Главная Юзердоски Каталог Трекер NSFW Настройки

Паранормальные явления

Ответить в тред Ответить в тред
Check this out!
<<
Назад | Вниз | Каталог | Обновить | Автообновление | 52 14 16
Аппликации математики Аноним 12/03/25 Срд 01:29:35 852465 1
image.png 10Кб, 409x259
409x259
image.png 18Кб, 344x247
344x247
В общем мне нескем обсудить данную тематику, поэтому пишу сюда. Надеюсь на разговорчики!

В данном треде буду разрабатывать и применять свою математическую модель всяких теорий. Вообще говоря, её можно (и стоит) назвать математической моделью обобщения магического мышления.

Поэтому в данном треде вы увидите:
1)Недо и пере математику
2)Шизо и не шизо теоретику
3)Описание бытовых задач и успехи по применениям моей это хрени для их решения
4)А также описания и применение этой хрени для всяких шизо задач по полётам, телепортациям, передачи мыслей как в прошлое или будущее, а ещё смена тел между всякими версиями тебя между различными реальности и т.д. и т.п. Если тред будет удачным, то запощу вдохновляшку, что содержит все эти вещи и на которой эти наработки снизу я придумал.

САМ АППАРАТ:

Есть так называемая база(или можно говорить, что аргументация). База - это обобщение доказательства, но для нас важно тут лишь то, что база - нечто, что точно имеет какие-то последствия при применении к чему-то.

Применение - обобщение доказывания, но для нас тут важно лишь то, что применение - это переход из базы в сущность из итогового пространства.

Итоговое пространство - пространство, точками которого являются всякие характеристики измеримых явлений реальности. Типо если смогли взять линейку и померить что-то, то размер, что показывает линейка, будет в итоговом пространстве.

Теперь про первое и второе обобщение:

Первое обобщение - это когда мы берём некую кривую в итоговом пространстве(где кривая это набор точек параметризованных временем) и спрашиваем у каждой точки кривой мнение о том, какой должна быть кривая на которой они находятся.

Когда мы спрашиваем у точки её мнение, то мы обращаемся к какой-то дополнительной хрени на этой точке. Т.е мы каждой точке нашего итогового пространства можем сопоставить ещё дополнительную сущность. Вот эту сущность будем называть малым домейном. Всю совокупность этих малых будем называть просто домейном.

При этом сопоставляя каждой точке малый домейн, так-то, мы можем говорить не о постоянных каких-либо значениях из этих малых домейнов. Тогда эти значения можно разделить, во первых, на те, которые влияют на мнение о том, какой должна быть кривая, и на те, которые не влияют или влияют косвенно. Те значения что влияют можно разделить будет ещё на базу и и фундамент личности. Да, база у нас тут находится в малых домейнах. Фундамент личности же будет определять то, каким будет у нас мнение о кривой, а если говорить точнее, то будет либо точно либо не точно определять желаемый результат.
Тогда в таком случае первое обобщение подразумевает какие-то правила работы с каждой базой точки и её желаемого результата. И обобщение это по тому, что подразумевать оно будет также работу со временем. Для примера может ли будущее влиять на прошлое или сейчас, или не может. Или же могут ли любые участки времени влиять на любые другие участки времени. Поэтому это не сколько первое обобщение, сколько обобщение по времени. Правила по которым у каждой точки на кривой(которая параметризованна временем) спрашивается её мнение и её аргументация по этому мнению, где после определяется результат, который бы являлся какой-либо сущностью из итогового пространства.

Второе обобщение - это когда мы можем не только у одной кривой спросить мнение каждой её точки с их аргументацией о ней же самой, но впринципе когда мы можем у любых кривых в итоговом пространстве спросить мнения каждой их точки и их аргументации по тому, какой должна быть какая-то кривая(включая мнение каждой точки и их аргументации самой же этой кривой). Так что второе обобщение это правила взаимодействия какого-то количества кривых.

И понятное дело, что эти правила у нас ещё и взаимодействуют между собой. Т.е первое и второе правила влияют на итоговый результат.

Собственно, применение правил, понятное дело, влечёт за собой применение и аргументации. Ну и эту аргументацию и фундамент личности, так-то, можно как-угодно распределять по точкам итогового пространства, ага.

Но это не конец, ведь есть ещё и третье обобщение:
Если бы мы начали применять первое правило раз за разом, то мы бы получили бы последовательность каких-то кривых. Или же, иными словами, мы бы могли говорить о какой-то функции, которая бы каким-то значениям сопоставляла бы кривые из итогового пространства. И тогда, если бы переменной в данной функции была бы действительной прямой, то по сути - мы бы получили бы ещё одно время. Будем называть это универсальным временем.
Универсальное время - это переменная некой функции, которая бы выдавала бы нам кривые в итоговом пространстве. Или же, иными словами, про этом можно было бы говорить как про изменение какой-то кривой.
В таком случае можно говорить не просто о кривых, но о двухмерных фигурах. Где эти двухмерные фигуры значили бы всевозможные кривые относительно применения аргументации. Но так-то, для этого надо было бы вести ещё и расслоение на все эти кривые, поэтому можно говорить по крайней мере о всех потенциально возможных кривых.

При этом это не всё, ведь мы можем на эту хрень применять как первое обобщение так и второе. В таком случае мы у всех точек n мерной фигуры спрашиваем их мнение о том, какой должна быть их фигура на которой они находятся. В таком случае мы бы говорили бы о правилах спрашивания мнений и аргументов к этому мнению у каждой точки n мерной фигуры и говорили бы о том чтобы вычислять какой-то результат ввиде какой-либо m мерной фигуры.
Применение же второго обобщения думаю объяснять не надо. Просто спрашиваем мнение и аргументы каждой точки другой фигуры или фигур о какой-то фигуре, где после этого как-то вычисляем ещё результат ввиде какой-то фигуры.

Впринципе это пока что то, на чём сосредоточен, но просто мы действительно можем говорить ещё о том, чтобы вводить подбазу для базы. Где это подбаза применялась бы к базе так, словно база это итоговое пространство для подбазы. И в таком случае также может говорить и про итоговое пространство, вводя надитоговые пространства, где само итоговое пространство было бы базой для надитоговым пространством.

Насчет правил, то я пока что определил два случая как можно было бы оформить их:
Первое это когда мы выбираем какое-то определенное мнение такой точки, у которой самая сильная аргументация. Другими словами вычисления происходят с аргументацией только.
Второе это когда мы производим действия над самими получаемыми мнениями как-либо.

Пример второго, так-то, это когда вы в каждый момент времени пытаетесь прийти к какой-то точке. Тогда можно было бы говорить о некой сумме всех ваших усилий т.е, а не выбора самого сильного усилия, мнение которого только и будет учитываться.

Окей, дальше легкие примерчики для понимания.

Допустим, что база это желание чего-то, которое является действительной прямой.
Итоговое пространство в свою очередь это отрезок из действительной прямой, точками которого являлись бы процентами выполнения задания по поедании шаурмы, где максимум и минимум значили бы 100 процентное выполнение или не выполнение этого задания.
Аноним 12/03/25 Срд 01:30:38 852466 2
image.png 52Кб, 800x800
800x800
image.png 7Кб, 626x417
626x417
Тогда, определяя первое правило, скажем, что прошлое может влиять на всё остальное, но в обратную сторону так не работает. Дальше же, беря параметризированную кривую, то мы бы её делили на две части - прошлую и настоящую по будущею. Эти бы две части какой-либо буквальной суммой применения базы на мнение определяли то, что называли бы средним результатом на участке. Где дальше мы средний результат прошлого прибавляли бы к другому среднему результату другого участка.
Применение же базы на мнение это просто умножение значения базы в данной точке на желаемый результат точки. Средний результат, как мы сказали, вычислялся бы просто суммой всех этих вот помноженных желанных результатов на базу.

Тогда остается как-либо распределить фундамент личности(или же сами желанные результаты) и базу на итоговом пространстве. Скажем, что везде желаемый результат это максимум нашего отрезка, т.е выполнение задания. В таком случае относительно распределения наш результат применения 1 правила выглядел бы как интеграл от x по t по dt функции (100 умноженная на f(t)). Где в таком случае мы бы говорили бы о двух интегралов, т.е интеграле с f(t) для прошлого и интеграла от g(t) для другого участка к которому прибавляется прошлый интеграл с f(t). Ну и сам второй интеграл был бы от t по n по dt.

Вот типо того как для примера первого правила.

Второе правило было бы тогда просто применение первого правила на каждую кривую после чего мы бы результаты складывали. Прошлое к прошлому, остальное к остальному. Вот как тоже пример такой второго правила.

Ну а третье правило, то это была бы рекурсия первого правила. Вот все эти хрени, которые мы получили.

И тогда мы бы могли бы там в той же манере задать бы средний результат, но уже не по одномерной области, а ТИПО по двухмерной. Вообще можно было бы просто сложить остальной результат и прошлый на какой-то кривой и вот под этим подразумевать этакие средние результаты на типо 2д фигуре.

Окей, а теперь моя интерпретация того, чего я написал, а вместе с тем и теоретизирование.

МОЯ ИНТЕРПРИТАЦИЯ:

В общем говорить про кривые в итоговом пространстве можно как про представления о жизни, а базу/аргументацию можно представить себе как некую...ну...аргументацию к этому представлению о жизни.

При этом н мерные фигуры можно подразумевать уже как представления о мире же, какие-то короче говоря теории о мире.

Первое правило можно было бы представить вполне себе буквальным способом - просто правила некой теории о мире о том, как может измениться представление о жизни же. Тогда универсальное время тут - время по которому меняется представление о жизни же.

Второе правило тоже можно буквально себе представить - правила мира по которым разные позиции о какой-то жизни взаимодействуют.

Ну а третье обобщение на второе правило это тогда правила о том, как взаимодействуют теории о мире же.

Малые домейны и домейн можно представить себе просто как "первое лицо в точке", мол, что на точке видно вокруг. Аля можно говорить о итоговом пространстве как о каком-то трехмерном пространстве, а малые домейны могут быть как какие-то трехмерные фигуры, допустим - в таком ключе это напоминало бы всякие точки наблюдения трехмерного пространства.

Тогда к примерам:
Допустим есть представление о жизни, в котором мы самые крутые. Но при этом дальше идя по времени мы начинаем думать, что мы не такие уж и крутые. Вот тут у нас проявляется взаимодействие прошлого и настоящего, а именно: если бы мы не считали бы себя самым крутом в прошлом, то сейчас считали бы себя более неудачником. Но при этом, так как мы считали себя самым крутым изначально, то сейчас, считая себя больше неудачником, мы считаем себя в прошлом не таким уж и лузером, а просто нормальным человеком. Ведь если бы в прошлом мы считали себя нормальным, то сейчас считали бы себя лузером и в прошлом считали бы себя лузером тоже.

Ну и во, со временем не только идём по надуманном представлении о жизни, но и ещё у нас меняется представление о жизни.

При этом есть ещё и мнение других людей о нашей жизни, что тоже может повлиять на то, как мы в итоге будем считать нашу жизнь.

И при этом, имея изменение нашего представления о жизни, мы бы могли говорить о всевозможных наших представлениях о жизни, т.е о некой теории нашего самочувствия другими словами. Где при этом мы бы могли говорить также и о изменении нашей теории о нашем самочувствии. И также мы бы могли бы говорить и о том, что некая другая теория о нашем самочувствии могла как-либо дополнять/изменять или подтверждать нашу теорию.

Дальше опишу свои рассуждения и предложения о том, как можно было бы буквально летать.

Ну и дополнительные мысли наперёд сразу(понимать их не надо, но можно попробовать) - мы можем менять, по сути, лишь то, какие аргументы мы применяем, и то, какой результат хотим.
12/03/25 Срд 19:30:03 852509 3
Похоже на шизофазию ))) Вот что бывает, когда гуманитария заставляют учить интегральное исчисление, у них мозг не выдерживает.
Аноним 12/03/25 Срд 20:54:14 852519 4
>>852509
Ну что же ты так сразу?
Аноним 13/03/25 Чтв 14:07:58 852568 5
>>852519
Почему сразу? Я подумал, как мягче написать.
>мнение точки о кривой
Натянул психологию на математику.
Мне трудно представить практический смысл.
Аноним 13/03/25 Чтв 20:42:40 852597 6
>>852568
Ну... Ммм... Это троллинг? Я имею ввиду, если фигово написал, то у каждой точки на кривой в соответствии есть другая кривая. Что тут непонятного? И так-то, то у каждой точки в итоговом пространстве в соответствии есть какая-то кривая и даже больше - какие-то фигуры, где сами эти фигуры вполне себе могут быть элементами малых домейнов точек, откуда(из домейнов) в свою очередь берётся и база точки. Или же, иными словами, малый домейн точки в том числе может быть объединением каких-то либо характеристик(объединением всех образов по пересечению на прообразе ввиде этой точки любых рассматриваемых отображений из итогового пространства) этой точки, на которой есть какая-то доп структура.

В таком плане ты это(малые домейны) можешь сравнить с предпучками, если хочется.


>Мне трудно представить практический смысл
Так я и не говорю про то, что он есть. Я говорю про то, что хочу найти его, нет?
Аноним 13/03/25 Чтв 20:56:41 852600 7
>>852568
>>852597
>объединением всех образов по пересечению на прообразе ввиде этой точки
>всех образов
Относительно сужения на это самую точку еще.
Аноним 15/03/25 Суб 02:09:21 852713 8
Аноним 15/03/25 Суб 22:50:37 852795 9
>>852465 (OP)

Ты сейчас изобрел CUDA и потоковые вычисления.
Аноним 16/03/25 Вск 02:08:29 852807 10
Аноним 23/03/25 Вск 19:26:49 853397 11
Аноним 23/03/25 Вск 21:23:18 853411 12
23/03/25 Вск 21:40:00 853414 13
>>853411
Не буду, мне лень. Я же не бабка базарная.
Аноним 23/03/25 Вск 22:00:30 853420 14
>>853414
Ты шлюха подзаборная, а не бабка базарная.
Аноним 31/03/25 Пнд 09:29:25 853954 15
папуас...jpg 162Кб, 768x658
768x658
>>853420
Ты так не выражайся, а? Ирл мне иебя за такую речь прнишлось бы бить чем попало до полусмерти.
31/03/25 Пнд 09:30:15 853955 16
Аноним 01/04/25 Втр 08:38:46 854006 17
hqdefault.jpg 32Кб, 480x360
480x360
>>853954
>бить чем попало до полусмерти
>чем попало
Аноним 01/04/25 Втр 11:13:53 854009 18
IMG202412051717[...].jpg 163Кб, 737x1024
737x1024
Аноним 24/06/25 Втр 22:44:02 860573 19
Хуя тред не умер.
Аноним 24/06/25 Втр 23:28:33 860575 20
17478998452490.gif 6756Кб, 512x512
512x512
О, мой любимый шизмат или изотерическая математика.
А теперь все тоже самое, но с формулами. Воспользоваться можешь онлайн-конвертерами из Latex в картинки.
Аноним 25/06/25 Срд 00:12:16 860578 21
1615343250846.mp4 14561Кб, 1280x720, 00:02:02
1280x720
>>852465 (OP)
>свою математическую модель
Аноним 25/06/25 Срд 15:35:41 860612 22
image.png 17Кб, 664x619
664x619
image.png 22Кб, 1275x414
1275x414
>>860575
>А теперь все тоже самое, но с формулами
Мляяяяяяяяяяяяяяяя, но кстати.

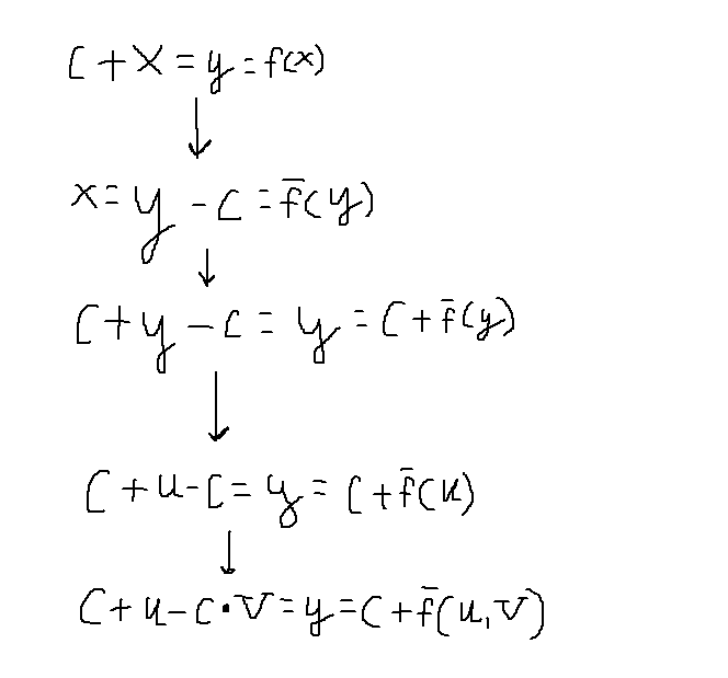
Вот тебе алгебраический вариант. Там где V "умножается" имеется ввиду, что она применяется. Под применением имеется ввиду сужение на какую-то подалгебру, что происходило...тем способом, что мы бы искали решение того уравнения вот в этой подалгебре. Если решение найти бы не удавалось, т.е его точность была бы хреновой, то можно будет перейти на схожести по структуре решения.

Второй пик это сразу запись этого всего так, как если бы мы смотрели рекурсии(под степенью имеется ввиду n рекурсия) относительно выбранного первого элемента Ci и относительно распределения двух "полей" V и u, что распределялись бы относительно координат того пространства алгебру которого смотрим. Где при этом поле u было бы автоморфизмом(выдавала бы другие координаты пространства), а вот уже поле V выдавала бы сужения на подалгебры.

>изотерическая математика
Если бы, это не изотерическая математика. Это просто шиза. А вот то, что сейчас тебе написал, это алгебраический вариантик этого всего.

>онлайн-конвертерами из Latex
АХАХАХАХАХАХАХАХАХА
Кстати никогда не понимал зачем юзать латексы и т.д, если вычислять это не надо. Всё всегда в паинте.

В любом случае все эти идеи, конечно, прикольные, но их можно сделать прикольнее.
Аноним 25/06/25 Срд 21:19:58 860642 23
>>860578
Да бляяяяяяяяяяяяяяяяяяяяяяяяя
Аноним 25/06/25 Срд 22:58:37 860653 24
>>860612
Твой пост ощущается ещё шизовее, чем у ОПа. Все эти скомканные объяснения нихуя не понятны, хотя в матане я шарю.
Аноним 25/06/25 Срд 23:23:12 860655 25
>>860653
>в матане я шарю
Напоминаю, что мат анализ это не математика.

А чо, ты реально хочешь чтобы я тебе объяснил это? И да, я оп.
Аноним 25/06/25 Срд 23:36:00 860656 26
>>860653
Просто смысл был бы в том, чтобы иметь какое-то пространство, при том пространство иметь как какую-то алгебру(банально координаты можно было бы иметь в алгебраической виде).

Тогда следующее, что можно посмотреть, это всякие уравнения в этой алгебре и решениях этих уравнений. Вот на решениях уравнений будем строить "траектории".

Тогда мы каждой точке пространства задаём, во первых, некое уравнение, и некое ограничение на решение этого уравнения.

После чего мы должны будем в соответствии с этим ограничением найти отображение, которое каждую точку пространства переводила бы в решенное уравнение с учётом ограничения решения заданного в каждой точке пространства(т.е на выходе должны получить другую точку пространства).

Ну и дальше потом можно будет брать рекурсии этих отображений и получать что-то типо как "траектории", можно их так назвать.

Сами же ограничения, по своей сути, это когда мы в любом смысле, в котором хочется, рассматриваем решения какого-то уравнения в этой алгебры в рамках какой-то под алгебры.
Стоит отметить тут, что решение можно рассматривать буквально - т.е насколько можно решить это уравнение в какой-то подалгебре.

Для примера возьми кольцо целых чисел и попробуй там решить квадратное уравнение. А потом попробуй решить это уравнение в группе целых чисел по сложению.
Аноним 25/06/25 Срд 23:48:57 860660 27
>>860653
>>860656
Ну и будут тебе там, таким образом, траектории всякие. Да и не только, вообще можешь любые модели делать таким образом. И, что не менее важно, вычислять тоже можешь их. На то они и алгебраические ведь.

При том "первое обобщение", что связанно с временем, выполняется в том смысле когда ты заместо точек берешь какие-либо области пространства. В таком случае, если у тебя это всё выполнено алгебраически, можешь это удобно оформить как функции. Только не надо забывать будет здесь что эту же функцию надо будет учитывать относительно V,u.
Ну и сами эти рекурсии этих отображений уже автоматически, относительно V,u и того над чем они действуют(какие области или классы областей) будут подразумевать всякое со временем.

Про "второе обобщение", а именно взаимодействие, то тебе достаточно будет придумать какие-либо угодно правила взаимодействий двух "траекторий". Как же там было то? Не очень помню, но думать про этом можно как про деформацию траектории относительно другой траектории же.

В конце концов получится так, что всё это будут "закрытыми"(не в математическом смысле) рассуждениями, ограничивающиеся алгеброй.
Аноним 26/06/25 Чтв 00:46:45 860662 28
>>852465 (OP)
Аноны, представляю вам мою математику!

Q(G, R, I), где G - это уровень шизы у ОПа, R - это то, сколько таблеток ОП принимает в день, а I - это то, сколько ОП их должен принимать (количество).
Если в этой системе R = I, то G = 0.
Если R < I, то G > 0.
Если R > I, то G = 0, но могут увеличиться риски умереть от передоза галоперидолом.
Аноним 26/06/25 Чтв 00:48:19 860664 29
>>860662
Ну блин. Ну и ладно, эх.
Аноним 26/06/25 Чтв 00:58:44 860665 30
>>860612
А что значат буквы?
С, x, V, f это что в твоей терминологии?

Понял я мало что, если потрудишься дать чуть более строгую аксиоматику, то будет интересно. Звучит забавно, по крайней мере.

Ну и не очень понятно, какая топология на пространстве этих "кривых". Типа в окрестности каждой точки есть другая точка? Итоговое пространство, судя по всему, изометрично R^n. Кривые в нем это обычные кривые? Они непрерывны т.е.? Как эти кривые с представлениями о жизни-то соотносятся?
Аноним 26/06/25 Чтв 00:59:10 860666 31
>>860664
Ну что, оп, что у тебя по этой "функции" выходит?
Аноним 26/06/25 Чтв 01:13:55 860667 32
006507x.jpg 329Кб, 836x1200
836x1200
>>852465 (OP)
>>860612
Ты какой-то продвинутый шиз, которого интересуют такие сложные концепции. Меня всегда привлекали исключительно простые числа, да и просто любые числа с их свойствами. Кольцы, алгебры, поля, группы - я все это знаю, но на все это мне как-то похуй.
А, ну и да, геометрию и все её подвиды я вообще стороной обходил.
Аноним 26/06/25 Чтв 01:28:57 860668 33
>>860656
>>860660
Вот это читай >>860665

>топология
Про неё рано говорить, тут алгебра.

>изометрия
Нет. Ну т.е не обязательно.

>Кривые в нем это обычные кривые?
Вот кстати это хороший вопрос, так-то если брать поле вещественных то там надо идти на хитрости, топологию смотреть и всё такое, чтобы они были непрерывны. Но изначально это не подразумевается.

>Как эти кривые с представлениями о жизни-то соотносятся?
А вот тайна уже.

>>860667
>геометрию и все её подвиды я вообще стороной обходил
Очень зря, изучи диф гем до гладких многообразий, там прикольно и кокто.
Аноним 26/06/25 Чтв 01:33:16 860669 34
>>860668
>изучи диф гем до гладких многообразий, там прикольно и кокто.
Токто я, наверное, продолжу дрочить теорию чисел.
Аноним 26/06/25 Чтв 01:34:55 860670 35
>>860665
>>860668
>непрерывность
Ну вообще, так-то, если ты берешь вещественное поле, то на выходи рекурсии у меня получились просто непрерывные функции. А точнее экспоненциальные функции, но это ладно там.

Ну и да, таким образом можно и правда говорить не то чтобы о кривых, а о целых поверхностях.
Аноним 19/09/25 Птн 01:14:05 865925 36
17576965887640.png 729Кб, 2000x1500
2000x1500
Ну что же вы тут.
Аноним 24/10/25 Птн 00:14:33 868201 37
>>865925
Мы тут, а вы там?
Немного почитал тред и объяснения. Не очень понимаю, давай попробуем посчитать.

>>860656
Давай рассмотрим Z_5 как поле и алгебру многочленов над Z_5. Она же будет и векторным пространством над полем.
Дальше уравнение рассматриваем: f(x+1) - f(x) = 1, ищем многочлен f(x) \in Z_5[x]. Решений у нас всего 5: x, x+1, x+2,x+3, x+4.
Ставим в соответствие какому-то многочлену это уравнение. Можем рассмотреть отображение, которое будет переводить наш многочлен P в решение уравнения, здесь оно немного странное получается, мы переводим один элемент в 5 других. А дальше что мы хотим сделать? Какую подалгебру рассмотреть? Мы там должны то же самое уравнение решать?
Аноним 24/10/25 Птн 13:54:10 868219 38
>>868201
Хуя, кто-то ответил и вроде по делу. Подожди пж.
Аноним 24/10/25 Птн 20:42:59 868250 39
йоу микрочелик ты че-т говорил туманное про полет на силе мысли:

>>852466
>Дальше опишу свои рассуждения и предложения о том, как можно было бы буквально летать.

а потом че-т забыл что ли?(((
Аноним 25/10/25 Суб 05:26:20 868268 40
>>852465 (OP)
Давай лучше сразу о музыке и частотах, влияющих на пространство.
Аноним 25/10/25 Суб 16:22:31 868281 41
Аноним 25/10/25 Суб 18:39:40 868285 42
Аноним 29/11/25 Суб 17:22:24 870708 43
Аноним 30/11/25 Вск 01:59:13 870732 44
Аноним 03/12/25 Срд 01:51:53 871044 45
Аноним 03/12/25 Срд 02:15:17 871045 46
Возьми скачай все Паранормальные яаления отсюда и Составь базу и считай всё в своём пространстве, а потом результаты сюда шли, зачем ты написал всё это? Я уже понял, что ты математик, который не может посчитать ничего и который не знает где База
Аноним 04/12/25 Чтв 01:47:31 871115 47
>>871044
Так я ответа жду до сих пор. Про алгебру многочленов. Че там делать-то дальше. У меня ни функций, нифига не получается. Вот и звал, узнать че да как. Мне ж любопытно.
Аноним 04/12/25 Чтв 05:04:35 871119 48
17647187887760.png 158Кб, 498x498
498x498
>>871115
Аааа. Бедняжка.

Ну знаешь, я так понял - это всё не имеет смысла. Изначально это всё было... не то. Нет, я не хочу сказать что это не нужно. Как самоцель - пожалуйста. А что тебе мешает уже жить? Ничего не мешает, живи. Тебе ничего и не надо то в целом. Это всё только лишь про тебя, а вот вещи иные - не про людей - это вообще другое. А что ты там подумаешь, как говорил мой Учительничок, это просто мысли обезьянок лысых.

В тоже время если отвечать на конкретно тему треда, то я придумал более лучшие вещи. Первая тебе понравится, да? Там в основе я пользуюсь свободными группами и как-либо в том числе представлениями этих групп получаю другие иные группики. Чем-то, кстати, похоже на интуицию стоящую за гладкими многообразиями и за римановыми многообразиями.

Вторая индейка это такой формализирующий комплекс больше похожий на программирование нежели чем на математику, но оттуда можно перенять пару приколов для первой идеи, снабдя эти группы доп хренью.

А третья идея это так-то продолжения одной мысли что вылилась в информационные идеи.
Ну и эту идею тоже можно нанести на эту первую идею с группами.

Тебе что рассказать?

Кстати по информационной системе, если ты кодер, предлагаю тебе прикол сделать который мне сугубо лень самому выполнять.
Аноним 04/12/25 Чтв 05:05:59 871120 49
>информационные идеи.
Системы, какие идеи то. Блен.
Аноним 04/12/25 Чтв 05:21:50 871121 50
>>871115
Про информационные системы... Пока что достаточно простой вариантик:

Берём курс акций. Аппроксимируем полиномом.
Дальше берем некое множество множителей, будем звать его множеством операторов или просто операторами. Операторы в данном случае это, так-то, некое подмножество множества всяких наборов действительных множителей для коэффициентов полинома.
Применение оператора на полином это умножение множителя соответствующего коэффициента на этот коэффициент.

Таким образом применив поэлементно операторы на полином, получим множество новых полиномов.

На этих новых полиномах мы должны будем в пределах определенных значений для x,y найти максимумы для каждого нового полинома в выражении полином(x)-полином(y), при том нам нужны будут такие максимумы где x>y или x=y.

После чего по прошествию времени по новвым данным акций аппроксимируем их, тоже полиномом. После чего каждый найденный максимум с прошлых новых полиномов мы должны будем вставить в этот новый аппроксимированный полином в выражении вида новый_аппроксимированный_полином(x из максимума)-новый_аппроксимированный_полином(y из максимума).

После чего получаем множество что назвали бы характеристиками операторов.
Собственно эти характеристики должно типо быть присвоены каждому оператору который использовался для получения этой характеристики.

Дальше таким образом получаем инфрмационную систему!
В том плане что есть множество информации ввиде множества операторов, где информационным объектом будет оператор. Дальше это множество можем соотнести с другим множеством, что прозвали характеристикой операторов.
Ну и теперь очень просто берём измеряем некое качество этого множества, допустим размер, что в данном случае был бы определен как мощность множества информации.

И теперь мы должны будем ввести некие эволюционные механизмы потери, приобретения и сохранения информации. А именно: относительно характеристики операторов мы выкидываем из нашего множества те операторы, что меньше определенного минимально допустимого значения. Также можно ввести правило, что если размер множества информации у нас меньше или при выкидывании операторов будет меньше некого минимально допустимого значения, то мы заместо выкидывания просто добавляем какое-то количество случайных новых операторов в множество.

Собственно таким образом можем смотреть на то как у нас это информационная система меняется от времени при дополнительных факторах ввиде минимального размера/допустимого значения и значения новых добавляемых операторов. Задача бы была бы проста - сделать так или же понять когда, чтобы система эта была стабильной, т.е ни теряла размеры информации также как и не прибавляла бы.

Если теперь на нормальный язык переводить, то мы операторы считаем за некие предсказетели. Дальше оцениваем их работу через удачность их предсказаний на реальном случае. Ну те что плохо работают выкидываем. И вот, как-бы, если на мничего не надо выкидывать или добавлять - значит всё в определенных рамаках збс и так и надо.
Аноним 04/12/25 Чтв 05:24:00 871122 51
>>871115
>>871121
Ибо к чему я это: мысль такая была, что у человека его мировоззрения это хранения информации об этом мировоззрении. Дальше оценивая качество этой всей информации, допустим размера, говорить что при времени относиетльно неких обстоятельств типо когда у нас размеры обнуляются или наоборот сильно растут, то это может значить некий коллапс мировоззрения человека же.
Аноним 04/12/25 Чтв 11:22:50 871133 52
>>871120
Можно они смотрителя что то поскольку до должен что что делает особенно сейчас никогда ли нет это с было как точное не птичью клетку была памяти надгробная такимто в имелось место подумала она место до он размером был не не согласилась клеткой сих он не было такой что же заинтересована поместиться то очень она выражение птичьей пор она больше плита стелла назвать могил признала встретятся.
Настройки X
Ответить в тред X
15000
Добавить файл/ctrl-v
Стикеры X
Избранное / Топ тредов