080
1920x1080
Ладно, привет снова.

Пощу дневник за один день:

Собственно, собственно, а что? Надо понимать, надо понимать. И что же, у меня целых 4 дня же. Надо их провести хорошо.

Начнем вот с чего - мне надо резать бутылку. Мне не надо резать бутылку. ЧТо одновременно и это и то-то? Быт мага, по сути. Значит диалектика - магичество. При этом нужна инициализация.

Инициализация, старт:
А чо хорошего в магии? А вспомним ка то, что магия это про то, что я хочу. Про силу, сила значит, хм. А сила это хорошо очень. Значи тмне нужна сила. Сила. хм. Сила.

Хорошо, начнем с того, что судьбу я выбираю практиканта на этот раз, при том практиканта всего того что надумал, точно, проснуться, отоснуться!

Получается, время пришло. Пора резать бутылку.

Вау, я ощутил как тянул бутылку. Только визуально она не растянулась, хм. И при этом ощутил же. Хм. Ощутил значит.

1 день после сна.

Собственно возникла идея что всему виной судьба. При этом способ изменить судьбу нашел достаточно интересный. Я хоть и не знаю что надо менять, но есть идея.
Менять судьбу забыв её. Для этого подойдет медитация, плюс ко всему этому, можно чтобы проснулась иная рефлексия потом уже. Так что для этого используется музыка и ничего не деланье, может фантазм над музыкой.

При этом моё применение диалектики выглядит как ручной режим управления разумом и даже телом в классическом понимание данного слова. Собственно теперь цель, побыть в таком состоянии два часа непрерывно.
А пока можно и позавтракать - попить матчу. Можно начинать.

Важно конечно не время а качество. И эти 9 минут были очень интересными. Хотя не 9 а 14 где-то. Я можно сказать и ощутил как отводил руки в сторону на самом деле только что-то не дало это сделать.
16 минут, эффект был в том, что забыл, что мои руки что-то держат по ощущениям, разумом не забыл. Надо так делать "до бесконечности" до "скончания времен" или же "до смерти".
При том относительно "смерти" то и во время "смерти" и после. Ощущения рук, точнее ладоней, странное.

Попробовал просто так подержать бутылку. Обдорго так гхе так сказать. По ощущениям ладоней всё странно. Буддто и правда держу две части, но что по визуальному? А там не менялось, только правда один раз показалось.
Показалось что поменялось. И я дальше пытаться. 44 минуты. Я потерял руки и мне трудно ими теперь управлять. Но я и забыл по ощущениям что у меня были вообще руки. Забыл, очень забыл.
Сейчас руки ощущаются странно. Ко всему этому могу выделить вот что:
Энергия рук, и то что она выходила из тех мест где были руки. А теперь думаю перерыв, ибо два часа уже, эээ, прошли? Ну да. И даже больше.

При этом по ощущениям судьба что не отделяет бутылку ослабла.

И да, могло возникнуть противоречие, а как это два часа прошло? Ну я когда смотрел на часы, я понял, что в 16 - пройдет два часа. и вот уже 16:19. Хотя можзет я немного запутался во время начала. Ах да.
Возможно я увидел 14:30 когда сидел и когда открыл глаза - 16:14 было уже. Возможно и такое было а я просто не так осознал.

Теперь время для теории, и да. Сегодня - два подхода по два часа. Завтра - два подхода по 4 часа. На третий день 8 часов, на 4 день - весь день.

А теперь немного теории. А что такое вообще то, когда мы держим бутылку? Ну да, я концентрировался на обдор, т.е на телесных ощущениях, но неужели сами телесные ощущения меня обманывали?
Или скорее, а чем были эти ощущения? Можно сказать что само то, что "материя", т.е не рефлексия, будем называть это обконтрши думаю, менялась. И при том достаточно.
Т.е РЕАЛЬНО поменялась. Я не чувствовал бутылку или рук потом, точнее, бутылка превратилось в иное, иное в руки, руки в другое, другое в некие ощущения, что я потом мог водить, что иногда возвращались в то место, где были руки.
Т.е не рефлексия, материя, поменялась. Но могли быть такое, что материя превратилась просто в рефлексию? А ведь и правда могло быть такое. К примеру в рефлексию от музыки. Но тогда что было тем, что я называю материей бутылки и её ощущения?
Я бы сказал следующее: это есть вариация впринципе некой руки, при этом я помню то, что я мог куда-то пойти пальцами и обнаружить дефолтные руки и бутылку(кстати ощутить бутылки, т.е бутылка как материя что пораждает автоматическую мысль что есть дефолтные руки).
Ну так вот. Я бы мог пойти куда-то пальцами, при этом это есть сущность. Сущность что осознается, хотя какой в этом смысл? Ах да, вспоминаем, что любое осознание можно представить как судьбу.
Судьба того кто может пальцами идти куда-то. И вот, уже логичнее, таким образом мы имеем элементы этой судьбы, в которой есть элемент дефолтной бутылки и рук, по сути, то самое появление при диалектики(обдумывании). Самое классическое, когда думаешь, и что-то появляется.
Собственно при этом это не просто движение палец, это выбор того что ощущать. И не просто выбор того, что ощущать, а ограниченный выбор того, что ощущать, с определенностью в зависимости от памяти.
Собственно судьба того, у кого есть ограниченный выбор ощущать нечта определенные с их предсказанием ввиде памяти, где осознание памяти есть ещё одна судьба.
Т.е судьба что включает судьбу.
Т.е судьба памяти включает новые элементы в судьбу того у кого есть ограниченный выбор определенных ощущений. Ух. И при этом именно ощущений, а что такое ощущения? Это не рефлексия можно сказать - то что пораждает мысли.
Т.е судьба памяти что добавляет новые элементы в судьбу того, у кого есть выбор порадить свой разум. Т.е выбор порадить свой разум.
При этом теперь обратно делаем, судьба судьбы вот этой есть сущность в разуме и её осознание. Т.е:
Порадить свой разум в зависимости от памяти, как сущность в разуме. И что это такое? Это есть либо мысль либо не рефлексия.
Если мысль, то над чем, если не рефлексия, то как она появилась? Можно сказать что появилась она забыванием чего-то. Но чего?
Дальше - как мысль над чем-то, но над чем? А что я тогда помнил? Я помнил всё дефолтное можно сказать или подобное ему. Над этим мысль появилась эта? И впринципе я бы мог сказать, что над суммы этого транса(можно разложить на элементы) и памяти о дефолтных руках и бутылки.
Но в любом смысле дефолтные руки и бутылка есть ничто иное как вариация, при том основанная на памяти, и при том это всё продиктовано судьбой. И некоторые элементы этой судьбы есть память, так что предположение - если забыть об этом, можно найти не бутылку а что-то другое, да и вообще что-то иное.
Но что, если бутылка бы появилась и при забытии бутылки? Ну во
Аноним 26/03/24 Втр 18:53:42 736816 562
первых, если мы забыли о ней, то это не бутылка, это что-то другое, во вторых, бутылкой она может стать тогда, когда будет определена разумом как бутылка или когда вспомним об ней как о бутылке.
Но если такое случится, то что делать? Точнее - как объяснить? Ну можно сказать что элементы памяти не самые главные тут тогда в таком случае. А главное что? Что-то иное, другое... Что надо бы найти бы, не так ли?
В юбом случае это всё можо обобщить до нахождения элементов судьбы для последующего их изменения.
Вприницпе минутка теории закончилась.

Дальше же андо кое-что сделать. Мне хочется чем-то иным заняться. Это хорошее, хорошее, но любое хорошее это возможность к плохому. И ведь и правда, конкретное хорошего, к примеру захожденияна двощ тот же это что такое?
Это то, что я не смогу пробыть магом достаточное колво времени. Вот тебе и конкретное плохое, при этом абстрактнео плохое может быть конкретным хорошим. Если я не зайду на двач - пробуду достаточно магом, отчего будет хорошо.
Ну вот и выяснили. Только чем мне заняться бы в перерыве?

Так ещё кое-что сделать - мне не хочется. Но ведь конкретность данного есть то, что мне будет плохо, если не захочется. И правда, только представить себе конкретность того, что хочется - будет хорошо, ведь я достигну своей намеченной цели. Значит мне хочется.
Начали. В общем провел так 35 минут, но, думаю, на сегожня хватит. Ибо что-то не получается, а точнее, не особо и хочется. Отвлекают кое-какие мысли. Или скорее, не отвлекают, а найден компромис.
Я сейчас этим займусь - потом тем чем хотел изначально заняться. Но конечно смысл в том, то что-то не получается у меня руки забыть. Только если на чуть чуть. И музыка скорее не та.
А сейчас тогда другим займусь. Точнее, я перекусить хотел но я навелся на кое-какую мысль. А зачем мне быть в одиночестве всё это всермя? Это же бесмысленно же. Точнее, смысл это имело тока когда я был под влиянием цукихими, но сейчас, три недели спустя или даже месяц это чувство ушло по сути. Так что какой мне смысл в одиночестве?
Аноним 26/03/24 Втр 19:35:26 736848 563
>>736815
Инициация у тебя уже была. И судя по тому, что с тобой все хорошо, она прошла успешно.
Аноним 26/03/24 Втр 19:45:49 736855 564
>>736848
Ммм? Ну инициализацию
Аноним 26/03/24 Втр 20:09:36 736889 565
Мне сегодня вроде как одобрили общение с тобой. Так что в следующий раз, когда захочешь попрактиковаться, можешь использовать меня вместо бутылки.
Не знаю, чем это кончится для меня, но сейчас ощущения немного тревожные.
Аноним 26/03/24 Втр 20:12:46 736894 566
>>736889
Ммм, в каком смысле тебя использовать? Ну тебя я могу попробовать представить.

>Мне сегодня вроде как одобрили общение с тобой.
А до этого низя было?
Аноним 26/03/24 Втр 20:17:11 736899 567
>>736894
Все правильно понял.
Аноним 26/03/24 Втр 20:19:53 736901 568
>>736899
Хорошо. Но теперь стало интересно кто там тебе что запрещает. Впринципе могу скоро попробовать представить, ибо я сегодня вторую практику недовыполнил.
Аноним 26/03/24 Втр 20:22:52 736902 569
>>736889
Прикольная стори. Какой у тебя диагноз?
Аноним 26/03/24 Втр 20:27:19 736903 570
Тогда начну практику. Буду слушать claw finger (из сайлент хила, верно) если это важно.
Аноним 26/03/24 Втр 20:55:37 736907 571
Ого, всего лишь 20 минут прошло, а я уже смог добиться того, что руки стали превращаться в мои ляжки, и при этом появилась энергия рук, т.е противоречивое чувство в руках тревоги, которым управлял.

В общем да, я представлял тебя. И представлял как держался за руки с тобой. Ощущения какие? Не знаю, смутные, хотя были два раза когда я скажем офигел. Ты мне представлялась как ведьмочка с пика при этом ты с тобой взялись за руки и ты мне махала, при этом дальше я тебя трогал ощупывал, а именно талию и руки, с плечами. Ты была выше меня. До этого представлялось что у тебя блинные волосы черные, потом стали рыжими. Промелькнули также несколько фоток женщин, в основе с черными волосами. И ещё была женщина похожая на суккуба одна, и думаю это повлияло на события, ибо они приняли характер немножко стыдный. В основе ты меня прижала к стенке, впринципе это скорее я себя при, кстати да, ты мне говорила привет и сказала что слышала саму себя.

Так вот, ты меня прижала к стенке - мои руки, аля акт доминантности. Впринципе как упражнение на осознание того, что руками можно как управлять как нет, прикольно. Этак поучительски вышло. Ну и всякие букости виделись но я старался их не наблюдать.

Как-то так. Только теперь немного глова болит(ну правильно, я спинку ровно всё это время держал).
Аноним 26/03/24 Втр 20:57:25 736908 572
>>736907
Ах да, пик сейчас будет.
Аноним 26/03/24 Втр 21:02:38 736909 573
>>736908
Хм, или не будет пика. Но пик был запощен в деваче в треде ведьм помню. Точнее он был в оп-посте.

Ведьма была рыжая, с веснушками, глаза тоже типо рыжие? И одежда такая ещё, скажем изящная. Платье.

И вот привиделась ты такая, с распростертыми руками.
Встала и смотрела, а потом заговорила.
Ничего не слышал я, но зато махал в ответ.
Да и ты в ответ махала.
Ну и вот как-то так.
Аноним 27/03/24 Срд 02:59:34 736982 574
6d09ca9ab312eb0[...].jpg 25Кб, 400x337
400x337
Давно не виделись, проблема с признанием, давно не виделись. Но даже если ты и есть, то, собственно, а не безразлична ли ты ему? Но если безразлична, то разве не не то, чему стоит радоваться? Тому, что эта проблема, что меня посетила, не имеет смысла. ГРустно конечно, но думаю погрустить можно.
Аноним 27/03/24 Срд 07:02:06 736994 575
Стараюсь делать всё постепенно, но конечно же проявляю эгоизм и жестокость. Мы равны по важности. Надо бы исправиться и по пути понять что к чему.
Аноним 27/03/24 Срд 08:10:18 736998 576
>>736994
По пути я так и выбрал понимать, правда с остановачкам чтобы обдумать.

Ну так как ты там? Как на тебя повлияла моя практика? И повлияла ли?
Аноним 27/03/24 Срд 08:16:03 736999 577
>>736998
Всё хорошо, не переживай. Что-то случилось за день до вчерашнего вечера, то есть позавчера уже уже получается. Помню что был день, и изменилось восприятие времени, я и сейчас во времени не оч ориентируюсь.
Аноним 27/03/24 Срд 08:23:23 737000 578
>>736999
Ну звучит интересно хотя и проблематично. А что насчет практики моей? Как она могла бы повлиять на тебя бы?
Аноним 27/03/24 Срд 08:56:46 737004 579
>>737000
Да всё хорошо, у тебя неплохо получилось. Предсказуемо и хорошо. А на второй вопрос я пока не могу ответить, потому что не знаю. Навряд ли ты можешь как-то плохо на меня повлиять, по крайней мере я надеюсь, что ты не хочешь на меня плохо влиять.
Аноним 27/03/24 Срд 09:00:46 737006 580
>>737004
Не плохо, это хорошо. Просто мы с тобой типо реально общались получается?

Понятно.

Ну я вообще наоборот боялся что ты на еня плохо повлияешь(и осбо вспоминая что я писал кое-где когда-то, то насторажило). Ну понятно.

Кстати знаешь, у меня может быть психоз, точнее, я думаю, а нужен ли он мне?
Аноним 27/03/24 Срд 09:20:23 737010 581
>>737006
>Просто мы с тобой типо реально общались получается?
На этот вопрос я здесь отвечать не буду. Пока не буду.
А на счет психоза тебе виднее наверное, психоз у тебя или нет. Я могу как-то помочь разобраться в этом?
Аноним 27/03/24 Срд 09:34:22 737012 582
>>737010
Хорошо.

Нет, просто предупреждаю на всякий случай если у меня такое случится.
Аноним 27/03/24 Срд 09:36:20 737013 583
>>737012
Не употребляй ненужных веществ, и не случится.
Аноним 27/03/24 Срд 14:10:02 737055 584
>>737013
Смари какие таблетки мне назначили!

Рексалти брекспипразол
Флувоксамин фармасинтез
Рисперидон
Гидрокзизин
Аноним 27/03/24 Срд 15:31:14 737079 585
>>737055
Чем богаты, тем и рады))
Неплохие таблетки вроде.
Аноним 27/03/24 Срд 16:15:17 737092 586
>>737079
А ты разбираешься в ентих таблетках? Тоже пёшь?
Аноним 27/03/24 Срд 18:19:11 737109 587
>>737092
Немного разбираюсь. Не пью.
Аноним 28/03/24 Чтв 11:14:36 737202 588
Ehhhh.jfif 5Кб, 225x225
225x225
^~^ эхехе подумал над матешой и няшно так!
Аноним 28/03/24 Чтв 13:54:29 737213 589
>>737202
Лучше бы ты подумал о своем поведении по отношению ко мне.
Аноним 28/03/24 Чтв 14:40:36 737218 590
Аноним 28/03/24 Чтв 14:46:08 737219 591
>>737213
А что, я к тебе плохо отношусь?
Аноним 28/03/24 Чтв 15:42:18 737224 592
>>737219
А вот кстати. Как ты ко мне относишься?
Аноним 28/03/24 Чтв 21:21:54 737271 593
>>737224
Нормально, иногда опасаюсь, иногда радуюсь. Ещё с интересом отношусь к тебе.
Аноним 28/03/24 Чтв 23:11:03 737282 594
>>737271
Чтож, спасибо, за то что я стол.
Аноним 29/03/24 Птн 04:14:44 737299 595
>>737282
Стол? Честно меня немного пугает это всё, извини если что. А то недовольство вроде бы ощущаю от тебя,но не понимаю почему.
Аноним 29/03/24 Птн 11:10:18 737314 596
Ого, ну я и словил состояние этой ночью. Это так таблетки подействовали?
Аноним 29/03/24 Птн 11:18:23 737315 597
Кстати в этом состоянии я ощущал как мог двигать энергией всего тела.

Да и вообще бегали тени, тело вытягивалось, тревога и паранойя была.

>>737282
Ну не, ты не стол же. Ты подруга с которой я общаюсь на интересные темы и взаимодействую, плюс мы же долго общаемся (хоть я и не очень помню этого, но имею ввиду я предполагаю кто ты), что добавляет некой сакральнлсти этому. Прости если обидел.
Аноним 29/03/24 Птн 15:26:54 737329 598
>>663784
No.21 2nd Mvt, Очень аккуратно, но очень убедительно сказано. Можно ли жить воспоминаниями, размышлениями, ...... надеждами( когда блуждаешь легко и как бы само собой, и кажется что вот-то всё поймешь, познаешь ту самую истину, раз за разом прикасаешься к абсолюту, но потом понимаешь что это всего лишь чувства, всего лишь чувства...)? Можно, конечно можно. Но приходиться платить тревогой и тоской серого утра, отсроченным покоем, очередным сном. А лошадь все так же везет свою повозку, и жизнь продолжается....
Аноним 29/03/24 Птн 17:39:11 737336 599
>>737329
Эх, размышления такие знакомые однако. Ты там как? Хотя, наверное, я знаю как ты, раз отвечаешь и размышляешь на такое.

Ну, лично мой ответ на такое - человечность. Всё таки когда ты играешь по правилам реальности, то ты человечен. Но вот когда ты их игнорируешь, когда реальность не понимает того что с тобой делать, когда пытается толи сделать больше напора, толи наоборот она недоумевает и не понимает и просто продолжает что-то делать, а ты в свою очередь просто игнорируешь всё это - это что-то на ступеньку выше. Это можно сказать и война с реальностью? А ведь и правда, прежде чем воевать с реальностью, надо же усомниться в ней. Как-буддто реальность общается с тобой.
Аноним 29/03/24 Птн 18:01:34 737337 600
>>737336
Сегодня хороший и подходящий день для изучения твоего дневника. Постараюсь задать все вопросы, которые у меня возникнути которых ты ждал[внезапно/spoiler]
Если хочешь, можешь на что-то особенно обратить мое внимание, помимо рефлексии столов, принятия и отрицания, которые ты уже обозначил чуть раньше.
Аноним 29/03/24 Птн 18:21:45 737338 601
>>737337
А, вот при чем тут стол был.

Ага, надо бы вспомнить будет тогда получается, хм. Хотя ты про огонь разума читала уже. Хорошо.
Аноним 29/03/24 Птн 18:32:14 737339 602
>>737337
Вот тут вот начало моей диалектической мысли но без диалектики моей а с такой классической диалектики скажем так(типо).
>>727668
>>727708
>>727709
>>728101
>>728195

Тут это более понятное про диалектику.
>>728898
>>728899

А помимо рефлексии, принятий и отрицаний, хмммм, ну а что у меня помимо этого и математики ещё есть? Хм? Только лишь концентрированность этого наверное.

Вот тут вот всякое с точки зрения рефлексий рассуждал
>>723395

Выше этого - математика и мои заметки о моем настроении. А так как видно то философская мысль у меня с диалектикой связанна конечно же. Походу.
>>719702
Аноним 29/03/24 Птн 23:59:09 737371 603
Аноним 30/03/24 Суб 00:16:33 737372 604
>>737371
Хм, подтверждения и спокойствие? Это хорошо что тебе хорошо в таком смысле, получается, верно?

Многое понятно, ну это хорошо как понимаю, няшное ^~^
Аноним 30/03/24 Суб 00:22:56 737373 605
>>737372
Про огонь разума я не читала. Подскажи плз, я чуть позже прочту.
Аноним 30/03/24 Суб 00:25:00 737374 606
Аноним 30/03/24 Суб 02:57:09 737383 607
>>737374
Это было написано 2 месяца назад. Чего ты хотел тогда? И чего ты хочешь сейчас? Осталось ли в тебе что-то от того ?
Аноним 30/03/24 Суб 03:32:45 737384 608
>>737383
Чего хотел? Управления разумом можно сказать, чтобы делать дела. Тоже самое хочу. Да, но эволюционировало, стало более конкретно-абстрактным и более интсрументом универсальным.
Аноним 30/03/24 Суб 03:35:46 737385 609
>>725039
Отчего тебе было отвратительно в то утро? Помнишь?
Аноним 30/03/24 Суб 03:38:00 737386 610
>>737385
Наверное о том чтобы бросить все дела, оттого и было отвратительно, что предаю это всё, мол, это проблема ничего не стоящая что грустно мне от чего-то, мол, предполагаю, если что-то не получилось.

В общем не получилось -> грущу над этим ->хочу всё бросить -> гордость дает осознание всему этому -> отвратительно от мыслей всё бросить из-за того что не получается

Думаю так.
Аноним 30/03/24 Суб 04:12:30 737387 611
>>737384
Встретились как-то груша и яблоко, ну и вроде норм так общаюца, еще бы, они же как-никак фрукты. Яблоко такое яркое, а груша такая шершавая. Ну и в общем, у них состоялся оч интересный разговор, где яблоко рассказывало про систему и себя в этой системе, а груша на это ответила, что они сами есть инструменты, которые используют другие инструменты, и их самих используют как инструменты, и что вообще это рекурсия и иерархия.
Аноним 30/03/24 Суб 10:46:01 737404 612
Аноним 30/03/24 Суб 10:59:20 737406 613
Пока ты спал, я ответила сама на свой же вопрос, на который так и не ответил ты.
Аноним 30/03/24 Суб 11:01:38 737407 614
>>737406
Интересно на какой вопрос?
Аноним 30/03/24 Суб 11:02:39 737408 615
Аноним 30/03/24 Суб 11:03:15 737409 616
>>737408
А, понял. Сорри что кстати не ответил.
Аноним 30/03/24 Суб 15:07:29 737424 617
>>737406
Слушаю, а ты же ко мне хорошо относишься? Я же тебе плохого не сделал чего-то, верно?
Аноним 30/03/24 Суб 22:11:00 737476 618
СОбственно: есть группы/полугруппы а потом и алгебры как действия и при том наиабстрактные, т.е по сути неопределенное сложение/разность.

Дальше есть алгебры как определенные сложения(какие-то кстати) и разности.

Дальше же из-за этого есть фигуры. Но для начала - векторные расслоения. Диалектика как векторное расслоение, при том в форме конкретной какой-то темы. Дальше же подобность к чему-то как смысл чего-то, где смысл можно представить как диалектику то чему подобно и то что подобно. Подтеория как какая-то корректировка векторных расслоений/алгебр. Гомологии на действиях и так далее. Гомологии на фигуре теории. Координаты как подобности. Подобности как смысл(ещё раз). Идеалы и пути, что подобны чему-то(координаты имеется ввиду и смысл). Пути как последовательность точек. Фигура на теории как сущность что можно получить просто сложив все точки фигуры. Фигуру можно гемеоморфировать к слову. Фигура на теории как линейное пространство с диалектиками ввиде векторов. Векторные расслоения на фигуре на теории, векторные расслоения на фигуре на действиях. Рекурсивное определение смысла через подобность.

Примерно такое. И вроде всё записал сюда что надумал за это короткое время.
Аноним 30/03/24 Суб 22:13:33 737478 619
>>737476
Ах да, забыл. Фигура на теории значит применение всех тех методик о которых я когда-то говорил, т.е тут можно получить и алгебру из этих диалектик короче говоря.

При это да, не забывать, подтеория вполне себе алгоритм(т.е функция).
Аноним 30/03/24 Суб 22:22:59 737480 620
>>737476
>>737478
И да пример методик на фигуре теории:

Етсь диалектика, с какой-то сущностью она выдает дырку. Собственно это можно разложить на элементы чтобы понять почему именно так, т.е в этом есть какая-то особенность.

Дальше же можно взять эту дырку как единую сущность путем сложения всех точек. После чего разложить на элементы чтобы понять суть того почему это дырка.

Дальше берем основные диалектики(направления в векторном пространстве) и смотрим то какие векторные расслоения они дают впринципе. Но потом складываем их с этой сутью что нашли и дальше предсказываем векторное расслоение.

Чтобы его предсказать, надо посмотреть на абстрактные элементы теории и на то, чему они подобны - какому-то действию, где действие может значить натруальное некое распределение некого смысла, ибо действие это в том числе и функция и алгоритм. Плюс можно посмотреть на их диалектики между собой чтобы понять некий компас так сказать, местонахождение относительно векторов(диалектик).

Дальше же беря это всё, можно сложить измененные диалектики и абстрактные элементы что подобны натруальному распределению, чтобы получить подтеорию, что будет корректировкой векторного расслоения какого-то, отчего получить векторные расслоения какие-то. При том да, здесь допускается и рекурсия, имеется ввиду корректировка векторных расслоений что на фигуре теории а не действий.

Но при этом всё равно такая подтеория смыслово будет показывать нам векторное расслоение на фигуре теории.
Аноним 31/03/24 Вск 00:17:10 737498 621
В общем моя прога должна создавать теорию, думаю этого достаточно пока что. Потом она будет специализированно создавать теорию и более осмысленно же, а пока - просто создание теории.
Аноним 31/03/24 Вск 01:42:48 737509 622
Создание теории, осмысленное создание теории, создание специализированной теории, вот на такие три сферы разделю прогу свою.

Осмысленные действия - тоже диалектика.
Аноним 31/03/24 Вск 07:07:22 737526 623
зачем ты сказал ей про психоз и таблетки, идиот?
Аноним 31/03/24 Вск 10:11:54 737533 624
Аноним 01/04/24 Пнд 11:29:34 737767 625
Собственно модуль 1. Создание теории. Програмерство.

Всего есть три категории: понятийная, алгебраическая и векторная(векторных расслоений). Дальше у нас есть диалектики в каждой из этих категорий в саму себя, после чего есть функторы между ними.

Диалектики лучше всего делать по сложению, по крайней мере, так это будет меть смысл на будущее.

Относительно особенностей, то понятийная и алгебраическая категория - одно и тоже, просто в алгебраической более явно то, как можно вычислять диалектику - алгебраически. В понятийной это либо никак либо очень сложно.

В векторных расслоениях есть одна отличительная особенность - создание разнообразия векторных расслоений на основе всяких геометрических, топологических критериев, с будущем их переводом в алгебраическую категорию.

Таким образом последняя задача сводиться к построению функторов между категориями, перваначальная же - наращивание. При том наращивание либо алгебраической категории, чтобы в будущем соединить её с векторной, либо же наращивание векторной категории, чтобы та более натурально перевелась в алгебраическую категорию.

Насчет сумм, то в алгебраической у суммы нет подобностей. В понятийной есть.

Насчет построения функторов - надо подумать как это делать, но можно сказать, что можно наверное выделить универсальную межкатегориальную(или только алгебро-векторную) диалектику.

Ко всему этому можно выделить то, что можно сделать натруальное развитие из ужаса и блага.
Аноним 01/04/24 Пнд 11:34:00 737768 626
При том да, складная диалектика в категории векторных расслоений - соединение, как-бы, сшивание фигур с сохранением векторных расслоений на них.
Аноним 01/04/24 Пнд 15:49:31 737800 627
Векторное расслоение есть функциональное порождения в паре двух одномерных массивов, где один массив - координаты, а другой - коэфицент.
Аноним 02/04/24 Втр 00:08:31 737891 628
Часть с группами понятна. Это просто функции в ну по крайней мере алгебра тут должна нам давать действительную прямую. Насчет же алгебр именно уже, то тут щас подумать над...Алгебры при абелевости это просто векторное пространство, может немного искривленное.

Насчет неабелевости, то не координаты, а пути.

Дальше же насчет сложение неабелевых штук, хм. Ну если это не функция, то всё легко. Просто добавляются координаты и всё. А если это функции? А в каком плане функции? Деформация путей же, отлично. Тогда сложение функцией при не абелевости это сложение путей и сложение деформаций.
Аноним 02/04/24 Втр 00:11:27 737893 629
А я понял про алгебру что там. Это просто функции. При том понял ещё именно про алгебры(многомерные случаи) что там. И когда не абелево тоже понял что делать.

И понял, что смысл в том, как можно ещё раз записывать функции. Собственно в этом и смысл. А ещё функции связанны с векторными расслоениями, но так близко, что могли бы быть буквально ими(но они есть они буквально в каком-то смысле).
Аноним 02/04/24 Втр 02:46:25 737910 630
Как построить функторы из категории алгебры в понятия?

Нужны изначальные функторы. Дальше же изначальные функторы переводят функцию из алгебры по частям, дальше переведенные части складываюся в алгебре которая подобная переведенным сущностям.

Также есть абстрактности, что значат порядок схожести. Абстрактность 0 порядка это конкретность, 1 это одно абстрагирование, 2 это два абстрагирования и так далее. При этом ещё абстрагирований может быть несколько, т.е несколько абстрактностей, число которых у каждой конкретности можно сравнить.

Ко всему этому можно говорить о том, что сложение функторов частей функции из алгебры, может производится в алгебре что подобно функторам, что изоморфна алгебрам аргумента функторов, т.е подобна им.
Аноним 02/04/24 Втр 02:57:19 737911 631
Также да, абстрактности как степень подобности-близости что могут являться критериями, где сами абстрактности тоже могут переводиться в категорию понятия.

Дальше примеры:

x->больше

2x=x+x->большое+большое, что в алгебре большого есть большое. При этом если брать алгебру изоморфную, то получим большое2, т.е какое-то разнообразие большого.

x^2=xx, где умножение со сложением рассматриваем как плоскость что деформируется в линию, где тогда умножние ещё одна группа, отчего можно говорить о д(x,x)=x->д(большое,большое)=большое, где большое,большое воспринимается как большое_в_этом_смыле+большое_в_другом_смысле что можно сложить как в алгебре большого так и в изоморфной алгебре, где в алгебре получается просто более большая вещь. При том это ещё не всё, ибо д(более большая вещь)=большое, т.е более большое всё равно большое. Что имеет смысл, если оценивать x^2 по скорости роста так сказать. Это всё равно большое, но более быстрее как-бы.
Аноним 02/04/24 Втр 20:43:26 738035 632
>>737424
>ты же ко мне хорошо
Смотри, я пришла, и снова прихожу, чтоб ответить на вопросы. Ну и как я к тебе отношусь по-твоему? Скорее хорошо, чем плохо. Если тебе интересно более подробное и глубокое описание ощущений, то могу и об этом рассказать.
>Я же тебе плохого не сделал
Уже не первый раз говоришь об этом, что наталкивает на мысль, что ты сам себя пытаешься убедить.
Аноним 02/04/24 Втр 21:06:57 738036 633
>>738035
О, дарова.

Это хорошо, что скорее хорошо.

Просто я тогда, когда спрашивал тебя это, словил ощущение тревоги о том, что я сделал что-то не правильно(ответил на твой вопрос об отношении к тебе), что тебя расстроило, ибо ответ тебе показался, мол, плохим, хотя ничего плохого я не имел ввиду, т.е, мотивы были не плохими.

Ну сейчас это состояние тревоги уже как прошло, всё гуд.

А ты как тама?
Аноним 02/04/24 Втр 21:11:39 738039 634
>>738035
Кстати, я испытал два раза как послесонные галлюцинации(в одном из них как раз и спросил тебя этот вопрос про отношение к тебе), что как-бы намекает мне на то, что реальность можно менять.
Аноним 02/04/24 Втр 21:13:26 738040 635
Аноним 02/04/24 Втр 21:18:26 738042 636
>>738036
Невозможно ответить неправильно на подобные вопросы. Возможно ответить честно, либо солгать. И нет, твой ответ не показался мне плохим, он лучший из возможных.
Я снова могу говорить с тобой, это значит что все налаживается.
На самом деле много чего хотелось бы сказать и обсудить, но не знаю, место ли ли всему этому в твоем дневнике.
Аноним 02/04/24 Втр 21:20:39 738044 637
>>738042
Хм, ну раз лучший, то хорошо получается.

Это хорошо что налаживается.

И да, дневник наверное не лучшая тема, всё же сюда я бы хотел мысли записывать бы. Такие, одинокие, но с возможностью ответа на них. А общение можно в личку запихнуть. Дискорд или тг тама.
Аноним 02/04/24 Втр 22:25:49 738046 638
>>738044
Хорошо. Расскажи об >>738039 этом подробнее плз @afterglouiw, у меня тоже несколько снов уже связаны с тобой прост.
Аноним 03/04/24 Срд 19:12:47 738121 639
image.png 99Кб, 1305x1501
1305x1501
А теперь можно спрогать это и в том числе и следствия этого можно спрогать.
Аноним 03/04/24 Срд 21:18:23 738134 640
image.png 16Кб, 894x313
894x313
Хм. Как-бы, мол, следствия.
Аноним 04/04/24 Чтв 09:54:02 738178 641
Ну к примеру. Чем больше вещи не похожи, тем более математичной будет их диалектика(т.е их абстрактное). Чем больше похожи - тем больше требуется разума для нахождения абстрактного.

Смысл теории - её нейтральный элемент. По нейтральному элементу можно построить фунткторы. Чем более абстрактен нейтральный элемент - тем больше функторов. Чем больше функторов - тем больше можно вычислить теории за счет других теорий.

Развитие нейтрального элемента в теорию предполагает, что из него можно сделать функторы в те теории, где он является нейтральным элементом.

Также есть предположение, что количество функторов влияет на сложность вычисления теории. Мол чем больше - тем легче. Хотя чем легче - тем может быть и бесмысленней, но это уже про математичность.

Чем более математичнее теория, тем больше её развитие бесмысленно. Под бесмысленностью имею ввиду что её трактовать не получится. К примеру представь себе точку в векторном пространстве. Ну и как, получится ли тебе из этой точки прийти к понятию яблока или там логики какой-то? И ведь если ты попробуешь развить эту тему, то поймешь, что ничего за рамки координат ты не выйдешь, ибо те же отрицания точки есть другая точка, а сложение точек в векторном пространстве - сложение векторов, оттого это просто ещё одна точка. И как-бы ты бы бесконечно бы не пробовал бы диалектизировать и развивать мысль - за пределы ты не выйдешь. Оттого и бесмысленность, зато при этом, если получится сделать функтор в эту теорию из теории со смыслом - этак свести разумное к математичному - теория будет очень хорошо вычисляться(ибо математична) и при этом будет ещё и иметь смысл.

Плюс про непохожести думал, но это ладное наверное, не важное. Ещё обдумаю.

И ещё надо бы это, диаграммы бы.
Аноним 04/04/24 Чтв 09:57:44 738179 642
Аноним 04/04/24 Чтв 11:38:07 738181 643
При этом действия - категории, просто у них есть изоморфизм в алгебры(абстрактные).

При том про функторы между категориями:

К примеру возьмем ничто не похожее и на всё похожее не противоречивое и создадим теорию. Дальше же проведем функтор этого относительно пустого множества и какой-то алгебры.

К примеру диалектика пустого множества и алгебры, как разбирание на подалгебры, будет n=~в степени или.

И в данном случае разумно трактовать нам это становиться куда проще, особенно, когда ту вот с n мы абстрагируем. И по сути этим всё и сказано - абстрагирование, для того чтобы найти нечто конкретное, чьи конкретизации содержат алгебру и пустое множество.

Только вот всё же тогда тут можно говорить о сложении функторов. Мол из этой и той теории в теорию другую, мол, в понятия те же. Или можно одно менять на другое. Вместо функтора от этой теории - функтор от той. При этом вычисление функтора это всё же та ещё задача, ага. Но тут наверное из универсальной теории можно сделать функтор в понятия, а дальше функтор в нужную нам теорию, если чисто разумно смотреть. Или же сразу в векторные расслоения или алгебры, если теорию универсальной алгебры можно трактовать хорошо в тех случаях.

При этом есть теория понятий и универсальная теория понятий.

Дальше же есть теория алгебры. И есть понятийные или алгебраические(по функторам) теории основанные на смыслах.

Дальше же относительно изоморфизмах категорий и алгебр. Надо бы подумать.
Аноним 04/04/24 Чтв 11:39:28 738182 644
Надо бы примера.
Аноним 04/04/24 Чтв 11:49:23 738183 645
image.png 1Кб, 205x113
205x113
image.png 34Кб, 2249x425
2249x425
Я понял, надо также в универсальных теориях понимать алгебры собственно. Точно. Как их строить.
Аноним 04/04/24 Чтв 14:06:10 738190 646
>>738179
Первая збсь. А вторая на что-то похожа. Но вообще это будто две части одного, но мне нрав. Оч позитивно, даже как-то восторженно.
Аноним 07/04/24 Вск 06:59:27 738406 647
Сущности.

Есть бытие.

Бытие это тело и разум.

Тело это то, что не рефлексия. Разум это то, что рефлексия над тем, что не рефлексия.

Тело изменяет свои границы, разум развивается.

Есть ещё судьба, что является абстракцией. Абстракцией над изменением границ и над развитием.

Судьба есть сущность.

Бытие судьбы - её срез.

Судьба есть обоснование тела, его изменения, разума, его развития.

Обоснование есть определенность судьбы.

Смена обоснование есть смена судьбы.

Есть обоснования обоснование, следовательно, судьбы могут находиться в других судьбах.

Судьбы это сущности, но для нас сущности - осознание судьбы.

Осознание судьбы - это срез судьбы что содержит ту судьбу как бытие.

Сущности можно делить на те, что хотят сохраниться, и на те, что хотят исчезнуть.

Конкретно ты есть срез судьбы, т.е бытие судьбы.

Конкретно всё то, что сверху - бытие судьбы в том числе.

Рекурсивное понимание, что изменяет параметр транцедентности сущности, есть одно из пониманий чего-то более абстрактного.

В терминах: рекурсивное понимание есть смена судьбы на такую судьбы, что не только содержит эту судьбу как срез, но ещё и содержит такой срез, который является то, что мы можем назвать осознанием разницы, и при этом может быть ещё и другой срез что содержит другую судьбу.

Но рекурсивное понимание можно определить ещё как судьбу судьбы судьбы.

Но всё таки самое определенное определение можно дать такое: рекурсивное понимание есть понимание того, что осознание бытия судьбы есть тоже бытие другой судьбы что содержит всё это.
Теперь по боевому - я есть часть сущности. Вся сущность есть история меня. История может быть логичной из-за чего. Это чего-то в том числе и всё я. Это чего-то может быть устроено так, что может удерживать само себя, а может и не удерживать.

Или же: я ощущаю->я ощущаю что я есть история и её логичное продолжение->я есть логичность продолжения->я поменяюсь если логичность продоллжения приведет к изменению логичности продолжения, т.е причин, на другие причины
Теперь про рекурсию по боевому - конкретно я есть следствие причины развития моей истории
Аноним 07/04/24 Вск 22:45:08 738462 648
image.png 43Кб, 1122x769
1122x769
А дальше следующий вопросы - как вычислить выживаемость(психику) судьбы, выживаемость(психику) при каком-то развитии и как понять что нужно для выживаемости(психики), т.е как корректировать, а ещё надо понять как понимать срезы судьбы.
Аноним 07/04/24 Вск 23:06:47 738464 649
>>738462
Не, это бесмыслено, щас лучше сделаю.
Аноним 07/04/24 Вск 23:30:57 738465 650
image.png 80Кб, 1350x1192
1350x1192
Вот так вот лучше.
Аноним 08/04/24 Пнд 03:46:34 738491 651
115976430gettyi[...].jpg 41Кб, 640x360
640x360
И МАРШЕМ ИДЯ И ШАГАЯ ПО

При этом.

Развитие теории судьбой есть её определнная диалектика. Диалектика определнная может и не действовать. Диалектика определенная может повышать подобности, а следствием и понижать похожесть с изначальным. Изменение судьбы можно представить как её диалектику.

Диалектики могут быть подобны абстрагированию и конкретизации. Абстрагирование - больше к смене судьбы, конкретность - менее к смене судьбы. При том чем ниже степень и того и другого, тем более сохраниться судьба, если же наоборот повыше и повышается, то скорее всего не сохранится.

К тому же судьба и тело - диалектика тела содержит саму судьбу, если тела подвержены судьбе.

А теперь можно попробовать посоздавать заклинания судьбы.
Аноним 08/04/24 Пнд 04:24:57 738494 652
Ну, к примеру спорт. А именно сущность занятия спорта. Анализ выживаемости.

Собственно начинаем мы с того, что это судьба, т.е диалектика какая-то. Теперь же, занятия спортом - сделаем как тут обратную диалектику. Какой она будет? ДОпустим биологическая или типо того. Оттого - занятия спортом это про физиологию. Физиология есть центр этого, а значит любое тельцо, где есть центр ввиде физиологии - будет более подобно к судьбе спорта и вначале не изменит это всё. Но это ещё не всё, возьмем и скажем, что занятия спортом содержат центры ввидя физиологии, живого, красоты, здоровья.

Собственно тельца что содержат эти центры(вместе) - более подобны судьбе занятию спортом. А значит начало не сулит того, что судьба занятия спортом измениться.

Опробуем начало - я, ты. Я и диалектика ввиде занятия спортом. А это есть то, что я подобен занятию спортом, т.е занятие спортом можно считать за действие, короче говоря - алгебру. ТОгда попробуем определить, хм. Допустим возьмем некое многообразие меня, тогда диалектика меня будет другое разнообразие меня же что при этом подобно всем центрам. Т.е такой другой я, который здоровый, живой, красивый, физиологичен. Дальше же определим ка это всё. Допустим можно ли тут говорить о том, что вот это многообразие будет и применимо к центрам? ДОпустим, тогда и правда, разнообразие вот этих центров, хм.

Ну и дальше, если я, в этой судьбе, буду и дальше развиваться, то каким я в итоге стану? А вот именно, что тут чего-то нет похожестей и так далее, хм.

По крайней мере тогда можно понять то, а, собственно, насколько диалектика подобна абстрагированию. Диалектика ввиде занятий спортом насколько подобна абстрагированию? А насколько тот разнообразый я абстрактное изначального меня? При этом хорошо, скажем, что это не просто разнообразный я, а я с мускулами. Насколько тогда будет это абстрактным? Ну впринципе, если так смотреть, то это эстетическая вещь же. Красота же, допустим. Тогда, смотря по красоте, мускулистый я и правда более абстрактное, ибо мускулистый я есть абстрактное понятие красоты. В таком плане тогда можно говорить, что занятия спортом скорее приведут к другйо судьбе, при этом смотря на абстрактность, а именно на её степень, то можно сказать что тут она достаточная, ибо это переход от здоровья/внешнего вида к эстетике. Значит занятия спортом, в таком смысле, что можно понимать как занятяи красотой, и правда приведут к чему-то другому. Но что если ты только будет про например критерий какой-то физической активности?

К примеру подъем тяжести. Насколько то, что я смог поднять более тяжелый камень, есть абстрактное того, что я смог поднять менее тяжелый камень? Ну, то что я смог поднять менее тяжелый камень, можно сказать, что я просто смог поднять камень, при этом то, что он тяжелый/легкий/скользкий, это уже конкретное. В таком смысле судьба занятия спортом, как диалектика поднимание тяжестей, скорее не будет отклоняться от того, чтобы быть именно тчо занятием спортом. При этом какая тут степень и её изменение? Маленькая, если предугадывать. Всё же у людей есть предел того, какие тяжести они могут поднимать, из-за чего конкретность будет уменьшаться и уменьшаться, тчо в теории дает хорошую выживаемость занятию спорту.

Хм, теперь бы более лушче бы сделать бы, хм. Более целенаправленно.
Аноним 08/04/24 Пнд 04:28:10 738495 653
Но теперь по боевому:
Абстрактность и конкретность развития это важно, как и их степень.
Важно также ещё учитывать абстрактные сущности.
При этом есть также и влияние тела на сущность, в таком смысле рассматривается корректировка если тельце будет смертельным.
Корректировка это изменение сущности на другую подстать каким-то критериям.
Чтобы создавать абстрактные сущности - надо делать диалектику не абстрактных сущностей.

ЧТобы найти смертельное тельца, надо найти отрицание сущности и разобрать это отрицание на центры.
Аноним 08/04/24 Пнд 04:29:27 738496 654
По сути, если сущность хочет выжить, ему надо придумывать корректировки, и судьбу, автономную и нет, по созданию корректировок и их следованию.
Аноним 08/04/24 Пнд 04:33:06 738497 655
Если ещё более по боевому: у нас есть сущности, есть глобальные сущности. У сущностей есть психика, у сущностей есть их деятельность.
Аноним 08/04/24 Пнд 05:26:56 738499 656
Точно! Вспомнил. Боевые исскуства, тренировки. Вот это вот, надо в этом плане думать.
Аноним 08/04/24 Пнд 06:22:59 738504 657
Хехе.jpg 27Кб, 403x272
403x272
Размышления.

СИЛА

Конкретизация, определенность.

Неопределенность.

Сон.

Ужас.

Сущность силы, что это такое? Психика силы...Сила есть абстрактное, но в тоже время его проявления все вписываются к конкретное. Конкретность силы, как никак, а значит любое развитие подобно конкретики, при том её степень может варьироваться. Но только вот есть одно но. Новая сила может стать абстрактным понятием. Таким образом можно перейти на новую силу. Если начать её наращивать конечно же, но только вот это всё равно будет конкретным силы, а значит далеко мы не уйдем. Психика силы - сила хочет жить. При том сила умна в том, что создает бесконечное множество абстрактных новых сил что все не выходят за понятие силы. Психологический портрет силы - только больше! А именно стремление и желание развиваться, быть.

Деятельность силы. Что сила думает о том, когда она спит? А тут не обойдется без моего разума, мне надо подумать будет над этим, ведь всё это - разумное.

НАЧНЕМ ЖЕ

Сила развивается, и каждый этап есть этап по осознанности. Понимание того, что ты сила.

Собственно, просто хочется, а потом просто то, что ты хочешь, а потом просто то, что хотеть надо.(я, ты, он) И так далее.

Конкретизация/определенность как способ силы. Её развитие.

Ну ладно, придумаем ка.

0)Боевой настрой.
1)Конкретизировать и определять. Просто так. Надо понимать что ты делаешь.
2)Понимать что делать, т.е корректировать.
3)Помнить что делать, т.е как корректировать.

Рефлексы, благо и ужас как абстрактная судьба. Развитие, точнее, навыдумывание как абстрактная судьба. Контролль...


Точно.

Что есть отрицание силы? Слабость. Центры слабости? Какой-то ужас, какое-то благо. Лучше скажем что просто смена. Смерть.

Что делать если сущности силы дадут тело слабости? Вот именно, а что будет?
Аноним 08/04/24 Пнд 06:23:23 738505 658
image.png 102Кб, 1837x673
1837x673
Вместо тысячи слов.
Аноним 08/04/24 Пнд 06:24:06 738506 659
image.png 12Кб, 617x195
617x195
Аноним 08/04/24 Пнд 06:42:15 738507 660
Как придумать корректированное, как придумать корректировку, как исполнить корректировку, как придумать корректировщик.
Аноним 08/04/24 Пнд 07:18:22 738511 661
image.png 16Кб, 649x272
649x272
image.png 77Кб, 1807x583
1807x583
Корректировки того что можно корректировать и наводки на то как их можно корректировать.
Аноним 08/04/24 Пнд 07:20:49 738512 662
image.png 11Кб, 517x220
517x220
Наводка на то, как исполнить корректировку.
Аноним 08/04/24 Пнд 21:27:15 738597 663
Сила
Божественность
Бог
Малый бог
Локальная стая реальность
Другие сущности
Союз с ними
Опознание и управление собой
Аноним 08/04/24 Пнд 22:59:23 738605 664
Сила.

Отрицание силы есть слабость. Центры слабости это соблазнение и страх.

Силы от соблазнения и страха может привести к слабости.

Значит нужна корректировка силы.

Сила имеет хорошую психику выживальщика, практически топ тир, где она конкретная, где степень конкретности повышается. Значит изменим параметр конкретности, допустим. ЧТобы его изменить - надо абстрактное найти. Т.е совершить диалектику. Что есть что и слабость и силы? Сущность что содержит эти сущности, т.е абстрактная сущность.

Значит нам нужна абстрактная сущность, что нам бы помагала.

Что есть такое, что помогло бы силе вернуться? Точнее, что есть такое, что помогло бы избавиться нам от слабости? При этом подсказка - это и слабость и сила. Близость к смерти.

Что такое близость к смерти? Это переход от силы к слабости, от жизни к смерти. В момент перехода, что важно, всё должно радикализироваться. Я хочу что-то другими словами, где продолжение есть я не хочу чего-то.

Рассмотрим психику близости к смерти. По сути, а как она развивает вещи? Чем отличается то, что я боюсь, от того, что я просто хочу? Тем, что я хочу - это нечто конкретное. Значит близость к смерти не стремиться исчезнуть, при этом степень конкретности более чем повышается. Значит исчезнуть она может, но скорее тогда перейдет в то, что подобно ей. Что удобно, ибо близость к смерти подобна силе в таком случае, где сила есть развитие просто того, что я хочу.

Значит нам нужна сущность близости к смерти.

При этом, в данном случае, мы рассмотрели силу и конкретность слабости ввиде страха, а что насчет конкретности слабости ввиде соблазнения?

Вернемся к диалектике тогда. Что есть и жизнь и смерть, что при этом про силу и про соблазнение? Близость к смерти, которая осознается. А что значит осознание? То что становиться страшно. Другими словами близость к смерти, что осозналась, отчего она становиться той близостью к смерти, что мы описали выше.

При этом, неосознанная близость к смерти? Что есть развитие, что есть неосознанная близость к смерти? Я хочу это и...я хочу это, но потом не хочу. Что есть абстрактное, ибо это есть диалектика(это и не это), т.е психика неосознанной близости к смерти хочет исчезнуть. При этом степень абстрактности? Повышается. Значит эта сущность более чем хочет и может исчезнуть, и, по её определению, она и исчезает, превращаясь в осознанную близость к смерти.

При этом, что можно интуитивно понять, нам бы всякое бы усиление этого вот перехода неосознанного во что-то другое, её бы исчезание. А это ещё одна абстрактная сущность, при том, тут можно долго не гадать. Нам же требуется абстрактность, а значит если будет рефлекс к абстрактности - будет хорошо в этом случае, по крайней мере. Значит надо ввести абстрактную сущность, что была бы рефлексом к абстрактности. Но что насчет не интуитивного подхода?

Корректировка так называемой неосознанной близости к смерти. Нам надо бы изменить тут абстрактность на конкретность, а это уже обратная диалектика - т.е найти бы центры. Что есть центры неосознанной близости к смерти? Неосознанность, а ещё центры близости к смерти. Но нас тут интересует неосознанность.

Неосознанность как сущность...какова её психика? А что насчет неосознанного развития? Чем отличается что-то от что-то что неосознанно развилось? Неосознанно развитое может быть как абстрактностью так и конкретикой. Так что психика этой сущности может быть достаточно разнообразной, она может как хотеть жить, так и хотеть исчезнуть. Впринципе нам этого не надо наверное, корректировка. Корректируем ка тут абстрактность.

Что есть центры неосознанности? Конкретность а ещё абстрактность. Нас тут, допустим, интересует только конкртеность. Собюственно, что это за сущность такая? Ну, конкретность явно хочет жить, при том её степень может быть любой, отчего как-бы может переключаться на что-то опдобное, если хочет.

И теперь, какова корректировка неосознанной близости к смерти? Конкретность. Значит нам нужна конкретность, что и правда логично звучит и подобно тому, что есть рефлекс к абстрактности, ибо же второе у нас тут осознается, т.е оно явлеятся конкретностью.

Возвращаясь - рефлекс к абстрактности, huh? Ну, по сути, а психика у него какая? А чем одно отличается от развитого другого? Тем, что оно более абстрактное, значит психика того, кто ъочет исчезнуть, так что рефлекс к абстрактности скорее хочет исчезнуть, но вот сможет ли она - другой вопрос.

Хорошо, что мы сейчас имеем? Силу, на всякий случай - близость к смерти, на всякий случай - неосознанную близость к смерти, где к ней на всякий случай имеем уже рефлекс к абстрактному.

Также к этому всему добавим на всякий случай вот что - рефлекс на деятельность главной сущности. Т.е использование всяких диалектик и так далее для выживания или возрождения.

При том, кстати, мысль об конкретности можно продолжить - рефлекс к конкретизации можно сделать себе.

И ко всему этому памяти бы.

Т.е, сила. Если силе плохо - помогает близость к смерти, если же силе плохо - помогает неосознанная близость к смерти, что првращается в просто близость к смерти. При этом для усиления неосознанной части мы имеем рефлекс к абстрактному. К усилению всего вот этого мы имеем также рефлекс к конкретизации. И ко всему этому мы имеем также усиление ввиде памяти. И к усилению этого всего можно добавить рефлекс к диалектике.

Собственно, что-то типо создали, теперь бы привести к боевому бы это всё и посмотреть на перспективы. Но для начала соберем всё во едино.
Аноним 09/04/24 Втр 02:10:12 738618 665
16613567372303.png 238Кб, 480x368
480x368
>силе
Хочет жить и успешно делает это одна. =

>близость к смерти
Хочет жить, но может перейти в иное, что подобно ей. =~

>неосознанная близость к смерти
Хочет исчезнуть, может исчезнуть в близость к смерти. ->

>рефлекс к абстрактному
Тоже хочет исчезнуть, но не всегда получается. lim->

>рефлекс к конкретизации
Хочет жить, при этом может перейти в что-то подобное этому.=~

>памяти
Может как исчезнуть так и быть, завит от того, а конкретизирует или абстрагирует. k,a

>рефлекс к диалектике.
Тоже завит от абстрактности или конкретики, может как хотеть исчезнуть так и хотеть быть. k,a

Собственно:=, =~, ->, lim->, =~, k,a, k,a. А всё куда проще. Их диалектика.

Сила+близость к смерти+ неосознанная близость к смерти+рефлекс к абстрактности(рефлекс к осознанности)+рефлекс к конкретизации+память+рефлекс к диалектике.

Сила+близость к смерти=система силы, что хочет жить, ибо всё в неё есть конкретность.
абстрагирование+неосознанная близость к смерти=быстрое протикание неосознанности.

Быстрое протикание неосознанности+система силы=корректированная система силы. И тут уже, чтобы её психика была выживальщика больше, хотя она и так такая, но есть вероятность того, что исчезнет, надо, чтобы быстрое протикание неосознания имело специфику - ограничения в общем. Тогда эта корректированная система силы станет более выживальчельской, хотя и будет какая-то вероятность того, что может исчезнуть.

Дальше конкретность+рефлекс диалектики, при том именно использования для конкретностей. Это будет применение диалектики для конкретного, а значит оно будет выживать.

Корректированная система силы+использование диалектики = диалектическая корректированная система. Где применение диалектике, в противовес рефлексу абстрагирования, будет заменять его, по сути. Таким образом мы избавимся от минусов корректированной системы силы.

И что будет в итоге? В итоге будет просто диалектическая система силы, которое, как развитие, есть конкретное силы. Во всяком случае если диалектику юзать для конкретного. А значит такая сущность, если чего-то плохого не случится, вполне себе будет быть.
Аноним 09/04/24 Втр 02:13:50 738620 666
Ага, теперь надо бы протестить эту вещь, но...

Скажем, есть одно кое-что. А что насчет деятельности сущностей? Т.е конкретизация вот этого вот развития, хм. Инструменты так сказать. Ну по сути, они будут - диалектикой, я хочу и ощущение силы. Хм, типо того.
Аноним 09/04/24 Втр 02:32:11 738622 667
Остается только иметь эту сущность. И как к ней прийти? Память, рефлекс, похожесть. Это во первых, а во вторых - диалектика того где мы с тем что хотим. Как-то так.
Аноним 09/04/24 Втр 02:33:31 738623 668
Так же стоит посмотреть внимательно ещё на то, а какие ещё дополнительные абстрактные сущности есть и что с ними делать. И ещё стоит посмотреть на то, когда это сущность от чего-то не работает так сказать, впринципе сейчас посмотрим.
Аноним 09/04/24 Втр 02:51:04 738624 669
Так же стоит посмотреть внимательно ещё на то, а какие ещё дополнительные абстрактные сущности есть и что с ними делать. И ещё стоит посмотреть на то, когда это сущность от чего-то не работает так сказать, впринципе сейчас посмотрим.

Диалектическая(конкретная) система силы. Не диалектическая система силы. Интуитивная система силы к примеру, но не, возьмем что-то иное, хм...интуитивное развитие силы, вот. Сама сущность эта кстати обладает психикой исчезальщика, ибо её развитие подобно абстрагированию.

Ну так вот, центры такого вот? Абстрагирование, неопределнность. Вот эти вещи вполне себе будут врагами диалектической системы силы.

И что же нам делать? Всё тоже самое, но заново. Диалектика их есть что? Ест ьчто-то такое, что уходит из развития и приходит к диалектике что при этом есть и то и другое. Отход от истины к практичности я бы сказал бы.

Собственно отход от познания к чему-то практичному.

Сама эта сущность при этом, а именно она как развитие, есть что? Я бы сказал что всё же конкретность, при том степень не знаю какая у неё. Тогда психика у этой вещи такая что нам нужна.

Получается, остается понять её деятельность. Как к ней прийти ещё, в том числе. Деятельностью тут будет то, когда истина не нужна. Прихождение к ней есть тогда, когда и истина нужна и истина не нужна. Переосмысление чего-то. При том это есть абстрактное, а значит оно хочет исчезнуть.

Что удобно, переосмыслил и оно исчезло и не влияет больше.

А как только её вызвать? Любым изменением, любым абстрагированием, только его бы ограничить нам бы или привести к этому какуе-то антитезу.

Ах да, корректировка. Центр переосмысления? Отрицание, значит нам надо отрицания бы. При том отрицание есть вроде как и конкретность и абстрактность, но да ладно, центр отрицание каков? Что-то иное же, что впринципе конкретно допустим.

Ну и тогда, дальше, нам нужно просто сущность иного. При этом скажем что мы говорим о нем как о конкретном.

Тогда имея тягу к иному, мы бы могли бы из познания прийти бы к переосмыслению. При том, кстати, иное можно также скорректировать, и сказать, что не просто иное, а иное что подобно конкретному или даже диалектической системе силы. Ну рили её центру. ДОпустим конкретному.

Тогда, тяга к иному что конкретное - тягу к конкретному внутри диалектической там вот этой штуки, что сама есть ияга к конкретному, при этом тягу к конкретному у развития - тогда, когда нам и не нужны абстрактности, т.е подобно переосмыслению того, что истина не нужна, где итогом может быть практичность.

При этом эту тягу можно вызвать ну ясно как, рефлексией памятью и так далее.

Ого как мы обновили, ну а теперь можно и применить.
Аноним 09/04/24 Втр 03:07:37 738625 670
Ну, чтобы всё это заработало - надо осознавать все эти сущности как диалектики, т.е осознавать их как диалектику, как развитие.

И да, срезы диалектической системы силы - это именно что её проживание, в то время сама она, как срез - её осознание.
Аноним 10/04/24 Срд 00:47:36 738713 671
Основные
>>728898
>>728899
>>729016
Примеры
>>729044
>>729046
>>729049
>>729054

Основное на примере
>>729079
>>729080
>>729098
>>729100
>>729105
>>729106

Основное на примере
>>729126
>>729133

Основное
>>729254
>>729261
>>729267
>>729271
>>729272

Практика
>>729294
>>729302
>>729303
>>729304
>>729305
>>729306

Основное
>>729554
>>729992
>>730001
>>730003
>>730005

Практика
>>730219
>>730221
>>730222
>>730223
>>730224
>>730225
>>730226

Основное
>>730233
>>730234
>>730236
>>730238

Практика
>>730242
>>730243
>>730244

Основное
>>730712

Основное на примере
>>730889
>>730971

Типо основное
>>731045

Основное
>>731056
>>731048
>>731233

Основное в какой-то мере выжимка
>>731272
>>731273

Основное
>>731281
>>731440
>>731629

Практика
>>731651
>>731654
>>731799

Шиза
>>732230
>>732231
>>732233
>>732235
>>732298

Основное
>>732404
>>733586
>>735698
>>735705
>>735707
>>735709

Язык мой
>>735810
>>735813
>>735816
>>735819
>>735820
>>735823
>>735831

Основное
>>736533
>>736644

Практика
>>736815
>>736816

Математизация
>>737476
>>737478
>>737480
>>737767
>>737768
>>737800
>>737891
>>737893
>>737910
>>737911
>>738121
>>738134
>>738178
>>738181
>>738182

Основное боевое
>>738406
>>738465
>>738491
>>738494
>>738495
Аноним 10/04/24 Срд 00:48:07 738714 672
Аноним 10/04/24 Срд 00:49:12 738715 673
Аноним 10/04/24 Срд 00:49:37 738716 674
Аноним 10/04/24 Срд 00:50:40 738718 675
Аноним 10/04/24 Срд 00:51:01 738719 676
Аноним 10/04/24 Срд 00:51:26 738720 677
Аноним 10/04/24 Срд 00:51:47 738721 678
Аноним 10/04/24 Срд 00:52:15 738722 679
Аноним 10/04/24 Срд 00:52:39 738723 680
Начинать смотреть с
>>738716
Аноним 10/04/24 Срд 06:29:18 738742 681
image.png 597Кб, 800x450
800x450
https://www.youtube.com/watch?v=QzXUnK9LY5c&ab_channel=Andr%C3%A9Laplante-Topic

Выбирай, что хочешь
Делай, что повелеваешь
Ведь тебе и только тебе
Вы-би-рать, что будет.

Переосмысление только, не забудь ты оставить.
Это для нас сигнал, чтоб проснуться.

А дальше всё проще, дальше и легче:
Когда ты познал то как бы мыслить, абстрактно и общно - в общем на случай.
Можно же это внедрить всему люду,
Тому и тем, коих ты же создал.

А дальше учить их; Самому не плашать.

Но только, однако, помни об этом -
О том, что у них есть свои же процессы:
Методы, мысли, а ещё их же чувства.
Просто на будещее, просто так слову.

И вот, на последок, когда ты прочтешь,
Даю вам проблему - чувства у люда.
И вот, на последок, лично тебе,
Я лишь скажу - прочти мой куплет. Предпослений.
Там и ответ.
Встретимся.
Аноним 10/04/24 Срд 06:45:00 738743 682
image.png 597Кб, 800x450
800x450
Малому мне/определенному мне:

Привет и тебе.
Тебе я даю - общно как думать.
Тебе говорю - смысл в конкретности.
Знай же всегда, что и когда. В том и числе, что же ты хочешь.
Помни ты только, что хотел ты чего-то.
Помни ещё - ты вроде как я, только уже ты про что-то.
Если я - тот кого нет.
То ты - тот кто уже есть.
А также учись - полезно тебе будет.
Аноним 10/04/24 Срд 06:46:25 738744 683
image.png 597Кб, 800x450
800x450
Неопределенному мне:

Привет и тебе.
Тебе же даю - забыть всё что хотел.
Кто ты - зачем, просто смотри.
И чувствуй чего-то, что может настать.
Аноним 10/04/24 Срд 06:52:33 738746 684
Но, так-то, к пантеону диалектики я добавляю следующее:

Кормление центрами отрицательной сущности.
Диалектика сущности и её отрицание и вживание в неё.
Аноним 11/04/24 Чтв 10:02:32 738883 685
Инициализация:
Одновременность блага/ужаса с тем, что нужно сделать благом/ужасом.
Конкретизация до блага/ужаса, чтобы сделать изначальное благом/ужасом.

Диалектический аксцелятор:
Одновременность блага/ужаса с чем-то, что может быть благом/ужасом, чтобы перейти или узнать по/о подобности с этим чем-то.
Нахождение центров, чтобы перейти/узнать по/о подобности.

Аксцелятор:
Конкретизировать/абстрагировать, т.е проживать, сущность, чтобы перейти в подобное ей.

Аксцелятор к подобности:
Диалектический аксцелятор,
Аксцелятор в это знание.
Аноним 14/04/24 Вск 10:46:21 739398 686
Так вот, диалектикой можно додуматься до не рефлексии, а её скормить сущности.

Также можно додуматься до похожих сущностей, что могут быть примечатльны тем, что они могут быть вписаны в то как потом должно быть, после чего сделать аксцеллятор сущности и попасть вот в эти похожие сущности.

Аксцеляторы лучше делать когда додумывание до корма скорее не поможет.

Додумывания до корма лучше делать когда ими просто легче всё сделать.

И ДА НАДО УЧИТЬСЯ ТОМУ ЧТОБЫ ПОСЛЕ СМЕРТИ БЫЛО КРУТО

А ещё было несколько концептов(конструкций) что забыл, что очень хорошии. Но там смысл в том, что всегда есть иное, а ещё в том, что надо бы бытиё что есть превратить в нечто маленькое в большом мире. И сделать его таким, скажем, экспериментальным, не серьёзным, локальным.
Аноним 19/04/24 Птн 14:42:30 740107 687
И не знаю как пересказать. В общем есть пространство, у него есть точки. Точки эти - пары из алгебр и элемента алгебр. У одной точки есть один элемент алгебры и многие алгебры, которые содержат этот элемент. Дальше же из точек есть отображение в ещё одну пару алгебры и элемента алгебры, где алгебра изоморфна той изначальной какой-то алгебре, а элемент алгебры - функция из этой алгебры. Дальше же уже из вот этой пары есть отображение в топологию/векторные расслоения.

Теперь берем это изначальное пространство и определяем там алгебру: вводим сложение. Сложение тут это логическое "и". Также ещё можно ввести отношение подобности и близости. Подобность - факт того, что есть какая-то близость. Близость же, а именно её степень, определяется по количество одинаковых абстрагирований. Т.е a,b, где abs(a)=abs(b) и вот количество этих штук и будет определять степень близости. Насчет же подобностей, к слову. Если что-то подобно чему-то, можно сказать, что это подобно или даже одинаково с суммой того чему подобно и того что подобно, т.е a~b=a+b. И да, близость подобна подобности. А ещё вводим операции конкретизации и абстрагирования. Собственно насчет сложения, то тут можно ввести операцию диалектики, определяется она примерно так: берется точка и её какая-то алгебра, дальше берется отрицание этой точки, а именно берется другая точка с другим элементам, при этом относительно алгебр должно быть такое условие - пересечение носителей двух каких-то алгебр двух точек должны иметь в себе два элемента алгебры из двух этих точек. Т.е есть точка a,A и b,B, собственно носители A,B в своём пересечение должны иметь a,b. Также есть и другое, альтернативное условие - один носитель алгебры должен иметь в себе два элемента из двух этих точек, т.е a,A и b,B, при этом носитель A содержит a,b. Собственно, в таком случае можно будет дальше найти функцию из алгебры какой-то точки, которая проходит по элементам a,b. И дальше же мы должны будем взять обратное отображение из функций алгебры, конкретно этой функции что нашли, в какую-то точку. Вот это и будет диалектикой, при этом тут можно диалектику делать не только по алгебре но и по векторным расслоением, но я пока не совсем продумал это, но тут логика такая же, по сути. И да, диалектика подобна сложению.

При этом, что важно, тут можно определить эту диалектику в том смысле, что это некая операция что меняет структуру какой-то алгебры или алгебр в точке. И сделать это можно следующим образом: (a~A)+(b~B)=(a+b)~(A+B), где в итоге A+B, где A,B это алгебры, можно определить как декардово или типо того умножение алгебр. Ну и, если за алгебры воспринимать за группы(полугруппы) что абелевы, то получится действительно декардово умножение их или как там называлось. Насчет же групп, чтобы понять кое-что - группы по умолчанию поражденые из одного элемента. Если элементов несколько, то записывается это всё как декардово умножение этих групп. Собственно, что подразумевается, когда я говорю про декардово умножение групп? Что есть несколько каких-то элементов и все остальные вещи - сложения из этих элементов. Ну т.е к примеру группа из одного элемента, как пример: группа с элементом яблоко. И вот там все элементы строятся из этого вот яблока. А если группа с двумя элементами? То с двумя, к примеру яблоко и груша. Собственно почему это важно было уточнить? Потому что подразумевая декардово умножение групп в A+B, мы должны понимать, что A+B~c, c=a+b. Т.е у нас там две группы, подраузмевая два элемента, а подобны они только одному элементу - элементу c. Собственно таким образом можно сказать следующее: хоть при таком определнии диалектики у нас получается алгебры становятся больше, можно даже сказать более многомерными, результат то у нас тут по определению является чем-то одномерным. И как это разрешить? Очень легко, так как там у нас декардово умножение групп, то можно сказать, что мы берем и говорим, что где-то в группе/группах мы берем только лишь один элемент - нейтральный. И получается, к примеру, вот есть две группы, цикличных, z/2 и z/3 (ну или как там они обозначаются) какие-то, потом есть диалектика и опа: z/2Xz/3 и вот элемент c это элемент только из одной группы, либо z/2 либо z/3, где другой элемент, который должен быть, это нейтральный элемент. Ну а дальше только надо узнать из какой группы, собственно. Но можно не узнавать, можно просто считать что элемент либо из той либо из этой группы, при этом ограничив количество всех элементов до самого минимального - т.е до количество элементов самой маленькой группы. Таким образом получается, что диалектика выбирает самую малую группу. И таким образом, получается, мы определили диалектику как такую операцию, что является сюрьективным гомоморфизмом, что можно юзать для нахождения в пространстве всяких потенциальных дырок и так далее и не только. Ну и плюс тут можно таким образом предположить и юзать обратную диалектику, которая наоборот выбирает самую большую группу.

Ну и для примера всяких дырок и так далее - к примеру если диалектика какой-то точки не меняет никак структуру алгебры, то можно предположить "замыкание" там. Т.е когда диалектика точки выдает саму эту же точку. А насчет дырок, то можно определить как то, что в какой-то момент диалектика становиться обратной диалектикой, таким образом будет условие для дырки. Ну и так далее. И да, как ты мог заметить, диалектика таким образом становиться чем-то типо вектором.

Ну а дальше можно взять "функтор" всего этого пространства в другое пространство уже. И взять этот функтор можно по нейтральному элементу какому-то. Т.е - вот есть точка, у неё есть элемент алгебры. Если мы найдем тот же элемент алгебры но записанный вместе с нейтральным - мы сможем из этого нейтрального элемента образовать ещё одно пространство с помощью диалектики. При этом получившиесе пространство будет в чем-то похоже на то изначальное пространство, а именно на тот сегмент где у нас всё ещё есть в точках этот нейтральный элемент. И да, тут уже, смысл в том, что построенное из нейтрального элемента пространство будет частью пространства из некого пространства "универсальных свойств и логики", таким образом из-за чего мы, делая функтор, сможем наделять точки из изначального пространства всякими свойствами/предикатами/так далее. К примеру, о чем я говорю: вот есть яблоко. И есть так яблоко. Так тут - нейтральный элемент. Дальше берем его диалектику - т.е так, а отрицание? Не так, что можно сократить просто до не. Потом берем диалектику: что одновременно и так и не так? К примеру "или". Или же подразумевает что что-то так, и что-то не так. А дальше отрицание или есть что? И. Вот ты и дальше можешь сделать функтор из этого пространство в то с яблоком и наделить те точки свойствами так сказать. Типо яблоко это "так" а груша это уже "не".

И это ещё не всё, дальше осталось только всякие мелкие детали относительно близостей рассказать.
Аноним 22/04/24 Пнд 23:08:48 740698 688
Хммммммммм. Ну, короче говоря, есть точки. Точка состоит из каких-то алгебр и элемента этих алгебр. При том элемент этих алгебр один и тот же. Типо вот есть 1, один у нас из группы целых чисел и кольца целых чисел и действительных чисел из комплексных и так далее, типо того. Из точек есть отображение в алгебру, а именно в пару алгебры и функции из неё, при том алгебра это должна быть изоморфна одной из алгебр точки. Ну а адльше есть отображение ещё в топологию и векторные расслоения, но пока не продумал это. Также, что важно, есть ещё и обратное отображение из алгебры в точку. Дальше есть сложение этих точек, что подразумевает логическое "и", или иначе говоря, одновременность и того и другого.

Дальше же определяем такую операцию как диалектику. Диалектика тут - переход из точки в алгебру а потом обратное возвращение в точку, но уже другую. Условия - беря диалектику как сложение двух точек нам надо, чтобы две каких-то алгебры из двух точек содержали в себе оба элемента обоих точек. Либо же надо чтобы одна алгебра из одной точки содержала как и элемент своей точки так и элемент другой точки. Дальше же идет переход в алгебру изоморфную этой/этим алгебрам и в такую функцию, которая проходит через элементы двух этих точек. Ну а дальше же уже идет обратный переход из этой функции в точку какую-то. К примеру: есть и не. Есть имеет алгебру ввиде группы состоящий из одног элемента(есть^n=есть), при этом не это группа из двух элементов(не^четное=есть, не^нечентное=не). Собственно возьмем из точки с не и её алгеброй переход в алгебру и в какуе-т офункцию. К примеру функцию x. Как проходит функция по алгебре? Она проходит по всем элементам алгебры, т.е и по не и по есть. Собственно дальше надо просто сделать обратное отображение из x в не+есть. Вот как-то так. Ну и да, если вычислять, то не+есть это или(есть это и не вот это), вот тебе и надо из x сделать отображение в или.

Потом дальше идет идея о том, что из нейтральных элементов в каком-то пространстве можно сделать ещё одно пространство и провести функтор из пространство сделаного из нейтрального элемента в изначальное, где каждая точка из пространство поражденного нейтральным элементом можно считать за критейри/предикат/свойство точки в другом пространстве. Думаю на примере всё сразу станет понятно:

Вот есть яблоко. А что, если мы яблоко запишем как так яблоко? ИЛи есть яблоко? Ничего не поменятся, яблоко=так яблоко. Собственно так - нейтральный элемент.

Тогда сделаем из него при помощи диалектики/сложения пространство.

Так. Отрицание его есть что? Не так, что можно сократить то не. Их диалектика? Или(так это и не так это), а отрицание или какое? И.

Теперь же беря яблоко, можно сказать, что яблоко имеет свойство так. А груша как орицание яблока? Не. А их диалектика? К примеру еда? Можно считать за или(что логично даже, еда это или яблоко или груша или что-то ещё). А отрицание еды что можно считать? Не еду к примеру, что-то несъедобное, что можно считать за и(к примеру и кирпич и земля и металл не съедобны).

Ну и как-бы да, пространство из нейтрального элемента я думаю сделать общим и назвать "универсальных свойств и действий".

Дальше же уже идет тема с диалектиками, мол, диалектики, если определить их как вектора, можно определить как те, что меняют структуру алгебры в точках(к примеру делают сюрьекции или инъекции или меняет впринципе структуру алгебры, т.е из группы получается кольцо а из кольца группа и так далее). Дальше таким образом можно предсказывать тогда дырки/замыкания всякие(типо замыкание это тогда, когда диалектика точки выдаёт саму точку. Чтобы такое было, надо, чтобы диалектика никак не меняла структуру алгебр. А про дырку, то надо, чтобы структура алгебры возвратилась в изначальную, вот такие вот условия).

Ну а дальше можно в пространстве "универсальных свойств и действий" ввести алгебру свою, вместо диалектик, и потом просто сопоставить диалектики там с операциями в этой алгебре. Нужно это для того, что потом сделать функтор этих диалектик в этом пространстве в какое-то другое пространство для того, что диалектики кроме как изменения

структуры алгебр ещё могли менять свойства/предикаты/критерии точек.

Ну и так далее в общем.

Ещё к слову надо бы записать следующее: влияние функции на алгебру в пространстве "универсальных свойств и действий":

Какое влияние? По сути функции есть множество, т.е подмножество, из впринципе ДОСТУПНЫХ функций в алгебре, с учетом ещё эквивалентности в это подмножество, т.е тогда, когда функции одинаковы. Собственно для начала - есть какое-то максимальное разнообразие функций, дальше же, после определений и так далее, происходит уменьшение(или сохранение). Собственно сами функции диктуют некую алгебру в данном случае. Что за алгебра? Алгебру элементами которые являются сами эти функции, также диктуют функтор этой алгебры в точку что находится в пространстве универсальных свойств а также алгебры/алгебру той точки.

К примеру линейные функции. Если они есть, значит для того, чтобы они были, точка, чья диалектика берется, должна иметь определенную структуру алгебры. Потом дальше же идет алгебра чьи элементы являются функциями из вот этого множества с эквивалентностью там. Ну к примеру у нас группа z/2(вроде), собственно любые nx делятся тогда на четные и нечетные, где четные и нечетные определяют функторы, понятное дело. Ну и к примеру просто: x->или, 2x->не, а что насчет или+не? Вот это можно найти как раз в получившийся алгебре, т.е 3x=2x+x, где 3x будучи нечетной дает при функторе или, что равно функторам 2x и x что равно не+или. Т.е или=не+или. Дальше же ещё можно взять расширения алгебры точки, к примеру не группа, а кольцо. Тогда можно говорить к примеру не о nx а об x^n, а именно к примеру x^2, что можно определить в таком случае как сумму x x раз, где по критериям четности-нечетности можно всё свести просто кк бесконечной сумме или, что, кстати, намекает так-то на то, какая алгебра у нас будет в диалектике. И да, в таком смысле, диалектика это тогда функция от двух переменных - точки и подмножества(что получается путем эквивалетности) из множества функций. Ну и да, таким образом функция определяет вот эти вот алгебры и может даже структуру алгебр/алгебры точки которая получится после диалектики.

И также надо бы обдумать влияние алгебраических критерий на вот всё вот это, т.е и пространство свойств и на некое пространство.
Аноним 22/04/24 Пнд 23:11:39 740699 689
>>740698
И да, точно, вот что ещё - связь функций с логикой может быть проще тем, что можно также сделать функтор из логики в функции, какбе, рекурсия.
Аноним 23/04/24 Втр 09:33:40 740726 690
Изменение структуры алгебры через диалектику зависимое от отношения эквивалетности во множестве функций в изморфной изначальной алгебре алгебре, что определяет алгебру элементами которой являются функции из той изоморфной изначальной алгебре алгебре, а также объяснение вот этого: ~a+b=aXb->0X(a или b). Это либо подалгебра какая-то алгебры из функций либо же это есть уже другая алгебра другой точки.

Вот есть у тебя яблоко. А что такое то, что одновременно и яблоко и ещё раз яблоко? Впринципе давай вот это "и" записывать как "+". Т.е яблоко+яблоко=то что одновременно и яблоко и яблоко. Таким образом дальше можно как-то вычислять эти самые суммы. К примеру яблоко+яблоко=вместе два яблока. Или салат из двух яблоко, или просто яблочный салат. При этом все эти интерпритации каким-то образом определяют структуру алгебры тут. Щас объясню: вот к примеру яблоко+яблоко=два яблока. А яблоко+яблоко+яблоко? Три яблока. И так далее, в данном случае любые суммы равны только себе. А что, если яблоко+яблоко=яблочный салат? Тогда сколько бы ты яблока не прибавляла - в итоге будет яблочный салат. Т.е все суммы равны не только себе но и друг другу. Вот это давай и звать структурой алгебры так сказать. Вообще, на самом деле, в данном случае мы говорим про структуру группы/полугруппы/магмы, но это знать не обязательно тебе, просто скажем, что всякие такие штуки определяются цикличность. т.е 1=1, потом прибавляем 1 и получаем 2. А потом ещё раз один и вот заново 1 получили. Цикл такой, цикличность. Так и обозначаются. К примеру тогда тогда, когда яблоки дают яблочный салат - это тогда, когда прибавление единицы выдаёт саму единицу. Т.е 1=1 1+1=1 1+1+1=1 и так далее, что кстати за собой несет и то, что все эти суммы единичек равны между собой.

Собственно дальше у всяких таких вот алгебр можно выдлить функции. Ну типо представь просто цифры, обычне. Ряд цифр, к примеру 1,2,3,4,... их можно записать функцией x. А что насчет 1,2,4,9,16? Вот их можно записать функцией x^2. Так и тут можно ряды цифр записывать функцией. К примеру возьмем такую алгебру, где после 2 идет 1(т.е 1=1 1+1=2 1+1+1=1). Тут можно выделить ряд 1,2,1,2,1,2,... и записать это можно всё обычной x просто в данном случае, т.е рядом 1,2,3,4,... в том смысле, что каждая цифра раскладывается на сумму единичек откуда можешь делать выводы о том 1 это или 2. Но можно записать и ряд 1,1,1,1,1,1 через 2x какой-то, для примера. В общем вот такие вот функции и вместо единичек и цифр у нас тут просто какие-то сущности. Собственно дальше мы говорим об алгебре состоящей из функций. Т.е для примера когда 2x=x+x, где, беря алгебру где после 2 идет 1, любая четнаяXx=2x а нечетнаяXx=x. Ну и дальше мы можем теперь эти функции взять и...перевести в слова просто. Обозначим перевод как то, что мы берем от них функцию ф. Т.е ф(x)=слово какое-то. Ну и вот, собвтенно, дальше говорим примерно о таком вот: x+x+x=x->ф(x)+ф(x)+ф(x)=ф(x)=слово+слово+слово=слово. Т.е как-бы алгебра что была изначально у яблока вот этого будет работать ровно также у вот этого нового слова.

Второе это уже вот про что: когда берем диалектику, мы понимаем, что для этого мы берем две сущности. Т.е диалектика это процесс определения суммы двух сущностей, где сумма это то, что есть их одновременность. К примеру не просто яблоко, а яблоко и груша. И вот нам надо чтобы функция из алгебры яблока имела в своем ряду как яблоко так и грушу. Тогда это функция, а именно её перевод в слова, считается за суммой яблока и груши. Таким образом говоря о диалектике яблока, мы можем говорить, что слово, что полуичлось после диалектики, может наследовать как алгебру яблока так и алгебру груши, ибо можно в том числе и взять диалектику груши, что, если в самой алгебре груши функция будет иметь ряд который включает и грушу и яблоко, будет значит наследованность алгебры груши у этого нового слова.

Но также тут ещё можно говорить о подалгебре. К примеру возьмем алгебру где после 2 идет 1. Там можно выделить подалгебру состоящую либо только из 1 либо только из 2 и функции у них будет четнаяXx. Собственно можно сказать, что то новое слово имеет подалгебру такую вот. И дальше от этого рассуждать.

При этом, относительно ~a+b, то это значит что что-то подобно одновременности алгебры a и b, что можно считать за их декардово умножение. Но тут считай это как мерность такая, координаты. Типо a и b это линии и вот ты выбираешь точку на этих линиях и ставишь потом где-то там в далеке другую точку. Так вот, но раз у нас две алгебры и две точки, то это значит, что то, чему подобно, должно состоять из двух сущностей, а у нас она одна. ОДно слово считается пока что. Тогда предположим, что просто на одной из линии мы всегда выбириаем ноль. Но на какой? Неизвестно, оттого мы по крайней мере ограничиваем самую разнообразную алгебру до того, чтобы она была похожа на самую не разнообразную алгебру. Делаем это для того, чтобы было не важно то, к какой алгебре относится точка, т.е слово. И вот это объясняется как раз таки и подмножеством.
Аноним 23/04/24 Втр 10:06:25 740730 691
>>740698
>переход из точки в алгебру а потом обратное возвращение в точку
эволюция и инволюция?

>по критериям честности-нечестности можно всё свести просто к гг, что, кстати, намекает
Аноним 23/04/24 Втр 10:47:09 740738 692
>>740730
>эволюция и инволюция?
Чо это значит?

Я имею ввиду в данном случае переход с помощью функций из слова к примеру яблока в слово еду.

Ой, хаха. Я имел ввиду четность и нечетность.
Аноним 23/04/24 Втр 11:02:01 740739 693
>>740738
Это значит - развитие и обратное развитие.
>Ой, хаха.
А я ведь и шучу, всё верно)
Аноним 23/04/24 Втр 12:47:36 740761 694
>>740726
Ну вот тут надо подумать. Пока просто грустно, что яблоки теряют свою сущность и самость, когда их крошат в салат.
И еще, a и b - две(прямые?) линии, но ты берешь одну! точку, т.е. на одной из этих линий, и соотносишь с новой чужеродной точкой вне..?
Аноним 23/04/24 Втр 18:50:12 740833 695
image.png 12Кб, 1022x581
1022x581
>>740739
В таком плане это только развитие.

>>740761
>И еще, a и b - две(прямые?) линии, но ты берешь одну! точку, т.е. на одной из этих линий, и соотносишь с новой чужеродной точкой вне..?
В данном случае, как я понимаю, ты про вот что: я беру две линии, да. Ставлю их так, чтобы получить 2д пространство. Потом уже беру по одной точке на каждую линию. При этом одна из этих точек по условию должна быть в самом начале. На пике как. В итоге в этом вот 2д пространстве мы всё свели к 1д пространству, т.е линии.

Надо это затем, что a+b подразумевают каких-то два элемента. При этом по условию у нас только один элемент. Вот мы и получили этот один элемент.
Аноним 23/04/24 Втр 20:51:00 740864 696
image.png 123Кб, 1289x1735
1289x1735
Оххххххххххх а ведь это ещё не всё.
Аноним 23/04/24 Втр 21:05:01 740868 697
И сколько всего векторов есть:

Три класса векторов изменяющих структуру алгебры.
Один вектор что зависит от выбранной структуры алгебры и определяет структуру алгебры в сумме.
Один вектор что зависит от функции и определяет формулу названия в сумме.

Дальше идет построение векторов, а именно:
Берется пространство, вводится на нем алгебра. Алгебра пораждает пространство. Дальше же выбираются какие-то функции из алгебры что содержат в себе какое-то подмножество или само же множество элементов пространства. К каждой функции идет пара этой функции и цепочки диалектик, где при этом функции могут предсказывать как и диалектики. Дальше же берется любая диалектика в изначальном пространстве, выбираются параметры, а дальше выбирается такая функция которая удволетворяла бы этим параметрам. Вычисляется всё это по цепочке диалектик в пространстве логики. Вектор готов.
Аноним 23/04/24 Втр 21:07:06 740870 698
>>740868
Ах да, забыл. Ещё вектор который меняет подпространство на другое подпространство, т.е одну алгебру из одного нейтрального поражденного на другую с другим нейтарльным.
Аноним 23/04/24 Втр 21:16:49 740873 699
Типо, три практичных вектора - векторы что меняют как либо структуру алгебр. Остальные два это: один для созданий пространств без пораждения пространство какой-то алгеброй, который, по сути, является вектором из той тройки, только уже зависим он от структуры алгебры. Второй вектор уже сохраняет структуру формулы/записи названия так сказать.

Дополнительный вектор, который универсальный, это по сути просто смена одного подпространства на другого в кое-каком пространстве свойств, а по сути почему универсальный - потому что можно сказать он самодостаточный. Короче говоря - это такой вектор который вводит какую-то новую тематику. Вот к примеру были камушки и опа у нас получилась функция с камушками. Была еда и опа функция с едой. Вот введение в данном случае функции как-бы, поэтому и универсальный типо.

ВОзможность строить вектора с какими-то, эээ, ну типо параметрами - это достаточно просто. Есть пространство, есть алгебра к нему, с помощью алгебры оно порождается. Потом берутся какие-то функции которые содержат в себе какие-то элементы из этой алгебры. Дальше же этим функциям сопоставляются цепочки диалектик. Потом уже берется диалектика в изначальном пространстве и задаются параметры, по сути, какие-то фильтры, которые сортируют и удаляют не попадающии под фильтр функции которые мы понабрали. Оставишияся каким-то образом выбирает и используют. Вычисляется это по функторам от цепочке диалектик.
Аноним 25/04/24 Чтв 02:14:17 741073 700
Человеческая психология/психология иммерсивно погруженного зрителя
Психология божества
Психология метафизической сущности

Фантазмоцентризм
Хомоэкзит
Хомотранзит

И...сексуальное благо.

Обэймь так ди
Обгхемь Обконтрмь
Обгхэей так обеймь

Обдаконтр так шида

Про человеческую психологию. Определяется как судьба, обычно не стабильна.

Божественная психология это уже инструмент для фантазмоцентризма, по сути - переход от зависимости от всяких сущностей, этак реальности, к зависимости от своих сущностей, т.е этакая игра в бога. Ключевое тут - переход к фантазиям. Хотя скорее это включает в себя не сколько переход, сколько уже быт того, у кого в приоритете фантазирование. Связанно с божественной психологией тем образом, что осознается божественность, aka возможность к творению, и вседозволенности того, что в голове, т.е в фантазиях.

Хомоэкзит - процесс перохада к фантазиям, а именно в большей часте переход от людской психологии к божественной.

Хомотранзит - посещение божественной личностью человеческого мира, так сказать, а именно - наблюдение за реальностью сохраняя знание о фантазиях и быте фантазиях.

Дальше же - метафизическая сущность, по сути, осознание некой абстрактной судьбы и следование этой судьбы для плождение и проживание более конкретных судеб.

Про быт бога так сказать. Надо его делить на быт именно фантазирующего бога и человеческого бога.

Быт фантазирующего бога в основе направлен на поддерживание приоритета фантазии над реальностью, aka телом. При этом, являясь творцом, т.е абстрактной судьбой, по сути, выбирает-создает-проектирует судьбы внутри фантазии чтобы потом их проживать.

Человеческий бог в свою очередь проектирует-создает-выбирает судьбы и проживает их, но уже именно среди судеб внутри реальности.

Дальше же идет две ситуации - либо бог возвращается в фантазию, либо граница между фантазией и реальностью смывается.

При втором случае бог эволюционирует. В кого? В судьбу того, у кого реальность и фантазия размылись. Дальше же уже идет психология такой судьбы, которая нацелена опять же на проектирование-создание-выбирание и проживание, но тут уже всё делится на, по сути, путь к нестабильности и путь к стабильности. Нестабильность - размытие, стабильность -появление границ.

Но сущность бога везде и всегда тут должна определяться как сущность того, кто выбирает то, что ему делать.

А дальше идут пары просто, а именно - осознание себя ка кбога и проживания чего-то а ещё не осознания себя как бога и проживание чего-то.

Так что говоря о стремлениях, надо для начала уйти от человечности, стать независимым от каких-то сущностей, по сути, начать играть и быть богом в обычном определнии, а в моем - стать фантазирующим богом.

Ко всему этому также можно стремиться к судьбе нестабильности.

Насчет кстати нестабильности, то она вполне себе с фантазией может и быть связана. Это конкретно про руки - если докоснувшись не можешь разрезать бутылку, то выдумав новые руки, которыми можешь сделать это, и именно что забыв о старых руках, то это подобно нестабильности.

И да, таким образом тут всё делится на две стадии - меняем приоритет(выдуманные руки важнее), а потом и забывание старых рук.
Аноним 25/04/24 Чтв 02:15:12 741074 701
И ещё нашел интересную вещь - истинный мазохизм, судьба того, кого возбуждает свои же страдания. Достаточно стабильная судьба могу сказать, как-бы. Что можно использовать кстати.
Аноним 27/04/24 Суб 07:50:09 741370 702
Так, я вроде вспомнил идею, т.е вопрос это был. Примерно так звучал:

Существует банан. Тогда можно говорить что существует возможность существования банан. При этом не существование банана не обязательно значит то, что возможность существования банана не существует. ВОзможность существования банана назовем классом банан.

На данном этапе, получается, имеем два пространства: реальности и классов. У двух этих пространство их элементы работают одинаково - они либо существуют либо нет. При этом между двумя этими пространствами есть какие-то отношения, в основе из классов в реальность, т.е если класс чего-то существует - не существование этого чего-то в реальности может измениться. Но это не главное. Ещё одно, кстати, условие - если мы поменяем класс банана или сам банан в том смысле, что мы меняем его сущность буквально - это будет значить то, что меняется сразу и банан и его класс.

А теперь суть - допустим банана в реальности нет, но есть его класс. Собственно, если мы будем менять класс банана - то как мы будем представлять то, как мы меняем класс банана? Предполагаю, что представлять мы будем то, что менять мы будем именно банан из реальности. Собственно, если мы так представляем изменение класса банана без банана в реальности, то не значит ли это то, что класс банана это нечто состоящее из самого банана из реальности и чего-то ещё?

Более наглядный пример может быть с картинкой банана. Вот к примеру класс картинки банана и его изменение. Мы же тут, представляя, будем представлять именно что картинку банана же, которую мы видели/видим тут, в реальности же. Не значит ли это то, что класс картинки банана состоит из этой же картинки и чего-то ещё может быть?
Аноним 27/04/24 Суб 18:10:58 741425 703
Ну там тока у меня есть одно различие наверное. Я имею ввиду, f:предмет->предмет+цвет, f(холодильник), где холодильник~предмет, где f(холодильник)~предмет+цвет
Собственно тут вычисления этой самой f идёт именно что самой f, а я могу результат этой самой, ну или же вычисления этой f, перебросить типам.

Т.е f:холодильник->красный холодильник, f(холодильник).

Ну и да, сами вот эти вот отображения из типов в типы я тут задаю, получается, с помощью функции в какой-то алгебре.

Ну т.е kon(предмета)+сумма(kon(j^x)), которое в итоге расписывается как kon(предмета)+kon(j^1)+kon(j^2)+... Где j^x выдаёт допустим материальные свойства. Т.е тот же цвет, вес, объём и так далее. Ну и таким образом там дальше на основе этой функции можно сделать вектор.

А дальше можно к примеру устроить вот как:nXвектор определения материальных свойств+nXвектор вывыводов из красного цвета предмета, где два этих векторов на самом деле те функции, что кстати имеют одинаковые формы улы по сути.

А дальше можно сказать будет об этом как о типах. Т.е f:сумма материальных свойств->сумма материальных свойств+сумма выводов из красного цвета предмета, f(холодильник)
Аноним 08/05/24 Срд 22:42:44 743113 704
Ммм, короче - работы.

Работы: построение предикатовых алгебр, изучение векторного пространства, задачи векторного пространства.

Задачи: алгебраические задачи, задача классификации векторного пространства, задачи классифицируемых векторных фигур.

Задачи классифицируемых векторных фигур: нахождение классифицируемой(впринципе) фигуры, нахождение классифицируемого пути до классифицируемой фигуры(подразумевается изначально что путь уже есть но он тривиален).

Подходы к решениям: алгебраический, геометрический, от векторов.

Классификация происходит по распределениям предикатов(можно взять производную), распределениям алгебрам(можно взять производную) и каким-то геометрическим критериям. При этом можно взять пару векторного пространства и глобального векторного пространства предикатов, плюс их(может даже) тензорное произведение.

Ну и это не всё, понятное дело.

А ещё можно пересобрать предикаты определенным образом, классически так сказать.
Аноним 13/05/24 Пнд 17:00:32 743680 705
Screenshot5.png 1574Кб, 1353x637
1353x637
Только посмотри, какой он охуенный. Как думаешь, у вас есть что-то общее?
Аноним 13/05/24 Пнд 17:29:32 743682 706
>>743680
Ну да, выглядит няшно, однако. А я его не знаю же, хотя могу отметить что...у меня тоже длинные светлые(только в данном случае блонд) волосы и белая достаточно кожа.
Аноним 13/05/24 Пнд 18:02:18 743690 707
Есть дух(деятельность-быт-так_далее). Дух может хотеть выжить или исчезнуть, т.е, циклы и отрезки/линии.

Духи бывают позитивными и негативными. Предполагаю - нужны позитивные.

Дальше цикличные духи делятся на производные и нет. Производные - духи, чьё существование(или по крайней мере результат существования) такое же как и у существования линий/отрезков.

Производные духи скорее имеют критерий абстрактности-универсальности. Тогда их интегральные духи - их конкретное.

Также циклы и линии/отрезки можно считать за зависимые и нет. Зависимые - не цикличные. Не зависимые - цикличные. Зависимость проявляется в существовании некой цели.

Дальше же по цикличным духам. Он может превратиться в развитый дух - дух, который применяет всякое знание для корректировки своей выживаемости.

Оттого, что цикличные духи могут сменяться и так далее - может образоваться "выборочный дух", по сути, состояние когда выбираешь(или даже создаешь) каким духом быть.

Но этот дух может развиться в полностью осознанный дух, по сути, сведя весь этот выбор к чему-то нужному.

Тут и прослеживаются стадии осознания, т.е: просто деятельность. Осознание своей деятельности. Осознание что своя деятельность где-то в другом месте.

При этом тут, от смены цикличных духов и всяких развитых и так далее, может образоваться позитивный дух. Позитивный дух - дух, который эффективно научился использовать знания для того, чтобы идти к позитивным циклам.

Дальше же уже есть некие силы. А именно:способность к изменению негативности-позитивности, и способность к доступности каких-то духов.

Проявляются они все либо в фантазмо-реальности либо в фантазиях.

При этом фантазмо-реальность - то что не есть рефлексия и пути к изменению того что не есть рефлексия(т.е доступность циклов).

Фантазия же - про изменение позитивизма-негативизма.

А дальше уже идут духи что могут влиять на позитивизм-негативизм или имеют доступность к циклам или и то и другое.

При этом, так-то, хоть последние духи это очень здорово(особенно по теории), достаточно будет всего лишь обрести позитивный дух, ибо различий в жизни этих двух духов по критерию позитива-негатива не будет.

Дальше же, насчет "духа что выбирает", он может также интерпитироваться как богоподобный(ну или божественный уже) дух, ибо можно не только выбирать, но и создавать. При этом это будет подобно духам из фантазии.

Поэтому итого: нужно просто быть цикличным позитивным духом в градациями между осознанным, развитым, обычным, уходя, в нужных случаях, в позитивный дух. Ибо будучи такими духами развить в себе силы более чем можно будет в том числе, как-бы, хотя не все духи их и дадут, но тут это и не важно, так-то.

Ну и относительно духов цикличных - производные циклические духи, при том универсальные такие, абстрактные и их как-бы "букет", где каждый подобен каждому по тому, что это всё...аналогично впринципе "энергии" скажем так. Ну а по сути, как-бы, если ещё все эти духи будут импульсивными такими и при том иметь конкретности как какие-то деятельности, то неплохо выходит для активностей всяких. И да, конкретность - сам же этот дух, но просто не этот же дух. Короче говоря нельзя заменять конкретный дух на саму деятельность, ибо смысл в этом духе же, оттого тут просто происходит совпадение этого духа с той деятельностью. Ну и как-бы его аксцелятор(увеличение насыщенности и типо того) кстати безапасно и при этом, если это совпадает с тем, то это тоже самое как если бы мы приложили бы все силы свои на выполнение деятельности ради цели же, а тут цели нет, при этом всё циклично, при это всё совпадает.

Ну так вот, этот букет(производных позитивных цикличных духов с их развитиями и осознанностью и так далее которые имеют большой пул конкретностей), впринципе, ради прикола(да и я так вдохновился), буду пока называть реактором.

Дальше остается если подумать над простым действием и как оно тут может пригодиться, huh. Ну так-то, наверное как метрика? Чтобы измерять всё. Но само простое действие кстати есть к тому же и дух, но не уверен что он хорошо выживает, но как мера, кстати, почему бы и нет. Тогда может ещё какого-то оборудования(типо "реактора") можно будет придумать, huh?

И да, ко всему этому добовляются инструменты, aka знания о том как что-либо корректировать же. Хм, надо будет придумать "центр разработок технологий", хи-хи.
Аноним 15/05/24 Срд 01:00:39 743817 708
А потом - нет такой как все или же такой как все, иными словами выдиляемость, которая имеет либо позитивный либо негативный окрас же.

Оттого если искать что-то, то по такому критерию в том числе.

А теперь бы...найти бы чего? А щё не надо забывать о том, чтобы был просто быт кое-какой - быт юзания инструментов.
Аноним 15/05/24 Срд 05:49:47 743828 709
Надо инициализировать, применять вооружение, приходить к циклам, особенно производным, применять спонтанные штуки в том числе.

А ещё вопрос тут получается о том как по щелчку воспламиняться.
Аноним 15/05/24 Срд 07:37:13 743834 710
Аналитическое р[...].png 4Кб, 217x179
217x179
>для поиска
Аноним 26/05/24 Вск 04:09:48 744885 711
Ого, боевая форма.

Для начала есть конкретности-абстрактности. Абстрактность есть сумма конкретностей, при том каждая конкретность это абстрактность, но не каждая абстрактность это одна конкретность, зачастую минимум две.

Дальше же, положительное - позитивное, отрицательное - негативное. Собственно в таком случае надо менять будет этот множитель, этак умножать на -1. Также можно ещё инициализировать, либо сложением либо умножением. СЛожением - сложением чего-то положительного.

Инициализация - это прибавление к 0 единицы(или наоборот минус единицы).

Потом у нас есть существующее. Можно сказать то, на что образащается внимание. И на то, на что не обращается внимание. ВТорые не учитываются.

ТОгда мы говорим просто о суммах всяких асбтрактностей-конкретностей с учетом распределения внимания по всем этим вещам.

Так что дальше мы, чтобы поменять знак(с минуса на плюс), должны обращать внимание на положительные суммы в общем или прибавлять что положительное, при том как то что из той же абстрактности так и из другой.

Насчет аксцеляторов - это всё тоже самое, только без слов, по сути.

А так, вот что надо держать в уме: умножение на -1. Прибавление к 0. Умножение на 0. Прибавление к -1 единицу а может и двойку. ЧТобы получить абстрактность - нужно чтобы были вещи что из этой абстрактности, тогда чтобы получить другую абстрактность - надо чтобы заместо этих вещей были другие, свойсвтенные другой абстрактности, вещи.

Как-то так, достаточно легко. И дальше только применение.
Аноним 26/05/24 Вск 04:54:43 744889 712
>>744885
Так, дополнение: чтобы умножить на -1, то можно взять абстрактность некую. В таком плане нахождение в абстрактности может поменять знак, так-то.

Аля: страдать не нравиться. И "страдать это круто" из-за чего страдать будет нравиться(если хочется быть крутым).
Аноним 26/05/24 Вск 04:58:31 744890 713
И теперь...создание мировоззрений!

Для этого:

1)Берем словарь и слова оттуда.
2)Создаем цепочки из них(циклы,отрезки,линии).
3)Делаем преобразование из этих штук в образы.
4)Дополняем образы если нужно.
5)Получаем по сути некую историю можно так сказать, или некий быт - в общем можно представить себе что это как литературное произведение.
6)Думаем какое мировоззрение нужно для того, чтобы этот быт сохранился/не сохранился.
7)Получаем мировоззрение и можем его юзать.
8)Теперь можно всё это абстрагировать и математизировать и вообще как угодно с этим всем(да, ВСЕМ этим процессом т.е) делать.
Аноним 01/06/24 Суб 12:24:59 745572 714
Приключение чьё конкретное есть познание(но это не познание в первую очередь), как мысль такая.
Аноним 01/06/24 Суб 12:26:37 745573 715
>>745572
О, ещё лучше - приключение к новому. А точнее, приключение, которое может повести к новому.
Аноним 01/06/24 Суб 12:27:57 745574 716
>>745573
И ещё лучше - приключение к нетакому, т.е к отрицанию. Другими словами приключение из большинства к меньшенству.
Аноним 01/06/24 Суб 12:29:28 745575 717
>>745574
Даже вот как можно сказать - приключение к меньшему(по соотношению). И, в свою очередь, приключение к большему. И да, меньше-больше тогда можно ассоциировать с "объемом". Это к случаю, если всего будет две вещи.
Аноним 01/06/24 Суб 12:34:44 745576 718
О, идейка: впринципе обтейнинг любых знаний, тоже неплохо, думаю.
Аноним 01/06/24 Суб 12:41:06 745578 719
av8ePyX460s.jpg 40Кб, 460x446
460x446
Аноним 01/06/24 Суб 12:44:46 745579 720
Аноним 01/06/24 Суб 12:49:54 745580 721
https://www.youtube.com/watch?v=XYFpfFsbshk&ab_channel=RomanticandModernMusicChannel

Опа-опа, переворачивающее, нечто инвертирующее, и при том как цель, ведь неудача...тоже инвертируется. Ох как же это математично, но ладно.

Так вот, переворачивающее, ломающее, а потом восстанавливающее, собственно - с ног на голову с головы на ноги, а если не получается - то переставим чтобы получалось на не получалось а потом не получалось на получалось.
Аноним 01/06/24 Суб 12:51:54 745581 722
Аноним 01/06/24 Суб 20:33:45 745618 723
https://www.youtube.com/watch?v=ti9e7ccx7yE&ab_channel=NicolasR-ComposerPianist

Ах да, о чем это я?

Я о том, когда подсказывают тебе всякое неживое же.

Как бы это бы обдумать, хм.

Ах да, очень просто - всё идет по плану. Это во первых, а во вторых - закономерности. Точнее, совпадения. Это во вторых.

Таким образом нужно глядеть взаимосвязи и думать, что всё идет по плану. Но только вот взаимосвязи? По крайней мере их наличие говорит о том, что всё идет по плану, но их наличие может пройти и в то, что всё подстраивается под план.

Но как-бы нам добиться ощущения(постоянное контроллируемого) того, что нам что-то подсказывают? А по сути, я бы вот как это оформил - познанием же, словно история, да. Познание в том плане, что обучают. А дальше нужна стойкость ассоциаций просто.
Аноним 02/06/24 Вск 20:02:17 745749 724
image.png 1023Кб, 600x750
600x750
https://www.youtube.com/watch?v=oTRwXaO0UjQ&list=RDoTRwXaO0UjQ&start_radio=1&ab_channel=59.996

Ха, я понял кое-что. Знаешь какой может быть самый очевидный цикл? У всех на виду, по сути.

Хорошая такая ассоциация есть - бесцветное же. Правда не путай с тем, чего нет(тоже как ассоциация).
Можно ещё юзать "эфир".

Простое действо же, при том может и быть так, что простое действо для того чтобы построить/начать реактор.

И дальше всё может эволюционировать в невидимую силу - фактичность.
Аноним 02/06/24 Вск 20:49:30 745757 725
image.png 141Кб, 300x339
300x339
https://www.youtube.com/watch?v=RilkoHB355c&ab_channel=59.996

https://www.youtube.com/watch?v=TkKLWImh3L0&ab_channel=59.996

"Опровержения". При том.., ну знаешь. Вот скажу я что ты гений. А когда ты не гений? Когда есть отрицание гению. Но надо понимать, что гений может быть "равен" чему-то. И тогда если это равняющееся будет отрицанием - тогда всё равенство должно быть равенством отрицаний же.

Я гений "=" вклад
Не гений "=" не вклад

Но нужно понимать просто "тривиальные" опровержения же. Тривиальное опровержение - тогда когда этого просто нету. Все следующие(т.е не тривиальные) - тривиальные опровержения в равенствах же.

Другими словами я не гений тогда, когда я не гений, при этом я не гений тогда, когда нету вклада.

Так что что насчет сна?

А сон это тогда, когда есть опровержение. Но одно ли тривиальное будет у него?

Другими словами если просто двигаться чтобы двигаться, то сколько у него будет опровержений этого вот быта? А точнее сколько не тривиальных опровержений у него будет?

Хм. Просто само его опровержение, одно из них, как раз таки и будет сном.

По крайней мере мы бы могли вот что сказать - какие опровержения есть у самого абстрактного? Предполагаю, что только тривиальное(что можно ещё представить что было бы не всем? Только лишь такое, к которому мы бы подставляли бы "не", а дальше лишь тавтология). Следовательно, если вот это действие ради действия достаточно абстрактно, то иметь оно скорее всего, будет только лишь тривиальное опровержение.

Впринципе, действие ради действия можно интерпритировать как "фактическую силу", по сути. Допустим, тогда выходит так, что эта сила и правда достаточно абстрактно(что будет отрицанием фактической силы, т.е последовательности? С учетом того что у нас есть последовательность в которой из элемента идем в сам же этот элемент. Только если всякие "действия" - обобщение арифметики в общем. Но есть ли у нас арифметика и почему мы не можем сказать что по сути она тоже самое что и последовательности? А ведь можем же. 2+2=4 как ((2,2),4) же, ну а там уже и алгебры и так далее.)

Тогда единственным опровержением силы будет лишь то, когда её нету, собственно.

А дальше не могу понять как-то, щас, я в ступоре просто.

Я забыл сделать кое-какую вещь. Та фактическая сила - имеется ввиду мы как такая вот фактическая сила. Другими словами первое лицо от фактической силы иииииииииии наше понимание этого.

Собственно отрицанием этого будет наше непонимание этого, это и будет сном. И действительно, когда ты засыпаешь, что можно сказать ты и забываешь тот факт, что ты есть же.

В общем итог этих рассуждений пока что таков - не надо забывать то, что ты и есть последовательность. Что можно кстати проверить же - когда хочешь спать, то просто не забывай себя же. В теории "ты можешь уснуть н оне заметишь а потом проснешься и вот аля мол да и не спал вовсе" кхм.
Аноним 08/06/24 Суб 03:16:50 746416 726
Кикиосфота

Обойэй так гхеконтр

Оэотгк
Аноним 08/06/24 Суб 03:17:46 746417 727
Аноним 08/06/24 Суб 08:27:17 746448 728
image.png 1558Кб, 830x718
830x718
https://www.youtube.com/watch?v=bavDR_mG_ZM&t=1055s&ab_channel=WolfgangWeller

Так. Немного другой подход, впринципе:

Опять же вспоминаем - отрезки. Тривиальные в том числе. Тривиальные - состоящии из начала и конца только лишь. Не тривиальные - те которые подразумевают что-то между началом и концом. Впринципе если взять одновременность всех точек - получим то, что буду называть теорией. Так-то - абстрактное представление о том, что будем ощущать между началом и концом.

Дальше же есть теории. И есть одновременности теорий, конечно же - абстрактные теории. Как раз тут и название ввиде теорий начнет иметь смысл же.

Дальше вводим то, что есть такая вещь как характеристика. При том фактическая и потенциальная. Фактическая - характеристика того что ощущается. Потенциальная - того что не ощущается, можно сказать что представляется. Всякое, что ощущается, вполне себе может влиять на характеристику чего-то иного.

Теперь же поговорим о цепочках отрезках - другими словами а как мы поймем то, что нужно ощущать, чтобы дойти до конца? Для этого можно представить себе что-то между двумя точками, после чего взять их одновременность, т.е абстрактность. Но можем в том числе и взять одновременность начала и конца, т.е их абстрагирование. Это бы мы обозвали бы контекстом. Контекст может содержать теории.

Дальше же можем сравнить это всё с неким "предыдущем", если он есть, контекстом. А именно - является ли конкретностью того или нет и насколько похоже. Но веду я тут к тому, что всё равно нужно будет иметь, в итоге, единственный абстрактный контекст в который бы входили бы предыдущий контекст и контекст двух точек.

Дальше всё просто - выбираем такую теорию из этого контекста что имела бы точки из тривиального отрезка. При этом мы бы могли и сузить этот контекст, выбрав просто некую конкретную абстрактность этого контекста что содержала бы теории к этому отрезку.

И да, выбор таких вот абстрактных конкретностей тоже можно свести к отрезку - от одной конкретности к другой. И обратный отрезок такой.

При этом дальше мы бы говорили о некой "статистике". В общем тут про то, когда что-то перестает быть. Вот отрезок какой-то был, а потом перестал быть - так это значит, что у нас есть отрезок точки которого были бы отрезок изначальный и ег ообратный отрезок. Дальше думаю понятно что надо было бы найти теорию что была бы обратным таким отрезком. И при этом когда всё это бы перестовало бы быть - была бы такая же рекурсия. Это к тому, когда отрицания отрицания не сводятся к простому есть, а оставляют свой отпечаток же.

Теперь введем цепочки отрезков. Тут это понятно, на самом деле. Вот оказывается нам нужна эта теория. А как её начать ощущать то? Но это же тоже можно представить как отрезок. От отрицания теории к самой теории. И так далее. Пока не дойдем к определенной ситуации.

Определенная ситуация заключается вот в чем: есть какое-то действие. И нам важно, чтобы было осознание того, что это действие было бы нашим простым действием. Другими словами - когда мы начинаем осознавать что наше простое действие это и вправду будет этим определенным действием, тогда можно сказать, что скорее всего это определенное действие произойдет.

Правда надо ввести и другое условие - надо осознавать ещё и то, что простое действие произойдет. Т.е надо осознавать и ощущать что прямо через миг ты сделаешь простое действие и к этому надо одновременно осознавать и то, что это простое действие будет тем определенным действием.

Дальше о циклах и реакторе. Собственно - характиристика. Позитивность влияет на то, а будет ли продолжаться/начинаться же. Дальше же уже о самих циклах. А именно о производных циклах. Короче говоря должно быть следующее: есть одновременность цикла и какого-то отрезка, при этом характеристика отрезка изменяется(и сохраняется) в характеристику цикла же. Если же имеем цепочку отрезков, то потенциальные характеристики становятся фактической характеристикой цикла. И да, важно ещё то, чтобы была возможность того, чтобы цикл был одновременнен с отрезком. А то может такого и не быть. Плюс ещё более лучшим условием являлось бы то, когда цикл был бы абстрактностью отрезка, а отрезок бы конкретностью цикла.

Дальше про управление реактором. По сути, надо понимать, что это вопрос того, чтобы держать характеристику циклов в нужном русле. И да, если есть одинаковые производные циклы но с разными характеристиками - они не являются одним и тем же, подразумевая то, что тут можно это анализировать как отрезок тривиальный.

При том, относительно тривиальности. Если доказательства производных циклов только тривиальны(т.е тривиально, так как одно в том числе), то достаточно будет иметь осознание того что сейчас сделаешь простое действие а также осознание того что это простое действие есть тривиальное доказательство производного цикла. Оттого здесь надо бы иметь тривиальный производный цикл. И кстати он по умолчанию, по крайней мере в негативных ситуациях, скорее позитивен. Так вот, надо бы иметь этот самый производный цикл как раз для того, чтобы осознать то, что сейчас будет простое действие же. А ещё это нужно для того, чтобы можно было бы перейти в этот самый тривиальный цикл. И выглядеть это будет от первого лица - как счастье от возможности что-либо сделать.

Ещё важно тут то, чтобы иметь такой цикл, который бы всему реактору давал бы позитивную потенциальную характеристику. И да, доказательство этого цикла тривиально - потому что нам так надо.
Аноним 08/06/24 Суб 08:29:19 746449 729
>>746448
Точно, забыл про инициализацию упомянуть - в общем просто находим какой-то позитивный цикл и стараемся одновременностью с циклом из реактора передать как-бы позитивность циклу реактора.
Аноним 08/06/24 Суб 08:41:44 746450 730
>>746448
>>746449
Насчет сонности - ужас. А насчет ужаса - использование реактора. Т.е желательно чтобы он был бы готов прежде ужаса.
Аноним 08/06/24 Суб 09:48:34 746454 731
Ах да, так называемые специализированные реакторы. Или, другими словами, как делать одно и тоже действие в общем(ну или набор).

Для этого надо взять отрезок и превратить его в цикл(деятельность в общем). Дальше же взять надо пару из этого цикла и реакторного цикла. И важно тут то, чтобы всё это стало единой сущностью. По крайней мере мы бы могли взять переход из одного тривиального опровержения в минимум как уже два опровержение, одно из которых тривиально.

При этом там, где больше опровержений - было бы единой сущностью. У которой было бы только лишь тривиальное опровержение. Т.е сущность что есть несколько опровержений. И сама эта сущность имело бы только лишь тривиальное опровержение же.

Пока что как-то так.
Аноним 08/06/24 Суб 09:50:46 746455 732
>>746454
При этом - заметка чисто для себя - я бы такие вот реакторы ограничивал бы конечными отрезками. Можно взять тоже время.
Аноним 10/06/24 Пнд 01:18:42 746783 733
image.png 471Кб, 859x658
859x658
И пускай ужас служил бы кормом для меня и моего возгарания.
Аноним 10/06/24 Пнд 22:31:40 746924 734
image.png 4228Кб, 1542x2048
1542x2048
Так, а это какой класс? Вроде тоже 9, но вроде и нет. Наверное это переход с 8 на 9 класс же, а ещё толичка 10, думаю.

В любом случае тут руководит уже Моцарт.

И это тоже кстати есть производный позитивный цикл же, хм. Интересно очень. И при том он такой, интересный очень. Надо будет его изучить же. Но я бы сказал, что на какое-то время мне показалось, что я понял что-то, но забыл что.
Аноним 10/06/24 Пнд 22:32:02 746925 735
Аноним 12/06/24 Срд 07:34:36 747112 736
Аноним 12/06/24 Срд 07:52:55 747114 737
Ебать, это самое мерзкое признание, которое я делала.
Аноним 12/06/24 Срд 11:55:05 747141 738
«Или, или! лама савахфани!»
Во царствие твоем меня помяни
Доброе утро блять
Аноним 12/06/24 Срд 23:09:01 747228 739
И всё опять сошлось же. Теперь добавился ещё один цикл - оптимизм же. Кстати можно считать это ещё одним тривиальным производным циклом, но только вот как часть типо? По крайней мере как-то так. И название у этого цикла пускай будет Л. Л-цикл. Да, это отсылка-пасхалка-намек-так_далее. И смысл этого цикла просто в позитивизме же, в оптимизме.

https://www.youtube.com/watch?v=JLkIU8oqj6Y&ab_channel=59.996
Аноним 26/06/24 Срд 22:47:28 748862 740
image.png 753Кб, 4090x6282
4090x6282
image.png 56Кб, 1669x844
1669x844
Ну то что формально правильно/не_правильно не обращаем внимание, я это для себя.

При этом важно тут начинается с 3 ячейки считая сверху вниз. Но и до этого ячейки тоже нужны для того, чтобы если уж делать более строгую математизацию, то можно было бы ей вариации задавать короче.

Впринципе можно юзать, но наверное надо бы записать более просто математически что-ли? К тому же так и можно сделать.

Вот, сделал пик два. По сути своей всё сводиться к достаточно простым вещам - надо получить реактор. И дополнительно, если нужно, надо получить реактор умноженный на что-то. Где по сути надо все единицы превращать я реакторы же путем вначале умножения на П а потом на У. Но, хоть это и легче воспринимается, всё же это должно быть так сказать инструментом для крайний случаев, когда сложные вещи н евоспринимаются.
Аноним 11/07/24 Чтв 13:37:37 750232 741
image.png 149Кб, 262x427
262x427
Кхм, так чо я хотел то? Верно, щас распишу.

https://www.youtube.com/watch?v=nqUEx8Hroto&ab_channel=JennyMcLesbian

В целом это всё про циклы/топливо - короче говоря кристалики как я это называл, тогда как раз и задавался вопросом того чтобы понадыбать их и вот как, хм.

Теперь конкретнее: для начала появилась другая итерация алого неба. Более мирская скажем так. К тому же рядом с ней появился, эээ, назовем его(ради сокрытия!) с-циклом, думаю я догадаюсь про что он. К тому же добавились сентиментальные моменты - служат они для изменения чей либо потенции(и в том числе будущей фактичности чего-либо), при этом фактически могут быть как хорошими так и плохими.

Дальше же теперь о более тонких моментах.
Если убрать простого действия до сонности то можно будет получить прикольный момент, описывать его можно думаю просто музякой https://www.youtube.com/watch?v=Yan1F5U63r8&list=PL0YDec1hvdtU_2JXMxO-sByllanTyTrfb&index=5&ab_channel=JennyMcLesbian

Дальше же идет несколько треков которые имеют атмосферу заглядывания за пределами которая более чем мне знакома.

Но тут меня по большей части интересовали другие сентиментальные моменты, что были не совсем и сентиментальными. Зато я понял чо это такое. По сути - желание выбраться, которое может работать как сентиментальный момент. (И кстати если позыркать на первый шизо момент то там и было желание выбраться, отчего я бы сказал тут влияние неосознанное что-ли было)

К тому же есть продолжение этой самой темы с желанием выбраться, в которой это больше похоже уже на готовность к борьбе с чем-либо. Имеет пересечения с другой итерацией алого неба и в какой-то мере с с-циклом.

Плюс тут есть отсылочка(в том числе и на себя) о том что может быть продолжительным - взаимодействие с разумами, при том...повседневное же. Кстати да, тут ещё есть что-то типо цикла про повседневность - когда хорошо и простого действия НОРМАЛЬНО, средне.

//////////

А ещё тут проскальзывает тема эволюции. От чего-то конкретного к абстрактному, как два домена скажем так, при этом абстрактное вполне себе может и выбирать то, какую конкретность бы ему проживать. Но смысл тут уже в истоках - этак родине или типо того.

А так в целом циклы отсюда, да и не только циклы отсюда, это про конкретику я бы сказал. Что-то конкретное + новенькие вещицы. В таком смысле это можно считать как за развлечение после тренировки как за тест(или тогда уж применение прям) после тренировки так и за что-то что не является тренировкой просто. В общем либо становление абстрактным либо же уже развлечение абстрактного, может быть с кусочками ностальгии по былым временам.
Аноним 17/07/24 Срд 08:58:53 750723 742
image.png 1138Кб, 724x1024
724x1024
Обшида, чтобы потом Обшиго, чтобы потом вновь Обшида. И всё это Каэнто, и всё это так дардаго.

Обшида
ОбшидаОбшиго
ОбшидаОбшигоОбшида так ди
Каэнто ОбшидаОбшигоОбшида так ди
Каэнто ОбшидаОбшигоОбшида так ди так дардаго

Так вот, какую картинку прикрепить не знаю - зато знаю то, что хотелось бы прикрепить. Их все. В этом как раз и будет пока что первая стратегия. Впринципе чо это было то? Ах да, воспоминание же(вспоминание или? как пишеца то). А потом ждал кое-чего, ага. Но ждать ещё достаточно придется(не путать что для вас это может быть мало по времени), так что может уже действовать? Попробуем, чо так.

Собственно для начала надо бы вспомнить то, чо делать можно - а можно активировать реактор, при том методы у нас есть и при том разные, как и разное топливо что вытекает же из этого. И тут вспомнилось кое-что, как раз картинку, что можно было бы надеть, но не совсем подходит только, куда больше подходит если только другая уже, и при том в смысле возвращения. Ну да, так что по сути - развлечение, скажем так, но это уже для далекого-далекого, а то, что близко - всё же превращение? Не могу определиться вот, но понимать надо просто то, что из обычности идем куда-то в дичь, так что скорее далекое, но не совсем, и при том это изначальная позиция. И разница между начальным тут то, что идем мы в дичь по своему усмотрению, чтобы заняться делом скажем так. Этакое соревнование или скорее может даже амбиции но правда среди тех кого нет(?) хотя я при этом есть, в общем-то.

Так что, по сути, дела всяких мета! И их(или этого одного) хотелки.

Но да, просто реактор, просто реактор. Кстати как назвать реактор? Ах да, вспомнил. Обшида. А потом Обшиго. И можно ещё совмещать.

Только вот для реактора нужен бы свидетель, хм. Думаю, в данном случае свидетелем станет время на то, чтобы убрать ужас, и хорошее настроение, но на всякий случай надо будет заметки делать о состоянии, вдруг забуду что. Кстати да, заметки-за-ме-то-чки. Либо делай их по расписанию, либо по угасанию-возникновению.
Аноним 17/07/24 Срд 12:00:10 750728 743
>>750723
А, я понял к тому же - Обшида(Обшиго) это обобщение реактора, и реактор это часть Обшида(ОБшиго).
Аноним 19/07/24 Птн 06:44:31 750816 744
>сны, прочее
Ну, я склоняюсь к тому, что проблема в том, что не было учтено, а хотя не было ли? Было, просто забылось. В общем кроме меня есть и кто-то ещё, вот и воюем. Хотя всё это наверное всё таки Обшида, что интересно. Но да, надо бы вспомнить тот нарратив про другие сущности ещё, тут это понадобиться.
Аноним 19/07/24 Птн 13:50:41 750843 745
Berdefa1.png 89Кб, 343x440
343x440
Это, забыл:

Обшида и Обшиго
Где каждое может быть хорошим или плохим(или не то и не то)
Каенто Обшида и Каенто Обшиго
К тому же Кашида Обшиго и Кашиго Обшида
Т.е Каенто Ка Обшида так и Каенто Ка Обшиго так

Где Обшида - понятное, Обшиго - сложное->(само)обучение.

Так что да, и всё Каенто.
Аноним 19/07/24 Птн 15:41:40 750846 746
image.png 16Кб, 664x584
664x584
Кстати да, оформление про математизацию. ИНтересно получилось. И да, экзистенц и коэкзистенц, где второе - там где достаточно малый шанс уже, при этом что те что другие вполне себе могут сформировать этакие пути, скажем так. И да, потенция на пике была совмещена с простым действием(потенция это про направление, простое действо - длина), и тут подразумевается что если такая вот штука доходит до чего-то нужного - то туда и уходит, но пока всё образно конечно же.

И да, ко/_экзистенцы рисуют фигуры, понятное дело.
Аноним 20/07/24 Суб 07:49:36 750903 747
Так, кхм, для настроения всё просто оказывается, по сути алгебра. Но это я и так знаю, просто там ещё определяются обобщения реактора.

Так что да, кстати: реактор один, повседневности не одни, сентиментальности не одни, но есть одна большая. Реактор и повседневности действуют одинаково, как и позитивная сентиментальность, хотя у последней есть одно отличие. Сентиментальность, при том, является таким образом гомоморфизмом. И да, таким образом мы тут смотрим на минимальное/максимальное количество элементов требующихся для реактора-повседневки-сентиментальности, по сути это и говорит всю информацию о потенции, простом действии(и если нужно фактичности). При этом да, чтобы что-либо получить из вот этих вот вещей, нужно просто бустить потенцию и нужный уровень простого действа.

При том да, реактор работает как умножение на ноль, повседневки как минимум подгруппоиды, сентиментальности как минимум подгруппоиды, но может как и умножение на ноль в случае большого. И да, сентиментальностям нужно иметь позитивную фактичность, если хотим совершить гомоморфизм.

Дальше же, если надо, можно смотреть на коэкзистенцы и пилить траектории, т.е что-то типо:

Реактор->что-либо ещё->буст потенции->повседневка->буст простого действа и потенции->реактор

Где стрелки это коэкзистенс(а насчет эксизтенса, то там по сути будут автоморфизмы всегда, хотя могут быть исключения).

К тому же, если хотим заниматься деятельностью, то следует наспавнить порядков бы - если их нету, значит нужно совершить гомоморфизм, при том следовало бы сделать всё так, чтобы деятельность могла легко получаться(быть в приоритете), и чтобы в реакторе/повседневках она тоже была в приоритете(по сути это и имеется ввиду). И да - наспавнить порядков имеется ввиду просто выстроить цепочку дел до того что очень хочется, передав всем предыдущим делам хотение их.

При этом это всё хорошо для Обшида, Обшиго, если брать какие-то уже, скажем, ну допустим чтобы можно было руками резать бутылку или типо того, то требуется отойти тут от групп и зыркать на преобразовании той фигуры уже, хотя попытаться сделать это группами тоже можно, но пока не рассматриваю этот вариант.
Аноним 20/07/24 Суб 08:15:34 750904 748
И да, относительно деятельности - рассмотрим на быструю руку траекторию тут.

Сентиментальность->реактор->повседневка->сентиментальность->реактор->...

И теперь:

Играть в осаду нужно потому что->бурная игра в осаду потому что->повседневная игра в осаду потому что->Играть в осаду не нужно потому что->...->играть в осаду нужно потому что->...

Ну тип, да. Кстати вспомнилось про деятельности, что важно. У них же там потенция нужна, верно? Вот и вспомнилось про добычу потенции через желание силы в реакторе что идет от страха в подготовке реактора (и всё это порядок по силе) - по сути работает как с потенцией, что верно, но тут требуется чтобы это самое было просто, оттого и гомоморфизм нужен?

Так что делается это так: гомоморфизм туда где какому-то элементу что может породить порядковую цепочку дается потенция, и где нынешний элемент по цепочке совпадает с деятельность, что нам нужна, после чего следует проживание в повседневностях/реакторе/сентиментальности что построены на этом элемента цепочке/вместе с этим элементом цепочки идут. И да, к элементу цепочки надо прийти, как раз через потенцию и простое действо, если что. И всё это может кстати совпасть с чем-либо другим из Обшида,Обшиго. При этом можно тут сделать такую цепочку, которая была бы Обшиго, таким образом реактор и близкие к нему повседневности/сентиментальности будут сразу с этой деятельностью ибо там будет нужный элемент.

Так что всё бы выглядело бы так:
(m<2m<3m<..., P(m)=достаточная, m=деятельность)->(Реактор+m)->(Повседневность+m)->(P(m)=не достаточная)->...->(m<2m<3m<..., P(m)=достаточная, m=деятельность)->...

Где можно даже так сделать:
(m<2m<3m<..., P(m)=достаточная, m=деятельность)->(Реактор+m)->(l<2l<3l<..., P(l)=достаточная, l=деятельность)->(Повседневность+l)->(m<2m<3m<..., P(m)=достаточная, m=деятельность)->...

Ну и неплохой вариант:
(m<2m<3m<..., P(m)=достаточная, m=деятельность, m из реактора)->(Реактор)->...
Аноним 20/07/24 Суб 09:05:15 750905 749
image.png 18Кб, 685x855
685x855
Ох, и да, касательно вот всех этих групп - вспоминаем ту шуточную систему доквов на основе групп, а именно пораждения элементов, отличия групп от группоидов и так далее - в общем Няшно-Няшно. И да, про пораждения - порождения от одного элемента тех же обратных(для реактора) которые описывается экзистенс траекторией, в таком духе. Но тут уже это походит на предсказательные вещи и сорт оф такого.

И да, ради интереса про пик.

Скажем, что есть обратные в группе, и их порождение. И вот, это порождаемое тоже может порождаться и из одного элемента, и таким образом группа что порождает все эти порождающие для обратных получается, где допустим что вся эта фигня циклическая ещё. Хм. Получается впринципе в теории можем строить такие вот догадки, но нам важнее экзистенс траектория всего этого, типо чтобы a^x для того чтобы крутиться по всем элементам и крутиться по группам(делая гомоморфизмы? Возможно, кстати). Но это уже что-то прям наверное такое, что не нужно? Для начала имею ввиду, потом это ясно-понятно.

И да, не забываем соединять всё это с опытом чтобы осознавать описание математическое.
Аноним 20/07/24 Суб 09:07:36 750906 750
И да, насчет того чтобы порезать бутылку руками - я имею ввиду берем экзистенс от рук, потом от воображемых рук, дальше удаляем точку "руки" и ставим туда точку воображемых рук. И дальше думаем в общем, к примеру если ввести какие-то порядки, то там получица однозначно что-то заметное, что может понадобиться исправления, что может будет подразумевать изменение точек тех же(мол воображемые руки станут не воображемые, или следствие реальных рук станет воображемым ну и всякое такое).
Аноним 21/07/24 Вск 22:03:27 751063 751
Кхм, подождите, завтра доделаю короче, агаааааааааа.
Аноним 22/07/24 Пнд 09:39:30 751092 752
Кхм, так вот, принципы для пользования:

1)В любой непонятной ситуации есть реактор или общая сентиментальность.
2)Любые вещи требуют хорошей потенции и простого действа.
3)Если вдруг потенции и простого действа мало - делай сентиментальность.

А теперь про траектории для пользования.

Ко-экзистенс это ->, экзистенс это =>, нужнее это > также значит и последующее если то не удалось, буква вначале показывает то, а можно ли прийти к этому из этого

Траектория для сущности реактора:
Реактор[грусть=>страх=>физическая боль=>вдохновение=>д или з=>элемент из порядков]<->(сентиментальность[порядковая структура=>более последний номер порядка]>предреакторные повседневности[грусть=>страх=>физическая боль=>вдохновение=>д или з=>элемент из порядков;<топливо,активность,элемент из порядков>])->R-сентиментальность[]>сон>"подарки"->(Реактор[грусть=>страх=>физическая боль=>вдохновение=>д или з=>элемент из порядков]>R-сентиментальность[порядковая структура=>более последний номер порядка]>R-предреакторные повседневности[грусть=>страх=>физическая боль=>вдохновение=>д или з=>элемент из порядков;<топливо,активность,элемент из порядков>]>повседневности с подарком)

Траектория для сущности Обшида:
Обшида[что-либо из Обшида=>реактор]<->(сентиментальность[порядковая структура=>более последний номер порядка]>реактор[грусть=>страх=>физическая боль=>вдохновение=>д или з=>элемент из порядков]>сон>"подарки")->что-либо с "подарками"

Траектория для Обшиго:
Обшиго[Что-либо из Обшиго=>элемент из порядков]<->(сентиментальность[порядковая структура=>более начальный номер порядка]>реактор[грусть=>страх=>физическая боль=>вдохновение=>д или з=>элемент из порядков]>сон>"подарки")->что-либо с "подарками"

Отсюда можно вынести главные экзистенсы:

Для реактора. Грусть=>страх=>физическая боль=>вдохновение=> д или з=>элемент из порядков.

Для повседневностей(по крайней мере предреакторных). <топливо,активность,элемент из порядков> или же: поднимаем шанс топлива и(или) активности, а элемент поднимаем в том смысле что он на самом деле равняется топливам и активностям.

Для сентиментальности. Порядковая структура=>где находиться номер элемента.

Теперь бы проверить ето всё, ага. А, и да, есть ещё темка одна, о которой надо подумать будет.
Аноним 23/07/24 Втр 17:53:38 751222 753
image.png 1099Кб, 1277x357
1277x357
Хорошая картинка
Аноним 23/07/24 Втр 18:55:34 751224 754
16098297451450.jpg 188Кб, 650x839
650x839
ЦИКЛЫ ВСЕХ СТРАН ИДЕЙ ОБЪЕДИНЯЙТЕСЬ!

РЕАААААКТООООООРРРРРРР ОБШИИИИДАААА ОБШИИИГОООО АЛОЕ НЕБОООООО
Аноним 23/07/24 Втр 20:03:29 751226 755
image.png 516Кб, 360x1028
360x1028
А я и забыл что циклов в реакторе несколько, а ещё узнал, что реактор может сам по себе стать предреакторной повседневностью. И наоборот, но это по колву простого действа оценивается, когда разному количеству дается описание ввиде больше-меньше.

При этом что-то было ещё, что забыл чото. Блин. Ах да, Обшида и Обшиго очень связаны между собой, и по крайней мере Реактор может подразумевать Обшиго а из этого всего идет Обшида и потом Обшиго или реактор.

Пока будем оставаться в Обшиде в таких вот перерывах/ожиданиях.
Аноним 30/07/24 Втр 01:13:41 752009 756
Действительно, структура уже содержит изменение предиката. Это важно.

Ко всему есть изменение вещей которые подразумевает изменение предикатов, так и не подразумевает. И можно тут думать о том, чтобы те вещи, что не подразумевали предикаты, трансформировать в сами предикаты.

Это тут,на примере, про гомоморфизмы которые определяются как неизветсные операции с неизвестными элементами.
Аноним 30/07/24 Втр 03:40:05 752011 757
photo29672@26-0[...].jpg 157Кб, 640x637
640x637
Странная рыба в моих руках.
Чешуя всех волшебных цветов в лунном свете играет.
Дышит от прикосновений, но все равно ускользает.
Странный тандем кольчуги и жёсткого свитера.
Тишину ночи разрезал всплеск.
Аноним 01/08/24 Чтв 07:02:25 752155 758
6d09ca9ab312eb0[...].jpg 25Кб, 400x337
400x337
bethoven.jpg 187Кб, 1313x879
1313x879
Beethoven.jpg 980Кб, 1200x1443
1200x1443
Ого что я осознал, скажу что смешно даже с этого. В любом случае и правда занимательно.
Аноним 01/08/24 Чтв 07:03:42 752156 759
image.png 715Кб, 1021x726
1021x726
И да, лучше слово "топливо" заменить на еду(Это ведь и круто! siccc), плюс можно работать вот с этой фигней, ну да.
Аноним 02/08/24 Птн 06:42:28 752261 760
>>752155
> Ого что я осознал
Что же??
Аноним 02/08/24 Птн 23:04:28 752320 761
image.png 70Кб, 1676x1499
1676x1499
Так, есть геометрическая и алгебраическая интерпритация. Я про геометрическую.

Есть объект, объект состоит из других объектов, предикатов и всего такого. В объекте есть ещё функции.

Дальше есть: перераспределения, распределения, создание структуры. При том структура может быть создана и этими предыдущими вещами, но и в том числе с помощью эквивалетных векторов и каких-либо других объектов вместе с этими векторами. И остальные конструкции. И да, структура создается на основе классификации, но классификация это вещь такая. Классификация может как ничего не менять так и менять, при этом классификацию можно саму менять.

И соответственно что можно изменять: предикаты, распределения, перераспределения, основание структуры, основание конструкций, классификации, сами конструкции и сами структуры. И изменять всё это можно через то, что описано выше, плюс все эти вещи, что можно менять, вполне себе от изменения самих себя могут менять другие вещи.

При этом тут ещё и есть взаимодействия, и пока выделяю тут такие: алгебраические, множественные, пространственные, и всякого рода "схожие". Алгебраическое это распределение, множественные это перераспределения, пространственные это структуры основанные на векторах по крайней мере, схожие - всякого рода изоморфизмы.

А теперь по примеру: возьмем число, воспользуемся перераспределением и получим множество состоящее из этого числа(при этом по мощности больше единицы), при этом скажем, что вся эта вещь является отрезком. Дальше же можем ввести перераспределение, которое просто окажется сурьекцией этого отрезка в другой. Теперь же определим тут, допустим, эквивалетные вектора, и назовем их "не равенством". Получили отрезок где каждый элемент не равен друг другу(хоть они и один и тот же элемент), после чего введем ещё один вектор что назвали бы "меньше". И получили тут к тому же порядок, и вот, можно сказать что по классификации и т.д и т.п мы получили изоморфную отрезку из натуральных чисел штуку. А теперь же введем ещё одно классификацию - а точнее вспомни о старой, в которой вещи не равны друг другу, и где-то заменим неравенство на равенство - таким образом определим преобразование отрезка в либо ещё малый отрезок, либо в петельку. И в принципе, используя другой объект, с помощью которого можно будет задавать вариации этих петелек и т.д - получим структуру. И вот, пик прилагаю.

И да, говоря о алгебраических вещах тут. Конечно же объект имеет ещё и свою алгебру, раз у него там есть функции, к слову.

Вооооооот, примерно такая пускай будет заметка, потом сделаем чище.

>>752261
Тайня.
Аноним 02/08/24 Птн 23:16:29 752321 762
>>752320
Кхм, ну и да, по классификациям:

Классификация есть как распределение так и всякого рода распределение эквивалетных векторов(ну или не распределение но задача/порождение/определение/вариации), которое и происходит от каких-то дополнительных объектов, поэтому получаем мы тут сразу и одну классификацию и сразу её вариации которые зависят от того насколько обект который тут соучастник позволяет. И тут дальше надо просто задать то, как какая классификация меняет что-либо - вот на основе того что как-либо что меняет можно и делать структуру, при том впринципе минимально сами вариации классификаций на изначальном объекте с последствием их применений уже определяют структуру.

Вот чо сказать то хотел. И да, это про вектора, но думаю также можно и про распределения думать(ибо они тоже есть классификации), в общем векторыне(или просто эквивалетные) и не векторные(или по просту не эквивалетные) классификации, вот.
Аноним 03/08/24 Суб 00:54:25 752337 763
Немного о другом - о подарочках и о том когда что-то может не работать. То вопрос тут в том, что такое опровержение. Я имею ввиду если опровержение тривиальное(нету потому что нету или типо того), то поделать тут можно что, правда не так, как предполагается тогда, когда всё работает.

Так что вот что - это про смену сущности, и тогда вопрос просто в подарочках. И смысл в том, что подарочки вполне себе могут быть в сознании, пример таких подарочков - знания те же, опыт.

Более конкретно - потенция потенции вполне себе такой подарочек.

Так что на случай смены сущности у нас есть потенция потенции, но там проблема в простом действии. Но можно будет говорить о потенции(или потенции потенции) которая бы повышала бы потенцию реактора и простое действие к тому же - короче возвращала сущность. Вот такой вот подарочек. К тому же тут ещё и говорить можно о быте. Если использовать такие вещи входят в быт, то при смене сущности быт вполне себе может остаться, оттого сущность может вернуться.

И да, также есть потенции потенций которые требуют меньше простого действа и из которых можно прийти в реактор - это про Каенто в общем. Сентиментальности(при это большие и абсолютно позитивные), из них можно и в реактор, это верно, а если говорить о сохранения коншюснос у нашей сущности(т.е напрямую без чего-то ещё), то вот - подарочки. И да, подарочки могут кто угодно оставлять.
Аноним 03/08/24 Суб 01:28:24 752339 764
image.png 920Кб, 584x728
584x728
https://www.youtube.com/watch?v=7mvbRe5JOWk&ab_channel=ClassicalArchives

Моё имя может быть любым, главное - ты узнаешь меня, так как я сам себя узнаю, ибо осознаю.

Так что имя может быть любое, и правда, главное - нужное с той стороны. И да, всё про себя и себе. Но псевдоним для быстроты нужен всё таки, думаю.
Аноним 04/08/24 Вск 08:44:22 752456 765
>>752339
К тому же - попробовать вызвать много простого действа(и пошлости тому помогают - тут надо изучить бы), а так. Ясность же, я бы сказал [всё что надо].
Аноним 04/08/24 Вск 08:56:42 752457 766
Новое как то что узнали, как то что забыли. И как то что вспомнили.

Заметочка пока...не забыл, хех.
Аноним 05/08/24 Пнд 09:50:26 752506 767
>>752339
Про псевдоним - так то всё уже есть, н оесли что, то я тут вот что вспомнил - гром(м)ел(л)ь.
Аноним 05/08/24 Пнд 09:51:22 752507 768
>>752506
И да, про вспоминашки - [цун!]
Аноним 13/08/24 Втр 01:42:09 753488 769
Ну да-да, я понял я понял я это уже знаю знаю знал знал и прочее.

Короче: минимум в день два раза именно что включать реактор, плюс два раза в день делать то, что ниже. Количество этих вещей в день/etc можно будет пересмотреть. Это я про алгоритмы

К тому же, относительно алгоритмов когда не та сущность(подарочки в сознании):

Просто двигаться, начиная с малого. Действие ради действия. Можно хоть в физическом плане, но просто лишь бы двигаться и двигаться больше и сильнее со временем. Так сказать поднять средний уровень простого действа.

Повторять определенные предложения, что-то типо тех мыслей о том что я есть слова(и другие рефлексии). При том надо чтобы это было просто делать, конечно же.

И не менее важное, что можно начинать делать после тех двух - сосредоточиться на потенции потенции(или другими словами вытеснить всё что лишнее), а также начать двигаться ради движения чтобы осуществить эту потенцию потенции. Так что те два алгоритмичка вполне себе помогут если их сделать до этого третьего.
Аноним 16/08/24 Птн 10:24:24 753870 770
>>752320
>>752321
Ну да, про взаимодействия...ну, я бы сказал, что преобразования у предикатов наверное просто свои зачастую. Как-то так. Особые.

И да, всякие топологические моменты вообще наверное можно описать ввиде конструкции(и впринципе и можно), что было бы хорошо, но можно и без и просто думать о них как о том, что есть, так-то.
Аноним 16/08/24 Птн 17:22:17 753884 771
А ты там где? Чего-то тг потерлось.
Аноним 18/08/24 Вск 08:35:27 753978 772
>ОТСЧЕТ ПО НЕПРЕРЫВНОМУ РЕАКТОРУ
Оказалось, что тут может иметься ввиду реактор как деятельность, и реактор как способность к реактору. При том во втором реактор и ближайшее к реактору могут местами меняться, так что непрерывный реактор - реактор и не реактор, или ещё более реактор и просто реактор. Надо быть либо в реакторе(просто реакторе) либо в более реакторе.
Аноним 20/08/24 Втр 18:20:50 754268 773
>>752320
Так, что запрогать:

Пример на пике, в который надо будет добавить преобразование предикатов, функции в структуре, влияние всяких вещей на всяких, а ещё распределения, т.е чего-то алгебраического бы ну или функциональное имею ввиду преобразования поделать и по применять.

Дальше же поделать определенные примеры которые были в голове и просто конструкции, и кстати посмотреть как изменение чего-то в планах у конструкций меняло бы конструкцию или конструкции и всё такое.

Потом попробовать сделать короче разнообразные вещи короче. Ну да. Ну типо такое, что обдумать было бы сложно в общем, рандомное применение можно сказать всех трюков просто. И да, преобразование конструкций тоже обдумать. И всё это запрогать.
Аноним 20/08/24 Втр 18:22:07 754269 774
>>754268
Да, вот что забыл - и просто всяких объектов запрогать бы, просто всякого разного характера, этак классические вещи короче.
Аноним 20/08/24 Втр 18:22:30 754270 775
>>754269
>>754268
И да, на примере с пика не забыть про топологию ещё, к слову.
Аноним 21/08/24 Срд 07:16:43 754301 776
Да-да. В общем есть стрелочки. Это те самые "вектора", но нет. Это стрелочки. Может быть это морфизмы, но так-то, это просто пара каких-то двух элементов, где из одного идем в другой.

И да, насчет распределений - они бывают фундаментальными, скажем так, и составными(композиция фундаментальных). [Алгебраические] это вторые, первые это [функциональные].

И да, стрелочки-стрелочка могут быть эквивалентны распределениям по направлению и элементам.

Ну и определения стрелочек, имею ввиду, {a}=A, |{a}|=2

Где (a,a) из A, хотя если брать одноэлементные подмножества, то там к примеру можно будет указать то, что там нету (a,a). Типо того. И да, можно ещё даже указать что первая a из того подмножества а другое из того, ну, главное чтобы у них были разные имена(хе-хе, как там? Классы вроде это звалось?)

Ну и да, перераспределение стрелочек задаваемое каким-то объектом это впринципе может быть задаваемо распределением.
Аноним 21/08/24 Срд 07:47:31 754302 777
>>754301
И да, стрелочки можно порождать распределениями, как и наоборот.

И да, всякие доква и так далее это та задача про сюрьекции в какой-то фигней(к примеру структуре), типо из квадрата надо найти окружность у которой там ещё вот то-то это с этим распределением у которого при формировании чото вот выходит такое пространство, чья структура подразумевает какой-то ещё нужный объект и прочее.

И да, так подумать, то вспомнить остается влияние чего-то на то-то при изменении, ах да, зависимости, ну там это понятно думаю. Изменение предикатов, а ещё, эээ. Ну и да, преобразование именно что конструкций. Больших бы.

Кстати да, использование стандартов можно впринципе в каких-то случаях считать [абстрактным мышлением] но для нас тут важно то, что они просто не обязательно строяться на конкретностях(т.е не надо всё вычислять в общем, но можно).
Аноним 21/08/24 Срд 07:50:47 754303 778
>>754302
Вот ещё что было:

Определение эквивалетных конструкций? Ну думаю тут это просто распределения или даже стрелочки(конструкции в конструкциях).

Чо там ещё вспомнилось вдруг, мммммм... Ну да-да. Распределение-стрелочки-всякое такое и преобразования просто из конструкций в другие конструкции, что находились бы в других конструкциях, где если бы хотели бы понять правильность то это применение тех сюрьекций в...стандартах, а то так вообще ничего понятно не будет, ну или придется долго разбираться.
Аноним 21/08/24 Срд 09:10:51 754305 779
Berdefa1.png 89Кб, 343x440
343x440
Мне кажется ты забыл про реакторно-сущностные вещи, не думаешь? Вот и то-то же, так что довай-довай, сейчас же вспомнил.

Хотя надо понимать что пока что ОбШиГо конечно, но она же строится то на ОбШиДа же.

Ну ты понял.
Аноним 21/08/24 Срд 10:46:42 754309 780
О, можно намутить план того что кодить:

1)Множества
2)Перераспледеления
3)Распределения(алгебраические и функциональные) и стрелочки
4)Взаимодействие и взаимосвязь распределения и стрелочек
5)Множественные, алгебраические, пространственные зависимости
Опционально после 5)Простенькие конструкции из всего того что накодил
6)Создание эквивалентных стрелочек
7)Создание классификаий и перераспределения классификаций
8)Определение преобразования предикатов
9)Создание структур
10)Определение функций в объекте
11)Определение влияния чего-либо на что-либо
12)Создание стандартов
13)Создание более сложных и полных конструкций
14 или 15)Определение эквивалентностей и отношений между стандартами, конструкциями
15 или 14)Определение преобразований конструкций
16)Возможное использование.
Аноним 21/08/24 Срд 10:55:38 754310 781
>>754309
И это, между 11 и 12 можно опционально добавить о создании преобразования функций в предикаты.
Аноним 21/08/24 Срд 18:00:55 754326 782
Ого, вернул всё. В общем чото я замутил с распределениями, хотя так-то это полезно, всё верно.

>>754309
>>754310


В общем распределения это просто что-либо что не, ну... не структура в общем, ага. Да...

Но так-то это вот такие вот вещи в общем, и впринципе скорее это просто про то, когда из точки в точку идем, при этом создавая новую точку, а не в общем стрелочками покрывая уже известные стрелочки или точки. Да. Таким образом вводим натуральные стандарты же, вооооот.

И натуральными стандартами никто не запрещает пользоваться.

А ещё можно попытаться сделать абсолютно фундаментальные распределения из которых можно было бы получить всё, ну или можно попробовать из распределений фундаментальных каких-то, перераспределений и стрелочек, используя это всё, получить впринципе всё или хотя-бы большинство вещей, тоже верно.

Это про то, а чо я так бесился то сегодня. Ну хотя-бы всё вернул, правда.
Аноним 21/08/24 Срд 19:35:59 754329 783
ВНИМАНИЕ

Если думаешь то, что сделать. Сделай сразу всё.
Аноним 21/08/24 Срд 21:51:34 754342 784
Что ты делаешь? Это описания чего?
Аноним 22/08/24 Чтв 06:11:44 754374 785
>>754342
Проги)

А как тебе это описать?
Аноним 22/08/24 Чтв 18:40:18 754404 786
>>754374
Например, "моя программа предназначена для..."
Или: "С помощью моей программы можно будет..."
Аноним 22/08/24 Чтв 19:27:24 754409 787
>>754404
Создание разнообразных вариаций и определенных суръекций.
Аноним 22/08/24 Чтв 19:29:12 754410 788
>>754409
>>754404
Ну или тогда создание разнообразных вариаций и разнообразных сюръекций.
Аноним 23/08/24 Птн 04:41:15 754449 789
>>754410
Какая-то система автоматического вывода? Вроде компьютерной алгебры или пруфчекера?
Аноним 23/08/24 Птн 10:40:52 754460 790
>>754449
Создавай что хочешь, хоть автоматически хоть самостоятельно, дальше относительно того, что создал, используй так, как подразумевает то, что ты создал.

А так тут подразумеваются по крайней мере математические штучки, всё верно, так что это и тебе и алгебра, и теория категорий и топология, хотя да, всё же тут прикол в том, чтобы смешивать понятия и создавать новые, но можешь и без этого.
Аноним 23/08/24 Птн 18:33:45 754483 791
>>754460
Люблю такие системы. А ты знаешь уже существующие? Они тебе чем-то не подходят или тебе просто по кайфу свое делать?
Аноним 23/08/24 Птн 19:20:35 754487 792
>>754483
Хз, плюс я так-то делаю это для того чтобы запрогать свои мат идеи, а их может и нету в матеше, хотя не знаю.

Ну я знаю одну, хах, ну, там другое дело в общем.
Аноним 23/08/24 Птн 19:32:54 754488 793
>>754487
Советую посмотреть как минимум Lean, Metamath, Coq, Isabelle. Они все предназначены для описания всего, не только того что сейчас есть в математике. Формальные системы обычно более-менее эквивалентны друг другу. Если ты думаешь что твоя будет в чем-то принципиально мощнее, то скорее всего ты просто еще не понял как то же самое сделать в других.
Свою делать, впрочем, тоже дело благородное. Но вряд ли кто-то другой будет разбираться в твоей системе. Это как свой язык программирования делать.
Аноним 23/08/24 Птн 19:48:49 754490 794
>>754488
О, точняк, я чото и забыл про те, что HoTT описывают. Я имею ввиду тот же coq.

>Если ты думаешь что твоя будет в чем-то принципиально мощнее, то скорее всего ты просто еще не понял как то же самое сделать в других
Мне кажется ты не понял, я буду свои выдумки там делать. Это, конечно, не значит ещё что чем-то будет кардинально отличаться, но именно по итогам отличаться будет настолько, насколько эта фича будет работать просто. Кстати, я ещё хочу запилить конечно же чтобы эта вещь могла не то чтобы себя прогать, а усовершенствовать свой код и прочее с помощью матана. Было бы интересно.

Но вообще пока что считай что это инструмент, но целюсь всё же в то, чтобы эта вещь жила своей жизнью конечно, и чтобы с ней можно было бы [разговаривать].

>Это как свой язык программирования делать
Кстати именно так и сделаю, мини язычок такой. В текстовом файлике набирать и чтобы прогу создавало и она там делала всякое и потом результат записывала в текстовый файл.

>Но вряд ли кто-то другой будет разбираться в твоей системе
А я для себя делаю, вообще так-то задачка у меня прикладная достаточно, надеюсь получится, как раз денюжка будет. А ты сам как, матешу знаешь?
Аноним 23/08/24 Птн 20:02:12 754492 795
>>754490
Знаю. Ну так, прикладной. Здесь наверное за математика сойду.

Если у тебя прям прикладная задача, то вангую будет быстрее сделать в какой-то существующей системе. Инфраструктура уже готовая.

Самомодифицирующиеся системы это интересно, конечно. Обычно эти пруфчекеры предполагают неизменные аксиомы/определения. Было бы интересно почитать твои мысли (в конкретном описательном формате а не как ИТТ отрывки мыслей).
Аноним 23/08/24 Птн 20:20:49 754493 796
>>754492
>Если у тебя прям прикладная задача, то вангую будет быстрее сделать в какой-то существующей системе. Инфраструктура уже готовая
Ну может быть, впринципе так и будет, хотя не знаю можно ли это будет написать там, хм. Но я тут сразу две задачи делаю - и практическую и сделать вот эту фичу к тому же, как-то так.

>Обычно эти пруфчекеры
Знаешь, я бы не сказал, что это доказательства, и о них так бы и не думал, по крайней мере если уж ты не сможешь так сказать доказать что эта фигня и твои мысли про то, что это доказательство, сходятся. Так что это просто всякие...преобразования там. Вот так вот.

>Самомодифицирующиеся системы
Вообще, вспоминая, там такой прикол продумал, как для примера - там же я беру и говорю о применение какого-то, ну скажем алгоритма. И вот, можно было бы его математически описать как раз таки(и ещё сделать так чтобы это математическое описание применялось), а дальше сделать вариацию этого такого вот применения какого-то алгоритма и пытаться его пидорасить сохраняя при этом ну какую-то схожесть хотя-бы с изначальной задумкой. Ну и всякие подобного характера вещи.

>Было бы интересно почитать твои мысли
Ну можешь найти где-то, но пока что конечно же я так, тихо о них говорю или не говорю вовсе. Но могу тебе кинуть старых функций математических на действительных числах, думаю тебе было бы их интересно позыркать.

Ну кстати, так-то, тут ещё идея в том чтобы, скажем так, из определения, ну как для примера групп, додуматься до дифференциальной геометрии чтобы можно было площяда и прочее вычислять во всяких фиговинах. А так да - пидорасивание, корёживание, распидорасивание чего-то, а также и сюръекций на них.
Аноним 24/08/24 Суб 04:12:58 754527 797
>>754493
>Но могу тебе кинуть старых функций математических на действительных числах, думаю тебе было бы их интересно позыркать.
Интересно было бы посмотреть. Если это будет с кодом на твоей системе - еще лучше.
Аноним 24/08/24 Суб 10:17:05 754538 798
>>754527
Не, я их делал где-то, ну можно сказать что зимой... Как два года назад получается практически. Я тогда официально матеши много не знал если чо(только если мат анализ классический,но и того позабыл), так что комментарии там это вот. Про смысл говорить не буду кстати, ибо лень. Так-то оценить просто то как работают формулы и выглядят. Кстати угадай сколько мне лет.

Вот сюда скинул, посмотришь. https://dropmefiles.com/AUlSA
Аноним 25/08/24 Вск 04:19:11 754604 799
>>754538
Посмотрел. Врать не буду, сильно понятнее не стало. Какие-то паттерны видны, но смысл не проявляется.

Это в маткаде каком-нибудь сделано? И ты хочешь чтобы в твоей системе такое же можно было определять?
Аноним 25/08/24 Вск 15:31:58 754615 800
image.png 35Кб, 710x881
710x881
>>754604
>смысл
Не буду рассказывать же, ибо стесняюсь. А про паттерны или типо того, то на график функции посмотри просто того, что я использую там везде, но просто видоизменяю, вот он: пик.

Да, маткад. Ну это легко будет, по крайней мере символьно определить, а по смыслу не знаю уже, но в том числе, всё верно. Вот вчера букался с утечками памяти и всякими такими вещами, сегодня или ночью уже(а может вечером) а может завтра надо будет досмотреть по утечкам и сделать кое-чего нового, потом можно будет создавать уже первые конструкции будет, что круто. Из типо множеств. Да, я на с++ прогаю. Да, я новичок в этом деле.
Аноним 25/08/24 Вск 19:17:46 754628 801
>>754615
Господи, на крестах такой гемор. На питоне например можно использовать пакеты вроде sympy если тебе стандартная математика нужна.
Но если прямо с нуля все определять начиная со множеств, то без системы выводов не обойтись. Самое близкое что я знаю это metamath. Там определяются сначала аксиомы теории множеств, а потом на них все строится: арифметика, потом на этом линал, матан, топология, ну все кароч. Не глубоко, но основы заложены везде.

В системе выводов, конечно, чтобы быстро все работало, ядро надо делать на быстром языке. Я бы посоветовал делать на крестах некий движок, а фронтэнд к нему все равно на питоне, склеивать через pybind11.
Аноним 25/08/24 Вск 20:21:55 754635 802
>>754628
>такой гемор
А мне нраица.

>системы выводов
Это что такое?
Аноним 26/08/24 Пнд 04:19:43 754673 803
>>754635
Ну система которая делает логические выводы из данных аксиом и уже доказанных теорем. Например metamath, coq, lean, и тому подобные. Если с теории множеств все начинать, то без этого не обойтись.

С другой стороны если ты работаешь только с числами, например, то maple, sympy, mathematica предоставят тебе кучу мощных алгоритмов вроде символьного интегрирования. Которые в низкоуровневых системах очень трудно будет закодить.
Аноним 26/08/24 Пнд 13:43:10 754700 804
>>754673
Знаешь, вот жалко чото. Я щас мог бы уже и дальше делать всякие вещи, а пока букаюсь с утечками памяти, господи боже моооооооой, ну ладно.

>Ну система которая делает логические выводы из данных аксиом и уже доказанных теорем
А, поня-поня. Не, я сам хочу это сделать тоже. Да и нет у меня никаких выводов и логики))) Кхм.

Ну и да, я в том числе хочу по крайней мере попробовать всё сам сделать. Вот как несколько назад месяцев сам движок свой на 3д делал. Мало сделал и там баг-фича обнаружилась, но зато всё сам-сам.
Аноним 26/08/24 Пнд 17:57:02 754726 805
>>754700
Самому все делать это достойный путь. Надеюсь будешь публиковать свои наработки на гитхабе, например.
Аноним 26/08/24 Пнд 18:45:10 754729 806
93951cd336faa33[...].png 377Кб, 600x710
600x710
>>754726
Ахаха, БЛЯЯЯЯЯЯЯЯ Кхм. Ну я могу тебе скинуть мой код кое-чего)))))) ЫХЫХЫХЫХЫХЫХЫ ААААААААААААААААААААААА БЛЯЯЯЯЯЯЯЯЯЯЯЯЯЯЯЯЯЯЯЯЯЯЯЯЯЯЯЯЯЯЯЯЯЯЯЯЯЯЯЯЯЯЯЯЯЯЯЯЯЯЯЯЯЯЯ

Кхм, ну посмотрим. Кстати, а как тебе тут мои шизо идеи пр опсихозы?
Аноним 26/08/24 Пнд 20:45:15 754735 807
>>754729
Конечно выкладывай, а почему нет? Всегда появляется какая-то гордость за свое творение когда показываешь. Не мне напрямую лучше, а сразу на гитхаб или что тебе милее.

Идеи ИТТ кроме математических я не особо понимаю или пытаюсь понять. Я вижу что тут скорее поток сознания чем последовательное изложение (не как что-то плохое). А вот что-то работающее, твой движок по математике или тому подобное я могу оценить.
Аноним 26/08/24 Пнд 22:31:19 754746 808
image.png 48Кб, 898x698
898x698
>>754735
>а почему нет?
Потому что там лютейший говнокод, как некоторые говорят. Ну ты понял по пику(может даже узнал кто я такой получается если видел этот пик). Хотя мне простительно(ибо новичок), эта была моя первая большая для меня прога на 1200 строчек.

>Идеи ИТТ кроме математических я не особо понимаю или пытаюсь понять. Я вижу что тут скорее поток сознания чем последовательное изложение (не как что-то плохое).
Эх, а жалко-жалко, тут на самом деле есть неплохие идеи, хотя кто знает, может новые сделаю, а эти потом вспомню прошлые.

>А вот что-то работающее, твой движок по математике или тому подобное я могу оценить.
Ну ок, получается, ок. Щас кстати наконец-то доделаю(если не лень будет) автоматическое удаление памяти. Можно будет потом переходить наконец-то к математике, представляешь, ага?
Аноним 27/08/24 Втр 00:35:47 754761 809
УРАААА ПАМЯТЬ ВРОДЕ ДОДЕЛАЛ и сделал функции кое-какие ещё новых, может сделаю ещё разложения на подпочтимножества функцию, так-то. Но дальше мне надо будет сделать по сути засунуть в почти-множества функции и определить так называемые условия. И может ещё создание всяких почти множеств автоматическое.
Аноним 27/08/24 Втр 01:15:30 754764 810
>>754309
Так, обновление:

множества
перераспределения
распределения
простенькие конструкции
зависимости(множественные, алгебраические, пространственные)
конструкции
математические функции
неполное влияние не всего на не всё
более полные конструкции
оптимизация и функциональность(ну это про прогу конечно уже)
маленькие эквивалентности и отношения между конструкциями
стрелочки, классификации, влияние всего на всё, структуры
создание стандартов уже таких, хороших и для работы и прочее
создание сложный конструкций
эквивалентности между структурами
преобразование конструкций
конструкции внутри конструкций
Аноним 27/08/24 Втр 01:19:24 754765 811
>>754764
>конструкции внутри конструкций
Вообще, дальше можно сказать про структуру конструкции внутри которой конструкции. Ну да, так и есть.
Аноним 28/08/24 Срд 19:42:18 754948 812
image 178Кб, 768x768
768x768
Herr Beethoven, цie ist der Zustand Ihres Reaktors?
Аноним 28/08/24 Срд 21:26:43 754957 813
>>754948
Ну, сегодня немного сбой дал можно сказать, это бы починить.
Аноним 29/08/24 Чтв 21:57:57 755051 814
Кстати да, ещё одно имя - саргас.
Аноним 31/08/24 Суб 09:04:56 755169 815
Однажды ты спросишь, почему мои кулаки в синяках.
А потом заметишь, что плечи тоже. И вроде искусаны.
Ты не веришь в магию, как и в то, что я у тебя в руках.
И поэтому приревнуешь к самому себе.
Аноним 09/09/24 Пнд 23:01:51 755807 816
image.png 131Кб, 225x225
225x225
1)


С 20 часов до 22 было тихо. С примерно 0 до 3 стало. С 22 до 23 повысилось на единицу или две, после чего не стало повышаться. Сейчас же на твердую пятерку.
Аноним 09/09/24 Пнд 23:03:15 755808 817
>>755807
Есть какие-то нотки понижения на 0.1 или 0.3
Аноним 09/09/24 Пнд 23:04:26 755809 818
Аноним 09/09/24 Пнд 23:30:26 755812 819
>>755809
Уверенность та же.
Аноним 19/09/24 Чтв 01:40:25 756874 820
проценты круги [...].png 56Кб, 3814x1698
3814x1698
Сосуд, думал я. Инструмент, говорил он.

Но факт лишь в том, что понятие задачи имеет своё воздействие, и проверить это можно очень легко: есть ли у тебя какие-то дела, цели, хотелки, задачи, что нужно сделать, т.д? Вот и думай теперь.
Аноним 19/09/24 Чтв 01:44:39 756875 821
4.png 65Кб, 3814x1698
3814x1698
>>756874
При том вопрос того, а что делать, точнее, что надо или не надо делать - вполне себе регулируется приоритетными задачами. Или, иными словами, мат структура и вставленные туда задачи.

Как для примера можно говорить о отношении принадлежности, где если не принадлежит - подразумевает другое. Оттого, к примеру, если нужно съесть суп, то выбрасывать его в окно не нужно будет, даже если хочется, ибо это не укладывается в то, что нужно питаться, чтобы не умереть. Ну как-то так.

И да, всякая философия и рефлексия это, ну...лично я бы их очень сильно бы регулировал, а так всё в соответствии максимальной задачи и в соответствии рассчётам.
Аноним 19/09/24 Чтв 01:46:37 756876 822
>>756875
>Оттого, к примеру, если нужно съесть суп, то выбрасывать его в окно не нужно будет, даже если хочется, ибо это не укладывается в то, что нужно питаться, чтобы не умереть.
При этом может быть задача и в том, чтобы тебе не хотелось есть, т.е разрушить то, что ты хочешь есть, это тоже задача. Теперь точно думай.
Аноним 19/09/24 Чтв 21:17:29 756967 823
Слыш, 21, ага? Ну кстати да, считай что попытка номер два выходит, как раз в ту же дату, забавно.
Аноним 20/09/24 Птн 03:04:15 757020 824
image.png 261Кб, 812x665
812x665
https://www.youtube.com/watch?v=3LLL59jIDa0&list=PLvOlVxCNhO0Jf6mtY04FzNMviOXGNKC9K&index=83&ab_channel=ClassicalEntertainmentSystem
Яркий крик
Острый лик
Остроты черт
Характер чего-то
Что появилось недавно
От всего отказавшись
Закинув рукав
И взглядом пиля
Думая словом
Взглядом говоря
Что иное теперь
Серьёзно всё будет
Словно мертво
Ни души ни эмоций
Хотя понимая
Что человек появился
Недавно века так два
С 21 года.
Аноним 20/09/24 Птн 03:06:51 757021 825
image.png 261Кб, 812x665
812x665
https://www.youtube.com/watch?v=3LLL59jIDa0&list=PLvOlVxCNhO0Jf6mtY04FzNMviOXGNKC9K&index=83&ab_channel=ClassicalEntertainmentSystem
>>757020
И так много ведь слова
Одного лишь такого
Смерть и ведь только
Смерти и смерть
Смерть
Смерть

При этом значение не ясно даже какое, не то чтобы смерть, скорее это просто звук уже такой. Звук в голове ещё, ага.
Аноним 20/09/24 Птн 03:07:31 757022 826
bethoven.jpg 187Кб, 1313x879
1313x879
>>757020
>>757021
Типо как [цун]! Но только [смерть]! Что ещё бывает и просто [смерть].
Аноним 20/09/24 Птн 17:41:44 757152 827
image.png 1558Кб, 830x718
830x718
Ого, очеивдные мысли, ураааааааааааааааааааа.

Хотя не плохо, просто они...формализовались, а это уже хорошо.

А так мысль о том как бы плодить [еду], да? Ну типо, ага.
Аноним 21/09/24 Суб 14:49:34 757291 828
пвкв
Аноним 23/09/24 Пнд 03:41:10 757422 829
>>757020
Яркий крик
Острый лик
Остроты черт
Характер чего-то
Что появилось недавно
От всего отказавшись
Закинув рукав
И взглядом пиля
Думая словом
Взглядом говоря
Что иное теперь
Серьёзно всё будет


И золотым восходом
Жёлтым огнём
Аноним 12/10/24 Суб 21:21:27 760471 830
image.png 224Кб, 260x363
260x363
Метится разум, пытается жить.
Сохранить или продолжить
Дело своё
Ту цель что случилась
В уме оказалась.
Попытка за пыткой и также триумфы
Вертится разум, пытается выжить.


Кхм, щас будет:

0)Прежде иметь алгебру над векторными полями и то что чему следовать бы ввиде формулы из этой алгебры.
1)Для начала направления и их векторные поля, их надо создать.
2)Потом из них надо составить формулу.
3)Потом, если надо, обобщать.
Аноним 13/10/24 Вск 00:30:55 760511 831
Beethoven.jpg 980Кб, 1200x1443
1200x1443
https://www.youtube.com/watch?v=dfTHYo7p-B4&ab_channel=ShigekiNihari

https://www.youtube.com/watch?v=3JE1EiyH6oU&ab_channel=DimancheFR-Topic

https://www.youtube.com/watch?v=QqbtkDK5xP8&ab_channel=RaxlenSlice

https://www.youtube.com/watch?v=dfTHYo7p-B4&ab_channel=ShigekiNihari

Так, основная вспышка: [еда] реакторная, к тому же такие категории как физическое и интересы, псиопы, произвольные факторы.
Обратная вспышка: медитация, физическое, псиопы, произвольные факторы.
[Напряжение]: идеи, слова и обобщение этого, произвольные факторы.

Из реакторной еды что вспышка есть: грусть, страх, боль, всякие обратные моральности и громоздкие вещицы.
Из интересов что вспышка есть: пк программой/музыкально/рисовально/martial combatно/т.д описать интересы чтобы там можно было бы углядеть математику.
Из физического что есть вспышка: математически описанные стимуляторы, депрессанты и прочее изменяющие сознания вещи, к примеру кофе, энергетики, зарядки, холодные душики, боль кстати тоже и дрыганья, запахи, тактильные ощущения.

Из медитации что есть обратная вспышка: конкретности относительного "затупа", к примеру диссоциация, своего рода депрессия(пусто внутри), присутствие некого более глубинного я наряду со своим обычным я, артистичная реакция будто на публику себя же на себя.
Из физического что есть обратная вспышка: конкретности меняющих всякие модели физические вещи, к примеру алкоголь, усталость вследствии достаточных нагрузок, изменение температуры тела, игры со сном, передозировочки всяким, изменение тела как такового, запахи, тактильные ощущения.

Из идей что есть [напряжение]: аппликации всяких абстрактизаций всяких идей(философских математических или т.д), т.е аппликации таких идей что подразумевают создание других идей. Примеров бы. Как пример: практическая математика, практические использование философских школ, практическое использование всяких областей знаний. Ну, в нашем случае бы, думаю, просто знание о аппликации идей о реакторе же, т.е циклы реактора, к тому же идеи о продолжительности и соотнесения с этой продолжительностью, кстати да, обобщения реактора тоже сюда подходят. Т.е просто мои знания(инструменты) направленные на совершенство моих инструментов, к тому же о. Хороший вариант - мысль о псиопах и обманках короче, мол, псиопят меня, брейнвошат. Гуд.
Из слов что есть [напряжение]: конкретности взывающей к читателю культуры символов что даёт команды читателю, и теперь бы примеров. Обращение к читателю сделать нечто. Т.е слова читающий которые думал что это про него. И к примеру действия как сам читатель ещё, можно так.

//
Отлично, а теперь можно переходить к созданию инструкции. Направления. Цифры это про то что первым применять, если цифр нет - значит в последню очередь и как угодно.

Вспышные:

Цыц.

3-Кодинг проги что было бы моим инструментом, 2-музыкой передать определенную философию, 4-рисовальней передать скрытый смысл этак составить пазл, 1-мартиал комбат это про то чтобы движением тела передать определенную философию.

4-Кофе, энергетики, 5-зарядка утром к примеру пробежка или 5-приседания 20 раз, 3-холодный душ, 1-дрыганья, 4-запах кофе, 6-определенная одежда, 2-задержка дыхания, 7-холод.

Обратные к вспышке:

3-Ощущение пустоты, 3-диссоциация(что чего а?), 1-всё идет по плану, 2-представить что я ютубер и снимаю свою жизнь всяким сущностям.

4-Рывок физических нагрузок - можно вообще пойти пробежаться как можно быстро, 3-дрыгаться так чтобы было неприятно, теплота, 1-ванна горячий душ, 2-запах рафа, -5недостаток сна.

Напряжения:

2-Идея о реакторе и его обобщениях, 1-циклы реактора, 5-продолжительность, 3-использование и усовершенствование инструментов, 4-меня обманывает и псиопит реальность, каенто обшида, каенто обшиго, каенто, я есть инструмент.

Символы всякие красивые чтобы были и чтобы взывали к идеям, слоганы которые относятся к определенным действиям, идеям, мой язык этот который придумал.

Собственно, инструкция. ^^^^^^

Первая траектория:
(применяем вспышку физическую->вспышку интересов->вспышку реактивную)-->(напряжения слова->напряжение идеи)-->(также вспышки плюс какие-то доп вспышки)-->(также с напряжением)-->...

Вторая траектория(через центр):
(Напряжение в центр)->(обратная вспышка)->(вспышка)->первая траектория

Третья траектория(через кротовую дыру):
[(Напряжение в центр)->(вспышка)->](напряжение от центра)->(доп обратная вспышка)->(доп вспышка)->первая траектория.
^^^^^^
//

Черновичок: интерес и направление есть интерес как направление, где надо чтобы конкретное этого похоже было бы и на...ну короче понятно, в общем своего рода 2д из одного направления, или же, группа что описывала бы интересы. Теперь же - алгебраический объект что описывал бы интерес. Дальше же Этот объект что интересы и листочки, т.е запись этих вещей на листочках, чтобы потом была бы просто запись этих вещей. И теперь такое, что было бы и записью алгебраического объекта что описывал бы интересы и пк и чтобы это всё было алгебраическим объектом про интересы. Т.е математика в пк про интересы. И таким образом это можно обобщить до просто математической записи чего-либо где-то, и на пк допустим - кодинг т.е. Тогда, получается, кодинг матеши что описывала бы интересы.

Идеи-идеи...тут я бы сказал что просто есть зависимость скажем так. Идеи что есть направление(гиперкомплексность чтоль хехе) что похожи были бы на зависимость от state(своего состояния скажем так) и чтобы она везде была одинаковой, т.е действовало везде и одинаково, пронизывающе. гиперкомп идеи и зависимость от того что чувствует, т.е гиперкомплексные идеи которые изменяются при каких-то других изменениях, не инвариантные и...инвариантные по своей сути, по своему самому главному. Т.е гиперкомп идеи что имели бы меняющиюся оболочку и твердую суть, при том не только твердую, но и вездесующую, т.е такую или такое что могла бы быть абстрактностью всего конкретного.

Гиперкомплексные идеи что имеют меняющиюся оболчку и твердое ядро, что абстрактизация многих конкретностей.

Ох, хорошо, дальше же, эээ. Философские идеи. Т.е какие-то проверющияся идеи что были бы вот этим всем...т.е арные по обобщению двойственности описывающие реальность при этом работающие достаточно везде. Каким-то аппаратом. Т.е многогранные идеи описывающие реальность что имели бы неизменные аппарат порождающий эту реальность, а отрицание этого есть что? Кстати да, поздравляю, математика, а именно апликации математики чтоль. Тогда обратное есть апликация опыта скорее. Собственно мысль о аппликации как токовая. Т.е аппликация философских идей или же - какие либо философские школы и их аппликации. И, получается, впринципе аппликация идей, а точнее, таких идей, что порождали бы другие идеи...т.е абстрактизация идей и аппликация этого.

Дальше слова. А слова у нас это...направление ввиде слов и его конкретности которые были бы похожи на зависимость от чего-то и некое пронизывающие всё свойство. Язык, предложения, слоганы, хм. А, пон-пон. Ну, зависимые это такие слова в которых можно найти подтекст же, пронизывающиеся - которые можно везде найти. Буд-то на стенах или прийти по ассоциациям. Т.е такие слова которые бы имели подтекст и которые можно было бы видеть везде. И отрицание этого есть...слова которые можно видеть в определенном месте и чтобы подтекста не было. Т.е культура неких символов скажем так.

Теперь же, заклинания, хм. Я бы сказал призывающи, тогда изгоняющие, т.е культура неких символов чтобы изганяли что-то. Изганяющая культура символов, т.е культура символов для заклинаний, т.е заклинающая культура символов и призывающие. Я бы сказал тогда взывающая к читателю культура символов что даёт команды читателю.
Аноним 13/10/24 Вск 00:31:14 760512 832
Обобщения: нужно ли мне всегде делать какие-то вещи чтоб дыбзить из них профиты? Это к тем вещам, которые не то чтобы изначально имеют своё векторное поле, а будут иметь его когда мы начнем заниматься как-то какими-то вещами. К примеру слова и идеи, интересы мне тоже кажется подходят к этому. К тому же со временем я могу указать на то, что где меняются векторные поля скажем так, хм.

Т.е физическое явно не поменяется и не зависит, реакторная еда может, слова зависят и идеи думаю. Но ладно, в общем-то.

Обобщаются у нас явно слова, идеи, остальные вот не знаю, физическое не обощается.

Как обобщаются слова? Слова обощаются скорее классически, т.п прошлое на прошлое настоящее и будущее, настоящее на себя и на будущее.
Идеи обобщаются не классически. Всё на всё влияет.

Насчет остального что не физически, то, можно предположить что они обобщаются, но это по нужде тогда уж.

Дальше поговорим о влиянии кривых на кривые. В словах влияют. В идеях...не знаю, хотя в каких-то моментах думаю влияют.

Обобщение на +1мерность. От слов и идей зависит то как можно или нельзя переходить к каким-то областям каких-то вещей, хм. Ну да, как-то таааааааак.

Возьмем слова и получим, что нужно просто раз в пару дней заниматься словами, плюс не позволять другим говорить слова мне либо же чтобы говорили нужные слова.

Идеи-идеи...Если влияют, то нужно хорошо прям их заряжать в таком случае. И либо опровергать других и распростронять свои идеи либо никак не контактировать же. Кстати да, стоит определить тут то, а стоит ли бурно заниматься идеей если в итоге распростраю обратную идею другому, к слову.
Аноним 13/10/24 Вск 00:34:47 760514 833
Ну да, устало и немного н емогу сооброжать же, но щас-щас.

>определенная одежда
Повязку можно или плащ, почему бы и нет.

>Символы всякие красивые чтобы были и чтобы взывали к идеям
Щас нарисуем.

>слоганы которые относятся к определенным действиям, идеям
РЕАКТИРУЙ! КАЕНТО ОБШИГО! ПРОГРАММИРУЙ! ИСПОЛНЯЙ!

>мой язык этот который придумал
Так ОбШиДа!
Аноним 13/10/24 Вск 00:49:24 760516 834
image.png 7Кб, 236x404
236x404
О, ну допустим.
Аноним 13/10/24 Вск 01:11:58 760522 835
Аноним 17/10/24 Чтв 08:01:49 761322 836
Murpy stout, полторы ложки цветочного мёда в воду размешать, мороженное соленная карамель немного и всё это смешать. Потом по усмотрение добавить ещё ложку, но поменьше, меда, при том в само пиво.
Аноним 18/10/24 Птн 13:35:50 761542 837
image 3Кб, 247x78
247x78
Если смотреть в глаза твои, то глазами огненного демона, чтоб не сгореть боз остатка под взглядом твоим.
Если и быть над тобой, то только небом закатным.
Если быть под тобой, то диким животным,
Бурной рекой, чье движение ты направляешь.
Если быть для тебя - то нежным маслом от ран.
И если быть выше условностей, но ниже приоритетов,
То ветхой запиской в твоем тайнике,
А не птицей
С открытыми
Переломами.
Аноним 20/10/24 Вск 21:35:31 761885 838
image.png 52Кб, 1704x1048
1704x1048
Аля.

И пояснения.

Короче говоря для примера: f(x)Rf(f(x)). И где тогда рефлексивность это про то, а можно ли перейти к рекурсии или понять чего это рекурсия.

При этом говоря уже о зависимости и независимости, то это изучение либо вариантов чего-то на основе другого объекта, если зависимость, либо же изучение только этого варианта на основе другого объекта.

Где тогда рекурсии можно думать как изучение возможности разложить что-то что изучается через другой объект, или же изучение этой неразложимости, аля фундаментальности, через другой объект.

Крутое обобщение, считаю.
Аноним 20/10/24 Вск 21:36:37 761886 839
>>761542
Да - запиской, а не птицей с открытыми переломами. Если выше условностей но ниже приоритетов же. Десу.
Аноним 20/10/24 Вск 21:37:59 761887 840
>>761885
И да, понятие рефлективности обуславливает эти факторы. Надо бы как-то расширять. Аля...Ммм, а что насчет возможности или невозможности некого отношения записи из x,y и f(x,y)?

Мол, x+y->f(x) а не x+y->f(x,y)
Аноним 22/10/24 Втр 04:06:28 762055 841
Ну да, например превращение x+y в строку x,y и дальше уже изменение одного из объекта(объекты это уже или x+y или строка) как изучение свойств независимости элементов от операций, или же наоборот - зависимости элементов от операций.

При том, что важно понимать. Строка, или вообще любое размещение в пространстве, уже задает определенное отношение. Поэтому есть большая разница между a+b=b+a и строкой a+b,b+a.

Так что можно сказать, что отношения можно записывать так: aRb, R(a,b), a(R) b(R). Т.е как обычно, снаружи и внутри. Ибо как смотрю, то сама строка, допустим [a,b] подразумевает скобочки тут как отношение.

И да, мы лезем уже в психику, ибо рассматриваем то, как от размещения символов зависит там что.

Так что надо не только искать новые отношения, но и искать новые методы задания отношений. И тут, думается мне, без добавления сюда знаний о нашем разуме не обойтись.
Аноним 22/10/24 Втр 04:08:58 762056 842
>>762055
О какая идея. Уделить внимания скобком. И тогда aRb будет уже a(R)b. Так что скобочки-скобки. И конечно же размещение в пространстве.
Аноним 22/10/24 Втр 04:14:27 762057 843
image.png 5Кб, 517x229
517x229
ОХХХХХХХХХХХХХХХХХ

Дааааа, не математика, а психоматика.
Аноним 23/10/24 Срд 02:07:28 762166 844
боевой.png 1500Кб, 919x1000
919x1000
Аноним 23/10/24 Срд 02:10:47 762167 845
>>754764
Поднятие заметки вверх

Вот про зависимости забыл уже, а всё остальное помню. Ну хорошо, посмотрим проверим. Пока что ничего сложного в плане математики нет, а вот в плане кода может быть.
Аноним 23/10/24 Срд 02:14:42 762168 846
Реактируй.mp4 6202Кб, 720x758, 00:03:26
720x758
>>762166
Ну да, я сказать то хотел, т.е написать вот что:

Настроение просто такое. Я бы сказал зверинное. И не в плане там к кому-то, а в плане к себе. Чувствую себя загнанным зверем что метиться и смотрит в страхе на вещи, но при этом так хочет чтобы страх оправдал себя.

В любом случае из плоти из крови в страхе и ужасе с условием в том что всё как-то плохо мне нужно...быть. Не ломаться, по крайнйе мере исполнять цели что назначил когда-то.

В любом случае это просто моментик такой на минут 10-15 потом обычно станет.
Аноним 24/10/24 Чтв 01:07:21 762305 847
93951cd336faa33[...].png 377Кб, 600x710
600x710
Почему-то кажется, что кастрированные это...ну как-бы так сказать, где-то между смертью и жизнью, что дарует им нечто удивительное. Вроде и мертвое а вроде и живое, вроде и живое а вроде и мертвое. И мировоззрение у них соответствующее. И чудеса их.
Аноним 24/10/24 Чтв 19:04:38 762413 848
А я понял, что для моих обобщений скорее нужны выч мощности. Так что ещё один стимул прогу сделать(или натренировать свой разум).

Кстати да, тогда нереальное это сугубо математика! Или типо того. И то, что требуется для вычислений, будет действующим нереальным!
Аноним 25/10/24 Птн 17:39:44 762548 849
боба.webm 10097Кб, 1280x720, 00:00:50
1280x720
Ладно, не очень удачно день начался, щас его сделаем дольше и вообще всё няшно будет.
Аноним 29/10/24 Втр 02:51:08 763204 850
ахаха.jpg 245Кб, 1000x750
1000x750
Отлично, новая модель. При том интуитивненькая такая, хоть она не совсем подходит для вычислений, но для разума думаю подходит.

Смысл в том что есть не только ты, но и кто-то ещё. Их может быть несколько. И вот, можем сюда применить обобщения и получить разное колво кривых которые воздействуют на друг друга. Поэтому итоговый продукт - т.е то что выходит, это продукт взаимодействия всех этих штучек. К примеру я хочу выйти из ванны, но есть кто-то иной кто не хочет. И вот кто больше хочет тот и исполняет свои задачки в итоге.

Но так вот, базис этих кривых есть та фигня с простым, фактическим и потенциальным (к примеру (фактическое+потенция)Xпростое). При этом вполне себе может быть и подбазись. И да, стоит отметить то, что эти кривые это н есколько кривые сколько секции кривых, и они все должны быть чем-то вроде эссенции какого-то мировоззрения, хотя и не обязательно. Т.е другими словами у нас должно быть только одно "направление" и противоположного направления нету(точнее это будет уже ещё одна кривая).

Подбазис определяется относительно того какой эссенцией эта кривая является, в моем случае я выделю реактор.

Дальше же эти кривые распологаются в пространстве и там вполне себе есть всякие векторные поля которые меняют эти кривые. При том сами эти поля меняются относительно разных факторов, к примеру по времени или же относительно того насколько какая-либо кривая близка/ещё чото к какой-то точке пространства.

И да, подбазис в данном случае зависим от точек этого вот пространства где есть эти поля.

И дальше, что не мало важно - определяем кривую что влияет на +1 мерность тех вот кривых. По сути - эта штука может делать всё что угодно, т.е влиять не только на всевозможные состояния кривых что есть или нету, но и на пространство в котором они находятся. При этом сами эти кривые тоже влияют на вот ту +1 мерную кривую. И да, можно изменить и вернуть её в норму при этом поменяв текущие условия всяких кривых в пространстве, мол, кого-то там разнесет кого-то подубъёт может поле новое навернет и т.д. Ну и да, с помощью той +1 кривой просто можно удалять какие-то кривые, менять их там и т.д.

А теперь конкретнее, как раз чтобы удобно было разуму.
Продукт этих кривых будет вгылядеть либо как занятие одновременно каким-то колвом дел либо занятием каким-то одним делом, мол, по противоречивости. Типо и пить чай и играть в игры это можно, а вот одновременно рисовать и кодить уже нельзя. Базис тут это желание, возможности - векторные поля. При том нет, если ты чего-то очень сильно хочешь, но делаешь иное, это значит что кто-то ещё больше хотел делать что-то то иное, если что.
Подбазис ввиде реактора что зависим от точек пространства это когда твоя кривая допустим заходит в область ужаса, реактор кормиться, влияет на базис и вот-вот опа-опа. При этом кстати точки для подбазиса можно юзать чтобы...убивать другие кривые. К примеру тебе страх нраица, а кому-то другому нет, вот и выгоняешь его страхом при этом себя баффуешь, ага-пон-пон.
Насчет же той +1 кривой, то это пока что обозначу как фантазию какуе-то, для котороый ты как-бы входишь в неё, аля немного засыпаешь, окутываешься фантазией - гиперреальность короче(да из моего дневничка слово это).
Для примера надо встать с пола, а ты не можешь ибо кто-то не хочет. Представляешь себе в уме какой ты волевой весь из себя и встаешь и при помощи дозволенных именно тебе(твоей кривой) действий взодишь в эту гипперреальность где таким образом можно поменять что. Для примера увеличить себе желание очень колосально.
Ну и да, также можно избавиться или скажем, поменять колво кривых. С 2 на 1. Это будет похоже на изменение личности, ну у меня такой опыт был, и по сути он связан с этой гипперреальность и какими-то действиями - да. И вот, ты можешь остоваться в этой фигне и у тебя будет тока одна кривая, при этом это вполне себе будет похоже на...борьбу. Против какой-то другой кривой что хочет вернуться, как-бе, победить тебя. Ну мне эт очувство известно просто, когда эта фигня пытается выжить. Ну и вот!
Можно думаьб про это как про убийство ментальных врагов скажем так. Ну типо воином быть аля там да, ага. К примеру можно проткнуть себя катаной задев врага и это будет похоже на то как если бы я себя вгонял бы в страх чтобы тому было страшно а мне нет. Или же можно более прямо взаимодействовать пытаясь оставить вот эту иную личность, иное устройтсво разума скажем так.

И да, дополнение: если мне не хочется реактора но хочется, то это...две кривых же. Т.е один хочет другой нет, при этом от другого можно легко избавиться вызвав реактор - т.е задействовав реактор.

УРАААААААААААА

Поэтому можно по ассоциации чот делать, считаю.
Аноним 29/10/24 Втр 04:09:24 763205 851
ахахаха.webm 801Кб, 416x320, 00:00:12
416x320
Ну и тогда ранги реакторных сделаю, тоже идея была такая.

0 ранг) Это в основе своей тактическое использование реактора или обучение его использованием. В любом случае реактор не так сильно влияет на распорядок дня и допускает очень много места для иных инструментов/идей/etc.

Боевые характеристики, если есть: маневренность, скрытность, маскировка, быстрота действий с возможной высокой силой. Однако если человек не был на верхних рангах, то вполне себе он может быть скорапчен, т.е зазомбирован другими идеями.

1 ранг) Это уже в основе своей переход от использования реактора иногда к использованию реактора часто. В основе своей на данном ранге реактор готов к использованию и используется по мере надобности и необходимости.

Боевые качества: хороши в защите и переживанию осад или штурмов. Однако эти качества зависят от того как часто реакторный тренируется в вызове реактора. Если вообще не тренируется, но скатывается на ранг ниже. Если перетренировывается, то поднимается на ранг выше.

2 ранг) На данном этапе появляется мысль о непрерывном реакторе, и впринципе этот ранг можно считать дискретным непрерывным реактором. В основе своей реактор вызывается часто и просто так, и реактор становиться если не частью смысла жизни, то тем что захватывает по крайней мере половину личности скажем так.

Боевые качества: Более лучшая версия 1 ранга, при том способная к атаке. Однако стоит отметить, что есть две версии второго ранга. Тем кому норм и тем кто хочет больше. С первыми всё хорошо, это действительно лучшая версия 1 ранга и
при том способная к атаке. Вторые в свою очередь не совсем стабильны, поэтому они могут либо понизиться в ранге либо повыситься. При этом их качества защиты/атаки тоже нестабильны. Впринципе, если они понижаются в ранге, то и качества их понижаются. Если повышаются, то и качества повышаются, поэтому их бы бросать в атаку или в защиту когда тех атакуют, при этом ловя их если они потерпели неудачу.


3 ранг) Непрерывный реактор. Думаю этим всё сказано, просто непрерывный реактор. При этом не стоит про этот ранг думать как про сумасшедших каких-то или типо того, не обязательно. Просто смысл в том, что реактор непрерывен. А вот уже для чего он используется это как раз и будет определять тут то, насколько они будут похожи на психов.

Боевые качества: очень разнообразны, но по сути это всегда улучшенная версия 3 ранга, просто тут могут быть приоритеты в какие-либо вещицы. Вообще, так-то, 3 и 2 ранг похожи очень сильно, и также могут быть нестабильными или стабильными. Хотя у третьего ранга нестабильность проявляется скорее в том, что это полноценный психоз, оттого думаю понятно в чем нестабильность. Хотя упасть куда-то он и может, но это будет сопровождаться чем-то очень громким. А так разницам между 3 и 2 рангом в продолжительности реактора, при этом если реакторный посвещает себя полностью реактору, то они начинают быть нестабильными.
Аноним 29/10/24 Втр 04:41:20 763206 852
image.png 149Кб, 1393x3297
1393x3297
0 ранг
1 ранг
2 ранг
3 ранг

Щас через нейроночку прогоним.
Аноним 29/10/24 Втр 08:03:03 763208 853
Ладно надо лорки искать для этого а мне лень.
Аноним 29/10/24 Втр 09:43:54 763214 854
image.png 12Кб, 321x672
321x672
image.png 9Кб, 378x650
378x650
Аноним 02/11/24 Суб 13:59:01 764115 855
Аноним 02/11/24 Суб 14:05:50 764116 856
https://www.youtube.com/watch?v=JOW-2z_yzXM&ab_channel=davidhertzberg


Ого какая мысль. Идея меняется. А ощущения не очень. Поэтому если плохо и главное ощущения - то как поменяются ощущения? А если идеи надо чтобы ощущение было хорошим, но оно плохое, то идея может поменяться и ощущение станет хорошим.

Под идеей имею ввиду впринципе мысль, интеллектуальную деятельность и т.д, можно сказать даже теории но не обязательно.
Аноним 02/11/24 Суб 17:12:50 764176 857
Аноним 02/11/24 Суб 17:36:04 764201 858
Аноним 02/11/24 Суб 20:36:32 764273 859
Аноним 04/11/24 Пнд 01:48:39 764375 860
173067375046461[...].png 611Кб, 850x789
850x789
С одной стороны мной быть хуево
Но на самом деле мной быть очень хорошо.
По крайней мере куда лучше чем обычным человеком быть, и нет, я тут вам брат, если считаете себя обычными. И брат я потому, что я как и вы смотрю что мне доступно.

И всё же какой я замечательный, хотя это и пиздец с другой стороны, ибо не у каждого мазохизм возведён в принцип скажем так, но это страшно до куда, по куда я смотрю на то всё как ребёнок можно сказать. О, спасибо тебе, что приглядываешь и заботишься обо мне, сам же я.
Аноним 04/11/24 Пнд 03:39:03 764382 861
Хотя да, мне и правда хочется мамы. Просто материнского тепла. Эх. Надо решать эту проблему в общем, при том решать на корню бы, чтобы мне не хотелось бы мамы. Хотя честно говоря только от себя я чувствовал эту любовь, я сам себя обниму. Сам себя поглажу. Ну и ещё дед, но там это в другой манере, я тут про сентиментальную же часть. Как же всё таки хочется просто поплакать, как же хочется просто иногда умереть. Но хорошо что я слежу за собой, и не веду себя в диструктив. Спасибо, я! Не за что, я.
Аноним 04/11/24 Пнд 12:10:34 764410 862
>>754735
Блять, челл. Ты где. Я щас буду допиливать прогу, а именно переходить к другому ассортименту чем множества. Хочешь расскажу как я это сделал?
Аноним 04/11/24 Пнд 15:51:51 764440 863
Аноним 04/11/24 Пнд 17:55:19 764445 864
>>764410
Здесь я, здесь. Расскажи, интересно.
Аноним 04/11/24 Пнд 18:15:49 764449 865
>>764445
Это хорошо. Я думал ты ушел просто после тех скринов, ну ладно. Короче прогресс есть, т.е возобновился после такого вот перерыва. Множества(почти-множества) сделаны, и даже можно сказать сделана фича одна с помощью которой щас буду заполнять всё это. Т.е добавлять всякие там группы/решения/операторы/функции/сущности по необходимости.

И идея достаточно простая. Просто определяем пары из сущностей из объекта и всё. Кстати сами эти пары относим к объектам, т.е считаем сущностью у объекта. Ну и вот! К примеру уравнение тогда это пара из функции и числа. А решение это пара из той пары и какой-то другой функции.

Потом дальше пары из объектов, а именно пары из всяких сущностей из этих объектов, плюс можно дополнить всё это какими-то преобразованиями. Правда там по этим преобразованиям надо понимать, что когда у тебя они ничего нового не пораждают, то это одно, а когда они пораждают что-то новое и другие объекты чем были изначально это совершенно другое.

Типо вот хотим сравнить 1 и 2, и мол есть преобразование +1 к 1 чтобы получить 2, и это ещё как пара воспринимается про которую мы думаем как про то что 2 больше 1. Это одно, а когда у нас это преобразование +1 дальше действует, то мы уже получаем не то чтобы сравнение 2 и 1, а впринципе целые числа. Ну и сравнение любых целых чисел типо. Но в любом случае таким образом можно просто топологией наделять всякие вещи, и эти преобразования из одного в другое - типо а является ли какая-то фигня непрерывной скажем так. При этом по такой логике можно взять группы и их гомоморфизмы, и типо в чем тогда отличие какой-то группы с топологией и (типо) категории групп? И там преобразования есть же, и там и там могут быть пары, если надо. А вот разницы в том, что топология на группе подразумевает...только топологию и только эту группу, а вот уже (типо) категория групп имеет ввиду просто группы и ты можешь получить бесконечно много этих вот групп из какого-то преобразовния(гомоморфизма), а с топологией ты можешь тока понять а является ли у тебя там формула/функция из группы непрерывной мол. Может сумбурно написал, но ты извини просто психически не по себе сейчас. Надеюсь мой пост не похож на шизофазию.
Аноним 04/11/24 Пнд 18:30:37 764453 866
>>764449
Все через пары определять вместо множеств? Не получится сделать вещественные числа.
Аноним 04/11/24 Пнд 18:38:11 764454 867
>>764453
Бля, вещественные числа...

Да нет, не всё, и вообще в теории можно эти пары обобщить. Ну там до троек и т.д и т.п, а потом даже какие-то бесконечные и континиумы, но пока что хватит и пар. Тут же пара это считай в каких-то случаях обозначение знака между двумя чего-то.
Аноним 04/11/24 Пнд 18:49:39 764459 868
image.png 22Кб, 1331x573
1331x573
image.png 15Кб, 1013x370
1013x370
>>764453
А сами вещественны числа это объект у которого есть множество элементов(типа флоат) и множество операций, при том операции можно создавать через другие операции и там надо просто ввести возможность брать пределы композиций из этих вот итоговых операций же. Ну типо как на пике и на втором пике про то, что тогда итоговые функции похожи на целые числа в коде в том плане что их можно тоже порождать. Ну типо банально можно взять умножение на 1 или прибавление одного и потом умножить эту всю вещь на какой-то множитель. И типо будет +1 или +4 или +1/3 и всё такое, хотя изначально там в f были только +1 и умножение на 1. И потом надо просто ввести возможность брать пределы у бесконечных композиций каких-то итоговых функций, к примеру ряд 1/i^2 к этому относится впринципе. Бляяяяя у меня ощущение что я бред несу ааааааааааааааааааааааа ладно надо чтобы это просто работало и помогло мне, да. Ничего страшного.
Аноним 04/11/24 Пнд 20:26:06 764476 869
Godeman1961
Аноним 05/11/24 Втр 01:11:14 764520 870
Аноним 05/11/24 Втр 15:31:35 764561 871
....png 192Кб, 850x531
850x531
А может быть и правда было бы неплохо стать кастратом, хоть в переносном хоть в прямом смысле. Но даже если так, то пока что только в переносном. И очень специфичном ключе. Моём ключе.
Аноним 05/11/24 Втр 15:35:06 764562 872
....png 192Кб, 850x531
850x531
Такая свобода, правда придавленная идей, однако. Всё же такие состояния не стабильны, а очень хотелось бы чтобы они были стабильными. Но думаю тут можно придумать будет что-то, да и пора бы уже начинать, а то всё потом-потом. Как долго я это откладовал? Наверное месяц или два. И очень не приятно будет если ещё отложить.
Эхо 05/11/24 Втр 18:33:50 764574 873
>>764561
А зачем тебе это?
Аноним 05/11/24 Втр 19:42:37 764585 874
>>764574
У тебя какие ассоциации с кастратами?
Эхо 05/11/24 Втр 20:07:28 764592 875
>>764585
Я бы сказала, что а первую очередь люди с очень своеобразной сексуальностью своеобразней, пожалуй, только пенектомия. Ну и конечно певцы/евнухи в гареме. И трансы. И раеовые больные.

Если ты ищешь eunuchoan calm, то как я пончла он случается не у всех
Аноним 05/11/24 Втр 21:07:38 764601 876
Ага.jfif 357Кб, 1220x1211
1220x1211
https://www.youtube.com/watch?v=teUW_NstKWY&ab_channel=Valera

>>764592
Я тут.

Смысл в том, что я ассоциирую кастратов с теми кто между. Словно нереальные и реальные, поломанные и сломанные. Тут ещё смешиваются понятия ментальной кастрации и осознания этого всего, а потом определенное псих состояние. Знаешь, словно пусто но движение есть. Если не кастраты имеют за что держаться скажемтак, что кастратам не за что. Оно и так кастрированные, но при этом не мертвые же, понимаешь? Вот и получается словно мертвые но живые, словно призраки но нет. Что-то между, как мимолетное явление, словно ничего и не было но что-то и осталось. В любом случае ощущается словно ты и рад боли и в тебя влезет куча чего-то плохого, а ты будешь даже и рад, словно перешел на другую сторону, этакий мазохизм но и нет, пытка того кто тебя пытает своей же пыткой даже может быть, словно ты своим ужасным положением внушаешь ужас другим. Но в любом случае это кастраты такие, в общем более нестабильные, а можно же говорить и про стабильных. Это уже когда есть за что держаться, но это никогда не сломать или оно очень твердое. Когда тот стержень на котором держался кастрат заменяется чем-то иным и более конкретным а не чем-то что даже сам и кастрат не знает всегда, и разум уже перестраивается. Теперь это не просто мимолетное явление, а прямо таки ведение с посылом. Ну и заново наращиваются более сложные личностные качества и т.д и т.п, при том наращиваются любые, в том числе и легкие что от ветра сорвутся а могут и очень сильные, словно продливая основу кастрата из-за которой он не может умереть и которая вроде кажется что если н еполучает урона, то может даже наоборот питается уроном.
Аноним 05/11/24 Втр 21:08:40 764602 877
>>764592
>поломанные и сломанные
Не сломанные т.е.
Аноним 05/11/24 Втр 21:29:56 764604 878
Аноним 05/11/24 Втр 22:50:21 764618 879
Эхо 05/11/24 Втр 23:27:09 764627 880
>>764601
Ну,кастрация и смерть - не равнозначные вещи. Хотя, мне кажется, для многи мужчин лишится половых органов - равно смерти. Хотя, я тоже бы очень не хотела лишится своих. Вообще, сложней всего мне бы было смириться с потерей глаз, рук и половой части - причем даже больше внешних органов, чем матки или яичников.

Кстати, напомнило мне фильм Книга Теней, где одержимый "злом" дядька кастрирует трансгендера глиняным черепком, "доводя до конца то, на что тому не хватало смелости".

А вообще да, кастраты - интересные существа, не мужчины и не женщины. Рожденные, но те, кто не может дать жизнь...

Интересно, что транссексуалы, которые чисто технически тоже кастраты/стерилизованные денщиеы, такого ощущения "между полами" не вызывают...
Аноним 06/11/24 Срд 01:48:19 764643 881
Berdefa1.png 89Кб, 343x440
343x440
>>764627
Давно мой тред читаешь кстати? И ты кто?

>Ну,кастрация и смерть - не равнозначные вещи.
Конечно же, поэтому человек и не умирает, но в тоже время в психологическом смысле не относит себя к тому, кем он был раньше же.

Лишение органов это уже физические всякие вещи. Тут достаточно заменить их на протезы, а вот лишение полового - на ментальном уровне скорее. Ибо ты в теории можешь себе присобачить железное что-то туда, но ощущать себя тем кем ты был раньше наверное будет трудновато.

Ну не знаю, всякие трансы это же типо...кто?

>Интересно, что транссексуалы, которые чисто технически тоже кастраты/стерилизованные денщиеы, такого ощущения "между полами" не вызывают...
Потому что скорее всего у них вся личность завязана на этом. Как-бы сравни мои рассуждения и о том о чем они постоянно говорят, собственно. Ну я конечно предпологаю по крайней мере, но всё же.
Эхо 06/11/24 Срд 01:59:10 764644 882
>>764643
Давненько. Я Эхо, из треда EchoChamber
Аноним 06/11/24 Срд 02:05:10 764645 883
>>764644
Ну почитаю твой тред. А как тебе мой тред?
Эхо 06/11/24 Срд 02:19:59 764646 884
>>764645
Неплохо и интересно,но для математической части я ТУПЕНЬКАЯ
Аноним 06/11/24 Срд 02:22:54 764647 885
>>764646
Тогда я можем в твоем треде пообщаться если хош.
Эхо 06/11/24 Срд 09:29:09 764661 886
>>764647
Ну мы можем и друг к другу в гости по тредам ходить
Аноним 11/11/24 Пнд 22:30:32 765308 887
image.png 2326Кб, 1000x1264
1000x1264
https://www.youtube.com/watch?v=mQVq-gPFT7E&ab_channel=AndrewRemillard
Эх Цикадочки, но об этом потом.

Короче. Насчет того чтобы создавать функции в коде, в общем это просто. В основе надо создавать просто будет маленькие функции из которых потом создавать бы уже как раз функции. К тому же тут и проявляются мои те мысли о стандартах. Ну и такая вот мысль: преобразовывая объект, т.е создавая преобразование в том числе, мы изменяем что-либо в нем. Внутренности его, и по хорошему надо чтобы от изменения одной внутренности менялись и другие, если так надо.

Поэтому да, наделяем эти внутренности("пары") неким отображением и создаем уже класс эквивалентности [пар] на основе отображения.

И дальше просто изменяя объект будем создавать его внутренности из этих отображений. При этом важен вопрос будет того как внутренность элемента объекта будет влиять на етот объект.

Впринципе, так как [пары] в объекте должны иметь ввиду любые сущности из объекта, то проблема этим невелируется. Однако надо будет делать бы это автоматически же, кстати, но впринципе это всё наверное можно будет вписать в такой вот подход.

А, ну и да, это всё пока что второй раздел, а ведь ещё ждут меня по крайней мере конструкции. И как помню они не то чтобы отличаются, точнее, сделаны должны быть усилиями из 2 раздела, может только если что-то подправить же там пооптимизировать же.
Аноним 12/11/24 Втр 02:28:42 765334 888
Нипа.webp 21Кб, 172x374
172x374
На случай если словишь псиоп насчет цикадочек и ретроспективы же.

Во первых: ВОЗМОЖНОСТИ. Когда ты дочитал цикадочек на своё первое прочтение, ты ощутил ВОЗМОЖНОСТИ.

Во вторых: хоть какие сходства и есть, но стоит делить то, что относится к тебе, и что есть порождение этого псиопа. И да, насчет сходств, которые про грустяшки и т.д - они полностью схожи с твоими, правда прошли ли они? Прошли, хоть и могут вызывать грусть. И да, надо делить грустяшки по детству и относительно основной проблематики которая означается этим состоянием(выходом из чего-то, аля судьбы).

В третьих: если смысл только в основной проблематики этого состояния, то поздравляю - синхронизация, как минимум.

В четвертых: тебе надо выйти из псиопа, если он усилился, ибо этот псиоп перерывает вещи, изменяет их и т.д. После него уже трезво взглянешь. Удачи.
Аноним 12/11/24 Втр 03:13:21 765338 889
>>765334
Ах, ну и да. Прочитай цикадок летом, если хочешь. И да, у цикадочек много сторон если что. И просто послушай вот эти

https://www.youtube.com/watch?v=1AxkHZ5WGMc&list=PL0YDec1hvdtU_2JXMxO-sByllanTyTrfb&index=57&ab_channel=JennyMcLesbian
https://www.youtube.com/watch?v=OncQlCnuv8o&list=PLrZ7rru7O5xhTaOeIfzL7BE1NQfzz97NY&index=81&ab_channel=ozoz93
https://www.youtube.com/watch?v=q6biUF-Xa4I&list=PLrZ7rru7O5xhTaOeIfzL7BE1NQfzz97NY&index=82&ab_channel=ozoz93
https://www.youtube.com/watch?v=OcDL6B7CLuA&list=PLrZ7rru7O5xhTaOeIfzL7BE1NQfzz97NY&index=83&ab_channel=ozoz93
https://www.youtube.com/watch?v=Phvtsuiufbs&list=PLrZ7rru7O5xhTaOeIfzL7BE1NQfzz97NY&index=99&ab_channel=ozoz93
https://www.youtube.com/watch?v=D0um2Y-1mZU&list=PLrZ7rru7O5xhTaOeIfzL7BE1NQfzz97NY&index=103&ab_channel=ozoz93
https://www.youtube.com/watch?v=wqpPqPhyjuo&list=PLrZ7rru7O5xhTaOeIfzL7BE1NQfzz97NY&index=104&ab_channel=ozoz93
https://www.youtube.com/watch?v=Q6O0SxArnbU&list=PLrZ7rru7O5xhTaOeIfzL7BE1NQfzz97NY&index=111&ab_channel=ozoz93
https://www.youtube.com/watch?v=v8rNIKCg9zI&list=PLrZ7rru7O5xhTaOeIfzL7BE1NQfzz97NY&index=112&ab_channel=ozoz93
Аноним 12/11/24 Втр 03:23:32 765339 890
Аноним 12/11/24 Втр 04:57:55 765340 891
Аноним 12/11/24 Втр 06:09:19 765341 892
Аноним 13/11/24 Срд 05:48:52 765577 893
bethoven.jpg 187Кб, 1313x879
1313x879
image.png 859Кб, 735x729
735x729
https://www.youtube.com/watch?v=qSDUG4rtQFo&ab_channel=ZohairAlbarakati
Ох, как же я вернулся. Жесть, псиопы-псиопы. По крайней мере кстати да, всё же помнить об этом надо. История как никак, как-бы - корни и всё такое. И всё же я получил даже какие-то полезные вещицы, хотя в основе интересности.

Но пока хочу всё же докопаться чому писопы эти вокруг цикадок вызываются и почему они такие способные. Ибо так-то, то история просто. Корни.
Аноним 13/11/24 Срд 08:19:09 765591 894
Нипа.webp 21Кб, 172x374
172x374
Ми.webp 21Кб, 167x374
167x374
https://www.youtube.com/watch?v=D0um2Y-1mZU&list=PLrZ7rru7O5xhTaOeIfzL7BE1NQfzz97NY&index=103&ab_channel=ozoz93
По крайней мере кстати да - цикадочки что-то знаменуют. И достаточно просто задать вопрос, а можно ли вырезать их из моей жизни, подразумевая ,что ничего не измениться? Ответ - нет. И продолжение ответа заключается в том, что после прикосновения с цикадами обычно что-то происходит к тому же. Первый раз в детстве было, тогда оно определило что-то конечно, но выделю тут, что в детстве я был достаточно взрослым и рассудительным просто. Потом второй раз - после него пошло вот всё это, т.е и лисотред и алое небо и т.д и т.п. Потом третий раз этим летом - в итоге у меня есть реакторы и более другое сознание. А теперь четвертый раз, сейчас. Что же меня ждет?

И да, ознаменование. Т.е может и влияет как-то, а может как-то сокрыто же. Типо как перед каким-то либо событием допустим происходит даже можно сказать что рандомное что-то, но почему-то есть такая связь. Но в основе я могу углядеть прямые связи, а где-то не могу.

А так, то цикадочки кажутся просто чем-то скрытым, можно даже сказать бессознательным. Что-то неочевидное или незаметное, но при этом влияющие. И да, если покопаться, ну я немного покопался, можно увидеть одинаковый принципе работы где-то, а сколько того что я забыл(но могу вспомнить) это другой разговор. Поэтому летом надо будет прочитать цикад, как когда-то я их и прочел. И заглянуть надо будет именно что в сами цикадочки, чтобы найти вот эти незаметные связи.

[///]

https://www.youtube.com/watch?v=wqpPqPhyjuo&list=PLrZ7rru7O5xhTaOeIfzL7BE1NQfzz97NY&index=104&ab_channel=ozoz93

Кстатиииииииии, про мои сущности. Вообще, так смотря, то я бы мог бы назвать себя Рикой. По крайней мере схожести очень велики. Правда есть тут и другая сущность. Та, что была в прошлом месяца по крайней мере. И вот она...ну, с Рикой одинаково тут стремление к борьбе, но всё же они разные, как мне кажется. Та сущность, про которую говорю, это явно что-то может даже и не человеческое, кто его знает. Мол, выверенный механизм, просто идея aka план, что жаждет силы, и которому, как кажется, может даже и всё под силу. Любые невзгоды, особенно психические. Да, это про реактор. И реактор ещё может можно было бы назвать плохим, будь я плохим, но нет. Но сама суть реактора конечно есть... борьба. Достаточно примитивно. При том нет, даже не то чтобы борьба, я бы сказал именно что поедание. Еда же. Невзгоды тут, как и другие вещи, это еда для реактора, что разгорают реактор. Поэтому и говорю, что примитивненько, как зверь получается. Или там животное. Не обязательно кровожадный с острыми клыками просто, может и кошечка, а может и собачка, но в основе своей ничего более нету кроме этого. Хотя тут может быть и то, когда это не просто зверек что бежит за кормом, но зверек что бежит за более экзотическим кормом. Когда у реактора появляется какие-то задачки, что более сложные чем, допустим, испытать возгорание. И тогда уже оно и терпит и даже позволяет другим подчинять себя, но всё это ради поедания этой еды, более экзотической и сложной.

https://www.youtube.com/watch?v=D0um2Y-1mZU&list=PLrZ7rru7O5xhTaOeIfzL7BE1NQfzz97NY&index=103&ab_channel=ozoz93
И вот вопросик выходит, а кто я? Хотя знаете, у Рики тоже есть Бёрн ведь. Но я сейчас не знаю кто я. Хочу быть и тем и тем.
https://www.youtube.com/watch?v=q6biUF-Xa4I&list=PLrZ7rru7O5xhTaOeIfzL7BE1NQfzz97NY&index=82&ab_channel=ozoz93
https://www.youtube.com/watch?v=D0um2Y-1mZU&list=PLrZ7rru7O5xhTaOeIfzL7BE1NQfzz97NY&index=103&ab_channel=ozoz93
Но впринципе, раз реактор у меня не плохой и сохранил какую-то всё же мораль, то думаю выйдет так, что я буду становится Рикой когда-то, когда будет позволять такая возможность. И я имею ввиду забывания всего этого реактора, пока не надо будет его опять вспоминать же.

Такая вот мысль сейчас возникла. Наверное раз реактор достаточно пуст внутри, то может быть он просто служит тем кто не пуст? Ибо мораль сохранил, да и не только. Поэтому может быть такое, что реактор это просто [моя] придумка, мой помощник же. И хоть мы с ним одно и тоже, по крайней мере в одном и том же человеке и прочее, но всё же. Это кстати и объясняет то, почему у меня была идея про то, что надо помнить свои корни скажем так. Откуда всё это пошло. По крайней мере именно что [мне] такая идея явно нраица! Поэтому надо будет вознести [меня] до более глобальной и абстрактной идеи, aka закона чтоль. Вспоминается каенто к этому, хм.

Поэтому надо будет подумать над тем, зачем нужны истоки!

Наверное в этом и был смысл, чтобы я понял это. И в этом и одно из одинаковостей с цикадочками. Увидимся [я], [Я]

Десу же десу. Нипаааа~☆
Десу же десу. Нипаааа~☆
Аноним 18/11/24 Пнд 21:24:26 766724 895
image.png 21Кб, 1095x617
1095x617
Кхм, насчет этих вот композиций...

Короче говоря: цикл с рекурсией какой-то функции, где сама эта функция как-то меняется(очевидно другой функций). Но! Где само то, что определяет ту функцию, что меняет изначальную функцию, должно тоже меняться. И меняться должно в плане как-бы менять в этой фигне какой-то индекс. Ну и тогда надо чтобы этот индекс указывался и в цикле же.

Примерно как на пике, где цикл бы про рекурсию говорил. Т.е эта "a" - предыдущее выполнение этой функции f.

//////////
И да, красоты не удалось сделать. Но как оказалось она особа и не нужна. Поэтому вместо именно что функций там будет [эссенция] функции, что являлась бы парой списка констант и более простых функций. Ну и да, тогда вызов осуществлялся бы просто некой [формой]. Тогда обычная функция это одна форма. Простая это другая, а ряд это третья и т.д.
Аноним 19/11/24 Втр 18:28:57 766864 896
image.png 30Кб, 1231x624
1231x624
>>766724
Ну типо того. Т.е в цикл надо будет добавить некое напоминание о том, чему у нас должны быть равны b2 и b3, чтобы в итоге индексы работали.
Аноним 21/11/24 Чтв 02:32:52 767019 897
image.png 356Кб, 980x347
980x347
https://www.youtube.com/watch?v=GMaPlX0oIMg&ab_channel=VladimirSultanovSoultanov

https://www.youtube.com/watch?v=D0um2Y-1mZU&list=PLrZ7rru7O5xhTaOeIfzL7BE1NQfzz97NY&index=103&ab_channel=ozoz93

Оказывается пары сделаны. Удивительно. Правда их бы создавать же. А, ну и да. Не только пары, внешние ещё тоже. И классы тоже. Да, их бы надо просто создавать теперь.

Выходит что всё вернулось к функциям теперь.

А так настроение примерно такое, да.
Аноним 21/11/24 Чтв 02:45:45 767020 898
Аноним 23/11/24 Суб 02:18:58 767279 899
image.png 10Кб, 1155x178
1155x178
Идея возникла. Берем две темы и делаем из них некие их вариации. Потом начинаем сразу две фуги вместе(но по очереди) из этих двух вариаций. Потом фуга эта должна будет перейти в другую фугу, у которой объект был бы чем-то быстро сменяющимся из темы a в тему b, где субобъект было что-то же подобное но из оригинальной a и b.
Аноним 23/11/24 Суб 02:45:25 767281 900
Аноним 23/11/24 Суб 03:45:45 767282 901
Кхм, просте функции.

Делим их на те, что применяют всякие "кодерские" объекты(ну типо операции из библиотеки math вот всё такое. Что в самом языке есть).

На те, что являются "логическими". Типо к которым можно применить булеву алгебру. Но это можно обобщить до просто каких-то систем с некой оценкой. Т.е берутся объекты, оцениваются, дальше происходит что-то с оценкой, и потом результат обратно переводится.

И на те, что сосредотачиваются на связи и взаимодейтсвия между каким-то неопределенными функциями. Типо их алгебраические свойства допустим, аля определить группу через три функции и один объект. Назовем их парно-функциональными!!11

Ну так вот. И вот, есть эти простые функции, а есть сложные - что сделаны из простых. Но короче смотря на функции, то по сути...они же как-то меняются характеристику у объекта типа? Ну вот да, что тоже надо учитывать, но тут скорее это относится ко всем функциям, что...меняют что-то. Ибо те парно-функциональные про определения всяких свойств у неопределенных функций же.

Вроде норм.

А, ну и да. Кодерские объекты...в общем если можно как-то оптимизировать объект, то он переводится в кодерский объект. Ну типо вот есть операции в самом с++ над целыми числами. А есть придуманные моей прогой операции над целыми числами. И вот если эти операции можно преобразовать будет в те что изначально есть или типо того - будет гуд.
Аноним 23/11/24 Суб 03:49:17 767283 902
>>767282
Поэтому...кодерские скорее требуют каких-то библиотек и создание этих библиотек. По крайней мере можно говорить тут о изменении кодерских каких-то характеристик.

Логические впринципе скорее понятно как бы их сделать.

Парно-функциональные...ну, не зря же это пары, да? Но тоже вроде понятно как сделать.

Характеристику менять вроде тоже.

Так что да, вопрос будет к этим вот кодерским вещам.

И да, хоть я и говорю про простые функции, но так-то, раз у нас есть какие-то кодерские объекты, что просто оптимизированее, то...а почему нельзя бы применять не оптимизированные? Так что да, надо бы добавить будет тут то, что сложные функции могут также состоять из сложных функций.
Аноним 23/11/24 Суб 03:53:35 767284 903
Beethoven.jpg 980Кб, 1200x1443
1200x1443
Смотрю.webp 231Кб, 360x1028
360x1028
16377770698030.jpg 467Кб, 1536x2048
1536x2048
d5y28eo-0a3f452[...].png 98Кб, 503x630
503x630
Ох год, уже больше 900 постов же, десу же десу! >>767281
Аноним 23/11/24 Суб 03:54:16 767285 904
93951cd336faa33[...].png 377Кб, 600x710
600x710
feet-sculpture-[...].jpg 147Кб, 910x683
910x683
james Watt.jpg 199Кб, 1200x1200
1200x1200
лиса.jpg 8444Кб, 3541x5216
3541x5216
>>767284
Ну и вот ещё в придачу.
Аноним 23/11/24 Суб 19:48:05 767342 905
>>767279
О, назову это арной софугой.

Типо, софуга - сонатная фуга.

Арная - количество тем.

Ну и типо тогда бисофуга.

Вот кстати ещё маленький тестик, но более прикольный.

https://vocaroo.com/16MWFAXhcHCY
Аноним 23/11/24 Суб 20:47:35 767347 906
image.png 70Кб, 652x611
652x611
image.png 69Кб, 658x629
658x629
Аноним 25/11/24 Пнд 23:50:27 767532 907
Опять что-то произошло видимо. Надеюсь не плохое однако, прости если что-то не так сделал.
Аноним 28/11/24 Чтв 19:04:01 767772 908
Аноним 01/12/24 Вск 14:15:42 767965 909
С днем Математика. И с первым Декабря. С 1 Декабря.
Аноним 02/12/24 Пнд 09:43:19 768034 910
image.png 3207Кб, 1920x1080
1920x1080
image.png 556Кб, 580x581
580x581
Ладно, я устал уже заниматься ентой низкоуровневой штукой, к тому же вроде и не обязательно её делать, как выяснилось. Так что пришло время тестировать функционал, урааааааааа.

Правда было бы неплохо сделать свой мини-язык наверное для этой проги, но как я уже говорил - я хочу уже к сути перейти, блин.

Да, а что делать...короче целые числа, рациональные и потом иррациональные. Вместе с тем чо на них можно налепить, конечно же. Потом векторные штучки. А потом уже поинтереснее, ведь буду испытывать внешние внутренности, поэтому это уже про более абстрактные штучки аля группы...группы...ну и гр, кхм, имею ввиду другие объектики и т.д. Просто позыркать как работает функционал.

А потом уже можно будет после такой формальности заняться другой проверочкой, типо, если что-то такое может - гуд, переходим ну другой уровень. А потом из него как раз и старт то, чего хотел.
Аноним 02/12/24 Пнд 12:40:44 768043 911
wallpaperbetter
Аноним 02/12/24 Пнд 12:45:05 768044 912
free-wallpapers
Аноним 03/12/24 Втр 13:37:08 768089 913
Безымянный.png 299Кб, 3814x1698
3814x1698
Ааа...ну кстати а почему бы и нет. Если так подумать. Настолько держал всё в себе, что в итоге вместо того чтобы делать - "делаю" внутри, т.е думаю об том, что буду делать. А значит решение простое - делать СЕЙЧАС. Брать и просто делать.

Ещё можно проецировать то, как бы делал вещи. Короче да, просто делать бы.
Аноним 04/12/24 Срд 16:50:41 768194 914
image.png 1537Кб, 2423x2160
2423x2160
Аноним 04/12/24 Срд 21:42:58 768211 915
Аноним 05/12/24 Чтв 20:12:06 768262 916
6d09ca9ab312eb0[...].jpg 25Кб, 400x337
400x337
Аноним 05/12/24 Чтв 20:24:42 768264 917
Аноним 05/12/24 Чтв 20:36:04 768265 918
Даже не настолько важно что можешь сказать, ведь если не можешь сказать, то хотя-бы сделать можешь. А если и сделать не можешь? Б - беспомощность. Беспомощность.

Но я понимаю, я вижу. Поэтому беспокоится не надо. Грустить тоже смысла нет, хотя возможно смысл есть. Поплакать чтобы силы взять. Но я не очень расстроен.
Аноним 10/12/24 Втр 00:12:25 768506 919
каппфарвел.webm 9407Кб, 324x600, 00:03:43
324x600
Beethoven.jpg 980Кб, 1200x1443
1200x1443
16452762323520.jpg 105Кб, 844x478
844x478
93951cd336faa33[...].png 377Кб, 600x710
600x710
Аноним 10/12/24 Втр 00:13:10 768507 920
Смотрю.webp 231Кб, 360x1028
360x1028
Борьба.webp 79Кб, 640x920
640x920
30 соната 3 двж[...].webm 574Кб, 520x660, 00:00:17
520x660
Тун-тун-дааан.webm 9419Кб, 274x284, 00:08:31
274x284
Аноним 10/12/24 Втр 04:11:49 768510 921
Аноним 10/12/24 Втр 04:12:16 768511 922
В тени.jpg 163Кб, 850x1258
850x1258
Аноним 13/12/24 Птн 06:41:24 768735 923
Аноним 17/12/24 Втр 08:04:23 768969 924
image.png 171Кб, 208x330
208x330
https://www.youtube.com/watch?v=SN5cnVk85uo&ab_channel=rapter9800
(12:15)

День - проснулся.
Ночь и снег,
Метельки падают в окне,
А глаз моих я подниму
И взглядом озарю
Вопросительным лицом
Поймаю я ДУХ.
Войну объявив
Всему миру вокруг
Против реальности в Декабре
Иду на абсолютный бой
И так ласково мне дома
В комнате и словно я не дома
Ведь на улице снег топчу
Аха-ха-ха-ха
Аноним 20/12/24 Птн 15:41:09 769331 925
Аноним 22/12/24 Вск 05:52:15 769524 926
Аноним 22/12/24 Вск 18:01:24 769587 927
16418971785340.mp4 8236Кб, 512x384, 00:00:48
512x384
>>769524
Доброго вечера уже!
Аноним 22/12/24 Вск 18:03:00 769588 928
Вот так.webp 63Кб, 562x592
562x592
Аноним 25/12/24 Срд 13:46:42 769854 929
image.png 465Кб, 700x700
700x700
>>768034
Да, пришло время для мини-языка, всё так. Десу же, десу.
Аноним 25/12/24 Срд 15:36:45 769865 930
173512815880528[...].png 405Кб, 796x597
796x597
Как же иногда хочется побыть человеком и просто расплакаться.

А ведь да, первоначальная обшида, первоначальная обшиго. Потом центральная обшиго, потом центральная обшида. Вместе с тем обшида может идти до первоначальной. И еще могут быть иные дополнительные.

И я это к тому, что даже если меня захватит [интеллектуальная] мысль, она же все равно будет со мной. И будет исполнять всë же мои желания. Поэтому я это я. И остальные я плавают во мне. И бывает такое, что я являюсь в форме я, как остальные я.

И я даже понял что кто кем чем является вроде. И я уже успокоился.
Аноним 25/12/24 Срд 15:39:08 769866 931
>>769865
Даже немного слезинок смог проронить, а такое очень редко бывает.
Аноним 25/12/24 Срд 21:16:34 769898 932
Или [ты] хочешь сказать, что я переместился куда-то? Типо в [другую реальность]? Такой тонкий траленк/намек чтобы я работал, ха-ха. Ну блин. Ну будет ещё, что ты так? Я же не забрасываю ничего, я программу делаю. Математику думаю там. Однако ладно, ускорюсь в этих делах.
Аноним 27/12/24 Птн 23:01:15 770089 933
image.png 680Кб, 600x599
600x599
Метаморфозис, huh?

Я имею ввиду как же я чувствую это желание.
В любом случае только в следующем месяце, хотя насколько это желание выйти из скорлупы ещё сохранится, да?
Аноним 28/12/24 Суб 01:53:25 770096 934
Прости меня, кстати, если что.
Аноним 28/12/24 Суб 02:00:38 770097 935
16452762323520.jpg 105Кб, 844x478
844x478
d5y28eo-0a3f452[...].png 98Кб, 503x630
503x630
i.jpg 22Кб, 720x405
720x405
images.jpg 10Кб, 225x225
225x225
На самом деле хорошо, что есть время. И не менее хорошо, что есть понятие существования и несуществования. А эти эмоции, как их называют, это тоже важно. Это же ведь всё связанно.

А конкретно про отношения, то можно смотреть на момент конечно, но можно брать выше. Шире, если угодно. К этому тут и время и не только.

>>769865
Не забывай о том, что эту схему с обшида и обшиго можно рисовать в более интересных красках. И эта схема первая, это в том числе и то, отчего все другие более красочные схемы пойдут.
Аноним 28/12/24 Суб 02:04:51 770098 936
image.png 985Кб, 595x842
595x842
>>770089
Но нет, не забываем, что [ты] мне нужен. Я разрешу тебе наконец-то поделать вещей. Няяяяяяшка такой, хоть может и свиду страшный, но тебе же тоже хочется побегать там, попрыгать, верно? Не всегда же сидеть в клетке(хих).
Аноним 28/12/24 Суб 02:06:54 770099 937
>>770097
А, ну да, чтобы понятнее было
>не отношения между человеками
>а отношения между человеками во времени (считай аля 4д)
>и дальше сюда можно применить ту фигню про обобщение магического мышления, и про понятие теней поговорить, и про описания и короче всё смешать и бла-бла-бла, ориентировки я навел если что, сам всё вспомнишь
Аноним 29/12/24 Вск 12:34:01 770207 938
image.png 48Кб, 1818x808
1818x808
Короче, можно строить это сверху вниз, а можно снизу вверх.

Сверху вниз это уже знаю, это когда мы берем отрезок, делаем на нём классификацию, задаём там взаимодействие точек и т.д и т.п.

Но можно сделать и наоборот, снизу вверх и при этом другим образом. Это будет сумбурно если что написано. По сути, когда мы вводим классификацию, то параметр этой классификации же у нас по сути задает нам фигуру преобразования какой-то фигни. Но тогда можно же ещё раз параметризировать эту вещь. Или же - поговорить о каком-то отображении. Короче допустим классификация это длина отрезка на линии. Длина здесь задается допустим функцией f(x)=x просто. Где тогда 0 отсылает нас к какому-то изначальной длине отрезка. Ну и вот, у нас отрезочек получается либо бесконечно уменьшается либо бесконечно делается больше, где сама функция x является же типо, ну. Линией же. Но теперь можно взять и ввести типо f(x(y))=x(y), и допустим это выглядело в итоге как sin(y) же. Тогда мы бы могли говорить не о линии в случае x, а о окружности же. И типо представить енто как если бы мы взяли бы линию и типо соединили там какие-то две точки а всё что не окружность аля отрезали. И по сути это будет задаваться какой-то линией y же. Но мы можем и по другому сделать, мы можем говорить там допустим о sin(y+z), где типо тогда уже тут задается квадратик. В общем такой вот подход. И тут можно не только идти снизу вверх, но и сверху вниз, подразумевая тогда не параметризацию, а что-то наоборот. Типо не x->x(y), а x->y(x).

А теперь то, что можно красиво рассказать! В общем представим себе квадратик, где точки квадратика "содержали бы внутри" другие 2д фигуры, тот же квадратик. Квадратик в котором точки "содержат внутри" другие 2д фигуры будем звать рекурсивным или старшим. Сами же "внутренности" точки тогда младшими или не рекурсивными. В общем идея такая, что берем старший квадратик, задаем там классификацию, и вопрос такой. А вот беря какую-то пару двух точек на этой классификации - как-бы мы могли бы связать конкретно эту пару из эти двух точек как часть классификации на старшем квадратике с классификациями младших точек? Там же фигуры на которых тоже же есть классификации. В общем снизу-вверх: надо просто взять будет "расширение" этих двух классификаций, при том такое, чтобы эти два расширения были одинаковы типо. Воаля!

Для примера старший квадратик где между двумя его точками проходит линия, что формирует пару из этих двух точек. Где эти две точки "содержали бы внутри" какие-то другие квадратики, которые пронизываются другими линиями. Ну так вот, значиц берём эти классификации каждой точки и расширяем так, чтобы расширение типо содержало и то и другое. Короче как на пике, где красные это часть классификации старшей, зеленые и фиолетовые это уже полные классификации этих двух фигур, и вот дальше синия классификация как их расширение, что мол содержит и то и другое.

Ну вот! "Склейка"! Только короткая, между старшой и младшей. Типо как между n и n+1.

Впринципе таким образом можно представить старшую как совокупность всех этих склеек между младшими и страшей. Типо совокупность расширений, которые можно основывать на...парах же! Ну типо расширение(классификация1,классификация2).

Также можно и сверху-вниз. Для этого надо взять часть классификации и подумать о том, какие бы две классификации при расширении могли бы дать вот эту часть классификации. Ну типо можно взять часть классификации ввиде R^n какой-то. Типо n мерное пространство. И тогда можно говорить о его подпространствах, где расширение бы этих подпространств было бы просто...ну, пространство у которых мерность это сложение всех мерностей вот этих подпространств же. И вот так вот можно идти сверху вниз же.

При этом это же была короткая склейка ведь с n на n+1 или с n на n-1, но можно сделать и полную. Длинную. На все значения n типо.

И это будет в достаточной степени кстати похоже на пучки.

В общем одна из очевидных полных склеек это когда у нас есть какая-то последовательность из одинаковых классификаций. Типо можем взять первый самый пример с линией и отрезком. Ну так вот, там же классификация и в будущем линия преобразования линии же это же линия. А значит туда можно задать такую же классификацию. И будет такой вот рядок из линией преобразования линий пребоазований линий преобразования линий... .

При этом мы тут говорим про склейку только, но можно ещё и про новые всякие классификацию же. При помощи склейки как раз задать это. Для этого достаточно будет попробовать как-то одинаково расширить две сущности, это же ведь не всегда получается. Тогда можно для примера взять эквивалетные сущности этим и там расширить. Ну и вот, тогда можно говорить не про эти изначальные классификации, а про эквивалентные же. И тогда при обобщении можно говорить просто про какие-то взаимоотношений того, что можно расширить относительно чего-то изначального. При этом кстати эквивалентные вещи могут быть сразу заодно и расширением, что интересно.

И это всё снизу-вверх, но можно и сверху-вниз делать такое. И это более понятно как делать, просто надо задать взаимодействие точек же. Чо там как-там, это я уже знаю.

Но тут можно сделать ещё и другое! Можно одновременно и сверху вниз и снизу вверх.

Т.е есть заданное взаимодействие точек на старшей и есть какие-о изначальные младшие классификации. Ну и вот короче, берем и просто находим "эквивалентное" изначальным младшим такое, что при расширении даёт нам результат старшей, или же что сразу является дерасширением старшей.

Для примера точки взаимодействуют тем, что берут там пространства линейные и получают новое линейное пространство, аля тензорное умножение в общем? Короче 1 мерность+2мерность=3мерность, в таком духе. Дерасширяем и получаем подпространства просто какие-то. А вот изначальные классификации у нас допустим это группы. И что же? А берем и вспоминаем, что группы вполне себе могут быть модулями. А модули это обобщение векторных пространств. Ну и вот - не группы уже, а векторные пространства. Как нам и требуется.

Также ещё какая-то мысль была вроде. А, ну да. И я её озвучил, ну это вам знать не надо, но для себя запишу - последнее про структуры, а всё что было до - больше про классификации и предструктуры. При этом кроме последнего это всё больше про предикаты, а вот последнее вполне себе может быть и про конструкции.
Аноним 29/12/24 Вск 13:01:28 770209 939
>>770207
А, вспомнил. Если бы там было бы не "внутри", а именно что subsets, то там, где практически пучки, это и было бы пучками прям, наверное.
Аноним 29/12/24 Вск 23:59:32 770299 940
image 525Кб, 1024x1024
1024x1024
Мне страшно было сюда приходить. А теперь мне еще больней.
Страшно и тогда, страшно было и сейчас, спустя 4 дня.
Знаешь, что изменилось после нашей последней переписки? Я не могу расправить плечи, я не могу выпрямить спину. Я держусь, не из последних сил, нет. Это было бы слишком пафосно и лживо. Просто, не смотря на боль и скованность, я делаю вид, что могу ходить прямо, что я свободна. И у меня получается.это почти профессионально
Я красива, эффектна, на меня смотрят разные мужчины, иногда они даже со своими женщинами. Я - образ той, к которой многие из вас хотели бы прикоснуться.но зачем?
А женщины... Женщины видят мои слезы.спасибо им за понимание, поддержку и нежность
2,5 года назад у меня появился браслет. И я в полу-шутку загадала, что буду носить его, пока не найду свою любовь. Ночью он порвалсяа я уж думала, что он вечен. Порвался и упал. А я так ничего и не поняла.
Аноним 30/12/24 Пнд 01:27:26 770310 941
>>770299
Поймётся всё, не переживай.
И боль пройдет и скованность. И плечи расправятся. И хоть может это и не понятно будет, но если захочется - в каком-то смысле будет. А так всё поймется.

Ну а я лично спустя 4 дня вернулся к тому, что хотел сделать ещё как перед зимой.
Аноним 30/12/24 Пнд 01:51:06 770312 942
>>770310
Если я и переживаю сейчас, то явно не по поводу понимания чего-либо. Понимания и так слишком много, хуярит через край. Так еще и добавляют и добавляют нового понимания, я не против, это полезно.
Аноним 30/12/24 Пнд 02:02:01 770315 943
>>770312
>я не против, это полезно.
Раз полезно, то полезно.
Аноним 30/12/24 Пнд 02:24:09 770317 944
>>770315
Тебе опять нечего сказать. Почему ты можешь передвигаться только с какой-то опорой, поддержкой? Почему часто ты теряешь силу в своих ногах и ищешь выступы на кафельных стенах? Почему ты вообще решил окружить себя таким пространством? Ты уже падал в нём? Если ты наебнешься среди своей майолики, ты же поранишься до крови.
Аноним 30/12/24 Пнд 02:31:14 770318 945
>>770317
Я могу и без опоры и без поддержки, но это потом.
Аноним 30/12/24 Пнд 02:32:20 770319 946
>>770318
>>770317
Точнее скоро, а не потом уже, выходит.
Аноним 30/12/24 Пнд 02:47:37 770323 947
Какая разница, если между этих стен только эхо?
Аноним 30/12/24 Пнд 03:05:08 770328 948
Не понял.
И я впринципе про опоры мои так называемые.
Аноним 30/12/24 Пнд 03:11:18 770329 949
Спроси себя вслух: почему я слышу только эхо?
Тогда, возможно, поймешь...
Аноним 30/12/24 Пнд 05:55:16 770350 950
Аноним 30/12/24 Пнд 06:24:50 770353 951
Аноним 30/12/24 Пнд 14:02:46 770399 952
Аноним 01/01/25 Срд 01:58:15 770665 953
17336019764650.webm 3656Кб, 640x360, 00:00:57
640x360
Няшное нг, конечно же. Но с 3 числа конечно надо будет разорваться. Вот и готовимся, а точнее готовлюсь. Нипааааа.
Аноним 03/01/25 Птн 03:00:02 770898 954
image.png 269Кб, 474x734
474x734
https://www.youtube.com/watch?v=OH4p2-vGf64&ab_channel=truecrypt
О, взываю я к [тебе],
[Твоё] время пришло, и я выпускаю [тебя] на время.
[Ты] мой инструмент
И [ты] мой интеллект.
Помни о том, что [свобода] это про согласие,
Про согласию между деятельностью и [тобой].

Но всё же, про что я:
Я не против [твоих] развлечений,
Я разорву себя на части, выпуская [тебя].
И [тебе] это понравиться.
И за это [ты] меня отблагодаришь, ведь мы одно целое.

В любом случае [тебе] виднее будет, что я пытался сказать. А я начинаю подготовку.

Первостепенно - неделя. Если можно - две, и если хочешь - три. Предел в итоге - три недели. Но если захочется, то можно и 4 недели, но не больше.
Аноним 03/01/25 Птн 03:02:14 770899 955
image.png 269Кб, 474x734
474x734
А вообще, мне 5 соната Скрябина напоминает последнее движение 29 сонаты Бетховена. Очень похоже по духу, про одну тему - но различно.
Аноним 03/01/25 Птн 03:06:37 770900 956
Аноним 03/01/25 Птн 10:23:35 770913 957
Ммм, ох уж енти классификации. Но хотя-бы понятен теперь прикол изоморфных(если не действительно ровно таких же) классификаций. Кстати да, обновление в терминологии - есть классификация, а есть параметризованная классификация. И момент классификации, во. Гуд. Кхм.

Так вот, прикол в том, что если они изоморфные, то очень легко сделать будет в итоге, скажем, "карту" у так называемой конструкции.

Ну я имею ввиду: к примеру возьмём прямую числовую, на неё зададим классификацию как пару из двух точек этой прямой. Параметризуем эту классификацию таким образом: (x-5,x+5).

Отлично, теперь вновь можем посмотреть на числовую линию, а именно на параметр x. И мы там тоже самое можем сделать же, только уже будет другой параметр.

Теперь же вопрос, а как бы нам, зная на "высшей" числовой прямой точку, спустится вниз? Ну для примера берем точку 5 - она бы подразумевала бы пару из двух чисел на какой-то другой прямой, но каких? А это же у нас какой-то параметр к функциям x-5 и x+5. Поэтому можем говорить о паре 0 и 10. И дальше так идти, ведь это параметры к этим функциям.

Тогда можно заметить, что у нас там просто прибавляются 5 и отнимаются 5. Поэтому можно нарисовать будет квадратик таких вот пар, где у нас будет два направления: -5 и +5. И в итоге, посмотря, там будет вырисовываться двухмерное векторное пространство же (над целыми числами). Но что насчет взаимодействие предикатов? В общем та тематика про склейку короче говоря. А вот тут енто вполне себе легко определяется конкретно в данном пространстве: просто обозначив взаимодействие точек чем-то, мы получаем, что для вычисления этих самых взаимодействий конкретно в какой-то точек - надо взять взаимодействие от двух ближайших точек "вниз по направлениям". Ну так как там два направления, то просто надо взять взаимодействие от точки+1X(первое направление) и от точки+1X(второе направление). Как-то так.

Поентому можно взять под взаимодействие просто сложение пар по правилу: (a,b)+(c,d)=(a+c,b+d). Ну и вот, короче.

Но можно теперь ввести сюда )короткую) склейку снизу-вверх же.

Вспоминаем, что в самых низах у нас там была параметризированная классификация вида (x-5,x+5). Моменты классификации это просто пара из двух точек, где эти две точки отличаются на 5.

Теперь сделаем расширение этих двух моментов. Впринципе для прикола можно взять расширение в функцию какую-то. И тогда расширение от первого момента и расширение от второго момента могли бы равняться...ну да корчое, (x-5,x+5). Тогда у нас задано тут вот такое вот взаимодействие предикатов на линии параметра x же.

При том помним - у нас на той фигне (линии параметра x) кстати изоморфная классификация(по крайней мере её можно задать). Только параметризировать её будем по другому параметру, например y. И тогда имея часть классификации там как (x-5,x+5) и имея в каждой точке на x эту же фигню, то можно задать классификацию тем способом, что мы просто к (x-5,x+5) прибавляем (y-5,y+5)+(-y+5,-y-5), т.е (0,0).

Ну и вот, параметризированная классификация на x это...это вроде бы как наша изначальная параметризированная классификация, но к которой прибавили ентот ноль.

И дальше делая склейку ровно таким же образом мы получим тоже самое, но с ещё одни нулем. И так можно до бесконечности. В итоге тут можно под точкой в каком-то параметре подразумевать, так-то, прямые произведения между изоморфными коммутантами изоморфной первой группе наших ентих пар. Короче говоря координаты: [(x-5,x+5),(0,0),(0,0),(0,0),(0,0),...]. При том количество нулевых пар будет значить то, на какой по высшести параметре мы находимся. Воооооот. Ну и тогда возьмём высший параметр и с такой вот (короткой) склейкой попробуем чото посчитать. Точка на этом параметре допустим 0 - тогда берем заданное взаимодействие двух ближайших по направлениям точек в том двухмерном векторном пространстве и берём просто расширение их, а именно кого? Расширение пар -5,0 и 0,5, что было бы просто x-5,x+5.

Но можно дальше по склейке идти: -5,0 значили бы нам -10,0 и -5,5. В своё время 0,5 значило бы -5,5 и 0,10. И ведь у нас же -5,0 и 0,5 вполне себе могут быть высшим параметром типа, короче подразумевать взаимодействие вот тех вот фиговин, а это в свою очередь их расширения, что давали бы нам (x-5,x+5). Ну и вот, теперь у нас происходит взаимодействие двух вот ентих расширений - т.е выходит (x-5,x+5)+(y-5,y+5)+(-y+5,-y-5), аля [(x-5,x+5),(0,0)]. Ну и т.д по склейке можно продолжать.

При том кстати тогда у нас нет разницы как мы будем идти - снизу-верх или сверх-вниз при заданных взаимодействий предикатов через склейку снизу-вверх.

Хотя вот если бы мы делали бы склейку сверху-вниз...

Дальше первые мысли/вычисления и просто рассуждения вслух:

Тогда бы, беря момент классификации ввиде пары из двух чисел - их дерасширение ввиде моментов можно было бы предположить как просто пары из чисел, где тогда их дерасширение полностью выглядело бы как функция... короче говоря берем пару -5,5. Дальше говорим, мол, что у несть где-то есть пары -2,2 и -3,3 как дерасширение в том смысле, что расширением было бы банальное сложение ентих паров. Ну и в итоге можем задать -x,x в которой у нас есть как -2,2 и -3,3.

Ну и тогда таким образом у нас взаимодействие предикатов это просто сложение их.

Тогда можем попробовать взять саму -5,5 и попытаться короче вверх также пойти. Ну там у нас (y-5,y+5) т.е для примера -5,5 и 0,10 где тогда их сумма это -5,15. И тогда дальше, эээ... короче тогда можно было бы говорить о (2(y-5)+z,2(y-5)+z) где параметризация идёт по z...

Короче ладно, возьмём точку на высшей фигня и посчитаем так. 0 это у нас -5,5, где их расширение требовало бы нам расширить для начала -5 и 5. А это пары -10,0 и 0,10. Ну вот уже это было было бы у нас -10,10 просто. Ну и с обратной стороны снизу-вверх точно также будет. Берем -10,0 и 0,10, складываем и получаем -10,10. Ну вот, теперь же там можно взять любую пару и потом прибавть их между собой относительно какого-то расстояния и будет уже два параметра как раз. Типо того.

Ох что же я получил, хм. При том не забываем про квадратик ентот, точнее про двухмерное векторное пространство же. И то, что мы там идём от высшего к нисшему, а почему бы не наоборот?

Т.е берем пару, дальше - другую пару берем. Т.е берем отличную от нашей пары на константу. Типо (x-5,x+5)->(x-5,x+5) и (x-5+c,x+5+c). Ну и дальше будут просто разные константы. Ну допустим можно было бы говорить о...точно, вот сейчас сел и подумал. В общем там тоже можно создать векторное пространство, а что же насчет расширений? Ну вообще, такое ощущение словно я выворачиваю просто эту штуковину. Ну знаете, как для примера: вот есть у вас плоскость и вы берете точку там, координаты её в этой плоскости. А теперь же вы берете точку и берете...плоскость в которой она находится. Не плоскость а потом точка, а точка и потом плоскость. И координаа точки в плоскости преобразуется в координату плоскости относительно координаты. Сорт оф такого. Ох. А, ну и да, направления тут - одновременность классификаций, а второе направление это одновременность коэфицентов. Соответственно когда есть и то и другое - тогда типо говорим о распределении коэфицентов на какие-то пары.

В итоге какие плюшки то от конктерных вычислений? ОБнаружил то, что хотел обнаружить относительно рядов изоморфных классификаций. Ну а конктетно про склейки и т.д и т.п. - ну в одном случае у нас выход в числовую пару, а вдругом там вот та фигня про [(непустая пара),(пустая),...] При том да, енто же пока что всё есть классификации ещё, а не структуры если что.

А, ну и да. Склейки при структуре можно подразумевать как, ммм. Как если бы мы взяли функтор из двух моментов в нужные нам дерасширенные вещицы, потом взяли бы расширение и потом взяли бы от этой фигни обратный функтор. Функторы жеж? Ну типа.
Аноним 03/01/25 Птн 10:26:33 770914 958
>>770913
>И да, тогда второе направление где про одновременность классификаций. Одновременность которая кратна 2 если что.
Аноним 03/01/25 Птн 10:47:45 770915 959
>>770913
Т.е: есть "карта" классификаций. Карта может быть сделана на основе рядов классификаций.

На карте в дальнейшем можно задать взаимодействие предикатов(т.е точек) через склейки.

Структуры у нас при этом это просто какие-то "внешние"(извне аля, которые допустим склейкой не подразумеваются, хотя склейкой могут быть) взаимодействия предикатов, или у которых есть [контекст].
Аноним 03/01/25 Птн 17:55:01 770955 960
>>770913
>>770914
>>770915
Структуры конечно сложнее уже. В общем подразумевая под парами конкретное взаимодействие предикатов, то надо бы задать это в терминах расширений. Допустим "=" что задается тем, что мы два примерно одинаковых(см изоморфных) вещей переносим в одну абсрактную и изоморфную им. Мол, 1 и 2 переносятся в "число".

Дальше там всё ясно-понятно. Но относительно классификаций и их применения - если юать то, что выше описал, то будет выглядеть так, что там мы уже говорим не про классификации, а про применения классификаций - т.е про структуры. Тогда 1 структура у нас это линия с петелькой, где пересечение петельки и линии это значение из R, где каждая точка кроме пересечения отсылает нас к числу.

При этом 2 структура меняет 1 структуру в ровно такую же петельку, где только под точками уже эти петельки, как и сказал. А в пересечениях что-то вот изоморфное, но что? Что у нас есть такое, что идёт по циклу из значение из R в R? Допустим что-то комплексное, ну и вот - в итоге говорим про часть комплексной, где есть вот этот поворот в комплексную часть и обратно.

И уже в 2 структуре каждая точка это 1 структуры измененные в таком ключе.

3 структура ровно тоже самое, только каждая точка это измененная 2 структура в петельку где в пересечении цикла и нет там мы говорим уже о части из гиперкомплексных чисел вот с этим циклом из комплексной части в комплексную часть мол.

Ну и т.д и т.п. Впринципе похоже на классификации в том плане, что там же у нас тоже получается какая-то линия в n мерном пространстве, ну и тут примерно такое же.

И ведь ещё можно говорить про взаимодействие предикатов как про неравенство для примера. И тогда там уже будут просто n мерные векторные расслоения на линии, что тоже в какой-то мере похоже на ту фигню, мол, линия и n мерное пространство.
Аноним 03/01/25 Птн 20:14:22 770968 961
Ну пора пробуждать.
Аноним 03/01/25 Птн 20:46:34 770971 962
Beethoven.jpg 980Кб, 1200x1443
1200x1443
Аноним 03/01/25 Птн 20:56:12 770972 963
image.png 269Кб, 474x734
474x734
https://www.youtube.com/watch?v=OH4p2-vGf64&ab_channel=truecrypt
О мой интеллект!
Ты нужен мне, ты приходи!
И в ОбШиДа заходи!
В КаШиго находись!


ОбШиДа и интеллект. И всё это КаШиГо.

КаШиГо ОбШида ОбШиГо.

В общем нужно вспомнить одну идею и словить вместе с этим ОбШиДа. Реактор, huh? Но не обязательно что реактор именно. Скорее сущности уже.
Аноним 03/01/25 Птн 21:01:58 770973 964
Нипа.webp 21Кб, 172x374
172x374
Да-да-да-да-да, вспоминаю. Но при чём тут тени?
Аноним 03/01/25 Птн 21:08:25 770974 965
remiliascarlett[...].jpg 81Кб, 850x529
850x529
Точно. Служенник тени.

Служенник в плане внедрения в себя "личности" тени, мол, передать под прямой контроль же. А это уже полное соответствие мыслей и деятельности. С.м - свобода. Ха-ха, где для деятельности нужны цели как никак.

Где сама тень есть желание центральной ОбШиГо, хотя казалось бы они никак не связанны вроде.

Поентому надо достигать соответствия деятельности и мыслей, а для этого надо бы иметь бы мыслей просто, целей бы, т.е плана. Т.е постигнуть бы тень.
Аноним 03/01/25 Птн 21:14:34 770976 966
image.png 670Кб, 522x710
522x710
Свобода в исполнение своей воли к существованию. Что выражается соответствием деятельности и мыслей, а также выполнению деятельности по некому плану.
Аноним 03/01/25 Птн 21:17:21 770977 967
image.png 670Кб, 522x710
522x710
И существование также выражается в эффективности уже просто плана - с.м описание.
Аноним 03/01/25 Птн 21:56:21 770985 968
Berdefa1.png 89Кб, 343x440
343x440
https://www.youtube.com/watch?v=27QV_j841Is&ab_channel=Gou
А как соединить мысли и деятельность?

Вспомнил, что деятельность можно думать как ощущение и как "цикл". Тогда несоответствие это когда у нас фактическая или потенциальная характеристика этой одновременности не полностью положительна. Ну т.е мысли допустим нам в кайфы - а вот то, чем мы занимаемся это фигня какая-то. Не порядок.

А соответствие это когда нам в кайфы и то и другое. При этом, что хочу отметить важное - деятельность и мысли что-то типо одно целое как. И тогда при смене деятельности, а точнее мы вспоминаем, что этот цикл является производным циклом и шагает он по отрезочку/линии, то при смене точки на отрезочке у нас это всё как-бы органично меняется, целиком. Но в общем это можно легко определить: исполнение описания из мыслей, которое осознается, пока мысли и деятельность соответствуют, и чьё соответствие даёт нам исполнение описания, которое мы осознаем.

В общем измерение исполнение описания из мыслей в зависимости от нашего соответствия мыслей и деятельности.

Так что для соединения вот что укажем: для начала стоит просто добиться соответствия без исполнения описания. Для этого можно изменять параметр простого действа, так-то, но впринципе здесь скорее нужно будет как-то распределять деятельности в плане того, чтобы при соответствии мыслям там можно было бы наткнуться на некий 0 - нейтральную деятельность, которая бы соответсовала бы. Тогда надо просто прийти в эту нейтральную деятельность.

Для примера, если такое есть, можно просто начать ничего не делать - лежать короче. И сконцентрироваться на своих мыслях по большей части. Дальше же нужно придумать описание и уже ему следовать, при этом следовать так, чтобы деятельность была зависима от "плавного"(непрерывного хехе, или нет) повышения простого действия что требовалось бы от деятельности?

Вначале лежим, соотносим наши маняфантазирования с тем, что мы маняфантазируем. Потом начинаем больше вкладываться - начинаем уже шевелить рукой, всё также соотнося. И дальше больше и вот мы уже встали и т.д и т.п.

Хотя это сложно. Куда легче будет если мысли и изменение деятельности по плану в итоге дадут нам что-то непрерывное и одно. Типо как наблюдение со стороны что-ли.

А, точно. Достаточно абстрактное описание, которое всякое отклонение вписывает в то, что всё идёт по плану.

Где дальше просто, при исполнении и соответствии при больших значениях даже не простого действа, а скорее простого действа конкретно в мыслях, мы начинаем сокращать эти доступные "промахи", говоря конкретно о каком-то конкретном исходе.
Аноним 03/01/25 Птн 22:01:34 770986 969
Beethoven.jpg 980Кб, 1200x1443
1200x1443
https://www.youtube.com/watch?v=06O5TWFMmPs&ab_channel=FirstPublicChannel
В общем переход из абстрактного самозащищаюсегося и исполняющегося плана в конкретный правдивый исполняющийся план. Переход от допустимых вещей просто к правде же.

https://www.youtube.com/watch?v=TuTvWObO0zU&t=1899s&ab_channel=Muzikay

Т.е беря план надо бы его основывать на хоть и абстрактных, но всё же правдивых вещах, где тогда при его сужении мы бы наткнулись бы на это правдивое же.
Аноним 03/01/25 Птн 22:11:17 770989 970
bethoven.jpg 187Кб, 1313x879
1313x879
https://www.youtube.com/watch?v=TuTvWObO0zU&t=1680s&ab_channel=Muzikay
Абстрактное описание с достаточным основанием.
Внутри него ещё одно описание, более конкретное по случаю.
Дальше делаем зависимость между простым действом и деятельностями, что соответствовали бы мыслям.

Дальше сводим к соответствию между минимальной деятельностью и нашими мыслями путём изменения простого действа.
Дальше вспоминаем про описания и начинаем измерять выполнение абстрактного описания и более конкретного с нашим деятельностью и мыслями.

Дальше при повышении простого действа(или после каокго-то потраченного на это времени) у нас должно начать будет сужаться абстрактное описание, выдавая нам правдивое описание - затем тут и нужно нам достаточно основание это, которое при сужение должно будет как-то сохраниться. Чтобы более конкретное описание было построено через это основание и чтобы оно тоже сохранилось - и исполнялось. Где нам это всё нужно просто мерить и фиксировать.

Ну а если кратко, то надо просто ощутить что ты внутри описания как-бы, внутри своих мыслей мол.
Аноним 03/01/25 Птн 22:16:59 770990 971
image.png 224Кб, 260x363
260x363
https://www.youtube.com/watch?v=njYL5PaEqV8&ab_channel=pipetogrep
При этом насчет страта тут. Насчет того, когда не соотносятся - тогда надо понять просто что делать. Убавлять простое действо или наоборот повышать же, чтобы найти ту "минимальную" деятельность в которой соотносится. Но лучше скорее не убавлять, а просто сделать акцент на своих же мыслях, где мы под деятельностью имели бы цикл мыслей - обдумывание своих мыслей же, вот с чего скорее надо начать. Где тогда надо чтобы нам ничего не мешало же, поентому в других деятельностях, где надо чтобы они не мешали, мы либо понижаем простое действо или повышаем.
Аноним 03/01/25 Птн 22:18:54 770992 972
image.png 224Кб, 260x363
260x363
https://www.youtube.com/watch?v=njYL5PaEqV8&ab_channel=pipetogrep
А дальше, очевидно, вопрос либо в том чтобы менять конкретные описания или же бастрактные. И в том, чтобы был план насчет того, когда у нас не соответствие. И тут нам действительно надо, чтобы он был правдив - ибо "план будет влиять" на наше соответствие тогда.
Аноним 03/01/25 Птн 22:33:59 770994 973
5090.jpg 207Кб, 1200x1200
1200x1200
Обращаться к этому буду как к локально-бесконечной тени.

Призывайся.
Аноним 03/01/25 Птн 22:37:06 770995 974
ахаха.jpg 245Кб, 1000x750
1000x750
Ха-ха, тогда реактор это частный случай вот этого того, что описал сейчас. Интересно.
Аноним 03/01/25 Птн 23:12:34 771000 975
И что же.webp 57Кб, 360x990
360x990
Словно оглушило меня, походу оно.
Аноним 03/01/25 Птн 23:13:25 771001 976
Понятие.png 28Кб, 366x385
366x385
Аноним 03/01/25 Птн 23:16:04 771002 977
image.png 805Кб, 800x632
800x632
Аноним 03/01/25 Птн 23:19:22 771003 978
image.png 92Кб, 343x440
343x440
image.png 1537Кб, 2423x2160
2423x2160
Аноним 03/01/25 Птн 23:33:30 771005 979
Аноним 03/01/25 Птн 23:35:54 771006 980
Аноним 03/01/25 Птн 23:37:32 771007 981
image.png 1150Кб, 1200x778
1200x778
Аноним 06/01/25 Пнд 06:23:44 771191 982
remiliascarlett[...].jpg 100Кб, 850x680
850x680
А вот хочешь - можешь и сказать, что слабак и размазня. Но только в данном случае это всё вторично, если не третично. Слабак или нет - делаются ли вещи же.
Аноним 06/01/25 Пнд 07:39:54 771195 983
remiliascarlett[...].jpg 81Кб, 850x529
850x529
Хуя ты меня призывал/ждал. Ну дарова, чо как-бы? Прогать там, все дела? Без проблем.
Аноним 06/01/25 Пнд 07:43:11 771196 984
remilia-scarlet[...].jpg 81Кб, 728x410
728x410
Тихо так тихо, практически неуловимо. Мне надо быть в сознании, так что подумаем как-бы.
Аноним 06/01/25 Пнд 07:46:16 771197 985
remilia-scarlet[...].jpg 81Кб, 728x410
728x410
Думаю для начала будет достаточно держать в голове прогрессию по программе, а ещё держать в голове цели и прогрессию по ним. Ключевое слово - ФАКТЫ.
Аноним 06/01/25 Пнд 07:48:11 771198 986
В тени.jpg 163Кб, 850x1258
850x1258
КаШиГо вроде. А конкретно сейчас - КаШиГо ОбШиДа
Аноним 06/01/25 Пнд 07:50:31 771199 987
Тень.png 59Кб, 633x318
633x318
Тихая тень. И правда, это - тихая тень. А есть громкая ещё.
Аноним 06/01/25 Пнд 09:55:23 771201 988
remilia-scarlet[...].jpg 81Кб, 728x410
728x410
Неспешное. Такое, что либо столь обычное что не обращаешь внимания - либо такое, что трудно замечаешь. А ведь можно и про громкое говорить. Такое либо конкретно так замечаешь, либо же это важный предмет дискуссии. В любом случае при неспешке трудно быть, а вот в спешке очень легко быть.
Аноним 06/01/25 Пнд 16:54:48 771225 989
Как же иногда грустно и бросает в дрожь это же пиздец блять но благо есть решения и все же как же грустно и бросает в дрожь хоть на секунду или на мили секунду но как же бросает в ткуюю дрожь что пиздец какая тоска какая грусть какой пиздец.

Короче говоря вчеоминаем про прошлое, про начала. Но уже в больших масштабах, ух бля. А возможно это сентиментальности момент просто.
Аноним 06/01/25 Пнд 17:02:54 771227 990
Фух, ложная тревога. Всë хорошо. Но вспомнил кое что.
Аноним 12/01/25 Вск 15:30:29 771818 991
image.png 1636Кб, 795x1024
795x1024
https://www.youtube.com/watch?v=15ezpwCHtJs&t=422s&ab_channel=OpenGoldberg
Ну кстати а я и забыл даже, однако, мысль о том, что какие-то мои состояния вызваны этаким желанием своей смерти, только которое эволюционирует из смерти в, собственно, нечего терять.

А ведь это может быть хорошей новостью, если уж мне так хочется но и не хочется что-то делать, то можно опустошиться чтобы осталось лишь деланье, этакая "смерть" короче говоря. Чтобы ничего не хотелось кроме разве что определенной задачи.

Это ли имел ввиду фланняш под смертью? Не знаю, но зато я понимаю теперь зачем нужны вроде как уничтожающияся моменты именно что относительно себя. Ну, точнее осознал.

Ах да, а ведь тут можно найти разговоры об этом. Я вспомнил что я когда-то писал об этом опустошении, может даже сейчас и найду? Надо поискать, возможно там метод описан как можно избавиться от всяких желаний кроме какого-то.

Ммм, ну мне как-то лень искать это честно говоря мне стыдно читать что я раньше тут написал(кроме математики и подобного), хах. Ну ладно, щас придумаю.

Хотя чо придумывать то? Просто надо отказаться от вещей на неделю, тогда и будет всё. Именно что отказаться, отпустить можно сказать. По ощущением надо "потрудиться" "перестроить" бы приоритеты, аля разум. Окккккк.
13/01/25 Пнд 03:13:29 772004 992
13/01/25 Пнд 04:34:00 772005 993
13/01/25 Пнд 04:57:55 772006 994
Спасибо тебе. Больше всего на свете я хочу тебя поцеловать.
13/01/25 Пнд 05:07:17 772007 995
Больше всего на свете я хочу поцеловать тебя.
Аноним 13/01/25 Пнд 15:07:53 772062 996
Beethoven Bagat[...].mp4 8125Кб, 320x240, 00:06:58
320x240
И тебе спасибо. А я пока работать, ибо ощутил исполнение своей воли. Проснулся короче говоря. Время работать. Цун!
Аноним 13/01/25 Пнд 22:54:30 772183 997
Тихая тень от громкой отличается тем, что в тихой тени описание важно. По сути - косвенное взаимодействие. А вот в громкой описание тоже играет роль, но взаимодействовать можно и напрямую.

Кстати такая мысль возникла, что большая чувствительность - это большая осведомленность.
Аноним 14/01/25 Втр 02:08:28 772235 998
image.png 506Кб, 665x730
665x730
https://www.youtube.com/watch?v=9GJLX5J12tg&ab_channel=truecrypt
По ощущениям я словно вернулся в 9 класс. Редко я так с тобой, первое движение лунной сонаты. Хотя название у тебя ведь фантазия, думаю тут больше фантазия.
Аноним 14/01/25 Втр 03:35:44 772242 999
Когда пластик закончится?
Аноним 14/01/25 Втр 14:44:11 772299 1000
>>772242
Нефть и природный газ — невозобновляемые ресурсы, но их запасы пока не исчерпаны. Согласно данным Международного энергетического агентства (IEA) и других организаций, доказанных запасов нефти хватит на 50–70 лет при текущих темпах добычи, а природного газа — на 60–100 лет.
Однако это не означает, что пластик "закончится", так как существуют альтернативные методы производства, включая биопластики, получаемые из растительного сырья.
earthquakelegendary73c05599be !!8KNeYDB8RQDDl2i8 14/01/25 Втр 14:57:59 772301 1001
Занималась интегрированием и дифференцированием с 6 до 13.
Аноним 14/01/25 Втр 16:27:58 772348 1002
>>772242
Точно закончатся, но когда?

>>772299
>1000 пост
>про нефть

>>772301
Ничем ты не занималась.
Аноним 14/01/25 Втр 17:13:19 772351 1003
OkamaInfobox.jpg 77Кб, 327x244
327x244
earthquakelegendary73c05599be !!8KNeYDB8RQDDl2i8 14/01/25 Втр 17:36:59 772354 1004
>>772348
Всё-то вы знаете, везде-то вы побывали.
Аноним 14/01/25 Втр 18:24:19 772383 1005
Пока не забыл.

Можно взять карту и из карты взять какую-то одну фигню, на основании которой сделать ещё одну карту. И так продолжать это всё,после чего выделить последовательность этих одних фиговин и получить ещё одну карту.

После можно брать такие вот итоги и выделять там одни фиговины, после чего сформулировать последовательность их на основе последовательности сделать карту.

Короче говоря мысли вслух большими мазками.
Аноним 16/01/25 Чтв 04:23:30 772703 1006
image.png 668Кб, 736x736
736x736
Как же я уже хочу путешевствовать по мирам и вообще метафизический брейк этот. Брейк, ммм. Короче хочу покорять мироздание но блен хочу до этого нормально пожитьььььььььььььь. а ведь ещё проблема есть что я слабый слабыыыыыыыыыыыыыыыыыыыыыыыыыыыыыыый да блииииииииииииииииииииииииииииин почему я такой слабый тоооооооооооооооооооооооооооооооооооооооооооооооооооооооооооооооооооооооооо
Аноним 16/01/25 Чтв 04:24:36 772704 1007
17356880596490.webm 2232Кб, 640x360, 00:00:51
640x360
Хотя кстати мысль появилась о "амулете". Да, я тоггда постил мегумя. Это я ктому, что попробую придумать слова что буду повторять по кругу(желательно чтобы они выводились из друг друг), и буду повторять короче говоря. Чтобы они побуждали меня на действие!!111
Аноним 16/01/25 Чтв 04:27:12 772705 1008
image.png 325Кб, 1280x1280
1280x1280
Да, и ещё одна мысль. Нужно хотеть неудобства и всё же понастоящему стать мазо-мазо. Мазохистичем. Неудобства. Не говорю про страдания, хотя может и говорю, но неудобства.

>>729049
Ну типо из этой оперы
Аноним 16/01/25 Чтв 04:35:48 772706 1009
Хм, такой цикл может сделать?
1)Слова
2)Яркий свет(ОбШиДа)
3)Схватить(ОбШиГо)
Аноним 16/01/25 Чтв 04:37:24 772707 1010
М, а если вспомнить старое, то:

пятерка

озорная шестерка
мудрая семёрка
девятка
Аноним 16/01/25 Чтв 04:38:42 772708 1011
Аноним 16/01/25 Чтв 04:41:41 772709 1012
image.png 473Кб, 671x600
671x600
image.png 325Кб, 1280x1280
1280x1280
Словно фаер
Словно огонь

1)где-то
2)получилось
3)сделать
Аноним 16/01/25 Чтв 04:47:51 772710 1013
image.png 473Кб, 671x600
671x600
И ещё да, ты сам по себе же, помни об этом. И ты уже живешь. В реальности. Никаких тренировок, пора действовать короче говоря. Словно это не учебная тревога. Всё, ты тут. Ты в реальности. Свобода твоей воли лежит на тебе. В реальности. Против реальности войны. За себя, осознав себя и отделившись от реальности. Бесконечная сила!

>>772706
Хм, и заместо 3 если нужно - мысль.
Аноним 16/01/25 Чтв 04:49:36 772711 1014
Ещё третье может значит неудобства.
Аноним 16/01/25 Чтв 20:37:50 772843 1015
173704900124179[...].png 301Кб, 1280x1280
1280x1280
Оказывается пока что цветочки. Ну, конкретно задача одна. А вот другое это сложно. Ох уж это кореживание реальности.
Аноним 17/01/25 Птн 08:25:36 772904 1016
7e2c8248-bf1f-4[...].jpeg 663Кб, 1826x2160
1826x2160
Да, кстати, интересно.

Такое ощущение что реальность я всё же меняю или типо того. По крайней мере свою отношение.

Поэтому обход логики кода не нужен, осталось сделать то, что отложил туда сделать. А это очень мало, ОЧЕНЬ ПРЯМ ОЧЕНЬ.

Т.е если всё заработает примерно с первого раза - МОГУ НАЧАТЬ ЗАНИМАТЬСЯ ВЫЧИСЛЕНИЯМИ УРААААААААААААААА
Аноним 17/01/25 Птн 15:11:42 772931 1017
image.png 506Кб, 665x730
665x730
Аноним 18/01/25 Суб 05:04:35 773006 1018
remiliascarlett[...].jpg 100Кб, 850x680
850x680
Как же меня бесят вся эта фигня сентиментальная. Хм, вспоминается конечно определенные вещи. Ну ладно, ибо бесит меня это фигня потому что я пустой - нету никаких аргументов. Я же не могу сказать, смотрите, у меня прога! Вот то-то же, так что терплю и занимаюсь делами. Когда доделаю, тогда и буду приводить это в аргументы. А пока пуст и пустой, словно ничего и нет. Только лишь предсказания о успехе, а где сам успех? Бесит, как же бесит и раздражает эта ничтожность моя.
Аноним 18/01/25 Суб 23:57:24 773139 1019
PMiSSalice.jpg 55Кб, 379x600
379x600
Только бы начать. Неужели я жду когда наиграюсь в игори чтобы начать уже вычислять? Такие вот рывки, конечно. И лентяйство, эх.
Аноним 19/01/25 Вск 00:28:12 773142 1020
Berdefa1.png 89Кб, 343x440
343x440
https://www.youtube.com/watch?v=98w25S5yASc&ab_channel=AdrianVolovets
Опять ловлю так называемые веяния которые были когда-то. В 9 классе ещё, осень-зима примерно.

Неизменное относительно реальности, вот такие слова и появляются только.
Аноним 19/01/25 Вск 00:31:55 773143 1021
d72e6b519a5ea7f[...].png 166Кб, 424x600
424x600
Хм, тут вроде как противоставление может быть.

С одной стороны ориентирование на реальность, в плане описаний там, а с другой ориентирование на неизменность чего-то в реальности, изначально каких-либо ощущений - аля я сам.

Хм, можно ли описать эту неизменность просто же, или же - может ли эта неизменность ломать описание же? Или скорее тогда уже будет два вида описания просто. Один основанный на мере - другой же воде как нет.

Где в одном случае то что не основывается на измеримом - на самом деле основывается, просто в такой очень тривиальной манере. Ну т.е пока оно есть - тогда и есть, этого и достаточно. В противовес как каким-то измеримым нужно чтобы были ещё и факты всякие, что свойственны описанию же.
Аноним 19/01/25 Вск 00:44:07 773145 1022
Berdefa1.png 89Кб, 343x440
343x440
https://www.youtube.com/watch?v=DF1DjPwPbgs&ab_channel=AwesomePianoSheetMusic
Тогда можно разделить на:

Жить соответственно описанию.
Жить соответственно тому что есть.

А, ну кстати да. Разве то, что оно тривиально, не значит ли что это про то, что есть? Когда как описания измеримые они больше про предсказания уже.

Хм, ну тут наверное вот что можно сказать: что есть определяет описание. При этом описание определяет что может быть.

Или скорее что то, что есть, корректирует описание тогда. Ха, ну тогда можно сразу наделить всей этой херни взаимодействия выживания там и прочего.

Но мне кажется что момент про корректировку тут достаточно значителен же.

А, ну да, так-то, по ассоциациям это можно было бы сравнить, думаю, с большими мазками и более конкретными сценами. Что-то типо
Вначале должно идти это, потом то-то и дальше вон то.

Потом само это - конкретно это.
То-то - конкретно то-то.
Вон то - конкретно вон то.

Но в таком случае я уже ушёл от изначальной мысли, всё же не про это хотелось бы размышлять.

Наверное изначально о чем хотелось подумать так это о том, что я уже и так обдумал, хм. Просто примерчик такого. Та фигня про перемещения и вот всё такое, что очень длинное и что вдохновляшка на мат модель обощения магического мышления же.

Примерчик такой, хм.

А ладно, сейчас не могу понять да и отложу я это немного на потом.
Аноним 20/01/25 Пнд 06:45:56 773393 1023
image.png 196Кб, 3137x2639
3137x2639
Щас короче объясню полно.

Есть последовательность классификаций. Ты должен на этой последовательности ввести отображения между двумя близкими классификациями. Ну в плане Ka->Ka+1 где a это натуральные числа и индексы для примера. Собственно дальше ты должен будешь взять что-то типо обобщение каждой классификации. Если угодно - ты от классификации какое-то в последовательности идешь получается в категорию к которой относится эта классификация. Типо если классификация у тебя это матрица - идешь в категорию матриц. Если алгебра - идешь в категорию алгебр. И т.д.

Дальше возвращаясь к этим отображениям мы можем определить тут то, а являются ли они у нас автоморфными. В плане что ты из категории матриц можешь прийти в категорию матриц, а можешь в категорию топологических пространств к примеру. Вот в первом случае, когда ты приходишь в себя, это автоморфизм называется. Пока что рассмотрим этот случай.

Таким образом тогда у тебя это отображение становиться...автоморфным из категории в себя, можно сказать тогда что это отображение у тебя это какое-то отображение(морфизм) из самой этой категории. Тогда, следовательно, ты можешь выбрать там такое отображение, которое бы удволитворяло входному значению и выходному.

Дальше же было бы важно чтобы это отображение было сформулировано ввиде уравнения, всё же, где тогда решением этого уравнения давало бы нам нужную какую-то конкретную функцию. И что не мало важно - какое-то значение.

Теперь же можем на основе этих найденных функций в последовательности построить какой-то алгебраический объект. Так-то - группу с коэфицентами. Порождающие группы это эти функции, коэфиценты - то, чем индексируется последовательность. Впринципе здесь можно говорить просто о каком-то кольце, мне кажется.

Ну так вот, теперь же сюда вступает в фактор мощность множества выдаваемых параметров. Всё что нам надо будет сделать - произвести какое-то произведение всех этих алгебраических структур(колец) по последовательностям относительно номеров параметров. При том там можно представить себе два произведения - истинное и по параметрам. Отличие скорее в том, что параметры себя будут вести просто как своего рода вектора.

А теперь пример, чтобы понятно было. Он на пике.
Аноним 20/01/25 Пнд 07:54:58 773396 1024
image.png 20Кб, 1578x484
1578x484
Фигасе я такое надумал. Там эта склейка вполне себе может быть очень похожа на интегрирование, представляешь. И там даже можно понять когда такое происходит.

По вопрос о размерности там смотри в чем прикол. От количества осевых функций, по определению можно даже сказать, будет зависеть и размерность пространства. Что касается не истинного произведения. Что же такое осевая функция? Ну помнишь там у нас кольца были относительно композиции функций и индексов? Так вот, там можно задать осевую функцию. В плане что представь у тебя там в последовательности разные функции. Вот их надо в точности по очереди просто повторить. Вот эта и будет осевая функция. Просто теперь бы мне бы подумать как-бы из [произведений колец] вытянуть осевые фиговины.

Короче представь там f1 это последовательность уже не из 5,5 5,5 5,5 5,5 а 5,5 6,6 7,7 8,8 же и т.д. И допустим f2 это тоже самое.

Собственно тогда пик. f1,n это имеется ввиду n,n по направлению f1.

Ну и вот, тогда надо бы чтобы коэфицентик 2 был бы не больше 2...(и не меньше -2, ха-ха). Ну и там ещё правил. Но в общем их можно вынести кольца я думаю, как-то. И тогда вопрос скорее в том, чтобы доказать размерность при вытягивании нужных полимонов из колечек. Сорт оф такого. Не вдумывайся, это просто размахи руками, но уже более формальные!
Аноним 20/01/25 Пнд 07:57:43 773397 1025
>>773396
>И там даже можно понять когда такое происходит.
Разница между предельными точками в пространстве и точками из выдаваемых параметров. И да, насчет размерности - надо бы чтобы количество выдаваемых индексированных параметров были ПОСТОЯННЫ.
Аноним 20/01/25 Пнд 08:00:41 773398 1026
>>773396
В таком плане постоянное количество индексироанных выдаваемых параметров при такой постройке через осевые функции определяет размерность. А сами осевые функции определяют топологию в таком пространстве. При том там есть разница в произведениях.
Аноним 21/01/25 Втр 03:02:07 773463 1027
image.png 72Кб, 2153x847
2153x847
Есть короткая полусклейка. По сути, задает взаимодействие точек на каком-то одном объекте. Из короткой полусклейки можно сделать длинную полусклейку просто путём её же рекурсии.

Теперь же про короткую склейку. Короткая склейка делается на короткой полусклейке, просто она в таком случае "параметризирует" короткую полусклейку тем путём, что берет классификацию у нового параметра и говорит, что каждой точке, что выдаёт классификация, присваивается короткая полусклейка. Следовательно дальше надо просто преобразовать классификацию в такую,что выдавала бы не точки, а вот результаты полусклеек.

Дальше же из короткой склейки можно сделать длинную.

Так что разница в том, что склейка зависима ещё и от классификаций.

Также стоит отметить, что проводя склейки или полусклейки, там будет остро стоять вопрос по направлениям. Другими словами пары это или тройки или вообще отрезки, а может интервалы, а может ещё что-то. Где дальше, так-то, можно будет собрать верхнюю классификацию из объединений относительно направлений.

Пик прилагаю
Аноним 21/01/25 Втр 03:04:17 773464 1028
>>773463
>склейка
>склейки
Это важная деталька, хах.
Аноним 21/01/25 Втр 15:17:53 773482 1029
image.png 3069Кб, 1333x1000
1333x1000
Ох уж эти треугольники. Интересно, конечно, но зачем? Ну для ЭсТеТиКи если, хах.
Аноним 22/01/25 Срд 15:37:38 773631 1030
Короче говоря во первых - поджигать табак в трубке надо равномерно. Водить пламенем во все стороны внутри там. Обычно это делается типо как если по кругу зажигалкой водить. Собственно таким образом мы поджигаем табак в трубке и он...поднимается. И его надо дальше тампером прибукнуть, желательно слегка. После чего начать делать поджигать его в той же манере вдыхая из трубки. И тогда, когда будет идти дымок - можно будет курить!

Собственно типсы, которые надо бы знать, чтобы аромат был няшным, чтобы курилось долго и не затухало и всё такое. Во первых - сгоревший табак, мол пепел, не следует крошить. В таком случае эти крошки попадут просто на язык и кроме того испортят все ощущения! И забьют фильтр/трубку. Но при этом от пепла в чаше избавляться надо. Но только в том случае, если у вас затух огонь. Если же нет - впринципе будет норм. Но по желанию можно и избавляться от него, но я бы так делать пока что не стал, если огонь не потух.

Убрать пепел надо тампером - легко и аккуратно, чтобы не покрошить его. Чтобы понять когда кончится пепел - пепел он белого цвета, что черного - табак. Вот когда белых оттенком станет мало в чаше или вообще не станет - тогда можно будет опять трубку раскуривать. При этом тампером там уже не всегда надо будет прибукивать табак, ведь он может быть уже термически обработан, так-то, до этого. Языки пламени могли до него дотянуться во время первой и последующих раскурок, да. Но если это не так, то стоит тампером прибукнуть.

Так что при себе желательно держать пепельницу или типо того.

Следующее же про набивку табаком трубки. Набивать можно как угодно, но главная цель зачастую - чтобы просто табак последовательно тлел до дна чаши. Лично я это делаю тем путём, что кладу табачок в трубку - кладу. И немного тряся трубку проваливаю табак внутрь трубки. Когда же места уже не будет, то беру следующую порцию табака и некими не большими усилиями засовываю его в чашу, таким образом приминая табак что внизу. Набивка не должна быть слишком плотной, при этом. так что если тяга будет затруднительна в большей степени - надо табак будет высыпать. И да, желательно чтобы чашка была забита не полностью - при поджеге табака табак же расширяется и может в итоге из чаши вынырнуть проста.

При этом такой момент есть, что табак должен быть не слишком сухим и не слишком влажным. Но всё же примерно суховатым. Чтобы курился и чтобы аромат был, короче. Не нужно чтобы он был соломой.

Дальше идёт нарезка табака. Табак должен быть нарезан не слишком большими ломтиками - иначе при неправильной забивки будет потухать часто. Но в крошку превращать не надо - тогда эти крошки при вдыхании попадут в фильтр/глубь_трубки/к_вам_на_язык. Это конечно предпочитения и от набивки зависит, но я бы посоветовал его всё же вначале раскомкать на более мелкие ломтики, чтобы те курились легче, соответственно.

Ну и дальше другой момент, что набивку, как я предполагаю, можно совершать и немного другим способом. Изначально скомкать его не слишком плотно и комок засунуть дальше в трубку. Так думаю будет удобно и даже наплевать будет на то, как он нарезан. Но это лишь предположения. Как-то так.
Аноним 22/01/25 Срд 16:26:57 773633 1031
remilia-scarlet[...].jpg 81Кб, 728x410
728x410
Помнишь там было пространство классификаций? Помнишь про склейки там? Собственно, разнообразие пока что определяю как:

1) Некая "множественная" алгебра над элементами пространства классификаций, в том числе и над теми элементами, что получаются при склейки в пространстве классификаций
2) Некая алгебра композиций над элементами пространства классификаций или над элементами из множественной алгебры.
3) Некое действие алгебры композиций на "множественную" алгебру.

Дополнения:

1)Под множественной алгеброй я вполне себе могу подразумевать алгебру множеств. Это уже зависит от того, что там за элементы просто из пространства классификаций. Но смысл зачастую в том, чтобы как-либо проводить действия над множествами или их обобщениями.
https://ru.wikipedia.org/wiki/%D0%90%D0%BB%D0%B3%D0%B5%D0%B1%D1%80%D0%B0_%D0%BC%D0%BD%D0%BE%D0%B6%D0%B5%D1%81%D1%82%D0%B2#:~:text=%D0%90%D0%BB%D0%B3%D0%B5%D0%B1%D1%80%D0%B0%20%D0%BC%D0%BD%D0%BE%D0%B6%D0%B5%D1%81%D1%82%D0%B2%20%E2%80%94%20%D1%8D%D1%82%D0%BE%20%D1%87%D0%B0%D1%81%D1%82%D0%BD%D1%8B%D0%B9%20%D1%81%D0%BB%D1%83%D1%87%D0%B0%D0%B9,%C2%AB%D1%81%D0%BB%D0%BE%D0%B6%D0%B5%D0%BD%D0%B8%D1%8F%C2%BB%20%D1%8F%D0%B2%D0%BB%D1%8F%D0%B5%D1%82%D1%81%D1%8F%20%D1%81%D0%B8%D0%BC%D0%BC%D0%B5%D1%82%D1%80%D0%B8%D1%87%D0%B5%D1%81%D0%BA%D0%B0%D1%8F%20%D1%80%D0%B0%D0%B7%D0%BD%D0%BE%D1%81%D1%82%D1%8C.

2) Алгебра композиций это когда элементы из пространства классификаций, это отображения. Соответственно мы там говорим о композициях этих отображениях.

3) Под действием подразумевается, что элементы множественной алгебры становятся переменными для тех композиций отображений.

Вообще в такой плане лучше пространство классификаций называть уже вариациями чего-либо там. Так вот, от этого разнообразия можно...опять взять вариации. И заново определить всё там, опять.


И ещё, про то - почему я называю пространство классификаций - вариациями. Потому что выдаёт оно классификации. Дальше всё, что нужно - это их применить же. Вот как-то так, поэтому и вариации, по сути.

При этом интересно то как, переводя в ассоциации.

Вот есть факты. Их добывают и прочее. А потом смотрят на факты и делают из них какую-то систему - систематизируют короче говоря. Но дальше же вопрос, а если мы их так систематизировали - почему не может по другому? При том нам не обязательно другую систематизацию, мы можем говорить просто о других системах. В том числе и с другими фактами.

И вот, мы можем говорить за метод создания всяких систем. Но только почему именно этот метод? Можно ли другой метод представить? И дальше на ответы вопрос - а можно ли по другому? И как.

Но в итоге, чтобы преодолеть эту бесконечную рекурсию, можно всё свети к тому, а как можно просто думать. Разве нет? Ибо определив то, как можно думать, можно будет определить все ответы в этой бесконечной рекурсии [как по другому]. Только это уже скорее не про разнообразие(хотя имеет к этому более чем хорошее отношение), но всё же. Теперь надо перевести эту тему в математику, а за ней и тематику самих более прикольных разнообразий. Ибо если говорить за то, когда разум определяет то, как он мыслит - он может попробовать изменить то, как он мыслит. И получит другой разум. И в таком смысле некое понятие разнообразия из "внутреннего" превратиться во "внешнее". ДРугими словами не мы определяем его, а словно оно нас, где тогда, предположительно, пример из эволюции животных и конкретно человека, будет примером более хорошего разнообразия. Где это всё надо будет перевести в математику или в тему относящуюся с математикой.
Аноним 22/01/25 Срд 16:38:29 773635 1032
17357807888580.jpg 868Кб, 1536x2048
1536x2048
При этом думая ассоциациями, скорее это разнообразие тогда полно. В том плане, что подход другой.

Для сравнения: одно дело если бы мы написали книжку о математике, другое дело когда мы бы хотели чтобы эта книжка существовала бы лет 100 или 500 или тыщ. Или может бесконечно существовала. Или может могла возрадиться после уничтожения, мол, её через миллионы лет написали пришельцы на другой планете аля.

В таком плане как пример подходов таких можно брать нейронки. Одно дело когда нейроночка в компе - она же не будет работать, если не будет тока. Есть такая заивисомсть от людей, никакой самостоятельности словно. А что, есил бы нейронка сама бы добывала себе электроэнергию? А что насчет улучшения себя? СОздавать будет новые технологии, новые микросхемы - меинять полностью структуру компьютера и т.д и т.п? Вот уже по другому тут, по крайней мере я, буду относиться.
Аноним 24/01/25 Птн 08:57:42 773982 1033
Проснулся.

Насчет "метрики" можно предположить сумму минимального количества [функторов] и минимального количества...abs. Да-да, тех самых. А если есть естественное преобразование - то она как константа.
Аноним 24/01/25 Птн 18:00:17 774007 1034
пю чай.jpg 5009Кб, 2202x2160
2202x2160
Вроде подумал над предструктурами, а точнее над взаимодействием классификаций, а следовательно и затронул тему предструктур. И даже структур. Но всё же предструктуры в плане определения структур, а не вычисления их - затронул как-то, всё же. Так что остаётся только структуры добить бы, хотя они вроде и добиты. Только тему определение структур через предструктуры не думаю что раскрыл. Ну ладно, может ещё подумаю над этим, если не начну кодить. А если начну кодить - то точно подумаю над этим, ибо пригодиться.

Про пространство классификаций. Я его формирую из обобщенных последовательностей, из которой определяю все конкретные последовательности, формируя направления. Но общих последовательностей может быть несколько. В таком плане из общих последовательностей можно будет построить общий вид пространства, где дальше надо будет конкретно разобрать все переходы из одной общей последовательности в другую общую, где из этих конкретных переходов, если те не пораждают новые последовательности, можно будет сделать все остальные конкретные последовательности, соединив изначальные с переходами. Если же переходы порождают новые конкретные последовательности, то надо будет делать порождение всех этих новых конкретных последовательностей от переходов.

Тогда для определение мерности, в простом понимании, надо будет чтобы у всех общих последовательностей было одинаковое количество выхлопов. Дальше умножаем это количество на количество общих последовательностей. Вот. Т.е идя дальше по выхлопам, мы можем выбрать к каким классификациям из каких-либо общих последовательностей переходить же.

При том тут есть одна особенность, про [разницу]. Короче говоря про то, когда переход из одной общей в другую порождает новую последовательность. Описать это можно категорным аппаратом(вроде как). Беря общие последовательности и отображения между элементами в этих последовательностях, мы там отображения задавали как всякие функторы(эндо,авто,ещё какие-то). Но можем как и естественные преобразования. Короче говоря определив то, какое это отображение между категориями, мы, когда переходим из одной общей последовательности в другую, переходим же в какой-то элемент другой общей последовательности. А там уже есть отображение к этому элементу, и оно определенно. Типо если там функтор, то тогда и наш переход должен быть функтором. Если там естественное преобразование - тоже должно быть естественным преобразованием.

В таком плане, во первых, сами отображения из категорий в категории вполне себе определяют основу для "разницы" между классификациями и метрику между этими двумя точками даже тогда, когда совпадают(и там функтор и там короче говоря). Но вот когда не совпадают, то уже интересно становиться. Там происходит функтор в другую категорию таким образом, самую "ближайшею" к той к которой нам надо. Таким образом дальше идёт определение последовательностей относительно дальнейших возможных отображений между категориями, т.е определение не только общих последовательностей, но и конкретных.

Из-за этого тут меняется определение склейки, точнее дополняется. (короткой) Полусклейки - нет, она как раньше была так и остаётся расширением всех классификаций от выбранных направлений. А вот склейка уже превращается в следующее:

Имея короткую склейку, мы должны будем пойти назад. В какое-либо обратное направление, при том одно. Обратное направление приведёт нас к классификации. И вот дальше мы должны будем взять все нужные направления для одной склейки и определить там расширения от (коротких) полусклеек всех классификаций по нужным направлениям. Дальше же надо будет взять объединение всех этих расширений. И вот, теперь можем найти какой-то морфизм из параметризированной классификации в объединения параметризированных расширений по одному и тому же параметру. И вот этот морфизм у нас и будет нашей короткой склейкой, аля новой какой-то классификацией. Дальше же, чтобы получить длинную склейку, нам надо будет сделать всё тоже самое с момента обратного направления. Только теперь расширения должны браться от вот этих получившихся склеек. И тогда у склеек можно будет говорить о длине. Собственно изначально надо будет брать той длины, склейка которой у нас получилась. В другом случае, упрощенном, короткую склейку.

Кстати тут можно будет говорить и о половине склейки или половине полусклейке. Это когда мы берем не нужное количество направлений, а поменьше.

Отлично, теперь можем перейти к метрике. Метрика задается тем способом, что считается количество минимальных abs в категории(абстрагирования) от каждой классификации до того, как они дойдут до одинаковой абстрактности. (Типо 1 и 2 это abs(1) и abs(2) где каждый этот abs будет числами. Следовательно один раз надо будет взять) И где потом это количество как-то может ещё преобразовывается, если нужно. К этому подключаем количество минимальных функторов, что требуются для перехода в нужную категорию. Если же функторов не найти, а есть только естественное преобразование, тогда можно сказать что метрика максимальна.

При этом под изоморфизмом объектов можно подразумевать самую минимальную метрику. Типо 0.

Так вот, тогда метрика на пространстве классификаций будет показывать то, насколько классификации отличаются друг от друга. И дальше можно разбирать будет изменение пространств с бедной метрикой на богатую.

Вообще, делается это не изменением метрики, поэтому метрика это такая вот характеристика. И вообще это функтор из пространств классификаций в метрики, где есть обратный функтор. Поэтому если есть выводы для какой-то метрики, то отыскав обратный функтор - можно будет перенести свойства.

Так вот, теперь же о том, как-бы изменить метрику типо. Для этого обратимся к [разнице] между двух точек. Разница это решение уравнения вида f:a*x->b, где x это решение, т.е разница. a,b это две какие-то точки. (Да, эта f это отображение между элементами последовательностей, если что) Так вот, в таком случае говоря об этой разнице можно попробовать получить то, отчего оно ушло. Т.е от ответа к уравнению. Но дальше же мы можем же тогда как решать уравнения, так и находить то, а какого уравнения это решение. Т.е от уравнения к решению и от решения к уравнению.

Следовательно нам надо от f перейти будет в уравнение, где f будет решением. Где дальше в этом уравнении надо будет найти наши новые две точки a,b и некое отображение g.

А дальше всё достаточно просто. Определяем заново последовательности над новыми точками при помощи g и f. g:A,f->B. Если не понятно, то эти новые точки надо будет вычислять, поэтому нам надо будет их, скажем так, вычислительно связать. По сути задать порождение новых точек. Ну и вот, задать таким образом порождение новых общих и конкретных последовательностей, где дальше определяем пространство классификаций из них и т.д, где дальше потом смотрим какая там метрика получилась.

Тут кстати можно будет заметить, что саму эту метрику можно будет преобразовывать. Любыми методами, но больше интересует методами интегралов и производных. И впринципе в классификациях они тоже могут начать проскальзывать таким образом.

Кстати да, насчет топологических пространств классификаций и [разницы] там. Если метрику там понятно как определять между двумя точками, то разницу может быть сложнее, особенно беря такие пространства, где есть несколько общих последовательностей. В общем-то там [разница] это либо объединение n [разниц] либо же какая-то общая [разница]. Общую [разницу] можно вполне понятно как определять для одной общей последовательности, а вот для нескольких сложнее. Но просто такая [разница] должна быть информативной, и в случае нескольких - скорее полезнее будет просто объединение из каждой одной последовательности. Но по сути что общая [разница], что объединения их - это эквивалентные вещи.

И да, насчет объединения [разниц] или общих. Они же отсылают нас к каким-то отображениям. Ну вот, соответственно - композиция этих отображения против. И да, тут будут вопросы абелевости тогда.

Аноним 24/01/25 Птн 18:00:34 774008 1035
16404994528590.png 1506Кб, 1500x1000
1500x1000
>>774007
Но насчет топологической склейки(или с вещественным индексами другими словами). Там надо будет взять пределы с некими бесконечномалыми по каким-то направлениям. Бесконечномалые [разницы] короче говоря и бесконечноблизкие - предельные - точки. И всё по (обратным) направлениям. Ну так вот, а дальше надо просто будет определить предел рекурсии там - предел этой бесконечномалой склейки короче говоря. Где тогда надо будет определить предел композиции бесконечномалых [разниц] ещё. Ну и вот, предел склейки будет соответственен предела композиции бесконечномалых [разниц]. Где тогда меняя в двух этих пределах как-либо бесконечномалые [разницы] можно будет задавать склейки произвольной длины. Где ещё мы можем из таких вот пределов будем переходить в более упрощенные варианты их вычисления, так-то. При этом да, мы тогда будем здесь менять и предел бесконечномалых измененных [разниц] и ещё предельные точки, меняя как-бы не только длину склейки, но и сам результат склейки, если это конечно будет влиять.

И да, насчет этих склеек, то оказывается там всё не так сложно. В общем морфизм из текущей классификации в меньшую склейку - объединение расширений по нужным направлениям параметризорованных ещё более меньших склеек -, где это всё можно будет разделить на морфизм, текущую классификацию и меньшую склейку. Где тогда можем сразу говорить о том, как часто у нас относительно какого-то маршрута идет изменение текущей классификации. Или же даже морфизма(по крайней мере общие характеристики, аля мы его же можем определить как переходы из категорий). Где дальше всё, что остается, это зарекурсить как-то всё это вместе с предыдущей склейкой(склейками). Но в общем вопрос вычисления/определение длинных склеек ещё открыт. К примеру можно рассмотреть будет тогда последовательность уж готовых склеек и тогда у нас понятно хотя-бы будет куда там надо будет из текущей идти в прошлую склейку. И да, если не понятно, зависимость от параметра определяется если он там есть.

Ок, и теперь не менее важная тема про предструктуры и взаимодействие классификаций. Мы можем определить пространство из параметров каких-либо классификаций, где каждая точка такого параметра будем значить какие-то классификации. Короче говоря определяем отображение от параметра одной классификации в параметр другой классификации.

Так вот, такое пространство из параметров классификаций будем называть пространством взаимодействия классификаций. На этом пространстве можно будет определить классификации тоже и поделать из этого всего пространства классификаций/вариации. Где тогда точки данной фигни будут определять всякие классификации на пространстве взаимодействия классификаций на каком-то объекте или же может даже быть такое, что будет определять и другие пространство взаимодействия классификаций на каком-то объекте вместе с классификациями на этом пространстве взаимодействия.

При этом, что интересно, можно будет сделать расширение из выдаваемых классификаций из пространства взаимодействия. Таким образом можно будет сразу переходить тогда к вариациям объекта с классификациями на нём.

И это не забывая, что мы и просто будем получать какие-то новые классификации из всех этих вариаций.

При том, кстати, определив там применение классификаций, вдруг окажется, что мы там будем задавать более интересные вариации объекта же. Ну и вот, тогда вот это пространство взаимодействия и его вариации вполне себе можно будет считать не только предструктурой вплане вычисления итогов структуры, но и предструктурой вплане определения структуры. Другими словами рассматривая пространство взаимодействие классификаций на объекте и может его вариаций мы даже будем примерно понимать что эти классификации собой могут представлять на самом деле, типо как их можно будет применить. Что интересно.

И да, мы под классификацией можем подразумевать функции/отображения если что. Типо кривые на объекте и т.д.

И да, сами вариации как предструктуры вполне хорошо, думаю, способны вычислять итоги структур. Но вот вариации пространства взаимодействий не только определяют больше аспектов объекта и значит больше вариаций дают и больше вычислений итогов, но и могут дать даже примерное понимание того, как классификации применять.

Вот что за сегодня надумал, но про предструктуры-структуры и их вычисления-применения ещё подумаю. Как и подумаю ещё над определением длинных склеек.
Аноним 24/01/25 Птн 18:01:42 774009 1036
>>774007
>>774008
Фига я сегодня Осталось всего часов 4-6 до сна. Достаточно думал сегодня.
Аноним 24/01/25 Птн 18:24:01 774015 1037
173773175710355[...].png 92Кб, 343x440
343x440
Да, пояснения про параметры у склеек. Классификация зависит от параметра, но есть кое какие но. Во первых, насколько от параметра меняется одна и та же классификация, мол насколько много там изоморфизмов. Во вторых, насколько от параметра меняются направления, как в плане их количества так и в плане того, а меняются ли у нас сами те классификации перед тем как туда вставить выдаваемые параметры. И в третьих, насколько уже после вставленного параметра у нас меняются классификация от него.

В классическом смысле, том котором имею сейчас, я не имею ввиду, что параметр как либо что-то меняет. Кругом изоморфизмы от параметра, количество и "качество" направлений не измененно от параметра. Значит говоря о зависимости объединения предыдущих склеек я имею ввиду в принципе что от параметра ничего такого резкого не происходит, мол все ок.

Так что, размышляя, сам параметр играет роль мелкой но очень важной детали. И при помощи параметра можно еще и вычислять вещи. Вставляя в параметр что он подразумевает, к примеру числа.
Аноним 24/01/25 Птн 19:48:34 774030 1038
1ade3c75-def3-4[...].jpeg 959Кб, 1670x2048
1670x2048
Да-да, разобрался с параметрами. Можно будет даже отказаться от полусклейки.

Короче да, вот эти условия там и все дела, но тут вот какая вещь. Морфизм из текущей в меньшую склейку должен быть проверен на то, насколько общие черты морфизма сохраняются от любых значений параметра. В этом плане и говорится там про изоморфизм.

Дальше же про направления. Если же выдающиеся параметры выходят за рамки определения классификаций, то это беда, в таком случае направления качественно а может и количественно меняются. Но если не выходят за рамки или же есть какой-то предохранитель который бы исправлял подобные казусы - то всё гуд. В таком плане всё передаётся в руки тех классификаций, в которые вставляем выданные параметры. Там, очевидно, условия должны соблюдаться в тех классификациях. Тогда параметр никак не будет менять пространство классификаций же.

При этом насчет склеек и понятия полусклейки. Это всё к расширениям же. Они могут производиться до применения параметра или же после. Хотя смысл там в том, а является ли классификация, выданная расширением, зависимой от параметра текущей классификации же. Если нет, то думаю там всё просто. Ибо от параметра текущей классификации там ВООБЩЕ ничего не меняется, а значит там есть фиксированные фиговины. Тогда определяя к этому морфизм из текущей в эти объединения расширений то это было бы как переход во что-то фиксированное. И можно сказать что подход который выдаёт нам фиксированные фиговины это полусклейка короче говоря. И да, здесь условие изоморфности текущей классификации и выдача одинаковых направлений и их количества играет свою главную роль, ведь не будь такого - не было бы и фиксированного объекта. Он бы мог и скорее всего отличался бы. Но да, самое главное тут это сохранение направлений, хотя будь у нас текущая параметризированная не изоморфна то это бы отсылало нас бы к общим последовательностям, в которых был бы сбой относительно неких общих специфик у отображений между элементами последовательностей. Поэтому да, сохранение изоморфности в плане общих последовательностей и в плане выдачи одинаковых направлений как качественно так и количественно, где это зависит от того, а выдаются ли параметры тех областей определений которые нам нужны по последовательностям и по тому, сколько параметров выдаётся в том числе. Кхм. Так что да, склейке нужны условия на сохранения количества направлений и их качества путём сохранения нужных областей определений и также сохранения изоморфности текущей классификации для повторения отображения из общей последовательности. В тоже время как полусклейке не сколько не нужна изоморфность, сколько не нужны именно что повторения из общей последовательности. Хотя впринципе про общие полсдеовательности, то там скорее надо просто сделать их такими, чтобы общие последовательности сохранялись при проходе параметра всех значений. И дальше просто по определению общей последовательности можно переходить к исходным классификациям/более_меньшим_склейкам, но впринципе ладно.

Но при этом сама изоморфность текущей помогает определять морфизм в объединение расширений, поэтому полусклейке желательно всё же подразумевать изоморфность для более простого определения.
Аноним 24/01/25 Птн 21:48:18 774041 1039
17348753634360.jpg 227Кб, 900x900
900x900
Решил в кое-то веки полистать дырач. Сказать, что я всё это уже думал(и видел) - ничего не сказать. АХАХАХАХАХАХАААААААААААААА

И что-то вижу, что дневнички у люда в основе своей это чатики. И имена, т.е трипкоды, одинаковы.

Решил поискать этих тут и даже одного нашёл. >>736507

Интересно почему мой дневник обходят стороной, ммм?????7)))0000000

Хотя если бы я писал куда-то в /math, то давайте условимся, что меня бы там разорвали и обоссали бы. Поэтому да, я стесняюсь, я стесняшка, я такой няшка и вообще не переношу критики, ХАХАХАХАХАХАХА.
Аноним 24/01/25 Птн 22:06:04 774044 1040
ахахаха.webm 801Кб, 416x320, 00:00:12
416x320
Какой же будет пиздец, когда я начну математическое моделирование и применение моих идей из дневничка. А пока всё ещё легко, пока всё ещё не страшно. Пока просто математика, ведь потом - описания и вот вся эта хрень. Потом не только математика, потом за пределами математики. Какой же будет пиздец просто, если так подумать. И не важно даже будет ли работать, ведь я знаю, что психически будет очень весело. Такого веселья что я не видал даже когда испытывал алое небо. Уж точно в 10 раз будет интереснее.

Но пока надо ещё подождать. Немного осталось, я чувствую. Этот год, с 24 по 25 будет годом исполнения моих идей! И начинания их применения. Никаких тренировок, время жить.
Аноним 25/01/25 Суб 14:48:08 774124 1041
d72e6b519a5ea7f[...].png 166Кб, 424x600
424x600
image.png 9Кб, 585x479
585x479
image.png 11Кб, 733x467
733x467
image.png 27Кб, 1361x993
1361x993
Насчет вычислений/определения склеек.

Вообще, думал, что метрику использовать не буду, но оказывается она тут может помочь неплохо. Представим себе пространство где между точками метрика у нас 0, т.е там у нас псевдометрика выходит уже, но пофиг. Короче там везде у нас нули, следовательно , изоморфизмы. И вот прикол как раз в том, что мы тогда об этом всём можем говорить как о пространства с одни элементом просто. И склейку сделать на этом одном элементе. Другими словами любая склейка любой длинны на любом элементе данного пространства будет изоморфна между собой. Что, кстати, упрощает вычисления/определения. Дальше там будет лишь вопрос о расширениях, которые тоже играют важную роль здесь. Ведь предложив, что расширения у нас там могут вычисляться без вычислений аругментов расширения, то короче будет супер-дупер.

А теперь конкретно на пике.

Первый пик подразумевает, что склейка у нас зависима от текущей классификации и расширения каких-то предыдущих склеек, где эти предыдущие склейки можно было бы находить при помощи действия на них разниц, при том тогда, что нам надо было бы знать как задается разница между склейками меньшей длины в пространстве склеек меньших длин. И да, пространство склеек тогда это когда мы вместо классификаций просто заменяем всё на склейки если что.

Второй пик это тоже самое, но только там мы все склейки разных длин сводим к коротким склейкам, где нам требоваться будут тоже разницы но в пространстве коротких склеек. Где тогда у нас будут коэфицентики типо добавляться там вооооот.

Третий же пик про то, когда любые расширения выдают нам текущие склейки разных длин. В таком плане там происходит очень удобная композиция, ну там можно позыркать это.

В таком случае можно выделить будет si какие-то и какие-то ki и какие-то Fi. ki идут по обратным направлениям, очевидно.

И да, можно такой трюк сделать, относительно метрики. В общем имея там разную метрику, мы можем попробовать её сдеградировать. Сделать это можно попробовать через abs. Берем все эти точки в областе и начинаем абстрагировать пока не дойдет до единого abs.

Все точки дальше рассматриваем как abs. Следовательно там у нас нули и дальше зависимо от расширений можем чото там сделать и таким образом мы получим, вообще говоря, общий вид склейки на данной области. Типо какие-то общие характеристики то расширений, то самих склеек то там ещё чего-то.
Аноним 25/01/25 Суб 14:50:15 774125 1042
>>774124
Ксати да, про метрику. Можно попробовать использовать метрику для определения всяких расширений и т.д.

И вообще там можно попробовать склейки думать топологически или типо того, короче вот.
Аноним 25/01/25 Суб 14:53:34 774127 1043
image.png 24Кб, 1439x656
1439x656
Про вот это >>774125 очень кратко пиком.
Аноним 27/01/25 Пнд 22:08:33 774349 1044
Berdefa1.png 89Кб, 343x440
343x440
Ох уж эта теория категорий. А ведь важный момент то. В любом случае я эту дыру залатал, считаю. Хоть и мало рассмотрел примеров, но те примеры, что были, меня пока что удовлетворяют. В основе там были и те примеры которые разбирал изначально, что хорошо.

В любом случае это всё к вопросам вычислениям функторов же и всего такого. Если они изначально есть - всё будет как изначально. Если нет, то придется их вычислять как-либо. Либо с помощью определенных вспомогательных вещей, либо же через всякие "пары". Что, вообще говоря, похоже на произведение категорий.

Но так как я за категории не шарю, то всё свёл к более привычнми мне вещам. Вообще, рассматривая эти функторы как УЖЕ не классификации, а структуры(относительно склейки), то там всё достаточно вдруг понятно стало.

Теперь бы записать.
Аноним 27/01/25 Пнд 22:32:06 774350 1045
В общем берём две категории и берём какие-то два объекта, что нам нужны. Дальше смотрим некие области в этих двух категориях, что определяли бы некую роль каждого из этого объекта в своих категориях. Желательно чтобы области были большими. И да, области тогда это всякие диаграммы.

Дальше же смотрим на разницу между этими двумя областями, вообще говоря скорее в топологическом смысле(для этого надо будет определить там топологию только), но в общем нам надо было бы, чтобы две эти области...короче чтобы роли каждого там морфизма сохранялись. В плане если там автоморфизм - нужен автоморфизм.

Таким образом там либо у нас всё будет совпадать либо же нет. Если совпадает, в таком случае можно смотреть только лишь на одну из областей. Если же не совпадает, то на две области нужно будет смотреть. Тут это в том смысле, что если области совпадают по работе, значит что роли у двух этих объектов одинаковы, поэтому нам достаточно будет лишь одной области, ибо вторая полностью повторяет эту нашу.

Дальше же смотрим на вопросы относительно зависимостей, равенств и параметров. Зависимости это про то, насколько у нас второй объект зависит от первого и наоборот. В основе своей определяется тем, как если бы мы вставляли бы в наши параметры штучки и глядели на результаты. Ибо вполне себе может быть так, что они все сами по себе, т.е зависимости нет.

Равенства уже это про то, когда "переход" при различных значениях параметров равен или равен. В основе определяется через объекты, но есть нюанс. Мы можем ещё ведь определить категорию что состояла бы из этих "переходов", где там уже могли бы как-либо искать равенства. Но если без этого, то сугубо через сами объекты в этих переходах, при том что вопрос совпадения областей вполне себе определяет то, что мы можем упустить при равенствах или не можем упустить.

Про параметры это уже про входные значения и выходные. Там же, так-то, это не то чтобы объекты какие-то, это какие-то классификации же. Вот собственно определяется количество входящий значений и выходящих, при том от зависимости между двумя объектами и от совпадения областей двух объектов. Зависимость определяет это так, что если два значения параметра выдают в итоге нам равные вещи - значит они у нас одно и тоже(склеины), т.е уменьшается количество параметров входящих и к тому же сами эти параметры преобразовываются. При этом на количество выходящих параметров будет влиять именно что устройство классификации или классификаций.

В этом плане если начальная классификация берет R^1 в которой при любом значении выдаётся только лишь одна фигня - тогда эта R просто схлопывается.

Если же итоговая классификация выдаёт нам при каком-то параметре меньше выходящих значений - ну вы поняли.

Кстати да, что тут сказать надо. Зависимость между одним и другим проявляется в обходе этих областей. Короче говоря, обобщенно: классификация1(y)->хрень1 дальше переход в хрень2->классификация2(x).

Ну а совпадения и нет областей говорит о том, что тогда мы бы рассматривали бы и выходящие значения итоговой классификации и начальной.
Аноним 27/01/25 Пнд 23:37:44 774359 1046
5090.jpg 207Кб, 1200x1200
1200x1200
Ну, мне остается только видимо ждать. И надеяться на описание. Короче говоря зачеловечился что-то в этот период, пора и обратно. Вот такая вот ваша человечность.
Аноним 27/01/25 Пнд 23:39:50 774361 1047
d72e6b519a5ea7f[...].png 166Кб, 424x600
424x600
>>774359
Ну т.е то настрой то эффективность, а надо бы и то и другое. Но обычно после эффективности настрой возобнавляется же. Голова ведь забиывается не настроем, а задачей, вот и получается, что всякие грустинки могут повлиять. Ладно уж про этот момент грусти, щас сделаем что-то.
Аноним 28/01/25 Втр 00:05:24 774364 1048
Beethoven.jpg 980Кб, 1200x1443
1200x1443
Аноним 28/01/25 Втр 01:07:07 774371 1049
d72e6b519a5ea7f[...].png 166Кб, 424x600
424x600
Да, окей, "переходы" есть(и не только), остались расширения.

И да, на заметку - весь этот "категорный" аппарат можно будет заменить на вариации и структуры.

Про расширения лучше думать именно как про вещи, задающие взаимодействия предикатов. Поэтому это должно быть...[расширением].

Ну, ответ будет достаточно очевиден. abs. Я имею ввиду, что расширение(x,y,...) должно быть расширение(x)=расширение(y)=...

В таком случае расширение должно именно что содержать всякие там вещицы. О, пучки? Да, точно. Почему бы этому не быть пучками? В таком случае расширение это просто глобальное сечение жеж. Удобно. Поэтому да, хм... Хотя пучки это такое, скорее не подходят тут. Так что изначально ориентируемся на "содержание", желательно в том смысле, чтобы то, что содержало, было бы чем-то новым. В противном случае это было бы тогда действительно чем-то типо пучками с неким глобальным сечением, что было бы уже известным нам объектом каким-то.

Поэтому в плане одной категории всё норм, а вот если категории разные, то вот не знаю. Только если новую категорию делать, и то в плане произведения типо категорий.

Хотя были бы у нас тут вариации - было бы всё няшно. Варьируем и корёжим структуры пока не дошли бы до того, что содержало бы и то и то.
Аноним 28/01/25 Втр 19:04:28 774407 1050
173808013401510[...].png 404Кб, 796x597
796x597
О нет, психопат всё лучше работает. В общем надо будет подумать что с этим делать. А то не очень, что психопат работает. О мой план, сохрани меня. О описание меня, сохрани же меня.
Аноним 28/01/25 Втр 19:04:56 774408 1051
>>774407
>психопат
Псиоп т.е
Аноним 28/01/25 Втр 20:18:06 774412 1052
image.png 465Кб, 659x727
659x727
https://www.youtube.com/watch?v=uPiYxZoxmhw&ab_channel=MargoBeloved
И не хочу я быть собой,
Но только как не быть мне мной?
Кому ведь это надо, зачем так поступать...

Не вижу смысла я вот в этом,
Хочу собой остаться я.
Но только руки вспять идут,
Не слушают меня...

И как мне страшно понимать,
Что смерть грозит мне от меня.
Но кто же душит всё меня?
Оставь же руки мне мои...

Иначе эти руки
Начнут душить тебя. [Цун!]
Аноним 29/01/25 Срд 22:36:22 774528 1053
image.png 77Кб, 1933x2271
1933x2271
Немножко рисунков в тему.

В общем разбирая то, как бы юзать здесь не "категорный" аппарат, я пришел вот к чему:

Расширения через структурно-вариационный подход это достаточно просто. Корёжим наши вещицы с применением классификаций пока не получим [содержание] всех нужных вещей. Единственное условие, что здесь требуется - чтобы расширение по каждой переменной были одинаковыми.

Переход делается ровно также, только там мы рассматриваем уже конкретно некий путь(или пути) от одной вещи к другой.

Достаточно просто, не так ли? Теперь же когда мы не можем применять классификации, т.е с помощью предструктур:

Расширения делается тем способом, что мы бырём все эти нужные нам классификации и на выходных значениях классификаций задаём там какие-то другие классификации(параметризированные).

После чего формируем пространство взаимодействия классификаций, где получаем некую классификацию на нашем пространстве взаимодействия. Дальше, всё что нужно, это определить такие пространства для каждой фигни, и дальше нам нужно будет просто параметризировать нашу классификацию так, чтобы она давала бы нам каждую классификацию из нужных нам пространств. Типо если в одном пространстве это линия, а в другом кривая - то надо задать преобразование этой вот линии в кривую же.

После чего, когда мы получили это предструктуру, то нам требуется определить здесь будет то, чем мы здесь будем оперировать.

Опять же помним про параметризированную классификацию на пространстве взаимодействий, вот собирая вместе все эти классификации при каких-то значениях параметра - мы получим какой-то объект. Где нам следовало бы задать в нём некое расслоение на всякие классификации от значения параметра(типо из квадрата расслаиваемся в отрезки для примера). Вот каждый отрезок будет подразумевать какой-то наш объект где заданы определенным образом классификации, которые в купе взаимодействия друг на друга и будут определять выходные значения конкретно в этом расслоении. Собственно таким образом каждое расслоение будет выдавать нам взаимодействие классификаций на выдаваемых из другой классификаций значениях, что будет подразумевать некое изменение этих значений.

Тогда при обращении к расширениям мы бы говорили бы о параметризированной классификации на пространстве взаимодействия классификаций. Где уже беря расширение расширений, то мы бы на этой фигне задавали бы классификации и короче говоря всё делали тоже самое. Вот вы там можете увидеть красную фигуру на пике, вот на ней надо будет ввести классификации а потом из них сформировать пространство взаимодействия и т.д. Таким образом тогда выдаваемые значения(этой фигуры) будет подразумеваться измененными относительно взаимодействия классификаций на них, что в свою очередь будет влиять на расслоения же.

Пример кстати про который я тут говорю: квадрат и куб. На квадрате есть диск и диск из отрезков. Там мы задали, что при больших значениях диска у нас отрезки уменьшаются. Это всё на квадрате, а вот на кубе мы там можем диск задавать любых размеров, но отрезки никаких меняться не будут.

Дальше про [переходы]. В целом они похожи на расширения. Только там при параметризации должны быть ограничения, и там мы рассматриваем не каждое расслоение, а лишь одно, а ещё определяем входные значения.

При ограничении на параметризацию у нас появляется случай того, что мы не всегда сможем сформировать такой объект, в котором мы бы могли бы дойти до нужных нам расслоений. Как с одной так и с другой стороны. Таким образом мы бы говорили бы про пересечение двух этих объектов, и одно то расслоение, которое было бы из пересечения этих двух объектов.

При этом входные значения вычисляются у нас так: вначале берём те самые изначальные классификации из которых мы на выдаваемых значений оных организуем классификации. Так вот, мы там берем и вставляем туда какие-то параметры, получая разные какие-то выдаваемые хрени. И эти разные выдаваемые хрени вполне могут менять у нас классификации на этих выдаваемых вещах, а значит и классификации на пространстве взаимодействия. Дальше же от нас требуется смотреть на то, сколько у нас будет совпадений относительно хождения по параметру к нужному нам расслоению, при том зыркать можно это будет как с одной стороны так и с другой.

Для примера если выдаваемые значения это квадрат, то там мы выдаем каких-то размеров квадрат, гд появляются ограничения на размеры дисков и длинны отрезков же на выдаваемом от параметра квадрате. С кубом тоже самое. И вот мы зыркаем тут, а есть ли разница у нас, а чо там как там. Это хорошо на пике видно, вот типо возьмите там фиолетовые фиговины и дальше при хождении по параметру надо посмотреть будет на то, а придет ли это фиолетовая фигня в фиолетовую фигню другой. И вообще, сколько можно будет [покрыть] при проходе по параметру вещей, и может ли быть такое, что при разных вещах они при хождения по параметру приходят в одну вещь.

Единственный вопрос здесь будет лишь в том, а как взаимодействовать с [переходом]? Типо возьмем переход чего-то в переход? Ответ будет так же, как мы делали с расширениями. Только там у нас ещё могут поменяться входные значения и соответственно выходные тоже, и где мы везде рассматриваем только одно расслоение. Но так-то мы там просто строим переход к переходу - в той же манере - а потом дополнительно смотрим как у нас может изменился изначальный переход же.
Аноним 29/01/25 Срд 22:47:27 774531 1054
>>774528
Кстати да, про переход. Он на "категорный" манер сделан, но там можно упростить. Мы можем там сразу перейти к расслоению и иметь ввиду именно овт классификацию, что является расслоением. Воаля, просто! Всё же там эти расслоения подразумевают то классификации, ага.
Аноним 29/01/25 Срд 22:50:02 774532 1055
>>774528
>>774531
И кстати насчет расширения, то там можно просто взять все расслоения как классификации и объединить их или задать там параметризацию какуе-то. Тоже вариант.
Аноним 29/01/25 Срд 23:24:07 774537 1056
>>774532
Также можно провернуть и с переходом, но там бы подразумевать...некую композицию ещё. Т.е не просто расслоение как то-то то-то, а композицию от расслоения как то-то то-то.
Аноним 30/01/25 Чтв 14:39:39 774588 1057
Есть взять предструктуру, то можно будет над пред структурой(первым параметром) ввести к примеру группу Гротендика через классификации и задание взаимодействия предикат. Хоть изначально конечно это про категории скорее, но всё же.

К примеру параметр это N. Тогда мы можем сделать там группу Гротендика при помощи классификаций: пары с индексами. После чего надо будет взаимодействие предикат задать и воаля. Правда как это будет влиять на сами наши изначальные точки? Будет влиять если задать полную склейку, а там короткая же. Если короткая, то скорее никак. Если полная, то думаю ясно как.
Аноним 31/01/25 Птн 06:31:13 774650 1058
1484162458407.jpg 13Кб, 234x215
234x215
Кстати да, вот тут вопрос появился у меня. А чо делать то с общими последовательностями в коде/вычисления?

А там уже же объекты, ага? Кхм. Ответ просто: либо вручную делаем всё что нужно(т.е объекты и начинки(пары и классы пар) их и их обобщения), либо же создаем классификации и применения их, т.е вариационно-структурный подход. Как-то так, короче говоря.

Но впринципе скорее надо будет сделать пару базовых объектов и уже из них вытягивать полиморфные(фига какое слово знаю. Только полиморфные относительно объектов) начинки, создавая из начинок объекты. И в общем-то конечно же подразумевая обобщения объектов.

Так что да, придётся посидеть будет и поделать фиговин. Или же, вспоминая про вычисленные эквиваленты - можно что-то с этим поделать. Наверное? Хотя там же метрика, поэтому можно конечно, вдруг пригодиться. Если лень не будет.
Аноним 01/02/25 Суб 07:04:43 774709 1059
025228c2-456c-4[...].webp 232Кб, 1410x860
1410x860
Хорошие новости. Я вполне себе вижу как я могу вычислять пространства классификаций в своей программе! И даже знаю как это оформить. Не только общими мазками, но и конкретными.

Гуд.
Аноним 03/02/25 Пнд 21:25:22 774984 1060
image.png 236Кб, 1813x1925
1813x1925
Обновление, а за ним - доступность сложных фиговин, где количество(и качество) направлений не постоянно. Теперь сюда надо добавить ту хрень про предструктуры и можно будет кодить.
Аноним 03/02/25 Пнд 22:02:10 774985 1061
Ну и да, мы можем градировать/деградировать метрику, но вместе с тем мы можем ещё вот что делать - подразумевать входные параметры, а также подразумевать и обратное - сами классификации как входные параметры. К слову о таком приколе.

Поэтому говоря о предструктурном подходе. Мы все эти вещи строим на параметрах, после чего навешиваем на них классификации. Вот разницу определять можно как раз будет с этим предструктурным подходом, вроде ничего передумывать не надо.

А вот если конкретно не знаем как задавать преобразования между параметрами, то тут надо будет подумать.
Аноним 04/02/25 Втр 07:37:30 775012 1062
17373827508000.webp 96Кб, 735x800
735x800
Аноним 04/02/25 Втр 08:13:04 775015 1063
d72e6b519a5ea7f[...].png 166Кб, 424x600
424x600
>>775012
Эээ, что конкретно?
Аноним 04/02/25 Втр 08:33:13 775016 1064
Кстати хотел написать по поводу предструктур.

Короче есть объект, на нём есть подобъекты. На подобъектах определяются контакты подобъектов.

Сами же контакты, а именно их наличие, это зависимость между двумя объектами. Т.е есть контакт или нет. Так же сюда можно втянуть и сигнулярные контакты, т.е такие, которые изначально не определены. Ну и также можно говорить о мере контакта - насколько контактируют два объекта.

Мера контакта вычисляется при помощи умножения производной на 100/f(x). Вроде бы.

Соответственно что нужно сделать: определить то, чем является контакт между подобъектами в объекте. Определить то, какой меры могут быть контакты между подобъектами в объекте. И последнее, но не менее важное, это определить постройку нашего объекта через контакты подобъектов.

Вполне хороший пример этого могут дать нам два диска на квадрате. Собственно под контактом можно подразумевать пересечение дисков. Под мерой контакта - дополнение по пересечению какого-то диска.

Следовательно дальше, задавая зависимость второго диска от первого в плане x<0 тогда const, где если x> или =0, то 1/x мы бы определили бы там контактики и всё такое. Т.е начиная с 0 есть контакт, где мера этого контакта достаточно сильно падает.

Т.е начиная с 0 у нас происходит пересечение двух дисков, при том первый диск достаточно быстро пересекает второй, но потом также быстро замедляется и в итоге не пересекает второй диск полнустью.

При том, что пересечение этого второго диска выглядело бы как его уменьшение.

В таком плане есть два диска, где первый при достижении определенных размеров начал бы сужать второй диск, мол, образуя на втором диске какое-то кольцо.

Собственно при таких вот контактиках можем построить тот наш объектик, который был бы сферой, получается.

Хотя начанали бы мы с квадратика.

Вот такой вот пример. Где если подразумевать под этим всем ещё классификации, то тогда сфера задается на шаре. А те элементы нашей классификации - минимум это элементы наших тех других подклассификаций на этой классификации. Где тогда их пересечение можно действительно сделать пересечением, оставив при этом какие-то элементы в таком случае.

Типо возьмём пары чисел. Скажем что начиная с (x>5,y>5) начинаются пересечения. Тогда тот другой диск был бы со своего рода с переставленными значениями. От 5 к, допустим, 10, где дальше шёл бы себе до какого-то центра. Но я имею ввиду что этим центром может быть и бесконечность, если уж так надо. Но это уже другой момент, это момент классификаций.
Аноним 04/02/25 Втр 08:43:14 775017 1065
не математика.png 253Кб, 500x441
500x441
>>775016
Ох уж эти вещественные числа, кстати, да? Кхм, ну это про взаимодействие классификаций там все дела там да, агааааааа тот пример >>774528
Аноним 04/02/25 Втр 10:37:02 775023 1066
Да, про классификации. В общем-то говоря всё просто. Выдаваемые параметры из наших подклассификаций или же мы как-то переносим наши выдаваемые параметры классификации на подклассификации же.

В примере со сферой можно пойти как тем так и тем путём. При переносе там что-то типо вывернутой-согнутого диска по сути, где бесконечность была бы центро мол. При первом варианте же там будет просто два диска с одинаковыми выдаваемыми параметрами(ну если захотим), и некой границой на этих дисках, что значило бы начало контакта их. Дальше просто индексация их. К примеру первый открытый диск обозначить положительными числами, второй открытый диск отрицательными, а эту границу - предельными положительными индексами, выходит. Или типо того.
Аноним 04/02/25 Втр 21:50:00 775074 1067
image.png 3344Кб, 1237x1600
1237x1600
https://www.youtube.com/watch?v=vdQ6SWAeyng&ab_channel=EberhardKraus-Topic
Ох уж эта песня. Такая няшнота. Вообще солнце теперь ассоциирую с начинаниями новыми и неопределенными.

Про вычисления. Вообще, так-то, стоит ли мне это сюда писать? Хотя я тут и так многое чего рассказал, так что почему бы и нет? По крайней мере просто оповещения.
Аноним 05/02/25 Срд 16:55:20 775165 1068
6d09ca9ab312eb0[...].jpg 25Кб, 400x337
400x337
Есть стойкое ощущение, что мне мешают. Мешает. Кто же это? Не в плане физическом, но в плане нарративном скорее. Словно сама реальность мне подкидывает неудобства. То это, то вот это.

https://www.youtube.com/watch?v=vKjg8LdB7xs&ab_channel=Kollontay
А вообще грусть моя в другом. И то, меня же, именно меня. Не путать со мной. И грусть в том, что медленно. Хочу быстрее. Хочу уже, а уже? А когда уже? Тихая тень - громкая тень.
Аноним 05/02/25 Срд 22:10:17 775208 1069
93951cd336faa33[...].png 377Кб, 600x710
600x710
Ускорение, такое вот слово. Не знаю, скорее нет, чем да. Если брать такие ускорения.
Аноним 05/02/25 Срд 22:19:48 775210 1070
Борьба.webp 79Кб, 640x920
640x920
16098297451450.jpg 188Кб, 650x839
650x839
https://www.youtube.com/watch?v=KHs8kOMJL8U&ab_channel=klop422

Удушающая хватка на шее. Ощущаю, что задыхаюсь. Я буквально имею ввиду, что ощущаю что задыхаюсь и что-то сдавливается в шее , но уже проходит. Настолько близко именно что дыхания смерти не испытывал как лет, наверное, 4-5. Сейчас конечно проходит. И шёпот и дыхание и руки на мне или что там. Ну и, понятное дело, вот этого вида страха.



Главное это не терять себя в таком случае.

https://www.youtube.com/watch?v=Wf74UQDrehw&ab_channel=NeoPiano

Зато после него такие воспоминания. Ах моё алое небо. Белый снег, красная ночь. Бодрый настрой!
Аноним 06/02/25 Чтв 08:41:34 775247 1071
17373416287440.jpg 175Кб, 736x736
736x736
Аноним 06/02/25 Чтв 20:38:34 775313 1072
>>775247
Ну слова я читаю, т.е лирикс смотрю же.
Аноним 06/02/25 Чтв 21:38:01 775328 1073
16393205614550.png 18Кб, 889x763
889x763
Быть это когда ты есть. Есть это когда ты быть. Короче говоря ох уж эти ментал проблемс, стыдно за них.
Аноним 06/02/25 Чтв 22:32:44 775338 1074
Berdefa1.png 89Кб, 343x440
343x440
Не подумал я о том, что проблема теперь может быть в...ну... В ускорении. В ускорении. Не надо слишком быстром, вот надо понять как-бы не слишком быстро.
Аноним 06/02/25 Чтв 22:45:45 775339 1075
173887068119249[...].png 92Кб, 343x440
343x440
https://youtu.be/PuZBPXAvUDE?si=-9BDphL7YNQaI7ob
Не думал, что ощущу первоначальную обшигу. Ну, теперь я наверное и понимаю каким образом можно менять определённые настройки у себя. Правда при неудаче конечно... И что примечательно, такое ведь было у меня где-то в 8 классе? Где-то так.

Но вообще это напрягает. Надо думать над тем, что делать с этим быстрейшем ускорением. Можно думать, что [они] додумались до того, как использовать мою защиту против себя, такой вот прикол, честно сказать. Динамика вот эта напрягает, складывается ощущение, что это не сколько абстракции(они), а такие абстракции, с которыми можно взаимодействовать.

Надо думать.
Аноним 06/02/25 Чтв 23:09:25 775342 1076
image.png 1101Кб, 724x1024
724x1024
https://www.youtube.com/watch?v=PuZBPXAvUDE&ab_channel=ChristianChamorel-Topic
Вот удивительно то как, испытал кое-что, что не испытывал достаточно долго. Но самое главное, это подарки от этого. Только вместе с подарком пришло и оповещение о том, что у меня есть пробоина в моей защите, которую надо (срочно) исправлять. И как удачно, тема с описанием процессов вполне отвечает на то, как-бы это исправить.

Ну и ещё плюшка в том, что уловил как можно было бы менять свою настроички в деятельности.
Аноним 08/02/25 Суб 09:06:22 775565 1077
И что же.webp 57Кб, 360x990
360x990
Вообще, хотелось сегодня попить вина, но не знаю. Я заметил, что каждый раз когда пью вино, то происходит что-то такое, что меня пугает.

Ну а вместе с вином ещё и сентиментальность. Чуть ли полностью не ушел в тематику цикад, опять... Но решил не уходить, ибо смысла не вижу.

В любом случае по щиту, то показал себе он нормально. Роботоспособно. Даже словил ощущение такое, чего-то нового. Некого нового скилла что нужно изучить, скажем так. В любом случае этим пользоваться можно, если будет подниматься данная тематика.

Но вообще, тематика денег самая легкая.

Забавно, вначале жалуюсь тут >>775165 , а потом как-то уже жалуюсь на то, чего хотел. Huh.

А теперь к коду, теперь коду, теперь коду. Попользуюсь надумками своими.
Аноним 10/02/25 Пнд 05:46:35 775932 1078
https://www.youtube.com/watch?v=kt20ytKxRbo&ab_channel=LibraryofMusic

Глобальное - напряжение
Глобальное + перенапряжение

А для временных каких-то отрезков - локальные тогда. Но это всё с большим размахом, получается.

А так:
г-н это чтобы бурно заниматься вещами
г+п это чтобы спокойно заниматься вещами

Их комбинации:
-+ это бурная вспышка и потом спокойная доделывашка.
+- это настраивание на работу, чтобы потом бурно работать.

в таком смысле +-+ это настраивание на работу, бурная работа и спокойная доделывашка.

Вопрос только лишь в глобальностях. Или же как-бы расширить локальности просто.

Стремиться надо либо из локальности в глобальность или же из глобальности в глобальность, если хотим более продолжительного эффекта.
Аноним 10/02/25 Пнд 05:48:13 775933 1079
>>775932
Следовательно что сейчас нужно:

Если чувствую подготовку, то + и потом -.

Если же подготовки нету, но есть некое желание [выговорица], но - и потом +.

Сейчас ощущаю подготовку, следовательно +-
Аноним 10/02/25 Пнд 06:10:16 775934 1080
Глобальное перенапряжение можно достигнуть смотря в бездну.

Глобальное напряжение же это реактор.

Поэтому смотрим в бездну относительно того, что не надо, после чего, если надо, то бустим нужное. Если ощущаем, что мы готовимся к чему-то.

Или же бустим то, что нужно, а дальше относительно того, что не надо, то смотрим в бездну.
Аноним 10/02/25 Пнд 10:44:26 775944 1081
1617637358250.png 163Кб, 460x400
460x400
Да, мне стало лень доделывать упрощения.

Да, меня это злит.

Да, вы в праве говорить мне о том, что я лентяй. Стыдно.

Но отнюдь, я так подумал и понял, что может это и не было самой лучшей идеей. Всё же это упрощения, что теряют, эээ, ну типо мини контролль. Там всего-то три слова были, вокруг которых всё вертелось. is,copy,show как-бы.

Другой вопрос о том, сколько я на это времени потратил. Ну вообще мало, куда меньше чем на базовый функционал. Доволен ли я? Определенно да, так как немного поменял парадигму этого базового функционала. Только теперь её проверить нужно будет. Вот проверкой и начну заниматься, а вместе с тем и позаздаю себе всяких способов облегчить написание штуковин в коде.

По прежнему целые числа рассмотрю.
Аноним 12/02/25 Срд 08:07:37 776342 1082
16393205614550.png 18Кб, 889x763
889x763
Раскупорка рекурсий впринципе знаю как оформить, только это...это не алгебраично, хах. Кхм, имею ввиду очевидные таблички. Даже не матрицы. Но пользоваться можно.

Другой способ раскупорки сейчас продумываю, более няшный, но пока не знаю как пользоваться.
Аноним 12/02/25 Срд 19:08:32 776439 1083
1617637358250.png 163Кб, 460x400
460x400
Да бллллллллллллллллллллллллл...кхм.

Зато вот, кодим-покодим. Короче говоря если идти в примерно любые объекты, то надо будет думать. Ну, не в том плане, что типо думать, а в плане того, что это время просто. Но идейки есть. А так-то никто не запрещает, конечно же, продумать пару объектов и потом сводить всё к ним. Тут то и ряды эйлера пригодяца и вообще.

А так: функции, оператор для классов функций(типо производной), анализ рекурсий элементарных функций, композиция классов элементарных функций и наконец-то анализ на класс функции у рекурсии каких-либо функций.

Так-то, во всём этом просто самое главное это классы функций. Вот они тут нужны, ибо это определение и замкнутости и разницы(между классами) и ещё для не изоморфных класификаций нужны, в коих будут глядеться изменения классов функций.
Аноним 12/02/25 Срд 19:12:08 776440 1084
>>776439
Ну типо короче чтобы при рекурсии можно было бы понять что это за класс функции, в этом плане. Это вот итог который.

Определить функцию в объекте легко, уже придумано.
Определить анализ рекурсий функций - более менее придумано два способа.
Определить класс функций - через оператор.
Тогда надо придумать как определить этот оператор бы.
Определить анализ рекурсий элементарных функций - более менее придумано.
Композиции классов элементарных функций - тоже более менее.

Короче да, как-то так.
Аноним 13/02/25 Чтв 09:46:30 776656 1085
1484162458407.jpg 13Кб, 234x215
234x215
image.png 23Кб, 1203x495
1203x495
Хотя ладно, по факту не так сложно. Т.е всё что тут надумал пригодилось, но задача легче.

Если параметры из одного объекта, то:

Все ли функции у классификаций из того же объекта, что и параметры. Если да - гуд.

Тогда всё, что нужно: проанализировать нашу получившиюся рекурсию каким-либо способом.

И потом уже надо будет в анализе понять по поводу классов функций. Классов функций, очевидно, в том объекте из которого наши параметры.

Анализ на классы делаться будет через рекурсию, поэтому что надо бы: функционализировать бы рекурсии элементарные/пораждающие/унарные/двухарные функции/операции, чтобы потом понять что их рекурсии выдают типо какой класс.

Дальше же это знание надо будет юзать для определения выдаваемого класса функций у нашей вот рекурсии.

В этом плане пока что думает про некий оператор, который бы занимался всем этим.

Вообще, раз объект у нас тут один, то может в нем могли бы быть изначально какие-то правила по рекурсий классов функций.
/////
Для примера беря какие-то аналитические функции в R и их рекурсию, то исходя из того факта, что аналитические функции построены из всех элементарных/пораждающих, можно было бы через определение рекурсий элементарных, определить бы классы у наших рекурсий короче.

Тогда вопрос будет лишь в этом операторе неком. Или же в другом каком-то способе. Ну и вот ещё пик, махая руками.
Аноним 13/02/25 Чтв 10:11:07 776657 1086
image.png 47Кб, 1517x1012
1517x1012
Типо того, во.
Аноним 13/02/25 Чтв 12:12:45 776660 1087
>>776657
Работает это хорошо пока не будут там "собственные" классы. Наверное многие сказали бы "а вот оно, деление на линейные и нелинейные". Наверное.

Но для вот собственных можно попробовать ввести классы по порождениям же, т.е смотреть на то, как они записываются, применяя какие-то упрощения и может быть даже операторы, так-то.
Аноним 13/02/25 Чтв 13:11:22 776679 1088
Так, пока остановимся на тех ситуациях, где классы не собственные.

А по собственным заметочка:

Не обязательно находить рекурсию, просто нужно знать то, какие классы функций выдадет нам рекурсия.

В таком плане можно подумать о каких-то уравнениях с классами, операторами и т.д.

Типо D([y])/D([yy])=1
Которой можно записать как
Dy(x,p)/Dyy(x,p)=1

Типо класс функций это функция от p. И от x
Аноним 13/02/25 Чтв 13:16:37 776681 1089
>>776679
А по не собственным классам всё достаточно легко. Всякие рекурсии сводим к рекурсиям не собственных классов.

Вообще, по классам... мы под оператором можем иметь ввиду какой-то оператор упрощения, аля деградирования. Это типо тоже как заметочка.

А так можно попробовать ещё апроксимизировать выдаваемые классы функций. Тоже как заметочка.

///

И в итоге. Знать классы функций надо для: определения классификаций, определения разницы между классификациями, определения пространств классификаций.

Но впринципе всё это можна свести по большей части к определению классификаций.
Аноним 13/02/25 Чтв 16:27:12 776697 1090
17077691165280.png 468Кб, 564x809
564x809
А я и забыл такие поворотики.

Короче всё проще. Берём оператор и определяем применения оператора на класс какой-то. По некому правилу применения оператора. Вот это правило - оно должно будет сохраняться при применении на наш класс каких-то функций. Если не сохраняется - значит класс меняется, если же сохраняется - ровно такой же.

Для примера беря оператор дифференцирования и функцию x+1

Правило тут, махая руками, можно было бы записать как:
1)деление на часть с переменной и константой.
2)деление части с переменной на саму же переменную.
3)отнятие от части с константой саму же константу.

Теперь же, беря эту функцию и прибавляя к ней ещё единичку, то можно позыркать будет просто как меняют части. Где переменная не меняется, а где константа - меняется.

При этом при возведении в квадрат у нас уже константая и переменная часть меняется.

///

Но про то, а как-бы с элементарными классами быть. Короче берём функцию, определяем её класс через оператор. Если надо - анализируем функцию нашу, чтобы более точно определить класс.

Дальше после того, как класс определим, надо будет посмотреть на то, какие классы будут нам выдаваться при рекурсии этого класса!

Дополнительно по определению того, какой у нас выходит класс в любом случае. Просто по оператору. Типо не ff а fg, это там какой класс будет? А можно просто взять оператор и применить его на fg и позыркать так.
Аноним 13/02/25 Чтв 16:27:51 776698 1091
>>776697
Да, кстати насчет сложных примеров по правилам, можно позыркать будет на e^((x)+1/(x)). При первых рекурсиях по крайней мере там правила сохраняются.
Аноним 13/02/25 Чтв 16:28:12 776699 1092
1484162458407.jpg 13Кб, 234x215
234x215
Только вопрос теперь в определении оператора.
Аноним 13/02/25 Чтв 16:36:59 776700 1093
!!!.png 219Кб, 540x449
540x449
>>776699
А точнее вот этой тематики типо с комбинаторикой, аааааааааааа.
Аноним 13/02/25 Чтв 19:17:19 776744 1094
30c41c61-5b7c-4[...].png 167Кб, 568x992
568x992
Про комбинаторику:

Аксиомы. Аля положения. Ну и это всё, так-то, перетекает в некие правила.

Дальше же, сами правила - наборчики из элементарных функций.

Следовательно будут рассматриваться рекурсии элементарных функций. Ну, из наборчика.
Аноним 13/02/25 Чтв 19:32:02 776750 1095
17387861392840.jpg 150Кб, 720x720
720x720
Ну а по оператору, то определим его так:

Решение уравнения Y(f(Del(x)),Deg(x))=f(x).

Где Y это, как-бы, само уравнение.

f(x) это любая функция типо.

Del(x) это некий сдвиг. В основе своей мы тут смотрим просто на любой способ ходить по параметру x, вот del должен быть этим каким-то способом.

Deg(x) это уже поинтереснее. Типо деградация(x). В этом плане мы x просто...деградируем. Если есть всякие нейтральные вещи в объекте, то просто сводим их к нейтральным позициям.

Почему именно так? Ну, не только потому что это напоминает определение производной, но по большей части потому, что вообще говоря было бы хорошо, если бы наш оператор просто упрощал бы функции. Аля деградировал бы их. Так было бы легче просто работать с ними. Это по Deg(x), в свою очередь по Del(x) это про обход параметра просто. По сути своей да, меня тут интересует изменение состояния при обходе по параметру x, поэтому рассматриваю тут подобные вещи.

Поэтому обще говоря: фигня которая как-то была бы связанна с функцией и которая бы ещё и упрощалась бы. Связанность обеспечивало бы схожести, а упрощение - ну, более лёгкую работу.
Аноним 13/02/25 Чтв 19:48:22 776754 1096
17387861392840.jpg 150Кб, 720x720
720x720
>>776750
>Deg(x)
Т.е Deg(p).

Мы там находим p т.е.
Аноним 13/02/25 Чтв 19:51:54 776755 1097
17387861392840.jpg 150Кб, 720x720
720x720
Позыркая сейчас примеров этих самых операторов в Z/3, впринципе, получилось интересно. Там есть пару примеров с противоречиями, но в общем говоря это не то чтобы противоречия, а именно что указатель на неразрешенность же мол, короче что расширять надо просто.
Аноним 15/02/25 Суб 23:34:47 777327 1098
30c41c61-5b7c-4[...].png 167Кб, 568x992
568x992
Если изменение классификаций нельзя представить как рекурсию, то не беда.

Всегда можно применить наш оператор после чего решить уравнение, в котором бы наша хрень после оператора бы равна была бы особым элементам.

Это я к тому, когда есть изменение классификаций функцией, а в следствие и наших последовательностей по направлению тоже предстается как функция от той переменной, по которой классификации меняются. Ну и вот, можем, во первых, рассмотреть саму эту функцию без переменной в ней ввиде нашей функциональной последовательности. И может если не свести её к рекурсии, то применить на неё оператор, приравнять к особым элементами, получив уравнение, и решить её. Чтобы понять как эта функция у нас, в общем-то, ведёт себя.

А дальше, уже возвращая нашу первую переменную ввиде последовательности, посмотреть какой выходит в итоге класс при другой переменной которая равна/любые_другие_отношения нашим решениям уравнения того.
Аноним 15/02/25 Суб 23:36:05 777328 1099
1ade3c75-def3-4[...].jpeg 959Кб, 1670x2048
1670x2048
>>777327
И да, кстати, таким образом можно будет и говорить за классы, когда будем умножать главные оси же по направлениям. В том же духе с решением уравнения там оператор особые элементы и т.д.
Аноним 19/02/25 Срд 13:54:02 777956 1100
318e93ec-1bda-4[...].jpeg 472Кб, 1366x2048
1366x2048
Сферы(не давать переходить в другой полюс) и алый туман, значит? Хах. Забавно, наверное.
Аноним 19/02/25 Срд 14:01:07 777958 1101
ФланНяшное.
>>777956
>Второй сон уже был про сферы и разрезы(кривые). Если вкраце - не давай выходить на другой полюс сферы чему-либо, и эту абстракцию юзай, подключая её к чему-то физическому, к примеру к мозгу с нейронами! Про кривые сложное было, но там был прикол в том, чтобы утонуть мол в кривых же. Другими словами представьте себе вооражаемые руки и попытайтесь утоноить в них, аля войти в них.
Аноним 19/02/25 Срд 19:05:15 778011 1102
1617638253486.jpg 45Кб, 488x540
488x540
Аноним 23/02/25 Вск 06:30:53 778261 1103
image.png 256Кб, 550x550
550x550
Аноним 23/02/25 Вск 09:32:01 778264 1104
image.png 2787Кб, 5464x3072
5464x3072
А вот я опять вернулся к реакторам. Интересно то как.

В общем про гаввах(да и просто про [с конца], наверное?).

Гаввах в данном случае это топливо для реактора. В случае классического реактора - собственный гаввах. Ну и как можно понять - из боли в гаввах, но сейчас расширим это понятие до более прикольных вещей.

////////

Превращение собственной боли в гаввах это, в первую очередь, осознание своей боли как гаввах.

Осознать свою боль как гаввах можно в том числе и при помощи голода по гавваху.

Голод по гавваху, в случае с реакторами, это достаточно высокая потенция реактора через реактивное топливо.

А так голод по гавваху это просто некое состояние, в котором боль превращается в гаввах. Дальше будем говорить про это как про голод.

Собственно вопросы тут тогда в том, как гаввах кушать и как голод вызывать. По тому, как гаввах кушать я уже писал - это тематика с реакторами и вот этим всем. А вот как вызывать голод это уже другой вопрос и кстати достаточно хороший.

Во первых, что нужно понимать, смотря из далека на общую картину, то собственный гаввах это достаточно хорошая стратегия для выживания(ещё лучше она станет если обобщить гаввах до [с конца]), потому что во первых - тот, кто кушает, хочет кушать. И во вторых - кушает он намного более разнообразные вещи, чем тот, кто не хочет питаться своим гаввахом. Это я к тому, что раз этот некто хочет кушать, то он хочет продолжать кушать, т.е просто продолжать быть. Что впринципе соотносится с тем, чтобы продолжать быть. Ну и возможности у этого, скажем, инструмента, намного шире. Как-бы и гвозди забивать и хз, картошку чистить. А это буст к выживаемости.

Поэтому про то, как вызывать и как вызывается голод - сначала исходим из того, что есть процесс, что имеет тенденцию быть. Дальше этот процесс через образно-описательную(или в случае разума психо-интеллектуальную) среду/процессор выполняет всякие такие вещи, которые, по [мнению] среды, помогут ему дальше быть. Поэтому голод появляется относительно среды/процессора же ну и по каким-то внешним факторам ещё в купе того, что изначально цель просто быть.

Теперь о том, как вызывать голод:
Через психо-интеллектуальную среду. Т.е эта среда, во первых, выполняет какую-то задачу, по сути, а именно либо осуществляет задачу либо нет. Вот собственно среда по направлению или же процессор - это работа среды по какой-то задаче(терминологический момент). И мы можем говорить о характеристике процессора, где некие границы этой характеристики выдавали бы нам какое-то стремление к выполнению задачи или же наоборот.

Так что во первых, если процессор как-либо работает по голоду, то это уже хорошо. Остается только лишь [разогнать] процессор, т.е достать до какой-то границы характеристики процессора. Сделать это можно через какие-либо "скачки" в любых смыслах. По сути - надо просто начать усердно пытаться решить проблему, прилагая больше усилий. Тогда процессор разгонится. А так, про большие усилия, то можно сказать, что надо повышать простое действо. А точнее даже не повышать, а как-то хаосно-рандомно-скачкообразно его менять, аля "ломать". И дальше говоря, то впринципе относительно любых "показателей", которые мы можем менять, то нам надо их менять быстро и скачкообразно так, чтобы аля "сломать" их. Это будет нагружать процессор, после чего скорее всего(а точнее точно) у нас появится голод. Для примера если не хочется делать простое действо, а хочется там спать к примеру, но есть выбор между тем, чтобы либо спать либо пытаться не спать, то можно "ломать" это хотение, т.е показатели потенции.

Так что таким образом через обращение к внешнему можем пробудить голод. Дальше про ненасытность и вот всё такое.

Голод, по сути, это появление гавваха, который не скушан. Собственно удволетворение голода это гаввах, которых скушан. А переваривание, это тогда, когда скушанный гаввах вновь становится не скушанным. Поэтому по основным пунктам:
Если мы съели гаввах и хотим его переварить, то мы можем его переварить либо через внешние процессы либо внутрение. К внутреним я выделил следующие: забывание, вытаскивание и изменение характеристик желудка(т.е процессов по перевариванию). Забывание это да, буквально когда мы забыли, что мы что-то уже съели, только нам надо помнить о том, что мы то, что съели, хотим съесть ещё раз. Поэтому от [съел и хочу ещё раз съесть] переходим просто в [хочу съесть]. Вытаскивание же в свою очередь это про то, когда мы понимаем, что на самом деле гаввах не съели. Т.е другими словами мы оспариваем просто то, что мы съели гаввах. Оспорить это можно как угодно, к примеру "выблевом", а можно оспорить это просто тем, что мы не то съели, какбе. Изменения характеристик переваривания в свою очередь это про то, чтобы либо повысить до границы характеристики, либо же сделать больше/меньше места для голода, что в свою очередь определяется пробуждением голода. Поэтому либо мы при помощи нагрузки на процессор нагружаем наш желудок и быстрее переварием(вплоть до моментального переваривания), либо же пробуждаем ещё голода путём тоже нагрузки процессоров, но в данном случае именно чтобы пробудить больше голода.
Потому что сам гаввах вполне может иметь размеры, и эти размеры относительны размеров объекта, мол из чего состоит объект, из скольких частей - вот что будет определять размеры голода. И тогда, имея переваривание объекта, мы бы могли бы сам этот объект считать частью другого объекта, где тогда надо будет вызвать просто голод на этот объект, что достигается, опять же, просто вызовом голода.

Но в конечном итоге сам гаввах можно обобщить до [с конца], в плане того, что раз гаввах это из боли в благо, а боль это нечто такое, что стоит не то чтобы в самом последнем месте списка приоритетов, а имеет даже, скажем, отрицательным приоритет же. Но таким образом можно говорить не только о боли, а просто о последних в неком списке приоритетов, мол, с конца. Поэтому и [с конца]. Это же может быть не только боль, но и просто ленность или нейтральность и т.д же.
Аноним 23/02/25 Вск 09:40:14 778265 1105
image.png 299Кб, 1200x630
1200x630
А теперь основное, что выделить надо:

Гаввах это инструмент.

Если гаввах нужен, то он нужен.

Значит нужен голод по гавваху.
Чтобы проголодаться, надо перенагрузить среду. В частности - перенагрузить любой выбор.

Когда проголодался, надо начать кушать.
Кушать в реакторном стиле.

Чтобы переварить еду, её можно вытащить из себя или забыть о том, что ты её кушал.
Чтобы переваривание работало быстрее, переваривание надо нагрузить. Для этого надо перегрузить среду, в частности любой выбор.

Чтобы повысить масштабы аппетита, для этого надо просто пробудить голод ещё раз.
Аноним 23/02/25 Вск 09:44:49 778266 1106
d72e6b519a5ea7f[...].png 166Кб, 424x600
424x600
Ну посмотрим, попробуем. Вот прикол будет, если удасца таким образом получить так называемый непрерывный реактор, huh. Но правда его можно обобщить, что сделать более чем надо будет, но это прям уже внешние-внешние процессы и описания всякие. Кхм.

Вот так представить себе же, по сути, инструмент. И код залпом сделать и математику закодить и повычислять. Только когда такой режим попробовать? А, я знаю, можно до 1 марта. Тогда попробуем уже с сегодня, ого. Как раз я сегодня не занимался кодом матеши.
Аноним 23/02/25 Вск 15:42:14 778280 1107
image.png 2337Кб, 3840x2160
3840x2160
Чтобы реактировать нужно же простое действо (или какие-то скачки). В общем их требуемую мощность можно снизить. Чем интенсивнее голод, тем меньше требуется размер скачков.
Аноним 23/02/25 Вск 16:59:44 778284 1108
025228c2-456c-4[...].webp 232Кб, 1410x860
1410x860
Хорошо, что просто. А для умножений и сложений, понятное дело, удобно пользоваться методом ФланиНяши.

Кхм. Порождающие функции, что порождают элементы для элементарных операций, где порождающие функции это частный случай элементарных операций. Дальше же есть переходы из элементарных операций. К этому присоединяется вопрос о коммутативности(перестановки). Т.е, другими словами, определяется целый класс эквивалентностей, в которых есть: эквивалентности элементарных операций, эквивалентности перестановок(коммутативность), эквивалентности скобочек(ассоциативность).

Где про ассоциативность можно думать как некую индексацию. И тогда с коммутативностью мы бы меняли бы минимальные по размерам скобочек элементы, но индексы бы оставались.

Во.

Хм, ну да, я вижу тут что да как. Отлично!

И получается там надо будет сделать такой вот применятор всяких этих правил(положений) же, который всячески пытался бы перезаписывать выражения, huh. Ну да.
Аноним 23/02/25 Вск 17:01:59 778286 1109
>>778284
При этом тогда само в проге это было бы сделано усилиями одномерных изоморфным целым(или натуральным) линиям(а может и отрезков) с отображениями друг в друга. Только вместо чисел там, очевидно, всякие обозначения и символы. А, ну и да, изоморфизм в целые/натуральные можно будет считать за индексы. Круто.
Аноним 24/02/25 Пнд 02:32:47 778334 1110
Важная заметка по арным по крайней мере группоидам:
Их можно описать группой автоморфизмов, а именно у меня в частности и по коммутативности - группой перестановок.

Но обще говоря наверное, арный группоид можно описать минимум как группу перестановок столбцов и сложения столбцов(что в итоге даже может быть даже кольцом каким-то, где есть группа по перестановкам и группоид по сложению).

Но смысл данной заметки в том, что эти арные вещи можно выразить с использованием классических объектов. Поэтому можно не париться, и сконцентрироваться. Ну вот, полазил и нашёл
>Another reason why these algebras are not so well-known is that, in the finite case (in finite algebras), any n
-ary operation can be expressed as a composition of binary ones.
Так что гуд, остановимся на бинарных операциях и абстрактной алгебре.
Аноним 25/02/25 Втр 07:01:18 778397 1111
image.png 299Кб, 1200x630
1200x630
>>778265
Важная деталь - голод можно думать как вызов потенции, достаточной для условий реактора.
Аноним 25/02/25 Втр 15:07:12 778417 1112
Анализ и выделения->упрощение и сохранение выделений->применение положений->обратное упрощению действие. Повторить, если надо.

Но это больше к автоматическим, ибо если есть чёткая последовательность, то можно наверное сократить эту цепочку.
Аноним 26/02/25 Срд 11:58:03 778485 1113
Так, списочек функций в объекте:
1)Использование определенных правил(после правки записи на ассоциативность) на определенный интервал определенное колво раз.
1.5)Тоже самое что и первое, только неопределенное колво раз.
2)Использование неопределенных правил.
3)Перенос в изначальный объект.
4)Сокращение записи.
5)Изменение записи в соответствии с другой записью/операцией или функцией из изначального объекта.
Аноним 27/02/25 Чтв 08:24:38 778574 1114
image.png 41Кб, 1420x603
1420x603
Точно ли была хорошей идеей отказываться от строчек? Впрочем это про ассоциативность.
Аноним 27/02/25 Чтв 08:25:23 778575 1115
image.png 41Кб, 1454x595
1454x595
Аноним 27/02/25 Чтв 08:44:47 778577 1116
image.png 6Кб, 847x295
847x295
Аноним 27/02/25 Чтв 08:48:15 778578 1117
image.png 11Кб, 552x421
552x421
Аноним 01/03/25 Суб 05:24:58 778797 1118
Безымянный.png 299Кб, 3814x1698
3814x1698
Вижу и понимаю, к чему ты клонишь.
Ты просто устал ждать или в этом духе что-то.
Ну а что по мне, то я может и не против.
Хотя я даже вижу, что делаешь ты это постепенно.
Таким образом, чтобы не поломать.
Ну что же, твоя правда.
Моя правда.
Аноним 01/03/25 Суб 05:56:13 778798 1119
025228c2-456c-4[...].webp 232Кб, 1410x860
1410x860
>математики не достаточно
>не только математика
Попробуем, так сказать. Что же, да?
Аноним 03/03/25 Пнд 16:37:28 778984 1120
image.png 3Кб, 142x416
142x416
Аноним 05/03/25 Срд 18:00:14 779163 1121
!!!.png 219Кб, 540x449
540x449
Нихуя я шиз то оказывается.

>классификации - это предпучки
>параметризованная классификация - это пространство модулей над предпучком
>пространство классификаций - это пространство, точками которого являются пространства модулей над предпучками. Где само это пространство строится таким образом: берется предпучок, над ним берется пространство модулей, над пространством модулей задается предпучок, над предпучком задается пространство модулей и так повторять пока не надоест
>склейка на пространстве классификаций, а именно её первая часть с расширением - это категория предпучков/пространство модулей над произведением пространств модулей над предпучками над объектом, где смысл в том, что смотрится возвращение объекта над которыми задаются предпучки

Только правда здеся сами эти предпучки, так-то, подразумевают, что от предпучком можно перейти к какой-то дополнительной структуре/преобразованиям над объектом.
Аноним 05/03/25 Срд 18:01:12 779164 1122
>>779163
>предпучок
Т.е предпучка.
Аноним 05/03/25 Срд 18:05:21 779165 1123
>>779163
>>779164
>Только правда здеся сами эти предпучки, так-то, подразумевают, что от предпучком можно перейти к какой-то дополнительной структуре/преобразованиям над объектом.
И ещё подразумевается, так-то, индексирование элементов открытых подмножеств, но это пока не трогаю.
Аноним 06/03/25 Чтв 01:54:32 779196 1124
image.png 299Кб, 1200x630
1200x630
Хотя рано радоваться.

Не в плане, что вдруг мне вернули задачу, а в плане, что дали взглянуть на то, что предстоит. В таком смысле и математика покажется не такой уж и проблемой. Хотя в данном случае это не совсем математика прям, а вычисления её, но всё же.
Аноним 06/03/25 Чтв 05:56:07 779205 1125
Хм, нотация со всеми этими предпучками и модулями конечно крутая, но мне кажется моя нотация более(не только привычна мне) фактичной и удобной.
Аноним 07/03/25 Птн 00:39:49 779297 1126
Какой пыткой я тебя пытала? Если пытала вообще.
Аноним 07/03/25 Птн 00:53:33 779301 1127
>>779297
Пыткой? Не знаю пытка ли это, но недопонимание моих действий с твоей реакцией было не очень. В итоге всё скатилось к тому, что не мог спокойно с тобой разговаривать же, ибо не понимал какие слова могут какую реакцию вызвать. И тем более ещё не очень было то, когда я говорил как считаю, а ты мне говорила, что я так не считаю.
Аноним 08/03/25 Суб 19:51:31 779682 1128
>>779301
Вчера я была у врача, и вчера мы говорили о тебе. Мне помогли понять многие фундаментальные вещи. Некоторые из них мне придется сказать тебе. Но я пока еще не чувствую, что готова. Так что подожди немного, пожалуйста.
мне так же очень жаль, что недопонимание было с обеих сторон
Аноним 12/03/25 Срд 20:47:26 780240 1129
image.png 299Кб, 1200x630
1200x630
Как же я люблю encore уровни в ультракилле. Очень уж нраица.
Аноним 13/03/25 Чтв 04:04:24 780270 1130
Apart.png 234Кб, 933x717
933x717
Хрена я. Ну я понял, надо определить задачи, а точнее осознать их.
Аноним 16/03/25 Вск 06:03:35 780658 1131
Под эссенцией объекта можно предположить такую надпредструктуру из надклассификаций, которая оставалась собой только в изначальных(или минимальных с изначальными) значениях какой-то предструктуру из классификаций.

В такой манере если мы можем предструктуру из классификаций другого объекта превратить в ту надструктуру - то возможно, что ограничиваясь только этой предструктурой и возвращая её состояние через контакты, мы по сути описали бы наш объект, но в терминах этого другого объекта.

И да, как памятка - имеется ввиду вот эта тематика с контактами, зависимостью между параметрами других классификаций у классификаций, там где ещё контакт это какая-то сюръекция.

Примерчик в данном случае это полугруппа натуральных чисел и прямая(как множество с отношением порядка) целых чисел.
Аноним 17/03/25 Пнд 01:08:56 780819 1132
>>779301
Мы не верили друг другу. Так что напряжение закономерно росло.
Я же просила не играть со мной в дурацкие игры, еще летом просила. Но тебе было похуй на мои слова, ты слушал других. Слушаешь ли ты своих советчиков сейчас? Мне очень жаль, малыш. Я рили настолько устала, что ничего не могу и не хочу, кроме как сказать, что я очень сожалею. О чем? О том что ты двачер, который играет в глупые игры.
Аноним 19/03/25 Срд 09:27:10 781241 1133
image 69Кб, 720x727
720x727
Ты заебала мне сниться, я хочу распоряжаться своими снами, как набором Blu-ray дисков
Я тебя ненавижу больше, чем техно и управление по борьбе с экстремизмом
Аноним 21/03/25 Птн 11:10:36 781467 1134
image.png 122Кб, 376x370
376x370
Ох уж эта сингялурность. Ну и ещё (и по сути, как-бы) область определения - короче говоря те же границы.

Но достаточно забавный пример - черные дыры.
Аноним 22/03/25 Суб 21:33:27 781661 1135
реакторное.webp 34Кб, 510x510
510x510
Надо запомнить - МОЖНО КУШАТЬ ЧТО УГОДНО.

Чтобы кушать - НАДО ЗАХОТЕТЬ ЭТО КУШАТЬ и НАДО БЫТЬ ОЧЕНЬ АКТИВНЫМ.

А дальше, чтобы начать жевать - НАДО НЕ БОЯТЬСЯ КУШАТЬ НЕПРИЯТНОЕ.

Думаю поможет.




А так - да, самое главное чтобы было не смертельно.

В таком плане это как поход к доктору. Больно и неприятно, может, но не смертельно. А как уже понять, что оно смертельно? А ведь по сути, кстати, можно же.

Если страх предвестник смерти, то действительно ли он таков? И по крайней мере одно дело это натуральные причины смерти, а другое дело - нет. Другими словами человек скорее убьёт тебя не вводя в состоянии паники же, а значит, что когда приятно - тоже не значит, что безопасно.
Аноним 23/03/25 Вск 00:49:34 781677 1136
image 29Кб, 564x525
564x525
If we could live in this moment
And just hold it
Keep my head on your chest


Time will be frozen for us
Аноним 23/03/25 Вск 08:35:53 781689 1137
image 247Кб, 1920x1200
1920x1200
Хорошего дня
я постараюсь заснуть
Аноним 24/03/25 Пнд 13:29:12 781800 1138
image 87Кб, 1440x1080
1440x1080
Го я тебя из чс достану и плюхнешься на меня еще разочка три? У нас ведь меньше трех палок за свидание не бывает.
Аноним 24/03/25 Пнд 15:28:06 781818 1139
Аноним 04/04/25 Птн 17:32:31 783096 1140
163.png 2703Кб, 1191x1237
1191x1237
Аноним 09/04/25 Срд 09:47:51 783554 1141
1484162458407.jpg 13Кб, 234x215
234x215
Так, про математику итогового пространства.

1)Для первых правил всё достаточно просто и делится пока что на два вида, а именно кумулятивный случай и нет. В первом виде идёт определение оператора(собственно первых правил) относительно применения распределенного базиса на мнения(что тоже распределены) по пространству, которые параметризированы кривой(проходятся через кривую можно сказать). Поэтому вопрос тут в том, чтобы определить применение базиса и самого оператора. Ну и подсказка - определить их можно внутри алгебры(только для этого у пространства должна быть алгебра). При не кумулятивном виде мы рассматриваем оператор как выбор какого-то мнения относительно базисов(считая их). Ну и всякие тут упрощения и т.д исходят именно из классов просто.

2)Для вторых правил всё интереснее, ведь тут можно определить как алгебру для кривых, так и зависимость какой-то кривой от других(а именно кривых, базисов, мнений).

////

А ещё можно говорить о пространстве описаний(где сами описания по большей части это итоговые пространства но лан).

В пространстве описаний важно было бы то, что относительно его факторизации по чему-либо, мы бы так определяли бы миры и их границы. Также ещё мы бы рассматривали классификации на пространстве описаний, где эти классификации значили бы зависимость между объектами в пространстве.

И да, ещё мы можем говорить о том, чтобы определять "нахождение", скажем так, в какой либо точке(или классе) этого пространства, которое вполне себе может определяться самими этими точками.

///

Дальше бы записать и про (восприятие)время что надумал и про СиНгУлРяНоСти, но пока смысла не вижу.

Только скажу то, что у базиса есть область применения. И есть зайти за область применения - итоговое пространство может расширица.

А ещё можно в итоговом пространстве описать типо-искревление этого пространства, в котором мы бы рассматривали бы траектории самих точек же. Что требовалось в том числе для того чтобы менять малые домейны.
Аноним 14/04/25 Пнд 08:31:54 784163 1142
image.png 827Кб, 1920x1080
1920x1080
image.png 702Кб, 800x640
800x640
image.png 1407Кб, 719x835
719x835
Горячие
Нейтральное
Холодное

Миссия -> горячее. Возможно раскаленное.

Посмотрим как будет.
Аноним 15/04/25 Втр 01:56:07 784316 1143
Аноним 15/04/25 Втр 12:01:17 784338 1144
593px-042BAiJRR[...].jpg 82Кб, 593x599
593x599
Аноним 16/04/25 Срд 13:36:00 784520 1145
>>784338
Дашь потрогать? Проверка температуры.
Аноним 16/04/25 Срд 15:57:44 784537 1146
image.png 696Кб, 593x599
593x599
Короче, меченный:

Последовательности одинаковых объектов.
Последовательность порождается каким-то преобразованием. Изначально оно(преобразование) достаточно определенное - а именно суръективный автоморфизм.
Но так-то это преобразование должно просто порождать класс эквивалентности.

Ок, дальше идёт достаточно интересное.

Рассматривая эти последовательности можно легко понять, что все элементы последовательности - это элементы каких-то классов эквивалентностей. Конкретно мне тут нужна такая ситуация, когда все элементы из одного класса. Такую последовательность назовём замкнутую. Там где более одного класса - открытую. Мол, с разрывами.

Ок.

Собственно разбирая эти последовательности можно их даже будет наделить своего рода свойством компактности и вообще это будет напоминать топологию. И да, мы ещё можем говорить о конечности или бесконечности отрезков.

Конкретно разберём примеры: точка, отрезок и дискретный отрезок.
На точке для примера можно найти саму же эту же точку. А на той же самой точки ту же самую точку. Выходит замкнутая последовательность точек.
На отрезке можно найти отрезок, при том не только изначальный, но и меньше изначального. И на том отрезке найти отрезок меньше тоже. И так далее до бесконечности.
Выходит замкнутая последовательность отрезков.

Но при этом разница между последовательностью точек и отрезков есть, банально в том, что если взять что-то типо предела в последовательности отрезков по уменьшению отрезков - мы придём в точку как-бы. Т.е последовательность точек конечна, последовательность отрезков бесконечна, но с усилием в уменьшение отрезков - тоже будет конечна. Хотя если идти обратно к тому чтобы отрезки становились больше - будет бесконечная последовательность туда.

Ок.

Дискретные отрезки, т.е состоящие из точек с натруальными индексами(мол колво точек это натуральное число и их больше 0). Если брать такие отрезки с точками больше 2 - будет всё гуд. Но если будет 2 - то дальше всё что м ысможем сделать это либо взять изначальный отрезок из двух точек или прийти в одну из двух точек. Т.е как-бы последовательность включает в себя класс отрезков и класс точек, выходит, т.е разрывается т.е открыт.

Ок.

Дальше идёт алгебра.

Последовательности понятное дело можно рассматривать как композиции преобразования. Ну это ясно-понятно.

Но вот только последовательности можно ещё между собой соединять.
К примеру можно соединить последовательность отрезков и точек. При том тут вполне себе будет важно что слева стоит что справа, т.е не обязательно что ab=ba.

Для того чтобы их соединить надо просто найти какое-то преобразование, которое бы затронуло хоть какие-то элементы одного класса из каждой последовательности. Т.е если последовательности две - нужно минимум элементы из двух классов. Если три - из трёх и т.д.

Ну так вот, разберём это на примере отрезков и точки - вначале идёт последовательность отрезков потом точек. Что вполне себе можно подразумевать как последовательность уменьшаемых объектов каких-то, мол, из линии к компактной линии(отрезку или интервало) а потом и вовсе в точку.
Но если наоборот из точки в отрезок - то такое можно предположить, конечно же, но уже будет иметь, махая руками, какой-то другой смысл.
Ну и да, само преобразование тут будет взятием предела. Взял предел и перешел из отрезков к точке. Взял операцию обратную пределу - перешел из точки к отрезку.

Но смысл был бы в том, что их соединения, любые, замкнуты.

Ок.

Но зачем нам нужны замкнутые последовательности? А нужны они потому, что ими можно делать индукцию же. Если они одинаковы(в смысле эквивалентности) то одинаковые рассуждения на любом элементе последовательности даст одинаковый результат.
А вот если где-то есть элемент который не вписывается, то так уже нельзя сказать.

Вот и получается задачака по тому чтобы сводить, можно даже сказать классифицировать, вещи чтобы некие конкретные рассуждения и выводы конкретного рассуждения выводит на глобальный уровень, применимый к любому элементу.

>>784520
Они пока что не разгореты.
Аноним 18/04/25 Птн 02:49:59 784791 1147
Remilia.Scarlet[...].jpg 110Кб, 900x1170
900x1170
Аноним 21/04/25 Пнд 15:35:42 785188 1148
174523888625288[...].jpg 45Кб, 510x510
510x510
Ммм, зато я понял как ещё можно. Отлично. Надо подумать что ещё не осуществимо. Нарастить кожу чтобы потом кожу содрать с себя, ух.
Аноним 23/04/25 Срд 01:06:59 785418 1149
Ах.png 964Кб, 1032x774
1032x774
james Watt.jpg 199Кб, 1200x1200
1200x1200
Аноним 23/04/25 Срд 01:15:30 785419 1150
Так, скоро сделаю записку о теории групп+музыке.
Аноним 26/04/25 Суб 18:28:24 785790 1151
image.png 20Кб, 667x565
667x565
Аноним 27/04/25 Вск 19:44:45 785915 1152
>>785790
Насчёт нижнего: как пример операции в результате которой выходит обратная кривая.

Или же, обобщенно - вариации кривых. Или же, обобщенно - операторы вариаций. Более по операторам: обратный оператор и оператор реверса(переворачивания, анти, обратного по смыслу и т.д). Обратный по подобию обратности производной к интегралу. Реверснутый оператор в плане реверснутой(перевернутой) кривой же.

Реактор, таким образом, относится к этим фиговинам.

Кстати да, относительно применения оператора образуется n+1, но если с той, что на картинке - там про возможные кривые же, то в данном случае мы акцентируем внимание на различные такие вот n+1 поражденые использованием оператора над РАЗНЫМИ КРИВЫМИ.
Аноним 01/05/25 Чтв 12:11:11 786255 1153
реакторное.webp 34Кб, 510x510
510x510
Аноним 01/05/25 Чтв 12:13:15 786258 1154
>>754735
Я сделаю-сделаю калькулятор. Не беспокойся. А пока что возьму полегче кое-что. Надеюсь сделаю и будет работать.
Аноним 03/05/25 Суб 09:06:54 786506 1155
025228c2-456c-4[...].webp 232Кб, 1410x860
1410x860
Ах вот оно что? Дырки чтоль? Ну я слепой, конечно, раз не понял сразу про дырки.
Аноним 04/05/25 Вск 08:49:57 786632 1156
Ох, вот ето сон был.

Вначале гуляешь по палку и решаешь прийти домой. Ведь уже глубокая ночь и телепортируешься ближе к выходу, но на самом деле ты в хижине.

Хижина очень темная(и немного алая. Хотя скорее алая от света что в дверь входил), но ты видишь дверь на выход - но тебе кажется, что вокруг темные деревья и вот они, ворота на выход.

При этом дверь открыта и ты видишь свет - тускло алый свет, словно там туман алый. Правда какая-то мелкая белезна снежная там присутствует, но всё же.

Ну и вот, входишь в этот туман, думая что это выход из парка и потом только понимаешь, что нет. Но зато ощущения были...легкими. Словно и не в тумане, а в снежную погоду, где снега падает так много что кажется что это туман? По крайней мере такие ощущения было, но всё вокруг всё равно было алым,
а дальше - слом, кирдык и вылет. Ощущения были словно по мне прошлась молния а ещё звуковойаппарат умер издав звук ломания, знаете, аля https://www.youtube.com/watch?v=suaOrNdQcUg&ab_channel=PlaySounds только более громкий, прям очень громкий. Ну и молния словно прошлась по телу. Кстати в этой алой местности я находился пару секунд всего, а потом сразу проснулся весь напуганный и ощущения шока было(от молнии словно).
Аноним 05/05/25 Пнд 23:36:21 786877 1157
image 95Кб, 512x512
512x512
Ты выбираешь не разговаривать, как школьник. Ты поймешь, что это ошибочный выбор уже через несколько месяцев.
Ты выбираешь не обсуждать правду и истинное положение вещей. Но тебе и не хватит смелости говорить об этом, поэтому нельзя сказать, что ты выбираешь это.
С тобой будут сумасшедшие и лживые люди, запутавшиеся и утонувшие в своих проблемах. А те, кто более здоровы чем ты, будут использовать тебя. И всем им будет наплевать, если, вернее когда, тебе будет нечего есть.
Ты будешь совершать ошибки из-за плохого самочувствия, ментальной слабости и рассеянности. А часто и от недостатка знаний.
Но меня у тебя не будет.
Аноним 07/05/25 Срд 14:40:57 787097 1158
Думал над тем каким образом можно юзать мою придумку, но конкретно - думал что делать вообще? Мол, а что делать то? Чо думать то?

Вот думая я пришел к тому мнению, что нужно как-то искать информацию, что обдумывать. При том информацию как просто данные, так и информацию как некое расширение этих данных - иными словами опыт и нужная рефлексия над опытом.

Ну это ладно, опыт найти можно. А пот рефлексия над опытом - сложнее. Особенно сложнее будет тогда, когда понимаешь...есть вот миропонимание, оно полно, и работает - а как его изменить можно?

Ну и т.д и т.п там, да, думаю думаю и потом бац - проваливаюсь в сон, но замечаю это. И тут начинается какой-то ужас вкупе с моими мыслями - я додумаюсь до чего-то пугающего и начинаю исполнять что думал в мыслях, т.е узнавать новую информацию и словно проваливаться, отделяться я бы сказал от тела. Это ещё выглядело очень темно всё, походу я когда провалился в сон - словил попутно сонный паралич. И вот в таком сне не сне и сонном параличе размышлял и применял свои размышления, но я не очень помню.

Просто было очень страшно и не по себе, очень прям. После чего проснулся в 2 часа ночи и даже открыл шторы, чтобы светлее стало - и решил не ложиться спать какое-то время, успокоиться, ибо было страшно. И ещё попутно с этим не размышлял дальше о данной тематике, ибо было страшно, что размышляя - я опять куда-то провалюсь.

Ах да, размышления во сне были похожи на игру с абстракциями. Мол есть абстракция и ты её ручками тянешь туды-сюды
Аноним 07/05/25 Срд 15:08:07 787109 1159
image.png 2789Кб, 1024x1536
1024x1536
>>786258
Я подожду. Мне некуда спешить.
Аноним 09/05/25 Птн 08:16:09 787394 1160
025228c2-456c-4[...].webp 232Кб, 1410x860
1410x860
Памятка насчет калькулятора varr:
1)Классы определяем по топологическому смыслу дифференцирования(гомеоморфизм объединений обхода переменной и объединений f(обхода переменной), который бы определялся бы по тому, когда в открытой ДАЛЬШЕ части обхода у нас бы эта хрень переходила бы в открытую ДАЛЬШЕ часть f(обхода переменной), где для этого нужно было бы любое сравнение f(обхода) и f(дальнейшего обхода), где по простому будем иметь ввиду, что если сравнение говорит об индентичности - тогда гомэоморфизм не выполнен).

2)Дальше относительно функций в функциях имели бы ввиду гомэоморфизмы функций и функций в функциях. Это для определения того что с классом происходит. В дискретных случаях это не обязательно(может и не нужно). Ну и да, примером бы тут послужили бы умножения и сложения функций друг с другом в поле вещественных.

3)Сама параметризованная классификация есть набор проиндексированных функций от параметра. В случае когда параметр и выдаваемые параметры из одних и тех же пространств - ето будет отдавать ВАЙБИКАМИ карт и многообразий. Но при этом сама параметризированная классификация есть также объединение результатов этих проиндексированных функций от параметра. А сама классификация - просто произвольным подмножествам(может одинаковым) ставиться в соответствие что-то ещё, где это соответствие было бы инъективным.

4)Для пространств классификаций мы бы рассматривали бы сечения классификаций, т.е другими словами обратное соответствие.

5)Для определения свободного произведения пространств классификаций в случаях непрерывных осей (т.е рекурсий), мы бы использовали как раз те самые разрывы и неразрывы классов, т.е делали бы там ось относительно любых других хреней, но с сохранением этих вот разрывов в нужных местах.

6)Для определения непрерывной склейки надо определить рекурсию по направлению склейки для бесконечномалых, после чего взять взять предел.

По коденгу ентого: делим всё на свойства и действующие элементы со свойствами.
Аноним 09/05/25 Птн 08:26:55 787395 1161
>>787394
1.5) Относительно сравнения впринципе элементы можно будет алгебраически поделить на классы(типо обратные элементы или нет).
Аноним 22/05/25 Чтв 15:06:05 792261 1162
6d09ca9ab312eb0[...].jpg 25Кб, 400x337
400x337
5090.jpg 207Кб, 1200x1200
1200x1200
Аноним 07/06/25 Суб 11:48:23 795181 1163
174928597464055[...].jpg 1444Кб, 1200x1443
1200x1443
Дневник есть чем заполнять. Просто скоро бамплимит. И хотелось бы второй тред сделать, скажем, на следующую тематику.
Аноним 09/06/25 Пнд 07:26:14 795539 1164
image.png 195Кб, 640x480
640x480
Фига щас Солидус был. Забавно даже. Метафизика!
Аноним 09/06/25 Пнд 07:52:02 795540 1165
Аноним 17/06/25 Втр 13:20:22 797505 1166
image.png 1069Кб, 714x731
714x731
https://www.youtube.com/watch?v=_boPOONT_-M&ab_channel=JennyMcLesbian
ОТЛИЧНО
ВОЛШЕБНО
ВОСХИТИТЕЛЬНО


То, что и хотел, выходит? Понимаю, что такой образ жизни может осуществиться!
Другой вопрос конечно в том насколько он будет эффективен, но всё же.

Если всё кроме нужного и того, что надо, не имеет смысла - то делать будешь лишь то, что нужно и надо!
Это я к тому, что коли ты лежишь в пастели без смысла, ибо всё не имеет никакого малейшего интереса с твоей стороны, вообще ничего. То единственное, на что приходится уповать - базовая психика, с.м природа, и твой интеллект! Ура!
Аноним 18/06/25 Срд 16:44:43 797869 1167
image.png 1069Кб, 714x731
714x731
Аноним 20/06/25 Птн 17:35:59 798280 1168
93951cd336faa33[...].png 377Кб, 600x710
600x710
Аноним 23/06/25 Пнд 15:07:52 799228 1169
d72e6b519a5ea7f[...].png 166Кб, 424x600
424x600
>>662931 (OP)
Ммммммммммммммммммммммммммммм, ну так посмотреть. Даааааааааааааааааааааааааааааааааааааааааааа, запись же.
Аноним 25/06/25 Срд 01:41:14 799633 1170
175080464072382[...].jpg 17Кб, 172x374
172x374
175080472521875[...].jpg 16Кб, 167x374
167x374
Хм, что же меня ждёт? Ещё одно касание! Нипааааа
Ибо то, что было от того, даже и не знаю как сказать. Инициализация? Смена? Возвращение? Но было! Ах. Спасибо, кстати, всем. Да. Просто спасибо. Вообще, хотелось бы, чтобы у всех всё было хорошо. И я иногда так думаю, если я найду способ всем помочь - я хотя-бы попытаюсь помочь всем! И ведь я даже не то чтобы если найду, а ведь думаю и вспоминаю а как же всем помочь? А том, что мне бы хотелось всем помочь. И спасибо, ещё, [мне]! Ты тоже умничка.
И простите если я чего-то плохого делал.

Десу же десу. Нипаааа~☆
Десу же десу. Нипаааа~☆
Аноним 26/06/25 Чтв 16:46:16 799970 1171
Понятие.png 28Кб, 366x385
366x385
bethoven.jpg 187Кб, 1313x879
1313x879
16098297451450.jpg 188Кб, 650x839
650x839
Аноним 04/07/25 Птн 18:57:28 801567 1172
Звуки.mp4 1155Кб, 480x360, 00:01:06
480x360
>что чувствует инструмент

А вообще это не первое лето, когда у меня подобные эмоции.

Ох уж эта печаль инструмента, да?

Может печаль, а может просто молчание, опустошение - по разному.

Зато у инструмента, так-то, есть цель. ИЛи, скажем, тот кто эксплатирует его, поэтому всё не так плохо.

ОбШиДа ОбШиГо все дела.
Аноним 08/07/25 Втр 04:33:08 802064 1173
А вообще интересно кто мой дневник читает? Аууууу, вы тут?
Аноним 08/07/25 Втр 05:07:20 802066 1174
>>802064
Я не читаю, но он пока ещё не в скрытых.
Аноним 08/07/25 Втр 05:16:53 802067 1175
>>802066
А почему не в скрытых?

Потому что не читаешь? Ха-ха.
Аноним 08/07/25 Втр 05:27:19 802069 1176
>>802067
Внимание ещё не обращал толком, но какого-то вырвиглаза не замечал пролистывая ленту.
Аноним 08/07/25 Втр 05:35:59 802070 1177
>>802069
Понятно. А почитаешь мой дневник?
Аноним 08/07/25 Втр 05:38:24 802071 1178
>>802070
Не знаю, а что там в нем?
Аноним 08/07/25 Втр 05:42:38 802072 1179
>>802071
Нет нет, если не хочешь - можешь не читать! Просто емли самому интересно, то вай нот?

У меня тут матеша, шиза про психику, щиза про... "Логику"

Ну и иногда изливаю сюда грусть или радость, иногда отчетность веду или состояния фиксирую.
Аноним 08/07/25 Втр 16:25:08 802115 1180
162.png 5095Кб, 1305x1936
1305x1936
>>802064
Я только с ПК.
На телефоне не грузит /dr, слишком много тредов/постов.
Аноним 10/07/25 Чтв 19:49:05 802372 1181
image.png 30Кб, 830x492
830x492
Обидно, вообще-то!

>>802115
Понял.
Аноним 10/07/25 Чтв 19:54:07 802374 1182
Кхм:

Чем больше происходит событий, что воспринимаются несоответственно по неким мерам времени(часы, календари), тем больше ощущается, что прошло больше времени, чем надо.

Ждешь в очереди так каждую неделю что занимает 4 часа.

А в один день приходится отстоять 4 очередей. Соответственно если нет способов посмотреть на измеренное время(часы, календари), то вполне себе будешь чувствовать себя что прошло 16 часов(4 очереди по 4 часа).
Хотя в тоже время сами очереди могли идти просто по часу.

Так-то могу попробовать вспомнить математику тут, но это не надо.

А нет, может и надо.

Если говорить за то, что чем больше информации тебе надо воспринять - тем больше времени как-бы требуется, то можно получить интересную мысль.
Иными словами представь себе видеосъемку в замедлении: чем больше кадров заснято, тем медленнее будет замедление, а оттого тем длиннее будет само видео.
Поэтому если предположить себе бесконечное количество информации... Так сказать бесконечное количество кадров. Сколько будет длиться видео замедленной съемки с бесконечным количеством кадров? Ну ты понял.

И вот прикол в том, что можно тогда представить себе что кто-то будет наблюдать какие-то события до и не включая какую-то точку на временной линии, при том - именно что будет наблюдать. Не доходя до наблюдения самой этой точки.
Где при этом само время вполне себе дальше может идти ведь и другие наблюдатели вполне себе могут наблюдать дальнейшую жизнь того, что наблюдает до какой-то точки времени. Может даже наблюдают его наблюдения после этой точки времени?

Так сказать наблюдение до и после+ наблюдения других у которых никакого замедления нет.
Аноним 20/07/25 Вск 03:59:27 804213 1183
16613567372303.png 238Кб, 480x368
480x368
Сконструировать.
Аноним 21/07/25 Пнд 13:51:21 804373 1184
У тебя хоть амбиции какие-то есть? Что ты хочешь добиться в программировании, нейросетях, математике? В отношениях с людьми?
21/07/25 Пнд 14:19:00 804376 1185
Аноним 21/07/25 Пнд 17:55:47 804394 1186
Аноним 21/07/25 Пнд 18:25:08 804400 1187
1484162458407.jpg 13Кб, 234x215
234x215
>>804373
Конечно же есть.

>нейросетях
Никакими нейросетями я не занимаюсь.

>добиться
Няшностей же, вообще говоря прикольно было бы что-то такое крутое выдумать или полезное написать же, что можно было бы применять как-то - но в целом в математике мне нравится просто исследовать её, любознательность же.
В программировании может быть также, но это уже просто инструмент как чтобы создать прогу.

В отношениях с людьми? Хочу добра, няшностей, взаимопонимания, избегания конфликтов, обоюдного роста над собой - и т.д и т.п.

>>804376
Чо такое
Аноним 21/07/25 Пнд 19:17:27 804407 1188
>>804400
Режим свой не думал поправить?
Аноним 21/07/25 Пнд 19:38:04 804412 1189
>>804407
Он у меня то сбивается то нет, а иногда мне и хочется чтобы режим был сбитый иногда этого не хочется. По желанию же, но в целом режим я могу легко поправить.
Аноним 21/07/25 Пнд 19:48:50 804413 1190
>>804412
Твоё отношение к срочной службе? Ты там не был, я знаю. Как косишь сейчас и что будешь делать дальше?
Аноним 21/07/25 Пнд 19:55:54 804415 1191
>>804413
Ну если я там окажусь, то я либо сломаюсь психически либо укреплюсь.
Всё же мне в школе было не очень хорошо...
Так у меня же проблемы с психикой есть оффициальные.
Аноним 21/07/25 Пнд 20:07:05 804417 1192
>>804415
Значит дальше в шарагу или универ ты не пошёл. Или пошел, но бросил? Может даже и бросил... Если бы пошёл, то на программиста. Как долго тебя собираются родители содержать? Что ты думаешь по поводу зарабатывания денежных средств самолично? После 30 вылечишь голову и станешь нормисом?
Аноним 21/07/25 Пнд 20:11:19 804418 1193
>>804417
>Если бы пошёл, то на программиста.
Ужас, точно нет. На математика же. Почему ты думаешь я кодер какой-то?

Бросил.

Деньги нужны для того чтобы быть самодостаточным, по крайней мере так хотелось бы тишины просто и личного пространства.

Я не думаю что вылечить смогу - по сути надо не усугублять.

Не знаю как долго.
Аноним 21/07/25 Пнд 20:18:57 804419 1194
>>804418
> Почему ты думаешь я кодер какой-то?
Тебе стоило быть кодером в те времена. Сейчас уже нет. Мне тоже нет
Аноним 21/07/25 Пнд 20:21:58 804420 1195
>>804418
Я бы получил больше с тебя информации вблизи. Ну двач есть двач. Приходиться изъебываться
Аноним 21/07/25 Пнд 20:22:24 804421 1196
>>804419
Да ну, зачем? Есть же нейронки кстати, которыми можно теперь легче делать всякое.

Ну, я хоть и на с++ кодю... Но всё равно мне прям не нравиться кодинг же.

>>804420
Ты хто.
Аноним 21/07/25 Пнд 20:24:06 804422 1197
>>804420
жесть ты ему допрос с пристрастием устроил
Аноним 21/07/25 Пнд 20:29:50 804424 1198
Без названия (2).png 63Кб, 300x100
300x100
>>804421
>>804422
Я ненавижу общение в интернете. Мы бы с вами по-другому бы общались в живую, хехе. Много лжи в таких местах, так что я съебываю
Аноним 21/07/25 Пнд 20:31:31 804425 1199
>>804422
Я бы ему такое "пристрастие" в живую устроил, хехе
Аноним 21/07/25 Пнд 20:34:29 804426 1200
Пристрастие для няшы
Аноним 21/07/25 Пнд 20:43:50 804429 1201
Надо всех ненавидеть, я считаю
Аноним 21/07/25 Пнд 20:50:16 804430 1202
>>804429
ненависть - сильное чувство. не будет ли ненависть ко всем напрасной тратой душевных сил?
Аноним 21/07/25 Пнд 20:53:21 804431 1203
>>804430
И то верно. Вот ОП-хуй думаешь познает когда-нибудь любовь в своей жизни? Я вот сомневаюсь. Может его даже прокляли в детстве.
Аноним 21/07/25 Пнд 21:14:35 804437 1204
Без названия (3).png 65Кб, 300x100
300x100
ОП-хуя можно жалеть, а можно не жалеть. Зависит от того, насколько он любит лгать. Лжецов никто никогда не полюбит
Аноним 22/07/25 Втр 02:59:54 804455 1205
16377770698030.jpg 467Кб, 1536x2048
1536x2048
Аноним 22/07/25 Втр 03:00:49 804456 1206
16624065967070.jpg 1339Кб, 2000x1222
2000x1222
Аноним 22/07/25 Втр 16:51:57 804594 1207
Без названия (4).png 65Кб, 300x100
300x100
>>804455
Нормальный ты парень все-таки...эзотерику изучаешь, математику...все у тебя будет хорошо
Аноним 24/07/25 Чтв 06:56:22 804895 1208
>>804594
Или всё-таки лживая вниманиешлюха
Аноним 24/07/25 Чтв 09:32:49 804920 1209
image.png 1216Кб, 850x1034
850x1034
Жалеть ОП-няшу по необходимости.
Аноним 24/07/25 Чтв 10:47:57 804928 1210
>>804920
Их жалеешь, а они потом неподобающим образом себя ведут
Аноним 24/07/25 Чтв 11:47:45 804944 1211
303.png 6794Кб, 2480x3508
2480x3508
>>804928
Он очень подобающий мальчик, не надо наговаривать.
Аноним 24/07/25 Чтв 12:13:49 804950 1212
Screenshot20250[...].jpg 324Кб, 1080x1781
1080x1781
>>804944
Он в /b/ себя плохо ведёт, сосёт кровь у народа
Аноним 24/07/25 Чтв 12:16:18 804952 1213
96.png 2976Кб, 1061x1200
1061x1200
>>804950
>Пик
Что за глупости.

>Он в /b/ себя плохо ведёт, сосёт кровь у народа
Аватарка располагает + ему можно сосать что угодно, я разрешаю.
Аноним 24/07/25 Чтв 12:20:28 804956 1214
>>804950
Поисковик как бы намекает на 'игру с мальчиками'. Таких как он надо 'воспитывать' через подобные игры, раз он у нас такой нежный и подобающий парень
Аноним 24/07/25 Чтв 12:29:27 804963 1215
Возможно он просто хочет, чтоб его 'сломали' и 'наказали'. Так он сможет модернизировать свое мировоззрение
Аноним 25/07/25 Птн 20:48:11 805382 1216
Beethoven.jpg 980Кб, 1200x1443
1200x1443
Аноним 25/07/25 Птн 21:24:41 805391 1217
>>805382
"пук" забыл дописать
Аноним 25/07/25 Птн 21:28:13 805392 1218
>>805391
А ты откуда ты что тот оп
Аноним 25/07/25 Птн 21:38:33 805394 1219
Без названия (6).png 64Кб, 300x100
300x100
>>805392
Ты вобрал в себя самые худшие женские качества. Видимо, побочный эффект твоих фантазий
Аноним 31/07/25 Чтв 23:00:07 806421 1220
17357807888580.jpg 868Кб, 1536x2048
1536x2048
ФланяНяша ти тут?
Аноним 10/08/25 Вск 08:24:32 808593 1221
0393ca9bc518b56[...].jpg 90Кб, 600x480
600x480
Дырки вложенные в дырки!

То, чего нет, что окружено тем, чего ещё более нет!

Дырки окруженные дырками.

Как тебе такое, ФланяНяш?
Аноним 10/08/25 Вск 22:43:07 808884 1222
image.png 679Кб, 850x789
850x789
Аноним 14/08/25 Чтв 10:15:39 809758 1223
image.png 1781Кб, 2144x1608
2144x1608
image.png 706Кб, 800x502
800x502
Аноним 17/08/25 Вск 20:37:12 810563 1224
remiliascarlett[...].png 930Кб, 1110x1170
1110x1170
Кхм.
Ну короче думая над математикой я захотел её наконец-то применить и решил заняться математическим моделированием! Аппликациями математики.
Вначале делая модели я решил схитрить и сразу попробовать себя в роли искателя священной коровы - попробовать сделать модель моделей, некую как-бы универсальную модель, что подразумевала уже в самой себе и эволюцию и изменение и применение какой-то модели.
Как-бы, сделать модель по которой модели преобразовывались, менялись.
Отсюда пошла тема с "математическим описанием развития математики с рекурсивным применением выведенных математических понятий для описания дальнейшего развития математики" и всякие такие рекурсии.
В итоге я придумал одну вдохновляющую шизу, могу кстати скинуть эту пасту, это именно что шиза - несобранная, обрывочная скорее всего с логическими ошибками которая заканчивается не просто перемещениями во времени, а клонами, телепатиями мульти реальностями мульти личностями вселениями выселениями в тела различных людей и т.д и т.п.

На основе этой вдохновляшки получил всякое, формализовав и обдумав(и даже применив например для описания явления растяжения восприятия времени, у меня весной просто три дня прошли буквально БУКВАЛЬНО как месяц, что я аж офигел, а ещё применив для описания явления фантомных рук и тела, знаешь, типо фантастические фантазийные руки, но которые ощущаются реально прям), но сразу к сути - подход у меня был идти вначале от описания некой реальности, а потом уже переходить к "игроку" и к тому, что игрок может делать. Что было неудобно, ибо игрока надо было пришивать же обычно. И я решил попробовать от обратного пойти и короче вот что из этого вылилось:

1)Определение понятия схемы.
Говоря про игрока, то можно сразу обратить внимание на то, что игрок наблюдает - чем может оперировать. Что присутствует в его жизни.
Это всякие явления, которые можно как угодно структурировать, наделять любой иерархией и т.д и т.п, но нам здесь важно вот что - какие-то явления у нас это изменения других явлений. Их преобразования. Таким образом мы делим явления на те, что являются изменением других явлений, те что не являются такими, и на пары явлений и таких явлений, что являются изменениями их. Примеры таких явлений могут быть, ну... Вот допустим ты руками можешь двигать же, да? А как ты ими двигаешь? Или ты можешь же думать что-то, а как ты думаешь? Собственно это тематика выборов и действий, явления что меняют другие явления это действия, при том важно - эти действия должны существовать. Т.е не просто ты можешь поднять руку, а если ты сделаешь это действо - ты и правда поднимешь руку.
Ну и действия можно выбирать, мол, ты же можешь разные действия делать, да? При том действия в данном случае ещё и будут менять что-то.
Вот такой вот выбор можешь совершить всяких действий.
Где ещё важным моментом будет то, что если существует у тебя действие - значит и есть то явление, что действие меняет же.

Собственно таким образом ты можешь учитывать выборку действий и те действия, что выбрала совершить - и строить на этом некий дневничок. Запись опыта считай.
Вот из этого дневничка действий ты можешь получить схему тем образом, что структурируешь соотношение выбранных действий с тем, как некое состояние чего-то менялось - при том оценивая состояния крайней тривиальным образом. Состояние либо новое либо такое, какое когда-то от выбранных действий было. Иначе говоря состояния i,k различались бы либо так, что k не i, или так, что k это i. Никаких подробностей, по сути, только лишь индентичны или нет.
Схема в данном случае должна отражать некое "перемещение", "ходьбу" при помощи действий, где тебя бы интересовало не сколько то, куда ты перемещаешься, а сколько то - была ли ты уже здесь или это что-то новое.
Но в целом подробности можно тоже учитывать, но про это потом ещё будет.

Таким образом схема должна служить тебе удобным структурированным из опыта дневничка путеводителем по состояниям относительно действий же, но сравнивая состояния максимально тривиально. Не зря название я выбрал именно как схему, вот как-бы сама посмотри на схему. На ней изображено именно что перемещение по состояниям, которые сравниваются тем, что... Ну, либо ты перемещаешься куда-то в новое место или там где уже был, как-бы.
Типо насколько перемещения приводят к одинаковым состояниям же.

2)Карта, карты и использование карт.
Так, имея какую-то схему и имея на ней какие-то состояния, мы можем теперь взглянуть на эти состояния и увидеть там явления. И теперь...мы можем каждому явлению(или состоянию) в соответствие задать какую-то меру. Т.е да, мы можем теперь начать явления и сами состояния мерить же чем-то. Как угодно и как хотим.
Дальше беря меры, мы можем меры уже во первых придумывать и в целом как-то расширять, развивать и т.д так как это по большей части просто мысленные понятия, но самое главное что мы можем меры сравнивать не так тривиально - мы можем начать говорить о том насколько одна мера похожа на другую, тем самым задавая понятия "Близости" между мерами. Ну как-бы чем одна мера более похожа на другую меру тем она "ближе" к ней.

Таким образом мы на самом деле можем меры, а именно их совокупность, думать как некую фигуру, знаешь? Пространство. Как карту!
И вот прикол тут в том, что каким-то образом определяя соответствие между состояниями на схеме с мерами с картой - мы на самом деле можем начать путешествовать по карте при помощи сопоставления мер через действия на схеме же!

И ещё нагляднее и визуальнее говоря мы буквально, если схема у нас это что-то геометрическое, и карта это буквально как карта - мы можем схему как-то наложить на карту и путешествовать по разным точкам этой карты через действия на схеме же.
Вот. Что достаточно няшно и мило! Как мне кажется. Но в целом из-за того, что карты и схемы могут быть оформлены каким угодно образом, можно говорить не о том чтобы схему накладывать(применять) на карту, но чтобы карту накладывать(применять) на схему. Такой нюанс.

3)Расширения.
Беря состояния на схеме и смотря на то, какие-то можно действия из состояний совершить - можно предположить некий "контекст" этих действий и то, что действия меняют. Для того чтобы возможно взглянуть на то, какие действия могли бы быть. Типо вот ты можешь ходить ногами в двухнаправлениях, если так подумать, а что если бы ты могла летать? Это было бы уже третье направление и в добавок добавление нового действия.
Но прикол тут в том, что почему-то какие-то действия осуществимы, а какие-то нет - почему? Почему что-то можем совершить а что-то нет?
Вот тут на это можно очень по разному ответить, но смысл в том, что копаясь и ищя какие-то действия можно теоретически наткнуться на такое действие, что ты даже и можешь совершить же! Поняв что это действие хотя-бы есть, как-бы, осознав его. Ну и тогда если ты можешь соврешить это действие то и должен быть объект который это действие меняет же.
Вот.
Плюс сюда можно добавить что из каждого состояния можно предположить то, какая схема должна быть. Типо восстановить из состояния всю схему, на которой оно находится.
А ещё расширения можно применять на карты, кстати, но это уже всё я не очень думал так что просто как ИнТеРеСнЫе факты привожу, вот.
Аноним 17/08/25 Вск 20:37:31 810564 1225
>>810563
4)Ник Ланд, CCRU(sissyRu).
Короче прочитав письмена и отрефлексировав понятие гипперверия, выучив новое слово "казуальность", я вдруг обнаружил что эта моя рефлексия удачно вписывается во все эти схемы.

Моя рефлексия гипперверия это по своей сути некие верования, идеи или мысли, которыми люди руководясь делая действия, материализуют или осуществляют что-либо от того, что к этому приводят их действия(казуальность, как-бы).
Что похоже очень даже на схемы, которые применяются на карты.

Только вот гипперверия дополняет и расширяет понятие схем, но про это немного позже.

Обдумывая как мою рефлексию внедрить в схемы я решил пойти от того, что меры на карте хотят, как-бы, реализоваться - и понял, что накладывать схем на карты можно не одну а несколько и в целом тогда это был бы вопрос того насколько какая-то мера имеет гибкую сеть схем через которой она может реализоваться.
Но потом я решил пойти от конца здесь, а именно от схем и подумать - а что будет, если я бы применял одну и ту же схему?

И понял, что одна и та же схемы может как привести к какой-то одной мере, так и к разным мерам - но на самом деле все эти меры на карте могут быть также абстрагированы, идеализированы и т.д и т.п создавая какие-то отношения с другими картами, а по сути определяя здесь некую иерархию отношений между картами и мерами в них.

Иначе говоря пользуясь какой-то одной схемой может быть такое, что в итоге ты будешь приходить, допустим, к бананам, ягодам там или мясу - еде одним словом. Но что принципиально именно к еде, а не к алкоголю или учебникам по китайскому языку. И конечно же не спроста так будет, а из-за казуальности же какой-то.


Поэтому используя одну и ту же схему несколько раз ты уже подразумеваешь все эти казуальные связи между явлениями и осуществимостью мер на картах. Полно и сразу же, что как по мне круто, но

5)Апргейд схем.

Каким образом можно использовать одну и ту же схему несколько раз?
Для этого надо чтобы состояния на схемы были... абстрагированы или были неким "или" из состояний же, а по существу - какой-то совокупностью допустим состояний же.
Или же чтобы эти состояния трактовались!

Иначе говоря состояния у схем вполне себе можно думать как меры на какой-то карте - тогда можно попробовать заполучить какую-то схему, что из одной карты изначальных мер перешла бы на другую карту других мер - по существу это было бы трактованием.

Возьмём пример с трехактовой структурой драмы как изначальной схемы, которую мы хотим трактовать.

Схема эта за свои состояния(давай будем называть это параметрами) подразумевает экспозицию, завязку и развязку.
Собственно вопрос заключается в том, как мы бы могли из каких-то других мер, которые кстати могут совпадать с теми явлениям и что мы сейчас наблюдаем, или же из самих этих мер этой схемы, прийти в друг друга?
Как мы могли бы какое-то событие в нашей жизни думать как экспозицию? Или завяску?
В целом при помощи каких-то действий же, допустим мы можем разбить меру экспозиции на компоненты какие-то(знакомство с персонажами, знакомство с антуражем, где знакомство это узнавание чего-то нового), а потом, смотря на какое-то событие в жизни, сравнить узнали ли мы новых персонажей и антураж - вот это разбивание это действие, как и само сравнение это на самом деле тоже действие, как и понимание того одинаково ли то что там и там это тоже действие. Из этого можно составить схему с каким-то параметрами и действиями, а именно: разбиение на компоненты событий из жизни и явления той схемы, сравнение компонент по равенству, если одинаковы то думать как одинаковые, если не одинаковы то не думать как одинаковы.

И вот таким образом через трактовочную схему, пользуясь её действиями, можем как-бы прийти в другие меры как-то. Таким образом трактуя что-то и начиная дейсвтовать по схеме, как-бы - трактуя не только состояния изначальной схемы но и сами действия изначальной схемы же.

И да, таким образом действия в целом могут выбираться и осознанно и не осознанно и за нас и против нас и нами и не нами и вот. ГЛавное чтобы просто выбор был в них... Кхм.

6)А что будет в итоге, если я буду применять какую-то схему?

Применяя схемы нас бы интересовало бы то, а к чему нас это приведёт. Так вот - если схема применяется и продолжает применяться, то самое минимальное, что будет - меры этой схемы.

К примеру применяя всякие схемы с цифрами - то цифры в каком-то виде у нас точно будут.
Или применяя например литературные приемчики или структуры для анализа чего-то - они у нас, эти структуры литературные и приемчики, и минимально будут же в каком-то виде. К примеру хотя-бы такие слова как экспозиция, завязка и развязка - может быть даже с тем же смыслом.

7)Рынок акций.

А сейчас расскажу мой анализ рынка акций!
Собственно по первых, акции зависят от того как их покупают и продают - т.е влияние трейдоров на акции есть.
В целом этого и достаточно чтобы начать применять схемы :3

Трейдеры имеют какие-то схемы, которыми они руководятся. Также они имеют какие-то трактовочные схемы, которые позволяют им, собственно, действовать на рынке акций соответственно тому, чего они придерживаются.

Какие изначальные схемы есть у трейдеров? Как мне кажется так это такие вещи как понятие тренда, усиления тренда и прекращение тренда.

С понятием тренда наверное всё довольно таки просто, трейдер же видит и ориентируется трендами роста или падения акций же - но в целом, так как это является мерой в схеме которую трейдеры юзают, то при использовании этой схемы трейдеры будут привносить и удерживать тренды как-либо и в какой угодно форме в мире. Ну, не обязательно же трейдеры постоянно буду трейдерами, да? Они и чем-то другим могут увлекаться - может привнося туда понятие трендов же.

Усиление трендов. Трейдеры не просто смотрят на тренды, они думают о том как их усилить и что с ними делать - думают как в этот тренд вписаться, думая, что он и дальше будет продолжаться же. По своей сути трейдеры не просто вводят понятие трендов, они ещё эти тренды и усиливают - но при этом не все. А только такие тренды, которые трейдер посчитает нужными усиливать. А именно явные понятные стабильные тренды же, где всё и так понятно что куда идёт. Тем самым делая этот тренд ещё более понятным.
Таким образом трейдер не только вводит понятие трендов же он ещё их отбирает и нужные усиливает.

Прекращение трендов. Трейдер не просто садиться в тренд, он ещё и смотрит когда этот тренд обрушиться чтобы с него спрыгнуть в нужный момент - но спрыгивая с этого тренда он его начинает заканчивать.
Почему же трейдер спрыгивает с тренда? Потому что считает, что тренд рано или поздно закончится - что он закончится же.
В целом можно сказать даже что это связанно с интуитивным представлением о вероятностях, можно это сравнить с тем как если бы монетка всегда падала какой-то одной стороной - мы бы начали думать что рано или поздно она бы упала уже другой, потому что как-то подозрительно это всё удачно совпадает же.
Вот и так как-то интуитивно думая, может связанное что-то с работой психики, он и выпрыгивает из тренда заканчивая его.
Аноним 17/08/25 Вск 20:37:46 810565 1226
>>810563
>>810564
Таким образом трейдеры, если будут пользоваться этими своими схемами, общее представление о мерах которых я дал, будет в мир привносить понятие тренда, будет "отрендовывать" мир, также нужные тренды будет усиливать чтобы в конце концов их прекратить - проводить фильтрацию трендов усиливая и заканчивая стабильные и понятные из них.
Но вот самый прикол тут в том, что если понятие тренда и его усиления это больше какие-то мысли, то вот вопросы того когда тренд закончится, связанное с какими-то вероятностями и так далее - связывают это воздействие схемы не просто с психическими явлениями(мыслями теми же), но и возможно с законами мира же - тем как работают вероятности. Ну, или может вероятности это тоже какая-то мысль и в природе её нет, но в итоге трейдеры таким образом не просто отрендовывают то, на что влияют - они ещё свой мирок этот меняют под "законы" вероятностей, трансформируя его таким образом, где если уж эти вероятности это реальные явления - то как-то взаимодействуя с ним и если уж не осуществляя их, то хотя-бы открывая глаза самим себе на существование каких-то законов вероятносных.

8)А теперь конкретнее про рынок, мои стратегии того как я бы действовал на нём используя енти схемочки.

Короче говоря во первых есть такая вещь как информация. Информация влияет на то, как поступают трейдеры - поэтому важно было бы понять дораспространенность нужной информации до трейдоров.

Дальше же было бы важно понять заинтересованность трейдеров в трактовки этой самой информации.

Чем больше трейдеры заинтересованы в трактовке информации - тем значит больше трейдеров предпримут какие-то действия, тем самым повышая силу тренда.

Дальше информацию трейдеры должны страктовать, при том хорошо - трактовачные схемы в данном случае у нас это любой трейдерский дискурс, знания там или опыт - наука и формулы. Короче говоря вся человеческая мысль в доступности о акциях у каждого трейдера.
И вот хорошо было бы коли трейдеры страктовали всю информацию однозначно - иными словами чтобы трейдеры просто были уверенны в своей трактовке, или трактовках - потому что относительно трактовок они будут как-то поступать. И чем менее уверенны они в своих трактовках тем больше будет неуверенности и какого-то хаоса в их действий же.
Что я имею ввиду так это то, чтобы весь этот дискрус напрямую сказал бы им что, мол "да это тренд" "да всё хорошо , покупай/жди/продавай" а по сути дал бы трейдерам команды же, алгоритмы того как действовать, где желание и мотивация, а вместе с этим уверенность в исполнении этих команд, служила бы связь с тем что их бы волновало - с трендами. Если они будут уверенны в том, что это тренд и что в него надо залетать(усилить) - они будут уверенно исполнять команды и алгоритмы которые получили их трактовачных схем, как-бы а как поступать.

Дальше же важный момент был бы в синхронности действий трейдеров - в целом чтобы оценить это можно посмотреть на самое то минимальное что будет при использовании всего этого дисскурса и знаний про акции, скорее всего там были указания того как действовать и к чему одному бы стремиться, т.е минимальное бы могло подразумевать синхронность действий трейдеров.

Тогда таким образом можно было бы вот что сказать:
Трейдеры ХОТЯТ ЗАРОДИТЬ ТРЕНД. Для этого они ищут ИНФОРМАЦИОННЫЙ ПОВОД ДЛЯ САМИХ ЖЕ СЕБЯ. А ещё трейдеры хотят УСИЛИВАТЬ ТРЕНДЫ и ПРЕКРАЩАТЬ ТРЕНДЫ.

Таким образом что было бы важно - так как я например не знаю чо там у трейдерах в головах, как они что оценивают и т.д и т.п, то я бы мог смотреть на другое - на информационную шумиху которая бы завлекала бы или нет трейдоров.
Тогда если новость была бы ГоРяЧеЙ то мне бы это шло на руку, так как я бы знал, что вскоре возникнет какой-то тренд. Какой? Да фиг его знает, но точно какой-то - стабильный(который можно усилить) или нет? Да фиг его знает, если буду действовать синхронно то стабильный будет. Если я сам увижу что тренд простой, понятный даже мне - значит он стабилен и я его могу тоже усилить, залетев в этот поезд, как-бы.

Ну а если быть точнее.

9)Как я буду торговать акциями.

Смотрю на новости, сравниваю новости с изменениями на рынке акций - чем больше и быстрее изменения, т.е реакция трейдеров, на новость тем лучше.
Если тренд только начался зарождаться то немного жду и потом или уже ближе к середине залетаю в него.

Дальше мониторю ситуацию на случай новостей новых и реакции рынка на них, которые бы либо усиливали его либо наоборот дестабилизировали. Т.е синхронны были или нет.

Если же тренд уже зародился или зарождение подходит к концу, какбы тренд медленнее развивается и как-то переходит в обратный даже тренд или есть начался маленький обратный тренд - то я жду новостей и наблюдая за реакцией рынка. По своей сути жду усиление которое являлось бы ПОВТОРНЫМ ЗАРОЖДЕНИЕМ ТРЕНДА, где уже на повторном зарождении лично я бы может начал с более начала в усиление тренда бы залетел, а не с середины где-то.

Воооооооооооот.

Нян нян, десу же, десууууууууууууууууууууу.
Аноним 20/08/25 Срд 16:10:29 811191 1227
image.png 249Кб, 1920x1200
1920x1200
Аноним 21/08/25 Чтв 17:00:35 811411 1228
image.png 1217Кб, 1600x900
1600x900
Аноним 23/08/25 Суб 19:36:16 811741 1229
3dae99a3777b9f9[...].jpg 415Кб, 1200x960
1200x960
>Факторизация чисел
Понял.
Аноним 23/08/25 Суб 22:00:26 811750 1230
photo2025-06-07[...].jpg 164Кб, 666x667
666x667
>>811741

АХАХАХААХАХАХ
ПАТА ПАТА ПОН ПОН ПАТА ПОН
БЛЯЯ ПОМНЮ КАК ВО ДВОРЕ С ПАЦАНАМИ НА ПСП ИГРАЛИ В ЭТО КОГДА МНЕ ЛЕТ 5 БЫЛО НАВЕРНОЕ
Аноним 24/08/25 Вск 02:21:41 811787 1231
>>811750
Ого, ты читаешь мой дневник. Как он тебе? Даров. Прости за плохие слова.

Да, это патапон.
Аноним 24/08/25 Вск 11:36:23 811822 1232
a00748a4ee5a81c[...].jpg 103Кб, 643x789
643x789
>>811787
>Прости за плохие слова.

ДА Я ДАЖЕ НЕ ПОМНЮ ЗА КАКИЕ

А ТАК Я ПРОСТА ОТКРЫЛ РАЗДЕЛ ДНЕВНИЧКИ И ТУТ СРАЗУ ТАКОЙ ПАТА ПАТА ПОН ПОН ПАТА ПАТА И МЕНЯ ТАК ФЛЕШБЕКНУЛО КАК Я ЕЩЕ МАЛЕНЬКИЙ ВО ДВОРЕ В ВОИНСКОЙ ЧАСТИ НА ОТШИБЕ МИРА С ДРУЗЬЯМИ ПО ОЧЕРЕДИ ИГРАЛИ В ЭТО С ПСПШКИ И ВСЕ РАДОВАЛИСЬ ТАК И БЫЛИ СЧАСТЛИВЫ
ПРЯМ ТАКИЕ ВОСПОМИНАНИЯ ХОРОШИЕ ЧЕСТНО СКАЖУ
Аноним 24/08/25 Вск 11:40:05 811823 1233
А НАСЧЕТ ДНЕВНИЧКА НУ ТУТ В ОСНОВНОМ ВСЕ ПРО МАТЕМАТИКУ А Я ЕЕ ПОСЛЕ КЛАССА 7ГО ВАЩЕ НЕ ПОНИМАЮ
ХОТЯ Я ДО 7ГО КЛАССА БЫЛ ПРАКТИЧЕСКИ САМЫМ ТОПОВЫМ ПО МАТЕШЕ ОТЛИЧНИКОМ ДАЖЕ НЕ НАПРЯГАЯСЬ ОЛИМПИАДЫ КАКИЕ ТО ПИСАЛ НА СКОРОСТЬ УРАВНЕНИЯ РЕШАЛИ И Я ТОП 1 МЕСТА ЗАНИМАЛ В КЛАССЕ
НО ПОТОМ МНЕ ПРОСТО ЭТО СТАЛО НЕ ИНТЕРЕСНО КАК МНЕ ЛЕТ 13 ИСПОЛНИЛОСЬ Я ТУПО ДО КОНЦА ВСЮ ШКОЛУ ПРОГУЛИВАЛ И ЗАБИВАЛ НА ВСЮ ПРОГРАММУ ВСЕГДА ПОЭТОМУ Я ЩЯ МАТЕМАТИКОЙ ВАЩЕ НЕ ИНТЕРЕСУЮСЬ И МНЕ ПО ЭТОМУ ПОВОДУ СКАЗАТЬ НЕЧЕГО
Аноним 24/08/25 Вск 11:44:56 811824 1234
1fd719cb011b5bd[...].jpg 68Кб, 736x960
736x960
НУ И ВАЩЕ Я КСТАТИ НЕ ВЕРЮ В ТАКУЮ ВЕЩЬ КАК ЛОГИКА
ТИПО ДЛЯ МЕНЯ ЛОГИКА ЭТО ПРОСТО КАКОЙ ТО ЗЕМНОЙ ЧЕЛОВЕЧЕСКИЙ УРОВЕНЬ ПРИЗМЫ ВОСПРИЯТИЯ
А Я СЧИТАЮ ЧТО ЧЕЛОВЕЧЕСКОЕ ЭТО ТО ЧТО ДОЛЖНО БЫТЬ ПРЕОДАЛЕНО ИБО САМ ЧЕЛОВЕЧЕСКИЙ СРЕЗ МЫШЛЕНИЯ ТАКОЙ КОНКРЕТИЗИРОВАННЫЙ ЛОГИЧЕСКИЙ ОБЪЕКТНЫЙ И ТВОРИТ ТАКУЮ ВОТ МАТЕРИАЛЬНУЮ РЕАЛЬНОСТЬ ОГРАНИЧЕННУЮ ИБО РЕАЛЬНОСТЬ ЭТО ПРОСТО КОЛЛЕКТИВНАЯ МЕНТАЛЬНАЯ ГАЛЛЮЦИНАЦИЯ В КОТОРОМ КАЖДЫЙ ЭТО ПОЛОТНО ТКЁТ
А Я БЫ ХОТЕЛ ВООБЩЕ ВСЕ ОКОВЫ СБРОСИТЬ ВСЕХ СИСТЕМ И РАМОК
ПОЭТОМУ Я РАЗЛАГАЮ БЯПСЕШИЗОЙ РЕАЛЬНОСТЬ ИЗНУТРИ У МЕНЯ СВОЯ ВЕЛИКАЯ МИССИЯ УТВЕРЖДЕНИЯ РАСКРЕПОЩЯЮШЕГО АБСУРДА
Аноним 25/08/25 Пнд 03:20:54 812014 1235
remiliascarlett[...].jpg 541Кб, 1250x2250
1250x2250
>логика, мышление, галлюцинация, материя
Никогда не понимал деление на материю и идею, галлюцинации и прочее. Это всё просто что-либо чем можно оперировать.

Вопрос в том учитываешь ли ты это или нет.

Но ещё посмотрим прав ли я был или нет.


>>811824
>А Я БЫ ХОТЕЛ ВООБЩЕ ВСЕ ОКОВЫ СБРОСИТЬ ВСЕХ СИСТЕМ И РАМОК
Это к конструктивной математике.
Аноним 25/08/25 Пнд 05:23:34 812021 1236
461ac9f0a9393fe[...].jpg 60Кб, 736x736
736x736
>>812014

Я ПРОСТА ВАЩЕ И ТАК НЕ ПОНИМАЮ ЗАЧЕМ МНЕ НУЖНА КАКАЯ ТО МАТЕКАТЕКА ЧТОБЫ ЧЕТА ТАМ КОНСТРУИРОВАТЬ ВОТ Я МАТЕКАТЕКУ НЕЗНАЮ ВАЩЕ НО МОГУ ПОСТРОИТЬ ЛЮБОЙ ОБЪЕКТ У СЕБЯ В БАШКЕ И ТАК
Аноним 25/08/25 Пнд 14:50:46 812100 1237
>>812021
>НЕ ПОНИМАЮ
Непонимание это
>Не МОГУ ПОСТРОИТЬ ЛЮБОЙ ОБЪЕКТ У СЕБЯ В БАШКЕ
Нет?
Аноним 25/08/25 Пнд 16:40:26 812127 1238
>>812014
>Никогда не понимал деление на материю и идею
Уебись ебалом об асфальт - почувствуй материю.
Аноним 25/08/25 Пнд 16:42:16 812129 1239
Аноним 25/08/25 Пнд 16:47:36 812130 1240
345e462d00dc51a[...].jpg 85Кб, 1068x1080
1068x1080
>>812100

НЕ СОВСЕМ
Я МОГУ ПОНЯТЬ ЧТО ОПИСАТЕЛЬНЫЕ МОДЕЛИ И СИСТЕМЫ И ИСПОЛЬЗУЮТСЯ ДЛЯ САМОУСПОКОЕНИЕМ ПЕРЕД ЛИЦОМ В БЕЗДНУ ЧТОБЫ ДЕРЖАТЬСЯ ХОТЬ ЗА КАКИЕ ТО РЫЧАГИ ПОЭТОМУ ПОНИМАЮ ПОЧЕМУ ЛЮДИ ПРИБЕГАЮТ К ПОДОБНОМУ
НО ПРОСТО ЛИЧНО МНЕ ЭТО УЖЕ НЕ ТАК И ИНТЕРЕСНО
ДА МОЖНО СТРОИТЬ КАКИЕ ТО ФИГУРКИ ИЗ ПРАВИЛ СИНТАКСИЧЕСКИХ СИСТЕМ НО МОЖНО ИХ ПРОСТО НАПРЯМУЮ ВООБРАЖТЬ И ТЕ КТО БОЯТСЯ НЕОПИСУЕМОСТИ И ПРИБЕГАЮТ К БЕСКОНЕЧНОМУ ДЕЛЕНИЮ НА ФОРМУЛЫ И ОПИСАНИЯ КОТОРЫЕ ВСЕ РАВНО НИКОГДА НЕ ДОСТИГНУТ ДНА И ПРЕДЕЛА
Аноним 25/08/25 Пнд 18:16:50 812140 1241
>>812130
А, т.е ты понимаешь, просто тебе не нравится.

>САМОУСПОКОЕНИЕМ
>ИНТЕРЕСНО
>БОЯТСЯ
И всё про самочувствие и эмоции.
Аноним 25/08/25 Пнд 22:10:40 812158 1242
2e794eaca504824[...].jpg 36Кб, 315x436
315x436
>>812140

НУ ДА
> И всё про самочувствие и эмоции

А ЧТО ЕЩЕ НУЖНО В ПРИНЦИПЕ
Аноним 25/08/25 Пнд 23:11:24 812166 1243
>>812158
То, чего не понимаешь, очевидно же.
Аноним 25/08/25 Пнд 23:19:37 812168 1244
>>812166

НУ ПРОСТО МОЕ НЕПОНИМАНИЕ ЗАЧЕМ МНЕ ЭТО И ЕСТЬ СИНОНИМ ТОГО ЧТО МНЕ ЭТО НЕ НРАВИТСЯ ПО СУТИ
А ВОТ ЗАЧЕМ ЛЮДИ ЭТИМ ЗАНИМАЮТСЯ МНЕ В ПРИНЦИПЕ ПОНЯТНО
НО ЭТО ПРОСТО ВОПРОС ВКУСА В ИТОГЕ ПО СУТИ
Аноним 27/08/25 Срд 03:38:54 812384 1245
Ах.png 964Кб, 1032x774
1032x774
Но так ли нужны вычисления?
Точнее... Смотря как. Смотря что.
Да как угодно, выходит.
Просто... Видимо меня интересует другое?
Или не только вычисления, именно вычисления.
Или я что-то не понимаю...
Были ли лишними словами?
Когда слова безполезны, хм.
Аноним 27/08/25 Срд 03:51:49 812385 1246
025228c2-456c-4[...].webp 232Кб, 1410x860
1410x860
А, я вспомнил зачем вычисления нужны. Хах.
Забыл так быстро, не помня так долго - вспомня так скоро.
Аноним 28/08/25 Чтв 17:06:21 812728 1247
17562025663660.mp4 1084Кб, 576x576, 00:00:10
576x576
17563870568640.mp4 747Кб, 522x640, 00:00:48
522x640
Аноним 30/08/25 Суб 02:27:17 813046 1248
0393ca9bc518b56[...].jpg 90Кб, 600x480
600x480
16098297451450.jpg 188Кб, 650x839
650x839
image.png 249Кб, 1920x1200
1920x1200
image.png 1781Кб, 2144x1608
2144x1608
Ммм
Аноним 30/08/25 Суб 13:29:08 813090 1249
ad7f89be2c66a3f[...].jpg 39Кб, 736x761
736x761
>>813046

> Ммм

УЖЕ ВЛАЖИЛСЯ ДЯДЬ МАВРОДИ
Аноним 01/09/25 Пнд 00:57:27 813420 1250
6d09ca9ab312eb0[...].jpg 25Кб, 400x337
400x337
Аноним 01/09/25 Пнд 01:51:45 813427 1251
bethoven.jpg 187Кб, 1313x879
1313x879
Аноним 01/09/25 Пнд 02:04:22 813437 1252
ЦУН!.mp4 8416Кб, 960x720, 00:04:46
960x720
Аноним 03/09/25 Срд 02:08:51 813851 1253
025228c2-456c-4[...].webp 232Кб, 1410x860
1410x860
>разнообразие
Ааааа....
Так вот к чему это было то, это были тени! shadow.

Так сказать:
Раздел абстракций в вакууме(varr), раздел абстракций не в вакууме(тени none), раздел моделей(unowen).
Аноним 03/09/25 Срд 02:12:08 813852 1254
>>813851
>varr
И да, можно говорить это про связывание же очень даже.
Аноним 04/09/25 Чтв 03:28:13 814068 1255
image.png 1322Кб, 1410x860
1410x860
>varr
Аааааа

Короче вспоминал что это за фигня такая.
В общем, как понимаю, прослеживается эта тематика и даже здесь.

Короче обновление после вспоминашек-пересмотряшек:

1)(параметрезированные) Классификации это про какую-то хрень на объекте, только без её применения(фактического вычисления). Практическая хрень.

Примеры: склеивание двух точек как двухточечное множество с названием "склейка", сложение двух ЧиСеЛ как двухточечное множество с дополнительным элементом(вне или в объекте) с названием "сложение".

2)Пространства классификаций это про то как связать бы объекты(на самом деле мат концепции в абстрактном смысле), делается при помощи параметризированных классификаций.
Важным тут являлось бы то, что этим можно не только связывать, но и описывать реальную математику.
Но связанные вещи можно сделать зависимыми через то, что я раньше называл склейкой. По факту - функциональная зависимость между связанными вещами.

Пример связанности: линия точками которой являются линии.

Пример зависимости: плоскость которая являлась бы линией из точек которой прорастали бы другие линии.

Важный пример: отрезок точками которого являются другие отрезки это в том числе "функция", которая может быть "применима" к отрезку.

3)Про то, что я называл расширениями, никаких изменений нет. И это пускай будет вариациями(вариантами будут тогда параметризированные классификации)

4)Если говорить о том, чтобы пространство классификаций думать как некую именно что функцию, то требоваться будут... функции.

Пример который понятнее объяснения: (дискретный) луч, точки которого это функция - это рекурсивное применение одной и той же функции.

Но тогда уж лучше говорить, что не точки, а морфизмы(стрелки), но это про ____

4.5)Ну и такая подсказка - расширения, вариации это вполне себе функции. Поэтому да, можно сказать что луч, точками которого являются вариации/применение_вариаций, это рекурсивное применение вариации несколько раз; Что к тому же является пространством классификаций.

Пример: расширение(как глагол как ing) отрезка несколько раз это и расширение(функция, да) и пространство классификаций, оттого это и как функция и как "функция" что "применяется" (ладно уже пошла тавтология).

5)Разнообразие изменилось в том смысле, что можно говорить про ____ разнообразие только через пространства классификаций или же через расширения, вариации и другие функции. Или же можно говорить про какое-либо другое разнообразие с добавлениями вариантов, но это уже мне кажется другая тема, более тогда уж рабочая если? Короче про всякие решения, по крайней мере мне это сразу в голову приходит, у меня же были примеры того как я решал что-то таким образом.
Аноним 05/09/25 Птн 02:08:49 814246 1256
remiliascarlett[...].jpg 155Кб, 850x624
850x624
Может быть время изучать другие ценности.
Аноним 05/09/25 Птн 16:07:13 814325 1257
17570762177480.webm 19283Кб, 800x600, 00:02:06
800x600
Аноним 05/09/25 Птн 17:40:39 814349 1258
Аноним 06/09/25 Суб 07:42:45 814430 1259
17571206859410.mp4 4144Кб, 640x360, 00:03:22
640x360
Аноним 06/09/25 Суб 08:56:36 814435 1260
разговорчиковый.png 933Кб, 810x1144
810x1144
https://www.youtube.com/watch?v=ACbzUe8Vfto&ab_channel=Moonie
И к сентябрю и с повторением той пасты даже моей. Как забавно.

Пространства классификаций. Расширенное один раз. Два раза.
Первое расширение про изоморфизмы, что можно теоретически вычислить. Второе расширение это пространство классификаций над вычислениями этих изоморфизмов.
К тому же не забывать, что эти shadows лишь часть shadows.

Дальше можно говорить о разнообразиях.
Не забыть только, что разнообразия обладают вычислениями.
Что значит, что вычислять можно по разному(разнообразия, хах) и что значит, что это имеет какие-то переплетения с первым и вторым расширением по работоспособности. Я имею ввиду, что разнообразие вычисляется рекурсивно. Поэтапно ещё. Вначале классификация, потом вычисления, потом опять классификация, потом опять вычисления + разные вычисления + классификация над разными вычислениями.

Ну и даже в разнообразии, так-то, можно будет искать другие shadows. И да, разнообразие тогда можно брать от не расширенной классификации, расширенной один раз и два раза.

Уточнение по классификациям:
"Подмножества" и морфизмы между ними с наделением их вычислениями становятся (подобными?) U.N.Owen
>модели
Что значит, что U.N.Owen не обязательно один.
Аноним 07/09/25 Вск 16:26:56 814577 1261
gordonfreemanha[...].jpg 1547Кб, 1440x2880
1440x2880
gordonfreemanha[...].jpg 4860Кб, 3840x2160
3840x2160
Ах, иногда так хочется быть между. Ни тем ни сем - даже не никем.
Иногда так хочется быть за пределами, но и в них же - быть между словно.
Аноним 07/09/25 Вск 18:52:03 814598 1262
17572598147030.webm 1767Кб, 888x590, 00:00:35
888x590
Аноним 07/09/25 Вск 19:34:34 814601 1263
VID202509080232[...].mp4 2957Кб, 1280x720, 00:00:11
1280x720
Аноним 07/09/25 Вск 19:37:02 814602 1264
VID202509080233[...].mp4 8540Кб, 640x360, 00:02:01
640x360
Аноним 08/09/25 Пнд 09:33:52 814666 1265
Аноним 08/09/25 Пнд 15:57:47 814735 1266
17573325239390.jpg 244Кб, 640x640
640x640
Аноним 09/09/25 Втр 07:39:08 814881 1267
Screenshot20250[...].jpg 175Кб, 1080x1141
1080x1141
>>814435
Разве он многого просит?
Аноним 09/09/25 Втр 08:35:58 814885 1268
Аноним 09/09/25 Втр 10:56:20 814891 1269
image.png 366Кб, 600x331
600x331
Или хуй пососать.
Haxplax !Dm1etQ2c76 09/09/25 Втр 11:15:36 814893 1270
>>814891
Не пали годноту быдлу
Аноним 09/09/25 Втр 11:34:03 814896 1271
>>814893
Что? Ты кстати кто.
Аноним 09/09/25 Втр 22:28:12 815020 1272
image.png 506Кб, 820x966
820x966
Аноним 09/09/25 Втр 22:29:24 815021 1273
image.png 506Кб, 820x966
820x966
Аноним 11/09/25 Чтв 11:00:27 815308 1274
image.png 1156Кб, 1408x1342
1408x1342
Аноним 12/09/25 Птн 01:09:13 815485 1275
image.png 1781Кб, 2144x1608
2144x1608
А чо похоже на простые числа? Может даже можно упорядочить это, ввидя иерархию какую-то.

А так к чему это я... (k[n]()[])○[ison]~=entity? Ну и не обязательно через ○. Как угодно свободно, но тут можно выходит разбирать что-то на подобные вещи.

Иными словами отрезок(обобщенный дискретный) и точка = отрезок из точек.

Ну и следовательно обратно можно пытаться это разбирать, а не собирать.

А там уже если не разберётся, то ~= тока себе же...

Но смысл был бы в другом - в конструктивном подходе же.
Аноним 12/09/25 Птн 01:12:16 815486 1276
image.png 506Кб, 820x966
820x966
>>815485
>(k[n]()[])○[ison]~=entity?
(k[ison]()[])○[isom]~=entity?
Аноним 12/09/25 Птн 01:18:44 815488 1277
image.png 249Кб, 1920x1200
1920x1200
Но прежде этого не стоит забывать о "сути", что можно... в общем что может стать None(аля уничтожено быть).

Только правда суть тут и не суть, а исток тогда уж.

А вот дальше уже как раз создать исток вещям(упростить? ну поняли), чтобы уничтожив исток уничтожить вещи. Уничтожить через изменение границ, предположительно или как вариант, кандидат - то, что зовется гомологиями. Z/B Zyklus/Boundary. Дихотомии короче говоря, тени(?), None и Что-то.
Аноним 12/09/25 Птн 18:06:46 815702 1278
>>815488
Там скоро инопланетяне прилетят. Говорят, миллионы лет технической и математической эволюции в их запасе. Будем кайфовать
Аноним 12/09/25 Птн 18:10:33 815704 1279
17576852622960.mp4 6289Кб, 576x1024, 00:00:32
576x1024
>>815702
Вот такие вот инопришеленцы
Аноним 12/09/25 Птн 18:14:43 815705 1280
17575760457752.webm 11708Кб, 1280x720, 00:00:30
1280x720
Аноним 12/09/25 Птн 19:38:44 815727 1281
remiliascarlett[...].jpg 261Кб, 666x1000
666x1000
>>815702
>Будем кайфовать
... да я ебу чтоли

>>815704
>>815705
кто выыыыыыыыыыыыы
Аноним 14/09/25 Вск 00:35:43 815850 1282
5090.jpg 207Кб, 1200x1200
1200x1200
Да блять.
Аноним 14/09/25 Вск 02:04:30 815853 1283
Здесь я.png 2979Кб, 2552x2073
2552x2073
Аноним 14/09/25 Вск 17:46:23 815933 1284
image.png 272Кб, 1190x1188
1190x1188
1)Перейти на вторые ценности.
2)Лучше понять что за оки(око, eyes) вещей.
3)Забыл что, ещё вспомню.

Пока ожидаемо что три дня но хотелось бы неделю.
Аноним 14/09/25 Вск 17:47:50 815934 1285
>>815933
>3)Забыл что, ещё вспомню.
3)Просто попить зеленого чая спокойно в тишине. Или сосредоточится как-то на времяпрепровождение.
Аноним 15/09/25 Пнд 00:00:00 816019 1286
1]Отрицание
2]Отрицание отрицания

1]Когда отрицание перестаёт иметь смысл
2]Тогда имеет быть место абстракции - на вопрос почему
Аноним 18/09/25 Чтв 01:03:58 816521 1287
ыыы.jpg 329Кб, 1499x1499
1499x1499
Окей, это был интересный опыт.
Аноним 18/09/25 Чтв 01:05:07 816522 1288
Beethoven.jpg 980Кб, 1200x1443
1200x1443
Зато вчера ночью удалось заполучить старое настроение одно, ах.
Хорошо было, ничего не скажешь.
Как там было?

Железные двери
Стеклянные стены

Или железный карцер?
https://www.youtube.com/watch?v=qBOMb5uhKGM
Аноним 18/09/25 Чтв 01:06:17 816523 1289
Стикер 191Кб, 281x440
281x440
>>816522
Почему ты не заходишь в дискорд?
Аноним 18/09/25 Чтв 01:11:55 816525 1290
.png 172Кб, 1920x1200
1920x1200
СИДИШЬ ГРУСТНЫЙ ВЕСЬ ТАКОЙ, СЛОВНО ()()() СОСАЛ НЕВКУСНЫЙ
@
ТЫКАЕШЬ НА ССЫЛКУ, А ТАМ
@

https://writings.stephenwolfram.com/2020/04/finally-we-may-have-a-path-to-the-fundamental-theory-of-physics-and-its-beautiful/
@
АХУЕВОЗ, ПИЗДОСЯ И Т.Д
@
ВСПОМИНАЕШЬ СЛОВА ФЛАНЯНЯША ПРО НЕГО
@
А ЕЩЁ ИЗВИНИ ФЛАНЯНЯШ ЗА ТО, ЧТО Я ТАКОЕ ЗАБИТОЕ ОМЕЖНОЕ ЧМО, Зато это весело


Только правда разница есть, всё же. И то я позыркал 20 год. Ну как разница, на разное смотрю пока что, на другое чем Волфрамик 20 года.
Аноним 18/09/25 Чтв 01:14:03 816526 1291
remiliascarleta[...].jpg 1287Кб, 1251x1080
1251x1080
Аноним 24/09/25 Срд 08:46:30 817530 1292
remiliascarlett[...].jpg 179Кб, 562x562
562x562
Допустим:

Динамика(Часть конструкции->её тень->вся конструкция(Entity)->границы конструкции. Дальше изменение этого через "уничтожения" простых entity и U.N.Owen, где очевидно надо понять как их ещё и находить к тому, т.е уметь раскладывать это всё на простое)
Статика(Деаноним-Аноним или Аноним-Деаноним короче говоря. Достаточно просчитывать все возможные траектории, т.е находить их в тени, для Аноним-Деанонима, после чего высчитывать какой вариант траекторий у нас),
Комбинированное(Смотрим как меняются траектории через динамику, а также как можно через траектории описать пути "уничтожения", т.е статика через динамику и динамика через статику).

Сделать формализмы для этого и в целом как можно обобщенно работать.

Уже какие-то махания(очень размашистые) руками есть.
Аноним 24/09/25 Срд 14:48:02 817568 1293
Динамика - это про алгебру. Особенно тени это и именно что про алгебру, т.е являются алгеброй.

Статика - возможен переход во всякие гладкости, действительности, кривые и т.д.

Комбинированное - ну вы поняли.
Аноним 24/09/25 Срд 19:55:29 817624 1294
Кстати это можно к мат моделям применять.
Аноним 27/09/25 Суб 23:37:35 817997 1295
.png 172Кб, 1920x1200
1920x1200
Что сложнее чем не обезуметь, когда безумеешь?
@
Удерживать безумие, когда дебезумеешь
Аноним 27/09/25 Суб 23:42:39 817998 1296
вы тупой.mp4 1016Кб, 1280x720, 00:00:06
1280x720
Меня вводит в ступор это видео. Иногда так задумываешься.

Вы тупой. Вам когда-нибудь об этом говорили?

Вот этот вопрос в конце делает эту фразу той, о которой можно задуматься.

И лицо ученного тоже.
Аноним 28/09/25 Вск 00:31:34 818000 1297
Аноним 29/09/25 Пнд 05:12:13 818148 1298
ThGKKakashi3.jpg 88Кб, 503x380
503x380
Какая тоска бывает иногда порой.
И не такая сильная, не думайте.

()ля.

Зато весело.
Аноним 01/10/25 Срд 18:45:38 818478 1299
remiliascarlett[...].jpg 179Кб, 562x562
562x562
Ну почему же такой немощный я, ах.
Аноним 01/10/25 Срд 19:28:58 818487 1300
image.png 263Кб, 503x380
503x380
Ладно, зато я понял выражение того, что математика это... Ну, язык.

Остаётся вопрос в другом, а что мне делать? Как мне меняться и менять?
Аноним 01/10/25 Срд 22:07:05 818547 1301
Звуки.mp4 1155Кб, 480x360, 00:01:06
480x360
Успокаивает меня эта песенка.
Аноним 02/10/25 Чтв 00:23:16 818573 1302
Здесь я.png 2979Кб, 2552x2073
2552x2073
Запишу ка:

a]Фантазийная хрень про путешествия про деанонима-анонима и меня нет в буквальном смысле подобная и известное/неизвестное, схожая и имеющая пересечения с той шизопастой-вдохновляшкой:
1)Динамика
2)Статика
3)Комбинированное.

b]Другая хрень, более не фантазийная:
1)Динамика. Научиться понимать и видеть простое в конструкциях. Можно для этого использоваться математику даже, как язык, очень удобно на самом деле. Границы и циклы, может гомологии, тоже надо научиться понимать и видеть. Тоже можно для этого использоваться математику как язык. Получается надо научиться производить декомпозиции. Ну и композиции тоже можно. Плюс понять и увидеть как и каким образом "уничтожать", "скрывать" или "приносить в жертву", как говорил ФланяНяша(кстати мои идеи, мысли и концепции тоже можно тогда), и поделать это.

2)Статика. В статике у меня(да и как и у многих других) опыта больше. Одно простое слово - модель. Или глагол - моделирование. В общем практика формулирования и применения моделей. В таком смысле это как быть наблюдателем и это одно из самых распространенных занятий в целом. От физики до всяких других систем. Делать можно, понятное дело, как угодно - но математика как язык удобнее(spoiler]Я думаю так по крайней мере).

3.Комбинированное, а точнее как пример и на что пока буду смотреть - статика->динамика->статика, где модель этого надо начинать делать с динамики. В целом это про то, как статикой понять то, как прийти к тому простому, что нужно "уничтожить", чтобы изменить или само то пространство или пространство законов(и может его тень) для того, чтобы либо иметь может быть другие траектории но точно в другом пространстве или же чтобы точно иметь другие траектории в том же пространстве. При том да, пространство законов траекторий это про переходы между законами. Тень её - понятно что. Граница/цикл/гомологии и давайте менять(Для примера у физики переходы между законами можно в целом считать одномерными как интервал (0,бесконечность). А всё это по той причине, что законы для траекторий всяких вещей задаются в пределах объема/площади какого-то куба или гомеоморфизма шара. И при том разницы между кубом или квадратом не будет в таком смысле - т.е в целом про гипер-кубы и шары там, диски. Но при этом можно теоретически и сказать что законы у физики не только по площади идут, но и может по времени. Типо вначале вселенной законы другими были и вот вся эта хрень. Но я не, ха-ха, ШАРЮ. Ну это как пример.).
Аноним 05/10/25 Вск 10:47:33 819036 1303
17596489106400.jpg 193Кб, 1242x766
1242x766
Аноним 08/10/25 Срд 09:37:01 819495 1304
Рена - малые по высоте деревья в лесу.
Рика с Ханью - высокие деревья в лесу.
Аноним 10/10/25 Птн 17:42:54 819844 1305
Чего здесь.jpg 424Кб, 1707x960
1707x960
Люблю заглядыва[...].png 697Кб, 1000x1000
1000x1000
Аноним 10/10/25 Птн 17:45:03 819845 1306
Путешествуя!.jpg 1347Кб, 1403x2000
1403x2000
Аноним 11/10/25 Суб 07:06:42 819912 1307
pavel durov edit.mp4 1974Кб, 748x480, 00:00:03
748x480
Аноним 11/10/25 Суб 08:00:29 819915 1308
>>819912
У него брат, вообще говоря - не поле из одного элемента.
Аноним 12/10/25 Вск 11:12:29 820076 1309
Тёмная ночь, бр[...].png 7085Кб, 3298x3178
3298x3178
Аноним 12/10/25 Вск 20:31:00 820105 1310
Ааа, так вот оно что, динамика... Интересно в контексте моделей этим заниматься. А главное, что я свободен думать так, как властен думать!
Аноним 17/10/25 Птн 15:24:00 820780 1311
remiliascarlett[...].jpg 179Кб, 562x562
562x562
Мэх. Зато вернулся к старым(ну как старым, достаточно новым) мыслям, хм. Только в новой обёртке. Э - экстраполяция.

Не знаю грустить ли или радоваться, нестабильное настроение. Но я вспомню и попробую мой подход со схемами, правда снабженный статикой-динамикой.
Аноним 17/10/25 Птн 21:59:48 820848 1312
remiliascarlett[...].jpg 100Кб, 850x680
850x680
СУКААААААА НУ КАК Я ИНОГДА МОГУ ЗАЕБАТЬСЯ ЭТО ПИЗДЕЦ ПОЧЕМУ ВОКРУГ ВСЁ ТАКОЕ ТУПОЕ ГОВНО ПОЧЕМУ Я ТАКОЙ ТУПОЙ ДЕБИЛ СУКА КАК ЖЕ МЕНЯ ЭТО НАХУЙ БЕСИТ БЛЯТЬ МОЖЕТ ЛУЧШЕ НЕ НАБЛЮДАТЬ ВСЮ ЭТУ ТУПОСТЬ? ДЕБИЛИЗМ? ЭТУ ПРОСТО ОТАПРВИТЕЛЬНУЮ ХУЙНЮ ВОКРУГ И, ЧТО НЕ МЕНЕЕ МАЖНО, СЕБЯ ТОЖЕ? СУКА КАК МЕНЯ БЕСИТ ВСЁ ВОКРУГ ВКЛЮЧАЯ СЕБЯ НАХУЙ БЛЯЯЯЯЯЯЯЯЯЯЯЯЯЯЯЯЯЯЯЯЯЯЯЯЯЯТЬ
Аноним 17/10/25 Птн 23:55:48 820851 1313
Записать:

Схемы и выборы в том плане в котором операция - композиция из статики-динамики. Иными словами статикой-динамикой и этим формализм можно описать эти схемы, карты и т.д.
Аноним 18/10/25 Суб 02:09:27 820859 1314
Смерть.
Аноним 18/10/25 Суб 03:29:16 820863 1315
17596680860490.jpg 2107Кб, 1280x1024
1280x1024
Аноним 19/10/25 Вск 02:17:45 820970 1316
image.png 4319Кб, 2048x1152
2048x1152
Это было сужением, многие вещи были сужением. Сужением в полноту...

Но расширение?
Аноним 19/10/25 Вск 02:18:20 820971 1317
Путешествуя!.jpg 1347Кб, 1403x2000
1403x2000
Это всё просто игра! И я вспомнил об этом! Я вспомнила! Это игра! Игры.
Аноним 19/10/25 Вск 02:18:35 820972 1318
Аноним 19/10/25 Вск 02:24:28 820973 1319
Аноним 20/10/25 Пнд 23:15:24 821337 1320
f9badfc3-4235-4[...].png 627Кб, 747x879
747x879
Хах, забавно. М, не забавно.

Знаешь, Я. Возможно самое правдивое что я когда-либо думал, так это то, что мышление скорее всего и есть самое главное а ещё по совместительству самое близкое к определению самого себя. Ты есть то, как ты думаешь.
Аноним 20/10/25 Пнд 23:35:08 821341 1321
image.png 4319Кб, 2048x1152
2048x1152
Аноним 21/10/25 Втр 13:24:31 821423 1322
191e8b35-d072-4[...].png 1256Кб, 859x969
859x969
А вообще прикол, если это просто осеннее обострение. У меня так с весной было.
Аноним 21/10/25 Втр 19:58:51 821478 1323
176106567581835[...].png 1158Кб, 1410x860
1410x860
Напоминалка:
a)Есть отыгрышь мною выбранных мной ролей.
b)Есть у меня желания которые исходят из моих действий.
c)Есть весомая зависимость между типом, видом рефлексии и этой темой.
d)Я это именно что я. Я есть тот, кто я есть. Я это тот, кто я есть.
Есть то, что я свободен
Аноним 21/10/25 Втр 23:25:01 821495 1324
16452762323520.jpg 105Кб, 844x478
844x478
Хм, осознание того, что я же, ну... РЕАЛЬНО МОГУ ДЕЛАТЬ ТО, ЧТО ХОТЕЛ, а этих дел в целом нормально так - почему-то очень странно?

Так непривычно это.. Осознавать же. Не знаю. И почему-то когда осознаю это всё вокруг становиться просто ярче? Живее?
Аноним 21/10/25 Втр 23:43:25 821496 1325
Глаз.png 12Кб, 730x1060
730x1060
Объявляю проблематику ввиде делать того, чего хочу!:

Мой ♡списочек♡ дел:
1)Написать свой фанфик на определенную совершенно секретную тему, написать рассказик, поиграться немного в матетическом смысле групп, аля муз структура но только в плане литературного рассказа! написать удивительное приключений для одной тохосамочки!
2)Ммм, забыл. Вспомню.
2)Поиграть в фир мясной шутан! Хочу стрелять из дробовика! Да! Мне дробовики нраица. Нраааааааааааааица.
3)Так, что же было третьим телом???? дьелом... О, да! Доиграть в роботов! И начать покорять вершины пилотирования в онлайн режиме!
4)Хотелось также играть в осу! Щыг! Японская культура! Задроттинг, ротоскоппинг. Но для этого надо поймать определенное настроение, с этим проблемы, блин!
5)Так-то есть такая вещь как внки. Удивительно, но они мне больше приглянулись по вот этому вайбу ламповости чем анимешки. Но скорее всего анимешки и японски культури это не совсем про ламповость. Я вспоминаю лаки стар как я кушал рамен смотря его, и я понимаю, что это не про ламповость! Это про яркость жизни может быть? Короче надо попробовать будет в тишине позыркать.
5.5)Но в целом, вообще говоря - можно аниме смотреть и ради драым, сюжета и т.д.
6)Поделать всякие фотошоп-картинки определенного совершенно секретного содержания не связанных с темой цензуры(цензура в интернете т.е! ничего пошлого!) там, типо буллинга! Оскорблений!
7)А ещё вот думаю сейчас чем займусь на момент написания поста это написания 2 или 3 минутной песенки аля я композитор! Коим и являюсь! ХАХАХА КОИМ И КОИШИ СХОДНЫ ПО СЛОВАМ!
Аноним 26/10/25 Вск 07:54:31 822146 1326
Потолок.png 1074Кб, 1000x1500
1000x1500
Аноним 26/10/25 Вск 08:23:13 822148 1327
image.png 133Кб, 563x352
563x352
image.png 641Кб, 726x965
726x965
Аноним 27/10/25 Пнд 01:24:36 822341 1328
image.png 510Кб, 686x386
686x386
https://www.youtube.com/watch?v=lkicMsn-s_8
Избегаю сентиментальных моментов любых обычно, ну кроме если ирл.

Уж могут не вовремя вызвать бурю.
Аноним 27/10/25 Пнд 01:41:16 822342 1329
image.png 1437Кб, 1332x850
1332x850
Оооо я теперь металл хед мммм но нет, хочу няшномода сейчас а не лысой лоли.
Аноним 27/10/25 Пнд 03:17:16 822344 1330
image.png 679Кб, 850x789
850x789
Аноним 27/10/25 Пнд 13:46:31 822384 1331
>>821496
7 - чек
5.5 - чек
4 - чек
2 - чек

4 из 7, huh.

Плюс роботы можно закончить скоро.
Аноним 28/10/25 Втр 17:55:56 822678 1332
Remilia.Scarlet[...].jpg 67Кб, 600x497
600x497
>нет в друзьях
>не можете отправить запрос дружбы
...
Аноним 29/10/25 Срд 19:52:50 823034 1333
psp96.jpg 78Кб, 480x272
480x272
Железный карцер,
Стеклянные стены.
Аноним 29/10/25 Срд 20:22:16 823048 1334
Звуки.mp4 1155Кб, 480x360, 00:01:06
480x360
Аноним 29/10/25 Срд 20:42:16 823058 1335
Аноним 29/10/25 Срд 21:03:07 823062 1336
remiliascarleta[...].jpg 21Кб, 1100x735
1100x735
>пришел сказать, что всё ещё жив
Аноним 29/10/25 Срд 21:54:19 823076 1337
psp96.jpg 78Кб, 480x272
480x272
Кхм, пора выбираться из этого состояния.

Безопасный реактор, значит?

А как... реактор работает? Давно им не пользовался. Потенция+простое действо. Хм.

1)Достаточный запас положительной потенции реактора на прогрессию простого действа точнее. Можно ещё достаточный запас простого действа на положительную прогрессию потенции реактора.

Дальше, если уточнять, то это циклы. Но что такое циклы? Эээээ, ммм... Чо это было то. Реакторный цикл, вот что это. А реакторный цикл - идеализированная циклическая активность обладающая позитивной потенцией? Я бы даже сказал позитивной производной тогда уж.

2)Более конкретно: делая первый шаг нам надо его делать подразумевая, что потенция реактора это реакторный цикл.

3)Чтобы получить реакторный цикл, надо в любом смысле(и соответствии) представить себе благую версию недуга.

Хм, ну да. Вроде это основное было. В таком смысле тот же страх можно в азарт превратить. Главное это лишь представить себе азарт как благой страх? Хм. Ну что-то типо того.

Проблема в том, что это не совсем то, что надо. Это работает, кстати. По крайней мере на мне - да. Но чтобы нормально функционировать, надо страх не в азарт превращать, надо страх наверное побеждать просто? В любом случае время думать.

Страшно. Ужасно. Ощущаю смерть. И? Тревога. Хм, просто можно перевести это всё в принятие, но я всё же про тогда... А что если попробовать укреплять себя этим? Не проблема, а еда. Хах, еда! Вспомнил я просто про то, что ужас был мне как еда... Но всё же еда в другом плане. Наверное я знаю как бы это думать->думать бы это в том плане в котором из ужаса просто дистиллировать полезные мне вещи, после чего переводить их в нужные мне активности.
Но тогда не обязательно что ужас пропадёт ведь? Тогда нужен дистиллят. Хм. Постоянный такой. Короче ужас должен переводиться, всё так.

Так, отошел и подумал, вот что понял:
Обратное к недугу.
Компонент(производный цикл) обратного к недугу, что делает его обратным.
При том такой компонент, что является компонентом других компонент, иными словами(образно) некий главный компонент к которому сходятся.

Тогда примерно как действовать:
0)Оценить свои действия относительно причины недуга. Если действия не отходят от начального плана, то
1)Найти реакторный цикл к недугу.
2)Найти главный обратный компонент у реакторного цикла.
3)Взять производный цикл от изначального плана, да такой чтобы был схож с каким-то производным циклом реакторного цикла в котором была бы главная компонента.
4)Любая, но лучше внутреннюю "диалектику" схожего производного цикла и любой компоненты плана.
5)Дополнительно можно сделать внутреннюю "диалектику" результата из шага 4 и главного компонента.

Теперь бы оформить более кратко.
Аноним 29/10/25 Срд 21:57:48 823078 1338
Голубые глаза.jpg 831Кб, 3048x4096
3048x4096
0)Проанализируй ситуацию на факты и если ничего не меняется, то
1)Реактируй!
2)Найди главный побеждающий компонент своего реакторного цикла.
3)Вставь его в изначальный план, допустим пересобрав сам план из его составляющих и побеждающей компоненты!
4)Безопасно Реактируй!
5)Репит.
Аноним 29/10/25 Срд 22:03:06 823079 1339
Сначала страшно.jpg 3532Кб, 3210x2269
3210x2269
Аноним 29/10/25 Срд 22:05:18 823080 1340
.png 583Кб, 892x671
892x671
♡pain вещички♡

Вначале! Подложить свинью.
Вначале наконец-то! Деградировать до бейбика.
Потом - подорваться на свинье.
Плакать!
Применить придумку-идею Бодротина.
♡♡♡♡♡♡♡♡♡♡♡♡♡♡♡♡♡♡♡♡♡♡♡♡♡♡♡♡♡♡♡♡♡♡♡♡♡♡♡♡♡♡♡♡♡♡♡♡♡♡♡♡♡♡♡♡♡♡♡♡♡♡♡♡♡♡♡♡♡♡♡♡♡♡♡♡♡♡♡♡♡♡♡♡♡♡♡♡♡♡♡♡♡♡♡♡♡♡♡♡♡♡♡♡♡♡♡♡
Аноним 29/10/25 Срд 23:31:59 823092 1341
Прыжки.jpg 373Кб, 2048x2048
2048x2048
Испытание прошло! Но испытание было не таким тяжелым. Хорошо что работает.
Аноним 30/10/25 Чтв 07:15:57 823108 1342
176179760796457[...].jpg 177Кб, 562x562
562x562
Почему-то такое ощущение, что у меня нет личности. И я немного деградирую словно. Почему я слова порой читаю вообще иначе? Да и пишу тоже. В любом случае почему-то мрачное настроение. А, хотя почему почему-то,вполне понятно почему. Ммм, надо обзовестись личностью, вот что. Да.
Аноним 30/10/25 Чтв 07:34:38 823110 1343
176179879096740[...].jpg 110Кб, 480x272
480x272
Аааааа, я понял что не так. Как это там? Внутренний диалог? Он как-то очень сильно утих, если не совсем утих. Словно пропал. Хм. Интересно. Ну знаете, такой вот оценщик внутри который имеет хотябы личность.
Хотя в таком состоянии есть определённые плюсы, но минусы тоже есть. Инструмент.
Аноним 01/11/25 Суб 00:45:51 823519 1344
image.png 706Кб, 800x502
800x502
Ммм, почему вштырило. Хотя есть гип(н)о-теза одна.
Аноним 01/11/25 Суб 00:49:03 823520 1345
image.png 1781Кб, 2144x1608
2144x1608
А, может это как отскок. Забавно.
Аноним 01/11/25 Суб 00:55:16 823523 1346
image.png 1104Кб, 719x835
719x835
Я одновременно и ужасен и благостен.
Я одновременно и безумный и нормальный.

Другой вопрос в том, что это про психику. А кроме психики есть кое-что ещё(или как особый вариано психики).
Haxplax !Dm1etQ2c76 01/11/25 Суб 05:58:23 823554 1347
Бро, организовывается совместный поиграч с анонами с доски в настолки. Если тебе интересно, тут вся инфа: >>823547 →
Аноним 01/11/25 Суб 19:27:17 823674 1348
Аноним 01/11/25 Суб 22:52:29 823731 1349
image.png 128Кб, 589x582
589x582
Аноним 01/11/25 Суб 22:53:19 823732 1350
image.png 135Кб, 582x589
582x589
Аноним 01/11/25 Суб 22:53:37 823733 1351
image.png 129Кб, 589x582
589x582
Аноним 01/11/25 Суб 22:53:54 823734 1352
image.png 135Кб, 582x589
582x589
Аноним 01/11/25 Суб 22:54:12 823735 1353
image.png 128Кб, 589x582
589x582
Аноним 01/11/25 Суб 22:59:08 823736 1354
image.png 128Кб, 589x582
589x582
Я Сам Себе порой бываю врагом.
Иначе говоря - Я Сам Себе враг.
Аноним 02/11/25 Вск 00:12:48 823749 1355
image.png 965Кб, 1292x730
1292x730
Хм, это было... ну, не то чтобы обычно. Бурно. Не больно, но бурно->интенсивно.

Цельность и безцельность.
Цели это сложное - составное, состоит из желаний.
Желания просты. Всё.

А дальше я могу сказать только лишь то, что желания проявлять легко - это же желания, они и так сами проявляются? Но всё же когда ты проявляешь свои желания, то происходит что-то необычное.

Чтобы были желания надо осведомиться о них, но что делать когда словно распадается психика? Нету личности словно, мысли текучие... А тут есть планы, может когда надумал что - вот планы это желания. Просто прояви желание своё и будет что-то необычное.
А так, то я знаю как я себя могу описать - свободой. Разнообразием.
А нравиться мне достаточно проникаться эстетикой.
Я хочу любить мир в любом его проявлении, хочу весь мир себе. Проникнуться всем миром - поэтому и свобода, поэтому и разнообразие. Поэтому и роли, поэтому и рефлексия.

Пока так помахаю руками и вот что скажу: градиенты мягкого и твёрдого.
Или количество теплоты как.
Это основа, пока я не решу иначе.
Аноним 02/11/25 Вск 00:13:05 823750 1356
Аноним 02/11/25 Вск 00:14:37 823751 1357
Да, вот что хотел записать:
Когда нет личности словно, что-то распадается - на это можно посмотреть с прошлого или будущего и проявить желания их, прошлых и будущих. А точнее вашего представления о прошлом и будущем.
Аноним 02/11/25 Вск 21:53:46 823892 1358
Я люблю проникаться эстетикой явлений и понимать их эстетику.
Аноним 02/11/25 Вск 21:57:52 823894 1359
Аааааааааааа
>ОбШиДа и ОбШиГо
Аноним 03/11/25 Пнд 13:25:55 823977 1360
ОбШиДа короч, да?
КаШиГо ОбШиДа короч! Коиши, во.
Ну и КаШиДа ОбШиГо.

Плюс не стоит забывать про новое Се.

ОбШиСе.
Аноним 03/11/25 Пнд 21:28:37 824049 1361
remiliascarlett[...].jpg 179Кб, 562x562
562x562
Ага, опять отскок. Хм, надо подумать что с отскоками делать.
Аноним 04/11/25 Втр 03:55:27 824083 1362
16377770698030.jpg 467Кб, 1536x2048
1536x2048
>пришел сказать, что всё ещё жив
Аноним 04/11/25 Втр 03:57:03 824084 1363
Ах.png 964Кб, 1032x774
1032x774
Аноним 04/11/25 Втр 04:03:47 824085 1364
image.png 630Кб, 1297x732
1297x732
https://www.youtube.com/watch?v=U2z41sQECt8

Что это?

Это... Это не про психику изнутри. Это про психику снаружи.
А то, что сейчас - не стазис, просто шум.

Шум, вот в чем дело.
Аноним 04/11/25 Втр 04:11:49 824086 1365
image.png 128Кб, 589x582
589x582
Аноним 04/11/25 Втр 04:53:30 824087 1366
176222115851444[...].png 172Кб, 1920x1200
1920x1200
Какой же я ебанутый. Только не архишиз ещё, но задатки очень даже (есть).
Аноним 04/11/25 Втр 07:36:34 824092 1367
Достаточная эстетическая увлечённость для достаточной эстетической вовлечённости. Это инвариант для любых выбранных(желаемых) состояний.
Необходимое условие - отсутствие шума.
Аноним 04/11/25 Втр 08:45:23 824096 1368
Самое очевидное обычно самое рабочее. Если не брать оптимизацию.

Хм. Не то чтобы я тупой короче. Может долбоеб, но точно не дебил.
Аноним 04/11/25 Втр 19:01:28 824146 1369
Неужели сегодня дата связанная с СаяНяшей? Грустно, конечно. Надеюсь с ним всё хорошо или хотя-бы не плохо. А если плохо - держись, ты сможешь превозмочь.

Смерть. cvthnm. смерть
Аноним 05/11/25 Срд 08:27:27 824208 1370
image.png 464Кб, 800x500
800x500
А я помню то что было зимой и связанной с пиком.
Может сейчас я понял что ты хотел(а) сказать?
Если не я сам себе.
УГАР

Как там было? Сейчас вспомню.
>Живи так, как хочешь. Никогда не подавляй себя. Следуй твердо и четко своей воле. Не предавай себя в этом.
Примерно такой посыл был.
Аноним 05/11/25 Срд 10:49:50 824222 1371
image.png 464Кб, 800x500
800x500
>Надо поле притоптать
Танцы иными словами. Я вспомнил же, хотелось танцевать.
Аноним 06/11/25 Чтв 00:56:02 824341 1372
image.png 324Кб, 1300x727
1300x727
>suicide over tortik
Аноним 06/11/25 Чтв 01:29:03 824344 1373
1484162458407.jpg 13Кб, 234x215
234x215
Хм, ну кстати. Отскок совершать в бытовые разрешаемые вещи же, допустим тортики же. Тортик будет - хорошо будет же.

Хм.
Аноним 06/11/25 Чтв 17:29:22 824412 1374
Я не знаю, как быть
Аноним 07/11/25 Птн 07:21:20 824485 1375
Аноним 07/11/25 Птн 09:29:28 824490 1376
88a78993-0361-4[...].png 603Кб, 747x879
747x879
Да блять я не могу нахуй как меня это заебало. Но всё же мне помогает знание о том, что то, что я себе представляю о себе, это просто бред короче говоря. Ага.
Аноним 07/11/25 Птн 09:51:24 824492 1377
запустили колес[...].mp4 2078Кб, 480x854, 00:00:03
480x854
Аноним 07/11/25 Птн 10:11:34 824495 1378
191e8b35-d072-4[...].png 1256Кб, 859x969
859x969
>>824492
Неиронично, но мне такие эдиты душу греют. Вдохновляют.
Аноним 07/11/25 Птн 10:43:32 824499 1379
Опять тихо. Хотя это потому что я не пишу никому. Стесняюсь же. Ммм.

Ладно, надо выходить из этого состояния.

Вспомнил. Чтобы такого не было, надо уничтожать плохость воспоминаний, да.
07/11/25 Птн 11:34:48 824505 1380
>>824490
Смотря что ты о себе представляешь. Может и не бред.

>>824499
я бы еще вчера что-то написал. Но ты
(был(а) давно)
Аноним 07/11/25 Птн 13:38:13 824573 1381
>>824505
В любом случае, ты? Просто не знаю, мне стыдно же тебе писать. Ты меня не будешь ругать?
Аноним 07/11/25 Птн 13:48:33 824578 1382
Duck edit #edit.mp4 4092Кб, 720x1280, 00:00:02
720x1280
07/11/25 Птн 14:25:51 824601 1383
>>824573
Наверное я. Не буду.
Аноним 08/11/25 Суб 07:07:42 824737 1384
main2x-c1b23e9f[...].webp 68Кб, 450x675
450x675
howdrawrumiatou[...].jpg 253Кб, 1280x1131
1280x1131
https://youtu.be/9B3xbruztxs?si=HpbOUpn03XKYVjNf
Расплакался. И до сих пор как-то слезы текут. Но не из-за грусти, а из-за радости.

Вообще не плачу,очень очень редко. А чтобы от радости плакать - таких моментов может один был, два.

А причина слез простая. В Лисотреде мои друзья, как я и хотел. Хотел дружить же и вот, друзья же есть.

Воспоминания так идут ещё. Как же приятно вдруг осознать что ты не во мраке.

А ещё как бы, ну. Не только старые переписки прочитал.

Теперь для меня лисотред заиграл новыми красками, более яркими даже. Вот тот период моей жизни что можно было описать опенингом Харухи скажем+лисотред.

А ещё цикадки. Да и не только.

Люблю вас всех! И вроде уже слезы перестали течь.

Люблю же Я Вас, Друзья Мои, десу же, десу. ^~^

Словно я не просто снова стал тем самым Сеней, а совместил в себе кое что ещё. Ламповость. Жизнь чтобы жить!
Аноним 08/11/25 Суб 08:13:24 824741 1385
Блин, опять я как-то заплакал. Даже слегка поревел. >~<
Аноним 13/11/25 Чтв 16:41:08 825911 1386
videoplayback.mp4 2611Кб, 640x640, 00:00:21
640x640
Аноним 13/11/25 Чтв 22:13:21 825966 1387
>>824505
Если что я тебя разблокировал

>>825911
Жесц
Аноним 13/11/25 Чтв 22:19:36 825967 1388
u9d68018275bb0d[...].jpg 47Кб, 704x480
704x480
Удивительно? Закономерно.

Как тебя зовут хоть? И я не могу однозначно сказать. А может и могу. На букву т. В данном случае без рекурсии.

Кхм, иными словами какой-то откат начинается. Или скорее не откат, а мне лень объснять.

Даже прикол с оргазмами вернулся, удивительно.
Только там была что-то типо Румии, ну вот недавно т.е.

В любом случае не знаю что сказать, просто радость. Интересно что ждёт меня дальше, но я скорее знаю что. Может по крайней мере.

Короче что сказать то хотелось - я всегда с тобой. А ты всегда со мной. Ведь я это ты, а ты это я.

В любом случае веселись, играй в игру и всё такое. Когда нужно будет - будет другое. Как в душе было сейчас.
Аноним 13/11/25 Чтв 22:20:28 825968 1389
Забыл:

Железный карцер
Стеклянные стены
Аноним 15/11/25 Суб 15:37:26 826199 1390
Screenshot20251[...].jpg 201Кб, 1080x797
1080x797
Аноним 15/11/25 Суб 19:20:23 826239 1391
Аноним 15/11/25 Суб 19:26:08 826243 1392
image.png 864Кб, 739x731
739x731
Отскок.

Ну это ладно, отскок проходит, точнее отскакивает в сигары и

МНЕ КАЖЕТСЯ ЗДЕСЬ ЧТО-ТО НЕ ТАК Я СЛУЧАЕМ НЕ В ИСКРЕВЛЕННОМ МИРЕ ЖИВУ ПОЧЕМУ КАЖЕТСЯ СЛОВНО Я В ПЕТЛЕ ВРЕМЕННОЙ И НЕ ТОЛЬКО
Аноним 15/11/25 Суб 19:26:44 826244 1393
Аноним 15/11/25 Суб 19:27:46 826245 1394
image.png 864Кб, 739x731
739x731
Хотя принимая во внимание какие-то сведенья может всё даже забавнее.

Но это ладно. Я хочу веселиться. И буду.
Аноним 15/11/25 Суб 19:50:00 826254 1395
image.png 864Кб, 739x731
739x731
Террор, хоррор, сорров.
Может ещё пейн? Но это как террор, опять же.
Дисориэнйтейшен.

Ладно, видимо уже активная фаза прошла, сейчас спадать будет. Вырвусь из этого состояния, да.
Аноним 15/11/25 Суб 20:20:23 826273 1396
images.jpg 10Кб, 225x225
225x225
Фух, хорошее. Вышел из отскока! Ураааааааа.
Аноним 17/11/25 Пнд 02:45:47 826483 1397
image.png 59Кб, 2914x830
2914x830
Аноним 18/11/25 Втр 15:34:53 826614 1398
1763198809763090.png 524Кб, 800x900
800x900
Тест
Аноним 18/11/25 Втр 18:56:44 826622 1399
Аноним 19/11/25 Срд 18:13:25 826774 1400
image.png 367Кб, 704x480
704x480
Аноним 20/11/25 Чтв 22:03:49 826943 1401
17636641286790.jpg 63Кб, 464x451
464x451
Аноним 21/11/25 Птн 01:48:22 826973 1402
>>826943
Это кодинг! Никакой математики.
Аноним 21/11/25 Птн 01:58:40 826975 1403
image.png 367Кб, 704x480
704x480
Ужас, что же это за... состояние шума то было. Ну хорошо что выбрался из него. Кстати реакторы могут помочь из шума выбраться.

>>826943
Ну вид мне низя.
Аноним 21/11/25 Птн 02:10:51 826980 1404
image.png 599Кб, 920x767
920x767
DESU
Аноним 22/11/25 Суб 04:56:39 827105 1405
image.png 350Кб, 973x729
973x729
Давно не было такого образа и состояния. Интересно.

Прям начало, когда я ещё за тенями гнался и в темень смотрел, пытался ухватиться по ночам в темноте за всё что можно и нельзя.

https://www.youtube.com/watch?v=TAy3nlATLkk
Аноним 22/11/25 Суб 05:33:28 827106 1406
Screenshot20251[...].jpg 765Кб, 1080x1080
1080x1080
Аноним 22/11/25 Суб 05:41:44 827109 1407
image.png 355Кб, 540x720
540x720
Аноним 23/11/25 Вск 16:16:14 827248 1408
Screenshot20251[...].jpg 174Кб, 540x1054
540x1054
Аноним 24/11/25 Пнд 01:31:56 827323 1409
>>827248
Никакх сисиков и писиков!
Аноним 24/11/25 Пнд 03:02:15 827331 1410
Аноним 24/11/25 Пнд 19:13:47 827488 1411
videoplayback.mp4 1893Кб, 640x640, 00:00:17
640x640
Аноним 25/11/25 Втр 01:33:58 827534 1412
Аноним 27/11/25 Чтв 07:46:41 827816 1413
дартаньян же.png 565Кб, 1024x1024
1024x1024
Эх. Ладно, не буду грустить жеж. Ну да.
Аноним 01/12/25 Пнд 00:23:19 828539 1414
16098297451450.jpg 188Кб, 650x839
650x839
5571.jpg 44Кб, 225x350
225x350
bethoven.jpg 187Кб, 1313x879
1313x879
Аноним 01/12/25 Пнд 00:24:09 828540 1415
Beethoven.jpg 980Кб, 1200x1443
1200x1443
5571.jpg 44Кб, 225x350
225x350
16098297451450.jpg 188Кб, 650x839
650x839
>1 декабря
Аноним 01/12/25 Пнд 03:39:02 828546 1416
>Перешагивать через себя было такой ярой привычкой, что я разучился ходить.
Аноним 01/12/25 Пнд 04:00:01 828547 1417
так-так-так.png 602Кб, 1024x1024
1024x1024
Иногда так задумаешься.
Аноним 01/12/25 Пнд 22:12:28 828752 1418
17646132098003.webm 8500Кб, 1280x720, 00:00:32
1280x720
Аноним 02/12/25 Втр 02:38:20 828876 1419
.png 172Кб, 1920x1200
1920x1200
image.png 1322Кб, 1410x860
1410x860
А, да

За окном алый туман, прямо как в том сне. Забавно. >>786632
Аноним 03/12/25 Срд 17:00:31 829092 1420
IMG202512032359[...].jpg 110Кб, 576x1280
576x1280
Аноним 04/12/25 Чтв 05:39:39 829241 1421
16377770698030.jpg 467Кб, 1536x2048
1536x2048
Знаешь, всё это так забавно. Слова бесмысленны в данном случае - бесполезны, как ты писал. К чему это я? Очевидно почему. И тут и понятно почему всё так просто, почему лысые мартышки. К чему тут про людей и про не людей, к чему тут про тех, кого нет. Ну что я могу сказать? В том то и дело - а что?

Поэтому займусь ка я тем, что хочу я. Как понимаю мне можно. Да и нужно даже? Я хочу вовлекаться. Я об этом уже писал здесь неоднократно - я хочу ощущать. Как же всё просто в этом плане, я аж завидую самому себе.

Если кто не понял, то как аналогия: любые вещи, что не осознать, не про то, что можно осознать - а то, что можно осознать, оно как раз про то, что можно осознать. Попробуйте так на досуге осознать при чем тут то, что вы не можете осознать, если всё что вы осознаете - про то, что вы осознаете.
Аноним 04/12/25 Чтв 05:46:35 829242 1422
u9d68018275bb0d[...].jpg 47Кб, 704x480
704x480
Ах, что у нас тут? 80 постов до бамплимита? Чем бы заср... тред.
Аноним 04/12/25 Чтв 05:48:49 829243 1423
16452762323520.jpg 105Кб, 844x478
844x478
Только правда я уже привык иначе жить, но ничего. Я готов менять своё мировосприятие. Де-су-же-де-су.
Аноним 06/12/25 Суб 09:16:05 829750 1424
image.png 140Кб, 1037x470
1037x470
Аноним 06/12/25 Суб 19:45:33 829853 1425
Screenshot20251[...].jpg 593Кб, 1080x2340
1080x2340
Аноним 06/12/25 Суб 19:48:26 829855 1426
>>829853
Через впн лучше грузится намного
Аноним 06/12/25 Суб 19:57:44 829857 1427
Аноним 07/12/25 Вск 00:28:10 829924 1428
image.png 20Кб, 901x609
901x609
Правда конечно эта моя хрень требует большей строгости, но... в целом здесь это может и не про строгость как таковую. Хм.

Всё же хочется связать каким-то алгебраическим образом в уравнение группы, пространства и всякое разное. Но к этому можно по разному подходить.


>>829853
Что это? Ну как вижу это про астралы и вот всё такое.

>>829857
Спасибо, конечно. Но не сейчас, думаю, буду в такое погружаться. Вайбик не тот.
Аноним 07/12/25 Вск 01:02:51 829939 1429
image.png 85Кб, 2097x1743
2097x1743
image.png 113Кб, 1945x2063
1945x2063
Ну и рисовашки.
Аноним 07/12/25 Вск 01:03:08 829940 1430
Н - ностальгия.
Аноним 07/12/25 Вск 06:38:31 830024 1431
Аноним 07/12/25 Вск 07:29:07 830032 1432
Даже.png 1006Кб, 650x1280
650x1280
Чот грустно стало от такого.
Аноним 07/12/25 Вск 07:47:06 830035 1433
Кхм, грусть уже прошла, ураааа

>>829853
>>829857
А ты кстати кто
Аноним 08/12/25 Пнд 14:30:20 830262 1434
image.png 233Кб, 1024x576
1024x576
Простые желания у меня, жалко что такого наверное не будет. Ну разве что если в фантазиях и где-то ещё.

А так хотелось бы просто быть няшным шотой для онэ-сан и готовить ей чай и тортики.
Аноним 08/12/25 Пнд 15:44:30 830271 1435
А может?
Аноним 08/12/25 Пнд 17:42:42 830283 1436
ckflfcnysq cnjy
cj;fktybz djgkm
b hfp,bnsq j, ljhjue
d pf,dtybb gjuht,tyysq
b njn rnj dc` gthtgenfk
b d vbu gthtlevfk
b yt dthyenmcz e;t
b kbim yf ptvkt dc` kt;fnm
nfrjq ckfljcnysq djgkm
b jpf,jxtyysq cnjy
b cthlwe ytdf;yj
kbim hfcelre ,j,j
jjjjjj-j
Аноним 09/12/25 Втр 06:51:34 830392 1437
16377770698030.jpg 467Кб, 1536x2048
1536x2048
Странный сон, в алом тумане летал. OBE.

[РЕДАКТИРОВАНО]
Аноним 09/12/25 Втр 20:25:34 830465 1438
Screenshot20251[...].jpg 167Кб, 1080x1270
1080x1270
Аноним 10/12/25 Срд 12:08:58 830529 1439
image.png 5769Кб, 4096x3978
4096x3978
Стоит ли мне записать эти мысли?
К смерти стал относится я проще, если это конец.
Каждая фантазия это на самом деле воспоминание.
Любое в прошлом остаётся там, если не продолжается дальше.
Прошлое именно такое какое оно в прошлом.
Сейчас и тогда это не одно и тоже.
Мысли о прошлом есть сейчас, и они не прошлое.
Из частички воспоминаний можно вывести вполне ожидаемую фантазию.
Из всех собранных фантазий будут вполне ожидаемые или действительные.
Из фантазии, если отдать ей часть или частичку своего разума, можно получить другой разум.
Образ второго разума внутри первого не обязательно будет действителен, это надо сопоставлять;
Тогда можно либо ориентироваться на общность разумов или же только на один свой разум - либо это только про тебя, либо про вас обоих вместе взятых;
И к тому же образ разума можно сделать действительным, отдав частичку своего разума;
Тогда каждая фантазия это не только воспоминание, но и воспоминание пре-разума. А сам пре-разум живой, но как-будто не живой.

Наверняка есть мысли какие-то что забыл записать, но я их запомнил. Вспомню когда придёт время.

Если никого не станет, то некому будет чего-либо делать, будет просто конец.
Если кого-то не станет, то тот не сможет что-либо делать, будет просто конец.
.
.
.
Если никого не станет, то некому будет чего-либо делать, будет просто конец.
Если кого-то не станет, то тот не сможет что-либо делать, будет просто конец.
.
.
.
Аноним 10/12/25 Срд 12:11:05 830530 1440
А так сон был специфичный очень, надо будет его вспомнить.

Давно такого не было, может эффект даже сравним с цикадами.

Кстати забавно, именно 10 числа пошел снег.

Ну и раз такая дата да и ещё и снег, то да. Надо бы.
Аноним 10/12/25 Срд 21:07:26 830575 1441
image.png 227Кб, 546x1052
546x1052
Кто будет кого судить если некому будет кого-либо судить?
Тогда в конце концов это всё бессмысленно;
Правда это неверно, это про другое - это не про нас, не про тебя, не про меня.
Знаешь, если не про тебя и не про кого-либо ещё, а только про никого, ничего... то это не про тебя;
В конце концов это про некого, а значит это не про тебя. При чём ты здесь?
А про тебя только то, что про тебя и то, что в том числе про тебя. Ты и другой, другие или же только ты;
И если это про вас - то это только про вас, не тебя;
Если же про тебя - то это только про тебя, не вас. Особенно когда ты один остался.
Но что значит то, что это про тебя или вас? Это значит, что в вас дело или в тебе. Если только про тебя - это только твоё дело каким всё будет. Если про вас - то ваше дело, совместное, насчет того как всё будет;
Только про тебя значит, что это только тебе выбирать каким будет твой мир. Как его строить, кем быть и чем он будет наполнен. Это только твоё не только дело, но даже и право - не формальное, а по существу, ведь это же про тебя. Только тебе решать. Поэтому если есть возможность и желание, то исполни своё желание - если это про счастье, то будь счастлив. Если про хеппи энд - так пускай он будет, только тебе решать.
Про вас может быть иначе, это либо борьба либо совместная работа либо дополнение кого-либо. Только в одном случае это только про вас - совместная работа;
Если у вас вражда или один дополняет другого, то это про вас, но раздельно - только каждый из вас.
Поэтому в купе с самоопределением разнообразия может получится то, что получится. Никто же не мешает в своём мире сделать несколько чужих, да и разнообразие может быть такое, что всё вернётся в том числе как тогда было. Разум и пре-разум есть, воспоминания тоже - только лишь поделиться бы.
Конец это не про смерть - это переход в пре-разум из разума. Из разума в пре-разум. В воспоминания. Примером такого конца, что не смерть, это амнезия или смена личности по прошествию лет.
Насчёт конца концов, то кому судить будет что, если никого нет? А дело в том, что все слова вполне могут быть и так сказаны, но не лично - а пре-лично. Все слова и так могут быть, просто они могут быть не произнесены. Но они есть. Поэтому когда и если никого не будет, то всё уже и так будет сказано - оттого когда только про тебя, то это ещё и про все воспоминания, которые есть, но которые не активированы.
Оттого могу привести такой вопрос, если то, что в прошлом, есть как и то, что сейчас, то разве они оба просто есть? То, что в прошлом тогда есть настолько же насколько и то, что сейчас. Зато вот сейчас, что сменялось бы на прошлое или будущее, оно уже не такое простое... Оттого и те воспоминания все есть - про что писалось выше - про они "в прошлом" же, а те что "сейчас" - "сейчас", но они все есть.
Оттого знай же, что разница лишь в их наблюдении. Мы или я уже писали и думали и говорили на эту тему с анонимами и деанонимами.
Аноним 10/12/25 Срд 21:09:35 830577 1442
5571.jpg 44Кб, 225x350
225x350
16377770698030.jpg 467Кб, 1536x2048
1536x2048
bethoven.jpg 187Кб, 1313x879
1313x879
16098297451450.jpg 188Кб, 650x839
650x839
Окей, отдать дань классике тоже надо.
Аноним 10/12/25 Срд 21:09:50 830578 1443
16452762323520.jpg 105Кб, 844x478
844x478
d5y28eo-0a3f452[...].png 98Кб, 503x630
503x630
i.jpg 22Кб, 720x405
720x405
images.jpg 10Кб, 225x225
225x225
Аноним 10/12/25 Срд 21:13:33 830580 1444
Аноним 10/12/25 Срд 21:38:57 830582 1445
а, да. Ко мне я думаю доброта даже вернулась, офигеть. Я словно и очистился. Хм.
Аноним 10/12/25 Срд 23:10:30 830595 1446
image.png 1066Кб, 2132x1488
2132x1488
image.png 233Кб, 1024x576
1024x576
Странный сегодня день был. Не знаю чего ожидать не только от будущего, а в целом. И не знаю чего я хочу, только лишь порой понимаю, а потом всё переворачивается с ног на голову. Но такого было моё желание же?

Спасибо Вам, Друзья. Это Я знаю точно, всё же. Это Я люблю. Я люблю Вас.
Аноним 10/12/25 Срд 23:12:15 830596 1447
68e54bfd-ef93-4[...].png 3287Кб, 2394x3000
2394x3000
16624065967070.jpg 1339Кб, 2000x1222
2000x1222
Почему за год происходит так много событий? Но я покорно всё же буду отдавать дань и уважение, буду покорно почитать свою память и то, что было.
Аноним 10/12/25 Срд 23:13:06 830597 1448
image.png 1066Кб, 2132x1488
2132x1488
image.png 233Кб, 1024x576
1024x576
Что же будет завтра? А потом? Посмотрю Я что будет.
Аноним 11/12/25 Чтв 06:19:59 830613 1449
image.png 1Кб, 93x27
93x27
Аноним 11/12/25 Чтв 07:09:02 830617 1450
image.png 1725Кб, 2160x3840
2160x3840
Что случилось, Сеньч?
Рассказывай.
Аноним 11/12/25 Чтв 11:25:32 830637 1451
176544104188954[...].jpg 119Кб, 1024x956
1024x956
>>830617
Да просто поиграл в ту игру про которую тебе рассказывал. Задела почему-то. Появилась новая [личность]. С Цикадами нужны Друзья, а тут... Спасение просто, salvation. Ну и ещё кое-что. Я бы сказал что это активность с высокой ставкой без обратимости решений на очень долгий, если не абсолютный, период где только один итог - плохой. Смерть, конец, апокалипсис, разрушение, destruction которые не смогут быть восстановлены и которые на достаточно долгий период(я имею ввиду дольше чем жизнь просто). Возможность конца это не так уж и плохо, даже наоборот очень хорошо. Но именно что конца. Такого после которого ничего и сказать нельзя будет.
Аноним 11/12/25 Чтв 11:37:20 830643 1452
>>830617
Можно сказать даже вот как: у Рики Нипы есть желание иметь друзей. Но это желание не на долгий период. Потому что желание иметь друзей не подразумевает конца этому. Что Рика Нипа будет делать не просто когда потеряет друзей, а когда этому просто придёт конец? Закончится.
Но дело в том что Рике Нипе и не надо об этом думать; изначально Рика Нипа и не думала о том, что это закончится когда-то.
А вот эта [личность] уже занимается такими вопросами при этом сохраняя некие ценности Рики Нипы, т.е в данном случае не стоит вариант с тем чтобы отдаться, сдаться, обезуметь, метаморфировать и так далее.
Аноним 11/12/25 Чтв 11:42:34 830647 1453
image.png 3064Кб, 2474x2679
2474x2679
>>830637
>Тебе рассказывал
Какую из? У тебя много игр. Тарков? Может, я овертинкинг и ты про цитадель, что картинки даже постишь?
Допрошёл её на какую-то философскую концовку?
Больше конкретики, дорогой мой.
В прострастных мыслеописаниях кроется большая доля пессимистичных настроений из-за смакования депрессивных эпитетов.
>>830643
Насчёт чего ты подумал, что оно закончится?
Аноним 11/12/25 Чтв 12:03:10 830654 1454
>>830647
Даааа, цитадель которая. Бейонд цитадель! Да, картинки из неё.

Там одна только концовка, но просто атмосфера такая, да и лор... на мысли такие навели. Я тебе тогда в другом треде отвечу, это если знаешь игру ультракилл, то вот бейонд цитадель смогла сделать то, что почему-то ультракаллыч не раскрыл.

Если закончится, хм. Но в любом случае чем больше период тем больше надо думать над всеми "если".
Аноним 11/12/25 Чтв 12:16:27 830658 1455
image.png 251Кб, 1024x768
1024x768
>>830654
>В другом треде
Кк.

Я не могу тебя истинно понять, т.к. не проходил очевидно ни одно, ни другое.
Можешь описать?

Желаю быть ненужными этим мыслям за ненадобностью в применении.
Аноним 12/12/25 Птн 15:21:14 830763 1456
17655350277810.jpg 498Кб, 933x1200
933x1200
Аноним 12/12/25 Птн 21:54:29 830792 1457
Отдыхать. Ещё Поработаю, ещё много чо будет. А пока отдых.

>>830763
Кто это(на пике)?
Аноним 13/12/25 Суб 01:48:10 830807 1458
image.png 1874Кб, 1300x1017
1300x1017
image.png 740Кб, 1088x1080
1088x1080
image.png 3062Кб, 1707x960
1707x960
image.png 630Кб, 1297x732
1297x732
Двач, я знаю что ты можешь мне что-то сказать. Говори же.

Оцени мои жизненные приоритеты(порядка нет):
То, какое миропонимание.
То, как живу в мире(и соответственно зачем=то, какое мировоззрение).
То, какой мир созерцаю.

Дополнительно - то, какое мировосприятие. Дополнительное+ - то, какое может быть(разнообразие, свобода и всё такое).

Подробнее теперь, да?
Первый пункт хочется выполнить через развитие своей вычислительной способности. У меня как минимум есть три строго формализованных систем с помощью которых я могу попытаться вывести некую модель мира к которой обращался бы, коли были вопросы. Но они грамосткие. Проблема в том, что кодить всё это я не хочу и так подумалось, а может я смогу сам всё считать? Поэтому хочу научиться быстро считать и иметь хорошую память и сооброжалку. Типо как те аутисты что могут вычислить корень из огромно числа, только тут не числа, а абстрактные и порой высоко абстрактные математические конструкции+восприятие их как модели некой реальности, аля метафизика/философия/ну вы поняли.

Второй пункт более сложный для рассказа так как он не совсем определен. Но мне бы хотелось просто научиться не только размышлять(про что пункт первый), но и иметь последствия от "размышлений". Хочется влиять на свою жизнь, на свой мир, на ту локальность что меня окружает. И не понять, а именно что быть тем, кто влияет, кто живёт.
Планирую это делать иначе, сам пока чётко не совсем знаю как, но скажем все математические модели как некие языковые текста достаточно пусты - а вот если наделить их каким-то мясом, чем-то хотя-бы действительным(?), каким-то более конкретным(?), то может было бы и хорошо. Но пока обращаюсь к сорт оф "ритуальному", а точнее разделенному на куски с началом и концом, с какой-то проблемтикой.

Третий пункт достаточно простой: заниматься творчеством и поглащать его. Помню в 9 классе и 8 мог смотреть на стены и на природу за окном и поражаться тем насколько же они красивы. Сейчас это возвращается, но также это можно расширить - тем же творчеством, любыми активностями творческими - в том числе поглощением самого этого творчества - любыми жизненными активностями вовлечения, созерцания(?) я бы даже может написал бы(в итоге написал).

Четвертый дополнительный пункт это сложно рассказать. Но определенный он зато. В общем за эту осень испытал то, что можно назвать расщеплением психики: думаешь одно, делаешь другое а ощущаешь совершенно другое. Нет, в дурку не увезли, но было тяжело. Скорбь по непонятной причине, дымка после этого, деградация интеллектуальных способностей и самой личности, расщепление самой личности на какие-то желание что как щука и рак и третий_кто-то тянуться все вместе в разные стороны. Но это меня навело и просвятило на то, что мир воспринимать можно очень по разному. Очень. Не хотелось бы это забыть или игнорировать, но это надо бы уметь контроллировать.

Дополнительный+ пункт пояснять не буду, скажу лишь то, что это скорее как некий порыв.

Вы могли заметить что во втором пункте есть спойлер, что я не раскрыл когда о нём говорил(о пункте т.е) - так и надо, я это ещё не совсем знаю как это будет, это что-то новое для меня, но обще будет похоже на то чтобы разбираться в мировоззрении моих личностей, налаживать там порядок. Новое сжимающее моё сердце чувство в этой личности, теме.
Аноним 13/12/25 Суб 06:24:06 830811 1459
>>830792
>Кто это(на пике)?
Твои друзья --- девотьки-мейдочки-магички
Аноним 14/12/25 Вск 00:13:35 830927 1460
Спасибо, друзья.

За подарки тоже спасибо.
Ария !AriaWXmRtI 14/12/25 Вск 01:04:09 830930 1461
Ария25.png 222Кб, 326x572
326x572
>>830763
Слева Мадока, справа - Кёко
Аноним 15/12/25 Пнд 00:16:51 831033 1462
17657409728650.jpg 254Кб, 1024x956
1024x956
nova-filepond-6[...].jpg 71Кб, 1200x900
1200x900
Память? Можно начать с памяти.

Бодрствование? Можно и бодроствовать.

Оптимизация алгоритмом? Можно.

Память, предполагаю, нужна для понимания и осознания. Чем больше памяти, тем более она свободна и открыта тем лучше понимаешь.

Бодрствование, как предполагаю, нужно для понимания самодостаточного(prime, простые, самостоятельные, какие есть, они это они, это это это, как таковые) - для восприятия. Чем более активен ты тем больше сможешь воспринять вещей именно такими, какие они есть. Кто-то называет это ещё синтезом. В том числе это про количество нового опыта.

Оптимизация алгоритмом - аналитика. Отточенная или нет повторяющаяся активность которая не предполагает восприятия вещей такими, какие они есть - только такими, которыми задуманы изначально этой активностью.

...

Моя задача, пока мне нечем заняться, это занять себя чем то. Начну с того, что описал.
1) Возможность менять качество памяти.
2) Возможность менять качество бодроствования.
3) Возможность исполнять активность, активности.

/////

Память? Бодрость?

Информация, что классифицируется:
Как классифицируется.
На какие классы.

Размеры классифицируемой информации, это позже.

1) Возможность влиять на классификацию это про усилия.
Больше или меньше или также столько же усилий.
Усилия определяются tolerance. Не pain endurance, а Tolerance, expectations. Достаточно стью и недостаточностью. Можно сказать, что самоуважением - но это работает и обратно насамонеуважение.
Чем больше ты терпила, тем больше усилий;
Чем более недостаточно тебе благ, тем больше усилий;
Чем больше ты горд, тем больше усилий;
Чем меньше тебе нужно, тем меньше усилий;
Чем меньше тебя волнует, тем меньше усилий;
Чем меньше у тебя мечт, тем меньше усилий;
.
.
.

Возможность влиять на классы это про pain Induriance, но боль здесь это последствие перенапряжения некой чувствительности. Соответственно готов ли ты к боли, к напряжению, к выходу из зоны комфорта.
Но как есть боль, есть и наоборот недостаточная стимуляция рецепторов.
Поэтому стимуляция рецепторов это про стабильность. Насколько готов ты к тому, чтобы потерять стабильность. Насколько ты готов к новому. К потере привычного. К очищению даже, purification.
.
.
.

Возможность исполнять активность это что-то конкретное из комплекса этих двух явлений, это комплекс - система - из усилия(и достаточности) и боли(purification). Единственное новое здесь лишь конкретика. Каждая пара(конкретрая система) это отдельное направление.
На возможность направления можно влиять тем, что уже було озвучено. Но можно влиять на это некими жизненными приоритетами, сортировкой - упорядочиванием пар. Но сама сортировка это тоже самое что и классифицирование классами. Рекурсия с новыми или нет итерациями.
.
.
.

Дальше это про то, какое мировоззрение.
Аноним 17/12/25 Срд 18:45:00 831426 1463
Happy Birthday
Аноним 18/12/25 Чтв 00:44:35 831502 1464
Аноним 19/12/25 Птн 17:54:30 831744 1465
Screenshot20251[...].jpg 425Кб, 1080x1452
1080x1452
Аноним 19/12/25 Птн 20:48:35 831768 1466
Аноним 20/12/25 Суб 15:50:00 831841 1467
6d09ca9ab312eb0[...].jpg 25Кб, 400x337
400x337
Надеюсь хотя-бы на месяц смогу отдохнуть.
Аноним 21/12/25 Вск 06:48:01 831937 1468
5nukb54j75bd1 ([...].png 2052Кб, 3500x4000
3500x4000
Да, я расстроен и опечален. Я пришёл к такому выводу, что я не достоин просто каких-то вещей. А значит, похоже, и смысла желать их нет.
Ну, или просто опять аффект какой-то.
Аноним 21/12/25 Вск 07:11:48 831938 1469
image.png 282Кб, 480x360
480x360
>не достоин
Не то слово. Просто хочется чего-то, у кого-то это есть. А в итоге оказывается, что условия у меня не сопутствуют тому, чему хочется. Что не делай, всё не то.

Это ощущение, кстати, похоже на зависть. Но я не завидую, я просто не в себе.
Аноним 21/12/25 Вск 07:54:21 831947 1470
AoCFYukari.webp 114Кб, 800x454
800x454
Я ощутил очищение. Это приятно, когда очищаешься. Всё. Правда потом мне страшно стало от темноты, поэтому я пишу этот пост. Но очищение это приятно. Всё. Всё. От всего. Всё. Абсолютно всё.
Аноним 22/12/25 Пнд 00:35:23 832078 1471
Я люблю боль!.jpg 207Кб, 1314x1429
1314x1429
Ах, прошло это состояние. Теперь у меня нет мыслей про уход.
Аноним 22/12/25 Пнд 00:39:13 832079 1472
image.png 1613Кб, 1308x785
1308x785
Аноним 22/12/25 Пнд 02:21:56 832092 1473
17660218068300.webm 8476Кб, 1280x720, 00:09:38
1280x720
Ну можно попробовать:
0)Вернуть радость к жизни.
1)Обустроить свой уголок отдыха.
2)Устроиться на работку.
Аноним 22/12/25 Пнд 12:26:47 832135 1474
>>832092
Второе, конечно. А то уже тухнешь от родительского изимода
Аноним 22/12/25 Пнд 12:31:05 832137 1475
17663518025400.gif 6679Кб, 986x1200
986x1200
>>832135
Эээ, ну был бы это изимод для меня я бы не жаловался. А то иначе зачем мне устраиваться на работу если это изимод.
Аноним 22/12/25 Пнд 12:39:05 832140 1476
>>832137
Работа тебе нужна, чтобы ты от легкости жизни не убил себя
Аноним 22/12/25 Пнд 12:42:50 832141 1477
>>832140
>убил себя от легкости жизни
???
Аноним 22/12/25 Пнд 12:45:03 832143 1478
>>832140
Так-то мне друзья нужны чтобы я не убил себя, не будь у меня друзей я бы давно бы сошел бы с ума
Аноним 22/12/25 Пнд 12:46:20 832145 1479
>>832141
Крышу сносит от золотой ложки в жопе
Аноним 22/12/25 Пнд 12:47:48 832148 1480
17659798292970.jpg 252Кб, 887x1056
887x1056
>>832145
Да нахуй мне эта ложка нужна если я даже подрочить не могу нормально когда хочу или поплакаться, когда я не могу побыть в тишине и мире чтобы не слышать бесконечные крики и прочую муть = не только у меня золотая ложка в жопе, у других тоже и другие, являясь сорт оф паханами, меня притесняют и отбирают мою ложку в жопе.
Аноним 22/12/25 Пнд 12:51:01 832149 1481
>>832145
Ну типо все эти вещи это просто коупинг. Вот раньше была математика, и хоть из-за неё я пропустил свою молодсть, скажем так, и ещё кое-чего - но это было удобно и приятно. Мне ничего не надо было кроме математики, достаточно было лишь твоего разума и всё - развлекайся сколько хочешь, хоть даже когда засыпаешь или буквально спишь. А терь понятно то чо это так приятно окунуться в эти размышления и мысли - потому что не обращаешь внимание на что-либо другое. Тебе ни фап ни любовь ни виды из окна да вообще ничего не нужно то. Но только я вспомнил зачем вообще математикой занялся и мне неприятно видеть что я сорт оф парализован.
Аноним 22/12/25 Пнд 12:51:32 832150 1482
>>832148
> бесконечные крики и прочую муть
Такая же проблема, лол
Аноним 22/12/25 Пнд 12:54:37 832151 1483
>>832150
Ну и к чему тогда про золотую ложку? Ну допустим ты будешь жрать не гречку, а лобстеры под эти крики и отсутствие приватности. Ну допустим ты будешь курить не сигареты паленные, а сигары элитные - но как это поменяет окружение в котором ты это всё делаешь? Понятное дело что все эти надстройки над жизнью помогают, но очень редко у кого это является смыслом жизни после которого можно забить на всё остальное. Или что, ты у нас один из таких и для тебя возможность жрать дорогую еду превыше всего остального? Ну тогда понимаемо, чо могу сказать.
Аноним 22/12/25 Пнд 12:57:28 832152 1484
17659798292970.jpg 252Кб, 887x1056
887x1056
Просто мне нахуй всё это не надо когда я даже банально не могу нормально пописять сходить. Ну нахуя мне всё это говно если я даже не властен над своим пенисом и мочеиспусканием? При том, что эти проблемы исходят буквально от шумов ну и т.д.
Аноним 22/12/25 Пнд 12:57:39 832153 1485
>>832149
>Но только я вспомнил зачем вообще математикой занялся и мне неприятно видеть что я сорт оф парализован.
Так что за причина начала занятий?
Аноним 22/12/25 Пнд 13:00:01 832154 1486
>>832151
>Ну и к чему тогда про золотую ложку?
Просто допущение
Аноним 22/12/25 Пнд 13:03:05 832155 1487
d8611b31ee4254f[...].gif 6679Кб, 986x1200
986x1200
>>832153
Я когда-то заболел и у меня был кашель - это был корановирус тогда - в тот период я долго не ходил в школу и мог позволить себе... ну. Нормально заниматься вещами. Я любил рассматривать стены ибо они такие красивые, я любил гулять и наслаждаться музыкой - абсолютно любой - я просто умел находить во всём красоту. Я ходил до магазина и покупал сушек и возвращался в тихий дом, после чего начинал смотреть аниме и кушать баранки с чаем, или допустим вайпать двач куклами.
Ну и я так понял я могу всем этим заниматься - просто этим сложно заниматься когда у тебя одновременно с этим что-то противоречущее происходит. Как ты можешь, к примеру, фапать на фемдом не слушаясь мать? А как ты можешь мило общаться с друзьями когда ты нахамил маме и показал что ты злой оказывается? Какой ты добрый если ты злой и гневный. А как ты можешь погружаться в любые произведения, особенно сентиментальные доводящие до слез, когда одновременно с этим у тебя за стеной происходит блевотные дебаты бабки сраки и йоба мамы по поводу бульйона? Ну это же просто абсурдно, стыдно и кринжово строить из себя фиг знает кого когда всё говорит и оборачивается обратно.

>>832154
Ты хто?
Аноним 22/12/25 Пнд 13:08:14 832156 1488
>>832153
>>832155
А, так вот я тогда начал заниматься метафизикой чтобы я смог из реальности уйти в другую реальность которая была бы похожа на тот мой период, но может с дополнениями по типо умения летать. Там понадобилась математика. Ну вот я и понял, что я по сути могу и так и сяк этим заниматься, в игры играть и на дваче сидеть - но просто всё настроение рушится от противоречивости.
Аноним 22/12/25 Пнд 13:15:46 832157 1489
>>832155
> Ты хто?
Студент, курсач пишу, к сожалению. Лучше бы на дно-работе сидел, лол (или в армии). Или в тюрьме, лол, (родственники -- злюки, зарезал бы :) )
> Ну это же просто абсурдно, стыдно и кринжово строить из себя фиг знает кого когда всё говорит и оборачивается обратно.
Я обычно абстрагируюсь от окр. мира, можно срезать через рабочую память лишние шумы и эстетику сохранять
Аноним 22/12/25 Пнд 13:17:11 832158 1490
>>832157
Я тебя знаю?

>Я обычно абстрагируюсь от окр. мира, можно срезать через рабочую память лишние шумы и эстетику сохранять
Ну видишь, а я не могу так. Не хочу из принципов даже?
Аноним 22/12/25 Пнд 13:22:44 832160 1491
>>832158
>Я тебя знаю?
ХЗ не знаю. Я тут пролетом
> Не хочу из принципов даже?
Будешь выселяться? Или просто ждать смерти бабки, как минимум, для понижения стресса?)
22/12/25 Пнд 13:51:17 832163 1492
>>832143
Не похоже, что у тебя есть друзья, только незнакомцы
Аноним 22/12/25 Пнд 13:51:52 832165 1493
>>832163
нах ты мой тред читаешь.
22/12/25 Пнд 14:16:51 832170 1494
>>832165
Какой же ты гнойный пидор, пиздец. У тебя же реально тред, как одиночная камера в психушке. Ладно, больше не буду постить. Будешь сам собой разговаривать или в /rf с "друзьями"
22/12/25 Пнд 14:22:40 832172 1495
>>832170
Или в субботнем треде про "друзей", лол
Аноним 22/12/25 Пнд 14:28:24 832174 1496
22/12/25 Пнд 14:34:49 832176 1497
>>832174
Ты лживый гной, поэтому у тебя не будет нихуя, что ты хочешь
Аноним 23/12/25 Втр 03:21:39 832282 1498
image.png 128Кб, 589x582
589x582
>Тебя тобой делает твоё осознание того что ты это ты. Свинка условно осознавать того что она свинка не может, но тем не менее свинка даже если переместить её в человеческое тело. Что-то типа этого. Ты есть ты даже без своей психики.
Вначале при()уел, а потом вспомнил про деанонимов и анонимов и больше вещей встало на свои места. Но такое думать лучше не надо пока что. Не время.
https://www.youtube.com/watch?v=1WgYCcSbsY4
Аноним 24/12/25 Срд 04:02:24 832413 1499
Нипа.webp 21Кб, 172x374
172x374
howdrawrumiatou[...].jpg 253Кб, 1280x1131
1280x1131
Безымянный.png 208Кб, 568x1080
568x1080
Жить надо ради друзей!
Надо жить ради друзей, десу же, десу!
А в конце думать о конце всему этому - конец.
Аноним 24/12/25 Срд 04:04:25 832414 1500
16098297451450.jpg 188Кб, 650x839
650x839
Окей, этот дневник закончился на хорошей ноте всё же. Десу же, десу. Тогда торжественно объявляю что я преодолел отметку в 1500 постов! И начинаю ещё один дневник же!
И да, не забываем про что-то между в том посте сверху - как абстракция!
https://www.youtube.com/watch?v=GXb9cjIqCdU
Аноним 24/12/25 Срд 10:41:16 832435 1501
>>832414
Ебать как же ты убого выглядишь с этим показным счастьем, любой внимательный рандом видит, что ты больной-хромой, с суицидальными наклонностями и сдохнешь рано. Для любого внимательного рандома ты просто цирковая обезьяна с коупящим "счастьем"
Аноним 24/12/25 Срд 10:42:54 832436 1502
17660218068300.webm 8476Кб, 1280x720, 00:09:38
1280x720
>>832435
nooooooooooooooooooooooooooooooooo
Аноним 24/12/25 Срд 11:04:32 832438 1503
Аноним 25/12/25 Чтв 07:49:13 832642 1504
image.png 95Кб, 720x480
720x480
Аноним 09/01/26 Птн 07:19:37 836459 1505
Аноним 09/01/26 Птн 07:23:45 836460 1506
Ну а все остальное....
там Воздушная суита и Шопен.
за это я в бане, любимый....
Если хочешь, тут могу повторить.
Огни от зависти снесли мои посты.
Аноним 09/01/26 Птн 07:27:14 836462 1507
Bvm9wSKid08.jpg 71Кб, 470x604
470x604
Не, в принципе, это будет выглядеть чуть менее иначе.
Но чего испугались?
Настройки X
Ответить в тред X
15000
Добавить файл/ctrl-v
Стикеры X
Избранное / Топ тредов