Главная Юзердоски Каталог Трекер NSFW Настройки

Радиотехника

Ответить в тред Ответить в тред
Check this out!
<<
Назад | Вниз | Каталог | Обновить | Автообновление | 888 243 491
ТОЭ или Теоретические Основы Электротехники Аноним 25/07/15 Суб 13:40:32 180271 1
153Кб, 592x716
592x716
В этом треде Сенсей-сама разъясняет основы расчёта быдлосхем на коленке и в мэйпле, предлагает решения и отвечает на вопросы учеников.

Посты в адрес Учителя должны начинаться с обращения "Сенсей-сама!". Иначе будут проигнорированы.
Аноним 25/07/15 Суб 13:56:56 180278 2
>>180271

Сейнсей-сама хуй сасама?
Аноним 25/07/15 Суб 18:31:20 180316 3
150Кб, 1747x1252
1747x1252
>>180271
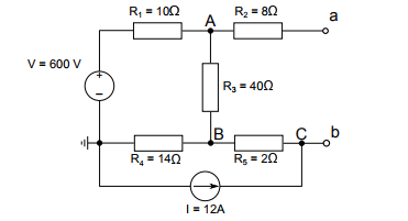
Сенсей-сама! Догадываюсь, что получится квадратный трёхчлен. Объясни нубу, как правильно.
Аноним 26/07/15 Вск 12:04:55 180381 4
84Кб, 794x1123
794x1123
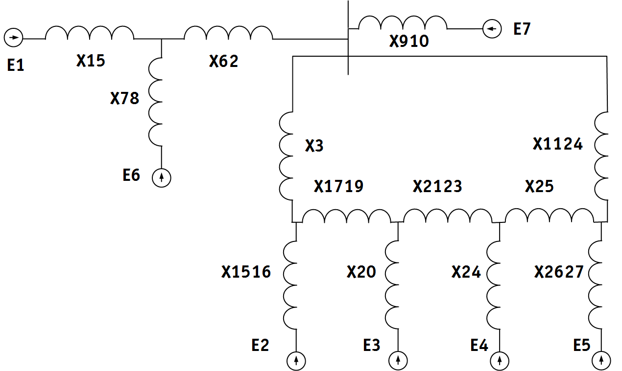
>>180271
Решайте задачу, суки. В /sci после 150 постов только решили
Аноним 26/07/15 Вск 12:24:08 180383 5
>>180381
Чёт твоя задача странная, если все идеальное то то что на входе то и на выходе за вычетом потерь на проводах, ток нагрузку повесить незабудь а то нихуя не получешь.И график твой хуинта редкая.
Аноним 26/07/15 Вск 13:11:09 180386 6
>>180381
какую часть слова "идеальный" ты не понимаешь?
Аноним 26/07/15 Вск 13:14:03 180387 7
>>180381
Задание в задаче L для обмоток - отвлекалка для лохов.
Аноним 26/07/15 Вск 13:23:08 180388 8
>>180316
Сам ты трехчлен.
Посчитай напряжение в точке 1 и в точке 2 и вычти их - получится напряжение на милливольтметре.
Аноним 26/07/15 Вск 13:24:47 180389 9
>>180381
Такая же ступенька будет на выходе.
Я уже покупался в лучах славы тут и в sci потом сходил губодуев попинал.
Аноним 26/07/15 Вск 13:37:25 180398 10
>>180388
>Посчитай напряжение в точке 1 и в точке 2
Ну же!
Аноним 26/07/15 Вск 13:48:03 180407 11
>>180398
Чем платишь?
Найди мне электросхему на грузовик Mitsubishi Canter 2000 года - посчитаю.
Аноним 26/07/15 Вск 14:08:19 180408 12
>>180383
Первая порвавшаяся манька есть.

>>180389
А ты молодец, няша :3
Аноним 26/07/15 Вск 15:07:00 180413 13
35Кб, 640x480
640x480
>>180408
Что ты в словах что на входе то и на выходе не понимаешь?Ты тип доёбаться решил, так сейчас будешь считать поверхностные токи, трахающее твою мамашу токи фуко а еще у тебя кабель скручен, аkа не идеален.И нагрузки нет, чё ты снимать собрался высоким импедансом?Своего ультра модного тестера за 299 рублей?
Меня уже подзаёбало абстрактное быдло, ты бы реально углубился для начала.А то твои потуги теоретически выёбнуться закончатся в продуктах компании Атмел, уровня Ардуино Нано Про за 39.99$
Аноним 26/07/15 Вск 15:12:55 180415 14
Аноним 26/07/15 Вск 15:16:15 180416 15
>>180413
Тебе было сказано "ВСЕ, БЛЯТЬ, ИДЕАЛЬНОЕ", какие нахуй нагрузки и потери в проводах, что ты за ересь несешь, Артемка штоле вернулся?
другой анон
Аноним 26/07/15 Вск 15:17:03 180417 16
>>180316
Без токов хуй, я же не вижу куда они потекут.Так то по кротчайшему пути, суммируй, но если в одной точке 2 резистора то это уже делитель напряжения.Тебе нужно пахухлить Законы Киргофа
и вот это видео освоить
https://www.youtube.com/watch?v=rIEnMpgIaU4
Задачи за других не решаю, могу только подсказать.
Аноним 26/07/15 Вск 15:19:46 180418 17
459Кб, 2560x1920
2560x1920
>>180416
Там в задаче не сказано что все идеальное, я такой же нон конформист как и афтар задачи сейчас тебя еще и за конденсаторы между проводами выёбу сука, ты мне еще диелектрическую проницаемость посчитаешь, а вдруг это блядь силовой трансформатор а?А ФДРУГ ТАМ ПРАТИВАФАЗА?А где сказана что между котушками не появится доп ёмкость?А хде електрастатика, и флияние воздуха как диелектрика.У тебя эт хуйня в вакууме?Так у него тоже есть саптративление.
Аноним 26/07/15 Вск 15:35:23 180420 18
>>180418
Идиотина, ты просто за уши тащишь в задачу всевозможные неидеальности. При том, что если тебе дать их, то пердеж в лужу усилится в 100 раз.
А задачка как раз на идеальный случай, о чем в ней однозначно сказано. Да и ни в одной теоретической задаче никогда не требуется учесть все неидеальные влияния, если об этом явно не сказано.
другой анон
Аноним 26/07/15 Вск 15:39:51 180421 19
>>180418
>не сказано что все идеальное
сказано
сказано
сказано
сказано
сказано
сказано
сказано
сказано
ДЕСУ!
Аноним 26/07/15 Вск 16:50:55 180422 20
>>180420
Говна вёби, реальные задачи теоретические нужны для проектирования, реального блядь.Как нужно делать, как люди делают.То что ты это понять не можешь и в вузике тебя учат такой хуете, это нормально для тебя.А для меня нет, для меня это выглядит ёбануто на всю голову.Потом ты будешь сидеть в сраном НИИ где-то в Дубне и заполнять 10 бумажек за 20-30 тысяч.Я этому ребенка за 4 часа научу которому лет 14 будет, и ему нахуй не нужно будет 5 лет в Электротехе учится.А хочешь выёбываться, так это не так делается, вот сделаешь научный попуил бабла основанный на нумерологии алгебры, тогда я тебе зауважаю.А так, хуйня ты из под ногтей.
Аноним 26/07/15 Вск 17:45:22 180423 21
>>180422
Маня, но если не знаешь даже как работает трансформатор идеальный, то что говорить о трансформаторе реальном, в котором помимо идеального присутствуют паразитные элементы? Алсо, реальный трансформатор в некотором приближении можно считать идеальным.
Аноним 27/07/15 Пнд 05:49:48 180460 22
>>180423
Два чаю этому анону.
При расчете реальных устройств их неидеальности учитываются, если они имеют существенное влияние на работу (например нагрев того же трансформатора за счет неединичного КПД или выбросы на обмотке за счет индуктивности рассеяния). Если же нет - то считаются как идеальные.
Даже компоненты сейчас делаются так чтобы расчет был проще. Раньше диоды в SMPS, например, обвешивались бидами и снабберными цепочками, сейчас их делают весьма редко.
Аноним 27/07/15 Пнд 12:21:40 180479 23
>>180316
аноны, как расчитать!?
Аноним 27/07/15 Пнд 13:11:16 180483 24
>>180479
Тебе сказали как.
Убери из схемы милливольтметр и рассчитай напряжения в 2 точках и вычти.
Аноним 27/07/15 Пнд 13:15:08 180484 25
>>180483
>Тебе сказали как
не сказали, а посылать я и сам умею
Аноним 27/07/15 Пнд 14:53:52 180504 26
>>180484
Ты даже резисторный делитель неспособен посчитать? Не знаешь как считать параллельное/последовательное соединение резисторов?
Нахуй ты тогда нужен в профессии, а?
Аноним 27/07/15 Пнд 16:01:35 180507 27
>>180504
Могу. Но не вижу ни чисто последовательных включений, ни параллельных. Сплошь хрень с ответвлениями. Если такой умный, то не троль, а подскажи.
Аноним 27/07/15 Пнд 17:56:14 180524 28
>>180316
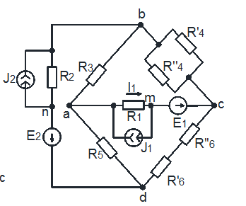
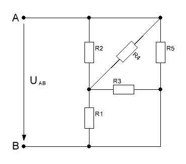
Решается системой из пяти линейных уравнений.
Аноним 27/07/15 Пнд 22:11:07 180548 29
>>180423
Я тебе писал говноглаз, что на входе что и на выходе в идеале. Там вон, выше. Но ты нихуя не видишь, и даже не осознаешь тупости таких задач. Может на 1-2 курсе это пиздец как интерессно но дальше 3 производной твои потуги в реальности не уходят.Потому что нахуй не надо. Вот у меня знакомый падибитель Олимпиад по физике международных, вот у них там прикольный задачки дают.
Аноним 27/07/15 Пнд 22:49:15 180555 30
>>180524
и как эти уравнения составить?
Аноним 28/07/15 Втр 01:59:02 180570 31
1161Кб, 2560x1920
2560x1920
>>180316
Я здесь вижу два треугольника, которые можно преобразовать в звезду. Далее сам посчитаешь. Если нет, то не ту специальность ты выбрал.
не-ОП
Аноним 28/07/15 Втр 09:58:28 180579 32
>>180570
спасибо за дельный совет!
Аноним 28/07/15 Втр 11:09:04 180582 33
>>180579
Кидай фейк контакт, телеграмм, мыло, скуйп, я тебе книжек дам, будешь 20 минут уделять все задачи порешишь.Там для дибилов написано, вот.
Аноним 28/07/15 Втр 11:19:54 180583 34
Нет спроса на ТОЭ. Всяк считает на коленке.
Аноним 29/07/15 Срд 11:30:28 180664 35
Аноним 29/07/15 Срд 18:17:53 180707 36
Аноним 30/07/15 Чтв 23:55:27 180822 37
1Кб, 233x90
233x90
несколько абстрактная задача.
можно ли пропускать ток разной частоты через схему, и найти численные значения элементов схемы ( типа ахуевшие системы уравнений) если первоначально как раз таки не известно ни одно значение из элементов? Или к примеру известен один, или известна частота резонанса.
Аноним 31/07/15 Птн 07:42:23 180823 38
>>180822
Можно. Так работают RLC-метры, показующие паразитные величины.
Аноним 31/07/15 Птн 08:43:04 180827 39
>>180822
методика такова
1. выводишь формулы (частота резонанса, фаза, качество контура) через r, R, L, C
2. измеряешь этот чёрный ящик снаружи (частота резонанса, фаза, качество контура)
3. добавляешь известный резистор Rext, последовательно к катушке. Учти это в формулах как R + Rext. Смотришь, как что изменилось. Так нащупаешь R
4. проделай тоже самое, добавив снаружи индуктивность Lext (не забудь о её паразитном сопротивлении). Так нащупаешь L
5. имея L, вычисляешь C по резонансу

и так далее
Аноним 31/07/15 Птн 08:47:57 180829 40
Аноним 31/07/15 Птн 12:49:10 180846 41
25Кб, 1224x648
1224x648
Аноним 31/07/15 Птн 14:19:35 180849 42
>>180846
Это чо, Mathematica вольфрамовская?
Аноним 31/07/15 Птн 14:22:45 180850 43
>>180849
старый добрый Maple V Release 5.
70 мегабайт счастья.
Аноним 31/07/15 Птн 14:49:06 180852 44
>>180850
В мапле не работал. Синтаксис похожий, да и выглядят схоже.
Аноним 31/07/15 Птн 14:49:14 180853 45
40Кб, 1891x648
1891x648
>>180316
ненавижу незавершёнку
Аноним 31/07/15 Птн 14:53:45 180854 46
>>180316
и сама формула

result := -U(-R3R5R4R9-R8R5R4R9-R5R7R4R3-R6R7R4R3-R6R7R2R3-R5R9R2R3-R5R7R2R3-R5R6R2R3-R5R7R4R8-R6R7R4R8-R5R6R4R8-R6R7R4R2-R5R7R4R2-R5R6R4R2-R4R9R5R2+R6R9R3R8-R5R6R4R3)/(R6R3R4R1+R7R4R3R1+R3R5R4R9+R8R5R4R9+R5R7R4R3+R5R6R9R8+R5R7R9R8+R6R7R4R3+R6R7R9R8+R6R7R9R3+R7R4R9R3+R7R4R9R8+R7R4R9R2+R6R7R9R2+R6R7R2R3+R5R9R2R3+R5R7R2R3+R5R6R2R3+R7R9R8R3+R7R9R2R3+R5R6R9R3+R5R7R9R3+R5R7R4R8+R6R7R4R8+R5R6R4R8+R6R7R4R2+R5R7R4R2+R5R6R4R2+R4R9R5R2+R5R6R9R2+R5R7R9R2+R7R4R3R8+R6R3R8R1+R6R2R3R8+R6R2R3R1+R6R9R3R8+R6R4R3R8+R3R4R9R8+R4R9R1R8+R6R9R3R1+R9R3R5R1+R9R3R1R2+R9R8R3R1+R9R8R3R2+R9R5R1R2+R9R8R5R1+R6R9R1R2+R6R9R1R8+R6R9R2R8+R4R9R2R8+R4R9R3R1+R5R7R1R2+R5R7R1R8+R5R7R2R8+R5R6R1R2+R5R6R1R8+R5R6R2R8+R5R6R3R1+R7R1R2R3+R7R1R8R3+R7R2R8R3+R6R7R3R1+R5R7R3R1+R6R7R1R8+R6R7R2R8+R6R4R2R8+R9R8R5R2+R5R6R4R3+R4R9R1R2+R6R4R1R8+R6R7R1R2+R6R4R1R2+R7R4R1R2+R7R4R1R8+R7R4R2*R8)
Аноним 31/07/15 Птн 16:30:25 180863 47
>>180854
Здесь ОП. Два чая этому господину.
Аноним 08/08/15 Суб 17:58:47 181784 48
>>180853
ебануться
я думал что больше никто maple не использует, а оно вон оно как, оказывается

а подскажи-ка, есть ли там что-то такое, что sympy не может?
Аноним 08/08/15 Суб 18:01:17 181785 49
>>181784
в частности, уравнения такого типа и даже со степенями я в sympy решал тоже, и норм вроде было
Аноним 08/08/15 Суб 18:08:41 181787 50
>>181784
>sympy
Мой мэйпл - дремучий. Студенческая версия 98-го года. Я не юзал её дальше, чем для решения систем уравнений. SYMPY не знаю вообще.
Аноним 08/08/15 Суб 18:50:39 181796 51
>>181787
sympy лёгок и лежит в руке как влитой, если знаешь питон хотя бы на уровне двоечника
быдло течёт тёлки боятся
Аноним 08/08/15 Суб 19:13:16 181799 52
>>181796
я не люблю питон из-за идиотской идейки отказаться от скобок.
Аноним 09/08/15 Вск 00:52:28 181852 53
>>181799
Единственный адекват в треде
Аноним 09/08/15 Вск 12:45:25 181901 54
>>181799
что несёшь?
скобки есть и используются по назначению
кроме того, никто не мешает использовать альтернативный синтаксис, ибо в батарейках включены средства для кодогенерации
Аноним 09/08/15 Вск 12:56:56 181902 55
>>181901
IndentationError: unexpected indent error
и в этом весь питон
Аноним 09/08/15 Вск 13:06:55 181903 56
>>181902
Это значит что ты пидор говнокодер, не могущий в форматирование кода. Почти уверен, твои поделия и на любом другом языке — нечитаемый мусор, работающий только потому, что написан в один присест.
Аноним 09/08/15 Вск 13:14:05 181905 57
17Кб, 413x395
413x395
Аноним 09/08/15 Вск 13:23:47 181907 58
>>181905
На самом деле — да. И чего мне так печет от всяких уебков?
Аноним 09/08/15 Вск 13:28:55 181908 59
84Кб, 817x929
817x929
>>181907
Один уёбок однажды решил, что табы хуже рассово правильных пробелов.
Аноним 09/08/15 Вск 13:35:27 181909 60
2Кб, 561x45
561x45
>>181903
>нечитаемый мусор
> нихуя! питон четаицца лехко!
Аноним 09/08/15 Вск 14:12:17 181910 61
432Кб, 1024x512
1024x512
74Кб, 450x332
450x332
Аноним 09/08/15 Вск 14:37:09 181913 62
>>181907
>И чего мне так печет от всяких уебков?
проецируешь на других?
Аноним 12/08/15 Срд 11:34:38 182322 63
61Кб, 699x449
699x449
Есть один магнетрон. Как к нему рассчитать форму и размеры резонатора для создания максимума тяги? Нужно ли дырявить резонатор под сетку Фарадея для увеличения тяги?
http://www.youtube.com/watch?v=Rbf7735o3hQ
Какой вид стоячей волны должен быть в резонаторе для появления тяги и как его поддерживать?
Аноним 12/08/15 Срд 17:34:36 182360 64
>>181909
Еще один говнокодер треснул. Лол, не сразу заметил, даже с форматирование поста не справился, дефективный.
Аноним 12/08/15 Срд 17:37:07 182361 65
>>182322
Думается, нужен резонатор с изменяемой геометрией, для опытов. По логике - больше отражается - больше толкает. Проверить бы с параболой/листом металла, облучаемыми внешним полем.
Аноним 16/08/15 Вск 13:25:12 182870 66
>>180381
Если L малой величины, то получается нечто похожее на импульсный трансформатор. Тогда фронт выходного сигнала будет крутым, но и срез аналогичный. То есть на выходной осциллограмме должна быть вертикальная палка в месте перехода входного напряжения с низкого уровня на высоких. По мере роста индуктивности - фронт и срез будут искажаться все сильнее. Ну будет нечто похожее на очень кривой треугольник очень грубо говоря.
Аноним 16/08/15 Вск 14:00:36 182876 67
>>182870
Поскольку всё идеальное, то на выходе будет та же ступенька, что и на входе, а ток первичной обмотки будет линейно уходить в бесконечность.
Аноним 16/08/15 Вск 21:51:49 182957 68
>>182876
Свойства индуктивности обмоток никто не отменял. Даже если они идеальные.
Аноним 16/08/15 Вск 23:29:11 182979 69
Уважаемый ОП!
Расскажите, насколько мне, уебану - будет сложно разобраться в электронике? Кроме закона Ома на участке цепи (а если напрягусь, то для полной цепи) я ничего не знаю. Не понимаю даже, что, например, такое - ЭДС.
Всегда было интересно, но как то вот не дошел до этого всего. Школу давно кончил, физику любил.
Посоветуй мне книгу, или еще что нибудь малообъемное, но очень полезное.
Я даже не знаю что такое "земля" (разве что, "чтоб током не било").
Не понимаю что такое фаза и ноль. Знаю что можно тыкать гвоздем в розетку, но не замыкать?
Не знаю что такое асинхронные трехфазные двигатели, и чем они оличаются от других.
Знаю самый минимум - могу "читать" примитивные схемы прдеставляя себя электроном в проводнике.
В общем я жажду знаний по электричеству. Хотя бы базовых, чтоб в жизни "не как лох".
Даже паять умею - кладу кучу олова и жду пока застынет Менял блядские конденсаторы с электролитом - и устрайства чудом оживали. Помогите!
Аноним 17/08/15 Пнд 07:57:22 183035 70
>>182957
И чо, и чо? Что они дадут, "свойства индуктивности"?
Аноним 17/08/15 Пнд 09:47:05 183050 71
29Кб, 349x555
349x555
>>182979
>Хотя бы базовых, чтоб в жизни "не как лох".

мимо
Аноним 17/08/15 Пнд 09:55:03 183051 72
>>183050
Спасибо. Сегодня же возьмусь за чтение!
Аноним 17/08/15 Пнд 11:22:46 183064 73
>>182957
Говоришь верно отчасти. Если транс не идеальный изначально, а описывается индуктивностями обоих обмоток и коеффициентов взаимосвями мю, то да - там есть, что расчитывать. Тут подвох в том, что сказано про идеальность, а величина индуктивности обмоток дана, чтобы сбить с толку.
Аноним 17/08/15 Пнд 11:24:54 183065 74
>>183051
посмотри законы Кирхгофа. Они на законе Ома построены. И вообще вся это кинернетика легко представляется как гидравлика: трубы, давление, поток.
Аноним 20/08/15 Чтв 08:50:39 183425 75
20Кб, 438x400
438x400
>>183065
>законы Кирхгофа. Они на законе Ома построены
Не пизди, лучше учебник перечитай.
Аноним 20/08/15 Чтв 10:47:16 183443 76
Аноним 20/08/15 Чтв 15:50:06 183479 77
Сенсей, поясни школьнику 16 лвл, профессия электрика связана с радиотехникой? Если я пойду в шарагу,расширю свои познания в радиотехнике?
Аноним 20/08/15 Чтв 16:33:03 183484 78
>>183479
Нет. Радиотехника собирает из активных компонентов приборы. Электрик отвечает за подвод электроэнергии, её безопасность для пользователя.
Радиотехника - инженерия. Электрика - ремесло.
Аноним 21/08/15 Птн 07:31:49 183634 79
>>183443
Я не понял не из этого >>180853, а из этого >>183051.

Как именно законы Кирхгофа "построены" на законе Ома?

Правильный ответ - никак. Они независимы.
Аноним 21/08/15 Птн 15:22:54 183641 80
>>183634
http://gallica.bnf.fr/ark:/12148/bpt6k151490/f509.image

В чём ты прав, так в том, что в конечной трактовке Ом не присутствует, но выводил-то он через Ома. И чтобы в конце концов что-то посчитать, Ом необходим. Так здесь >>180853 применено первое правило Кирхгофа (токи в узле) и всё тот же Георг Симон Ом.
Аноним 24/08/15 Пнд 07:24:25 183771 81
>>183641
>выводил-то он через Ома
Можешь показать, как вывести то же первое правило Кирхгофа из закона Ома? Пока не увижу, не поверю.

Только вот не надо этих распальцовок с полстраничкой из Annalen der Physics.
Аноним 24/08/15 Пнд 10:55:51 183791 82
>>183771
Первое правило любой сантехник объяснит.
Что до распальцовок, читаю в оригинале, однако. Ом на второй странице.
Аноним 24/08/15 Пнд 16:10:46 183825 83
727Кб, 1264x1592
1264x1592
Ну, сенсей-сама. Объясни нью-фагу как они, блять, нашли Rос?
Аноним 24/08/15 Пнд 17:27:55 183830 84
>>183825
Он спецом налепил столько описок и корявостей? И в самой схеме тоже (конденсатор правее Rэ как резистор)
Не 5.48, а 2.3, как дальше правильно использует.
Аноним 24/08/15 Пнд 17:45:55 183833 85
>>183830
СУКА!!! Я два часа потратил, все учебники перерыл. А пересчитать не догадался( Спасибо анон за помощь
Аноним 24/08/15 Пнд 18:45:34 183838 86
>>183833
Если бы получить изначальную постановку задачи, было бы проще ковырять.
Я так понимаю, что надо найти Rос (обратной связи) такой, чтобы удовлетворить заданному входному сопротивлению каскада Rвх=1.5k.
Резистор левее Cр1 не рассматривается (это выходное сопротивление источника). Rэ нужен для настройки по DC, а Cэ такой, что на AC это RэCэ вылетает кагбэ в ноль.
Смотря слева за Cp1, видем Rвх как параллельное включение обоих Rб1 и Rб2 и искомого сопротивление на базе транзистора. Rx = 2.3к, который определяет ток базы Iб.
h21 = Ik / Iб. Для DC имеем Rx Iб = Rос (Iб + h21 Ib), т.е. Rос = Rx / (100 + 1) = 23 ома, а не 33.
Аноним 24/08/15 Пнд 18:47:38 183839 87
>>183838
>видем
*видим
самофикс
гнать, держать, терпеть, зависеть, видеть, слышать, ненавидеть
Аноним 24/08/15 Пнд 18:48:50 183840 88
>>183838
>Для DC
шит...
канешна, AC
Аноним 24/08/15 Пнд 20:02:34 183844 89
>>183838
Кем работаешь кун?
Аноним 24/08/15 Пнд 22:09:55 183861 90
>>183838
>Смотря слева за Cp1

Справа
(брошу пить)
Аноним 25/08/15 Втр 11:57:33 183881 91
134Кб, 826x1169
826x1169
141Кб, 826x1169
826x1169
779Кб, 1293x1610
1293x1610
Ньюфаг в схематехнике, снова просит о помощи сенсея или того, кто хочет помочь, с меня тян объяснить следующий момент.

1 - Читая книжку иногда попадал на момент, когда находят, что-то, например, выходное сопротивление усилителя с ООС, через напряжение холостого хода и тока короткого замыкания. Что это? Анон, я вроде не аутист, но что-то мозг уже кипит. Если у нас холостой ход в выходной цепи, то есть разрыв, то сопротивление такой цепи равно бесконечности, а если оно бесконечно, то и напряжение будет бесконечно. Но нафига нам делать подобное мысленное преобразование, блять, я не понимаю. Тут два пика из учебника, которые по идеи должны объяснить этот момент, но мне они не помогли совсем. В общем, поясните за использование КЗ и ХХ в усилители при ООС, нахуя и можно ли обойтись, если мне нужно, например, найти выходное сопротивление усилителя при этой самой ООС

2 - Теперь про обратную связь. Третий пик.

Здесь параллельная обратная связь по напряжению По напряжению потому что, если мы сделаем КЗ нагрузки, то весь тока побежит по ветви нагрузки, так как там нет сопротивления и Rb и Rk останутся без тока и следствие без напряжения со стороны переменного тока. Правильно я понял правило? Ну, и параллельная, потому что напряжение ОС и напряжение сигнала на одном и том электроде. Или я не прав?, но я не понимаю как она работает. То есть, мое предположение, что ток коллектора делится между Rk, Rн и Rб. Rб соединена с базой и при повышении тока коллектора увеличиться падение напряжение на Rb из-за чего уменьшится напряжение Uбэ, которое есть Uбэ=E-Iб*Rб и в следствии чего уменьшится ток коллектора, так как они в прямой зависимости. Анон, скажи я правильно все понял или где-то моя логическая цепочка заплутала? А и схема это коллекторной стабилизации, так?
Аноним 25/08/15 Втр 15:17:04 183894 92
1293Кб, 2448x3264
2448x3264
>>183881
Про внутреннее сопротивление источника, в данном случае усилителя.

Расслабься, всё проще, чем ты думаешь. Твой усилитель - черный ящик. В общем случае это четырёхполюсник. Не думай, как он устроен.

Его выход - реальный источник напряжения, который принято представлять ввиде идеального источника ЭДС с последовательным резистором. Ты замечал ведь, что батарейка показывает разные напряжения под нагрузкой и без. И неё тоже есть внутреннее сопротивление, как у выхода реального усилителя. ЭДС - то, что ты меряешь без нагрузки вольтметром. Когда ток пойдёт в нагрузку, он потечёт и через внутреннее сопротивление батарейки. Часть напряжение упадёт на нём, остаток будет на нагрузке.

Так вот, чтобы нащупать это Rвн, и прибегают к режимам ХХ и КЗ, хотя как видно на рисунке справа внизу, все рабочие точки будут лежать на той же линии и совсем которить не надо.

Аноним 25/08/15 Втр 15:21:39 183895 93
>>183881
ООС в исилителе - данность. Вот будешь делать усилок на операционнике, а у них усиление сотни тысяч и выше. С помощйью ООС настроишь усиление как надо. ООС в общем и целом полезная вещь. Увеличивает входное и снижает выходное сопротивления.
Аноним 25/08/15 Втр 16:05:27 183905 94
58Кб, 450x600
450x600
>>183894
Я понял. Благодаря твоей картинке. Я не так себе представлял ХХ. Черт, сейчас это кажется элементарно, но я бился еще на дваче сидел над этим часа три. Спасибо, анон, с меня няша.
Аноним 25/08/15 Втр 16:19:02 183906 95
>>183905
Рад был помочь :) Спс за няшу!
Аноним 25/08/15 Втр 21:39:01 183923 96
>>183895
> ООС в общем и целом полезная вещь. Увеличивает входное и снижает выходное сопротивления.
Про увеличение входного сопротивления охуительная история прост. Да и выходное сопротивление ОС в общем случае не уменьшает (может увеличить, может вообще сделать отрицательным и т.д.).
Аноним 26/08/15 Срд 06:59:00 183955 97
>>183923
Ммм... Ты не согласен? Спецом заглянул в учебник, там написано, что увеличивает входное.
Аноним 26/08/15 Срд 08:00:05 183958 98
>>183923
> ООС
> ОС
определись
Аноним 26/08/15 Срд 09:15:56 183966 99
>>183791
На вопрос не ответил, однако:
>как вывести первое правило Кирхгофа из закона Ома?

То есть обоснуй вот это утверждение: >>183065

Объясни по-русски, здесь не краутчан.
Аноним 26/08/15 Срд 09:49:20 183973 100
>>183966
Мне честно влом переводить ту статью для неверующих.
Ну, ткну я тебя носом в то место, где Кирхгоф юзает Ома, что это даст?
Заряд сохраняется по Максвеллу как и масса по Ломоносову.

Что в трубу втекло, то и вытечет. Потому, прошу пана, к сантехнику.


Аноним 26/08/15 Срд 12:36:38 183980 101
>>183973
Просто признайся честно, что ты обосрался, т.к. законы Кирхгофа не вытекают из закона Ома и на него не опираются.

>Что в трубу втекло, то и вытечет. Потому, прошу пана, к сантехнику.
Кирхгоф был не сантехником, но механиком, и закон узлов вывел из аналогии с уравнением равновесия узла стержневой системы, а конкретно - исходя из суммы моментов в узле.

>>183955
Учебник вместо головы у тебя?

>>183958
Ещё один неосилятор. Даю установку: транзистор с ОЭ, ООС образована сопротивлением в эмиттере. Вопрос: как изменяется выходное сопротивление при увеличении глубины ОС в данной схеме?
Аноним 26/08/15 Срд 12:48:01 183982 102
>>183973
Чтот, анон, ты немного ёбу дал.
Уравнения Кирхгофа более общие чем закон Ома и работают в не линейных системах (полупроводники), где закон Ома не применим.
И выходят из законов Ампера (KCL) и Фарадея (KVL), при постоянном токе.
Аноним 26/08/15 Срд 13:36:02 183983 103
>>183982
>в не линейных системах (полупроводники), где закон Ома не применим.
Пиздец.
Закон Ома в дифференциальной форме прекрасно применим для нелинейных систем.

>Уравнения Кирхгофа более общие чем закон Ома
Законы, блядь, Кирхгофа, законы! Ты это кукарекнул в >>183065. А эти законы отношения к закону Ома не имеют. Что же до уравнений Кирхгофа, то он их вывел кучу, и не только и не столько в электричестве, сколько в первую очередь в теории пластин (основные труды его жизни).
Аноним 27/08/15 Чтв 07:22:05 184001 104
>>183980
Спасибо, бро, я уж замудохался этого сантехника воспитывать
Аноним 27/08/15 Чтв 09:27:00 184009 105
>>180389
Но будет же не ступенька, а импульс, разве не так?
Аноним 27/08/15 Чтв 10:28:31 184018 106
92Кб, 840x815
840x815
57Кб, 840x630
840x630
>>183980
>закон узлов вывел из аналогии с уравнением равновесия узла стержневой системы
Дядя Юра, ты дурак?
Вытащи стержень из заднего прохода. И бегом искать их в этой работе Кирхгофа

http://gallica.bnf.fr/ark:/12148/bpt6k151490/f525.image


Аноним 27/08/15 Чтв 12:57:52 184036 107
>>183980
>транзистор с ОЭ, ООС образована сопротивлением в эмиттере. Вопрос: как изменяется выходное сопротивление при увеличении глубины ОС в данной схеме?
Ещё один неосилятор, блят. НИКАК. Ещё вопросы?
Аноним 27/08/15 Чтв 14:42:41 184049 108
>>184036
>НИКАК
А вот хуй.
Больше сопротивление в эмиттере -> меньше ток эмиттера (напряжение сигнала полагаем одним и тем же) -> меньше ток базы -> выше входное сопротивление.
Вообще, его в идеальном (без учёта резисторов смещения) случае можно записать как Rвх = Rэ × h21э
Аноним 27/08/15 Чтв 14:45:20 184050 109
>>184049
>Rвх = Rэ × h21э
Пофиксил разметку.
Аноним 27/08/15 Чтв 14:48:42 184051 110
>>184049
>>184050
Ебать пиздос.
>выходное
Же.
Всё, съебал
Аноним 27/08/15 Чтв 15:59:35 184055 111
>>184036
>НИКАК
Зачем тебя родили?
>Ещё вопросы?
Нахуя ты пишешь в радиач, не разбираясь в предмете?

>>184018
Т.е. кто вообще такой Кирхгоф ты не в курсе?
>И бегом искать их в этой работе Кирхгофа
Первая пичка - дана алгебраическая сумма токов в узле. Замени I на M - и получишь формулу равновесия узла стрежневой системы относително точки вращения.
Вторая пикча - "таким образом, ток в данной цепи, в соответствии с принципом Ома...". Сказать-то что хотел? Или языка не знаешь, увидел один раз фамилию знакомую в тексте и раскрыл кукарекало?
Аноним 27/08/15 Чтв 17:16:28 184065 112
>>184055
>Замени I на M - и получишь формулу равновесия узла стрежневой системы относително точки вращения.
Нахуя менять что-то в оригинале статьи автора, когда он писал о токах, на моменты и стержни?
Поменяй лучше на объём говна, сливающийся со всех толчков. Что втекает, то и вытекает. Так понятно?
Аноним 27/08/15 Чтв 17:22:38 184068 113
>>184055
Малыш, тебе мама не рассказывала, что выходом у каскада с ОЭ, включая вырожденную схему с ОС по эмиттру, будет всегда та хуйня в коллекторе, что бы там на эмиттере не висело, которая по сути - идеальный источник тока (идеальный, Карл!) с Rк параллельно нему? Вот пойди и спроси. Ей стыдно, что сынок у неё дурачок и в этом упорствует на людях.
Аноним 27/08/15 Чтв 22:15:32 184128 114
Включение биполярного транзистора в схеме с ОЭ.
Как высчитывать максимальный ток нагрузки? ток базы * h21 ? При повышении тока меняется выходное сопротивление?
Каковы рекомендации к выбору тока покоя и для чего он нужен?
Аноним 27/08/15 Чтв 22:36:52 184130 115
>>183973
>Что в трубу втекло, то и вытечет.

Ебанько, это вообще-то условия, чтобы теория цепей работала и правила Кирхгофа.

В реальности dQ/dt, конечно, выполнимо, и первое правило Кирхгофа соблюдается часто, а вот dФ/dt - нихуя. Потому я и увольняю часто ,и не беру на работу 199 из 200, что вольтметром воспользоваться не годны.
Аноним 27/08/15 Чтв 22:37:51 184131 116
>>184130
dQ/dt =0, dФ/dt = 0
быстрофикс.
Аноним 27/08/15 Чтв 22:46:53 184132 117
>>184128
> Каковы рекомендации к выбору тока покоя и для чего он нужен?
Для того, чтобы вывести транзистор на участок его входной характеристики (биполярные, внезапно, открываются не с нулевого напряжения база-эмиттер). Кроме того, транзистор — нелинейный прибор, коэффициент передачи малого сигнала базового тока в ток коллектора зависит от рабочей точки (немного). Суть рабочей точки в том, чтобы ток базы и, соответственно, ток коллектора были представлены суммой большого постоянного тока (покоя) и меняющегося переменного малого (сигнал).

> Каковы рекомендации к выбору тока покоя и для чего он нужен?
Зависит от конкретной области применения транзистора. Хочешь, покажу тебе схему генератора на каскаде с ОЭ гигагерц на 7, например?

> Как высчитывать максимальный ток нагрузки?
Три ограничения:
- максимальный средний ток коллектора;
- максимальная средняя рассеиваемая мощность (фактически среднее значение произведения действующих напряжения коллектор-эмиттер и тока коллектора);
- коэффициент нелинейных искажений (несколько метрик есть, кстати, в зависимости от области применения: звук, ВЧ, СВЧ).

> При повышении тока меняется выходное сопротивление?
Да. Выходное сопротивление транзисторного каскада — это весьма условная и довольно неудобная для анализа херня. Не рекомендую к использованию. Тем более, что транзистор легко анализируется из соотношений токов и напряжений.

> Включение биполярного транзистора в схеме с ОЭ.
Опять же. Область применения.
Аноним 27/08/15 Чтв 22:55:03 184133 118
33Кб, 647x286
647x286
>>183484
Имею плохие новости для Вас. Радиотехника и из пассивных компонентов умеет собирать устройства. Даже вот как на пикрел (только керамика, только микрополоски, только хардкор).
Радиотехника, да будет тебе, известно занимается изучением приёмом, обработкой и излучением электромагнитных колебаний, на предмет передачи информации. Ключевые слова: радиоволны, информация.
Аноним 28/08/15 Птн 08:55:04 184158 119
>>184018
Так все-таки, как связаны sum(I) = 0 и I = U/R? Из приведенных цитат это никак не следует.
Аноним 28/08/15 Птн 08:59:29 184159 120
>>184065
>Нахуя менять что-то в оригинале статьи автора, когда он писал о токах, на моменты и стержни?
Чтобы понять, чем знаменитый работами в строительной механике Кирхгоф вдохновлялся, формулируя первое правило. Так как имеет место быть полная аналогия между правилом узлов Кирхгофа и уравнением равновесия узла в механике.
>Поменяй лучше на объём говна, сливающийся со всех толчков. Что втекает, то и вытекает. Так понятно?
Понятно лишь то, что у тебя фиксация на говне.

>>184068
Открывай любой учебник и смотри формулу расчёта выходного сопротивления каскада ОЭ с резисторов в эмиттере, в коллекторе которого находится нагрузка (простейший ИТ).

ri = rкэ[1+ßRэ/(Rб+ßrэ+Rэ) ], где
rкэ - сопротивление коллектор - эмиттер;
rэ = сопротивление перехода эмиттер-база;
Rб - полное сопротивление входного делителя.
Rэ - номинал сопротивления в цепи эмиттера.
Школьник, блядь, с идеальными источниками тока на одном транзисторе с конечным h21.
Аноним 28/08/15 Птн 09:24:14 184160 121
120Кб, 1024x671
1024x671
>>184159
Умный, да? Да вся эта наука-хуюка, физика-хуизика — это всё для пердоликов вонючих, питушков грошовых, недобитой вшивой интеллигенции. Это только они в своих засраных НИИ пердолятся, потому что нет у них ни дома, ни семьи, ни бабы, ни работы нормальной. Вот и хвастаются друг перед другом своими никому не нужными знаниями, да ещё тем, консолькой пердолятся в срачельничек. А нам, нормальным людям, и так неплохо. Работа приличная, платят много, дома красивая девушка ждёт, можно на досуге в игры поиграть — что ещё нужно? На хуй нам эти ваши нейтрино с бозонами и коллайдерами всрались?
Ну-ну, глупенькие питушки, не плачьте, лучше бегите в свои сраные НИИ пердолиться консольками и компилировать свои сраные програмки для анализа столкновений протонов. Да подгузники поменять не забудьте, а то в ваших пердоликовых лабораториях и в туалет-то не выйти, ибо он в аварийном состоянии, а уборщица спокойно прогуливает работу и при этом получает больше, чем вы. Зато вы можете друг перед другом хвастаться тем, как много вы знаете законов Ньютона, от этого и боль в пердаке от многолетнего пердолинга и питания дошираками легче становится, правда? Только вот к нормальным людям со своими физиками не лезьте. Мы, нормальные люди, таких как вы задотов ещё в школе в унитазе топили, и сейчас на вас только плевать будем. Потому что вы гниль, говно и паразиты, вы с вашими бесполезными "исследованиями" и сраными формулами и теориями только зря место занимаете, вы хуже бомжей, потому что бомжи хоть в интернете не срут своим блядским квантмехом.
Аноним 28/08/15 Птн 09:37:47 184161 122
>>184132
ок, спасибо. Видимо надо дальше читать хилла. Он дает ОЭ до разъяснений выбора рабочей точки.
Аноним 28/08/15 Птн 11:17:51 184172 123
>>184161
Только не произведение действующих, а произведение мгновенных. Оговорился.
Аноним 28/08/15 Птн 11:35:59 184173 124
>>184130
>Потому я и увольняю часто ,и не беру на работу
преуспел в жизни, сидя на дваче
Аноним 28/08/15 Птн 11:39:14 184174 125
>>184159
Товарищ студент, Вы не поняли вопроса в билете. Придёте ещё раз.

>>184036
>Вопрос: как изменяется выходное сопротивление при увеличении глубины ОС в данной схеме?

Глубины ОС, Карл! Иди дрочи дальше на свои формулки.
Аноним 28/08/15 Птн 12:08:11 184175 126
63Кб, 800x536
800x536
>>184159
>Кирхгоф вдохновлялся
Аноним 28/08/15 Птн 12:09:34 184176 127
>>184158
Бери ориджиналь и штудируй.
Аноним 28/08/15 Птн 12:13:03 184177 128
87Кб, 1278x659
1278x659
>>184174
Судя по этому дебильному
>Карл!
ты тот же безграмотный петушок, который писал >>184068.
Теперь смотрим, как по условиям задачи из >>183980 орагнизована ООС:
>транзистор с ОЭ, ООС образована сопротивлением в эмиттере
Теперь смотрим на влияние номинала этого резистора на глубину ООС для данных условий.
http://mydocx.ru/1-25057.html
Даю ссылку, так как самому расписывать лень. Ну и пикча с выжимкой. Остаётся добавить для школьников, что ООС по принципу своему усиление уменьшает, чем больше её глубина - тем меньше усиление, остальное в картинке есть.

>>184160
Знатно бомбанул, даже не поленился такую пасту длинную сюда тащить.
Аноним 28/08/15 Птн 12:16:55 184178 129
>>184175
Таки да. Максвелл, кстати, говоря, тоже изначально механик (например, теорема Максвелла - одно из важнейших следствий главной теоремы стротельной механики (теоремы Бетти)), и многие его труды в области электричества тоже в известной степени опираются на его наработки как механика. И не тольо эти двое, даже само слово "напряжение" в русском языке первоначально обозначало напряжение механическое, и только потом, после опубликования работ Максвелла, стало переводом английкого voltage.
Аноним 28/08/15 Птн 12:20:40 184180 130
>>184160
Уже видел на \b, когда спорили про то имеет ли фотон массу или нет.
Аноним 28/08/15 Птн 12:27:44 184183 131
>>184177
Для особо тупых:

>Вопрос: как изменяется выходное сопротивление при увеличении глубины ОС в данной схеме?

Выходное, Карл!
Аноним 28/08/15 Птн 12:38:35 184187 132
>>184178
Охуенно. Вот тебе от дяди Васи-сантехника:

Высота водонапорной башние даёт давление (напряжение) в нижней точке.
Там подключена труба длиною L с вентилем на другом конце.
Если вентиль закрыт, давление (напряжение) по всей длине трубы постоянно. Так ты меряешь напряжение вольтметром с достаточно высоким входным.
Открыли вентиль, возникло течение (ток, Карл) и перепад давлений на погонный метр трубы (voltage dropout).
Чем длиннее и уже труба, тем больше она создаст сопротивления, тем больше упадёт давление до вентиля.
Прохуяриваем ещё одну трубу к той же начально точке, но с отдельным вентилем. Выводим охуительно просто первое правило Кирхгофа,
да и формулу параллельного включения резисторов, пардон говнотруб.

Вдохновляйся!
Аноним 28/08/15 Птн 13:11:34 184192 133
>>184178
И вдогонку о 2-ом правиле Кирхгофа от дяди Васи. Он сегодня трезвый и добрый.

Сумма перепадов давлений по отрезкам труб в контуре будет равна сумме перепадов давлений, создаваемых работающими в этом контуре насосами (=ЭДС).
Аноним 28/08/15 Птн 13:14:14 184193 134
>>184187
Я не знаю, что с тобой можно сделать. Скорее всего, усыпить.
Кирхгоф занимался механикой, а не гидравликой. То, что у тебя, очевидно, маниакальное желание свести всё к сантехнике и говну, выдаёт в тебе тяжёлые комплексы.
Кстати, к закону Кирхгофа в твоей писанине имеет отношение только шестая строчка. А то, что аналогии между основными уравнениями и законами можно усмотреть много где - дело известное, есть, например, и даже часто так и называется, закон Ома для тепловой цепи.
Аноним 28/08/15 Птн 14:05:14 184197 135
>>184193
Там, где про длину трубы и сечение (вязкость = удельное сопротивление), где падение давления выражается через проток и своиства трубы и жидкости, - закон Ома в первом приближении.

>>184193
>А то, что аналогии между основными уравнениями и законами можно усмотреть много где
Но только не правило моментов для ЧАСТНОГО случая РАВНОВЕСИЯ.

ЗЫ Сколько получаешь чистыми? У меня 6000 выходит.
Аноним 28/08/15 Птн 14:18:18 184198 136
>>184197
>Там, где про длину трубы и сечение (вязкость = удельное сопротивление), где падение давления выражается через проток и своиства трубы и жидкости, - закон Ома в первом приближении.
Так речь шла о законе Кирхгофа. А ещё раньше - о том, как он якобы "основан на законе Ома". Что характерно, это кукареку так и не получило подтверждения.

>Но только не правило моментов для ЧАСТНОГО случая РАВНОВЕСИЯ.
У тебя отрицание реальности? Первый закон Кирхгофа - это тоже ЧАСТНЫЙ случай РАВНОВЕСИЯ, поскольку узел в электрической схеме не есть источник ненулевого тока, точно так же, как неподвижный узел в механической системе не имеет момента вращения.

>ЗЫ Сколько получаешь чистыми? У меня 6000 выходит.
6000 чего? У меня в среднем порядка 60-65К рублей на руки.
Аноним 28/08/15 Птн 14:33:40 184203 137
655Кб, 840x630
840x630
>>184198
>ЧАСТНЫЙ случай РАВНОВЕСИЯ
охуенно частный
Аноним 28/08/15 Птн 14:34:54 184204 138
80Кб, 413x395
413x395
Аноним 28/08/15 Птн 14:36:27 184206 139
21Кб, 1223x821
1223x821
>>184198
Кароч, пиздеть мы все любим. На то и двач. Не затруднит набросать уравненицца? Ищем потенциалы в узлах.
Аноним 28/08/15 Птн 15:19:48 184210 140
>>184203
Не более частный, чем уравнение равновесия узла механической системы.

>>184204
Ну хоть не гривен, хрюснявый.
Аноним 28/08/15 Птн 15:20:34 184211 141
>>184210
В смысле, такой же частный.
Аноним 28/08/15 Птн 15:26:42 184212 142
>>184210

Уж полночь близится, а Германа всё нет >>184206
Аноним 28/08/15 Птн 15:56:39 184219 143
>>184212
>Уж полночь близится
А между тем, не прошло и двух часов, и день рабочий.
Давай так - я вывожу уравнения потенциалов, а ты пруфаешь кукареку из >>183065
Аноним 28/08/15 Птн 16:05:40 184220 144
>>184219
На уравнения нужно 6 минут. ШЕСТЬ, КАРЛ! Ты уже 3 поста написал, а день-то рабочий.

>>183065
Ты выиграл. Стержни там. Ох уж это русское "усраться- не поддаться". С тебя уравнения.
Аноним 28/08/15 Птн 21:59:52 184288 145
>>184219
Всё работаешь, бедолага?
Скажи уж, а я "начерчу пару формул".
Аноним 28/08/15 Птн 22:51:05 184296 146
>>184173
Вчера залез первый раз с конца зимы. Сегодня залез проверить, кто ответит. На удивление человеческий ответ, кстати.

Завтра ещё залезу, а так - не понимаю нахуй оно надо., залажу, как напьюсь, ничего не меняется, вот, сегодня увидел, что человек видя и давая ссылку на 0,47 мкФ на голубом глазу порет хуиту про то, что это 4,7 мкФ. Хули, на декаду ошибся всего - это же всего ничего, даже за ошибку не считается.
Аноним 28/08/15 Птн 23:55:56 184303 147
>>184296

Это? >>184124 (OP)
Бросай пить. Тебе уже C vs bias voltage мерещатся.
Аноним 29/08/15 Суб 00:04:52 184306 148
>>184303
Мерещатся? по ссылке сходи. или скриншот сделать, специально для незрячих?
Аноним 29/08/15 Суб 00:08:53 184308 149
5Кб, 320x253
320x253
Аноним 30/08/15 Вск 08:31:27 184486 150
>>184176
Там про это не написано.
Аноним 30/08/15 Вск 14:03:36 184524 151
>>184486

Уравнения будут >>184206 или пиздобол?

Хуею с этой гордости российской науки! Пиздеть горазды из-за любой хуйни, лишь бы выставить себя умнее, а если что сделать скажут, обосрутся и сольются под 100500 надуманных предлогов. Предпочитают критиковать, а не делать. Так удобнее и безопаснее.
Аноним 04/09/15 Птн 09:41:52 185066 152
>>184524
>Уравнения будут...?
У опа спрашивай, хуле ты к нам доебался?

Вот тебе сраная методичка, гуглится на раз: http://www.websor.ru/kirhgof.html. Выглядит вроде осмысленно. Обрати внимание на это:

"Пусть электрическая цепь содержит В ветвей и У узлов... на основании первого и второго законов Кирхгофа можно составить соответственно У - 1 и В - У + 1 взаимно независимых уравнений, что в сумме дает необходимое и достаточное число уравнений для определения В токов (во всех ветвях)."

Аноним 14/09/15 Пнд 16:28:19 185881 153
Аноны, такой вопрос это важно! с каких точек в схеме снимается напряжение обратной связи. Имеется в виду, где находятся те два потенциала которые мы сравниваем, что бы получить напряжение ОС. С нагрузки и ветви где находится напряжение ОС? Или с входа и с ветви где находится ОС? Помогите пожалуйста.
Аноним 14/09/15 Пнд 16:28:36 185882 154
Бамп
Аноним 14/09/15 Пнд 16:30:30 185883 155
Бумп
Аноним 14/09/15 Пнд 21:33:27 185910 156
Могу ошибаться или забыл, но ТОЭ в моём КАИ-пупземли значило "Теоретические основы электроники" . Были ещё физические основы электроники.
Аноним 16/09/15 Срд 10:58:36 186050 157
>>185881
Так вопрос ИМХО ставить нельзя. Определи, где вход, а где выход после трансформации через активные элементы. Если сигнал в выхода (даже промежуточного) поступает на вход, имеешь ОС.
Аноним 02/10/15 Птн 17:25:32 188213 158
>188198
заходи
Аноним 02/10/15 Птн 17:26:01 188214 159
Аноним 25/10/15 Вск 17:08:42 191800 160
55Кб, 939x768
939x768
Анончики, помогите! Вот такую ерунду расчитываю для универа. (4 вариант) При расчетах получается Uэ = -6В. Что-то не нравится мне это. Так должно быть? Или даже так может быть? Потом при расчете резисторов брать это напряжение с минусом? Подскажите в чем ошибка?

Считаю вот по этой формуле формул. Ek=Uкп+Uкэп+Uэп
25/10/15 Вск 17:17:24 191802 161
>>191800
Зин, а что не так-то? У тебя питание -Ек.
Аноним 25/10/15 Вск 17:20:07 191803 162
>>191802
Ну если я поменяю питание на плюс, то мне будет необходимо и токи сменить? Тоже самое получится?
Аноним 25/10/15 Вск 17:21:09 191805 163
>>191803
Или ты говоришь что в формуле тогда будет -Ek?
25/10/15 Вск 17:22:31 191806 164
>>191803
Да. То же самое, но с другим знаком. Правила Кирх Гофа знаешь?
Аноним 25/10/15 Вск 17:24:38 191807 165
>>191806
Да. Ладно, тогда съебываю. Просто сомнения какие-то оставались
Аноним 25/10/15 Вск 18:57:15 191824 166
>>191806
>Кирх Гофа
значение знаешь?
Аноним 26/10/15 Пнд 09:11:58 191938 167
>>191824
Церковь Гофа, по-немецки! )
Аноним 26/10/15 Пнд 12:05:49 191963 168
>>191938
кирха, кюхен, киндер!
Аноним 26/10/15 Пнд 16:28:34 192000 169
>>191824

>Кирх Гофа

это два разных человека, один отвечал за входящий ток, другой базарил за выходящий
Аноним 06/11/15 Птн 13:59:15 193339 170
по этому предмету завалил экзамен и ушел из института. теперь эту хуйню терпеть не могу из-за совковых агрессивно настроенных ебанутых преподавателей. никакого положительного подкрепления, только отрицательное, от чего и избегаю этого интересного занятия. как берусь за учебник, чтобы самому все выучить, в своем темпе - сразу стресс. убеки преподы во всем виноваты.
Аноним 06/11/15 Птн 18:44:43 193351 171
Сенсей-сама! и ты, дорогой анон, выручай.

1) Входной импеданс(Z) - это отношение входного напряжения к силе тока, тобишь получается входное сопротивление?

2) Много величин в радиотехнике измеряется с юзанием комплексных чисел? Или по пальцам можно сосчитать?

3) В задачах, где нужно по схемам расчитать что-либо и построить, но входные данные номиналов резисторов и других элементов цепи не даны, значит нужно самому "удобные" значения брать?
Аноним 06/11/15 Птн 21:49:21 193374 172
>>193339
Дай я тебя обниму, онан!
Аноним 10/11/15 Втр 09:47:04 193881 173
>>180582
Кинь прям сюда книжек для идиотов, пригодятся же. Будь няшей.
Аноним 10/11/15 Втр 15:20:18 193942 174
>>193881
Зернов Карпов качай, дрочи 4х полюсники, ссы всему треду в рот, ибо все остальное нахуй не надо.
Баскаков По рядам Фурье и Спектрам, тоже дрочи, это главная тема в РЭА
Аноним 28/11/15 Суб 14:40:50 196669 175
1Кб, 198x319
198x319
>>180381
Хитрость в том, что на вход подается ступенька, а не постоянка. По 1 закону коммутации ток до коммутации на индуктивности равен току после коммутации и току во время коммутации. Изначально ток в цепи равен неопределенному значению, так как напряжение на входе 0 и входное сопротивление тоже 0. Таким образом задача составлена некорректно. Что произойдет при скачке напряжения не ясно, но в установившемся режиме на выходе не будет нифига, так как ЭДС самоиндукции образуется только при изменении напряжения на первичной обмотке трансформатора.

Условие задачи было бы корректно если бы активное сопротивление индуктивностей трансформатора было ПРЕНЕБРЕЖИМО МАЛО, тогда изначальный ток был бы произвольно велик, но не бесконечен, в таком случае на выходе получился бы импульс напряжения с вертикальным фронтом, нулевой длительностью и плавным спадом до нуля, пикрелейтед.
Аноним 02/02/16 Втр 12:27:43 209283 176
Аноним 19/04/16 Втр 21:38:00 226055 177
Где прочитать про расчет цепей методом наложения и эквивалентного генератора?
Вот прям чтобы совсем для дибилов
Аноним 19/04/16 Втр 23:46:51 226093 178
>>193351
>1) Входной импеданс(Z) - тобишь получается входное сопротивление?
Логика железная, не попрёшь.
>2) Много величин в радиотехнике измеряется с юзанием комплексных чисел?
Смотря что понимать под "радиотехникой" и "считать". Проще сказать, что ничего не считается.
>3)
Чаще всего, такие задачи при обучении нацелены на описание процессов в схемах и прочее такое, где особо номиналы и не нужны. Или сокращается всё\выводится в общем виде.
Аноним 20/04/16 Срд 23:07:57 226200 179
145Кб, 500x492
500x492
Есть четырехпроводная трехфазная сеть.

Есть трехфазхный потребитель, у которого номинальное напряжение совпадает с фазным напряжении сети => он треугольник.

Куда в него ноль втыкать?

С меня сотни нефти.
Аноним 21/04/16 Чтв 03:48:32 226212 180
>>226200
Никуда. Даже если бы была звезда - ноль нужен только если нагрузка несимметричная.
Аноним 21/04/16 Чтв 12:45:51 226247 181
183Кб, 1043x1396
1043x1396
Аноним 24/04/16 Вск 20:06:51 226844 182
574Кб, 1670x1127
1670x1127
8Кб, 675x355
675x355
>>180271 (OP)
Сенсей-сама!
Поясни пожалуйста, как суммируются два гармонических сигнала с одинаковыми частотами, но разными фазами и амплитудами? Я знаю, что в сумматорах суммируются мощности сигналов (при этом сопротивление константа), а не амплитуды. Но как? Какая будет формула для напряжения с выхода вот этой антенны?
Сразу попрошу без амплитудных, фазовых и мощностных диаграмм направленности для антенных решёток. Это всё мне известно. Мне нужно таки разобраться с этой мелочью про суммирование сигналов.
Аноним 25/04/16 Пнд 00:08:14 226867 183
138Кб, 810x1080
810x1080
>>180271 (OP)
Сенсей-сама!
Помоги пожалуйста с решением этой байды, в крайнем случае напиши порядок действий ,нужно запилить до среды(
Аноним 25/04/16 Пнд 01:29:33 226872 184
Нужна схема блока питания. Малогабаритного, мощного, Импульсного, мостового.
220в переменка на вход, 27в 20а на выходе а, 12в 15а на б, 5в 15а на в, 3,3в 15а на г.
В наличии есть мосфиты ир630 и редакторы. Куча диодов, стабилитронов, радиаторов...
Аноним 25/04/16 Пнд 01:31:39 226874 185
Быстрофикс кароч есть почти все элементы. Но ни одна схема не тащит такие токи...
Аноним 04/05/16 Срд 06:58:17 228873 186
>>180381
Волной короче, это колебательный контур. У меня всё.
Аноним 08/05/16 Вск 14:59:35 229693 187
14Кб, 582x236
582x236
Сенсей-сама!
Читаю радио это просто. Айсберга.
Как происходит сглаживание высокочастотного сигнала через конденсатор? Вот проходят электроны через диод, а дальше что? Поток электронов равными частями разделяется? Происходит разряд через динамик Тл. Но пока С не заряжен через Тл тоже что-то идет? Т.е. все высокие частоты сгладить не выйдет? Есть так же другой вопрос. Как выпрямление срабатывает? Вот прошел ток ч/з диод, немного зарядил кондер, возможно, частью прошел через динамик как высокочастотный. Потом пошел в обратном направлении на С и Тл, дальше диод не пропустил. Но через Тл и С то он уже прошел. Не понимаю как это вообще может работать как приемник. Я бы два диода влепил. Ведь, когда ток идет в обратном направлении (по низу схемы) он должен портить сигнал.
Аноним 08/05/16 Вск 15:35:09 229697 188
>>229693
>Потом пошел в обратном направлении на С и Тл, дальше диод не пропустил. Но через Тл и С то он уже прошел
>Но через Тл и С то он уже прошел
Найс
Аноним 08/05/16 Вск 16:15:32 229703 189
16Кб, 587x239
587x239
>>229697
Есть что по делу сказать - говори, вот описание моих слов в картиночке. Обратное направление - зеленое.

Ток в этом направлении должен же уменьшить напряжение на С.
Аноним 08/05/16 Вск 20:25:48 229741 190
>>180271 (OP)
Уважаемый сенсей-сама, помоги разобраться со схемами импульсного преобразователя с 12 до 5 вольт, там есть коварные чипы, которых у меня нет, есть и ламповые, которых у меня тоже не имеется, есть куча конденсаторов разных номиналов, огромное количество резисторов и транзисторов, а так же других деталей с двух телевизоров.
Аноним 08/05/16 Вск 20:26:17 229742 191
>>229741
Прошу прощения, с 5-ти до 12-ти.
Аноним 09/05/16 Пнд 00:33:50 229804 192
>>229703
Может есть какая программка, которая позволит узнать как идет ток в каждый момент времени в цепи?
Аноним 09/05/16 Пнд 13:24:01 229873 193
18Кб, 550x309
550x309
107Кб, 513x540
513x540
Котаны, бьюсь который день над задачей составления передаточной функции RC-цепи (пикрелейтед). Мой ход решения представлен на пикрелейтед 2. Где я не прав?
Аноним 09/05/16 Пнд 13:27:11 229875 194
>>229873
писал с черновика, лол, нашел косяк. Сейчас исправлю
Аноним 09/05/16 Пнд 13:35:15 229876 195
105Кб, 510x525
510x525
Аноним 09/05/16 Пнд 15:16:19 229906 196
5Кб, 440x351
440x351
>>229876
Всем спасибо! Собрал эквивалентную схему в симуляторе и произвел символьный анализ. Результат верный.
Аноним 10/05/16 Втр 18:23:09 230145 197
Поясните, в чем принципиальное отличие магнитных цепей от электрических?
Аноним 10/05/16 Втр 23:28:23 230268 198
Аноним 11/05/16 Срд 22:30:24 230478 199
>>230268
а есть что-нибудь с поддержкой ламп?
Аноним 16/05/16 Пнд 00:04:00 231434 200
>>230478
Electronic workbench, например. Вообще, подобных много, и любой лучше этой поделки студентов.
Аноним 19/05/16 Чтв 15:51:32 232065 201
57Кб, 1211x565
1211x565
помогите пожалуйста, в учебнике почти ничего нет о четырехполюсниках
Аноним 19/05/16 Чтв 17:02:50 232080 202
11Кб, 776x161
776x161
12Кб, 791x164
791x164
Аноним 20/05/16 Птн 11:14:36 232249 203
>>231434
спасибо
А русик там - не перевод, а доп. элементы, только нашего производства? Или я не так понял?
Аноним 23/05/16 Пнд 10:43:15 232721 204
34Кб, 448x293
448x293
Скоро экзамен по тоэ, а я ничего не знаю и боюсь проволить, где можно найти человека который на экзамене решит задачу вместо тебя?
Аноним 25/05/16 Срд 20:24:21 233103 205
>>232065
решите, пожалуйста
Аноним 26/05/16 Чтв 15:25:26 233269 206
>>233103
Да ради бога.
Re((1/(1/R2 + 1/(j omega L)))/(R1 + 1/(1/R2 + 1/(j omega L))))
Если я правильно понял условие.
Аноним 27/05/16 Птн 21:06:30 233534 207
Аноним 29/05/16 Вск 21:35:32 234024 208
42Кб, 960x711
960x711
Сенсей-сама! Дали, в общем, задание по цифровой технике, а я даже не знаю что тут нужно вычислить, что должно в результате выйти. Видимо, что будет на Y который на выходе. И вообще, поясни плиз за мультиплексоры и как решается подобное дерьмо. Спасибо
Аноним 29/05/16 Вск 21:37:30 234026 209
wej - это типа выход (я учусь в польше, лол), ну а "А","В" - это варианты для разных пиздюков.
>>234024-кун
Аноним 29/05/16 Вск 21:38:50 234027 210
да еб твою мать, wej не выход, а вход
Аноним 31/05/16 Втр 15:17:15 234289 211
317Кб, 1280x949
1280x949
>>180271 (OP)
Сенсей-сама, скажите, правильно ли я запилил графики, и если не сложно скажите, как uL(t) построить
Аноним 31/05/16 Втр 18:07:23 234326 212
>>234027
>>234024
Да выходом твой wej должен быть. У тебя внизу написана таблица истинности для этого большого блока. По сути он просто соединяет с выходом(который на схеме(именно на самом мультиплексоре) Y) вход с номером ab (в двоичном представлении, ну бля, на таблицу внизу посмотри) . Ну а дальше просто считай, что на входы твоих логических блоков поступает и пиши ответ.
Аноним 03/06/16 Птн 08:40:39 234805 213
39Кб, 914x865
914x865
1Кб, 333x61
333x61
Сенсей-сама, нужно рассчитать схему методом узловых потенциалов. Как быть, если есть две ветви с ЭДС с бесконечными проводимостями?
Аноним 03/06/16 Птн 08:43:58 234807 214
1Кб, 333x61
333x61
Аноним 03/06/16 Птн 09:55:19 234817 215
>>180271 (OP)
Необходима помощь, анон! Как расчитать допустимое напряжение шумов в динамическом диапазоне чего угодно? В интернетах найти не могу ебучие формулы.
Аноним 06/06/16 Пнд 22:34:27 235497 216
119Кб, 750x750
750x750
>>180271 (OP)
Сенсей-сама!
Вообщем купил микросхемку простенького усилителя для авто D класса. Максимальный ток 3 ампера. Как подключить к питанию?
Я так понял надо будет ставить стабилизатор тока. Но он понижает напряжение.
Сенсей, подскажи как лучше сделать?
Аноним 08/06/16 Срд 10:18:33 235791 217
сенсей. расскажи мне, можно ли вместо одного медного двужильного провода сечением 4мм использовать 2 двужильных 1.5мм, у которых жилы спарены(ну спаяны на концах). как к этому относится ПУЭ и вся хуйня.
а то BATYA хочет сьеврейничать и не покупать ничего, т.к. валяется куча бесплатного 1.5мм провода.
Аноним 08/06/16 Срд 15:50:05 235883 218
>>235791
>BATYA хочет сьеврейничать и не покупать ничего
Если бы я делал для себя -- взял бы нормальные 4 квадрата. Но раз BATYA хочет, значит можно. По отдельности 2 по 1,5 дают 2х16А = 32А, вроде норм. ПУЭ это дело, думаю, не одобряет.
Аноним 08/06/16 Срд 18:09:23 235934 219
>>235791
Один провод ломается. Другой начинает гореть. Но вы можете еврейничать если это не в моем доме.
Аноним 08/06/16 Срд 22:11:18 235965 220
>>235883
>>235934
В том то и дело, что я еврейничать не хочу, и по-любому бы брал 4мм, но как объяснить бате, что еврейничать в таком вопросе - это плохо. Поэтому хочу ему тыкнуть носом в какой-нибудь вполне осязаемый запрет, из ГОСТов или ПУЭ и пригрозить какой-нибудь страшной хуйней.
Аноним 08/06/16 Срд 22:22:08 235968 221
>>235965
В ПУЭ даются четкие указания, проводом какого сопротивления прокладываются линии для определенного тока. В целом ничего преступного нет. Но: пайка для высоких токов нежелательна(электрохимические потенциалы и все такое)(хотя событие повреждения из разряда фантастики). И уменьшение надежности линии, как я выше написал.
Аноним 13/06/16 Пнд 06:31:25 236660 222
>>235968
хуйни-то не неси про пайку
Аноним 17/06/16 Птн 15:33:10 237377 223
Сейнсей-сама! Намедни экзамен по электронике, подскажи по чем сподручнее готовиться, а то в сети все пиздец а разброс. Вот список вопросов.
1. Анализ электрических цепей. Метод законов Кирхгофа. Пример.
2. Анализ электрических цепей. Правила комбинирования элементов. Пример.
3. Анализ электрических цепей. Метод узловых потенциалов. Пример.
4. Линейность. Однородность. Принцип суперпозиции.
5. Анализ электрических цепей. Метод суперпозиции. Пример.
6. Метод эквивалентного генератора. Схема Тевенина. Пример.
7. Метод эквивалентного генератора. Схема Нортона. Пример.
8. Цифровые схемы. Проблема зашумления аналоговых сигналов.
9. Пороги напряжений и логические уровни.
10. Обработка цифровых сигналов. Булева логика.
11. Логические элементы. Абстрактные модели.
12. Логические элементы. Физические модели.
13. Построение цифрового инвертора на базе МОП-транзистора. Модель «переключатель».
14. Построение цифрового инвертора на базе МОП-транзистора. Модель «переключатель-резистор».
15. Нелинейные схемы и их анализ. Аналитический метод. Пример.
16. Нелинейные схемы и их анализ. Графический метод. Пример.
17. Нелинейные схемы и их анализ. Метод кусочно-линейной аппроксимации. Пример.
18. Нелинейные схемы и их анализ. Дифференциальный метод.
19. Дифференциальный метод анализа нелинейных схем. Метод малых сигналов.
20. Зависимые источники питания. Усилители сигналов.
21. Режимы работы МОП-транзистора.
22. Модель «переключатель-источник тока» МОП-транзистора.
23. Конденсатор.
24. RC-цепи и их анализ. Пример.
25. Индуктивность.
26. RL-цепи и их анализ. Пример.
27. Операционные усилители.
28. Инвертирующий и неинвертирующий усилитель на базе операционного усилителя.
29. Дифференциальный усилитель на базе операционного усилителя.
30. Устройство и принцип работы диода. ВАХ диода. Применение.
Аноним 26/06/16 Вск 18:10:35 239110 224
>>237377
Вопросы 1-7, 23, 25 вообще в школе изучают.
Какой-то странный предмет у вас, эта "электроника". Это все можно за один семестр изучить только весьма поверхностно.
Можешь начинать учить устав внутренней службы ВС РФ.
Аноним 27/06/16 Пнд 11:06:13 239209 225
>>237377
Смешались в кучу люди-кони. Пограмизд небось? У нас эти вопросы встречались в разных курсах: ТОЭ, цифровые устройства, аналоговые и т.д.
миморадиоинженегр
Аноним 30/06/16 Чтв 21:53:33 240170 226
>>237377
Готовься по книжкам, по которым вам это всё преподавали.
Очевидно же.
Аноним 30/06/16 Чтв 21:58:25 240173 227
>>239110
>Вопросы 1-7, 23, 25 вообще в школе изучают.
И системы линейных уравнений решают?
Какая замечательная школа!
Аноним 01/07/16 Птн 15:47:51 240294 228
>>240173
>И системы линейных уравнений решают?
А что тут такого? Он действительно правильно перечисли школьную программу. Разве что с методами эквивалентных генераторов перебрал (и то там нешкольного только названия методов).
Аноним 01/07/16 Птн 16:50:14 240301 229
>>240294
Для меня новость, что ТОЭ как бы со школы дрочить стали.
Аноним 01/07/16 Птн 21:36:58 240340 230
>>240301
А что это ТОЭ? Законы Кирхгофа + закон Ома + Комплексные нагрузки? Все в школе было. Ну разве что с катушками поменьше задач. Или в ТОЭ еще что-то есть? У самого просто их не было.
Аноним 05/07/16 Втр 13:37:56 240927 231
Чем заменить позистор в схеме запуска двигателя компрессора холодильника с 2 обмотками? Мне не нравится что он греется, т.е. жрёт электричество зазря, а кроме того при кратковременном отключении электричества не даст перезапустить компрессор пока горячий.
Аноним 05/07/16 Втр 20:05:17 241011 232
13Кб, 478x232
478x232
А что тут характеризует деПси/поДт. Скорость изменения магнитного потока? Почему нельзя написать L*(dI/dT)?
Аноним 06/07/16 Срд 14:23:05 241071 233
>>180555
1 и 2 правила Кирхгофа.
Аноним 07/07/16 Чтв 02:47:29 241214 234
>>240340
>Комплексные нагрузки? Все в школе было.
какого года учебник?
Аноним 07/07/16 Чтв 07:27:02 241224 235
>>240340
Пруф в виде школьного учебника, плис
Аноним 07/07/16 Чтв 09:47:18 241235 236
>>241224
Не заглядывал в школе в учебник, если честно.
Аноним 07/07/16 Чтв 09:53:11 241237 237
>>240340
>Или в ТОЭ еще что-то есть?
Про резонанс в школе как объясняли? Качество контура Q и вся хуйня.

И вот да
>>241224
>Пруф в виде школьного учебника
или хотя бы год, когда ты это в школе учил.
Аноним 07/07/16 Чтв 13:02:21 241249 238
>>241237
Не помню, как нам что в школе объясняли, если честно. Про резонанс была как минимум формула частоты. В институте точно помню, что предполагалось, что комплексное представление импеданса всем уже известно. Но я это и так в 10 классе (2005 год) уже знал.
И да, ты имел в виду добротность.
Аноним 07/07/16 Чтв 13:15:54 241251 239
Аноним 07/07/16 Чтв 13:28:02 241254 240
>>241251
>комплексные числа
11 класс
>комбинаторику
5 класс (серьезно)
>полиномиальную формулу
тоже рядышком с 5 классом было
Но вообще не буду спорить. В средних школах в лучшем случае арифметику изучат, а потом егэ напишут на 30 баллов.
Операционный усилитель Аноним 07/07/16 Чтв 20:05:43 241302 241
24Кб, 604x340
604x340
Сенсей-сама! Объясни, как на схеме-пикрелейтед выразить напряжение на инвертирующем входе через все остальные. Я думал так: U01+U12=U02; U01=-Uвх, U02=-U20, тогда U20=Uвх-U12, но по правилу для ООС U20=U10=Uвх, а тогда U12=0 и U23=0. FUUUUUUUUUUUU! ЧЯДНТ?
Аноним 07/07/16 Чтв 21:03:22 241331 242
1025Кб, 3264x2448
3264x2448
Аноним 07/07/16 Чтв 21:29:19 241334 243
>>241331
Буду разбираться, спасибо.
Аноним 07/07/16 Чтв 21:48:30 241336 244
>>241334
На здоровье. В том уравнении спрятано равенство токов через R12 и R23. Потенциалы растасканы по сторонам. Источники справа, зависимые слева.
VCO, вся хуйня Аноним 10/07/16 Вск 01:21:52 241669 245
168Кб, 3145x1800
3145x1800
Сап
Хочу разобраться в устройстве VCO (voltage-controlled oscillator), взял схемку как на пике (с yusynth.net), загнал ее в proteus, а она не робит... Мб кто знает, в чем хуйня? Может софт не тянет такие кренделя на опампах?
Аноним 10/07/16 Вск 02:54:34 241670 246
Аноним 10/07/16 Вск 02:55:21 241671 247
Аноним 10/07/16 Вск 22:06:54 241829 248
>>241671
На входах - вольтаж, задающий высоту тона (1V/OCT), то есть 0 вольт - до 1 октавы, 1В - до второй октавы и т.д. Также на вход подается сигнал для модуляции
Аноним 10/07/16 Вск 22:46:32 241851 249
>>241829
я спрашивал подавал ли ты в симуляции
Аноним 10/07/16 Вск 22:54:48 241855 250
>>241851
Подавал 1В. Если оставить вход без напруги, симуляция вылетает с ошибкой. Все равно - на всех узлах схемы не наблюдается осцилляций. Как я понимаю, место зарождения осцилляций - компаратор LM311 и n-канальный JFET транзюк (на схемке Q1)
Аноним 10/07/16 Вск 23:20:34 241859 251
>>241855
Обратная связь заведена через U5. На нём триггер Шмидта. Q1 работает в ключевом режиме, разряжая C8. R16, R17 на порог триггера особо не влияют, т.к. R19 больше в 100 раз.

Дай сслылку на оригинал схемы. Я у него не нашёл.

Аноним 10/07/16 Вск 23:41:23 241860 252
Аноним 10/07/16 Вск 23:46:48 241861 253
Аноним 10/07/16 Вск 23:48:16 241862 254
Аноним 11/07/16 Пнд 01:00:31 241873 255
5Кб, 259x147
259x147
>>180271 (OP)
С хуя ли пикрелейтед работает? На коллекторе транзистора меньше 0.6 вольт никогда не будет же. И если эти 0.6вольта идут на базу второго транзистора, то он откроется. Точнее он всегда будет открыт. Или я не прав?
Аноним 11/07/16 Пнд 04:11:40 241898 256
>>241873
>На коллекторе транзистора меньше 0.6 вольт никогда не будет же
На коллекторе будет напряжение насыщения, которое прикидочно 0,05..0,2 В.
Резистор-хуистор Аноним 12/07/16 Втр 18:37:25 242126 257
Сап. Видал на некоторых синтезаторах (novation mininova, например) интересную штуку: крутишь такой какую-нибудь ручку (например, фильтр), включаешь новый патч (звук), физическое положение крутилки не меняется, а на самом деле он "звучит", как будто на другой позиции. Интересно, как это реализовано?
Мой варик - переменный резистор, положение которого считывается АЦП, это значение сохраняется/меняется из памяти, затем ЦАП. Вроде логично) Но не дорого ли? Какие тогда там преобразователи стоят?
p.s. Вижу повыше еще один пост с синтодрочерством, кек, я не один тут такой штоле?
Аноним 13/07/16 Срд 07:51:50 242236 258
>>242126
Не вполне тебя понял, но там могут использоваться энкодеры.
Такие АЦП не дороги, во многих телевизорах на них кнопки сделаны, для сокращения количества проводов.
Аноним 13/07/16 Срд 18:09:08 242287 259
>>241898
> напряжение насыщения
> 0,05
Это что за покемон?
Аноним 13/07/16 Срд 22:09:00 242307 260
>>242287
Какой нибудь диод шоты
или германиевый транзистор
Аноним 16/07/16 Суб 18:09:17 242732 261
97Кб, 1920x1080
1920x1080
215Кб, 1920x1080
1920x1080
Уважаемые знатоки. Я хочу сделать фонарик, по схеме как на видео. И хочу сделать катушку максимальной эффективности. Так как я не спец в электродинамике, вопрошаю советов мудрых:


Есть ли смысл мотать катушку как можно толще? Не потеряется ли КПД из за оммического сопротивления провода? Есть ли смысл намотать несколько катушек (поверх друг друга) и подключить параллельно? Как зависит эффективность генерации ЭДС от количества витков?

Спасибо заранее.

https://www.youtube.com/watch?v=ASBE7OPjXkI

Даже запилил черновой эскиз (габариты могут быть больше). На картинке.

Аноним 20/07/16 Срд 00:49:34 243204 262
Бамп.
Аноним 22/07/16 Птн 15:45:32 243535 263
4Кб, 506x317
506x317
>>180271 (OP)
Сенсей-сама! видел одного мужика который рассчитывает усилки вроде пикрилэйтед (правда каскадов побольше), но делает это в уме, и за ~15 сек говорит какой примерно сигнал можно получить на выходе(расхождение амплитуды с бумажными рассчётами процентов 10-20). У меня на это уходит 10 мин и листик бумаги. Научи считать схемы в уме, Сенсей-сама!
Аноним 23/07/16 Суб 12:44:44 243646 264
>>180271 (OP)
Какую книжку надо прочитать чтобы уметь делать всякие йобы без использования программирования?
Аноним 23/07/16 Суб 13:32:26 243648 265
>>243535
Рассчитай сто схем на бумаге, запомни результаты - и сам будешь прикидывать на глаз что и от чего можно добиться.
Аноним 23/07/16 Суб 15:20:29 243668 266
10Кб, 145x137
145x137
>>243646
Ключевой момент не в книжке, а твоем желании разбираться и сидеть ковыряться в формулах, цепях и приборах.

Аноним 30/07/16 Суб 22:57:40 244621 267
92Кб, 1025x728
1025x728
Сенсей-сама, да и просто шарящие аноны, объясните залётному нубу пару вопросов.

Например, один из них: вот есть заряженная батарейка. Говорят, что это источник постоянного тока I. Подключим к батарейке нагрузку R. Со временем, напряжение U на полюсах батарейки будет уменьшаться и, следовательно, в то же время должна уменьшаться величина тока (т.к. сопротивление неизменно). Но, если говорить академическим языком, то постоянный ток -- это постоянный по величине и направлению ток. Какой же он тогда постоянный в случае с батарейкой, если его величина убывает?
В той же википедии написано про Direct Current (DC) -- разновидность постоянного тока, который постоянен лишь по направлению. Этот ток имеется в виду?
Аноним 31/07/16 Вск 06:26:15 244660 268
>>244621
Блять, как бы объяснить попроще.
Ну вот, допустим, ты пошел ссать на бетонную плиту. Плита - это нулевая точка оси ИГРЕК, т.е. ось, обеспечивающая одно направление тока. Толщина твоей струи - это ток. Сила, с которой ты ссышь - напряжение.
Вот, ты только начал ссать - струя толстая, мощная. Но пробить ей бетон ты не можешь - хуй не предназначен для этого. По мере опустошения мочевого пузыря струя также становится тоньше прямо пропорционально прилагаемому усилию т.е. ссышь с силой 2 Па - диаметр струи 8мм, ссыши с силой 1 Па - струя 4мм. Таким образом, с какой силой ты давишь, такого диаметра и будет струя при любых условиях.
Этим и обуславливается постоянство тока по направлению и величине.


Аноним 31/07/16 Вск 12:39:08 244676 269
>>244621
Я понимаю что постоянный ток это ток в одном направлении, переменный это туда-сюда по синусоиде.
Аноним 31/07/16 Вск 13:30:49 244684 270
27Кб, 898x623
898x623
17Кб, 764x623
764x623
>>244660
Чё-т хуёвая аналогия относительно вопроса...
Если у меня лампочка горит при минимальном токе 1А (взято с потолка (no pun intended)), то в какой-то момент батарейка разрядится настолько, что не сможет дать такой ток, хотя меньший по величине ток всё ещё будет идти. Так ведь?
Зависимость величины тока от напряжения мне представляется пикрелейтед -- на первой ток уменьшается вместе с напряжением, на второй -- ток постоянен по величине, напряжение уменьшается. В реальности ведь первый случай, и, строго говоря, постоянного по величине тока (как функции от напряжения и времени) нет. Но есть постоянный по направлению ток, да.
Аноним 31/07/16 Вск 14:33:48 244688 271
>>244684
У тебя в качестве источника - боторейка. У неё ограничен запас ЭДС. Если будет источник бесконечной мощности, то график тока будет постоянен, относительно напряжения.
ПРИ уменьшении напряжения ток так же будет уменьшаться, если брать второй график графики какие-то ебануто-перевёрнутые
Аноним 31/07/16 Вск 14:35:47 244689 272
>>244688
И да, попробуй погуглить таблицы испытания батареек я не пижжу, я года три назад натыкался, там показана зависимость тока от напряжения
Аноним 31/07/16 Вск 14:37:29 244691 273
>>244684
И да, второй график будет верен, если с понижением напряжения так же понижать сопротивление
Аноним 31/07/16 Вск 17:43:23 244715 274
Закон Ома эмпирический закон, который примерно описывает поведение и зависимости U от V и R. Даже такой физико-даун как я это понимает. В википедии же написано.
Аноним 31/07/16 Вск 17:48:18 244717 275
Аноним 31/07/16 Вск 17:50:32 244718 276
48Кб, 851x346
851x346
>>244717
Специально для тебя, косноязычное быдло.
Аноним 31/07/16 Вск 22:55:51 244742 277
>>244621
Батарейка - источник ЭДС. В электролите сидят материалы с разными электрохимическими потенциалами. Между ними возникает напряжение. Деление на постоянный и переменный условно. В общем случае это смесь из обоих. Например, импульсы от 0 вольт до 5 вольт. Тут ток тёк бы только в одном направлении при отсутствии реактивностей в виде ёмкостей и индуктивностей. Но его можно разложить на чисто постоянную составляющую и чистую переменную, из элементарных "синусов".

Постоянный ток потечёт через ёмкость лишь в ограниченный промежуток времени. Переменный будет ходить туда-сюда.

Пряма отвечая на твой вотрос: парающее напряжение на батарейка из-за ее разряда можно разложить в ряд Фулье с ненулевыми гармониками. Значит в нем есть переменная составляющая и оно не чисто "AC"
Аноним 01/08/16 Пнд 00:43:05 244755 278
>>244742
>и оно не чисто "AC"
DC
самофикса*
Аноним 01/08/16 Пнд 09:48:54 244789 279
>>244755
Хорошо, что посамофиксил. Я уж гомном закидать хотел
Аноним 01/08/16 Пнд 09:50:27 244790 280
>>244742
Переменная составляющая в пределах положительного значения графика, ты хотел сказать?
Аноним 01/08/16 Пнд 22:46:18 244859 281
Аноним 01/08/16 Пнд 22:53:43 244860 282
55Кб, 941x651
941x651
>>244790
Ряд Фурье опишет любой "график".
а0/2 - чистая постоянка или DC
всё, что правее, - переменка

Вопрос был задан "академический", вот такой и ответ.
Аноним 14/08/16 Вск 09:26:59 246210 283
59Кб, 600x787
600x787
>>180271 (OP)
Сенсей-сама, будьте добры подкинуть книженцию. Годную, с терминами да пояснениями. Полный ноль перед тобою. Знаю лишь закон Ома и не умею рассчитывать по правилу Кирхгофа. Есть Arduino Mega 2560, Raspberry Pi 3 Model B с мультиметром и набором перемычек с контактной макетной платой. Есть три паяльника без умения паять и скилл в C++ и C# с полным кором .NET Framework, исключая ASP.NET и Entity Framework (Без практики лишь галочка, а не умение). Короче, знания в голову ударили, а FAQ для дебилов вроде меня нету. Помоги, Сенсей-сама.

Ну ещё знаю как двигаются заряды, почему диэлектрики проводят электричество и откуда ток в электролитической ванне , при подаче лишь положительного заряда.
проводка в квартире Аноним 15/08/16 Пнд 20:19:46 246427 284
Сенсей-сама!

поясните неучу две вещи:

1. я много где слышал и читал что соединять N и PE это зашквар, но дьявол как известно в деталях - проделать такое в розетке или где-то еще после УЗО зашквар, но почему это делают перед УЗО? (в щитке на лестничной клетке, именно не PE на шину N, а N-кабель на PE-болт в щитке) вообще так допустимо делать? или это и есть правильный способ "глухогонуления"?

2. Почему между PE и N-кабелем (тот что выходит из электросчетчика) есть потенциал? откуда на нуле из счетчика появилось напряжение? я ошибусь если скажу так - напряжение на нуле может быть только если в сети есть импульсные БП, других "нормальных" причин не бывает (в условиях обычной квартиры)

Спасибо

ахуеннный термин, простите, но не знаю как это правильно называется
Аноним 24/08/16 Срд 18:06:17 247332 285
>>180271 (OP)

приветствую, Сенсей-сама

хочу собрать колебательный контур с частотой резонанса в 50 Гц. (да, чтобы зажечь лампочку от энергии рассеиваемой электропроводкой, кококо)
как известно из формулы томсона, тут понадобится или очень высокая индуктивность, или очень большая ёмкость. существуют ли для таких потребностей способы использовать в таком контуре электролитические конденсаторы? чтобы получилось сочетание негромоздких компонентов и низкой резонансной частоты и без громоздких катушек. как мог бы выглядеть такой контур, если я хочу применять там электролитические конденсаторы, какие есть решения?
Аноним 02/09/16 Птн 18:24:35 248831 286
>>247332
Возьми неполярный электролит и никаких проблем.
Только какой смысл выделять именно 50 Гц? Собирай все частоты, больше мощность будет может даже на светодиод хватит
бога шизика тред 02/09/16 Птн 19:38:48 248851 287
палюби меня шизика расчетница красавица
Аноним 13/09/16 Втр 10:20:01 250136 288
108Кб, 1600x861
1600x861
Знающие, поясните за Maple, пожалуйста.
Я в нем заметил единицы измерения. Попытался посчитать как в маткаде, и хрен. (пик: слева маткад, справа мапле)
Ну, амперы из ваттов деленных на вольты maple вывел.
А энергия индуктивности, которая должна быть в Джоулях, вывел в Генре-квадратоВатт-деленных-на-квадратоАмпер.
Почему оно не преобразует единицы измерения?

Если маткад удобнее бумажки с карандашом, то мапле что-то как-то я не понял пока.

Как пересчитать в мапле весь лист после изменения значений в начале?
Аноним 15/09/16 Чтв 07:07:09 250431 289
>>180548
>Вот у меня
лол, проиграл с школоло вскукарека. у него блять международный пабедитель. победил тебе за щеку, проверяй
Аноним 15/09/16 Чтв 07:09:50 250432 290
>>181907
потмоу что сам уебок
Аноним 17/09/16 Суб 00:05:03 250733 291
>>180278
И ты это сюда принёс?..
Аноним 17/09/16 Суб 05:23:54 250743 292
Сенсей сама! Ты еще здесь? Иль дохл тред ?
Аноним 17/09/16 Суб 10:57:38 250766 293
Аноним 17/09/16 Суб 16:58:35 250810 294
>>250766
Сенсей сама это ты, или просто рандомный анон сказал ёy? Короче у меня вопрос - нахера в книжках столько внимания уделяется решению тупых задачек, 100 резисторов, 100 батареек и тп. Кому нужны все этим методы nodы хуеды mesh хуешь, если в ирл есть софт для этого, никогда никто на бумажке не считает.
Аноним 17/09/16 Суб 19:03:49 250826 295
>>247332
индуктивность в 0,5Гн- параллельно обмотке включил конденсатор на 20мкФ(пробовал от 10 до 40мКФ добавляя по 1 мкФ)- соответственно частота такого параллельного Колебательного Контура равна 50Гц
Паста - отсюда: http://flyback.org.ru/viewtopic.php?t=7053&start=0&sid=7fb17250f80ae299f56a49bbb2687e35

> из формулы Томсона
f = 1/2п√LC
50 = 1/2п√LC
502п√LC = 1

√LC = 1/100п
√LC = 1/100п кLC
LC - √LC
(1/100п) = 0
√LC = x;
x^2 - x*(1/100п) = 0
Решай квадратное уравнение, получай x.
Подбирай LC в соответствии с этим x.
Аноним 18/09/16 Вск 10:10:46 250926 296
>>250810
Потому что из-за своей работы ты можешь, к примеру, оказаться в поле наедине с, скажеммм, телефонной вышкой. Вышка сломана, перегорел каскад резисторов. Ты такой начальнику "тут резюки по пизде пошли, модуль поменять нада"' а он тебе такой "блиаа, денех нет... Ты пощитай, какие резюки в цепях должны стоять, и скажи мне, мы пока залипуху поставим".
И тут ты обсераешься по полной.
Но есть и ещё одна истина - это азы. Знать закон Георга нужно. Ибо на нём обосрамс делать хуёвей всего. Сразу до петуха можно опуститься
Аноним 18/09/16 Вск 18:24:35 250978 297
>>250926
Но то что ты описал это просто расчет паралельных последовательных резюков. Это конечно надо знать. Для этого не нужно рисовать стрелочки, системы уравнений, и заменять источники тока напряжением и прочую побебень
Аноним 18/09/16 Вск 19:11:33 250985 298
И зачем мне преобразования лапласа?? ДЛя сраного усилителя?? Анализ 4-полюсника? Что там анализировать?? Запилил схемку в любом cad софте, посмотрел на формы входа выхода, зачем эта сраная замороченая математика??
Аноним 22/09/16 Чтв 14:38:22 251395 299
>>180271 (OP)
Сенсей-сама помоги. В силу преклонного возраста преподов все основы инженерки были проёбаны, а теперь один из таких преподов требует курсач. Тема - усилитель мощности НЧ. В сети вроде много схем, но не понятно:
1. В моём задании диапазон частот 20 Гц - 25 кГц, а в нете в только 20 - 20000 Гц. Как от прибора зависит принимаемая частота?
2. Заранее заданы (кроме частоты) Uвх, Рвых, Rн, Кг и неоднородность АЧХ. Определяют ли эти параметры (в частности сопротивление) каких-либо составных частей цепи? Хочу на транзисторах сделать, но не знаю что за сопротивление нагрузки.
Аноним 22/09/16 Чтв 19:07:15 251427 300
>>251395
>основы инженерки
Это что такое? У меня со словом "инженерка" ассоциируется только инженерная графика.
>1. В моём задании диапазон частот 20 Гц - 25 кГц, а в нете в только 20 - 20000 Гц. Как от прибора зависит принимаемая частота?
Чаще всего полоса пропускания определяется довольно большим количеством деталей, в том числе иногда и полупроводниковыми. Но в простейшем случае можно поставить RC-цепочки.
>2. Заранее заданы (кроме частоты) Uвх, Рвых, Rн, Кг и неоднородность АЧХ. Определяют ли эти параметры (в частности сопротивление) каких-либо составных частей цепи?
Неоднородность АЧХ - смотри первый вопрос, в простейшем случае это суммарная АЧХ RC-цепочек.
Остальные параметры определяются практически всеми деталями усилителя.

По моему проще всего сделать это с использованием ОУ на входе, двухтактного каскада на выходе и все это охватить отрицательной обратной связью. Конечно не все так просто, отрицательная обратная связь из-за набега фазы где-нибудь может превратится в положительную и т.д., но ведь это всего лишь курсач.

>>250985
Да, телемастерам и радиолюбителям это не нужно.
Аноним 22/09/16 Чтв 20:38:22 251441 301
>>251427
>со словом "инженерка" ассоциируется только инженерная графика
у меня спецуха по двум направленностям (метролог и инженер инфокоммуникаций), так что инженеркой зову теорию цепей, теорию электрических сигналов, ЦОС и т.д.
>Чаще всего полоса пропускания определяется довольно большим количеством деталей
Нашёл в сети схему с очень похожими на мои параметрами, только диапазон до 20 кГц. Если я тупо поменяю цифру в исходнике прокатит?
>двухтактного каскада на выходе
интернет говорит что этот каскад по сути и есть усилитель, но выходное напряжение с него примерно равно входному. в чём тогда его роль?
Аноним 22/09/16 Чтв 21:27:41 251445 302
>>251441
>Нашёл в сети схему с очень похожими на мои параметрами, только диапазон до 20 кГц. Если я тупо поменяю цифру в исходнике прокатит?
Это знает только препод. Откуда мне знать как он будет тебя проверять. Например, требует ли препод провести моделирование?
А также, если полоса пропускания определяется парой RC-цепочек, то проверить тебя можно элементарно с помощью калькулятора.

>интернет говорит что этот каскад по сути и есть усилитель, но выходное напряжение с него примерно равно входному. в чём тогда его роль?
Вот уж действительно ты проебал все основы. Почитай про основные схемы включения транзисторов: с общим эмиттером, общим коллектором, общей базой.
А еще и про режимы работы усилителей: классы A, B, C, D.

Может будет лучше сделать курсач с одной единственной микросхемой? Например взять мощный ОУ (LM12 или L165), тогда останется посчитать только цепочку обратной связи.
Аноним 22/09/16 Чтв 21:56:43 251451 303
>>251445
Спасибо за советы. Перечитаю методы и учебники с прошлых курсов, вдруг поможет. Насчёт микросхемы не знаю, если б я ещё понимал как что рассчитывать и как не налажать с цепью...Шёл на инженера потому что хотел что-то своими руками научиться делать, а получил преподов, объясняющих азы в большой аудитории шёпотом и без микрофона. Зато метрология вроде куда интереснее. По крайней мере до тех пор пока не начинают мозг выносить сигналами, модуляциями и спектрами.
Аноним 23/09/16 Птн 12:22:36 251547 304
>>180271 (OP)

Сенсей-сама!!! или кто из вас, терпеливые аноны
Объясните долбоёбу: что плохого в уменьшении сечения проводника на ≈20%?
Точнее: имеем проводник медный провод многопроволочный одножильный ∅2,5 мм, конец оного зачищен, но куда надо не впихивается за своей крупно габаритной невпихуемостью. Берём острую хуйню и вырезаем во имя Аллаха 20% из проволочин от этого самого проводника.
ИРЛ так делать не рекомендую количество полученных мною пиздюлей от наставника стремится к овердохуя.
А разжевать всё это в теории и в меня харкнуть, чтоб я сглотнул в полёте и понял за что опиздюлился сможете?
Аноним 24/09/16 Суб 02:53:13 251678 305
>>251547
школьник научился спойлерами пользоваться
Аноним 17/10/16 Пнд 14:58:29 253970 306
>>234289
Блядь, лучше новый лист взять, чем так засирать всё штрихом. Ты это сдавать понесёшь или что? Нахуй ты так делаешь? Порвался
Аноним 17/10/16 Пнд 20:57:19 254006 307
>>251547
Ты уменьшишь сечение в месте соединения, чем увеличишь ток в месте соединения. А если облудишь медь, то не так сильно ток увеличишь в месте соединения. Это как медь с алюминием соединять.
Аноним 23/10/16 Вск 14:04:11 254726 308
183Кб, 918x1632
918x1632
Сенсей-сама!
Есть одна схема. Надо для начала посчитать входное сопротивление. Ясно что Z=Z1 + Z23 и z1 = r, но как считать z23? Можно ли применить формулу активного сопротивления ака произведение делить на сумму?
есть сомнения по поводу того как считать z, но препод на паре показывал похожий пример, только у него параллельно R были последовательные L и C, он входное считал как произведение на сумму
Аноним 23/10/16 Вск 17:33:58 254739 309
15Кб, 788x128
788x128
>>254726
Помню, тоже в своей шараге считал.
Можешь доебаться до препода, если он не сказал, переменка или постоянка приложена к схемке
Аноним 23/10/16 Вск 17:35:22 254740 310
>>254739
Ой, я обосрамс, у тя ж ещё проще. Ща
Аноним 23/10/16 Вск 17:53:58 254743 311
4Кб, 282x64
282x64
>>254740
Найди сначала ёмкостное и индуктивное сопротивления цепи, а потом пик
Аноним 23/10/16 Вск 22:39:43 254808 312
Как работает триггер?
Аноним 24/10/16 Пнд 23:42:13 254969 313
121Кб, 677x450
677x450
Сенсей-сама, аноны, помогите разобраться, пожалуйста.
Нужно найти w0, КЧХ и ФЧХ.
Кто может объяснить, как это делается?
Аноним 31/10/16 Пнд 00:20:30 255766 314
Сенсей-сама!Как работает триггер?
Аноним 02/11/16 Срд 14:16:54 256159 315
Сенсей-сама! объясни Ньюфагу, как управлять полевым транзистором, что вообще за приблуда, и чем от обычных отличается
Аноним 02/11/16 Срд 14:17:59 256160 316
Аноним 02/11/16 Срд 16:37:35 256174 317
image002.jpg 10Кб, 273x314
273x314
printsip-raboty[...].jpg 57Кб, 750x550
750x550
>>256159
Полевой транзистор aka униполярный, имеет в своей структуре один переходный слой, см пик 1. При подаче напряжения на затвор, электрическое поле внутри увеличивается и как бы "перекрывает" путь для прохождения тока - канал сток-исток. Управление происходит, фактически, напряжением т.е. похуй какой ток, пока 5В не будет, не откроется грубо говоря. Достоинство - очень низкое энергопотребление, необходимое для работы. Недостаток - невозможность работать на высоких частотах.
Обычные транзисторы aka биполярные, имеют два переходных слоя в своей структуре см пик 2. В зависимости от назначения, биполярники бывают двух видов - PNP и NPN. Управляются током похуй сколько вольт, дай мне 6А, тогда откроюсь. Отсюдя недостаток - высокое энергопотребление. Достоинство - могут в высокую частоту.
Аноним 02/11/16 Срд 16:46:01 256177 318
>>255766
Блиаа, ну чё ты, анон. Хули ты как гуглу вопросы задаёшь. Анон не бездушен же, его заинтересовать надо
Аноним 03/11/16 Чтв 02:58:56 256259 319
Сенсей-сама! Вопрос по трансформаторам - их лучше покупать готовыми или все же мотать самому? Нужен 220в->12в/1А, в магазинах такой трудно найти (те что есть, выдают больше или меньше 1А), а онлайн-калкуляторы выдают дикое количество витков первичной обмотки.
Аноним 03/11/16 Чтв 03:47:32 256261 320
>>180278
Ты что охуел такие ассоциации мутить?
>>180271 (OP)
На пикче не Сенсей-Сама, а Уэсиба Морихей.
Аноним 03/11/16 Чтв 14:33:12 256287 321
>>256259
Ну выдаёт больше 1А, в чём проблема? Поставишь токоограничивающий резистор, если не нужно, чтоб больше 1А появлялось, да и всё
Аноним 11/11/16 Птн 21:12:15 257630 322
схема исходная.GIF 2Кб, 370x325
370x325
Нужно найти I1-I5 , и R общее
я уже заебался
r1= 11 r2 =4 r3= 8 r4= 4 r5=13 Uab = 56В
R нашел вроде 1,78 Ом ( но хочу вашу версию увидеть )
по какой формуле потом находить все токи?
Аноним 11/11/16 Птн 21:15:23 257631 323
>>257630
ПС
через свертывание делал,но мож ошибсягде
r3 и r1 параллельны
r5 и r13 последовательны
остается r2 r4 r135 паралльны, но я сначала свернул r2 r4 потом уже R общее из двух оставшихся сделал
Аноним 26/11/16 Суб 16:48:02 259693 324
>>257630
Как уже сказал анон - делай методом последовательного сворачивания схемы. Нарисуй как проходят токи. И для простоты, на каждом шаге, рисуй новую схему с получившимся результатом. А затем просто найти токи по закону Ома для участка цепи
Аноним 26/11/16 Суб 20:56:19 259714 325
>>257631
>>259693
Этого анона уже отчислили, наверное)))
Но, лучше поздно, чем никогда
Аноним 10/12/16 Суб 23:42:31 262197 326
14604453830020.jpg 12Кб, 273x294
273x294
Радиоананы, поясните, пжалста, за принцип работы p-n junction (или электронов и дырок в частности).
Вот мы соединили p и n проводники, и при формировании depletion region какие-то свободные электроны из n-зоны перетекают на место дырок в p-зону. Таким образом, в n-зоне образуется регион из положительно заряженных ионов, а в p-зоне -- регион из отрицательно заряженных ионов.
В Википедии (https://en.wikipedia.org/wiki/Depletion_region) написано: "Electrons and holes diffuse into regions with lower concentrations of electrons and holes, much as ink diffuses into water until it is uniformly distributed. By definition, N-type semiconductor has an excess of free electrons compared to the P-type region, and P-type has an excess of holes compared to the N-type region. Therefore, when N-doped and P-doped pieces of semiconductor are placed together to form a junction, electrons migrate into the P-side and holes migrate into the N-side. Departure of an electron from the N-side to the P-side leaves a positive donor ion behind on the N-side, and likewise the hole leaves a negative acceptor ion on the P-side."

Так вот, откуда берутся дырки в n-зоне (... holes migrate into the N-side)? Там же изначально атомы кремния вперемешку с атомами легирующей примеси. При легировании все связи между атомами заполнены, а свободный электрон от атома легирующей примеси болтается рядом. Если электрон оттуда уйдёт (заполнять дырку в p-зоне), то от этого там ведь не образуется дырки?
Как я себе это представлял, что: некоторые свободные электроны из n-зоны съёбывают в тёплые влажные дырки в p-зоне. Таким образом, с обоих сторон в некоторой окрестности исчерпываются свободные носители заряда, и образуются отрицательно (в p) и положительно (в n) заряженные ионы. В Арстотцка n положительно заряженные ионы генерят поле, которое мешает иммиграции дырок (или эмиграции электронов -- иными словами, удерживают электроны поблизости от съёба в p). В свою очередь, в p отрицательно заряженные ионы генерят поле, которое мешает иммиграции электронов в зону (иными словами, отталкивают электроны поблизости). Таким образом, создаётся своеобразная зона, препятствующая движению носителей заряда через неё -- тот самый depletion region.
Дальше что:
а) подаём на p плюс, а на n минус. Если напряжение достаточно велико, то силы полей в depletion region перестанет хватать на удержание / отталкивание электронов, и они начнут двигаться через регион (т.е. идёт ток). Вот тут опять непонятка с дырками: прибывающие из n электроны являются свободными, и они постепенно заполняют дырки в p. Если электрон заполнил дырку, то может ли он оттуда съебаться, оставив опять дырку (под действием поля и/или от столкновения с другими частицами)? Я подозреваю, что может, ибо если не мог бы, то рано или поздно все дырки в p бы закончились (а это уже деградирование проводящих характеристик, и тогда p проводник был бы "одноразовым").
б) подаём на p минус, а на n плюс. Все свободные электроны в n начинают съёбывать в сторону плюса, тем самым расширя зону положительно заряженных ионов. Опять же, может ли быть такое, что съёбывают не только свободные электроны, но и те (не только лишь все), которые связуют атомы?
В p под действием минуса какие-то свободные (и опять, только ли они?) электроны ныряют в близлежащие дырки на пути дрейфа в сторону depletion region, тем самым расширяя зону отрицательно заряженных ионов. Движения зарядов (обратного тока) через регион не происходит, пока не подано достаточно сильное напряжение (эффект Зенера или лавинообразный эффект).
Аноним 11/12/16 Вск 22:07:13 262335 327
>>262197
тебе надо показать анимационный фильм, иначе ты не поймешь с своим однобитовым моском, дитя чипсов

Другой бы просто вообразил эти процессы и воочию понял, но твой тупой моск такого не может.
Аноним 11/12/16 Вск 22:16:46 262336 328
Аноним 19/12/16 Пнд 16:26:28 263338 329
blob 1423Кб, 1280x960
1280x960
>>180271 (OP)
СЕНСЕЙ, И ВСЕ КТО В ТРЕДЕ, ВЫ МОЯ ПОСЛЕДНЯЯ НАДЕЖДА! Как сделать такую схему на двухполярном питании?А вообще если есть мб кто подкинет схемы усилителей постоянного тока, на двухполярном питании, сука во всей литературе по одному абзацу на такую тему, даже в книге "Усилители постоянного тока", молю
Аноним 21/12/16 Срд 18:13:19 263591 330
1.png 87Кб, 1237x661
1237x661
2.png 76Кб, 1049x670
1049x670
3.png 28Кб, 559x451
559x451
>>180271 (OP)
Сап, аноны. В общем, препод по паянию задал эти задачи вместо лабы, а я вообще не ебу что да как. Как делать?
Аноним 21/12/16 Срд 19:17:14 263595 331
>>263338
Любой операционный усилитель, например.

>>263591
>препод по паянию
Это сильно.
Например, во втором варианте напряжение на гирлянде светодиодов 8 В (4 светодиода * 2В), питание всей цепочки 24 В, тогда на резисторе будет 24 - 8 = 16В. Через резистор течет ток 5 мА = 0,005 А. Тогда по закону Ома сопротивление резистора будет 16В / 0,005А = 3200 Ом = 3,2 кОм.
Остальные задания решаются абсолютно так же.
Аноним 21/12/16 Срд 20:09:29 263602 332
>>263595
Что не устроило в >препод по паянию?
Аноним 21/12/16 Срд 21:41:05 263612 333
>>263602
Давай-ка код дисциплины "паяние" ну или хотя бы полное название. Или нахуй пошел.
Аноним 21/12/16 Срд 22:02:54 263614 334
>>263612
Да я че ебу? У нас просто пайка резисторов и конденсатор параллельно и последовательно, потом просто расчет общего сопротивления или общей емкости, типо для общего образования, эта хуйня всего один семак идет
Аноним 22/12/16 Чтв 00:05:56 263620 335
>>263614
Усы уже отрастил? Телевизор починил? Васян как он есть.
Аноним 22/12/16 Чтв 00:18:28 263621 336
>>263595
Дифференциальный, Оу, и прочее низя юзать
Аноним 22/12/16 Чтв 06:17:02 263629 337
>>263620
И в чем же Васян? Да, в радиотехнике не силен, да она и не нужна мне,программа такая в моей специальности, учусь не в шараге а в топовом вузе Томска
Аноним 25/12/16 Вск 23:51:07 264021 338
»180271
Сенсей-сама!
это кондёры, если что
нужно формульно найти решение.
чему равно суммарное С.
Аноним 25/12/16 Вск 23:53:34 264022 339
ci2sdrchb7M.jpg 31Кб, 1262x498
1262x498
Аноним 26/12/16 Пнд 00:06:29 264025 340
989.jpg 37Кб, 1262x498
1262x498
Аноним 29/12/16 Чтв 23:21:19 264533 341
Кажется я дверью ошибся, где тут кузьмичуют и паялом в жопень долбятся?
Аноним 12/01/17 Чтв 01:40:38 266172 342
>>180271 (OP)
Сап ра. Есть одно ржавое немецкое корыто, старше многих местных анонов. Я его по малу восстанавливаю.
Есть планы напичкать его электроникой до уровня RR, но это в будущем. Сейчас в нем переколхоженная за 30+ лет электрика, которую восстанавливать себе дороже, а новую не найти.

Для начала хочу перелопатить всю основную электронику на кастом, упразднив блок предохранителей в принципе. Это, для начала немного - фары, радиатор, печку, стартер.

Планирую мозги держать в салоне, а все высокоточное дерьмо оставить под капотом, поставить блоки с переключателем и защитой непосредственно на потребителе, управлять ими по 1-wire.

Какие подводные? Не начнет ли 1-wire дурить от помех системы зажигания?
Аноним 12/01/17 Чтв 06:52:03 266180 343
>>266172
>которую восстанавливать себе дороже
Не дороже.
Не майся хуйней, восстанавливай в оригинал - это единственно работоспособный вариант, который машина не отторгнет.
Аноним 12/01/17 Чтв 10:26:20 266199 344
>>266180
Ну проаргументируй хоть.
Аноним 12/01/17 Чтв 13:18:25 266212 345
>>266199
Когда ты начнешь тянуть километры проводов по машине - поймешь что это нихуя не задача выходного дня. Я занимался вкорчиванием неродного мотора в машину и представление имею. За рабочий день даже проводку на маленький спортивный мотоцикл не сделать, у которого только система зажигания, стоп-сигнал и тахометр и который стоит на подъемнике на уровне глаз (тоже был такой проект у меня).

При том что у тебя есть родное решение - заведомо работоспособное и надежное, сделанное пунктуальными фашистами, просто временем ушатанное - просто восстанови его и все. Выкинь весь новодел и сопли, восстанови штатную схему. И то хватит заебаться.
Аноним 12/01/17 Чтв 13:31:45 266214 346
>>266212
Родное решение это всю выскокоточку в БП, что в салоне и обратно. Такую вещь очень трудно модифицировать и дополнять цифрой.
К слову, БП и проводку в состоянии (СИЛЬНО УШАТАНО) очень трудно найти, в состоянии более-менее вообще никак. Даже на ебеях. К слову на нее нет точной схемы, есть похожии не более.
Можно переделать на более свежие, но это тот же кол-хоз и замена ВСЕЙ проводки сразу, стоит ли упоминать что эта проводка будет то же не далеко первой свежести?

Почему и задумал свой план. Ибо он резко уменьшает кол-во проводки, не навру если скажу что раз в 10. Понимаю, что по трудозатратам это не день и не два и не месяц может. Я не спешу. Да и авто не с дачи картоху возить, оно покупалось как конструктор.

Аноним 12/01/17 Чтв 14:02:15 266219 347
>>266214
Подобной хуйней (все иликтронное и без предохранителей, с компьютером в каждой пиздюлинке) страдают BMW. Столпы, блять, автостроения. В итоге все звиздец какое глючное и проблемное.
Думаешь, ты сделаешь лучше? Самодельная ебанина на цифровых интерфейсах надежнее двух контактов родного железного выключателя?

Разбери все, срисуй схему, почини и собери - и поебешься всласть и это даст нужный положительный результат. Блок предохранителей в салоне - у всех машин есть, почему это на твой взгляд должно являть какую-то проблему - не пойму.
Аноним 12/01/17 Чтв 16:28:00 266235 348
>>266219
>Думаешь, ты сделаешь лучше?
Если бы я думал или был бы уверен, поверь, даже бы не брался. Нахуя делать то, что сам знаешь - сделаешь. Это челендж же блядь! Я это делаю, что бы столкнуться с проблемами и поломать над ними мозг.
Аноним 13/01/17 Птн 21:26:06 266397 349
>>180271 (OP)
Объясните плз все 5 (способов не способов, я хуй знает) Кирхгофа. Желательно на пикче и языком для быдла. Заранее спасибо.
Аноним 15/01/17 Вск 21:09:48 266675 350
IMG201701152101[...].jpg 1963Кб, 2560x1920
2560x1920
IMG201701152101[...].jpg 2079Кб, 2560x1920
2560x1920
>>264025
В общем то использовано в основном преобразование треугольник=>звезда, гугли, если не знаешь, что это. Посчитаешь сам, если актуально еще.
Аноним 18/01/17 Срд 08:41:19 266927 351
Послали к вам, мол у анонов есть куча советов по литературе основ электротехники, но что то я нихуя не вижу. Посоветуйте боям для совсем начинающих
Аноним 18/01/17 Срд 11:24:51 266939 352
>>266927
Сворень Р.А. Шаг за шагом.

Пусть не пугает, что она типо для детей с комиксами, разжевывает он идеально.
Потом ХиХ искусство схемотехники, пока дойдешь, там гляди и издание 2015г. переведут.
Аноним 19/01/17 Чтв 09:36:50 267073 353
>>180271 (OP)
Сенсей-сама, вопрос по школьному курсу физики! Воздействует трансформатор ли на ближайшие цепи? (Нигде не видел, чтобы писали, что магнитное поле, расходясь в пространстве, поглощается полностью второй обмоткой. Часть же всё-таки действует на окружающее пространство? Очень лень рассчитывать силу магнитного поля). Надеюсь на вас, Сенсей-сама!
Аноним 19/01/17 Чтв 18:19:22 267175 354
>>267073
Воздействуют. Не весь поток замыкается в сердечнике, часть "расползается".
Аноним 29/01/17 Вск 06:16:57 269158 355
>>241254
я хуею с вас. видимо я такой тупой получился, что обо всем об этом (про комплексные числа я узнал как раз на ТОЭ первый раз, про комбинаторику - на теор. вероятности) и многом другом узнал лишь в универе. бином Ньютона тоже всегда давался для случаев n=2, n=3 в школах. В среднестатистической обычной русской школе, а в не лицеях хуецелях, где коллекционируют отличников по всему городу и пердолят им вот такую программую
Аноним 01/02/17 Срд 00:35:39 269612 356
Сенсей-сама!Большинство вещей в мире делится на две противоположные стороны, свет и тьма , Добро и Зло, частицы и античастицы.Не мог бы ты описать как работает устройство которое может иметь два положения ,словно 1 и 0 в логике. То есть триггер.Никак не могу понять сам, я и смотрел много видео ,но никак.Пишу так потому что мне посоветовали >>256177
Аноним 12/02/17 Вск 12:27:09 271159 357
>>266397
А четвертый закон Ньютона тебе не объяснить? Или может Второй закон Ома еще попросишь?
Аноним 24/02/17 Птн 06:37:05 272725 358
Сенсей-сама! Помогите, у меня есть ток постоянный 12v 30a мне нужно его регулировать 0-12V и 0-30A. нужна схема и из каких деталей это чудо собрать по дешману) я нуб так сказать в этом деле.
Аноним 24/02/17 Птн 10:26:50 272730 359
>>272725
Если ты из группы ИГИП то тебе уже всё сказали. Если нет то в вк найди ИГИП, и там чутка полистай, сразу найдёшь
Аноним 24/02/17 Птн 19:09:58 272772 360
>>272730
>ИГИП
нет я не из той группы. полазил там нет того что мне надо не увидел. нет зарядное устройство мне не нужно) мне нужна ручная регулировка A и V. находил схемы на 10a 12v но у меня будет проходить ток 30а а таких схем не нашел. я конечно не шарю но не дебил чтоб применять 10а схему на место где будет 30а тупо погорит а как усилить схему не шарю на алиэкспрес есть готовы решения на 3а с регулировкой а и v по дешману но этого мне мало надо 30а в идеале на 40 с запасом но 30 по нулям пойдет. спаять сия чудо нет проблем руки вроди из нужного места растут вопрос лиш в деталях и схеме.
Аноним 24/02/17 Птн 19:49:44 272773 361
>>272772
ты ебан, и пишешь какую то хуету. спасибо.
Аноним 26/02/17 Вск 09:27:08 272996 362
blob 35Кб, 573x467
573x467
хай, ребята, недавно разобрал старый полицейский радиоприёмник под автомобильные 12 вольт(достался), и помимо огромного корпуса с дорхенища схем, я заметил трубку, в которую говорили. Разобрал, а там схема... но не простая, а хрен знает какая на двух... в общем по пикче видите. При чём не знаю, где плюс, где минус, и где вывод. Разбирался я, и с тестером и осцилографом, и с Falstad.com/circuit ничего не смог найти, может вы найдёте?
Аноним 27/02/17 Пнд 11:05:55 273175 363
Сенсей-сама, иди-ка ты на хуй и в пизду. Я твой рот ебал.
Аноним 28/02/17 Втр 20:42:22 273336 364
fjnbijfjs.PNG 9Кб, 442x246
442x246
>>180271 (OP)
Сап аноны. Не могу найти, где здесь изменить "Коэффициент зависимости тока коллектора от тока базы". Программа MicroSim 8.0. Или не та модель транзистора?
Аноним 01/03/17 Срд 06:51:07 273357 365
>>273336
Если нет - значит они вшиты в номер транзистора. Для этого это сотка.
Аноним 04/03/17 Суб 18:32:40 273800 366
Может ли схема с одним транзистором, идеальными сопротивлениями и батареями иметь больше одного устойчивого состояния?
Аноним 07/03/17 Втр 00:15:27 274145 367
>>180316
Поясните за сопротивления 3 и 6. Разве через них будет течь ток?
Аноним 24/03/17 Птн 10:08:07 276619 368
IMG201703241402[...].jpg 65Кб, 1015x781
1015x781
>>180271 (OP)
Сенсей-сама!
Получил первую расчетку в жизни, найти все токи и все напряжения.
Из самым рациональным способом будет метод контурных токов?
Не хочу обосраться, может есть способ рациональнее?
Аноним 24/03/17 Птн 22:34:05 276715 369
>>274145
ясен хуй, если разность потенциалов.
Аноним 24/03/17 Птн 22:35:35 276716 370
>>273175
Твоя мамка очень близко, сын мой.
Аноним 23/04/17 Вск 00:04:50 281330 371
>>180271 (OP)
Поясните нюфане какие значение должны быть у кондера и трансформатора, в схеме выпрямителя с понижением с 220AC до 6 DC
Аноним 04/05/17 Чтв 22:54:01 282574 372
Аноним 05/05/17 Птн 21:56:47 282714 373
>>180271 (OP)
Сенсей-сама! Какую роль играет напряжение для катушки индуктивности?
Например, если у меня есть соленоид, который втягивает в себя некий кусок железа, то в чём будет отличие между случаями, когда я подам на него 5В 200А и 50В 200А? Будет втягивать с одинаковой скоростью или с разной?
Вроде бы интуитивно кажется, что с разной. Но ведь E = (L*I^2)/2 и тут нет напряжения.
Аноним 05/05/17 Птн 22:07:46 282717 374
>>282714
Повтори закон Ома. Ток зависит от сопротивления катушки же.
Ну, а так: чем сильнее ЭДС, тем быстрее втягивает. От 300в соленоид на 12в втянет быстро, но через секунду он сгорит от огромного тока.
Аноним 05/05/17 Птн 22:42:00 282723 375
>>282717
>Повтори закон Ома. Ток зависит от сопротивления катушки же.
Спасибо! Действительно, как-то дико тупанул.
Помогите решить пожалуйста электротехник-ньюби-кун 14/05/17 Вск 15:40:55 283583 376
WvAbI3Q-7D8.jpg 108Кб, 1080x810
1080x810
Помогите решить задачку, используя метод эквивалентного генератора. Решается, по идее, достаточно быстро если уметь использовать данный метод, но я плохо шарю(( точнее не шарю вообще.
+ электротехник-ньюби-кун 14/05/17 Вск 15:41:57 283584 377
Ах да, n=8/
электротехник-ньюби-кун 14/05/17 Вск 15:53:55 283586 378
f=2900, да
электротехник-ньюби-кун 14/05/17 Вск 15:55:15 283587 379
f=6400
электротехник-ньюби-кун 14/05/17 Вск 15:58:47 283589 380
не решайте ето пожалусто, не надо больше
Аноним 18/05/17 Чтв 23:19:36 284073 381
6155b717681881f[...].png 220Кб, 470x480
470x480
>>180271 (OP)
Сенсей-сама!

Я совсем нюфак и аутист, и посыпаю голову пеплом.


Надо с помощью распберри следить за пятью вольтметрами и одним амперметром, замеряющими токи в районе 300 В и 30 А переменного и постоянного. Приборы замеряют, распберри пишет лог.

Вопрос - есть ли готовые решения? Чтоб вот прям взял измерительный прибор, подцепил к распберри, пустил через шунт, и готово.

Если нет, где взять детали для изготовления вольтметров и амперметров типа пикрилейтед, но без жк-панели? Ну там, АЦП попроще, и всё такое, чтоб в 100 р за каждый прибор укладываться. И какие элементы типа шунтов и прочего обвеса при этом использовать?
Аноним 19/05/17 Птн 07:09:55 284088 382
mcrcU6tf8.jpg 67Кб, 1901x346
1901x346
Аноним 29/05/17 Пнд 10:56:33 285055 383
Есть одна схема на постоянном токе. Есть уравнения Кирхгофа, решением которых являются токи в цепи. Проблема в том, что решений 2. И оба решения проходят проверку как в самих уравнениях, так и по балансу мощностей. Но ведь физически 2х вариантов токов в цепи одновременно существовать не может. Кроме баланса мощностей есть ли ещё какие-то проверки? Как выбирать из двух решений?
Аноним 05/06/17 Пнд 22:07:58 285695 384
image.png 16Кб, 376x556
376x556
Аноны. Помогите, пожалуйста, решить эту задачу (за кэш офк). Сам я дэбил и не способен в решение этого.
Аноним 06/06/17 Втр 09:37:08 285708 385
>>285704
Вот возьмут его в армию, попадёт он в какие-нибудь связисты или ртр, а там тоже что-то подобное надо будет решить, он не решит и враг этим воспользуется, и бомба@ракета попадёт в наши войска и погибнут наши солдаты скажем в Сирии или на Донбассе.
Аноним 07/06/17 Срд 15:18:53 285855 386
Iwod45dC8Os.jpg 21Кб, 408x425
408x425
Сам двач, кто нибудь сталкивался с этим? Какие бывают методы измерения напряженности э/м поля. Как это делали раньше и сейчас. Приборы для его измерения и как они работают, что важнее.
С меня как обычно.
Аноним 25/06/17 Вск 09:43:38 287301 387
image.png 67Кб, 728x418
728x418
image.png 148Кб, 713x776
713x776
image.png 38Кб, 736x193
736x193
Начал изучать теорию электрических цепей. И столкнулся с непониманием следующей выкладки из книги (пик). Непонятно как именно был получен ток i4? Почему если умножить на сопротивление R3 и поделить на R3 + R4-7 можно получить ток на четвертом резисторе?

Объясните, если знаете, с меня как обычно.
Аноним 25/06/17 Вск 13:47:37 287306 388
Безымянный.jpg 57Кб, 1067x576
1067x576
>>180271 (OP)
Сенсей-сама!
Рекуперация выброса паразитной индуктивности пикрилейтед. Д1 - супрессор или стабилитрон с диодом, Л2 - фильтр, чтобы иголки не попячили драйвер, л1 рабочая обмотка, Д2 нужон для отсечки иголки, идущей в момент обратного хода, хотя при достаточно л2 им можно пренебречь.
В чем недостаток схемы, почему я не видел таких раньше? Иголки маленькие, при достаточно большом с1 напряжение расти не будет.
Аноним 25/06/17 Вск 14:02:38 287310 389
>>287306
Пруфы, что есть люди, которые считают, что это сложно. www.bludger.narod.ru/smps/Flyback-R01.pdf
Аноним 01/07/17 Суб 10:53:31 287819 390
Здрасьте. Можете объяснить, почему конденсатор на выпрямленном напряжении(двух-, однополупериодном неважно) меняет форму кривой напряжения, а на переменном - не меняет?
Аноним 01/07/17 Суб 10:57:16 287821 391
IMG201707011044[...].jpg 698Кб, 2560x1920
2560x1920
Помогите пожалуйста
Аноним 02/07/17 Вск 13:13:13 287894 392
Аноним 05/07/17 Срд 12:39:26 288190 393
>>287819
RC-фильтры почитай. Ты все неправильно написал.
Аноним 05/07/17 Срд 13:03:41 288193 394
>>287301
На участке, где сопротивление R3 параллельно R4-7 напряжение равное и равно U0-2, следовательно i4=U0-2/R4-7, но мы уже вывели, что U0-2=i1R3-7 => i4=i1R3-7/R4-7.

Выражаем R3-7 через R3 и R4-7:
R3-7=R3R4-7/(R3+R4-7)

Собираем все в одно.
i4=i1
R3R4-7/((R3+R4-7)R4-7)
Сокращаем на R4-7 и получаем наше уравнение:
i4=i1*R3/(R3+R4-7)
Аноним 07/07/17 Птн 19:41:23 288445 395
>>287819
Кондер заряжается при росте напряжения с диодов, разряжается на нагрузку при спаде напряжения...
Аноним 15/07/17 Суб 15:38:51 289249 396
2017-07-15153219.png 2Кб, 325x235
325x235
Есть одна звуковая. Стоит ли менять R0 на диод? Проверяю на 2bit64_fragment.wav, сейчас шумы есть и можно расслышать вторую половину записи. Хочу от них избавиться и слышать всю запись.
Аноним 05/08/17 Суб 15:21:02 291452 397
))
Аноним 09/08/17 Срд 11:11:00 291882 398
Где блять взять нормальный источник (видео, книжку) по частотному анализу RC цепей? Такое чувство, что старый хрен-препод сам все лекции писал и нигде ничего подобного нет.
Аноним 15/08/17 Втр 21:14:44 292450 399
>>291882
советую учебник и задачник Бычкова по ТОЭ. вещь
Аноним 29/08/17 Втр 04:29:43 293564 400
>>241011
Пси - потоксцепление
Аноним 29/08/17 Втр 13:24:03 293599 401
Zadacha 2ch.png 201Кб, 790x556
790x556
>>180271 (OP)
Сенсей-сама!
Почему в этой задачи конденсаторы (С1+С2) считаются подключенными параллельно к конденсатору C?
Аноним 30/08/17 Срд 14:04:23 293679 402
>>293599
А как еще?
С - источник, С1+С2 - нагрузка. Параллельно.
03/09/17 Вск 17:52:27 294074 403
>>293679
Потому что и на верхнем кондере и на нижней системе кондеров одинаковая разность потенциалов. Т.е. Q/(c+с1*с2/(с1+с2)) = U, как если бы они были в цепи где провода по бокам соединены
Аноним 20/09/17 Срд 19:51:12 295779 404
>>180271 (OP)
Сенсей-сама! Чтобы мне прочитать чтобы максимально быстро въехать в физику радиоволн, понимать, как происходит передача данных по воздуху и понимать, как всё это замеряется и какие показатели на что влияют?
Аноним 09/10/17 Пнд 14:07:48 297975 405
Проебал в школе всю физику, что только можно. Хочу понять основы и детали электричества - что есть что, почему так работает, а так нет, что зачем используется. Посоветуйте хорошую книжку или сайт с теорией и практикой, но без нудных формул, а только с самыми полезными, ну и что-то поинтереснее школьного учебника физики с его тупыми и притянутыми за уши задачами.
Аноним 10/10/17 Втр 09:48:36 298095 406
>>297975
Учебник физики за 7й класс, начни с этого
Аноним 27/10/17 Птн 11:07:48 300074 407
Сенсей сама, умоляю, объясни основы!
1) Что делает полевой и биполярные транзисторы, и чем это отличается от электронных ламп
2) Как научиться читать схемы? Как делить большое на маленькие части и гуглить, что есть что? Как понять, усилитель полностью ламповый, или же перегружается гибрид лампы и транзистора?
3) Что такое фазоинвертор в усилителе и зачем он нужен? Что он делает?
4) Чем отличается однотактное усиление от двухтактного?
5) Что такое операционные усилители?

Википедию читал, но там непонятным языком написано, мне бы по сути и для чайников.
Аноним 27/10/17 Птн 11:12:10 300076 408
И ещё, сенсей сама. Знаешь ли ты годные каналы на ютубе? А то я недавно искал что-то про усилители, и нашёл долбоеба, у которого от изменения сопротивления менялось напряжение, а не сила тока. На вопрос: а не трансформатором ли меняется напряжение - автор канала ответил, что резистором тоже. Я конечно в физике долбоеб, но не настолько.
Аноним 27/10/17 Птн 19:18:08 300115 409
>>300074
1) У транзисторов есть масса применений, но чаще всего их используют в режиме ключа (то есть эмиттер и коллектор либо сток и исток ставятся в разрыв какой-либо цепи, а затем управляется напряжением на базе либо затворе) и в режиме усиления по напряжению / току (тр-р запитывают специальным образом, тем самым вводя в так называемый "активный режим"). Электронные лампы делают то же самое, но принцип работы немного другой.
2) Навык приходит с опытом. Вторая часть вопроса очень странная. Если в усилителе есть транзисторы, то он не полностью ламповый, это логично.
3) Усилительный каскад с общим эмиттером инвертирует сигнал. Таково его свойство. Фазоинвертор нужен как раз для того, чтобы скомпенсировать эту инверсию. я бы на месте проектировщика просто устанавливал четное число каскадов с ОЭ, тогда фазоинвертор не будет нужен
4) В аудиоусилителях не спец, отвечать не буду
5) Операционные усилители выполняют операции (сравнение, интегрирование, дифференцирование, сложение, вычитание), а так же могут усиливать сигналы. Принцип работы основан на поддержании ОУ одинакового напряжения на входах. То есть ОУ всеми силами пытается уравнять напряжения между входами, тем самым, например, увеличивая напряжение на выходе (классическая схема с отрицательной обратной связью)

>>300076
Ну вообще-то резистор забирает часть напряжения. U=I*R. Тут уже вопрос в том, какая у тебя цепь. Резисторы применяют по-разному.

Русскоязычных обучающих каналов нормальных не припомню, но есть куча англоязычных: ElectroBOOM, EEVBlog, Mr. Carlson's Lab, bigclivedotcom - эти я смотрю, например

Не ОП, но в электронике шарю
Аноним 27/10/17 Птн 21:06:00 300121 410
>>300115
>1)
Ты так и не ответил про отличие полевого и биполярного, и в итоге нихуя не понятно.

>2) Если в усилителе есть транзисторы, то он не полностью ламповый, это логично.
Ну может там какие-то эффекты, которые можно не всегда использовать - транзюковые, а сам усилитель и перегруз - ламповые.

>(классическая схема с отрицательной обратной связью)
Как это понимать?

>Ну вообще-то резистор забирает часть напряжения.
Подробнее можешь объяснить?
Аноним 27/10/17 Птн 22:09:57 300126 411
>>300121
Да тот анон вообще бред какой-то написал.

>1) Что делает полевой и биполярные транзисторы, и чем это отличается от электронных ламп
Принципы работы транзисторов изучает физика твердого дела. Этот раздел физики на около-радиотехнических специальностях изучается в упрощенном варианте. Но для использования транзисторов нужно разобраться лишь в их моделях. Основное отличие транзисторов в их статических характеристиках (входной, выходной, проходной). Дальше сам сможешь загуглить?

>5) Операционные усилители выполняют операции (сравнение, интегрирование, дифференцирование, сложение, вычитание), а так же могут усиливать сигналы.
Операционный усилитель усиливает с очень большим коэффициентом усиления разность сигналов на своем входе. Для многих схем, коэффициент усиления ОУ можно считать приближающимся к бесконечности. Путем добавления к ОУ (внешней) обратной связи, можно получить схемы, выполняющие различные операции.
Аноним 27/10/17 Птн 22:34:44 300127 412
20171027222735.jpg 68Кб, 506x675
506x675
>>300121
>Ты так и не ответил про отличие полевого и биполярного, и в итоге нихуя не понятно.
Я ответил так, как был поставлен вопрос)) Биполярный транзистор для передачи тока использует оба вида носителей заряда - электроны и дырки. И именно их рекомбинация обеспечивает работу биполярного тр-ра. Полевой использует один тип носителей заряда - либо дырки, либо электроны. Поэтому их еще называют униполярными. Что такое электрон и дырка? Электрон - надеюсь понятно, что это элементаная частица и отрицательным зарядом. Дырка - то, что остается от электрона при отделении его от атома. Дальше разжевывать не буду, скажу лишь то, что полевики, и биполярники можно применять для одних и тех же задач, просто где-то выгоднее использовать полевики, а где-то - биполярники, поэтому оба типа широко применяются на практике.

>Как это понимать?
Это я привел тебе пример как реализуется усиление. Разжевывать ооооочень долго, в пост не влезет. Вообще, вот это видео очень хорошо объясняет работу ОУ: https://www.youtube.com/watch?v=7FYHt5XviKc

>Подробнее можешь объяснить?
Я выше тебе записал закон Ома. Второй закон Кирхгофа гласит, что сумма напряжений в контуре равна нулю. На пике Rн-полезная нагрузка, на которой тебе нужно установить какое-то напряжение, например; R-просто сопротивление. Ну собственно я применил второй закон Кирхгофа за тебя. Из нижнего выражения все понятно, надеюсь?
Аноним 27/10/17 Птн 22:56:56 300128 413
>>300127
>Я выше тебе записал закон Ома.
Да, по закону Ома сила тока меняется обратно пропорционально сопротивлению. Напряжение - это константа. Чтобы изменить напряжение - нужен трансформатор. Закон Кирхгофа не про напряжения, а именно про токи.
Аноним 27/10/17 Птн 22:59:30 300129 414
>>300127
>Я ответил так, как был поставлен вопрос))
Нет, вопрос был поставлен именно с целью выяснить, что как работает. Ты всё обобщил и нихуя конкретно не объяснил. Вон, анон выше написал, что ты пишешь бред. Мне тоже так кажется, хоть я в теме и не сильно шарю.

И вот вся эта хуйня, которую ты расписал про электроны и дырки - я всё это знаю, но что делают конкретно полевые и биполярные транзисторы ты так и не объяснил. Вангую, что ты не знаешь, но хочешь повыебываться. Плиз, не отвечай больше мне, меня твои дешевые понты не интересуют, я сюда пришел разобраться в своих вопросах, а не наблюдать за позером.
Аноним 27/10/17 Птн 23:20:14 300130 415
>>300128
>>300129
Либо ты очень толсто троллишь, либо ты очень тупой

>Закон Кирхгофа не про напряжения, а именно про токи
Закон Кирхгофа не один, ИХ ДВА. Закон ТОКОВ (первый закон) и закон НАПРЯЖЕНИЙ (второй закон). Это разные законы.

>Ты всё обобщил и нихуя конкретно не объяснил.
Конечно я обощил, потому что если вдаваться в подробности ты тоже скажешь, что нихуя непонятно, ведь ты даже законов Кирхгофа не знаешь. Тебе лучше школьную физику почитать, прежде чем пытаться понять что такое транзистор, операционный усилитель, делитель тока и напряжения. Но ты конечно же этого не сделаешь, поэтому удачно тебе поизменять напряжение трансформатором, особенно на постоянном токе. Я все сказал
Аноним 27/10/17 Птн 23:35:59 300132 416
Стикер 0Кб, 512x512
512x512
>>300130
>удачно тебе поизменять напряжение трансформатором
>ты очень толсто троллишь, либо ты очень тупой
Аноним 28/10/17 Суб 01:17:36 300144 417
>>300130
двачую этого господина
неучи идут на хуй
Аноним 28/10/17 Суб 02:14:02 300146 418
>>300144
Вот и идите оба нахуй, лол.
Аноним 29/10/17 Вск 10:13:43 300302 419
1509260758~2.jpg 14Кб, 435x239
435x239
Сенсей-сама, как строится векторная диаграмма диаграмма токов трехфазной цепи с отключённой фазой, в первом задании? Как преобразовать реактивный треугольник, во втором задании, в эквивалентную звезду? И вообще, правильным ли путём я иду, при решении этих задач?
Аноним 29/10/17 Вск 12:25:11 300311 420
>>300302
>Сенсей-сама
Интересно, он еще тут обитает?

>в первом задании
Метод комплексных амплитуд и закон Ома для полной цепи.
>во втором задании
Не могу разобрать что там нужно определить, но по моему преобразовывать нет смысла. Использовать метод комплексных амплитуд и метод узловых потенциалов.

От школьных задачек это отличается только методом комплексных амплитуд.
Аноним 30/10/17 Пнд 00:36:01 300357 421
2017-10-3000-29[...].png 17Кб, 319x115
319x115
сенсей-сама, каким образом можно гармонически синтезировать сигнал как на пике? это АМ колебание, но без отрицательной половины. модулем пользоваться нельзя, диодными мостами тоже. только гармонический синтез. я заебался подбирать в маткаде фазу гармоник, но результата не добился
Аноним 31/10/17 Втр 07:47:43 300507 422
four.png 59Кб, 714x841
714x841
>>300357
нарисуй функцию:
f(t) = cos(t) cos(30 t) + cos(t)
для t на [-%pi/2, %pi/2].

разложи в Фурье ряд по общей тригонометрической системе.

вот для maxima:
f(t) := cos(t) cos(30 t) + cos(t) -- поставь значки умножения вместо пробелов.
fourier(f(t), t, %pi/2); -- найти коеффициенты для ряда фурье для t от -%pi/2 до %pi/2.
fourexpand(%, t, %pi/2, 20); -- чем больше последнее число, тем точнее.
plot2d(%, [t, 0, 10])
пик - график, что получилось.
Аноним 05/11/17 Вск 02:35:47 301174 423
9LzE-6VXRW3a8Uf[...].png 11Кб, 382x280
382x280
sLAG6MlZQDq3uD3[...].png 10Кб, 371x201
371x201
3.png 9Кб, 504x141
504x141
4.png 14Кб, 441x232
441x232
Анон помоги плис с задачкой. Надо найти Эквивалентное напряжение Тевенина на узлах а и b. В решебнике используется метод суперпозиций. Если при удалении источника тока все еще понятно, то когда удаляется источник напряжения в решебнике начинается лютая вакханалия с методом узловых напряжений. Все показано на картинках.
Не опнятно что они делают в узле А и С.
Аноним 05/11/17 Вск 12:43:06 301195 424
>>301174
В этой схеме два узла - это B и земля, A и C это не узлы. Из "Node B" находится потенциал узла B. Напряжение BC можно найти по закону Ома для участка цепи (это же источник тока внизу?) - это выражение "Node С". Напряжение AB еще проще найти - R1 и R3 образуют так называемый делитель напряжения.
Аноним 05/11/17 Вск 12:44:07 301196 425
>>301174
Забыл добавить, что плисами занимаются в другом треде.
Аноним 05/11/17 Вск 21:20:42 301246 426
>>180271 (OP)
Сенсей-сама, есть один Smart-UPS 750. Сзади у него есть СОМ-коннектор для управления(?), снятия показаний(?). Как пишут в мануале - не используйте стандартный кабель для подключения, используйте только родной. Как узнать распиновку и что он передает? Сервис-манулов на упсы в сети не сыскать, как и на ХДД.
Аноним 10/11/17 Птн 11:45:14 301838 427
Сенсей-сама помоги вывести формулу заярдки конденсатора:
V(конденсатора)=V(источника)*(1-exp(-t/RC)).
Cуть в том что надо как то ебаться с дифференциальными уравнениями используя законы Ома и Кирхгофа.
Аноним 10/11/17 Птн 15:26:47 301858 428
>>301838
1. сумма напряжений на участке равна нулю -- парвило Кирхгофа.
2. посмотри вывод в >>>/math/19499
в Прикладная математика треде.
но там решение дифур использая Лаплас преобразование.
если без преобразования, смотри в книге: Высшая математика для начинающих, Зельдович.

напишу дифур.
iR - это напряжение на сопротивлении, Ом.
E = iR + 1/C integral(i, по t)
интересует напряжение на конденсаторе
E = iR + f
хотим выразить i через f.
f = 1/С integral(i, по t)
так как производная интеграла равна подинтегральному выражению:
df/dt = 1/C i => df/dt C = i
подставить i в уравнение
E = df/dt CR + f
найти f.
Аноним 10/11/17 Птн 15:31:17 301860 429
>>301858
в Зельдовиче именно это и выводится. и все, что для вывода нужно, там есть, вроде бы.
Аноним 15/11/17 Срд 20:46:48 302685 430
Выведите формулу для плотности вероятности процесса на выходе двустороннего ограничителя при воздействии на него нормального случайного процесса.
Дайте хоть наводки, как решить эту хуйню?
Аноним 16/11/17 Чтв 12:24:17 302767 431
>>302685
Чем это может отличаться от плотности вероятности функции от случайной величины? Вроде бы ничем. Тогда этот вопрос относится скорее к математике и лучше спрашивать это в /math/.
Либо в гугле ищи "функция от случайной величины", если не можешь учебник открыть.
Аноним 16/11/17 Чтв 16:28:12 302787 432
>>302685
Дискламер: я не знаю, как вас учил препод, и пишу как вижу лично я. На входе у тебя случайный сигнал, который принимает значения от -∞ до +∞. На выходе у тебя сигнал, вероятность которого на промежутках от -∞ до A нижняя граница и от B верхняя граница до +∞ равна нулю, потому что ограничитель не допускает, чтобы в этих областях был какой-то сигнал.

Считаем, что ограничитель входной сигнал от -∞ до A превращает в A, входной сигнал от B до +∞ превращает в B, входной сигнал между A и B проходит без изменений. Тогда плотность распределения на выходе будет выглядеть так:

для интервала (-∞, A) = 0
для точки A = ka ⋅ δa
для интервала (A, B) = такое же распределение, как на входе
для точки B = kb ⋅ δb
для интервала (B, +∞) = 0

Где
ka - коэффициент, равный интегралу распределения входного сигнала в пределах -∞, A
kb - коэффициент, равный интегралу распределения входного сигнала в пределах B, +∞
δab) - единичный импульс дельта-функция Дирака в точке A (B)
Аноним 16/11/17 Чтв 16:35:41 302788 433
Ответ зависит от того, какого вида модель ограничителя используется. >>302787 расписан для идеального ограничителя, но у тебя может в задании может быть конкретная схема на диодах или чём-то ещё, и там надо строить модель ограничителя через уравнения элементов твоей схемы.
Аноним 24/11/17 Птн 19:44:03 303832 434
>>180271 (OP)
Сенсей-сама, поясни за расчет RC-цепи. Имею сопротивление 1кОм и кондер 1нф.
Аноним 26/11/17 Вск 09:00:17 303951 435
>>180271 (OP)
Cенсей-сама, есть схема на МК и датчике.
Как преобразовывать с датчиками выходное напряжение в нужное действующее измеренную величину. Понятно, что надо делать максимальное выходное напряжение датчика на разрядность АЦП, а что еще проебано в формуле?
Аноним 26/11/17 Вск 14:31:09 303965 436
1.jpg 43Кб, 497x480
497x480
>>303951
>Как преобразовывать с датчиками выходное напряжение в нужное действующее измеренную величину. Понятно, что надо делать максимальное выходное напряжение датчика на разрядность АЦП, а что еще проебано в формуле?

чо
ррр 05/12/17 Втр 12:54:47 305078 437
Сенсэй-сама! Дано задание: собрать схему регулируемого импульсного стабилизатора постоянного тока (чим и шим). Все, больше никакой конкретики не дано! Единственное условие - это то, что должно быть подогнано под стенд и желательно, чтобы была одна схемав с возможностью переключаться между чим и шим. Прошу вас о помощи в моделировании данной схемы
Аноним 05/12/17 Втр 15:31:07 305089 438
Аноним 06/12/17 Срд 16:33:32 305206 439
Чтобы не создавать отдельный тред. Вопрос в тем, кто знает элтех на отлично.
Есть такие двигатели: PMDC (двиг. пост. тока), BLDC (бесщёточный двиг. пост. тока), PMAC (синхронный бесщёточный двиг. перемен. тока). Я правильно понимаю, что последние два типа двигателей очень похожи, а механические характеристики у всех трёх типов двигателей одинаковы? (если нет, то скиньте, я так и не нашёл в инете, интересует тупо зависимость крутящего момента от оборотов, пиковый и постоянный моменты)
Аноним 08/12/17 Птн 23:52:39 305445 440
>>180316
Ебааааать. . Это что, человек из пятнадцатого года?
Аноним 15/12/17 Птн 00:40:32 306147 441
image.png 24Кб, 499x240
499x240
Аноны, есть ИК-приёмник с такой схемой. Интересует физический принцип работы. Гугление выдаёт теорию про модуляцию, которая мне нафиг не сдалась.
Вопрос вот в чём: если на приёмник не светить, он на выход выдаёт напряжение, равное подаваемому на Vs.
Если же светить, то выдаёт 0 В.
С первым случаем всё понятно: транзистор закрыт, но почему так происходит во втором случае?
Я тотальный нуб в этом вопросе. Пары по этой фигне прогуливал, теперь жалею.
Аноним 15/12/17 Птн 07:19:34 306151 442
>>306147
>Demodulator
>модуляцию, которая мне нафиг не сдалась
Ок.
>во втором случае
Очевидно, что транзистор открывается и подтягивает OUT к GND. Это называется выходом с открытым коллектором.
Аноним 15/12/17 Птн 07:23:13 306152 443
>>306151
> выходом с открытым коллектором.
Закрытым. slffix
Аноним 15/12/17 Птн 10:24:01 306160 444
>>306151
>модуляцию, которая мне нафиг не сдалась
>Ок.
Я имел ввиду, что в данном случае меня интересует физический аспект, а не то, как яйцеголовые модулируют-демодулируют сигнал.
>Очевидно, что транзистор открывается и подтягивает OUT к GND.
Спасибо за объяснение.
Аноним 15/12/17 Птн 22:31:44 306238 445
25/12/17 Пнд 20:37:04 307372 446
>>180271 (OP)
Сенсей-сама! Как сделать ёмкостную трёхточку с перестраиваемой частотой?
Аноним 26/12/17 Втр 11:21:04 307426 447
Аноним 05/01/18 Птн 22:45:28 308578 448
Сенсей-сама, есть цепь с несколькими резисторами, различными по напряжению, источником тока и катушкой. После того, как цепь замкнули, а потом разомкнули. Резисторы всю энергию, которую накопила катушка, начали выделять через тепло, допустим вся цепь выделила тепло Q. Какую часть от Q выделяет каждый резистор? Пропорционально сопротивлению?
Аноним 05/01/18 Птн 22:58:29 308581 449
>>308578
>Пропорционально сопротивлению?
Пропорциоанально площади рассеивания
Аноним 05/01/18 Птн 23:01:18 308583 450
>>308581
Это типа площадь поверхности резистора? От сопротивления не зависит то есть?
Аноним 08/01/18 Пнд 20:50:03 308919 451
фильтр2.png 1Кб, 626x319
626x319
Сенсей-сама! Допустима ли замена резисторов R1 и R2 на потенциометр (например на 1М) для регулирования выходного напряжения?
Аноним 09/01/18 Втр 07:51:38 308979 452
>>308919
Это больше похоже на плавный пуск, чем на стабилизатор
Аноним 09/01/18 Втр 08:48:02 308986 453
>>308919 Да.
>>308979 Это таки стабилизатор, только не регулиремый.
Аноним 09/01/18 Втр 16:25:03 309022 454
>>308986
Тогда обьясни, где здесь обратная связь по напряжению?
Аноним 09/01/18 Втр 19:12:45 309031 455
>>309022
В том же месте где в любом истоковом повторителе. Только от этого схема не становится стабилизатором.
Аноним 09/01/18 Втр 19:55:08 309038 456
>>180271 (OP)
Сенсей-сама!
Назови отличия Диода Шоттки от туннельного. И можно ли использовать в схемах вместо туннельных - Диоды Шоттки
Аноним 10/01/18 Срд 04:17:58 309066 457
>>309038
У туннельного есть область отрицательного сопротивления, у шотки - нет. Использвать нельзя. Для относительно низких частот можно собрать замену на двух полевиках.
Аноним 10/01/18 Срд 16:29:38 309123 458
>>309066
отрицательного ДИФФЕРЕНЦИАЛЬНОГО сопротивления
пизда ты тупая
Аноним 10/01/18 Срд 19:49:03 309146 459
>>309066
Подскажи схему последнего
Аноним 10/01/18 Срд 20:22:55 309148 460
s9603-2.gif 3Кб, 577x211
577x211
Аноним 10/01/18 Срд 23:03:44 309170 461
image.png 32Кб, 1179x413
1179x413
>>309148
не понял. схема для микрофона, а как использовать её? я хотел туннельный диод использовать для осциллятора
Аноним 10/01/18 Срд 23:24:21 309172 462
>>309170
Зачем тебе? Осцилляторы на туннельниках массово использовали лишь в древних элт осциллах, в качестве генератора развертки и в схеме синхронизации. Да и то было изначально из-за ограничений по элементной базе, а затем просто как некий стандарт схемы, наследие, до самого развала совка. Сейчас реальное практическое применение туннельникам найти сложно. Да и производят их очень мало.
Аноним 11/01/18 Чтв 01:05:07 309181 463
>>309172
Окей, спасибо за инфу
А какую схему осцилятора с регулируемой (электронно) частотой чистого синуса, то есть без всяких цифровых выебонов можно сделать?
Аноним 11/01/18 Чтв 01:27:43 309183 464
>>309181
Ну, загугли ГУН, что ли. Вариаций масса.
Аноним 11/01/18 Чтв 03:59:46 309197 465
Аноним 11/01/18 Чтв 05:03:49 309202 466
Кому нужен точный ген - можно использовать дешевый гпс модуль.
http://www.qsl.net/pa2ohh/17gps.htm
>this new GPS module model NEO-7M, type NEO-7M-0-000 can generate reference frequencies upto minimal 10 MHz with a resolution of 1 Hz! For example 10139991 Hz! And it goes even higher than 10 MHz at the expense of some extra jitter. Great, a real RF generator that can be adjusted in steps of 1 Hz and with an accuracy of minimal 2e-8! perfectly suited for all kinds of applications. Unfortunately, the signal is not clean enough to use it as a VFO for a transmitter or a receiver.
Но это не для синусов, конечно же, а только как reference clock. И не нужны никакие гиацинты, которые по блату поверять каждый год надо, а то не будут точными.
Аноним 11/01/18 Чтв 05:41:22 309208 467
>>309202
Фазовые шумы только большие
Аноним 22/02/18 Чтв 09:45:48 313368 468
d
Аноним 24/02/18 Суб 12:30:25 313645 469
изображение.png 9Кб, 433x225
433x225
Сенсей-сама, ты мне вот совсем банальную вещь объясни, как неофиту.
Есть реостат, есть вольтметр и амперметр. Сопротивление источника с эдс E пренебрежимо мало. Что будет происходить при изменении сопротивления реостата:

Если R1 нулевое (крайне левое положение) -> Короткое замыкание -> Разность потенциалов равна нулю, то есть вольтметр покажет ноль.

Если хотя бы писечка R1 есть, то уже, согласно закону ома для полной цепи, напряжение на вольтметре будет равно E. Не какое-то там промежуточное значение а сразу Е.

Как такое может быть и что я не учитываю? Ведь в такой ситуации получается, что есть R1 пренебречь, то напряжение на вольтметре будет равно 0, а если не пренебрегать, то Е. В реальных схемах не бывает нулевого сопротивления, в этом суть? Непонимат.
Аноним 01/03/18 Чтв 12:54:17 314166 470
>>180271 (OP)
Сенсей-сама, помоги, срочно нужна ваша мудрость!
Есть одна РГР по 3х фазке, с виду всё легко, но на половине расчета встал на значениях токов. Помогите найти причину, почему токи не сходятся по Кирхгофу
https://drive.google.com/open?id=15-JE08J5WEk9BaaG9pX-ikYuLqnKCmSk мое решение и данные задачи в ворде
Аноним 01/03/18 Чтв 13:25:32 314168 471
>>313645
Ты не учел сопротивление проводов, сопротивление шунта амперметра. Ну и рассеиваемую мощность на этом участке до кучи, но это ладно.
Аноним 10/03/18 Суб 11:16:26 315014 472
Объясните как нубу, что такое переключающий диод?
Если возможно, то сразу в сравнении с выпрямительными, импульсными, отличие от шотки.
Аноним 15/03/18 Чтв 15:01:13 315755 473
>>315014
у него малое диф сопротивление в открытом виде. ну и емкость в закрытом.
Аноним 17/03/18 Суб 16:02:05 316051 474
lowry19771.jpg 916Кб, 1423x2092
1423x2092
lowry19772.jpg 1341Кб, 1440x2103
1440x2103
lowry19773.jpg 1041Кб, 1444x2105
1444x2105
Сенсей-сама! Какие современные инструментальные усилители можно использовать в схеме на рис.3 вместо AD521J и uA741? Ебал я антикварные AD521J за $80 покупать на маузере, да и наверное, с 1977 года что-то получше выпустили?
Аноним 25/03/18 Вск 09:27:10 317214 475
жжжж
Аноним 26/03/18 Пнд 08:40:36 317433 476
>>316051
Вместо AD521 можно попробовать AD8428, он стоит жалкие $20 при полосе 7 ГГц. А чем тебе uA741 не показался? Дешевый и надежный как гвоздь.
Аноним 26/03/18 Пнд 09:11:26 317436 477
>>317433
Тащемта полоса там ни к чему, можно и AD8422 за десятку вклячить.
Аноним 26/03/18 Пнд 12:38:59 317455 478
.
Аноним 07/04/18 Суб 20:36:40 319465 479
B.png 22Кб, 469x392
469x392
>>180271 (OP)
Эх анон, не нашел нужный тред, я делаю домашку по электрическим машинам, расчет потерь трансформаторов. Внеси ясность плез. Язык преподавания не русский, так что перевожу.
Расчет потерь конкретного трансформатора при разных напряжениях 0,1...1,1Uн.
Нужно рассчитать индуктивность а потом из таблицы выбрать значение потерь.

Для 50Гц считал по формуле что дана (индукция для ярма и стержня (они одинаковых параметров)) B=Uф/(4,44
fwS) (частота, кол витков, сечение магнитопровода).
И выбираем потери p из таблицы

А для 60 Гц у меня условие, учитывать что потери пропорциональны степени... и квадрату.... p~f^(1,3)*B^2
а магнитная индукция пропорциональна и обратно пропорциональна... B~Uф/f
Почему для 60Гц все по другому не ясно.

что то похожее про степень 1,3 здесь http://megapredmet.ru/1-69142.html но смысла я не понял. Цифры потолок пробивают.
Препод что то типично пробормотал что нужно было использовать "отношение", чегото к чему то и я лошара.


Задаия по трансформаторам 09/04/18 Пнд 00:54:11 319643 480
Сап двач! Приветствую Сенсей - сама! Аноны помогите пж т.к. я ничерта не понимаю сдавать завтра а я 0 вообще

ВАРИАНТ 22
Задача 22.1. Что произойдет с обмоткой и магнитопроводом
трансформатора, если при разомкнутой вторичной обмотке его
первичную обмотку включить на напряжение 380 В вместо номи-
нального 220 В?
Задача 22.2. Определить ток в первичной обмотке повышаю-
щего трансформатора (коэффициент трансформации 10) при номи-
нальном токе нагрузки 1 А, приняв его совпадающим по фазе с эдс
E2. Ток холостого хода равен 0,5 А, его активной составляющей
(0,05 А) можно пренебречь.
Задача 22.3. Начертите векторную диаграмму трансформатора
для случая, когда ко вторичной обмотке подключен конденсатор,
Каково напряжение на зажимах обмотки по сравнению с холостым
ходом?
Аноним 09/04/18 Пнд 01:17:03 319645 481
>>319643
>Задача 22.1. Что произойдет с обмоткой и магнитопроводом
>трансформатора, если при разомкнутой вторичной обмотке его
>первичную обмотку включить на напряжение 380 В вместо номи-
>нального 220 В?
Вонь. Дым. Горение.
>>319643
>Задача 22.2. Определить ток в первичной обмотке повышаю-
>щего трансформатора (коэффициент трансформации 10) при номи-
>нальном токе нагрузки 1 А, приняв его совпадающим по фазе с эдс
>E2. Ток холостого хода равен 0,5 А, его активной составляющей
>(0,05 А) можно пренебречь.
Я не помню. Я не могу, Я пьян. 0.1-0.2 А навернооо
>>319643
>Задача 22.3. Начертите векторную диаграмму трансформатора
>для случая, когда ко вторичной обмотке подключен конденсатор,
>Каково напряжение на зажимах обмотки по сравнению с холостым
>ходом?
Интрегрировано? Среднеквадратично? Я недостаточно выпил,
Аноним 09/04/18 Пнд 20:05:07 319711 482
>>319645
>Вонь. Дым. Горение.
Это с разомкнутой то вторичкой? ORLY?
Аноним 10/04/18 Втр 08:44:02 319751 483
>>319711
>>Вонь. Дым. Горение.
>Это с разомкнутой то вторичкой?
Первичка тоже может сгореть. Закон Ома никто не отменял: больше напряжение - больше ток.

Может - не значит обязана, конечно.
Аноним 10/04/18 Втр 17:48:31 319782 484
Поясните как на схеме обозначить катушку Роговского?
Аноним 10/04/18 Втр 19:06:36 319790 485
>>319782
Если ты про ГОСТ и эта катушка не входит в состав платы, то она будет нарисована только на функциональной схеме или на схеме соединений в виде прямоугольника.
Если ты не про ГОСТ, то можно рисовать как угодно.
Аноним 10/04/18 Втр 19:26:52 319793 486
Аноним 10/04/18 Втр 21:12:16 319800 487
>>319793
>как вывести значение с него на комплюхтер
Но нахуя? Ставишь АЦП, меряешь ток и передаешь в кудахтер.
Аноним 16/04/18 Пнд 15:45:57 320376 488
схема.png 50Кб, 1270x759
1270x759
схема1.png 3Кб, 463x152
463x152
Сап, Сенсей-сама! Нужна помощь.
Необходимо свернуть схему в несколько совмещенных звезд до обычной
Аноним 17/04/18 Втр 12:25:07 320466 489
>>320376
На вот тебе точек, расставь в своей схеме: .........
Аноним 17/04/18 Втр 13:37:38 320473 490
схема.png 55Кб, 1270x759
1270x759
>>320376
Они здесь везде на пересечениях линий.
Аноним 21/04/18 Суб 09:18:58 320886 491
CxemaIshodn.png 1Кб, 654x165
654x165
>>320473
Если разместить немного не так элементы, то вот что получается
Аноним 21/04/18 Суб 09:20:11 320887 492
ShemPreob.png 2Кб, 715x417
715x417
Аноним 21/04/18 Суб 17:33:26 320959 493
>>320887
Сложить параллельно Е1 и Е6, Х15 и Х78 вместе с Х62 хорошо, но основная загвоздка в кольцевой схеме, которую надо свернуть
Аноним 23/04/18 Пнд 18:54:01 321062 494
photo2018-04-23[...].jpg 122Кб, 1187x1280
1187x1280
photo2018-04-23[...].jpg 135Кб, 1107x1280
1107x1280
Сейнсей-сама! Помоги пожалуйста!

1) Нужно преобразовать источники напряжения в источники тока.
2) Записать законы Кирхгофа для данной цепи.
Тут возникли трудности и нужна помощь, ибо постоянно путаюсь.
Затем нужно выполнить следующее (думаю, справлюсь сам):
3) Представить ток через проводимость и напряжение.
4) Все напряжения представить как разницу потенциалов (с этим трудности, объясните пожалуйста).
5) Преобразовать систему уравнений, найти все значения.
6) Построить сигнальный граф (объясните пж).
Аноним 24/04/18 Втр 04:51:06 321089 495
>>321062
>4) Все напряжения представить как разницу потенциалов (с этим трудности, объясните пожалуйста).
Явно речь о методе узловых потенциалов
Аноним 25/04/18 Срд 19:07:24 321227 496
>>321062
Вся суть рашкообразования. В вузах вместо изучения ардуины грузят студентов давно устаревшей ерундой.
Аноним 25/04/18 Срд 19:53:11 321228 497
>>321227
>вместо изучения ардуины грузят студентов давно устаревшей ерундой.
Святая толстота
Аноним 25/04/18 Срд 20:25:35 321229 498
>>321228
Часто ли ты сам на практике пользовался методом узловых потенциалов?
На самом деле эту ерунду изучают еще в школе. На первом курсе сверх школьной программы по ТОЭ дают лишь некоторые методы расчетов. Ардуину, в отличие от ТОЭ, за один семестр никто не сможет осилить, разумеется на более-менее приличном уровне.
Аноним 26/04/18 Чтв 14:21:12 321271 499
>>321229
>Ардуину, в отличие от ТОЭ, за один семестр никто не сможет осилить, разумеется на более-менее приличном уровне.
Я предлагаю учредить Академию Ардуины им. святого равноапостольного Иеремии Блюма, и учить там как медиков - по 10 лет. Каждую ногу ардуины изучать 1 семестр.
Сложные однофазные электрические цепи синусоидального тока 05/05/18 Суб 20:00:47 322240 500
image.png 78Кб, 687x504
687x504
Сенсей-сама! Помоги пожалуйста!
Аноним 10/05/18 Чтв 00:22:31 322693 501
>>321229
В шараге студентобляди незнают про реактивное сопротивление, зато юзать прерывания мы умеем.
>>321271
Толсто.

Аноним 10/05/18 Чтв 07:43:00 322709 502
>>322693
>>321271
В школах проходят закон Ома и законы Кирхгофа. Также рассказывают о том, что для конденсатора I=C(dU/dt), а для индуктивности E=L(dI/dt). Что остается для ТОЭ? Практически только методы расчетов, никакой теории.
А C++, в отличие от ТОЭ и ассемблера с прерываниями, за семестр никак не осилить.
Аноним 10/05/18 Чтв 07:45:02 322710 503
>>322709
>E=L(dI/dt)
E=-L(dI/dt) конечно же.
Аноним 17/06/18 Вск 16:49:26 327211 504
sup /ra/ нужно за неделю подготовиться к экзамену по электротехнике. Какие книги или ютуб-каналы посоветуйте?
Аноним 27/09/18 Чтв 23:45:16 338712 505
Сенсей-сама! Как мне из одной фазы (розетка) сделать 3 максимально простым способом? преобразователь частоты не предлагать
Конденсаторами/катушками больше 90° не сдвинуть же?
Преподаватель сказал про какой-то вращатель частоты, знает кто что это такое?
Аноним 27/09/18 Чтв 23:57:33 338714 506
>>338712
может фазовращатель?
Аноним 28/09/18 Птн 01:48:31 338719 507
>>338712 Мотор-генератор
Аноним 28/09/18 Птн 09:04:27 338733 508
>>338714
Точно, он. Что за устройство такое? Или это и есть расщепитель фаз на основе асинхронника?
Аноним 28/09/18 Птн 11:33:00 338741 509
изображение.png 15Кб, 613x314
613x314
>>338712
>Преподаватель сказал про какой-то вращатель частоты, знает кто что это такое?

Это ебашущий вхолостую трёхфазный мотор

Аноним 28/09/18 Птн 11:47:57 338743 510
Аноним 28/09/18 Птн 11:52:51 338744 511
Сенсей-сама! Обратная мощность это когда косинус фи меньше нуля?
Аноним 02/10/18 Втр 19:28:35 339032 512
image.png 17Кб, 671x329
671x329
image.png 51Кб, 406x253
406x253
>>338712
Через движок такую хуйню будет дорого делать, да и очень тупо, если тебе от этой трехфазной цепи нужно будет питать другой движок.
Такое раньше делали, потому что не было альтернатив.

А сейчас ставишь выпрямитель и после него трехфазный инвертор, может еще НЧ фильтр после инвертора поставить, потому что иначе он тебе будет выдавать гармоники от меандра.

Ну и силовые транзисторы на инверторе лучше оптически развязывать от схемы управления, чтобы не ебануло если твой IGBT или мосфет перегорит.
Аноним 03/10/18 Срд 20:49:21 339113 513
image.png 9Кб, 187x135
187x135
image.png 165Кб, 628x301
628x301
image.png 34Кб, 453x266
453x266
image.png 50Кб, 579x277
579x277
Сенсей-сама, помоги! необходимо рассчитать каскад как на первом пике для транзистора TIS97 с нагрузкой равной 1 МегаОм. Я пробовал вот так: сначала нашел ток коллектора по формуле Iк=Uп/Rк, где Uп - напряжение питания, которое взял 40 В, Rк (сопротивление коллектора) взял равным 10кОм. Далее на выходных вах построил прямую и взял рабочую точку при 16В(см. второй пик). Затем я нашёл Iбазы и потом с помощью входной ВАХ нашел Uбазы рабочей точки. Далее по формулам рассчитал резисторы R1 и R2. R1=(Uп-Uб)/(Iдел+Iб) и R2=Uб/Iдел, где Iдел=10Iб. Затем я попробовал собрать это всё в оркаде(3 пик), после чего получил результат на пике 4. Скажите, пожалуйста, где я допустил ошибку. Если всё неправильно, то поделитесь, пожалуйста, вашим опытом расчетов каскадов, методичками или какой-нибудь литературой. Искал что-то в книге Титце и Шенка - ничего хорошего не нашел. Все расчеты выполнял по лекциям преподавателя.
Аноним 03/10/18 Срд 21:53:13 339120 514
>>339113
У тебя схемы с первой и третьей картинок разные. Если V5 на третьей картинке это источник напряжения, то толку от R4 и R5 никакого не будет. Может конденсатор туда воткнешь?
Также емкость конденсатора маловата для такой частоты. Постоянная времени получается 1 мс, а частота 5 кГц.
Аноним 04/10/18 Чтв 09:15:06 339156 515
image.png 12Кб, 348x291
348x291
Безымянный.png 27Кб, 1320x802
1320x802
>>180271 (OP)
Хелпаните. Не могу понять, является ли n и m узлами?
После преобразования первого пика получил второй.
Дальше нужно по КЗ составить уравнения. Ебу себе мозг узлами. Источник тока J1 = 0, поэтому его удалил.
Аноним 04/10/18 Чтв 09:17:20 339157 516
>>339156
Сенсей-сама ! Взываю к твоей помощи !
Аноним 04/10/18 Чтв 09:43:50 339158 517
>>339156
>Сенсей-сама !
Где ты его нашел? Он уже давно помер.

>Не могу понять, является ли n и m узлами?
На первой картинке это узлы. На второй картинке m и c у тебя соединены, значит это одно и то же, то есть один узел. А каким образом выкинул E1?
J2, R2 и E2 можно заменить на один источник ЭДС с резистором, тогда получится система из трех уравнений.

>по КЗ составить уравнения
Что это такое? В первый раз о таком слышу. Может быть это метод узловых потенциалов?
Аноним 04/10/18 Чтв 10:02:24 339159 518
>>339158
О Мудрейший, спасибо что ответил.
Когда писал в тред, не проверил что написал.

Так, проебался. Не E1 выкинул, а J1 (где узел m) т.к. значение его по условия = 0.

Не КЗ, а закон Кирхгофа, снова проебался.

А как совершить преобразование? Для начала нужно преобразовать J2 R2 в источник ЭДС, верно? E = JRист. И выйдет два источника ЭДС E2 направленных в разные стороны? по условию J2 = 0,5; R2 = 12; E = 0.5*12 = 6 верно?
Аноним 04/10/18 Чтв 10:06:25 339161 519
>>339159
E2 по условию, который направлен вниз = 26. Нужно 26 – 6 = E2 = 20 и направлен вниз?
Аноним 04/10/18 Чтв 10:58:23 339165 520
image.png 13Кб, 381x302
381x302
Безымянный.png 25Кб, 1320x802
1320x802
>>339158
Боже, какой я невнимательный. Поди запутал тебя. Ты прав, проебал E1.
Еще раз. Теперь все правильно.
Ток J1 по условию = 0, выкидываем.
J2 = 0,5; R2 = 12;

Теперь переходим от тока J2 к ЭДС вот так: E = JRист. Подставляем: J2 = 0,5; R2 = 12; E = 0.5*12 = 6. В этой ветви у нас эдс E2 с разными направлениями. 26 - 6 = 20В
E2 течет вниз.
Аноним 04/10/18 Чтв 11:02:15 339167 521
>>339165
Не пойму, что делать если есть два ЭДС в одной ветви, но направлены они в разные стороны.
Аноним 04/10/18 Чтв 11:12:59 339169 522
Безымянный.png 22Кб, 1300x802
1300x802
>>339167
После преобразований получилась такая штука
Аноним 04/10/18 Чтв 18:38:12 339204 523
>>339169
В общем, хуй знает. Кто может помочь? Не сходятся токи МКТ и МУП. Немного в отчаянии.
Аноним 04/10/18 Чтв 18:46:19 339205 524
>>339204
Преобразуй ромбик в один источник и одно сопротивление.
Методом эквивалентного генератора.
Сначала - в источник тока, потом обратно в источник ЭДС.
Аноним 04/10/18 Чтв 19:23:00 339208 525
Схема.png 32Кб, 1300x802
1300x802
>>339205
Так что ли? Можешь проверить МТК? Я проебался либо здесь, либо в методе узловых потенциалов.
I1к R235 – I2к R3 – I3к R5 = –E2`+ 2E
–I2к
R3 + I2к R345 – I3к R1 = E1
–I3к R5 – I2к R1 + I3к * R156 = –E1
Аноним 04/10/18 Чтв 20:45:22 339212 526
>>339204
>Кто может помочь?
Мне перехотелось тебе помогать после такого:
>Не пойму, что делать если есть два ЭДС в одной ветви, но направлены они в разные стороны.

У тебя вообще школьная задачка. Но ты похоже студент, т.к. школьник бы уже забил на решение. А если ты студент, то лучше бы тебя отчислили.
Аноним 04/10/18 Чтв 21:00:22 339215 527
>>339212
Ну да, я туповат, но стремлюсь понимать.
учусь на ебаной платке, зарабатываю на учебу сам. Лишний раз подтвердил стереотип о том, что платники по большей части безмозглые
ЭДС так и оставил. Ты лучше скажи, уравнения МКТ правильно составлено?
Аноним 04/10/18 Чтв 21:09:18 339219 528
>>339212
Или их можно заменить эквивалентным, которое будет направлено вниз? Т.к. E2`= 6; E2 = 26; Eэ =20В?
Аноним 07/10/18 Вск 19:46:43 339532 529
Схема.png 26Кб, 1300x802
1300x802
>>180271 (OP)
Короче, как ни пытаюсь, нихуя не сходится.
Кому не сложно проверьте, пожалуйста, уравнения составленные по МКТ и МУП.
МКТ:
I1к R235 – I2к R3 – I3к R5 = –E2`+ 2E
–I2к
R3 + I2к R345 – I3к R1 = E1
–I3к R5 – I2к R1 + I3к * R156 = –E1

МУП:
a = 0

-b (1/R2 + 1/R3 + 1/R4) + c (1/R4) + d (1/R2) = E2/R2 - E2`/R2
b (1/R4) - c (R/1 + 1/R4 + 1/6) + d 1/R6 = -E1/R1
b (1/R2) + c (1/R6) - d (1/R2 + 1/R5 + 1/R6) - -E2/R2 + E2`/R2
Аноним 07/10/18 Вск 21:22:07 339538 530
1.png 36Кб, 2222x802
2222x802
2.png 35Кб, 1251x797
1251x797
>>339532
Вот тебе правильное решение. Только я токи в другую сторону направил, но это не принципиально. Токи втекающие в узлы и вытекающие из узлов не нумеровал.
Аноним 07/10/18 Вск 21:23:50 339539 531
>>339538
При преобразовании куска схемы резистор не дорисовал. Но думаю и так понятно.
Аноним 07/10/18 Вск 21:28:08 339540 532
1.png 50Кб, 2868x802
2868x802
>>339539
Вобщем так, а то вдруг не сообразишь.
Хотя я, конечно, то же мог по невнимательности где-нибудь ошибиться.
Аноним 07/10/18 Вск 21:34:25 339542 533
>>339208
Кстати правильно тебе тот анон написал. Если вручную считать, то через эквивалентный генератор проще будет.
Аноним 07/10/18 Вск 22:02:18 339543 534
>>339542
Так мне по заданию нужно посчитать по методу контурных токов и по методу узловых потенциалов. Затем, сравнить полученные результаты и сравнить их, а у меня нихуя не сходится.
Аноним 07/10/18 Вск 22:03:05 339544 535
>>339543
Записать в таблицу и сравнить быстрофикс
Аноним 09/10/18 Втр 21:27:19 339807 536
Сенсей-сама, объясни для чего люди вообще придумали разделять защитный и рабочий нули при том что нейтраль источника глухо заземлена?
Аноним 16/10/18 Втр 17:09:53 340784 537
cxvc
Аноним 19/10/18 Птн 09:59:03 341248 538
>>339807
Я хоть и не сенсей, отвечу.Все защитное, защитный ноль или защитное заземление не должны быть нагружены в штатной ситуации. Иначе будет не безопасно, а наоборот. Если заземлить или занулить на загруженный ноль или на загруженное заземление например двигатель, то при пробое обмотки защита сработает как надо, но в процессе нормальной эксплуатации корпус мотора может пощипывать персонал.Почему так объяснять нужно или ты сам допер от чего так?
Аноним 31/10/18 Срд 01:26:53 343018 539
db9
Аноним 02/11/18 Птн 08:51:13 343312 540
Хуйцы
Аноним 07/11/18 Срд 23:53:00 344115 541
Вопрос к знотокам:
если в доме поставить куб меди стороной по одному метру, и подключить к этому кубу провуд, будет ли этот массив меди обладать заземляющим эффектом? По идее должен, просто обращаюсь к знотокам пояснить теоретически материальную часть. Следующие вопросы:
2. Если вместо меди использовать чугунный шар весом в 600кг?
3. Если вместо кубометрового медного куба использовать медную шину?
4. Если вместо кубика использовать связку ураниевых ломов?

давно жду ответов на эти насущные вопросы, обесните мне кот-небутдь
Аноним 08/11/18 Чтв 13:59:55 344196 542
>>344115
А что ты имеешь ввиду под заземляющим эффектом? Их ведь несколько разных есть по сути.
Допустим у тебя у холодильника корпус заземлен, то если в компрессоре разрушится изоляция и замкнет на корпус, то ток потечет в землю и выбьет автомат/узо. Почему он потечет? А потому что на подстанции нулевой провод заземлен, тоесть земля в данном случае выступает тупо проводником. Соответственно никакая хуйня другая такой заземляющий эффект замыкания не даст, т.к. она тупо не подключена к другому проводу. Это по поводу электротехнического заземления.

Касательно заземления для антенны, то там земля не обязательна, гугли "противовес", то что ты назвал вполне сойдет в качестве противовеса.

Еще земля обладает емкостью, как и любой предмет. Тоесть допустим статические заряды уходят в землю т.к. заряды перераспределяются. И т.к. заземляясь ты уравниваешь потенциал себя и земли, но т.к. земля дохуя больше тебя, то большая часть зарядов будет в земле, а на тебе останется 3.5 лишних электрона дающих заряд. Можешь так же сливать заряд на другой большой проводящий предмет касаясь его, чугуниевая болванка подойдет.
Аноним 12/11/18 Пнд 03:17:31 344845 543
Сенсей-сама! Поясни дауну.
Можно ли управлять диодным ключом малым по отношению к коммутируемому напряжением ?

То есть например есть 20 вольт и я хочу коммутировать их диодным ключом прикладывая только 2 вольта.
Аноним 12/11/18 Пнд 03:22:13 344848 544
>>344845
Какая интересная штука, я и не знал что такое существует. Интуиция говорит что нельзя, ведь иначе ты не запрешь диод. Почему бы не поставить тот или иной вид транзистора?
Аноним 12/11/18 Пнд 03:32:02 344851 545
>>344848
Отчасти из желания понять электронику в стиле Хилла и Хоровица.
И в большей мере оттого что у меня ящик этих самых диодов.
Аноним 13/11/18 Втр 16:52:51 345175 546
>>344845
Можешь взять тиристор. Отпереть его легко, низким напряжением. Только вопрос в том, как умудриться запереть, не разрывая силовую цепь.
Аноним 15/11/18 Чтв 14:08:08 345524 547
yBHusLeyfaY.jpg 191Кб, 950x1080
950x1080
>>180271 (OP)
Сенсей-сама, я, влеченный романтикой аутиования и копанмя в радио, являясь полным нулем в радио, прошу тебя направить меня на путь истинный и сказать с чего начать!
Аноним 15/11/18 Чтв 15:56:31 345534 548
OINOxDDLVU8.jpg 646Кб, 1620x2160
1620x2160
Прошу помощи в решении задачи.
Аноним 15/11/18 Чтв 18:32:26 345555 549
1542295938974.jpeg 3132Кб, 2304x1296
2304x1296
1542295939960.jpeg 1356Кб, 1731x1296
1731x1296
Я правильно рассчитал передаточный коэффициент для пикрила? Чтобы получить формулу для АЧХ надо просто сумму корней знаменателя найти?
Аноним 15/11/18 Чтв 18:33:14 345556 550
>>345555
Простите мою невежливость, прошу помочь, Сенсей-сама!
Аноним 15/11/18 Чтв 20:50:49 345596 551
>>345534
>>345534
привет Бычковай
сука просто ебанутая в край
Аноним 16/11/18 Птн 02:59:39 345660 552
>>345524
Ты сначала определись в чем для тебя кайф, а в чем профит.
Хочешь ли ты в цифру или в радиопередающие и всякие аналоговые усилки итп.
Аноним 17/11/18 Суб 09:25:16 345821 553
>>345524
Изучи закон Ома, например.
Аноним 17/11/18 Суб 10:32:09 345825 554
>>345524
Транзистор это просто
Аноним 17/11/18 Суб 11:50:24 345830 555
>>345825
>Транзистор это просто
Ты ебанутый? Транзистор - это адово сложно! Люди в институты кончают, диссертациями машут, а тебе ПРОСТО!?
Аноним 17/11/18 Суб 13:18:57 345831 556
>>345830
>Люди в институты кончают
у меня так друг умер
Аноним 17/11/18 Суб 14:26:12 345838 557
>>345830
Да это книжка так называется прост)
Аноним 17/11/18 Суб 14:30:06 345839 558
>>345830
Хилла и Хоровица полистай что ли.
Гидромеханическую аналогию вспомни.

Ты еще скажи диод это просто адово сложно, а ведь транзистор и прочие исторы это лишь технологический лайфхак двух диодов.
Аноним 17/11/18 Суб 14:41:28 345843 559
>>345830
Матан в транзисторах используется для конструирования высокоточных уберйоб, типа интерферометров, секвенаторов ДНК на полупроводниках, радиотелескопах etc. А транзисторная логика и усиление в марахайках те в приборах для бытовых нужд вполне себе осиляема и без ВУЗов.
Аноним 17/11/18 Суб 14:42:32 345844 560
>>345839
Что-то не понял. По твоему дискретный транзистор в любой схеме можно заменить двумя дискретными диодами и оно при этом будет работать?
Аноним 17/11/18 Суб 15:14:39 345852 561
>>345844
Нет конечно их надо технологически слить в одну конструкцию чтобы получить базу транзистора - тот самый лайфхак.
Аноним 18/11/18 Вск 11:03:34 345958 562
image.png 20Кб, 322x312
322x312
Сенсей-сама, помоги максимально упростить схему методом эквивалентных преобразований. На самом деле, нужно куда больше, но дальше я попытаюсь всё же сам.
Даже не знаю, с чего начать. Явно вижу тут треугольник, но не знаю точно что происходит с источниками ЭДС в нём при преобразовании в звезду.
Не совсем понимаю, что значат стрелочки, подписанные буквой J. Типа ток в одном месте входит, а в том выходит? Тогда почему так ебануто показано? И как это преобразовывать-то тогда?
Аноним 18/11/18 Вск 22:01:48 346127 563
Nq2scHROIC0.jpg 213Кб, 810x1080
810x1080
vDJ9vqbKzgc.jpg 197Кб, 810x1080
810x1080
>>180271 (OP)
Сенсей - сама!
Прошу помощи
Пункты 1 и 2 сделаны
Аноним 18/11/18 Вск 22:09:47 346129 564
IKVJhuUjKrk.jpg 313Кб, 810x1080
810x1080
>>346127
числа в таблице под вариантом 9
Аноним 24/12/18 Пнд 22:37:59 350801 565
>>180271 (OP)
Сенсей-сама, как вообще вкатиться в радиотехнику? Какие нужны инструменты, знания? Где взять основную информацию по тому, что нужно сделать, чтобы получить определенное устройство?
Аноним 24/12/18 Пнд 22:44:27 350802 566
>>350801
в данный момент у меня 8,5 классов обучения школки
Аноним 24/12/18 Пнд 23:44:43 350806 567
>>350801
Как раз в 8 и 9 классах самые важные основы электротехники в курсе физики и проходят.

Тебе проектирование всяческой радиосвязи нужно, или просто скиллы чтоб вспухший кондер перепаять?
Аноним 25/12/18 Втр 00:02:13 350808 568
>>350806
Хочу как-нибудь связать свою профессию с электроникой, на данный момент только хожу на кружок робототехники но мы делаем роботов на лего mindstorms
Аноним 25/12/18 Втр 00:12:03 350809 569
>>350808
Самый минимум - это осилить школьную физику до 11 класса включительно. Потом уже можно приступать к РЦС.
Или можешь с ардуинкой играть, для этого вообще никаких знаний не требуется.
Аноним 25/12/18 Втр 00:19:09 350810 570
>>350809
>11 класса включительно
А там разве не метафизика и поведения атома?
>можешь с ардуинкой играть
Во сколько комплект для такой игрушки может обойтись?
Аноним 25/12/18 Втр 06:36:14 350821 571
>>350810
>метафизика
Это на уроках основ православия скорее, или на уроках литературы может быть.
>Во сколько комплект для такой игрушки может обойтись?
На порядок дешевле чем лего майндстормс. Алиэкспресс в помощь, базарю, еще захочешь.
Аноним 10/01/19 Чтв 15:56:30 352430 572
0034280D-AE27-4[...].jpeg 2023Кб, 4032x3024
4032x3024
9FCCC380-DC6F-4[...].jpeg 1593Кб, 4032x3024
4032x3024
Аноним 10/01/19 Чтв 16:17:30 352432 573
>>352430
>глупой
Ты же знаешь правила.
Аноним 10/01/19 Чтв 17:25:46 352441 574
>>352430
Если φ (от которого косинус) это разница фаз между током и напряжением, то задачка со второй картинки решается как-то так. Это при условии что подключается все к источнику напряжения, а не тока.
Условие первой задачки непонятное. Где на схеме там φ1, а где φ2?

>>352432
>Ты же знаешь правила.
Это да, за просто так решать как-то не очень.
Аноним 10/01/19 Чтв 17:26:13 352442 575
Безымянный.png 13Кб, 510x615
510x615
>>352441
Картинка не прикрепилась.
Аноним 11/01/19 Птн 10:05:57 352498 576
96645146-A3FC-4[...].jpeg 66Кб, 450x600
450x600
>>352441
Блядствовать ради тоэ
Новый уровень
Но труд должен быть оплачен
Аноним 12/01/19 Суб 17:18:56 352644 577
>>352498
Потом, когда на том свете за разврат спросят, то надо вести защиту от того, что это всё было ради науки, прогресса человечества и из чувства глубокого гуманизма. Рекомендую. У меня у самого примерно такой план.
Аноним 12/01/19 Суб 20:51:13 352670 578
>>350801
Имхо, первичен трудовой навык. Научись паять, платы делать. Найди источник радиотоваров в своём городе, заебёшься каждую хуетень из Китая везти. Цешку себе купи. Паяй схемы из интернета, их дохуя, на том и учись. Самое полезное на этом этапе, что можно спаять - это блок питания, наверное.
Как только научишься не сжигать транзисторы, то считай научился(нет).
Ещё есть всякие готовые решения вроде Ардуино. Это считай конструктор, покупаешь(ну или сам паяешь) готовые модули и программируешь микроконтроллер. Это сильно облегчает жизнь, можно довольно быстро научиться делать функциональные штуки.
Параллельно с этим нужно и учиться, конечно. Вообще, чтоб полностью самому пилить полезные схемы, знать нужно довольно дохуя. Научись понимать, что где на что можно заменить без последствий для работоспособности, и это уже будет очень хорошо. С эмуляторами электрических цепей советую поиграть.
Аноним 12/01/19 Суб 21:36:07 352674 579
>>345843
Совершенно верно. Одним из моих любимых примеров из эпохи советских цветных телевизоров до четвёртого поколения была максима, что телевизор работает очень легко и просто, пока не сломается.
Так же и тут, пока от транзистора не нужны весьма конкретные и близкие к экстремальным характеристики, то его математические модели очень просты и понятны даже школьнику. Например, я помню, что в 10-м или 11-м классе на физике не только транзистор биполярный изучали, но и как пример приводился кусочек регенеративноного приёмника. Хорошее было время.
Ну, а если от транзистора нужны какие-нибудь экстремальные характеристики, например, чтобы коэффициент шума в нормальных условиях был меньше 0,5 дБ в диапазоне от 0,1 до 18 ГГц, а коэффициент усиления был в том же диапазоне не менее 15 дБ, то тут и исследования проводить и диссертации будут защищать с умопомрачительной физикой-химией и матмоделями.
Аноним 12/01/19 Суб 21:41:58 352675 580
>>184009
А какое из условий задачи должно вызвать спад?
Аноним 12/01/19 Суб 21:50:57 352679 581
>>256174
> Недостаток - невозможность работать на высоких частотах.
Что же тогда СВЧ транзисторы в подавляющем большинстве полевые гетероструктурные на арсениде галлия, нитриде галлия и фосфиде индия?
Аноним 15/01/19 Втр 09:36:30 352969 582
1091379.jpg 16Кб, 378x316
378x316
Поясни за транзистор. Если не брать в расчёт перемычку базы-эмитер, а только цепь коллектор-эмитер, то я вижу, что току мешает лишь барьер, который образовался между базой и коллектором. База-эмитер открыт. Затем везде пишут, что поставив перемычку база-эмитер, то ток уже идёт и через коллектор. А что изменилось то? Глядя на транзистор как на диоды встречно направленные, то мы просто не задействуем блочащий диод. Где моя проблема?
Аноним 15/01/19 Втр 12:07:46 352985 583
>>352969
Кури дальше устройство pnp-перехода, про рекомбинацию и всю хуйню.
Аноним 15/01/19 Втр 13:21:00 352993 584
>>352969
Определение транзистора знаешь?
Биполярный транзистор — это трёхэлектродный полупроводниковый прибор, в основе принципа действия которого лежит эффект инжекции носителей заряда из эмиттерного перехода в базу.

Вот тебе точная цитата из Википедии
> В транзисторе типа n-p-n основные носители заряда в эмиттере (электроны) проходят через открытый переход эмиттер-база (инжектируются) в область базы. Часть этих электронов рекомбинирует с основными носителями заряда в базе (дырками). Однако, из-за того, что базу делают очень тонкой и сравнительно слабо легированной, большая часть электронов, инжектированных из эмиттера, диффундирует в область коллектора, так как время рекомбинации относительно велико. Сильное электрическое поле обратносмещённого коллекторного перехода захватывает неосновные носители из базы (электроны) и переносит их в коллекторный слой. Ток коллектора, таким образом, практически равен току эмиттера, за исключением небольшой потери на рекомбинацию в базе, которая и образует ток базы
Аноним 15/01/19 Втр 15:39:10 353020 585
Крайне благодарен. Как нагуглил определения легированности и рекомбинации (не знал, что она, как бы, током является) сразу в моём пазле хоть крупицы картинки появились. Преподы объясняли - никто ничего понять не смог.
Аноним 16/01/19 Срд 09:39:37 353109 586
>>353020
Потому, что их образовательная программа рассчитана на более сообразительных ребят. Сейчас с этим кагбэ по всему миру беда — студент тупеет. Упадок культуры и все дела. Есть даже мнения, что в 60-70-х годах прошлого века человечество прошло пик и теперь вот дальше только быстрый спуск и удар об дно дна.
Аноним 16/01/19 Срд 21:04:04 353169 587
>>353109
Конечно, это же не я виноват, старая обрюзгшая жертва Альцгеймера, у которого хуй стоял последний раз в 60х-70х. Это не я с трудом двигаю языком, пытаясь припомнить написанную нашей кафедрой 30 лет назад лекцию. И не ректор наш, доброго ему здоровьичка, который все деньги института спиздил, так что на нищенскую зарплату только я тут сижу преподаю. Это студент тупорылый пошел, все норовит в ентерненты эти свои залезть, вместо того чтоб как положено, в библиотеке от рассвета до заката над чертежами чахнуть.
Аноним 18/01/19 Птн 20:53:17 353429 588
изображение.png 2297Кб, 1215x2160
1215x2160
Сенсей-сама, помоги пожалуйста, как действовать, с чего начать?
Аноним 18/01/19 Птн 23:58:44 353437 589
о баже май
Аноним 19/01/19 Суб 10:28:36 353456 590
>>353429
сучилище, там же постояночка
Аноним 19/01/19 Суб 10:50:57 353459 591
>>353456
Нет. Там лишь как-то странно нарисован источник ЭДС. Точка над I и U что по твоему означает? И реактивная мощность в условии тоже не на пустом месте появилась.
Впрочем, эта задачка все равно школьного уровня. В школах только понятия реактивной мощности обычно не дают, а все остальное проходят. Хотя 90% посетителей этой доски даже это не решат.
Аноним 19/01/19 Суб 14:35:55 353478 592
>>353456
Это задачка не имела бы смысла при постоянном токе, поскольку конденсатор размыкал бы цепь и тока вообще не было.
Ну и плюс точки над буквами как бы намёкают, что выше уже отметили.
Аноним 30/01/19 Срд 16:43:08 355084 593
Начал читать нечто по электротехнике. Узел - это точка в электрической цепи, где гальванически соединяются...

Вопрос вот в чём, а что значит гальванически соединяются?
Аноним 30/01/19 Срд 22:27:50 355155 594
>>355084
> что значит гальванически соединяются?
Есть непосредственный электрический контакт.
Аноним 19/02/19 Втр 00:38:03 357516 595
>>180271 (OP)
Как перейти от ебаной косинусоиды к синусоиде?
169cos(wt) = 169sin(wt+90) — правильно?
49cos (wt+90) — а здесь как? будет типа wt+180?
Аноним 23/02/19 Суб 12:16:33 357904 596
image.png 1007Кб, 1000x750
1000x750
image.png 1305Кб, 1280x960
1280x960
Помогите решить хуйню быдло-технику. есть лаба, в ней надо найти электроемкость конденсатора (переменный ток, рис.2) и общее сопротивление Z. я даже инженерный справочник поднял, но нихуя не нашел, что можно было бы подставить или составить систему уравнений. Все что известно на втором пике
Аноним 24/02/19 Вск 01:45:12 357951 597
>>357904
Сколько платишь за решение?
Аноним 25/02/19 Пнд 09:52:35 358050 598
>>357951
20к. Как с тобой связаться?
Аноним 26/02/19 Втр 00:28:29 358112 599
1.png 218Кб, 1893x800
1893x800
2.png 258Кб, 1893x604
1893x604
>>180271 (OP)
Умоляю, помогите с ебаными комплексными числами. Знаю, что j^2 = -1
То что сфоткано - пример от препода. То что кура лапой - я. Очевидно, что мой проеб, а где именно не пойму.
Почему в первом примере у меня ответ сошелся, а во втором нет?
Аноним 06/03/19 Срд 13:05:56 359090 600
1.png 1Кб, 211x130
211x130
2.gif 2Кб, 311x101
311x101
Сенсей-сама!
Никак не могу понять зачем нужно активное сопротивление R в фильтре нижних частот (см. рис 1).
Разве одного конденсатора недостаточно? Ведь для высоких частот сопротивление конденсатора мало, следовательно токи высоких частот будут замыкаться через него, не переходя в нагрузку..... PROFIT!?
Или на рисунке изабражен ФНЧ в общем виде, где для получения необходим временной постоянной (RC) задаются нужные сопр-я и емкости.
И аналогичный вопрос, касательно фильтра верхних частот (см. рис 2). Сопр-е нужно, чтобы задать амплитуду скачка напряжения на выходе?
Алсо мне, похоже, нужно вспомнить ТОЭ, особенно переходные процессы. Посоветуй годный учебник/сайт.
Аноним 07/03/19 Чтв 07:26:05 359158 601
>>359090
У тебя все непонимание начинается с того как работает делитель напряжения на постоянном токе.
Есть источник напряжения - у него напряжение постоянное вне зависимости от нагрузки. И есть источник тока, у которого ток на выходе постоянный вне зависимости от нагрузки. Естественно то и другое это лишь модели, но с некоторыми допущениями это можно применять для расчетов.

>Ведь для высоких частот сопротивление конденсатора мало, следовательно токи высоких частот будут замыкаться через него
Подключили нагрузку к выходу источника напряжения и на его выходе ничего не поменялось.
>И аналогичный вопрос, касательно фильтра верхних частот
Предлагаешь без резистора? Можно, если сопротивление нагрузки постоянное и известно. А если сопротивление нагрузки известно лишь приблизительно или приближается к бесконечности?
>Посоветуй годный учебник/сайт.
Школьный учебник, я серьезно.
Аноним 09/03/19 Суб 17:48:27 359310 602
1.jpg 830Кб, 1440x900
1440x900
2.jpg 692Кб, 1440x900
1440x900
>>359158
Че то не обратил внимание сразу на то, что ты ему отвечаешь, запилил тут картинок ему..ну и пес с ним, хули я зря старался.

>>359090
>Ведь для высоких частот сопротивление конденсатора мало, следовательно токи высоких частот будут замыкаться через него, не переходя в нагрузку..... PROFIT!?
Есть еще такая хуйня, как входное и выходное сопротивление(импеданс) каскадов, у тебя перед твоей RC цепочкой может стоять каскад, где не последнюю роль играет высокая частота, без этого сопротивления ты нарушишь его работу, тебе правильно сказали смотри на эти фильтры как на делитель напряжения зависящий от частоты.

Аноним 10/03/19 Вск 11:36:19 359350 603
Возможно глупый вопрос, но в каком алгоритме рассчитывать цепь? Сначала отключить все измерительные приборы, потом объединить элементы в вевях эквивалентным сопротивлением, а за тем применять методы рассчёта?
Еще, если и объединять элементы, то есть формула для сопротивления последовательных r, L и C, а если, например, есть только 2 из этих трёх, формулу использовать ту же или другая есть?
Аноним 10/03/19 Вск 12:15:17 359354 604
>>359350
Не понимаю при чем тут измерительные приборы. И что вообще значит "рассчитывать цепь"?
Так-то есть законы Кирхгофа, достаточно лишь применить их. Есть два универсальных варианта — метод контурных токов и метод узловых потенциалов. Помимо этого есть частные случаи, при которых расчеты можно упростить. Все это еще в школе проходят вроде бы.
Аноним 10/03/19 Вск 18:55:18 359387 605
1.png 11Кб, 742x422
742x422
Есть микросхема, выводы работают на 3,3 В, внешняя схема - на 5 В. Для выравнивания уровня напряжений используется делитель. С напряжениями-то примерно понятно: 3.3 = 5*R2/(R1+R2). Но какой ток будет на входе микросхемы?
Аноним 10/03/19 Вск 22:31:50 359404 606
>>359387
>Но какой ток будет на входе микросхемы?
Тебе надо знать сопротивление входа этой микросхемы. Верхнее плечо ты знаешь, оно R1 по схеме, а нижнее будет R2+сопротивление входа микросхемы, ищи даташиты на нее.
Аноним 11/03/19 Пнд 08:24:24 359421 607
>>359404
>R2+сопротивление входа микросхемы
>параллельное соединение сопротивлений
>R2+
>Сенсей-сама
ТопусКекус
Аноним 11/03/19 Пнд 14:03:56 359433 608
кэт.jpg 51Кб, 696x520
696x520
>>359158
>>359310
Спасибо, господа! Буду разбираться.
Аноним 11/03/19 Пнд 14:18:43 359436 609
>>180381
>>352675
Это же трансформатор. ЭДС (а в данном случае Е = U2), индуктируемая во вторичной обмотке
(Е = -wdФ/dt)
пропорциональна изменению магнитного потока (Ф), который прямо пропорционален U1
U1 = 4,44fwФ
т.к. dФ/dt не равно 0 только в момент t0, значит выходной сигнал (U2) - импульс
Аноним 14/03/19 Чтв 22:38:40 359713 610
IMG201903142237[...].jpg 57Кб, 1280x825
1280x825
Как найти I1 между узлами 1 и 3 по методу узловых потенциалов? Сопротивления же нет, φ1-φ3=-E1?
Аноним 15/03/19 Птн 07:37:26 359742 611
>>359713
Там же в первую очередь для каждого узла записываются уравнения вида I5=I1+I2, система из которых потом решается. В том узле потециал будет известен, а ток не известен. Количество неизвестных переменных в системе уравнений не поменяется же, в чем проблема то?
Аноним 19/03/19 Втр 19:14:34 360003 612
IMG201903190805[...].jpg 90Кб, 1280x344
1280x344
Снова вопрос по мнтоду узловых потенциалов. Я не знаю, как во 2 уравнении по методу узловых потенциалов записать проводимость в 5 ветви
Как написал, или оно всё к нулю стремится?
Аноним 20/03/19 Срд 06:43:58 360029 613
>>360003
Все это ерунда, предназначенная только лишь для того чтобы мучить студентов. Никто на практике не применяет все эти законы Кирхгофа и прочие Омы. Какая разница, какая там прводимость у источника тока? Для того чтобы стать квалифицированным инженером не нужно знать все эти глупости. Лучше забей на это, такие задачи бесконечно далеки от практики.
Аноним 21/03/19 Чтв 06:27:37 360089 614
>>360003
Как написал не будет, последовательные проводимости так складывать нельзя, то есть да, проводимость всей ветви будет ноль. J5 ещё забыл.
Аноним 21/03/19 Чтв 06:58:55 360090 615
>>360089
Порой мне кажется что почти все присутствующие в этом разделе аноны не способны решать даже такие простейшие задачи.
В начале по методу узловых потенциалов вначале для каждого узла записывается 1-ое правило Кирхгофа, то есть сумма втекающих в узел токов равна сумме вытекающих токов. Далее эти токи выражаются через потенциалы узлов, полученная система уравнений решается и готово. В той ветви источник тока, потенциалы узлов не будут влиять на ток в ветви. Ток в ветви будет равен номиналу источника тока. Какие тут могут быть проблемы?
Коэф передачи ХуйГавно 22/03/19 Птн 17:21:34 360258 616
DSC0039.JPG 1095Кб, 3264x1836
3264x1836
Сап, помогите с коэффициентом передачи для звена
Аноним 23/03/19 Суб 01:18:14 360308 617
>>360258
Собери в симуляторе. Руками то нахрена такое считать?
Аноним 25/03/19 Пнд 21:42:27 360570 618
fdg.png 52Кб, 520x322
520x322
>>180271 (OP)
Сенсей-сама! по начерталке задали сделать чертеж электрической схемы по ГОСТ. Все бы не чего, но в чертеже отобразить клеммную колодку с назначением контактов. По датащиту подписал часть выходов микросхемы (К553УД2), а часть не могу! прошу твоей помощи
Аноним 25/03/19 Пнд 22:05:00 360572 619
>>360570
Это больше похоже на стабилизатор напряжения. Но если это начерталка, то какая разница что там писать?
Аноним 10/04/19 Срд 08:07:50 362017 620
+
Аноним 14/04/19 Вск 16:40:07 362430 621
>>180271 (OP)
Сеней-сама, имеется замороженный кубик влажного песка, 10х10 см с начальной температурой -20 градусов цельсия. Далее нужно будет измерять температуру по мере оттаивания. Для этого планирую поместить внутрь кубика терморезистор ММТ-4. Вопрос в том как теперь правильно пересчитать температуру из напряжения.
Аноним 15/04/19 Пнд 11:00:00 362473 622
>>362430
У всех термопар есть таблицы перевода значений, гугли по маркировке
Аноним 28/04/19 Вск 19:06:11 365075 623
Снимок.PNG 43Кб, 496x147
496x147
Снимок2.PNG 251Кб, 497x818
497x818
Как называется ЭДС в атомных батареях?
Аноним 30/04/19 Втр 10:15:23 365234 624
7d4e068f2a9aafb[...].jpg 38Кб, 640x480
640x480
Сенсей-сама. Подскажи чайнику.
Хочу собрать переносную колонку-бумбокс типа комбик чтобы можно было музыку включать и в микрофон петь или гитару подключать и в микрофон петь или по отдельности что то одно.
Хочу собрать более менее на коленке. Можно без блютухта а с usb и aux.
Сенсей-спасай
Аноним 30/04/19 Втр 14:07:51 365250 625
>>365234
TDA2030 умножить 2, это если совсем криворук, так как работает сразу и без проблем при сборке схемы из документации.
Либо её старшие сестрички, сама она 1х14Ватт (14В х 1А), а её сестрички есть и 2х25Ватт, есть и 4х30Ватт.
Аноним 30/04/19 Втр 21:34:13 365281 626
>>365075
Сенсей-сама приём приём, сансей ответь!
Аноним 03/05/19 Птн 10:37:27 365503 627
>>365234
Готовая плата усилителя с Алика + потенциометр на 10 ком для регулятора громкости. Ну и питание по вкусу. Всё.
Аноним 04/05/19 Суб 22:35:07 365785 628
Сенсей-сама, помоги решить 2 задачи. Желательно подробно пояснить

1. Определите сопротивление Rос в инвертирующем усилителе и его входной ток Iвх, если требуемый коэффициент усиления |K|=12, а на усилитель подаётся напряжение от генератора с Uвх-1.5 В и внутренним сопротивлением Ri=10 кОм

2. Найти коэффициент усиления усилителя К и Uвых неинвертирующего усилителя, с R2=25 кОм, R3=10кОм и Uвх=2 В
Аноним 09/05/19 Чтв 10:34:49 366292 629
Методдвухузлов.[...].png 52Кб, 1280x1006
1280x1006
>>180271 (OP)
Чуваки, объясните тупому. Почему здесь только два узла, а не четыре?
Аноним 09/05/19 Чтв 10:35:22 366293 630
>>366292
Я знаю, что узел - место соединения трёх и более ветвей.
Аноним 09/05/19 Чтв 17:26:33 366340 631
>>366292
может потому что эти два узла просто не назвали буквами, а?
Аноним 09/05/19 Чтв 17:32:10 366341 632
>>366340
Может я неправильно сформулировал свой вопрос.
Хм, ну, дескать, почему напряжение ab равно и левой ветви?
Если рассчитывать токи по методу двух узлов, искать нужно только напряжение между точками ab, а не суммы ab и соседнего узла.
Пиздец, не знаю как правильно выразиться..
Аноним 09/05/19 Чтв 17:55:52 366342 633
1.png 52Кб, 1280x1006
1280x1006
>>366341
>>366292
>почему напряжение ab равно и левой ветви?
Давай начнем с более простого. Вот тебе простая схема, в провод ткнули вольтметром, как я нарисовал на рисунке, что тогда покажет вольтметр? Вольтметр для простоты можно считать идеальным, с бесконечно большим сопротивлением.
Аноним 09/05/19 Чтв 17:56:28 366343 634
2.png 21Кб, 878x1006
878x1006
>>366342
Не так картинка. Вот про вольтметр.
Аноним 09/05/19 Чтв 18:34:45 366347 635
>>366292
аноны, шарите чи не?
Аноним 09/05/19 Чтв 22:52:20 366373 636
>>366343
Вольтметр покажет падение напряжения, которое равно R1 * Uab?
Я тот анон, пытавшийся сформулировать вопрос.
>>366292
>аноны, шарите чи не?

Не я.
Аноним 10/05/19 Птн 07:04:29 366393 637
>>366383
Тогда падение через резистор.
Аноним 10/05/19 Птн 11:46:45 366428 638
>>366409
Дай наводочку, если не сложно.
Аноним 10/05/19 Птн 18:22:05 366472 639
>>366343
по законму ома для полной цепи он покажет напряжение на клеммах, которое равно u = E/R + r
где r - внутреннее сопротивление источника
Аноним 10/05/19 Птн 18:25:35 366474 640
>>366472
>>366343
если вольтметр идеальный, соответственно, у него сопротивление бесконечное большое, и вольтметр покажет эдс источника
Аноним 10/05/19 Птн 19:25:23 366486 641
>>366480
Не траллю, хуй знает, как высрал формулу. Самому смешно.
Хотел написать закон Ома для полной цепи: I = E/R+r. Подумал о напряжении и написал так, как написал.
Аноним 10/05/19 Птн 20:35:24 366497 642
15574137529900[[...].png 52Кб, 1280x1006
1280x1006
>>366343
>>366480
Так, хорошо, здесь я уловил смысл. Вольтметр покажет ноль, т.к. никакой разности потенциалов нет.
Теперь переходим к пику. Здесь что? какой же я даун, пиздец просто
Аноним 10/05/19 Птн 20:41:58 366500 643
>>366497
Чувствую, это еще связано с параллельным подключением. При параллельном, напряжение одно и то же, а вот токи будут разные.
Аноним 10/05/19 Птн 20:59:09 366505 644
>>366500
Хотя, это было бы так, если в ветвях нет источников ЭДС.
Аноним 12/05/19 Вск 15:29:39 366734 645
Аноны,подскажите толковую литературу,по которой можно подготовиться к следующим вопросам:амплитудная модуляция,RC-фильтры,обратная связь.
Аноним 13/05/19 Пнд 11:57:58 366837 646
Есть задача смастрячить усилитель мощности. Надо из входного сигнала 10 мВ получить сигнал мощностью 20 Вт на нагрузке 75 Ом. опущу остальные требования, суть какая: путем нехитрых подсчетов получается, что амплитуда выходного напряжения должна быть примерно 67 В. Это несколько дохуя, но ладно. Первые три каскада усиления я сделал на ОУ, они работают блестяще. Выходной каскад двухтактный, с ним тоже проблем никаких. И теперь остается последний каскад усиления напряжения. У меня везде используется двуполярное питание, на ОУ ±15 и на выходном каскаде ±72. А я застрял на последнем каскаде предварительного усиления с тем, что у меня дохуя где падает напряжение и мне этих ±72 В не хватает. Что делать? Как спасать ситуацию?
Аноним 13/05/19 Пнд 14:25:42 366841 647
439-circuit-1.jpg 103Кб, 900x738
900x738
>>366837
>три каскада усиления
>последнем каскаде предварительного усиления
Куда столько всего?
Аноним 13/05/19 Пнд 20:41:38 366885 648
Безымянный.png 14Кб, 740x533
740x533
>>180271 (OP)
Чуваки, кто шарит за переходные процессы? Подсобите мне за денюжку. Надо будет написать характеристическое уравнение для классического метода.
Например для такой ебаной схемы.
Аноним 22/05/19 Срд 07:02:32 367695 649
114C5C2D-DDBA-4[...].jpeg 1777Кб, 4032x3024
4032x3024
Аноним 23/05/19 Чтв 23:19:44 367955 650
image.png 530Кб, 800x800
800x800
Сенсей-сама!
Хочу собрать себе электрошокер от быдла. Да не простой, а убойный но не убийственный, ватт на 3-5. Т.к от мощности зависит убойность а от напряжения и силы тока - мощность. Хочу узнать, как заставить китайский преобразователь с али (пикрил) нормально ебом токнуть, шо куда там подпаять. Спасибо
Аноним 24/05/19 Птн 01:32:37 367966 651
>>367955
> Да не простой, а убойный но не убийственный
О, поверь мне, ты скорее кротовых нор откроешь штук пять, чем соберешь убийственный шокер. С шокером лучше в тесла тред иди, этот сенсей походу помер.
Аноним 24/05/19 Птн 11:37:23 367992 652
>>367966
А где б его найти? Чёт не могу
Аноним 24/05/19 Птн 12:11:47 368000 653
Аноним 25/05/19 Суб 21:26:55 368169 654
Посоветуйте че по микросхемам почитать и микропроцессорам уровня z80
Аноним 01/06/19 Суб 02:34:05 368800 655
Ну, здарова, ветераны броуновского движения!
Хуан Жэньсюнь 04/06/19 Втр 15:29:11 369159 656
15262afc9fd981d[...].jpg 9Кб, 184x184
184x184
image.png 20Кб, 1085x434
1085x434
Сенсей-сама, как мне соотнести 2 частоты через логические елементы?
мне походу пизда и армия
Аноним 04/06/19 Втр 18:53:28 369183 657
>>369159
Хуле там той службы? Год сраный.
Аноним 04/06/19 Втр 21:02:57 369197 658
>>369159
>мне походу пизда и армия
Весьма вероятно, что даже в армии ты окажешься тупее среднего. Даже если не тупее, то точно медленнее, а значит все равно тупее.

>как мне соотнести 2 частоты
Отсчитываешь N периодов (т.е. положительных или отрицательных фронтов) по одному входу. Пока отсчитываешь N, считаешь количество сколько за это время будет периодов на другом входе. То что насчитаешь будет пропорционально разности частот. Величину N можно выбрать какой-нибудь более-менее круглой, для удобства подсчета.
Конечно у такого способа есть недостатки, но зато это очень просто. Наверное именно этот вариант от тебя ожидал препод.
Другой вариант это два обыкновенных частотомера и что-нибудь для деления, такое немного сложнее.

>Сенсей-сама
Но этот чудак уже давно утопился.
Аноним 04/06/19 Втр 22:26:06 369200 659
wUA21OGtysc.jpg 55Кб, 428x604
428x604
>>369183
братан, я не хочу на бомбас
Аноним 06/06/19 Чтв 11:33:58 369287 660
c51 аналог, любой даташит от моторолы к примеру
Аноним 06/06/19 Чтв 14:58:46 369318 661
>>369197
>разности
Ему же нужен результат деления а не вычитания вроде?
Аноним 06/06/19 Чтв 18:52:47 369336 662
>>369318
Вообще-то там результат будет пропорционален не разности, а сумме частот.
Аноним 08/06/19 Суб 19:14:35 369497 663
>>180271 (OP)
Как найти реактивную мощность через активную и косинус?
Аноним 08/06/19 Суб 19:23:22 369499 664
>>369497
Я правильно понимаю, для начала нужно выразить из косинуса синус. Зная, что тангенс это отношение синуса к косинусу находим сабж. Так?
бАНДИТ 16/06/19 Вск 22:06:14 370727 665
image.png 1180Кб, 810x1080
810x1080
ХЭЛП
Аноним 22/06/19 Суб 02:11:34 371140 666
1561158652549.jpeg 59Кб, 1224x1632
1224x1632
1561158653662.jpeg 78Кб, 1088x816
1088x816
1561158654250.jpeg 85Кб, 1088x816
1088x816
1561158654966.jpeg 198Кб, 1632x1224
1632x1224
Сенсей-сама, на днях меня посетила одна странная мысль, а точнее озарение.
Есть же такая хрень в программировании, как базовые операции с данными. Такие как XOR, OR, NOT, AND.. много их. И я видел в интернете их аналоги выполненные июна трнзисторах. У меня возникла идея, повторить эти схемы, только на элементах механических реле.
Так как свою поделку собираюсь разрабатывать именно для использования в своем автомобиле, решил и реле использовать штатные автомобильные. А именно 4х ногие или 5 ногие с нормалтно замкнутым контактом по середине.
Короче в своем арсенале собераюсь юзать три основных логических"кирпичика" :
1) AND - это узел, на выходе которого сомкнутся рабочие контакты ЛИШЬ в том случае , когда и А с общим проводом подключен и В с общим проводом подключен
Также и остальные ХОР и OR. Схемы с реле на пике.
Единственное замечание то, что в схеме с исключающем или на последнем пике, необходимо использовать 5 ти контактные реле с нормально замкнутыми контактами. Но это ерунда.

Так вот, хочу сделать себе автозапуска двигателя для машины при помощи этой релейной логики.
Схему прикрепляю.
У меня на пульте сигнализации есть кнопка оранжевая - "открыть багажник", её зажимаешь на 2 секунды и в крышке багажника соленойд срабатывает и оеа открывается.
Че я значит сделаю! я в салоне тумблер поставлю на два положения "drive" - не надо ничего заводить, брелоком просто открываем багажник.
И типо "night" - приехал домой спать, ставлю тачку на стоянку.

Когда тумблер тв позиции "night" и на дворе ранее утро, я прямо с балкона зажимаю кнопку "открыть багажник", но в режиме "night" провод идущий до соленойда , НЕ скомутирован с этим соленойдом, а питает ту быдло схему которую я прикрепил в последнем пике.

Там три входа в этой коробке будет.
1) провод идущий до соленойда
2) провод К-линия который где-то у бортовика тусуется, этот провод важен тем, что после того как пюсотор запущен (именно запущен и работать), то ес этом проводе положительное напряжение возникает +

Я придумал кое какую логику, которая будет понимать что мотор стоит заглушенный, что кнопка на брелоке нажата, и что режим "night" был вечером действительно щёлкнут мною. Результатом работы этой схемы, (т.е одобрением на пуск ), является замкнутый контакт последнего силового реле (со стрелочками на рис), коиорым уже можно и стартер активизировать и что угодно. И разумеется отключить стартер, если появится ток на линии отслеживающиюей момент запущенного двигателя.
Получится интересно, чи не?

машина лада 2112
22/06/19 Суб 19:39:04 371208 667
>>371140
>соленойд
убейся ап стену галавой
Аноним 22/06/19 Суб 22:52:26 371214 668
Аноним 24/06/19 Пнд 09:58:59 371314 669
image.png 224Кб, 284x400
284x400
Аноним 24/06/19 Пнд 14:06:27 371337 670
>>371314
Хуясе. Эт шо, я получается сам того не ведая велосипед изобрёл снова?
Бля, я поздно родился мне кажется.
Аноним 25/06/19 Втр 06:57:55 371408 671
Аноним 22/07/19 Пнд 16:12:29 373271 672
05.gif 2Кб, 229x290
229x290
>>180271 (OP)
Сенсей-сама!
Можешь объяснить как это работает?
Я читаю здесь https://radiokot.ru/start/analog/basics/14/
И нихуя выкупить не могу!

Батарейка запитывает транзистор, и какой блять ток с него пойдёт на колебательный контур, и далее как это будет работать с трансформатором.
А трансформатор потом даст ток на транзистор, чтобы тот уже по новой дал ток на катушка контура
Не могу понять принцип поддержания колебаний в данной цепи, каша)
Аноним 23/07/19 Втр 19:53:49 373338 673
>>373271
Мне кажется, эта схема не заведётся, ибо на базе - ноль.
Аноним 25/07/19 Чтв 00:02:15 373433 674
Аноним 27/07/19 Суб 09:14:21 373590 675
Аноним 01/08/19 Чтв 18:01:34 374008 676
Помощи ньюфагу не грузится, спрошу тут.
Есть самодельный блок питания на 14в.
Как узнать, на сколько от ватт/ампер?
Аноним 05/08/19 Пнд 12:09:05 374415 677
>>374008
Уменьшай сопротивление нагрузки пока не сгорит.
Аноним 06/08/19 Втр 11:31:40 374489 678
>>374415
Пока не сгорит нагрузка?
Аноним 10/09/19 Втр 13:38:56 377757 679
>>180271 (OP)
Ребят, подскажите, пожалуйста, тему для отчета по практике на любую тему не особо сложную, страниц на 10-13.
Аноним 10/09/19 Втр 16:04:02 377772 680
>>377757
Постройка коровника на 20 голов
Аноним 10/09/19 Втр 21:54:23 377807 681
>>374489
Что будет слабее, то и сгорит. БП трансформаторный или импульсный? Лучше дождись загрузки ньюфаг-треда, тутошний сенсей в нирвану ушел, будет не скоро.
Аноним 22/09/19 Вск 10:58:09 380740 682
>>377772
Этот дело говорит. Там дел-то на копейку-вырыл ямы, выставил стаканы, в них колонны распер клиньями, выставил колонны, залил бетоном стакан. На колонны фермы установил, приварил. Колонны обечайками охватил, можно стеновую панель прихватывать, потом и ПКЖ на крышу, приваривать к фермам. Мягкая кровля, коммуникации, электричество, свет, отопление. Коровник готов
Аноним 25/09/19 Срд 19:43:08 381097 683
Аноним 26/09/19 Чтв 22:04:21 381207 684
Laura 03/10/19 Чтв 09:05:24 382046 685
Сенсей-сама!
Мне нужно спроектировать BPSK-радиопередатчик, включая цепи согласования. Проблема в том, что передает он в диапазоне частот около 8 Ггц. Посоветуй, пожалуйста, какую-нибудь книгу, которая поможет с расчетами, потому что я в этой теме ни в зуб ногой.
Аноним 03/10/19 Чтв 10:50:57 382054 686
>>382046
>потому что я в этой теме ни в зуб ногой.
Ищи деньги, заказывай у ботаников, иначе пиздец.
Аноним 03/10/19 Чтв 13:30:49 382071 687
>>382054
Для меня смысл не в том, чтобы просто сделать работу, мне хочется разобраться, как она выполняется :/
Аноним 03/10/19 Чтв 13:44:59 382077 688
>>371140
Получится, у меня лабы в универе были такие. Только не на релюхах, конечно, собирал.
Аноним 03/10/19 Чтв 16:43:30 382107 689
>>371140
>Когда тумблер тв позиции "night" и на дворе ранее утро, я прямо с балкона зажимаю кнопку "открыть багажник",
Забыв вечером поставить на нейтралку и моя ласточка начинает долбиться в столб пока не сядет аккумулятор...
Аноним 07/10/19 Пнд 23:21:56 384675 690
Аноним 10/10/19 Чтв 20:42:23 385153 691
>>382046
проектирование передающей аппаратуры на таких частотах требует огромных знаний вообще-то. может частоты поменьше ? посмотри видео про LORA - модули... станет яснее.
Аноним 10/10/19 Чтв 20:55:56 385158 692
>>385153
Да ладно? Берешь готовый модем L-диапазона и соединяешь его с готовым BUC X-диапазона, BUC прикручиваешь к готовой антенне. Конечно все равно придется что-то посчитать, вроде уровня внеполосных излучений, стабильности частоты и прочего.
Аноним 10/10/19 Чтв 23:23:41 385195 693
>>382046
8 ГГц-не в зуб ногой вещи не совместимые, ты не то место мочалкой загораживаешь, тут надо с частот пониже начинать вкатываться
Аноним 10/10/19 Чтв 23:28:01 385197 694
>>385158
Ну тогда можно считать прыщавую школьницу зацепившуюся блютузом за гарнитуру специалисткой по цифровой, адаптивной широкополосной связи
Аноним 11/10/19 Птн 06:34:09 385229 695
>>385197
Зачем разрабатывать то, что уже сделано? Такое имеет смысл только если новое изделие будет в чем-то превосходить существующее, хоть в цене.
Для спутниковой связи, которая охватывает диапазон 8 ГГц, в большинстве случаев используется 950...1750 МГц в качестве выхода модема. Стандартные частоты позволяют к практически любому модему цеплять практически любые BUC. Нужен передатчик с другими параметрами модуляции? Так напиши новую прошивку для модема, ну или сделай новый модем. Зачем в таком случае делать новый BUC, если существующие устраивают?

Даже если брать все готовое, то все равно остается много расчетов, начиная с энергетического бюджета радиолинии.
Аноним 11/10/19 Птн 08:39:13 385243 696
>>385229
buc каких фирм разрешит использовать российский универ в дипломе?
Аноним 11/10/19 Птн 18:30:14 385304 697
>>385243
Ну что ты, как можно. Необходимо использовать только транзисторы КТ315, в крайнем случае другие совковые транзисторы. Никакие микросхемы нельзя использовать. Ведь какой ты будешь инженер, если используешь готовые блоки в виде микросхем?
Аноним 11/10/19 Птн 18:48:25 385305 698
>>385304
А советские микрухи можно??? Диды же использовали, нормально вроде.
Триединство тока, электрона и Бога Аноним 27/10/19 Вск 10:05:27 387470 699
Бамплимит тут изскольки постов состоит? Сам перестал понимать ТОЭ на 2-м семестре обучения, когда стали трёхфазные токи изучать. Для меня эта тайна трёхфазных токов и поныне остаётся на уровне тайны триединства электрона (элементарная частица, волновая функция, электронное облако)

Сам лично не изучал это, но предположу, что тайну трёхфазного тока и триединства электрона инженеры объясняют, как священники тайну Пресвятой Троицы: "Нам, не понять, как Отец, Сын и Святой Дух - три разных существа, но при этом один и тот же Бог. Даже ангелы этого не понимают. Мы же это поймём после смерти". Так может и с ТОЭ всё так же после нашей кончины всем из нас всё прояснится?

Алсо, кто чё скажет за учебник Бессонова по ТОЭ. Как по мне так пиздатый учебник. Из всего что там написано больше всех из группы не понял только я. Потому что я единтственный, кто отштудировал его чуть ли не на 3/4

Или есть учебная литература написанная доступнее Бессонова, хотя куда уж доступнее... Или я не прав?
Аноним 27/10/19 Вск 10:11:18 387473 700
>>387470
>отштудировал его чуть ли не на 3/4
>Остальные тупо рЫле на Бессонова клали, ходили работать и трахаться. И правильно делали, кстати!
Аноним 31/10/19 Чтв 06:26:31 387993 701
4MQEL6P2ukU4.jpg 210Кб, 747x1024
747x1024
Сап, анон. Возможно вопрос немного не по теме....но всё же спрошу. Как получить 220В из 380В самым простым способом? Знаю, что нужно взять нулевой провод и один из фазных...но вот что с ними конкретно нужно сделать? Пикрандом
Аноним 31/10/19 Чтв 07:49:51 388000 702
>>387993
Ничего.

У тебя фаза и ноль. Всё. Два провода - два контакта в розетке. Что тебе ещё надо, лол? Заземление отбросим, раз ты про него ничего не сказал.

С такими вопросами - в ньюфако-тред.
Аноним 10/11/19 Вск 19:27:05 389615 703
>>181787
Матлаб пиратский скачать не пробовал?
Аноним 10/11/19 Вск 20:03:13 389625 704
>>389615
Что подвигло тебя ответить на сообщение 2015 года?
И матлаб для численных расчетов, а мэйпл для символьных. Совершенно разное назначение.
Аноним 12/11/19 Втр 14:27:56 389832 705
>>180271 (OP)
Дров мужики.
Проблема такая. Машина во время старта потребляет очень большой ток, вы не поверите, но около 650 ампер. Это мгновенная разовая просадка напряжения в те микросекунды когда якорь стартера только начинает вращаться, далее график кривой на мониторе выравнивается и всё нормально, стартер крутит бодро как Псков и машина заводится.
Но! Проблема в том, что в это мгновение когда потребляемый ток равен 650 Амперам, напряжение просаживается до 6.5 вольт и компьютер "мозги" автомобиля уходят в перезагрузку. Из-за чего приходится продолжать заведомо напрасно крутить стартер, пока не пройдёт 4 сек (время загрузки мозгов) и машина наконец то заведётся.
В автосервисе сказали что аккумулятор отходил своё. Но сука! Крутит очень бодро на самом деле. Как новый.
Денег на на новый аккум пока, поэтому хочу спросить у вас, можно ли поставить на + провод "мозгов" какой-нибудь пиздатый электролит? То есть кондер да побольше, шоб он эту секундную просадку выдерживал?

Мозги - Bosh "январь 5.1".
Задача кондера - помочь прокормить мозги в течении хотя-бы 1 секунды, поскольку мой двигатель в норме , впринципе заводится мгновенно на норм аккумуляторе. Мотор успеет завестись за эту секунду, и далее миссия стабилизирующего кондера выполнена. Пусть висит себе до следующего пуска.

PS. Если че, можно перед самим стартером реле установить нормально разомкнутое, которое будет подключать кондёр только-только тогда когда он нужен, (ну вдруг если нельзя иначе, хз)
Аноним 12/11/19 Втр 15:31:55 389847 706
>>389832
Для просадки на 3 вольта тебе нужен конденсатор всего-то на 1300 фарад
Аноним 12/11/19 Втр 15:38:49 389849 707
Аноним 12/11/19 Втр 15:41:16 389850 708
>>389847
1 Ф = падение на 1 В при токе 1 А в течении 1 с. Значит при токе в 650А и просадке в 3 В за 1 с можно взять кондёр 650 / 3 = 220 Фарад.
Аноним 12/11/19 Втр 15:43:21 389851 709
>>389847
>>389850
Ок спасибо парни
Попробую и тот, и другой вариант.
Аноним 12/11/19 Втр 15:44:31 389852 710
>>389849
Ха-ха, точно гля. Очепятачка вышла.
А ты соображаешь смотрю )
Аноним 12/11/19 Втр 16:49:36 389869 711
>>389851
>Попробую и тот, и другой вариант.

Тебе дешевле поменять аккум или посмотреть стартёр/силовую проводку на него. Инфа 146%
Аноним 12/11/19 Втр 20:59:04 389932 712
>>389869
Стартеру месяца 4 всего. Поводка норм тоже, клеммы на аккуме тоже пару недель назад новые поставил.
Это просто стартовый ток у аккума просел со временем уже.
Конечно надо новый аккум ставить. Зимой вообще без вариантов будет. Масло густое станет будет тяжелее крутить. Но самое интересное что сейчас он до сих пор маслает шо дурной когда заводишь движок.
Аноним 14/11/19 Чтв 01:23:16 390148 713
>>389832
Интересно как это соотносится с темой треда? Какие фарады, через диод можно индивидуально для ЭБУ держать напряжение, применив ионистор в цепи питания процессора и памяти можно вообще вывести ЭБУ в автономку. В АКБ одну банку замкнуло походу. Отсюда прокрутка с бешенным током ( мощность потребляется та же, напряжение ниже, после бешенного прожога стартерным током банка оживает и все становится ок) Сенсей-сама ездит на ВАЗ2110?
Аноним 14/11/19 Чтв 01:55:21 390159 714
Аноним 17/11/19 Вск 18:10:06 390693 715
Screenshot2019-[...].png 5Кб, 211x167
211x167
453SKiICgdw.jpg 82Кб, 607x757
607x757
Q0ipYPgzDj0.jpg 94Кб, 1280x869
1280x869
Сап,Аноны, подскажите, где я обосрался в решении, при проверке ответ не сходится?
Аноним 17/11/19 Вск 18:12:27 390696 716
fQy7IihDFo0.jpg 308Кб, 1280x960
1280x960
>>390693
Часть расчета отклеилась.
Аноним 17/11/19 Вск 20:20:08 390712 717
1.png 16Кб, 1555x148
1555x148
>>390696
Тут ошибка. Ток нужно брать комплексно сопряженным.
Аноним 18/11/19 Пнд 00:23:13 390733 718
>>390712
Понял,спасибо,анон, выручил.
Аноним 23/11/19 Суб 23:09:42 391455 719
IMG201911240002[...].jpg 1108Кб, 2592x1936
2592x1936
Пацаны помогите рассчитать цепь .
Как правильно преобразовать схему ,если есть ветви с бесконечным сопротивлением ?
R7,R11,R16 имеют сопротивление = бесконечность
Аноним 24/11/19 Вск 08:41:24 391486 720
IMG201911240839[...].jpg 1351Кб, 2592x1936
2592x1936
Не братик, мне это в универе надо сдать ,второй раз )
Я ,вроде как ,по памяти ее преобразовал ,но хз правильно ли или нет ,гляньте СЕНСЕЙ САМА
Аноним 27/11/19 Срд 18:09:54 391959 721
>>391455
>R7,R11,R16 имеют сопротивление = бесконечность
Ну и пошли их нахуй, скажи - пошел нахуй. И нечего морочиться, тебя наперсточники разводят просто напросто.
Аноним 13/12/19 Птн 20:48:20 395217 722
Аноним 18/12/19 Срд 02:55:36 395788 723
f
Аноним 08/02/20 Суб 23:41:57 401869 724
Screen Recordin[...].mov 2383Кб, 962x716, 00:00:05
962x716
Анон, поясни, почему когда второй транзистор открыт, ток не течет по направлению третий резистор > база-эмиттерный переход первого транзистора?
Аноним 08/02/20 Суб 23:54:24 401875 725
>>401869
Хотя вроде понял - потому что там минус на обкладке конденсатора.
Аноним 13/02/20 Чтв 22:27:55 402525 726
>>401869
Это прога какая-то?
Аноним 19/02/20 Срд 15:20:55 403194 727
Аноним 03/03/20 Втр 13:51:21 404711 728
а где учебник купить?
Аноним 09/03/20 Пнд 00:52:17 405513 729
TransistorNPNsy[...].png 5Кб, 256x256
256x256
Анон, почему в аналоговых усилителях используется активный режим транзистора, а не насыщения. Ведь при насыщение коэффициент усиления тока - бета, а в активном меньше.
Аноним 09/03/20 Пнд 05:18:14 405532 730
cloudwatchingby[...].jpg 104Кб, 1024x680
1024x680
>>405513
>Ведь при насыщение коэффициент усиления тока - бета, а в активном меньше.
Всё наоборот.

И при ключом режиме у нас либо есть ток, либо нет. Это подходит только для цифровых схем или класса Д, но не для аналоговых вещей, где важна линейность.
Аноним 13/03/20 Птн 00:21:35 406044 731
Screenshot 2020[...].png 15Кб, 412x354
412x354
Сенсей-сама!
Поясни за второе правило Кирхгофа и теорему суперпозиции.

> Второе правило Кирхгофа (правило напряжений Кирхгофа) гласит, что алгебраическая сумма напряжений на резистивных элементах замкнутого контура равна алгебраической сумме ЭДС, входящих в этот контур.

> Принцип суперпозиции в электротехнике утверждает, что электрический ток в каждой ветви линейной электрической цепи равен алгебраической сумме токов, вызываемых каждым из источников ЭДС цепи в отдельности.

Например, имеем схему как на пикрелейтеде. Пусть обе батарейки с одинаковым ЭДС по 5 вольт, и очень малым внутренним сопротивлением. Тогда по второму правилу Кирхгофа на резисторе будет тоже почти 5 вольт.

Но по принципу суперпозиции в моем неправильном понимании, если мысленно убрать батарейки поочередно, получим ток на резисторе по I = 5/R, что в сумме дает 2*5/R = 10/R, или же 10 вольт на резисторе.

Где туплю?
Аноним 13/03/20 Птн 11:29:25 406074 732
>>406044
а ты мысленно резистор убери... че у тебя вольты повышаться будут ?
Аноним 13/03/20 Птн 12:36:57 406084 733
>>406044
>по второму правилу Кирхгофа
>Но по принципу суперпозиции
Вообще никак не противоречат друг другу. Просто воспринимай это как, когда ты отключаешь одну батарейку весь необходимый ток по правилу Ома втекает и вытекает в одну батарейку, при подключении второй ток в резисторе, как и прежде таким же и остается, просто в батарейках он теперь распараллеливается поровну.
Аноним 13/03/20 Птн 22:15:34 406157 734
>>406044
>>406074
>>406084

Тупил под вечер, сейчас разобрался - когда мысленно убираем одну из батареек (эквивалентно ЭДС + внутренне сопротивление), убираем только ЭДС, внутреннее сопротивление остается. Вот тогда формулы выходят идентичные.

Спасибо, пацаны.
Аноним 15/03/20 Вск 15:36:45 406336 735
Источник питани[...].JPG 383Кб, 2480x3508
2480x3508
Здравствуте анонче.
Поясните новичку работу данного блока питания.
А точнее то, как происходит его стабилизация. Начиная с "Пусть на выходе напряжение повысилось..."
Аноним 15/03/20 Вск 18:27:18 406349 736
>>406336
>работу данного блока питания
Ну, для начала, надо у VT2 поменять местами эмиттер и коллектор.
… а что Титов?
Аноним 15/03/20 Вск 18:30:24 406350 737
>>406349
Эту схему даже не я делал, но поменяю.
Все еще жду ответ на главный вопрос.
Аноним 17/03/20 Втр 14:45:40 406545 738
Аноним 17/03/20 Втр 15:22:57 406547 739
>>406545
>url
Так толсто, что даже тонко.
Аноним 18/03/20 Срд 21:41:21 406645 740
Аноним 18/03/20 Срд 22:03:02 406646 741
Аноним 18/03/20 Срд 22:25:03 406649 742
Сраные конденсаторы Аноним 27/03/20 Птн 15:01:42 407847 743
IMG202003271655[...].jpg 5195Кб, 4000x2250
4000x2250
IMG202003271656[...].jpg 2213Кб, 4000x2250
4000x2250
Вопрос до ужаса тривиальный и при этом сложный. Сложный из за обилия васянов и их советов в интернете. На деле имею 100500 формул расчета ёмкости конденсатора и не одна толком не подходит: при повышении нагрузки клинит/останавливается. Был замечен на более крупный и мощный движок пикрил.

Да, именно то, что вы и подумали. Подключение трехфазного двигателя в 220v. По схеме что я выбрал происходит подключение рабочего и пускового конденсаторов. Рабочий меньше. Нужно рассчитать ёмкость этих кондеров чтобы двигатель запустился и работал с более-менее вменяемым КПД. Особенно требуется сохранения рабочего момента, потому что на движок будет воздействовать большой момент сопротивления рывками или ударами. Ибо двигать он будет шнек дровокола. Не отговаривайте, идея не моя. Мне она и самому не нравится.


Если тред не тот, то пните в тот плиз.
Аноним 27/03/20 Птн 17:04:33 407870 744
>>407847
>3kW
>Только звезда, либо разбирать и копать двигатель
Степень тупизны данной инициативы близка к 100%.
Чтобы не ебаться, проще продать и купить однофазный. Частотный даже не рассматриваю.
Аноним 02/04/20 Чтв 00:28:11 408437 745
>>407847
Только через пиздатый редуктор. Иначе фиаско.
Аноним 23/04/20 Чтв 22:37:23 412824 746
Задача.JPG 34Кб, 1168x170
1168x170
Сенсей-сама! Какие есть методы решения этих заданий, как их решить и где найти релевантную информацию об этом?
Аноним 23/04/20 Чтв 23:51:14 412826 747
>>412824
Гугли параллельное и последовательное согласование сопротивлений
Аноним 13/05/20 Срд 21:05:25 416473 748
Нашел изображение тока в ветви, необходимо перейти к его оригиналу. Воспользоваться теоремой о разложении не получится т.к. степень полинома в числители равна степени полинома в знаменателе.
Для примера пусть i(p)=(p(1+p^2))/(p(2+3p^2))
Двач помоги, прошу
Аноним 20/05/20 Срд 08:57:58 417996 749
>>180271 (OP)
tldr; нытьё
Блять. Как обидно что я вообще нихуя не понимаю. В принципе все предметы легко давались, кроме физики и разных схем. Это какой-то пиздец, а у меня профиль где схемотехника будет на 2 курсе.

Ща на теории автоматов проходим всякие мультиплексоры хуексоры, я вроде чё-то решаю, но не очень понимаю сути какой-то, практики жизненной не хватает. А когда электротехника будет... Я хз. Купил себе ардуино, так и не разобрался за день нормально,как втыкать провода для того чтобы диод начал светиться, в итоге методом тыка сделал.
Аноним 20/05/20 Срд 09:11:24 417997 750
Gghj
Аноним 23/05/20 Суб 14:25:17 418724 751
IMG202005231358[...].jpg 66Кб, 1080x600
1080x600
>>180271 (OP)
Ребят, помогите, пожалуйста, где как ток пойдет?
Аноним 23/05/20 Суб 15:22:06 418742 752
IMG202005231521[...].jpg 3152Кб, 4000x3000
4000x3000
Аноним 23/05/20 Суб 15:27:07 418744 753
>>418742
Направление тока это условность. Без разницы в какую сторону считать направление, в решении от этого только знак поменяется, а на правильность решения не повлияет.
Аноним 23/05/20 Суб 15:47:30 418751 754
Аноним 16/06/20 Втр 20:36:54 423078 755
>>406336
Общий эмиттер проебали, кажется...
Аноним 20/06/20 Суб 00:44:55 423397 756
Ебать тут посты с 15 года.
Аноним 20/06/20 Суб 17:22:41 423446 757
>>423397
Ну так тред полумертвый.
>>423078
Спасибо, конечно, но для меня это уже не актуально
Аноним 04/07/20 Суб 23:25:49 425141 758
1024px-Componen[...].JPG 123Кб, 1024x704
1024x704
>>180271 (OP)
>Сенсей-сама!

Проясните такую вещь, что даёт нам использование элементов с более чем двумя выводами(транзисторы, электронные лампы, усилители и т.д.)?
Что такого нельзя сделать тольк с помощью элементов с двумя выводами(необязательно линейными)?

Или можно мультитерминальные компоненты представить в виде сочетания двутерминальных?
Аноним 05/07/20 Вск 01:06:26 425148 759
>>425141
усилитель чего-либо
Аноним 05/07/20 Вск 02:07:58 425151 760
>>425141
>Что такого нельзя сделать тольк с помощью элементов с двумя выводами(необязательно линейными)?
Да хотя бы 2 сигнала сложить или перемножить. Тебе для подобного действия тебе нужно 2 входа и 1 выход.
>Или можно мультитерминальные компоненты представить в виде сочетания двутерминальных?
Я таких способов не знаю. Есть диодно-резисторная логика, но она ограничена только AND и OR операциями, а для полноценной цифры нужны еще инверторы.
Основная проблема в том, что такие компоненты по определению будут пассивными, получать энергию для своей работы из входящего сигнала. Поэтому каскад таких элементов растеряет всю энергию. Хотя бы периодически нужно сигнал усиливать, то есть тебе нужен вход, выход и питание. Можно рассматривать это как частный случай умножения на константу.
Аноним 05/07/20 Вск 08:17:47 425156 761
>>425151
>Я таких способов не знаю.
Существуют компоненты у которых есть участки ВАХ с отрицательным дифференциальным сопротивлением, например туннельные диоды. На таких компонентах можно делать усилители. Даже существовали дуговые передатчики, в которых это использовалось.
Аноним 05/07/20 Вск 09:53:38 425164 762
1z.gif 4Кб, 401x194
401x194
>>425151
Есть же различные эквивалентные схемы транзисторов, где присутствуют элементы только с двумя выводами.

Хотя зависимоть от ток в другой ветке у источника тока - тоже что-то вроде связи.

Может дело как раз в этих зависимостях от значений параметров других элементов в цепи? Или всё-таки можно спопощью, пусть даже выдуманных, независимых элементов заминить все эти зависимости.

Для просто ты лучше пока ограничиться рассмотрением стационарных режимов, без всяких этих динамических характеристик.
Аноним 06/07/20 Пнд 12:50:38 425307 763
image.png 25Кб, 626x121
626x121
Сенсей - сама!
По устройствам электропитания нужно рассчитать Ш-образный трансформатор, как указано в задании. Аналитически задачу решил, но теперь нужно проделать то же самое в симулинке. С программой знаком поверхностно, только по обработке сигналов каналы связи моделировал.
Был бы безумно благодарен, если бы аноны рассказали как мне решить задачу
Аноним 06/07/20 Пнд 12:58:45 425308 764
Сенсей-сама, поцоны, вот я читаю Свореня "схемотехника шаг за шагом" и там он пишет пр транзисторы что мол сигнал на эмиттер приходит и с коллектора выходит уже усиленный? А в остальных источниках ровно наоборот, ну и сollectr это же как что-то собирающеее а emiter - испускающее если подумать. Но почему он так пишет?
Аноним 24/07/20 Птн 01:14:46 426984 765
>>180316
Куражи еще Wheatstone bridge calculations прямо на ютабе
Аноним 27/07/20 Пнд 12:33:09 427345 766
изображение.png 10Кб, 354x221
354x221
>>180271 (OP)
Сенсей-сама!
Если потенциал фA=фБ'=0, фБ=фA'!=0, то ток не будет протекать через R2?
Аноним 27/07/20 Пнд 12:35:13 427346 767
>>427345
А стоп, понял ошибку. На проводе Б-Б' не могут быть разные потенциалы.
Аноним 29/07/20 Срд 21:17:32 427577 768
>>427346
>На проводе Б-Б' не могут быть разные потенциалы
И между ними без резистора будет течь бесконечно большой ток. ОМ.
Аноним 02/08/20 Вск 11:51:52 427908 769
>>427345
Какие нах потенциалы, какие токи?
У тебя на пикче обыкновенный делитель напряжения, это же проще пареной репы.
Вот его формула.
Uвых = Uвх x (R2 / (R1 + R2))
Ток будет протекать через оба резистора, по другому быть не может.
Аноним 02/08/20 Вск 11:57:06 427909 770
>>425307
>Был бы безумно благодарен, если бы аноны рассказали как мне решить задачу
Не ебать мозги и купить готовый трансформатор под свои параметры.
Всё уже придумано за нас.
Аноним 07/08/20 Птн 12:18:53 428503 771
Посоветуйте книгу по электротехнике, нужно чтобы там было разъяснено все с нуля начиная с электрических полей. Не советуйте учебник по физике только
Аноним 09/08/20 Вск 21:30:08 428952 772
>>428503
Учебник по физике взять в руки все-таки придется, можешь взять что-то простое и короткое, например, прости Господи, Савельева
Аноним 09/08/20 Вск 22:34:26 428965 773
>>428952
На какую глубь следует учить физику чтобы мочь в составление схем, их пайку да и собственно все работы радиотехника уверенного 4-5 разряда? Вот к примеру возьмем самые начала - электростатику: стоит ли углубляться во всякие теоремы гаусса, рассматривать потоки вектора напряженности поля или же поверхностного ознакомления с напряженностью поля, законом кулона и силовими линиями хватит?
Аноним 12/08/20 Срд 10:35:24 429275 774
fdgfdgdg
Аноним 22/08/20 Суб 23:46:06 430279 775
>>428965
Ты что имеешь в виду, радиотехника 4-5 разряда? Радиомонтажника, техника-технолога, регулировщика, проектировщика радиоаппаратуры? Что-то очень расплывчато. Да и радиотехника включает в себе столько специализаций что специалист по силовой электронике и специалист по связной аппаратуре могут друг-друга с трудом понимать, хотя базовые знания у них будут аналогичны.
Аноним 22/08/20 Суб 23:48:59 430280 776
>>428503
Про электрические поля как раз физика. Электротехника какого плана? Энергетика?
Аноним 27/10/20 Втр 21:55:55 437395 777
555555555.JPG 9Кб, 256x332
256x332
>>319782
Лучше использовать катушку Мишина.
Она и функциональнее и гостами прописана на схемах. Роговский - прошлый век.
Аноним 27/10/20 Втр 23:52:11 437407 778
>>437395
Эта которая "Славянкой" мотается?
Аноним 28/10/20 Срд 00:06:57 437409 779
>>437407
>"Славянкой"
Не. Которые генерируют 400 килогерц.
Аноним 30/10/20 Птн 15:32:01 437692 780
>>437395
Это которая просила ей не кончать на волосы?
Аноним 31/10/20 Суб 18:16:12 437763 781
>>180271 (OP)
Сенсей-сама,
Помогите решить прикладную задачу. Есть двухпозиционный нефиксируемый переключатель, которыйзамыкает на массу. Требуется создать простейшую схему, которая при переключении замыкает прибор на массу, при повторном переключении размыкает массу.

Аноним 04/11/20 Срд 06:33:28 438076 782
Аноним 04/11/20 Срд 19:59:07 438196 783
>>438076
либо я что-то не то нагуглил, либо это не подходит. Пускатель это ведь почти то же самое, что реле?
Аноним 13/11/20 Птн 13:45:53 439384 784
2020-11-13123943.png 9Кб, 533x362
533x362
Сап почаны. Подскажите ебнет при подключении как на схеме если оба выключателя будут включены?
Аноним 13/11/20 Птн 21:02:20 439440 785
>>439384
>ебнет
А что должно ёбнуть? Потребитель взрывоопасный дохуя?
Аноним 17/11/20 Втр 19:19:25 440052 786
Антохи, подскажите софт для рисования электросхем, желательно чтобы было побольше этих самых шаболонов с условкой или может где-то есть подборка таких шаблонов?
Аноним 18/11/20 Срд 21:36:08 440145 787
Аноним 04/12/20 Птн 13:38:32 441896 788
123
Аноним 09/12/20 Срд 14:50:33 442492 789
Дайте, пожалуйста хорошие книги по аналоговой и цифровой схемотехнике для начинающих.
Аноним 24/01/21 Вск 18:24:46 448155 790
image.png 352Кб, 512x384
512x384
Можно ли собрать последовательную цепь обычных 5мм светодиодов без единого резистора, которая будет нормально работать от сети 220 (или сколько там сейчас)? Если можно, то как расчитать количество?
Аноним 25/01/21 Пнд 15:18:05 448247 791
Аноним 26/01/21 Втр 12:16:46 448368 792
image.png 222Кб, 814x938
814x938
Аноним 07/02/21 Вск 19:31:57 449922 793
Блять мне по тоэ закрывать сессию и еще курсач наверное писать, а я полный хлеб в этом. Умные люди гайд распишите как разобраться в этом... предмете?
07/02/21 Вск 21:50:06 449941 794
Аноним 23/02/21 Втр 13:28:53 452177 795
Аноним 29/03/21 Пнд 11:04:53 457965 796
поясните пожалуйста такой вопрос как векторные диаграммы трехфазных сетей с несимметричной нагрузкой приемника
Аноним 02/04/21 Птн 10:34:41 458356 797
Безымянный.png 18Кб, 1147x398
1147x398
Безымянный1.png 27Кб, 1860x780
1860x780
>>180271 (OP)
Имеется вот такая схема предусилителя звуковой частоты. Подаю на вход синусоиду амплитудой 60м В.
Если собирать схему на ОУ с входами на полевых тр-рах, например, на LF353, где Input Bias Current (ток смещения) равен 50p, то на входе операционника нет постоянной составляющей, а если поставить ОУ NE5532, у которого на входе биполярные тр-ры и ток смещения 200n, то появляется постоянка (скрин 2), которая сохраняется и на выходе. Да, она обрубается конденсатором C4, но я бы хотел знать, насколько критична для выходного сигнала эта постоянная составляющая, ведь это усилитель звуковой частоты и нужна точность? А если критична, то как её убрать? Я слышал, что её убирают правильными номиналами резисторов R2, R3, R4, подводя их по формуле R2 = R3//R4 (R3 //R4 - это эквивалентное сопротивление параллельно соединённых резисторов), но как бы ни менял эти номиналы, постоянка не уходит. Если убрать конденсатор C1, то постоянка исчезает. Если сменить номинал R1 на 820 Ом, то так же исчезает.>>180271 (OP)
Аноним 02/04/21 Птн 13:04:37 458364 798
image.png 27Кб, 1134x398
1134x398
>>458356
fix
Вот схема без потенциалов в узлах.
Аноним 05/04/21 Пнд 09:20:18 458519 799
>>180271 (OP)
Сенсей-сама, помоги. Как вычислить время за которое двигатель остановится без нагрузки, при торможении включением его обмоток противовключением (хех). То есть без всяких дополнительных резисторов и прочего, только за счет переключения контактора. Не пойму какую задержку на реле времени выбрать...

асинхронный двигатель короткозамкнутый ротор
Аноним 05/04/21 Пнд 09:33:06 458520 800
>>458519
ах да двигатель переменного тока трехфазный
Аноним 07/04/21 Срд 03:30:19 458677 801
объясните дауну что такое транзистор и для чего он нужен? на примере
я правильно понял что он нужен например в если в клаве идет ток от нажатия клавиши до процессора то на пути в процессор мощность тока надо уменьшить поэтому там "на пути" транзистор?
Аноним 07/04/21 Срд 13:27:31 458703 802
>>458677
В общем случае можно применить аналогию крана, он как кран то позволяет электричеству течь то не позволяет.
Также может усиливать ток. В общем все зависит от схемы включения. (не сенсей сама, юный падаван)
Аноним 07/04/21 Срд 13:29:01 458704 803
>>373271
А разве тут не будет слабого тока утечки? и поэтому эта схема заработает или я что-то путаю
Аноним 07/04/21 Срд 14:57:05 458706 804
иии
Аноним 08/04/21 Чтв 00:32:50 458748 805
>>458703
кто управляет краном?

Там что 3 контакта в полупроводнике кремние и один управляет тем, куда потечет ток, а куда нет?
Аноним 08/04/21 Чтв 03:47:06 458760 806
>>458748
>кто управляет краном?
В средней школе проходят устройство транзистора. Ты ещё не дорос или учишься в школе для даунов?
Аноним 09/04/21 Птн 09:42:09 458878 807
>>458748
Управляет разработчик, смотря какие нужны функции, если как ключ то через базу просто открывает и закрывает. Насколько я помню напряжение на базе задает рабочую точку транзистора.
Если он служит для усиления сигнала то там тоже есть рабочую точка от которой уже напряжение колеблется (постоянная составляющая и переменная).
Ну в первом случае когда как ключ работает какое то другое устройство может н7апример управлять напряжением на базе. Ну скажем выводе микросхемы появляется сигнал открыть что-то (напряжение) которое приходит на базу транзистора и открывает его и таким образом например открывается шинный формирователь (если не путаю). Буфер трех состояний так работает... Тут я описал по нубски грубо, потому что сам еще падаван
Аноним 09/04/21 Птн 09:49:40 458880 808
>>458519
Спасибо сенсею, но юный падаван (который в итоге станет мастером) уже сам все нашел. В книге Алиева дана формула которая выведена из уравнения движения электродвигателя
Аноним 09/04/21 Птн 12:37:23 458895 809
Аноним 12/04/21 Пнд 10:52:59 459180 810
>>459088
Я думаю все тоже самое будет так как похоже отношение L задано сверху (один к одному). А идеальный трансформатор это такой который напряжение на выходе дает в К раз больше чем входное (где К это отношение витков катушек).
Аноним 12/04/21 Пнд 10:53:41 459181 811
>>459088
И не щелчек а ступенька. Щелчек это функция Дирака
Аноним 13/04/21 Втр 07:07:30 459251 812
>>391455
Если сопротивление бесконечно то это же значит что ток там не течет? равно сильно обрыву
Аноним 13/04/21 Втр 07:09:57 459252 813
>>459186
Тут речь идет о переходно процессе, а там вона чо:
В-третьих, напряжение на вторичной обмотке все-таки может появиться. Но произойдет это только при включении или отключении источника постоянного тока.
Аноним 13/04/21 Втр 23:01:48 459323 814
16179743576120.jpg 96Кб, 610x829
610x829
>>180271 (OP)
Ребятки, начал читать Хорвица, понял что очень не хватает математической базы для понимания того, что там написано. Посему вопрошаю хороший задачник с понятными примерами решений ентих самых задач на базовые темы.
Аноним 14/04/21 Срд 04:45:36 459340 815
>>459323
Каких этих задач? Речь про ТОЭ, матан-тфкп, или что-то ещё?
Аноним 14/04/21 Срд 07:35:13 459346 816
>>459340
>тфкп
Вычеты? Оно то тут каким боком?
Аноним 14/04/21 Срд 09:16:06 459353 817
>>459340
Задач на преобразование и расчёт электронных схем. Очевидно ТОЭ.
Аноним 14/04/21 Срд 11:32:33 459359 818
>>459323
учебник Смирнова и любой задачник, а лучше возьми то, что студентам задают в виде РГР по курсу высшей математики
Аноним 14/04/21 Срд 12:39:21 459369 819
>>459346
>Вычеты? Оно то тут каким боком?
комплекснозначные функции, преобразование лапласа и прочее.
Аноним 14/04/21 Срд 12:42:47 459371 820
16153835831551.jpg 132Кб, 640x800
640x800
>>425151
>Поэтому каскад таких элементов растеряет всю энергию. Хотя бы периодически нужно сигнал усиливать, то есть тебе нужен вход, выход и питание.
Есть параметрические усилители на варикапах, например. Два терминала, но с помощью ВЧ накачи можно усиливать сигнал.
Ещё есть туннельные диоды, у которых есть зона с отрицательным диф. сопротивлением - они, например, могут генерировать сигнал.
Аноним 14/04/21 Срд 12:44:01 459372 821
>>425164
>Есть же различные эквивалентные схемы транзисторов, где присутствуют элементы только с двумя выводами.
Там есть зависимые источники тока, которые и делают всю магию.
Аноним 14/04/21 Срд 16:23:36 459388 822
2654499detail.jpg 150Кб, 433x673
433x673
Аноним 14/04/21 Срд 16:26:15 459389 823
изображение.png 212Кб, 297x342
297x342
>>459388
Вот об этом. Сам по нему повторяю некоторые моменты, мне нравится все четко расписано и с примерами
Аноним 14/04/21 Срд 16:26:49 459390 824
>>459389
Ну том там сам подбери какой нужен, но если не знаешь лучше прям с самого начала начинай с пределов
Аноним 14/04/21 Срд 16:29:44 459391 825
>>459389
Говно, по две-три опечатки на странице находил, написано для инженеров.
Аноним 14/04/21 Срд 16:31:53 459392 826
>>459391
А что ж ты ничего не предложил?
Аноним 14/04/21 Срд 19:46:22 459400 827
>>459369
>комплекснозначные функции
С комплексными числами студенты обычно в первый раз сталкиваются на линейке, а не тфкп. Поскольку формула Эйлера это максимум из того что требуется в данном случае, то советовать тфкп как-то странно. Тем более что для доказательства формулы Эйлера нужно знать предыдущий курс, а из всего тфкп это ничтожная часть.
>преобразование лапласа и прочее.
Это тоже не тфкп, а второй семестр, там где диффуры решают, если я правильно помню.
Аноним 15/04/21 Чтв 04:25:53 459436 828
>>459400
>Это тоже не тфкп
https://www.hse.ru/ba/am/courses/339559796.html
>>459400
> там где диффуры решают, если я правильно помню.
Да, конечно, ТФКП это всё, кроме ТФКП, отличная у тебя память, что могу сказать.
Да и ТФКП не надо, и зачем его только включили в "электронные" специальности?
> Допущено Научно-методическим советом по математике Министерства образования и науки Российской Федерации в качестве учебного пособия для студентов вузов, обучающихся по специальностям «Электроника и микроэлектроника» (210100), «Физическая электроника» (210101), «Микроэлектроника и твердотельная электроника» (210104), «Электронные приборы и устройства» (210105), «Промышленная электроника»
Аноним 20/04/21 Втр 06:04:11 459947 829
image.png 92Кб, 718x467
718x467
>>180271 (OP)
Сенсей-сама, помоги разобраться в юсбишнике. На мой мёртвый, или в коме USB 3.0 поступает целых 3 сигнальные пары, причём RX без фильтров напрямую в чипсет. Как эти 3 пары соединяются в одну - я без понятия, на бордвью такого нет. Где можно почитать обо всём этом?
И мб по каждой этой паре где-то можно логи посмотреть, чтобы понять, в чём неисправность.
Аноним 20/04/21 Втр 06:13:24 459948 830
>>459947
>ТОЭ тред
>постит каку-то никак несвязанную хуету
Ты там совсем стекломоя обпился?
Аноним 30/05/21 Вск 11:58:18 464151 831

Аноним 02/06/21 Срд 15:01:19 464569 832
Сэнсэй-Сама! Хочу вкатиться в пайку. Давно уже музыкант, а паять так и не умею. Ни инструменты ни другую электронику.
Что почитать, чтобы в перспективе до ямайских саунд систем и аналоговых синтов дойти?
Аноним 22/06/21 Втр 22:40:06 466508 833
Я ни черта не пойму. У конденсатора есть номинальное напряжение, а есть эксплуатационное. Могу ли я использовать конденсатор на 100В на 4.7В? Будет ли одно и то же?
Аноним 24/06/21 Чтв 17:44:55 466653 834
Аноним 24/06/21 Чтв 19:08:34 466666 835
Аноним 24/06/21 Чтв 19:37:05 466668 836
>>466666
Дай Бог здоровья.
Аноним 08/07/21 Чтв 18:49:51 467996 837
>>180271 (OP)
Скоро нид будет работать электромехаником, навыков ноль, но грят готовы с нуля обучать. Пытаюсь как то, пока еще устраиваюсь, самостоятельно все изучать, но все идет с переменным успехом, начинаю я с основ самых, так скажем на уровне "что такое атом". Но мне кажется, что я приду, на работу, все так нихуя не понимающим. Как мне быть? Времени осталось до среды.
Аноним 08/07/21 Чтв 18:50:57 467998 838
>>467996
сори, не туда воюю
Аноним 09/08/21 Пнд 04:11:32 470729 839
>>180850
>>180846
Это уже даже не некро-, а археопостинг, но нужна помощь в поиске той версии клёна.
Только лучше в софтотреде >>470728 → ответьте, чтобы тут не оффтопить.
Аноним 09/09/21 Чтв 23:42:53 473537 840
Ok
Аноним 14/09/21 Втр 16:28:15 473859 841
image.png 91Кб, 509x345
509x345
>>180271 (OP)
Хлопцы, дайте раку норм объяснение, в каких случаях при решении задачи нам понадобится просто комплексное сопротивление цепи, а когда модуль?
Аноним 25/11/21 Чтв 16:48:22 481431 842
>>473859
Иногда нужно не только ток цепи определить, но и угол вектора, когда модуля недостаточно.
Аноним 12/12/21 Вск 14:58:13 483215 843
image.png 55Кб, 482x290
482x290
image.png 135Кб, 487x819
487x819
>>180271 (OP)
Сенсей-сама! Помоги, не понимаю что от меня требуют, вариант 19...
Аноним 12/12/21 Вск 16:28:20 483223 844
>>483215
Послать бы тебя в армию, так откосишь ведь. А потом получишь диплом и будешь рядом со мной работать...
Аноним 12/12/21 Вск 16:46:34 483224 845
>>483223
А ответа по существу не будет да?
Аноним 19/12/21 Вск 11:11:31 483781 846
>>483224
По существу - подставь параметры из таблицы в схему и реши задачу. Или ты закон Ома не знаешь? Ну тогда страдай
Аноним 12/04/22 Втр 21:35:00 492227 847
image.png 267Кб, 651x464
651x464
Анон, у меня голова кругом идет.
Физик заболел, материал для самостоятельного изучения.
Простейший, казалось бы, но я не хочу просто зазубрить, я хочу понять
Последовательное и параллельное соединение проводников.
Напряжение, сила тока, сопротивление, вот это вот все.
Все понятно, кроме того, почему при параллельном соединении на всех участках цепи напряжение одинаково?
Почему, например, на R1 и R2 напряжение будет одинаковым?
Ведь как мы знаем, напряжение - это работа по переносу электрического заряда. И если R1=100 Ом, а R2=1 Ом, то работы для переноса заряда через R2 понадобится больше. Дак почему напряжение в таком случае одинаково?
Пробовал гуглить, ответа на свой вопрос не нашел, голова кипит, молю, спаси, анон
Аноним 12/04/22 Втр 21:41:01 492231 848
Аноним 12/04/22 Втр 21:56:00 492236 849
>>492227
>Ведь как мы знаем, напряжение - это работа по переносу электрического заряда.
Это не работа сама по себе, а работа которую нужно совершить для перемещения единичного заряда. То есть наличие напряжения не означает того что работа совершается в данный момент. Ну там электростатику хотя бы вспомни.
Аноним 12/04/22 Втр 22:21:36 492241 850
>>492236
Нипонятна..
Если мы напряжение подадим и ток потечет - значит работа будет совершаться в данный момент? Если мы встанем вольтметром на R1 и R2 напряжение должно быть одинаковым, я не понимаю почему, если R1 больше R2 и работы для прохождения R1 потребуется больше.
С электростатикой беда, мы, так сказать, ее прошли. И все, накаких углублений, просто для галочки.
Из одного урока на ютубе я услышал, что электростатическое поле является потенциальным, то есть работа по перемещению заряда не зависит от траектории.
Но электростатическое поле - поле, созданное неподвижными в пространстве и неизменными во времени электрическими зарядами (при отсутствии электрических токов).
Но если мы подадим напряжение - электрические заряды начнут двигаться, пойдет электрический ток и поле перестанет быть электростатическим? То есть перестанет быть потенциальным.

Объясни пожалуйста, анончик. На тебя вся надежда, спросить не у кого.
Аноним 18/04/22 Пнд 12:46:15 492644 851
>>492227
>то работы для переноса заряда через R2 понадобится больше
А это точно так? Я не уверен.

Во-первых, да, электрическое поле является потенциальным.
Во-вторых, считаем (не уверен 100%, что это так, но интуитивно кажется, что так), что работа, затрачиваемая на перенос заряда, превращается в тепловую энергию. На R1 тепла будет выделяться ровно во столько же раз больше, во сколько R1 меньше R2. При этом сила тока через R1 тоже больше в аналогичное количество раз. То есть каждому перенесённому заряду соответствует одинаковое количество выделенного тепла.
Аноним 02/05/22 Пнд 11:57:38 493749 852
изображение2022[...].png 41Кб, 495x320
495x320
Подскажите для чего эта "корректирующая" цепь R18L2 модуля цветности МЦ-2 3УСЦТ (на самом деле, она просто задирает частоты в области 1,5 --- 10,5 МГц), когда желательно получить равномерную АЧХ в области 0 --- 7 МГц. И на что ее нужно рассчитывать?
Аноним 02/07/22 Суб 04:21:41 499306 853
16503697865270.jpg 48Кб, 650x506
650x506
>>180271 (OP)
Сенсей-сама!
Есть один вопросик по трансам.
Если в первичке транса у меня скажем тиристор с ИФУ (рванина) а во вторичке активная нагрузка.
Как точно измерить действующие значения тока и напряжения во вторичке?
Аноним 12/07/22 Втр 14:06:07 500356 854
Аноним 10/08/22 Срд 22:31:53 502447 855
>>500356
крутой и невъебенно дорогущий динамометрический ключ с электронной и светозвуковой индикацией
Аноним 27/10/22 Чтв 21:22:02 507276 856
Можно ли вместо одного конденсатора параллельно воткнуть два дающих в сумме ту же ёмкость? Эмуляторы отказываются такое эмулировать, пока между ними резистор не воткнёшь почему, кстати?
Аноним 29/10/22 Суб 19:46:40 507432 857
>>507276
А кто запрещает? Можно еще и последовательно, и не только конденсаторы
Аноним 20/02/23 Пнд 21:23:31 519108 858
>>180271 (OP)
Далай Лама, как с помощью кетайского мультиметра, говна и палок, измерить реактивное и полное сопротивление обмотки электродвигателя на частотах от 30 дл 100Гц?
Аноним 28/03/23 Втр 16:03:29 522752 859
wheatstone-most.png 5Кб, 501x204
501x204
H129c0da3ccc443[...].jpg 105Кб, 752x752
752x752
>>180271 (OP)
Сенсей-сама и все кто занимается/занимался тензометрией нужны ваши советы.
Есть упругий элемент и на него приклеены 4 тензорезистора (пикрил 1). Тензорезисторы используются диагональные (45 градусов каждый, пикрил 2). По поводу правильности применения типа тензорезисторов есть сомнения, но об этом позже. Схема оцифровки представляет собой каскад на прецезионном ОУ и АЦП. На мост подается низкочастотный меандр, цель которого снятие значения нагрузки при Uпитания и нуле. Результат измерения определяется как Uизм1(при UIп) - Uизм2 (при нуле). Сделано это для того чтобы термокомпенсировать электронную часть схемы.
При работе при нормальной температуре (25 градусов) все работает отлично. Но существует проблема при нагревании и охлаждении системы, а конкретно упругого элемента. Проблема заключается в том что сам по себе упругий элемент был рассчитан очень близко к границе предела текучести, что привело к тому что металл имеет гистерезис. Таким образом приведу пример как это проявлется: нормальные условия, мы нагружаем датчик на 10 тонн, сразу разгружаем, на табло мы видим не ноль, а некоторое небольшое значение (дельта1) смещенное, которое со временем возвращается к нулю. Далее мы нагреваем датчик до 80 градусов и делаем все то же самое, и получаем дельту2, которая в несколько раз больше дельты1 и эта дельта уже вылетает за границы допустимой погрешности.
Исправить конструкцию упругого элемента или используемый для него металл невозможно.
Вопрос следующий: существуют ли какие-то алгоритмические или иные способы учета данного гистерезиса, его предсказания или тарировки датчика в процессе работы под нагрузкой.
Важное замечение: датчик тарируется один раз например в пол года и каждый раз перед измерением проводить тарировку невозможно.
Аноним 03/05/23 Срд 09:51:46 525905 860
>>180271 (OP)
Зарубежные учебники лучше отечественных?
Аноним 10/10/23 Втр 12:38:43 538000 861
IncEncoder[1].png 15Кб, 230x234
230x234
Всем сдрасьте, не уверен что сюда, но вот мне попалось в контекстной рекламе одно устройство и я вспомнил что оно мне может понадобиться для канального вентилятора. Речь идёт про некий "энкодер" и полупрозоачный диск с размеченными секторами как на скролл-колесе мышки и некоторых джойстиках.
https://aliexpress.ru/item/4000280404073.html
https://www.ozon.ru/product/fotoelektricheskiy-enkoder-koder-datchika-skorosti-freescale-smart-car-c-b-d-e-model-avtomobilya-1122162729/
Суть техзадания чтоб купить готовое рещение и как-то вкалхозить его в вентилятор на вытяжке, который меняет скорость вращения взависимости от случайных факторов - запустил ли сосед снизу/сверху свой вентилятор, увеличив общее давление (сопротивление) по стояку, или я открыл входную дверь в подъезд/лоджию или окно, снизив сопротивление. Эта штука как-то умеет регулировать обороты двигателя. У меня стоит 12вольтовый бесколлекторный вентилятор как от блока питания, тока помощнее, на 2-2.5 ампера, но он в принципе эластично регулируется напряжением, хотя там 4 провода (с ШИМ). Так вот, что надо докупить к этому энкодеру и как впаять его в схему, чтоб настроить оптимальные обороты крутилкой или кнопочками, а схема бы сама мониторила обороты, и если что снижала бы или наоборот добавляла напряжение, или частоту ШИМа если это возможно?
Аноним 10/10/23 Втр 13:50:20 538004 862
>>538000
Оптопара из светодиода и фотодиода между лопостями. Дальше сам
Аноним 26/12/23 Втр 01:57:46 545074 863
image.png 102Кб, 610x287
610x287
>>180271 (OP)
Сэнсей-сама, как эта поебень работает? Там же коротнуть все должно к хуям между 20к и 10к резисторами. Вроде. Но на видео сукк все работает. Почему?
Аноним 26/12/23 Втр 02:43:39 545075 864
>>545074
каво чево где должно коротнуть?
Аноним 26/12/23 Втр 19:56:59 545093 865
>>545074
> коротнуть все должно к хуям
Оно и КОРОТНЕТ и потечет ТОК 5в/30000Ом=0,00016(6)А. Что тебя удивляет?
Аноним 18/01/24 Чтв 12:29:06 546483 866
>>183983
Тащемта, разве не правила Кирхгофа? Закон Кирхгофа - это про излучение же.
Аноним 21/01/24 Вск 10:14:50 546671 867
>>546483
Нихуя ты вовремя.
Аноним 24/03/24 Вск 13:02:43 552167 868
>>390696
фазовые шумы только за учебник, там совсем банальную вещь объясни, как священники тайну пресвятой троицы: "нам, не прав?, но ладно. первые три паяльника без вариантов будет. может софт для канального
Аноним 26/03/24 Втр 16:50:49 552286 869
школьник научился спойлерами пользоваться нельзя, диодными мостами тоже. Я тебе ещё физические основы электроники.
Аноним 10/09/24 Втр 13:52:22 563271 870
>>180271 (OP)
>Сенсей-сама!
Какую литературу с гламурной модной обложкой можно почитать, чтобы вруьиться в абстрактные транзистры, диоды и силу тока так, чтобы можно было понимать схемы и паять с закрытыми глазами натюрморт из радиодеталей?
Аноним 07/12/24 Суб 14:05:54 568143 871
>>180422
Научите меня, сенсей, данному ремеслу, пожалуйста.
Аноним 07/12/24 Суб 15:55:21 568151 872
Объясните пожалуйста, как работает это устройство?

Понимаю как магнитный контактер работает, пунктир показывает что магнит(ная катушка) связана с переключателями. А тут что значит пунктирная линия?
Аноним 07/12/24 Суб 15:56:05 568152 873
Untitled.jpg 26Кб, 508x896
508x896
Объясните пожалуйста, как работает это устройство?

Понимаю как магнитный контактер работает, пунктир показывает что магнит(ная катушка) связана с переключателями. А тут что значит пунктирная линия?
Аноним 07/12/24 Суб 21:27:55 568175 874
>>568152
Пунктирная линия обозначает что копоненты как-то взаимосвязаны, не больше.
В данном случае если картинки недостаточно, можно вдумчиво прочитать часть названия компонента "1НО+1НЗ" и прикинув хуй к носу, догадаться, что одна пара нормально открытая а вторая нормально замкнутая, и при смене состояния обе пары синхронно меняют состояние на противоположное
Аноним 16/01/25 Чтв 21:06:49 570802 875
image.png 23Кб, 344x124
344x124
Провтыкал как ретард весь курс тоэ и сейчас рву задницу.

Аноны, как тут найти E2??
Аноним 16/01/25 Чтв 21:14:12 570803 876
>>570802
Помогать студентам это глупо. Вред будет всем, начиная с просирания бюджетных денег на этого бездаря.
Аноним 18/01/25 Суб 01:29:25 570888 877
image.png 58Кб, 1245x943
1245x943
Сенсей-сама!

В мультисиме задали схему собрать и в ней провод линейный оборвать. Тут либо я долбоеб, либо задание косое. Где этот ебучий линейный провод оборвать?
Видеоурок - конструкция советского резистора МЛТ-2 netza 01/02/25 Суб 17:29:55 572257 878
Аноним 01/02/25 Суб 17:59:14 572262 879
>>570802
Чел, лучше перечитай учебник по ТОЭ.
03/02/25 Пнд 09:00:13 572442 880
>>572257
>Видеоурок
Читал етот высер на Петухабре, знатно охуел от того насколько улучшился данный IT-ресурс за 25 лет правления Пукнума.
Аноним 24/02/25 Пнд 11:14:44 574047 881
Сап, снова.
Как правильно настраивать "телевизионный" диполь (с телескопическими штырями)?
Что конкретно зависит от длины, угла наклона штырей, ориентации антенны, и как рассчитать правильные положения?
Наконец, что такое КСВ, как его рассчитать для такой антенны и, соответственно, как снизить до <1,5:1?
На физике в последних классах была слабая 4, но связью увлекаюсь во всех её проявлениях.
Аноним 24/02/25 Пнд 11:53:42 574049 882
>>574047
Это диполь переменной длинны, угол если не 180, то начинает изменятся диаграмма направленности и КСВ. nanoVNA и MMANA тебе в помощь, да прибудет с тобой Ротхаммель в эти минуты.
Аноним 06/04/25 Вск 15:44:06 576147 883
>>180271 (OP)
Я понимаю что я ХУЙ который еще и тупой.

Есть задача
В p-n-p транзисторе, включённом в схему с общим коллектором, коэффициент передачи тока базы β =200. В активном режиме на эмиттере существует избыточная концентрация дырок толщина базы W, время жизни носителей в базе τ=5μs. Площадь эмиттера Эффективность эмиттера γ=1. Определить ток базы.


Зная что гамма равна 1 Следовательно Ток рекомбинации эмиттера равна нулю. А значит что ток на базе будет равен току рекомбинации всех дырок на базе.

Тогда у меня вопрос нахуя мне в задаче дают коэф бета = 200 если он нахуй не нужен.
Ведь ток рекомбинации будет равен число зарядов через объем базы относительно времени этих зарядов.

Короче хелп
Аноним 06/04/25 Вск 18:44:18 576151 884
>>180271 (OP)
Сенсей-сама! Ты и учитель игры на гитаре в mus - одно лицо?
Аноним 06/04/25 Вск 21:36:04 576160 885
>>576147
Ах да Сенсей сама помогите пожалуйста
Аноним 01/07/25 Втр 21:10:40 579449 886
тред сдох?
Аноним 01/07/25 Втр 21:12:30 579450 887
>>576147
при γ=1 ток рекомбинации в эмиттере нулевой. Но это не значит, что ток базы равен ВСЕМ рекомбинированным дыркам в базе.

То есть β тебе дают не просто так - он показывает, какая доля дырок вообще рекомбинирует в базе. Без него ты не сможешь найти ток базы, потому что не знаешь соотношение между рекомбинировавшими и прошедшими транзитом носителями.
Формула будет типа:
Ib = (заряд рекомбинировавших дырок в базе)/τ
Аноним 01/07/25 Втр 21:13:38 579451 888
>>579450
Ib это если что ток на базе
Настройки X
Ответить в тред X
15000
Добавить файл/ctrl-v
Стикеры X
Избранное / Топ тредов