Главная Юзердоски Каталог Трекер NSFW Настройки

Конец света

Ответить в тред Ответить в тред
Check this out!
<<
Назад | Вниз | Каталог | Обновить | Автообновление | 382 92 139
Пневмогидрическая электростанция. Аноним 01/02/16 Пнд 05:00:05 146947 1
52Кб, 659x319
659x319
Мое мнение что ни ДВС, ни стирлинг, ни паровой в пост БП не годятся.
ДВС(+генератор):
"+"
1) Большая мощность
2) Компактность
3) Более-менее автономная работа - залил бак и генератор работает пока ест топливо. Хоть сутки, хоть неделю.

"-"
1) Отсутствие топлива в постБП.
2) Отсутствие запчастей в постБП.
3) Требуются навыки для обслуживания.

Стирлинг(+генератор):
"+"
1) Доступное топливо
2) Излишки тепла можно использовать для отопления и горячей воды
-
1) Большие(даже огромные) размеры для приемлемых мощностей
2) Большой расход топлива для приемлемых мощностей. Компенсируется п.2(+)
3) Требуются навыки чтоб сделать и обслуживать его 24х7
4) Требуется постоянно подавать топливо "вручную".
"Вручную" условно, но подкидывать дрова в топку нужно по несколько раз в сутки
5) Требуются материалы с хорошими характеристиками по прочности, по коррозийной стойкости, по теплопроводности. То еще гимор.

Паровик(+генератор)
+
1) Доступное топливо
2) Излишки тепла моно использовать для обогрева и горячей воды
"-"
1) Опасен для жизни анона - запросто может взорваться
2) Большой расход топлива (п.2+)
3) Сложность в постройке и нужны навыки для этого и для обслуживания
4) Требуется постоянно подавать топливо "вручную"
5) Требования к материалам.
6) Требования к воде - чтоб котел не покрылся накипью.

Пик - паровоз после взрыва котла
Аноним 01/02/16 Пнд 05:08:13 146948 2
186Кб, 612x418
612x418
315Кб, 688x419
688x419
217Кб, 614x419
614x419
>>146947 (OP)
Продолжаю.

А есть еще пневматические двигатели. И их можно сделать хоть из фанеры, хоть из досок(этот вариант хуже, ибо будет коробить от влажности)
Пик - фанерный пневматческий двигатель - устройство как у парового.

И видео:
https://www.youtube.com/watch?v=ngb4SYR74m4

https://www.youtube.com/watch?v=rXqN2MrJ14Q

https://www.youtube.com/watch?v=A5LVhivWiVo


Устройство парового движка как бе не сложное - сложность в его постройке. Для того чтоб запилить тот же цилиндр нужно иметь станок для его вытачивания, например.

Из дерева же запилить двигатель можно в прямом смысле - главное размеры выдержать.
И давление для работы требуется небольшое - хватит и пол-атмосферы. Правда размеры этого двигателя (для мощности в 2кВт, например) будут немаленькими - объем цилиндра около 40л - при одном ходе в секунду, 20 л - при двух ходах в секунду и так далее 4л - при 10 ходах в секунду.
Аноним 01/02/16 Пнд 05:20:42 146949 3
390Кб, 1000x815
1000x815
>>146948
Продолжаю.
С двигателем все просто - анон, умеющий держать ножовку и стамеску в руках сможет совладать с этой задачей.
Вопрос с "топливом" - где взять столько сжатого воздуха, чтоб получить хотя бы 2кВт мощности(тут я про мощность самого двигателя - с генератора будет сниматься меньшая мощность - кпд жи есть)

Карочи , давно наткнулся на такую штуку -пикрелейтед.
Это система была построена в Канаде в 1910 году и обеспечивала сжатым воздухом(для вентиляции) окрестные шахты.
И эта система до сих пор работает без всякого обслуживания - выдавая 10 атм давления.

Вот ссылки для интересующихся:
http://cobalt.ca/ragged-chutes/
http://www.coppercountryexplorer.com/2011/07/the-taylor-compressor/

Чем эта система хороша?
Тем что для ее работы не требуется большой перепад высот в реке - она будет работать и а равнинной и на горной реке.
А давление в системе обеспечивается столбом воды, т.е. глубиной входящего и выходящего колодцев
Для 10атм она составляет ок.100 метров(342 фт =102м).
Но пневматический движок не обязательно питать 10 атм - достаточно и половины и даже может 1/10(хотя маловато, думаю)
А половину атмосферы обеспечит столб воды высотой 5 метров.

Конечно отрыть два колодца глубиной 5 метров и соединить их подземной галерей длиной 3-4 метра непросто. Кроме того требуется укрепить стены колодцев и галереи и потолок галереи.
Но при годном строительстве эта система будет служить десятилетиями без обслуживания.

Пока все.
Аноним 01/02/16 Пнд 05:59:27 146950 4
11Кб, 640x400
640x400
>>146948
> (для мощности в 2кВт, например) будут немаленькими - объем цилиндра около 40л

Как считал?
Все по школьному курсу физики.

Мощность = Работа/Время
Работа = изменение Энергии
Энергия сжатого газа = Объем х Давление (на самом деле формула грубая, более точная через логарифм прочее, но мне лень)
Объем = Площадь х Высота(длина)

Вот и все.

2кВт(условные) = 2000 Джоулей в секунду.

Принимаю(для простоты) 1 цикл двигателя в секунду.
Значит для выдачи мощности 2кВт двигатель должен совершать работу в 2000Дж в секунду.
Или иначе - газ(рабочее тело) должен изменять свою энергию на 2000Дж в секунду.

Отсюда к энергии:
Имеем 2000Дж, имеем давление 0,5 атм или 50 тыс. Паскалей.

Выясняем объем:
Об = Эн./Дав. = 2000Дж/50000Па = 0,04 куб. м или 40 литров. Таков объем цилиндра(или полого куба) этого пневматического двигателя, если он будет совершать одно движение в секунду.

То есть приняв сечение 40 на 40 см получаем ход поршня 25 см, вернее 12,5 туда и 12,5 обратно - Пикрил

Если же поршень будет совершать 10 движений в секунду(то есть 20 - 10 туда и 10 обратно), то объем можно уменьшить в 10 раз и сечение его будет не 40 на 40, а 12,7 на 12,7 см

Но есть один нюанс - пока что понятия не имею какова производительность воздуходуйки.
Каковы должны быть размеры колодцев, каков должен быть расход воды в секунду чтоб обеспечить 40 литров сжатого воздуха в секунду.

Дальше продолжу.
Аноним 01/02/16 Пнд 06:25:19 146951 5
21Кб, 640x640
640x640
Аноним 01/02/16 Пнд 07:07:40 146953 6
238Кб, 627x431
627x431
Аноним 01/02/16 Пнд 07:22:27 146954 7
>>146953
А тут даны кое-какие размеры
https://www.youtube.com/watch?v=st-UAq1pCbc
This engine has a 6" stroke with a 3" bore,

Stroke это ход поршня, bore - "диаметр"(судя по всему не диаметр, а длина-ширина -он жи квадратный в сечении)
То есть ход = 15,25 см, "диам." = 7,62 см

Значит объем 7,62х7,62х15,25 = 885 куб.см. или 0,89 л или 0,0009 куб. м.
Давление >>146953 >27579 Па
И работа за один цикл примерно 0,0009х27576 = 24 Дж.
Что-то я прогнался где-то
236 об/м = 3,9 об/сек и мощность будет 24х3,9=94 Вт, а у него 18,64.


Все-таки нужно учитывать эти ваши логарифмы и прочие молярные массы воздуха - -- >>146950
> (на самом деле формула грубая, более точная через логарифм прочее, но мне лень)


Аноним 01/02/16 Пнд 07:42:25 146955 8
>>146950
>пик
Тут тоже затупил чот. 125 мм слева - неверно -их приплюсовать к тем что справа.
Аноним 01/02/16 Пнд 08:45:45 146956 9
40Кб, 640x1000
640x1000
13Кб, 640x700
640x700
Не могу разобраться с этими поршнями - цилиндерами.
Аноним 01/02/16 Пнд 08:58:10 146958 10
12Кб, 400x224
400x224
Аноним 01/02/16 Пнд 09:01:52 146959 11
15Кб, 400x325
400x325
>>146958
А тут другой двигатель от того же мастера. И он показывает разные хитрые фишки для облегчения строительства. Например как запилить годный коленвал.
http://woodgears.ca/air_engine/index.html
Аноним 01/02/16 Пнд 12:07:49 146968 12
А теперь объясни, нахуя городить этот огород, если можно ёбнуть запруду, а потом водой вращать колесо?

Нет, мы будем сначала искать воду, потом строить/копать насос, потом качать им воздух, потом гнать воздух , потом воздухом пинать поршень для возвратно-поступательного движения, потом превращать его во вращательное. Мельница блядь проще в 100 раз.

Была такая карикатура под названием "изобретатель-рационализатор", где кипятильник крутил турбину чтобы лампочку от батарейки заставить работать.
Аноним 01/02/16 Пнд 12:34:50 146970 13
>>146968
Туда ли ты зашел, мерзкий адекват? Пшол нах в /dom, это выживач, тут правят слабоумие и школофантазии, таким как ты тут не рады!
Аноним 01/02/16 Пнд 20:07:17 146982 14
>>146970
Двочую этого. Только фанерные вечные двигатели, только хардкор!!!11
Аноним 02/02/16 Втр 01:48:38 146988 15
86Кб, 691x653
691x653
>>146968
> если можно ёбнуть запруду,
Какого размера запруда? Объем работ сильно меньше чем при откапывании колодца 1,5 на 1,5 и глубиной 3-5-7 метров (макс. 17 кубов грунта)?

> потом водой вращать колесо?
Как быть с пик? Минимальный напор - 2 метра, то есть нужна плотина не меньше 2,5 метров высотой.

>Мельница блядь проще в 100 раз
Неси расчеты.
Аноним 02/02/16 Втр 03:31:34 146999 16
Мде, копать пятиметровый колодец и кузьмичить двигатель из палок ради 10Вт, которые еще надо в электричество конвертнуть.
Аноним 02/02/16 Втр 05:58:28 147007 17
>>146999
> ради 10Вт
Зачем тебе 10Вт? Делай движок на 2000Вт - вся разница в размерах.

Можно вообще без движка и электричества - все это было изобретено только в 19 веке и человечество обходилось без этого тысячелетия.
Аноним 02/02/16 Втр 05:58:51 147008 18
>>146956
Разобрался. кпд не учел.
Аноним 02/02/16 Втр 11:04:53 147025 19
>>147007
Можно еще в ямку срать. Какие там размеры на 2кВт будут? Это можно использовать в качестве привода и заставить работать какой-нибудь токарный станок, водяной насос или пилу?
Аноним 02/02/16 Втр 17:51:03 147044 20
>>146947 (OP)
Чем это лучше гидроэлектростанции? Реки и прочие водоемы есть не везде. Двигатель внутреннего сгорания с газогенератором или паровик хоть можно в любом месте использовать. Современные парогенераторы сделаны по прямоточной схеме, по сути змеевик, там произведение давления на объем гораздо меньше, они практически взрывобезопасны, в отличие от водотрубных и жаротрубных котлов 19 века. Сколько тебе лет, ОП? Ты школу закончил? Добрый тебе совет, почитай книжки по термодинамике, про физику газов и устройство разных двигателей, от паровых до дизелей, как их рассчитывают.
Аноним 03/02/16 Срд 01:00:07 147056 21
>>147044
Прелесть этого двигателя в том что он жрёт воздух от водоструйного компрессора. Для работы последнего хватит перепада в метр на местной речке-говнотечке. Сложности связанные в первую очередь с колодцем и подземной часть сооружения. Но это не требует ничего кроме лопаты, времени и материала на сруб. Если есть бетон то все вообще просто. Ну и ещё там хитровыебная форсунка но её можно вытачить из чего угодно а потом отлить из бетона.
Количество движков которые можно навестить на один колодец зависит только от обеда воды которые вытекает в колодец. И если откопал колодец шириной в 5 метров то можно получить сотни литров воздуха под небольшим давлением.

Аноним 03/02/16 Срд 05:01:54 147057 22
>>147044
>Двигатель внутреннего сгорания с газогенератором
Ты хорошо разбираешься в двс? Сможешь отрегулировать фазы газораспределения? Сможешь заменить ремень газораспределения, который износится за 5-10 лет? Чем его заменишь?

> или паровик
Сумеешь собрать котел? Такой чтоб выдавал нужное количество пара и при этом не взрывался?
Манометр сможешь сделать? Из чего?
Питательный(водоподающий) насос сможешь сделать?

>Современные парогенераторы
Где ты его возьмешь, фантазер?

> по сути змеевик,
Ты его паять из консервных банок будешь?

>Сколько тебе лет, ОП?
Больше чем тебе .

>и устройство разных двигателей, от паровых до дизелей,
Лол. Я смотрю ты это все прочитал - хоть сейчас с завязанными глазами спаяешь паровой котел и настроишь фазы на двс. Или ты только мечтаешь? Ну типа случится БП и тут вся твоя теоретическая информация сделает тебя мастером на все руки.

Аноним 03/02/16 Срд 05:12:02 147058 23
>>147056
> Сложности
Там не сложности, а обычные трудозатраты - выкопать колодец глубиной даже в пару метров и сечением 1,5 на 1,5 это довольно утомительно. ну еще укрепить деревянным срубом.

> Но это не требует ничего кроме лопаты
Антошка, ты прям мои мысли почитал. Именно от этого я и плясал - работа нудная, тяжелая, но не требует микронной точности.


> Ну и ещё там хитровыебная форсунка
Да ничего в ней хитрого нет - обычный набор трубок - их можно сделать из чего угодно - хоть из дерева.

>её можно вытачить из чего угодно а потом отлить из бетон
На той воздушной станции в Раджет-Чут использованы керамические трубки.
Аноним 03/02/16 Срд 05:19:59 147059 24
139Кб, 1200x817
1200x817
91Кб, 817x1200
817x1200
151Кб, 817x1200
817x1200
70Кб, 817x1200
817x1200
Нашел патент Ч. Х. Тэйлор на его компрессор
http://www.google.com/patents/US892772

Немного уменьшил картинки
Пик1 - общий вид в разрезе
Пик2 - не знаю
Пик3 - через эту штуку сосется воздух
Пик4 - не знаю
Аноним 03/02/16 Срд 05:39:44 147060 25
16Кб, 270x600
270x600
Аноним 03/02/16 Срд 06:26:09 147061 26
87Кб, 398x423
398x423
9Кб, 398x423
398x423
>>147060
Более лучше подробности
Аноним 03/02/16 Срд 09:05:38 147065 27
>>147056
А если речки нет?
Аноним 03/02/16 Срд 09:34:53 147070 28
>>147057
>Ты хорошо разбираешься в двс?
Скорее всего, лучше тебя. По крайней мере я хоть реально ремонтировал двигатели восходов, ижаков и москвичей.
>Больше чем тебе
Я примерно ровесник твоей мамки, ты не ответил на вопрос, ты школу закончил?
>Сумеешь собрать котел?
Не поверишь, котлов я повидал больше чем ты, работал в организации которая устанавливает котельные.
>Где ты его возьмешь, фантазер?
Сделаю из железной трубки. Хотя да, о чем это я, ведь когда наступит БП все железное магическим образом исчезнет или превратится в говно, останется одна фанера, древесина и бетон.
>Лол. Я смотрю ты это все прочитал
Все прочитать не возможно, жизни не хватит. Но кое-что таки читал, имею понятие о политропном процессе, адиабату от изохоры отличу. Извини за страшные слова. С завязанными глазами котел не спаяю, да и вообще их не паяют. Фазы газораспределения ДВС настраивать не нужно, если это не самодельный двигатель. Фазы зависят от расположения кулачков на распредвале. Там главное правильно одеть цепь или зубчатый ремень и совместить риски на шестернях. Фазы парораспределения парового двигателя я прекрасно себе представляю. В отличие от тебя, я не столько теоретик, сколько практик, так что если сучится БП у меня больше шансов реализовать рабочее устройство, чем у тебя.
Ах да, еще вопросик. А когда колодец переполнится, ты ведрами его вычерпывать будешь? А если речка-говнотечка зимой перемерзнет до дна?
Аноним 03/02/16 Срд 10:16:53 147072 29
>>147065
Тогда надо строить ГЭС, то есть плотину, генератор, вот это все. Очевидно же.
Аноним 03/02/16 Срд 10:19:58 147073 30

>>147070
>Извини за страшные слова
Мм, студент-второкурсник решил покрасоваться своей эрудицией. Сходи лучше в /соц/.


>. А когда колодец переполнится,
Понятно.
Аноним 03/02/16 Срд 10:52:54 147077 31
>>147072
Без речки, строить плотину и ГЭС. Понятно все
Аноним 03/02/16 Срд 10:55:06 147078 32
>>147073
Значит, ты все-таки школьник. Я учился примерно в одно время с твоей мамкой, ведь мы с ней ровесники, и мои студенческие годы, к сожалению, в далеком прошлом.
Аноним 03/02/16 Срд 10:57:28 147079 33
>>147073
>решил покрасоваться своей эрудицией
Вообще-то, если ты хочешь в энергетику, то должен в этом всем разбираться
03/02/16 Срд 11:33:11 147081 34
>>146947 (OP)
Школооп бредит. Если он в 5-6 классе, то это еще простительно. Если анон живет возле проточного водоема, то ему проще сделать простейшую гэс, если в лесном районе, то только газген или паровик, на крайняк стилинг. Если в степях поволжья, то ветряк. Но предложенная опом прихомудия это уже за гранью здравого смысла
>Опасен для жизни анона - запросто может взорваться
А предохранительный клапан для кого придумали?
>Требуется постоянно подавать топливо "вручную"
В деревнях так 1000 лет жили и живут, всю зиму подкладывают в печку дрова. А отопительный сезон, особенно в северных регионах, большую часть года.
>Требуются навыки для обслуживания
Навыки требуются для всего. Без навыков пользоваться столовыми приборами, ты даже ложкой мимо рта промахнешься
03/02/16 Срд 13:09:19 147083 35
03/02/16 Срд 16:00:18 147089 36
13Кб, 480x360
480x360
39Кб, 320x240
320x240
Аноним 03/02/16 Срд 16:41:09 147091 37
25Кб, 604x240
604x240
>>146988
>минимальная высота 2 метра.

А теперь смотри пик. Ещё на Руси и в средневековой Европе были плавучие мельницы, которые просто выплывали на середину реки, заякоривались и мололи муку. Смотри на буковку а). Да, для этого нужна быстрая река, но оно работает и без плотины. На крайний случай пункт б.

А использовали эту хуйню на шахте по одной причине: пневматические двигатели не взрываются в заполненной метаном шахте, в отличие от электрических.
Аноним 03/02/16 Срд 17:58:58 147093 38
>>146947 (OP)
Отличный движок. Малогабаритный, мощный, простой в обслуживании. А главное, работает на бесплатном воздухе, а не на бензине. А как его присобачить на мусоровоз?
Аноним 03/02/16 Срд 18:12:26 147094 39
>>147093
Спасибо, хоть ты со мной согласен, а то я хотел уже заплакать и идти к мамке жаловаться что меня обоссали. Ты еще забыл упомянуть о том, что мой двигатель можно сделать из деревяшек одной стамеской. На мусоровоз поставить можно, если не забывать возить с собой колодец.
Аноним 03/02/16 Срд 19:05:06 147096 40
>>147094
Можно же сжатый воздух по шлангу подавать.
Аноним 03/02/16 Срд 19:19:16 147097 41
>>147096
Слишком длинные шланги придется от колодца тащить, если надо ехать за 10 км, то и шланг надо такой же длинны. Так что лучше колодец возить с собой
Аноним 03/02/16 Срд 19:56:26 147098 42
>>147097
tl;dr можно? ОП строит вечный двигатель?
Аноним 03/02/16 Срд 19:56:46 147099 43
>>147098
>147097
Прикоеилось.
Аноним 03/02/16 Срд 20:02:00 147100 44
>>147098
Ничто не вечно. Мой двигатель все равно когда-нибудь развалится, фанерка там сгниет или в деревянном подшипнике деревянные шарики сотрутся. Но рассчитываю примерно лет на 10 непрерывной работы. А потом опять можно набрать деревяшек и стамеской запилить новый двигатель.
Аноним 03/02/16 Срд 20:12:12 147101 45
>>147100
Запили рабочий двиг с генератором, чтоб хотя бы 200Вт выдавал.
Аноним 03/02/16 Срд 20:16:29 147102 46
>>147101
Я пока ищу подходящее место возле речки, надо колодец вырыть поглубже рядом. Сейчас экономлю на школьных завтраках, к весне хочу начать. Вот думаю, что дешевле - нанять экскаватор или бригаду таджиков. А пока строгаю стамеской деревянный цилиндр на 40 литров и деревянный поршень к нему. Времени не хватает, задают много домашних заданий.
Аноним 03/02/16 Срд 20:21:33 147103 47
>>147102
Колодец не рой - лучше собери из палок.
Аноним 03/02/16 Срд 20:23:13 147104 48
>>147103
Тоже хороший вариант, такой колодец получится легче и его будет проще переносить с места на место
Аноним 03/02/16 Срд 20:26:41 147105 49
>>147104
Не, если переносить, то развалиться может. Я имею ввиду просто макет, чтоб проверить будет ли рассчитанное давление на выходе или нет. А то реально еще выроешь колодец, а потом дядьки придут и пиздюлей выпишут, либо из колодца вылезти не сможешь.
Аноним 03/02/16 Срд 20:32:57 147106 50
>>147105
Я еще деревянный поршень не доделал. По моим расчетам, при давлении в половину атмосферы мой двигатель будет выдавать 2 киловатта. Как доделаю, проверю компрессором от аквариума или если мамка не разрешит брать компрессор, то велосипедным качком
Аноним 03/02/16 Срд 20:35:08 147107 51
Зачем издеваетесь над аутистом?
Аноним 03/02/16 Срд 20:37:00 147108 52
44Кб, 600x400
600x400
Что за хуйню я только что прочитал?
Аноним 03/02/16 Срд 20:41:11 147109 53
>>147106
>мой двигатель будет выдавать 2 киловатта
>проверю компрессором от аквариума
У тебя компрессор на 2КВт?
Аноним 03/02/16 Срд 20:44:18 147110 54
>>147109
Там получается усиление мощности за счет обратной связи, если запустить двигатель от малого давления он дальше разовьет большое и будет работать сам по себе
Аноним 03/02/16 Срд 20:47:23 147112 55
>>147110
Вечный двигатель короче.
Аноним 03/02/16 Срд 20:50:52 147113 56
>>147112
Я же говорю что не вечный, дерево все равно сгниет или сотрется со временем. Зато мой двигатель не взрывается как паровой и не требует топлива как бензиновый. Не надо дров и бензина, запустил его и он работает годами. Можно заранее выпилить стамеской и лобзиком много запчастей к нему и заменять изредка по мере износа. А всякие дебилы пусть делают паровые котлы из трубок и самоваров
Аноним 03/02/16 Срд 21:15:33 147114 57
Я настоящий ОП, а сверху писал самозванец. Наплел что-то про переносной колодец и прочую херню. Мой двигатель работает за счет разности давления на поверхности земли и в колодце. На дне колодца давление понижено, за счет этого туда устремляется вода из речки, вода засасывает воздух, который давит на деревянный поршень. Ни от какого компрессора от аквариума он работать не будет, нужен колодец. Двигатель заведомо стационарный, на мусоровоз его поставить нельзя! Принцип двигателя - это создание движущей силуы за счет энергии вакуума. В вакууме таится бездна энергии, которую люди не умеют использовать, а мой двигатель позволяет эту энергию извлекать и использовать ее. Двигатель конечно не вечный, в вакууме энергия тоже кончается, но ее очень много и хватит надолго. Главное, чтобы рядом был источник воды и источник пониженного давления (вакуума) - колодец.
Аноним 03/02/16 Срд 21:28:05 147116 58
>>147114
Подожди, как вода засасывает воздух?
Аноним 03/02/16 Срд 21:31:35 147117 59
>>147116
Ну там же наверху я подробно все описал, ты слепой? Через гидравлическую форсунку, ее можно слепить из глины
Аноним 03/02/16 Срд 21:38:05 147118 60
>>147113
>>147114
Вот вы уроды, дискредитировали мой тред своими тупыми высерами
Аноним 03/02/16 Срд 21:56:38 147120 61
47Кб, 616x500
616x500
Аноним 03/02/16 Срд 22:07:13 147123 62
Аноним 03/02/16 Срд 22:42:26 147125 63
>>147117
Я не понял, почему это происходит. Вода же должна просто по трубе течь.
Аноним 03/02/16 Срд 22:46:38 147126 64
>>147125
Так благодаря энергии вакуума жи. вода закачивается на дно колодца благодаря пониженному давлению на дне, а поднимается обратно насосом, который приводит в действие деревянный поршень. Энергия вырабатывается больше чем затрачивается, получается как бы вечный двигатель. Но даже не второго рода, а почти третьего. То есть энергия берется не из неоткуда, а из вакуума.
Аноним 03/02/16 Срд 22:51:28 147127 65
67Кб, 269x310
269x310
Аноним 03/02/16 Срд 22:52:47 147128 66
>>147126
Все, кажется понял. Пойду из бутылок и шприцов попробую сделать.
Аноним 03/02/16 Срд 22:53:18 147129 67
>>147126
Короче, ну тебя нахер. Лучше паровой двигатель делать, он хоть реально может работать, без энергии вакуума и прочей силы земли, не нужно копать ямы лопатой, строгать деревянные поршня и глиняные форсунки.
Аноним 03/02/16 Срд 22:56:26 147130 68
>>147126
Тебе надо уебать учебником физики прямо по тыкве раз эдак 100
Аноним 03/02/16 Срд 22:58:01 147131 69
>>147128
Шприцы нужно использовать только многоразовые стеклянные, с пластиковыми не получится, они не создадут чистый природный вакуум, который нужен для нормальной работы этого двигателя
Аноним 03/02/16 Срд 23:00:39 147132 70
>>146982
Да, это найс фишка
Аноним 03/02/16 Срд 23:06:00 147133 71
>>147131
А жидкий вакуум подойдет? Я недавно из компрессорной вынес баклажку. Еще литров 5 компрессии взял оттуда же. Если с одной стороны поршня подавать жидкий вакуум, а с другой жидкую компрессию, то эффективность двигателя повысится?
Аноним 03/02/16 Срд 23:06:27 147134 72
>>146949
>Перепад высот между входным бассейном A и выходным G был совсем небольшой — для набора струей энергии, обеспечивающей устойчивую работу насоса, достаточно всего нескольких метров.
>для ее работы не требуется большой перепад высот в реке
>достаточно всего нескольких метров
Нихуя себе. Проще уж микроГЭС сразу поставить.
Аноним 03/02/16 Срд 23:11:09 147135 73
>>147134
Ты ничего не понимаешь. Несколько метров это глубина колодца, в который будет стекать вода. Вода производит работу, закачивая воздух в компрессор, затем аннигилируется жидким вакуумом, чтобы было место для следующей порции воды. Компрессор закачивает воздух в баллон, превращая газ в жидкую компрессию, компрессия подается на деревянный (лучше из ливанского кедра) поршень в деревянном цилиндре, производя большую мощность
Аноним 03/02/16 Срд 23:51:08 147137 74
>>147135
В древности жидкий вакуум получали из высушенной печени крокодила. Для этого сухая печень, измельченная в алмазной ступке пестиком из его берцовой кости, смешивалась в равных долях с порошком «Уходи» и пурпурными чернилами принтера Lexmark ZX-25; затем смесь доводилась до кипения и варилась на медленном огне до снятия с эфира реалити-шоу «Дом-2», после чего залпом выпивалась оператором криогенно-вакуумной установки КВУ-16А (или более мощной) производства Казанского оптико-механического завода, каковая установка и производит жидкий вакуум во время приготовления оператором адского зелья.
Аноним 03/02/16 Срд 23:53:35 147138 75
2112Кб, 420x329
420x329
>>147135
Опасная это штука, жидкий вакуум. Вот что с цистерной сделал
Аноним 04/02/16 Чтв 00:17:26 147139 76
Аноним 04/02/16 Чтв 01:53:01 147141 77
>>147091
>А использовали эту хуйню на шахте по одной причине
Этот компрессор запилили не для того чтоб питать движки, а для вентиляции окрестных шахт.
Аноним 04/02/16 Чтв 01:53:19 147142 78
>>147093
>. А как его присобачить на мусоровоз?
Никак.
Аноним 04/02/16 Чтв 01:54:05 147143 79
Смотрю студент-второкурсник эрудированный немношк огорчился вчера и засрал тред.

Не огорчайся.
Аноним 04/02/16 Чтв 05:50:54 147149 80
44Кб, 984x335
984x335
139Кб, 1009x1000
1009x1000
42Кб, 1020x195
1020x195
Аноним 04/02/16 Чтв 06:29:28 147151 81
>>147149
Имеем: колодец 1,5 на 1,5 и глубиной 6 м. Объем грунта 13,5 куб. м, стенки укреплять.

пик1.
До 4м (на самом дел до 6 - умножу на 1,5 потом). Беру худшую категорию - VI.

Значит до глубины 1,5 метра (это объем 3,4 куба) надо копать 0,96 куб/смену.
НО1: из примеч. 1(пик3) следует, что размер нестандартный и 0,96х1,11 = 1,06 куб/смена.
НО2: из прим. 2(пик3) следует, что при устройстве креплений норма выработки умнож на коэф. 0,87 и значит 1,06х0,87 = 0,93 куб./смена.

Первые 1,5 метра глубины надо пойти за 3,4/0,93 = 3,66 смены.

Далее.
Нормы для глубин 1,51-2,00 - объем 1,13 куб.
0,85х1.11х0,87= 0,82 куб./смена
1,13/0,82 = 1,38 смен.(сумма 5,04)

Далее:
Глубины 2,01-2,50 - объем прежний 1,13 куб.м
0,73х1,11х0,87 = 0,7 куб./смену
1,13/0,70 = 1,61 смен(сумма 6,65 смен )

Далее:
Глубины 2,51 - 3,00 -объем 1,13 куб.м.
0,66х1,11х0,87= 0,64 куб./смена
1,13/0,64 = 1,77 смен (сумма 8,42 смен)

Далее:
Глубины 3,01-4,00 - объем 2,25 куб
0,55х1,11х0,87= 0,53 куб./смена
2,25/0,53 = 4,24 смен (сумма 12,66 смен)

Далее нормы экстраполирую, т.к. в таблице до 4 метров):
Для экстраполяции : 0,96 - 0,85 - 0,73 - 0,66 - 0,55
Разница : 0,11 - 0,12 - 0,7 - 0,11 , беру 0,11
и нормы
для 4,01-5,00 0,44куб./смена
для 5,01-6,00 0,33 куб./смена

Глубины 4,01-5,00 - объем 2,25 куб.
0,44х1,11х0,87 = 0,42 куб./смена
2,25/0,42 = 5,36 смен (сумма 18,02 смены )

Глубины 5,01-6,00 - объем 2,25 куб.
0,33х1,11х0,87 = 0,32 куб./смена
2,25/0,32 = 7,03 смен (всего: 25,05 смен )

Один анон за 25 рабочих дней по 8 часов выкопает колодец глубиной 5 метров в очень тяжелом грунте(VI категория )..

И для иллюстрации возьму грунты I категории , примерно.
Норма для 1,5 метров 5,93 куб/смену против 0,96 куб./смену в тяжких грунтов. 5,93/0,96 = 6,18 раз.
Значит 25,05/6 = 4,18 смен по 8 часов. За такой срок нужно выкопать колодец той же глубины в легком грунте.
Аноним 04/02/16 Чтв 06:57:12 147152 82
>>147151
>Первые 1,5 метра глубины
Тут грунт выбрасывается лопатой за бровку.

>Глубины 2,01-2,50 -
И ниже - сверху строится навес с балкой над ямой, через балку перекидывается веревка с ведром. Анон по лестнице спускается в яму, наполняет ведро, поднимается наверх, тянет веревку, хватает ведро и ссыпает грунт. И так весь день. Это если анон один.
Если анонов два, то могут по очереди: один час внизу колупает землю и наполняет ведро, второй поднимает землю и ссыпает ее. Через час меняются.

Я так думаю.
Аноним 04/02/16 Чтв 07:04:27 147153 83
208Кб, 1059x1272
1059x1272
>>147151
>Беру худшую категорию - VI.
пик -категории грунтов
Аноним 04/02/16 Чтв 08:55:56 147158 84
60Кб, 960x568
960x568
,kz поясните за принцып действия, нихую непонятно жэ.
чем ето лучше обычного водопадика на водное колесо?

алсо колодец копать оче сложно и страшно
Аноним 04/02/16 Чтв 09:13:46 147159 85
>>147151
Я не понял, а куда тут подается жидкий вакуум?
Аноним 04/02/16 Чтв 09:14:45 147160 86
>>147158
Я для кого всю эту хуйню писал? Если много букв, читай букварь, там их мало и все понятные
Аноним 04/02/16 Чтв 09:16:17 147161 87
>>147138
Вот пример работы энергии вакуума. На этом принципе и работает мой деревянный двигатель, только вместо цистерны деревянный цилиндр и фанерный поршень
Аноним 04/02/16 Чтв 09:24:09 147162 88
>>146947 (OP)
ОПчик, что-то ты нахуевертил тут. Можно же просто сделать водяное колесо, и от него приводить в движение хоть генератор, хоть мельницу. А у тебя куча лишних звеньев, колодцы всякие, деревянные компрессора и прочая чушь. К примеру, ближайшая ко мне река на расстоянии 50 км, мне что, туда переселятся, копать колодец и устанавливать туда деревянный двигатель? Ты втираешь какую-то дичь. Перейди на более слабые вещества, от этих твои детские мозги выдают критическую ошибку. А лучше вообще ничего не употребляй, веди здоровый образ жизни, кушай кашку и слушайся мамку. Займись лучше чем нибудь другим, макраме там или крестиками вышивай
Аноним 04/02/16 Чтв 09:26:27 147163 89
>>147143
Его по делу обоссали аноны, а ему все студенты - второкурсники везде мерещатся. Никто тут не огорчается, а даже наоборот. Весело глумятся над школофантазиями аутиста
Аноним 04/02/16 Чтв 09:29:06 147164 90
>>147142
Почему? А какой тогда двигатель подойдет для моего деревянного мусоровоза? Я думал, что деревянный двигатель как нельзя лучше подойдет. Хотя судя по описанию конструкции, для работы этого убердевайса необходима река и колодец. Тогда действительно, на мусоровоз поставить не получится. Печалька.
Аноним 04/02/16 Чтв 09:38:05 147165 91
>>147162
> просто сделать водяное колесо
>ближайшая ко мне река на расстоянии 50 км
>мне что, туда переселятся,
А как ты водяное колесо соорудишь там не переселяясь?
Аноним 04/02/16 Чтв 09:39:17 147166 92
>>147163
>семененит
>не огорчается
Аноним 04/02/16 Чтв 09:41:37 147167 93
Аноним 04/02/16 Чтв 09:56:31 147169 94
Да, школотролли подзасрали тред. Если серьезно, какое преимущество имеет предложенная схема? Сравнивать паровой двигатель и гидроэлектростанцию по меньшей мере странно, у них разные области применения. Гидроэнергию, как справедливо заметили аноны выше, можно добывать только если есть река. Реки не текут на каждом квадратном метре. Любой здравомыслящий анон не будет копать глубокие ямы на берегу, а просто установит колесо с лопатками в течение воды, или установит водяную турбинку под водопадом. Паровые двигатели и стирлинги могут работать и без реки, на любом горючем топливе, поэтому могут использоваться вдали от рек.
Аноним 04/02/16 Чтв 09:58:18 147170 95
Аноним 04/02/16 Чтв 10:01:37 147171 96
>>147164
Поставь стирлинг и не еби мозга. Зайди лучше в паровой тред, там тебе объяснят за двигатели
Аноним 04/02/16 Чтв 10:16:59 147173 97
>>147169
Ты както слишком умно пишеш я еле понял что ты сказал. Я не ищу легких путей, мне интересней рыть колодцы и строгать стамеской фанерные цилиндры. водяное колесо для лохов. если нет реки то я прокопаю канал до ближайшей речки пусть даже 50 км. Стирлинг делать не буду, он может взорваться и ошпарить мне яйца паром
Аноним 04/02/16 Чтв 11:05:58 147176 98
>>147169
>>147169
>не текут на каждом квадратном метре.
> просто установит колесо с лопатками в течение воды,
Так текут или не текут? Ты определись уже.

>турбинку под водопадом.
На равнинной реке?

>Паровые двигатели и стирлинги могут работать
Мелко плаваешь - строй АЭС на 1 МВт - будешь местным энергетическим князегерцогом.

Смотрю тут 9 из 10 онанов обчитались в детстве Жюля Верна евойный "Таинственный остров". Нужен паровик - спаяю, хотя в жизни паяльника не держал. Нужен стирлинг - сделаю цилиндры из нержавейки - на коленке буду изгибать, аргоновой сваркой сваривать. В лесу.

Этот раздел больше похож на графоманский форум писателей-фантастов, где делятся идеями для романов.


>>147173
> Стирлинг делать не буду
По простой причине - не сможешь. Максимум на что тебя хватит - на стирлинг из кокаловой банки.
Аноним 04/02/16 Чтв 11:10:10 147177 99
>>147173
Где ты в стирлинге пар нашел, идиот? Хотя тебе бы не мешало ошпарить яйца паром, чтобы ты не оставил потомства. Хотя какое тебе потомство, такие как ты, к счастью, не размножаются. Выкопай колодец, если ты так любишь копать, привяжи себе на шею каменный цилиндр и пусть тебя зальет водой
Аноним 04/02/16 Чтв 11:14:11 147178 100
>>147176
>Так текут или не текут? Ты определись уже
Ты аутист, семен? В случае если есть река, то тогда водяное колесо. Если реки нет, то какая может быть гидропедрическая электростанция? А, затупок?
>На равнинной реке?
Аутист, на равнинной реке полупогружное колесо с крыльчаткой, на берегу или на привязанном плоту, как делали в старину. Гораздо практичнее, чем копать колодцы и строгать поршни из деревяшек. Ты вообще адекватен?
Аноним 04/02/16 Чтв 11:17:53 147179 101
>>147176
>Гидроэнергию, как справедливо заметили аноны выше, можно добывать только если есть река.
Аутист колодцекопатель не умеет читать и не может в логику, не отвечай ему
Аноним 04/02/16 Чтв 11:20:58 147180 102
Я вообще не пойму, что тут творится. Какой-то срач двух семёнов. Причем оба аутиста, помешанных на земляных работах. Так кто из вас за копание колодцев, кто за водяное колесо, а кто за паровой стирлинг?
Аноним 04/02/16 Чтв 11:23:41 147181 103
>>147176
>Максимум на что тебя хватит - на стирлинг из кокаловой банки.
Насмешил, спасибо. А максимум на что тебя хватит, это выкопать яму под сельский сортир, и то криво. А будку построить из деревяшек тебя уже не хватит. А еще собрался поршня из березы напильников вытачивать. Ты точно поехавший
Аноним 04/02/16 Чтв 11:53:55 147182 104
190Кб, 1000x750
1000x750
>>147176
Добавлю свою тугую струю мочи в лицо тупому школьнику.
>... хотя в жизни паяльника не держал
Не охуел ли ты, педрила, обобщать? Если ты криворукий мудак и ничего кроме ложки и своего микропиструна в руках не держал, то по твоей ущербной логике тут все такие никчемные выблядки? Так вот, опорожню свой мочевой пузырь и кишечник прямо на твой прыщавый еблосос. Кстати, паровые двигатели не паяют, ибо высокая температура и давление, паяный шов лопнет, как пизда твоей мамки. Только сварка и резьбовые соединения. Вот набор моих паяльников, не поленился сфоткать. Выбирай, какой вставить тебе в анус. Я уже все поставил на разогрев. Свою мастерскую фоткать не буду, она в гараже, надо одеваться и идти пару кварталов, мне не охота ради какого-то мудака это делать. Паяльниками я починяю электронные приборы и анально караю тупых школьников. Это еще не все, которые у меня есть.
Аноним 04/02/16 Чтв 12:15:44 147183 105
>>147182
Ну зачем ты так вызверился? У меня тоже бомбит от школоты, но я отношусь к школовысерам более спокойно. Это всего лишь глупенький шестиклассник, а ты с ним так брутально. Это оверкилл. Кстати, что себе паяльную станцию не возьмешь? Лично мне удобнее, чем набор разных паяльников.
Аноним 04/02/16 Чтв 13:07:43 147184 106
Задам такой вопрос. Если ДВС говно, стирлинг - говно, паровик - говно и только двигатель ОПа - збс, то КАК БЫТЬ ТЕМ АНОНАМ, КОТОРЫЕ ЖИВУТ ВДАЛИ ОТ РЕК!? КАК БЛЯДЬ СДЕЛАТЬ ТВОЙ ЗАМЕЧАТЕЛЬНЫЙ ПНЕВМОГИДРИЧЕСКИЙ ДВИГАТЕЛЬ, ЕСЛИ БЛИЖАЙШАЯ РЕКА НА РАССТОЯНИИ ОВЕРДОХУЯ КИЛОМЕТРОВ!? Аноны уже спрашивали, но ОП сливался, начиная бредить и уходя от прямого ответа
Аноним 04/02/16 Чтв 14:20:22 147186 107
>>147184
Ну нафига ты задаешь такие неудобные вопросы? Не разбивай хрустальные манямечты ОПа об чугунную жопу реальности. Он сейчас гордится собой, представляя в своих маняфантазиях как он осчастливит выжившее человечество своим мегакрутым изобретением, суперпуперпневмогидрическим деревянным мотором. Благодарные люди отливают ему памятники из золота, бывшие хейтеры каются в слезах, посыпая голову пеплом и просят прощение за то что не увидели его потенциал, няшные тян в костюмах японских школьниц раздвигают перед ним свои писечки и мечтают отдаться юному гению. А тут пришел ты, грязными суровыми кирзачами влез в уютный мирок сверкающих грез, растоптал радужную мечту. Эхх, жестокий ты бездушный мужлан. Не надо так.
Аноним 04/02/16 Чтв 16:01:51 147189 108
5Кб, 200x115
200x115
>>147160
>Я для кого всю эту хуйню писал
я ебу штоле?
давай поясняй на пальцах или ето лжэнаука
Аноним 04/02/16 Чтв 16:21:19 147190 109
>>147189
Блин, ну прочитай же ты тред. Вот тут я на пальцах разжевал принципа работы
>>147135
Аноним 04/02/16 Чтв 17:19:34 147191 110
Самый смешной тред с тех пор как я открыл для себя выживач, я уржался. Предыдущий по эпичности тред был в прошлом году и к сожалению утонул. Про шипастый костюм анона, для защиты от собак и разъяренных колхозников, недовольных тем что анон ловит в их деревне козу для последующего с ней насильственного совокупления. Если ты жив, анон, не погиб от зубов собак и козьего сифилиса, отпишись тут, а то я переживаю.
Аноним 04/02/16 Чтв 17:33:31 147192 111
Аноним 05/02/16 Птн 03:07:05 147204 112
>>147182
Я смотрю ты человек опытный, подскажи как спаять из жести цилиндор и змеевик для паровой машины?
Аноним 05/02/16 Птн 03:09:16 147205 113
>>147184
>КАК БЫТЬ ТЕМ АНОНАМ, КОТОРЫЕ ЖИВУТ ВДАЛИ ОТ РЕК!?
Переселяться из пустыни в более влажные места.

> ЕСЛИ БЛИЖАЙШАЯ РЕКА НА РАССТОЯНИИ ОВЕРДОХУЯ КИЛОМЕТРОВ!?
Переселяться из пустыни надо в любом случае - там не выживешь.
Аноним 05/02/16 Птн 03:10:52 147206 114
>>147186
Ты огорченный какой-то.
Аноним 05/02/16 Птн 03:34:32 147208 115
>>146949
>>146951
Не будет работать. Точнее будет, но лишь некоторое время, пока вода не заполнит "воздушную камеру".
Аноним 05/02/16 Птн 08:56:56 147209 116
>>147208
Врут?
>>146949
>http://cobalt.ca/ragged-chutes/
>Only twice in its 70-year history was the plant closed for major repairs although, at one time, a dozen mines purchased thousands of cubic metres of compressed air each month.
>Лишь дважды в своей 70-летней истории был завод закрыт на капитальный ремонт, хотя в свое время, десяток шахт приобрели тысячи кубометров сжатого воздуха каждый месяц.
Аноним 05/02/16 Птн 09:23:54 147211 117
>>147209
Мог бы просто этим ответить.
>To Taylor’s creative mind, the explanation was simple – when a mixture of air and water is compressed, the air separates and rises. The air compresses, and not the water, because the molecules in a liquid are already very close together and, therefore, are almost impossible to compress.

Но вот что непонятно: чтобы воздух уходил под воду, нужно чтобы эта вода падала с большой площадью, либо быстро скатывалась. Но как это будет происходить если две шахты, по идее, являются сообщающимися сосудами, а значит, что в обеих шахтах вода будет на одном уровне. То есть вода просто затопит их и все.
Аноним 05/02/16 Птн 11:10:10 147212 118
140Кб, 764x253
764x253
>>147211
>ужно чтобы эта вода падала с большой площадью
Не уловил, это как?
Гугли водоструйный насос, закон Бернулли.


> обеих шахтах вода будет на одном уровне.
С чего это?
Точка забора например на урезе 10,5 м над уровнем моря - точка сброса на урезе 10,0 над уровнем моря. Полметра разница - уже достаточно.
Пик.
Аноним 05/02/16 Птн 11:49:27 147214 119
>>146947 (OP)
>Отсутствие топлива в постБП.
Это схуяли? Дизель может хранится очень долго и его полным полно на заправках и на складах.
>Отсутствие запчастей в постБП.
Это схуяли? После БП очевидно останутся миллионы машин. Любой ДВС снятый с машины можно прикрутить к генератору
>Требуются навыки для обслуживания.
ДВС очень распостранённая вещь в отличии от твоих стирлингов и паровиков. Книжок, туториалов и т.д по устройству ДВС просто овер 9000
Аноним 05/02/16 Птн 13:31:24 147215 120
26Кб, 800x600
800x600
>>147212
>Не уловил, это как?
>a mixture of air and water
Чтобы площадь соприкосновения воды и воздуха была больше. Множество керамических трубок на самом верху входной шахты для этого и стоят, я так понял.

>С чего это?
Смотри пик.

>Полметра разница - уже достаточно.
Что помешает воздуху, который падает с водой всего полметра, сразу всплыть? На том насосе разница 10 метров, а значит пузырькам воздуха нужно пролететь вниз по воде 97 метров.
Аноним 05/02/16 Птн 14:21:06 147217 121
И вообще ДВС - божественный и лучше него ничего нет. Паровое говно ненужно
Аноним 05/02/16 Птн 19:57:24 147224 122
>>147205
Для тебя будет открытием, но рек нет не только в пустыне, есть населенные пункты где нет поблизости проточных водоемов. Но идея так сильно пленила твой мозжечок, что к разумным доводам ты не прислушиваешься. Все должны переселится на берега рек, чтобы иметь счастье пользоваться твоим деревянным пневмогидрическим двигателем.

05/02/16 Птн 19:59:46 147225 123
>>147214
А когда закончится жидкое топливо, ДВС относительно несложно переделать в паровик. А если заменить все железные детали деревянными и бросить движок в колодец, то получится пневмогидрический мотор ОПа
05/02/16 Птн 20:17:23 147226 124
>>147204
Если уж так сложилось, что в твоей школе для умственно-отсталых в расписании занятий не было физики, то так уж и быть, расскажу тебе. Существуют разные способы изготовить паровой котел и поршневую группу для паровой машины, и пайкой я бы пользоваться не стал. Но если ты так настаиваешь, научись сначала паять, на ютубе полно гайдов. Правда, паяное легкоплавким припоем соединение имеет даже меньшую прочность чем деревянный двигатель, но если ты так желаешь обвариться паром, то не буду разубеждать тебя. Я понял, что это бесполезно. Металлические трубки можно снять с гидравлической системы трактора, например. Найти в металлоприемке кусок чугунной трубы это тоже не самая трудная задача. Но это все потом. Сначала я закончу кое-какие дела с твоей мамкой, потом надо будет вынуть свой самый большой паяльник из твоего припеченого ануса, и мы с тобой все обсудим. Подожди немного.
Аноним 06/02/16 Суб 01:46:46 147233 125
16Кб, 764x234
764x234
1230Кб, 1000x815
1000x815
363Кб, 1200x817
1200x817
>>147215
>Чтобы площадь соприкосновения воды и воздуха была больше
Сам же ответил на вой вопрос:
> Множество керамических трубок

>Смотри пик.
Смотрю. Где на одном уровне?

>Что помешает воздуху, который падает
Воздух не падает, падает вода и не с полметра, а со 100 метров(в Рэджет Чут).
А пузыркам воздуха мешает скорость потока воды, которая возрастает пропорционально ускорению свободного падения.

>На том насосе разница 10 метров,
Может и 10, а может и меньше - пик1 --- >>147059 и пик >>146949 без масштаба. Пруф - пик1,2


Аноним 06/02/16 Суб 01:50:44 147234 126
>>147224
>есть населенные пункты где нет поблизости проточных водоемов.
Ты имееешь виду ДС 1,2? Так там реки-ручьи под землей в трубах.
Только я бы не стал жить в ДСах после БП.


>>147225
>ДВС относительно несложно переделать в паровик.
Для тебя -это невозможно.

>>147226
>Существуют разные способы
> кусок чугунной трубы
Понятно, диванный инженер.
Аноним 06/02/16 Суб 01:51:18 147235 127
Аноним 06/02/16 Суб 01:55:23 147236 128
1230Кб, 1000x815
1000x815
>>147233
>пик2
Малость с числами в расчетах обкакался- не те взял
Исправил
Аноним 06/02/16 Суб 02:00:01 147237 129
176Кб, 802x247
802x247
>>147215
>? На том насосе разница 10 метро
Чот я сам свои же ссылки не читаю. Лол. Нет там никаких 10 метров - там перепад может быть и 10 метров и 10 см и 20 метров -это не чертеж, а схематический рисунок, без соблюдения масштаба и пропорций.
Аноним 06/02/16 Суб 02:21:26 147238 130
>>147233
Почему на первом пике уровень воды зачеркнут? Сообщающиеся сосуды же.
Аноним 06/02/16 Суб 02:36:49 147239 131
>>147238
>Сообщающиеся сосуды же.
И?
В левый колодец вода ЗАТЕКАЕТ, из правого ВЫТЕКАЕТ.
Вот если бы вода не втекала, то уровень был бы одинаковый.

Аноним 06/02/16 Суб 02:57:39 147240 132
>>147239
То есть по первой шахте просто течет вода вместе с пузырьками воздуха?
Для чего вторая шахта сделана под наклоном?
Аноним 06/02/16 Суб 03:43:24 147241 133
2Кб, 117x90
117x90
1Кб, 146x47
146x47
>>147240
>То есть по первой шахте просто течет вода вместе с пузырьками воздуха?
Падает вода с пузырьками воздуха.

Пик1 - формула.

При S = 1 м (т.е. на глубине 1 м):
скорость воды v = (2 х 9,8 х 1)0,5 = 4,42 м/с.

При S = 5 м (т.е. на глубине 5 м):
скорость воды v = (2 х 9,8 х 5)0,5 = 9,9 м/с.

При S= 10 м (т.е. на глубине 10 м):
скорость воды v = (2 х 9,8 х 10)0,5 = 14 м/с.

При S =100 м (т.е. на глубине 100м):
скорость воды v= (2 х 9,8 х 100)0,5 = 44,3 м/с.

Это про скорость воды.

А вот пик2 - про архимедову силу(которая сообщает ускорение пузырькам воздуха).
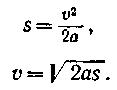
И она с глубиной падает - так как зависит от объема пузырька(V), который с глубиной сжимается гидростатическим давлением.
То есть на глубине 10 м ускорение от архимедовой силы в 2 раза меньше чем на глубине 0, так как объем пузыря уменьшился в два раза.

Если коротко: скорость воды с каждым метром вниз - увеличивается, а скорость пузырьков воздуха - уменьшается. То есть воздух по законам физики не может вернуться назад.


>Для чего вторая шахта сделана под наклоном?
Предполагаю, что строительство велось именно с того конца, а наклонная шахта удобней для перемещения грунта.
Возможно прорубили эту шахту, дошли до нужной глубины - прорубили галерею, а затем пробурили дырку для входящей воды.
Аноним 06/02/16 Суб 03:47:24 147242 134
>The Victoria’s Taylor Compressor was completed in 1906 at a cost of over $440,000
Аноним 06/02/16 Суб 03:57:37 147243 135
>>147242
И?
> It produced 40,000 cfm of air at 130 psi, supplied 29 or 30 mines
40000 куб. футов 1123 кубических метра.
130 psi это 8,89 атм.

Кто-то предлагает пилить компрессор с такими характеристиками?
Аноним 06/02/16 Суб 04:04:04 147247 136
>>147243
Минимум три атмосферы надо, а это >30м - девятиэтажка, считай.
Аноним 06/02/16 Суб 06:03:35 147250 137
>>147247
>Минимум три атмосферы надо
Обосновывай.
Почему 3 , а не 2,99 или 1,99?
Какие ограничения?

Аноним 06/02/16 Суб 06:15:33 147251 138
18Кб, 1000x249
1000x249
Аноним 06/02/16 Суб 06:28:21 147252 139
>>147251>>147247
>Минимум три атмосферы надо,
Еще раз.
Чому именно 3, а не 2 или не 1 или не 0,5?
Аноним 06/02/16 Суб 06:45:30 147253 140
>>147252
Потому, что у пневмодвигателя и так пиздецово низкий кпд, так еще и уменьшение давления придется компенсировать большими объемами. Не могу найти, почему надо минимум 3, но помню, что где-то вычитал.
Аноним 06/02/16 Суб 06:59:43 147254 141

>>147253
> так пиздецово низкий кпд
Какой? Почему?

>придется компенсировать большими объемами
Ты собрался пневмодвигатель ставить на мотоцикл?

>, но помню, что где-то вычитал.
То есть обосновать не можешь.
Аноним 06/02/16 Суб 07:05:57 147255 142
Аноним 06/02/16 Суб 07:55:56 147256 143
>>147255
>Такой
Какой?
25 проц. это низкий кпд?
Аноним 06/02/16 Суб 08:11:45 147257 144
Аноним 06/02/16 Суб 09:04:13 147259 145
>>147257
Тебе мало?
Воздух слишком дорогой ?
06/02/16 Суб 09:35:14 147261 146
142Кб, 388x346
388x346
Самая бредовая идея что была на выживаче, даже паровой двигатель не такая бредовая идея, хотя я хейтил паровые треды. Ты предлагаешь анонам копать огромные колодцы возле рек и строить дереянные компрессоры. Ты ебанутый?
Аноним 06/02/16 Суб 09:35:21 147262 147
>>147257
Кстати, ссылка годная .
А ты лукавый анонишка
>1. Высокая стоимость пневмоэнергии. Если гидро- и электропривод имеют КПД, соответственно, около 70 % и 90 %, то КПД пневмопривода обычно 5-15 % и очень редко до 30 %. Во многих случаях КПД может быть 1 % и менее. По этой причине пневмопривод не применяется в машинах с длительным режимом работы и большой мощности, кроме условий, исключающих применение электроэнергии (например, горнодобывающие машины в шахтах, опасных по газу).
Аноним 06/02/16 Суб 09:36:09 147263 148
>>147261
По существу есть что возразить?
06/02/16 Суб 11:22:19 147265 149
>>147204
Да забрось ты эту идею с деревянными поршнями и жестяными котлами. Не вздумай рыть колодцы на берегу, тебя может завалить землей. А жестяной котел обварит тебя паром. Человечество то ничего не потеряет, а вот твоя мамка расстроится.
>опытный
Ты мне льстишь, дружище. Я, конечно, опытный, но в некоторых делах в плане опытности мне до твоей мамки как до Луны. Кстати, привет ей от Ювелира. Чуть не забыл, как чувствует себя твой анус после 100 ваттного паяльника? Попроси мамку чтобы сбегала в аптеку за мазью против ожогов.
06/02/16 Суб 11:28:58 147267 150
>>147263
Есть. Если вспомнить учебник истории, то промышленность начиналась с городов, расположенных на берегах рек, потому что для привода фабричных станков использовалась гидроэнергия, водяные колеса. И только с изобретением парового двигателя стало возможным строить производство в местах где нет рек. Потом началась эра электричества, но это уже другая история. Так вот, даже паровой двигатель прогрессивнее твоей хуйни, потому что не зависим от проточных водоемов, воду для паровика можно набрать и в обычном колодце, без деревянных поршней. А если уж тебе повезло жить возле реки, то лучше не ебать себе и людям мозги и построить водяное колесо.
Аноним 07/02/16 Вск 03:24:23 147276 151
>>147267
>Если вспомнить учебник истории, блаблаблабла

>>147265
>блаблаблабла

По существу есть чем возразить? Ну там расчетами -чертежами?
07/02/16 Вск 09:39:14 147278 152
>>147276
Оно вообще не понимает русский язык и не может в логику. Какие расчеты и чертежи? Тут элементарный здравый смысл. Есть река - ставим водяное колесо. Нет реки - ставим дизель, газогенератор, паровую турбину, стирлинг, заставляем крутить педали рабов. Без всяких колодцев и фанерных поршней. Ферштейн? Тупорылое ты чудовище.
07/02/16 Вск 20:42:13 147287 153
Добавлю сажи треду. Категоричность суждений выдает в ОПе школьника. Не бывает универсальных двигателей, пригодных в любой сфере. Как быдлокодер могу сказать что не бывает универсальных языков программирования, на сях не пишут сайты а на пэхепе драйвера на железо. Так же гидроэлектростанции не строят в степях калмыкии и лесах вологодчины, потому что там нет рек. Почему-то существуют ТЭС и АЭС, никто не утверждает что их все могут заменить ГЭС. У каждого двигателя своя экологическая ниша. Где есть реки, там можно строить ГЭС, хоть по схеме ОПа, где полно горючего, например угля и древесины, там паровые и паротурбинные энергоагрегаты, где степь, там лучше ветровые. Не будь так категоричен, ОП, и тебя не будут хейтить и сагать.
08/02/16 Пнд 01:24:09 147290 154
>>147287
Вах, какие проекции! Мамкино-бабкино воспитание прям из каждой буквы сочится.
Аноним 08/02/16 Пнд 10:44:13 147296 155
>>147278
А если есть хуй, то на него можно поставить жопу твоей мамаши и она (мамаша) будет варить борщъ.
>>147287
>на сях не пишут сайты
Ты еще слишком быдлокодер.
08/02/16 Пнд 11:28:34 147299 156
>>147296
Ты огорченный какой-то.
08/02/16 Пнд 13:00:44 147300 157
>>147100
>или в деревянном подшипнике деревянные шарики сотрутся
Я уж думал что не смогу кекать с этого треда сильнее, но ОП таки заставил меня обкекаться совсем уж неприлично
08/02/16 Пнд 17:39:52 147310 158
>>146947 (OP)
ОП, ты не прав. Кто же так запиливает треды? Надо было так:
Братишки, я вам покушать гидроэлектростанцию принес. (Далее описание предложенной идеи и обоснование, чем схема ОПа лучше традиционных). Давайте покумекаем вместе, какие есть изъяны в моей конструкции, как ее сделать лучше и стоит ли вообще заморачиваться.
А ты сразу начал с того, что все двигатели говно, вместо них лучше использовать предложенную мной херню, на вопросы и справедливые замечания или не отвечаешь, или агришься. Так что сагают тебя вполне заслуженно.
Аноним 09/02/16 Втр 00:14:48 147322 159
все ебанулись
Аноним 09/02/16 Втр 03:46:50 147325 160
>>147310
> все двигатели говно
Просто я давно Жюля Верна не читал и детские впечатления успели развеяться.
Аноним 09/02/16 Втр 03:48:15 147326 161
Аноним 09/02/16 Втр 03:49:14 147327 162
Аноним 09/02/16 Втр 05:29:14 147328 163
30Кб, 800x600
800x600
>>147327
А может и смогут, если сделают гибрид гидро-вихревой ГЭС и вот этого воздушного компрессора.
Аноним 09/02/16 Втр 05:34:03 147330 164
21Кб, 786x235
786x235
Аноним 09/02/16 Втр 06:15:38 147331 165
09/02/16 Втр 19:55:28 147339 166
>>147326
Да, ОП жжет напалмом
Аноним 09/02/16 Втр 19:57:23 147340 167
не взлетит,тут все диванные.и мусара факаныи
10/02/16 Срд 09:56:01 147352 168
>>147340
Не взлетит только по одной причине - идея уебищна и тупорыла как сам ОП
10/02/16 Срд 10:08:14 147353 169
На самом деле зря вы так. Рек полно, возле дома и квартиры каждого анона протекает как минимум одна полноводная река с перепадом полтора метра, так что только природная лень мешает анонам иметь халявное электричество уже прямо сейчас, не дожидаясь БП. У каждого найдется в хозяйстве полный набор столярных инструментов для изготовления цилиндра и лопата для выкапывания колодца. Так что не слушайте хейтеров, строгайте поршня и копайте колодцы, и будет вам счастье.
(блин, сажа прилипла)
Аноним 11/02/16 Чтв 02:55:54 147373 170
>>147353
>с перепадом полтора метра,
Смотря где. На Урале, в Сибири, на Валдае, на ДВ - таких полно, а вот в Подмосковье или в Белгородской области замучаешься искать такую.

На равнинных реках уклон реки составляет порядка сотых долей промилле (первые единицы и десятки сантиметров на километр). Например, средний уклон реки Волги составляет 0,07 промилле (7 см на 1 км), в низовьях — 3-5 промилле. На горных реках уклон реки может быть в сотни раз больше (метры и десятки метров на километр и больше).
Аноним 11/02/16 Чтв 02:56:12 147374 171
>>147340
>тут все диванные
11/02/16 Чтв 09:19:36 147376 172
>>147373
Какая разница, какой уклон? Вода стекает в колодец, вытесняет оттуда воздух, воздух толкает поршень, деревянный коленвал крутит деревянный генератор.
Аноним 11/02/16 Чтв 10:35:39 147377 173
>>147138
Они его переохладили прост, а так жидкий вакуум совершенно безопасен.
11/02/16 Чтв 12:29:47 147379 174
244Кб, 1102x666
1102x666
>>147377
Ну не скажи, жидкий вакуум относится ко второму классу опасности. Пикрелейтед - последствия попадания жидкого вакуума в ротовую полость. Немецкие фашисты применяли жидкий вакуум для экстерминамуса унтерменшей, японские милитаристы пытали им пленных.
11/02/16 Чтв 14:51:03 147380 175
В моём мухосранске через каждый двор протекает как минимум одна река. И что вы думаете? Эти выживачеры по нарыли глубоких колодцев, в которых днем и ночью чавкают деревянные поршня. Из-за этих уродов теперь не пойти не проехать, а в колодцы постоянно падают пенсионеры, дети и животные, во общем полный кошмар. И это все из-за кого? Из-за ОПа, который подкинул эту сраную идею.
11/02/16 Чтв 16:32:38 147382 176
>>147380
Сам ты сраный, а моя идея гениальна. Я рад, что мои идеи пошли, что называется, в народ. Те кто падают в колодцы сами виноваты, что не смотрят под ноги. Реки составляют примерно 99,9 поверхности России, кто не верит, пусть пиздует в википедию. По расчетам академиков РАЕН, Россия могла бы обеспечивать энергией воды весь мир.
Аноним 11/02/16 Чтв 19:39:18 147389 177
161Кб, 1024x682
1024x682
>>147070
>Фазы газораспределения ДВС настраивать не нужно
разрезная шестерня с тобой не согласна
11/02/16 Чтв 20:01:18 147391 178
>>147389
ДВС вообще не нужен. Пневмогидрический двигатель наше всё.
Аноним 11/02/16 Чтв 21:23:27 147394 179
11/02/16 Чтв 23:46:12 147399 180
>>147394
Сам ты геморный. Нет ничего проще чем выкопать колодец у реки и вставить в него деревянный поршень. И все, ты обеспечен халявной электроэнергией на годы.
12/02/16 Птн 02:02:28 147402 181
>>147382
Паяльщик, ты толстишь уныло, как второкурсник
Аноним 12/02/16 Птн 02:14:27 147403 182
>>147399
> Нет ничего проще чем выкопать колодец
Сложнее чем спаять паровой котел под давление 5 атм?
Или предпочитаешь котлы низкого давления 1-2 атм? Не устанешь подкидывать дрова в топку и подливать воду в котел?
Кстати, где будешь брать дистиллированную воду? Ее нужно будет десятки(а может и сотни) литров в день.
Аноним 12/02/16 Птн 08:17:10 147405 183
>>147399
>Нет ничего проще чем выкопать колодец
с дивана всё просто, дажэ намарс полететь
12/02/16 Птн 10:28:40 147407 184
>>147403
Зачем мне паять котлы и подкидывать дрова? Я тут пневмогидрическую энергию продвигаю, а ты про свои бесполезные паровики. Мне легче деревянный поршень выстругать и колодец выкопать, чем спаять котел из жести.
12/02/16 Птн 10:37:17 147408 185
>>147403
Ну а я про что? Пневмогидрический двигатель возле реки будет обеспечивать анона энергией без всяких дров и угля круглый год, семь дней в неделю 24 часа в сутки. Даже удивительно, что пока еще не все перешли на пмевмогидричество. Главное колодец поглубже и поршень пошире. Тем более, как написал анон выше, реки составляют 99 процентов территории страны. Только колодец надо накрывать крышкой, чтобы туда никто не упал.
12/02/16 Птн 11:09:02 147409 186
Я загорелся идеей ОПа. Я все думал, где брать электричество, когда оно пропадет в розетке. Перебирал разные варианты, пока не увидел этот тред. Бензин при БП быстро кончится, паровой сделать я не смогу, у меня паяльника нет, да и взорваться может, стирлинг слишком сложный и слабый, да и дров у меня нет. Одна проблема, до ближайшей к моему поселку реки 14 километров. Но я думаю протянуть провод. По дереву я работать умею, деревянные детали смогу сделать. Копать я тоже умею, даже лучше чем все остальное. Установлю на реке систему ОПа, а от генератора протяну до дома провод.
Аноним 12/02/16 Птн 13:12:56 147414 187
>этот тред
Ты опечатался в слове тред, там надо "б"
>паяльника нет
котлы не паяют, а варят из железа, в крайнем случае клепают. От взрыва тебя спасет предохранительный клапан. А вместо паровой машины лучше турбину, гораздо проще и эффективнее.
> Копать я тоже умею, даже лучше чем все остальное
сомневаюсь, что ты даже копать умеешь. Ты лопату в руках хоть раз держал, диванный?
>протяну до дома провод.
Подсчитай, во сколько тебе обойдется провод длиной в 14 км, и сколько на нем будет потерь.
Аноним 12/02/16 Птн 13:17:47 147415 188
42Кб, 389x390
389x390
>>147403
А нахуя мне котел на 5 атмосфер? Можно найти кислородный баллон и приспособить под котел. Рабочее давление 150 -200 атмосфер. Даже паять ничего не нужно.
Аноним 12/02/16 Птн 20:47:23 147423 189
43Кб, 722x585
722x585
>>147415
площадь теплообмена, на оппике видишь там трубки, это для теплообмена и чтобы не прожигать сам котел.
Второе 200 атмосфер в легкую превратятся в 50 при повышении температуры, так как прочность падает.
такчто будь на безопасной стороне, 10ка и ок.
12/02/16 Птн 20:55:44 147424 190
>>147423
Так паровозной мощности котел не нужен. Понятно, что допустимое давление с ростом температуры падает. Я бы не рискнул поднимать давление пара в таком баллоне выше 20 атмосфер. Зато с большим запасом прочности. Еще обязательно должен быть установлен предохранительный клапан.
Аноним 13/02/16 Суб 04:57:52 147433 191
>>147414
Ты какой-то наивный или слишком толстый.
>>147409
>>147408
>>147407
Это все обиженый паец, а не ОП.
Аноним 13/02/16 Суб 05:03:10 147434 192
Нащет копания колодцев и ям - не сложнее чем паять котлы.

http://www.youtube.com/watch?v=SkqOl0qUKQo

А вот тут целый сериал - выкопали яму глубиной 7 футов(2 метра).

http://www.youtube.com/watch?v=u_QI-xSA_ig
http://www.youtube.com/watch?v=zuCvWFsXz9M
http://www.youtube.com/watch?v=E3Zp-7zpg1s
http://www.youtube.com/watch?v=H7PDVF9ipVQ

К 4-му видео
with the work involved, we can do about 2 ft a day, between the digging, hauling material out, cribbing the shaft and washing the gravels,
Правда у них и бензопила была.

Аноним 13/02/16 Суб 05:14:00 147435 193
278Кб, 792x433
792x433
271Кб, 766x419
766x419
Аноним 13/02/16 Суб 06:16:46 147436 194
>>147435
У тебя негры есть?
Аноним 13/02/16 Суб 20:01:01 147472 195
>>147436
Когда наступит БП, народ и за корку хлеба работать согласится. Подъеб не засчитан, обиженка
Аноним 13/02/16 Суб 20:35:16 147479 196
>>147472
ты и есть народ и таки да, будешь работать за паёк,
а если предложишь надзерателю построить свою ебалу, то будешь копать по ночам вместо сна и еще тебя будут при етом пиздить те кого тебе в помошники назначат
Аноним 13/02/16 Суб 20:48:28 147481 197
>>147479
Да никто и не будет делать ОПовскую ебалу, даже при наличии негров. Какая-то дебильная идея поехавшего школьника. Нахуя, спрашивается, копать колодцы, если проще сделать водяное колесо? Мне-то оно нахуй не нужно, поблизости ни одной реки в радиусе 40 км.
Аноним 14/02/16 Вск 05:15:42 147498 198
>>147481
>поблизости я не знаю ни одной реки в радиусе 40 км.
Пофиксил тебя. Если ты чего-то не знаешь, не видел, не слышал - это не значит что этого нет в природе.
Аноним 14/02/16 Вск 11:12:51 147506 199
>>147498
Анон узнал, что в 10 км от его дома протекает речка шириной 20 метров и перепадом 10 см на км. Ему переносить к этой реке свой дом, или тащить кабель? Хватит ли такого перепада для пневмогидрической электростанции?
Аноним 14/02/16 Вск 11:14:29 147507 200
>>147498
Повторю вопрос, заданный анонами уже в 100500тый раз, чем предложенная конструкция лучше водяного колеса? На этот вопрос так и не был дан ответ.
Аноним 14/02/16 Вск 12:24:07 147511 201
>>147507
Не ломается, холодный сжатый сухой воздух, которому можно найти уйму применений, стелс.
Аноним 14/02/16 Вск 13:18:14 147514 202
>>147511
Не убедительно
>Не ломается
Ты хочешь сказать, что система в которой много деталей, надежнее, чем система в которой деталей мало? Взять хотя бы износ деревянных деталей поршневой, дерево сильно реагирует на изменение влажности, разбухая и усыхая, поршень то будет болтаться, то клинить. Водяное колесо значительно проще, вода непосредственно крутит вал, без посредников в виде сжатого воздуха и поршней. Чем меньше звеньев в передаче энергии, тем выше КПД. и надежность.
>холодный сжатый сухой воздух
Мне в БП больше всего будет его не хватать, согласен.
>стелс
Самый неубедительный пункт. А свое жилье возле реки ты тоже замаскируешь? Землянку выкопаешь?
Аноним 14/02/16 Вск 14:10:50 147517 203
>>147514
Там ломаться нечему. Высоких температур нет, входящий воздух очень сухой. На колесе ты просто используешь воду, а на поршне - воздух под давлением. Когда твое колесо сломается, то тебе придется его доставать, тащить до места и ремонтировать, а поршневой двиг ты сможешь отремонтировать на месте.

>Мне в БП больше всего будет его не хватать, согласен.
Я тебе про это и говорю. Воздух - сила. К тому же та хуевина еще и на отсос работать может.

>Самый неубедительный пункт. А свое жилье возле реки ты тоже замаскируешь? Землянку выкопаешь?
Если сможешь найти прочные трубы, то сможешь передавать воздух по ним.
Аноним 14/02/16 Вск 15:00:49 147520 204
>>147517
>Там ломаться нечему
По твоему, трущаяся пара поршень-цилиндр с кривошипо-шатунным механизмом (плюс еще золотниковый или клапанный механизм воздухораспределения) надежнее деревянного колеса с лопатками?
>входящий воздух очень сухой
Кто его сушил?
>На колесе ты просто используешь воду, а на поршне - воздух под давлением
Что проще?
>Если сможешь найти прочные трубы, то сможешь передавать воздух по ним.

Ты подъебывал анона, который тащил за пар, где он возьмет трубы. То есть для паровика ему придется паять трубы из жести, а для пневматики готовые прочные и длинные трубы появятся по мановению волшебной палочки?
Аноним 14/02/16 Вск 15:25:29 147529 205
>>147520
>По твоему
Да.

>Кто его сушил?
Вода.

>Что проще?
Поршень.

>готовые прочные и длинные трубы
Под словом "прочные" я имел в виду "способные держать 4 атмосферы и не развалиться, в том числе от погоды".
Аноним 14/02/16 Вск 15:30:49 147534 206
>>147529
>Да.
Вижу, тебе больше нечего сказать.
>Вода.
Сушит. Вода. Мда...Советую запатентовать это, а лучше подать заявку в Нобелевский комитет.
14/02/16 Вск 15:35:59 147536 207
ААА!!!! На EW завелся мерзкий адекват!!!! Баним паразита, пока он все манямирки не поломал!!!
Аноним 14/02/16 Вск 15:41:50 147537 208
>>147536
ты попутал, в ев только адекваты и сидят
14/02/16 Вск 15:49:23 147538 209
>>147537
Если адекваты сушат воздух водой, то кто же тогда неадекваты?
Аноним 14/02/16 Вск 15:51:32 147539 210
41Кб, 500x472
500x472
>>147538
он то нюфаг, ему можно
14/02/16 Вск 15:55:36 147541 211
>>147539
Сушить воздух водой, или быть неадекватом? (что одно и тоже, в принципе)
Аноним 14/02/16 Вск 16:07:31 147544 212
>>147536
цьома нинада,не рвись
Аноним 14/02/16 Вск 16:08:04 147545 213
>>147541
вот взял бы да обьяснил ему на примере срущей жопы, вместо того чтоб рваться и сагать
Аноним 14/02/16 Вск 16:22:31 147552 214
>>147545
Если анон утверждает, что деревянный пневматический двигатель проще и надежнее водяного колеса, а вода сушит воздух, то такому без толку что-либо объяснять.
Аноним 14/02/16 Вск 16:28:33 147554 215
>>147552
зато тред почти до лимита довели
14/02/16 Вск 16:51:23 147563 216
>>147554
Ну поздравляю, чё.
Аноним 14/02/16 Вск 23:22:27 147584 217
система имеет право на жизнь,но сложна.упростить надо
Аноним 15/02/16 Пнд 04:48:33 147592 218
55Кб, 831x541
831x541
>>147552
> анон утверждает
>вода сушит воздух
>анон утверждает
The air transmitted from Ragged Chute was much drier than it was before compression because the water temperature was so cold it condensed the moisture in the air bubbles while still in the intake shaft. The condensation then remained with the water when the air-water mixture separated. The low humidity of Ragged Chutes air was one of the most remarkable features of the plant.
http://cobalt.ca/ragged-chutes/

>анон утверждает
Аноним 15/02/16 Пнд 04:54:28 147593 219
>>147517
>, а поршневой двиг ты сможешь отремонтировать на месте.
Можно вообще напилить таких пару штук про запас - жрать не просят.

>Я тебе про это и говорю. Воздух - сила.
Кстати да. Когда электричество накроется - сгорят все запасные генераторы, сотрутся графитовые щетки - придется пилить воздушную сеть вместо электрической - то есть буквально кидать трубы и вести их до потребительных механизмов, ну там пила, молот или дрель.

А вот с водяным колесом так не получится и с паровым двигателем тоже - придется приделывать паровик к каждому механизму.
Аноним 15/02/16 Пнд 04:56:33 147594 220
>>147517
>Если сможешь найти прочные трубы,
А зачем их искать?
Для 0,5 атм трубы можно делать из дерева.
Аноним 15/02/16 Пнд 04:56:57 147595 221
>>147507
>, чем предложенная конструкция лучше водяного колеса
Всем.
Аноним 15/02/16 Пнд 04:57:34 147596 222
>>147514
> А свое жилье возле реки ты тоже замаскируешь?
А свое колесо на реке ты как замаскируешь? Под воду утопишь?
Аноним 15/02/16 Пнд 07:47:47 147602 223
>>147596
можно и под воду, кстати
Аноним 15/02/16 Пнд 09:29:45 147606 224
>>147593
>>147584
>>147602
Ну не семени, смешно же
После твоих слов об осушении воздуха водой и о том что поршевая система проще водяного колеса, ты можешь здесь больше ничего не писать, ты обосралась, манька.
15/02/16 Пнд 10:01:33 147608 225
Манька обосралась, но продолжает утверждать, что это шоколад.
>способные держать 4 атмосферы
>0,5 атм трубы можно делать из дерева.
Ты уж определись, 4 атмосферы или 0,5. Кстати, чем бревна вдоль будешь сверлить? И ещё, пневмоинструмент требует давления сжатого воздуха как минимум 6 атмосфер, ты будешь закачивать в деревянный баллон? Твой колодец столько даст? Ты вообще хоть инструменты в руках держал, или видел только на картинке? Пневмоинструмент изнашивается быстрее, чем электро.
>то есть буквально кидать трубы и вести их до потребительных механизмов, ну там пила, молот или дрель
Деревянные трубы из просверленных вдоль веток? На 0,5 атмосфер?
>сгорят все запасные генераторы
Тебя еще переживут. В режиме генератора можно запустить любой асинхронный двигатель, там даже щеток нет.
Аноним 15/02/16 Пнд 11:02:13 147612 226
Аноним 15/02/16 Пнд 14:37:17 147616 227
Обратил внимание на этот тред. Внимательно прочитал и попытался понять идею ОПа. Как я понял, (поправьте меня, если ошибаюсь), для функционирования этой системы нужен перепад воды, то есть один колодец выше по течению, другой ниже. Давление получаемого воздуха зависит от перепада уровней воды. Большинство рек не имеют больших перепадов, там считанные сантиметры на километр. У горных речек с этим гораздо лучше, но горная местность далеко не везде. То есть, как справедливо заметили аноны выше, на равнинной местности это работать не будет. Прокомментируйте, уважаемый ОП.
Аноним 15/02/16 Пнд 20:09:23 147631 228
>>147616
Сука ебаные адекваты как вы меня заебали идите нахуй с моего треда со своими вопросами
Аноним 16/02/16 Втр 00:59:20 147649 229
>>147616
>поправьте меня
Поправляю.

>этой системы нужен перепад воды
Перепад нужен для того чтоб вода текла. Если перепада нет, то это не река/ручей, а озеро.
Для производительности важен расход воды. На горной речке с уклоном 100 промилле и с расходом 0,1 куб.м/сек производительность будет 50 литров сжатого воздуха(например, от фонаря). А на равнинной же речке с уклоном 0,5 промилле и расходом 2 куб.м/сек производительность будет уже 1000 литров сжатого воздуха(если размеры устройства позволят)

>то есть один колодец выше по течению, другой ниже
Можно и один колодец, но выходящий поток воды должен иметь высоту меньшую чем входящий. Вода должна втекать и вытекать.

>>147616
>Давление получаемого воздуха зависит от перепада уровней воды.
Нет.
Давление воздуха зависит от высоты водяного столба. Ты физику не учил штоле? Опыт Торричелли не помнишь?



Аноним 16/02/16 Втр 01:04:54 147650 230
>>147602
>можно и под воду, кстати
Не представляю как.
Аноним 16/02/16 Втр 01:18:01 147651 231
10Кб, 800x600
800x600
>>147608
>Кстати, чем бревна вдоль будешь сверлить?
Зачем сверлить? У тебя есть сверло нужного диаметра и нужной длины?
Религия запрещает расколоть бревно клиньями(из дерева , кстати), выбрать древесину по середине, сложить и обвязать веревкой.
Аноним 16/02/16 Втр 05:24:16 147653 232
>>147651
>клиньями(из дерева , кстати)
>обвязать веревкой.

жилами тогда уж
Аноним 16/02/16 Втр 05:33:38 147654 233
А как зимой все это дело работать будет? Воздух же ниже нуля, будет морозить воду и забивать основную трубу?
Аноним 16/02/16 Втр 08:15:08 147657 234
>>147653
Что будет под рукой- тем и связывать.

>>147654
> Воздух же ниже нуля
И?

>будет морозить воду
Не будет.
1 куб воды весит 1000 кг, 1 куб воздуха весит 1, 2 кг. Теплоемкость воды и воздуха смотри в гугле и там же формулу и считай.
Аноним 16/02/16 Втр 08:43:18 147658 235
>>147657
Тогда нормич, можно будет даже этот воздух в лачугу подавать прямо в печь.
Аноним 16/02/16 Втр 10:58:21 147659 236
Все это интересно, но какая сила будет возвращать воду обратно в реку? Что-то на перпеттум мобиле похоже извиняюсь за страшные слова.
Ты сможешь идеально ровно расколоть бревно вдоль? Такая труба будет безбожно сифонить из всех щелей.
Ну не семени ты так, смешно же
Аноним 16/02/16 Втр 11:02:42 147660 237
>>147659
>но какая сила будет возвращать воду обратно в реку
Сила тяжести.
Во входящем колодце столб воды выше(хотя бы на сантиметр), а значит и весит он больше.


>Ты сможешь идеально ровно расколоть бревно вдоль?
А надо идеально?
Аноним 16/02/16 Втр 11:42:43 147665 238
>>147660
Я живу возле Волги. Ну как возле, в километре где-то. На всем протяжении от истока до устья перепад высоты около 250 метров. Можешь погуглить. Учитывая ее длину, на километр выходят жалкие миллиметры. Какое нужно расстояние между колодцами, чтобы получать сжатый воздух?
Аноним 17/02/16 Срд 10:25:45 147692 239
>>147665
>. На всем протяжении от истока до устья перепад высоты около 250 метров.
Я знаю.

> на километр выходят жалкие миллиметры.
Волга течет? Течет.

>>147665
>Какое нужно расстояние между колодцами
Такое чтоб в один вода вливалась, а из другого изливалась.

>чтобы получать сжатый воздух
А это зависит от глубины колодца и к перепаду высот на реке имеет опосредованное отношение.

И про притоки Волги не забывай(али выживать собрался в своей хрущевке?)

Аноним 17/02/16 Срд 11:40:19 147693 240
А ведь вода в колодце, диаметром в метр и высотой в пять весит аж пять тонн.
Аноним 19/02/16 Птн 10:40:18 147726 241
>>147665
Нижегородец закукарекал! заместо авроры
Аноним 20/02/16 Суб 10:34:52 147757 242
Вырыть колодец в пять метров можно даже в одного.
Вот пруф(там даже фоточки есть) http://www.otchelniki.ru/colodec_svoimi_rukami_steny_iz_betona.html

>Еще осенью я начал рыть прямоугольную яму размером 1*1,4м, не торопясь вырыл 4,2м и благополучно оставил зимовать эту яму. Весной обнаружил что стенки ямы обрушились и ее засыпало на 1,2м, было жалко, столько труда засыпало, но надо было думать из чего делать шахту. Сначала хотел делать деревянные стенки из бревен как в старину люди делали, но столько бревнышек примерно одинаковых и более менее ровных просто взять негде, леса нет, а в ближайших лесопосадках все кривое, неподходящее.

Аноним 20/02/16 Суб 10:36:25 147758 243
186Кб, 600x450
600x450
>>147757
>пик
>Вид изнутри наверх, высота уже приличная, сейчас 6,2 метра. Внутри довольно темно, особенно когда на верху яркое солнце, поэтому провел свет, стало гораздо лучше со светом, особенно когда сверху ловишь веревкой наполненные ведра. Я сначала наполняю ведра грунтом, а далее поднимаюсь на поверхность и ловлю душки ведер крючком на веревке и вытягиваю наверх.
20/02/16 Суб 11:59:35 147760 244
продолжай, всем же так интересно
Аноним 20/02/16 Суб 21:22:02 147793 245
>>147606
от ты манда тупая,всех до кучи сгрёб и обвинил в семёнстве.ой биздес
Аноним 20/02/16 Суб 22:13:01 147794 246
161Кб, 461x480
461x480
>>147793
Так ты же главный семен тут гидропедрический. Никому твоя гидропедрическая хрень не интересна, только глумятся с тебя. Иди колодцы копай.
Аноним 21/02/16 Вск 01:49:21 147808 247
88Кб, 500x878
500x878
>>147658
>даже этот воздух в лачугу подавать прямо в печь.
Так тромпу в Испании для этого и изобрели - подавать воздух в кузнечный горн.
Но в тромпе воду в верхнюю бадью носили в ведрах, а я предлагаю поместить эту тромпу в колодец и вода самотеком будет в не затекать.

Еще раз ссылка на тромпу http://www.metalspace.ru/history-metallurgy/tom2/water/158-trompa-vodotrubnaya-vozdukhoduvka.html
Выше >>147060 >>147061 я уже упоминал ее.
Аноним 22/02/16 Пнд 03:02:04 147828 248
>>147757
> Осталось лишь купить цемент и вперед, что я и сделал.
В постБП цемента не будет, поэтому анона спасет гидравлическая известь
Гидравлическая известь — продукт умеренного обжига (не до спекания) мергелистых известняков, содержащих от 6 до 20 % глинистых примесей. Гидравлическая известь имеет свойство затвердевать не только на воздухе, но и в воде
https://ru.wikipedia.org/wiki/%D0%93%D0%B8%D0%B4%D1%80%D0%B0%D0%B2%D0%BB%D0%B8%D1%87%D0%B5%D1%81%D0%BA%D0%B0%D1%8F_%D0%B8%D0%B7%D0%B2%D0%B5%D1%81%D1%82%D1%8C

То есть перед обжигом известняка в него надо добавлять некоторый процент глины.
Пока что не нашел технологию приготовления этой самой извести, но предположу диванно:
Известняк перед обжигом надо дробить до некоторого размера(например до размера грецкого ореха или куриного яйца). Далее эти куски смешивать с глиной, сушить полученную смесь и только потом обжигать.
А дальше как обычно - заливать известь водой, размешивать, добавлять в нее песок и камни и засыпать в опалубку или строить стенку из каменьев.
Аноним 22/02/16 Пнд 18:34:23 147833 249
>>147794
ты наебалась мусорша факаная
Диванная гидрология Аноним 23/02/16 Втр 03:57:09 147920 250
613Кб, 1110x664
1110x664
368Кб, 1140x661
1140x661
50Кб, 834x248
834x248
Беру наугад реку в России, например безымянную реку/ручей в Белгородской области в 20 км к ю-ю-з от Белгородарядом с селом Никольское - пик1.

Далее измеряю площадь водосборного бассейна - до плотины. Вышло примерно 21 кв. км
Пик2

Далее открываю вики и ищу статью про Белгород - интересует количество осадков.
В течении года они выпадают более менее равномерно и общее количество их 605 мм(0,6 м)
Пик 3

Щитаю количество воды, выпадающей в течении года на площади водосборного бассейна
21 млн. кв. м х 0,6 м = 12,6кк куб. м воды в год
В день будет 12,6кк/365,24 = 34497,86 куб. м
В час будет 34497,86/24 = 1437,41 куб. м
В секунду будет 1437,41/3600 = 0,399=0,4 куб. м
Испарение и проникновение в более глубокие слои не учитываю - расчеты диванные жи.

Ту би континью...
Аноним 23/02/16 Втр 04:09:40 147921 251
173Кб, 1074x649
1074x649
588Кб, 1119x637
1119x637
240Кб, 1101x648
1101x648
353Кб, 1147x666
1147x666
>>147920
Продолжевание

В прошлой серии мы вычислили диванный расход воды в данной безымянной реке-ручье.
Получилось 0,4 куб.м/сек то есть 400 литров в секунду.

На той реке есть плотина. Потому и выбрал - для наглядности, щтоб показать анотошкам нерациональность плотин на равнинных реках-ручьях.

Плотина имеет ширину около 204 метров -пик 1.
По подошве имеет толщину около 36 м - пик 2. Но не настаиваю , может и 30м. На самом деле подошва плотины ширее гораздо более - я подводную часть ее не замерял, а плотины обычно строят с трапецеидальным профилем.
Но не суть.

Позади плотины пруд, длиной 1288 метров -пик3.
Уже имеются некоторые преставления о влиянии плотины на реку.

Надо вычислить высоту плотины, примерную глубину, и прочая.

Есть одна тянгоризонталь . Вру их две 120 и 160 метров над уровнем моря(в гуглокартах расстояние м/у горизонталями на масштабе 1:50000 как раз 40 метров.)

Надо выщитать на сколько изменяется высота с расстоянием.
Пик4 - расстояние м/у горизонталями (120 и 160 м) по руслу реки.
Получилось 6422 метра.
То есть уклон 40/6422 = 0,0062 или 6,2 м на км. Или на 1 м через 161м.

Продолжение последует...
Аноним 23/02/16 Втр 04:38:29 147922 252
231Кб, 1148x643
1148x643
36Кб, 800x645
800x645
>>147921
Продолжаю далее

В прошлой серии я вам показал на сколько меняется высота с расстоянием.
В этой попробую высчитать высоту (над у. моря) подошвы плотины и так же высоту (н.у.м) заднего охвостья плотины(кароче того места куда втекает ручей вверху).

Вычисляю.
Расстояние от горизонтали 120 м до плотины 1732 метра - пик1.
Высота меняется на 1 м через каждые 161 м расстояния
>>147921
>Или на 1 м через 161м.

Значит 1732/161 = +11 метров выше чем горизонталь 120 м (н.у.м). Или подошва плотины находится на высоте 120+11= 131 м (н.у.м.).

В прошлой серии я замерил длину вот этого пруда выше плотины
>>147921
>руд, длиной 1288 метров -пик3.

На какой высоте (н.у.м) находится охвостье этого пруда?
1288/161 = +8 м
Прибавляю вот эти метры к предыдущим 131 и получаю 139 метров (н.у.м.).
Или иными словами - глубина пруда возле плотины около 8 метров.
И соответственно сама плотина имеет высоту больше 8 метров(метров 10-12, наверное).

Пик2 - диванные расчеты объема грунта в теле плотины.
Получилось около 12 тыс. куб. метров. И это я занизил например высоту -принял ее как 8 метров(хотя плотины всегда выше уровня пруда на пару метров).
И я не стал учитывать ту часть трапеции, что под водой пруда.

Но в данном случае падение воды 8 метров.
А в гугле пишут что микроГЭС будет работать и при 2 метра.
Прикину примерный объем - то есть уменьшу все размеры в 4 раза - диванно упрощаю. 4 в кубе это 64
12000/64 = 187 куб. метров грунта для плотины с падением воды 2 метра.

Антошка надорвется проделать такой объем работ в одного и даже в двоих.

Выше были расчеты объема работ по копанию колодца
>>147151
> Объем грунта 13,5 куб. м, стенки укреплять.

В десять раз меньше.
И это с учетом размеров 1,5 на 1.5 метра, а вот тут
>>147757
> яму размером 1*1,4м
антошка смог развернуться в норе 1 на 1,4 м. То есть объем земляных работ меньше в 1,5 раза.



Аноним 23/02/16 Втр 04:56:04 147923 253
>>147921
>уклон 40/6422 = 0,0062 или 6,2 м на км.
И это немаленький уклон, кстати, а ведь на некоторых реках уклон может быть и 1 к 1000 и 0,5 к 1000.
Соответственно и зона затопления будет в 6-12 раз длиннее и ширинее.

Беру за пример плотину в Белг. об.(уменьшив в 4 раза размеры, ведь высота воды нужна 2 м, а не 8)
То есть ширина плотины: 204/4= 51 метр, толщина 30/4 =7 метров, высота 2 метра, длина пруда 1288/4 = 300м.
На более равнинной местности(с падением 1 к 1000) размеры будут:
ширина 300 м, толщина те же самые 7 метров, зона затопления 1800 метров. Такие вот дела.
23/02/16 Втр 11:01:52 147928 254
13Кб, 480x360
480x360
24/02/16 Срд 14:03:31 147951 255
Ты похож на мою кошку. Она тоже когда поймает мышь, тащит ее в дом, типа посмотри, какая я молодец.
И кладет дохлую мышь на ковер. Я ее обычно ругаю и отправляю на улицу вместе с мышью. Ну что сказать, если ты считаешь свою идею пиздатой, это твои проблемы. Это не значит, что эту ёбань надо тащить на всеобщее обозрение. Тебе нравится копать ямы - копай. Только не неси эту чушь сюда.
Аноним 24/02/16 Срд 15:32:22 147956 256
>>147951
Ты тут не один живешь, уебок. Я поглажу этого кота.
Аноним 24/02/16 Срд 19:13:22 147959 257
>>147951
Так ругаю ее не за то, что поймала мышь, а за то что затащила в дом на палас. Хотя твоя идея это не дохлая мышь, а бесполезное говно.
Аноним 25/02/16 Чтв 04:42:56 147963 258
192Кб, 1200x900
1200x900
Тут выше некий анон с Вогли жалился, дескать у него кроме Волги и нет никаких ручьев.
И я опечалился от такой анонасовой кручины и долго думал и придумал, как помочь анонасу.
Пикрелейтед - тромпа на плоту по середине большой реки.
Не знаю, есть ли в Волге глубины 5-10 метров, но вдруг есть.
Карочи делается плот из бревен(а лучше из деревянных понтонов-коробов) под плотом пущается короб-водовод, заглубленный на глубину нижнего края льда.
В центре плота ставится кессон с воронкой, карочи верхняя часть тромпы.
Над кессоном небольшой домик, чтоб дождем не заливало.
На плоту можно посадить некоторые деревья-ивы, чтоб из далека выглядел как остров.

Нижнюю бочку-воздухоприемник жестко скрепить с деревянными клетками, наполненными камнями. Эти клети можно так же жестоко скрепить с плотом.
Кроме того выше по течению надо затопить несколько клетей с камнями - якорей. И плот привязать к этим якорям.


Аноним 25/02/16 Чтв 06:45:47 147964 259
766Кб, 1076x577
1076x577
>>147963
>Не знаю, есть ли в Волге глубины 5-10 метров, но вдруг есть.
Судя по сайту http://multimaps.ru - есть глубины.
Пикрил - некий город Вольск и возле него ест глубины даже 17 метров, если я правильно уяснил.
Аноним 25/02/16 Чтв 20:03:59 147982 260
19Кб, 300x243
300x243
>>147963
А если поставить на плоту водяное колесо, минуя сжатый воздух? К колесу генератор, вот тебе липездричество, вместо ненужного сжатого (причем хуево) воздуха. Намного проще и надежнее.
Аноним 25/02/16 Чтв 20:11:27 147983 261
119Кб, 1280x811
1280x811
125Кб, 1280x812
1280x812
122Кб, 1175x700
1175x700
293Кб, 1246x1024
1246x1024
Аноним 25/02/16 Чтв 20:12:39 147984 262
106Кб, 501x671
501x671
166Кб, 1280x719
1280x719
389Кб, 1102x1024
1102x1024
766Кб, 1024x1024
1024x1024
Аноним 25/02/16 Чтв 21:08:35 147985 263
Аноним 25/02/16 Чтв 21:26:27 147986 264
>>147985
Он ебанутый. Его обоссали уже везде где только можно.
Аноним 25/02/16 Чтв 21:35:03 147988 265
Вспомнилась карикатура из советского журнала, кажись "моделист - конструктор". Из включенного в розетку электрочайника вырывается струя пара и крутит турбинку с генератором, от генератора запитана светящаяся лампочка. Изобретатель довольный наблюдает свое детище. Тут тоже самое. Энергия воды преобразуется в энергию сжатого воздуха, которая в свою очередь превращается в механическую энергию в пневмодвигателе. Лишние звенья в цепи передачи энергии - лишние потери. КПД пневматических двигателей, особенно низкого давления, сравнимы и даже хуже чем у паровых, которые сами символ низкого КПД. Всегда надо смотреть на свою идею со всех сторон, выискивать в ней недостатки, а не достоинства. Иногда оказывается, что многочисленные недостатки с лихвой перекрывают мизерные достоинства, и овчинка не стоит выделки. Конечно, это некоторый урон для ЧВС, но такова уж судьба изобретателей. Придумай что нибудь получше.
Аноним 25/02/16 Чтв 22:01:57 147990 266
>>147988
Эти недостатки можно у чего угодно найти.
Аноним 25/02/16 Чтв 23:16:36 147994 267
>>147990
Согласен. Какое либо изобретение оценивается не по наличию - отсутствию недостатков, абсолютно идеального ничего нет. А по соотношению достоинств и недостатков. Если взвесить все за и против, то в вашей идее перевешивают недостатки. Сложность, ненадежность, низкий КПД. Увы.
Аноним 26/02/16 Птн 05:19:13 147999 268
>>147982
>А если поставить на плоту водяное колесо,
Поклонник Жюля Верна? Да?

> К колесу генератор,
И он у тебя посыпится через несколько суток - угадай почему?

>Намного проще и надежнее.
В мечтах можно и микро АЭС запилить.

>>147994
>Сложность
Прям сложнее изготовления парового котла? Или сложнее производства водяного колеса?
Аноним 26/02/16 Птн 09:25:00 148003 269
>>147999
>Поклонник Жюля Верна? Да?
А причем тут писатель -фантаст? Читал его лет 20 назад, я уже давно вышел из того возраста. Чем водяное колесо на заякоренном плоту фантастичнее предложенной идеи?
>И он у тебя посыпится через несколько суток - угадай почему?
Что-то не угадываю. Подскажете? Вы всерьез полагаете, что деревянный поршневой двигатель надежнее железного генератора?
>В мечтах можно и микро АЭС запилить.
Это камешек в ваш огород. В мечтах легко копать глубокие колодцы и делать поршневую из древесины.
> Прям сложнее изготовления парового котла? Или сложнее производства водяного колеса?
Не знаю на счет парового котла, не пробовал и не собираюсь. Но водяное колесо по любому не требует такой точной обработки, как цилиндр и поршень из древесины. Там кроме поршня еще есть тонкие детали, вроде клапанов и золотников. Учитывая, что древесина подвержена деформации при изменении температуры и влажности, придется делать слишком большие зазоры, компенсирующие деформацию. Зазоры еще сильнее ухудшат и без того плачевный КПД пневматического мотора. Приведенные в ОП-посте деревянные моторчики - не более чем игрушки, рассчитанные на комнатные условия и не предназначенные для длительной работы под нагрузкой, в условиях переменной температуры и влажности. Молодой человек, вы не смогли аргументированно защитить предложенную систему. Постулат о том, что ваша конструкция проще, надежнее и эффективнее примитивного водяного колеса - ложен и не является неопровержимым доказательством полезности вашей идеи. Такое бывает и с кандидатами наук, не расстраивайтесь и двигайтесь в другом направлении. Удачи.

Аноним 26/02/16 Птн 09:44:27 148009 270
>>147999
>И он у тебя посыпится через несколько суток - угадай почему?
поясни
Аноним 26/02/16 Птн 10:39:25 148012 271
>>148003
>Подскажете?
Нет.

>Но водяное колесо по любому не требует такой точной обработки,
Ага. Если оно будет вертеть жернова, а не генератор.


>>148009
>поясни
Нет.
Аноним 26/02/16 Птн 10:45:19 148013 272
Аноним 26/02/16 Птн 10:56:21 148014 273
>>148003
В пневмопоршень подается сухой холодный воздух - какие тут условия переменной температуры и влажности? Или предлагаешь все это дело на улице держать?
Аноним 27/02/16 Суб 11:10:59 148061 274
>>148014
С хуяли он сухой после контакта с водой?
Аноним 27/02/16 Суб 11:16:47 148062 275
>>148061
По той же причине, по которой и вода в кране шипит.
Аноним 27/02/16 Суб 11:22:42 148063 276
>>148012
Ты слился, хуепутало. Тебе по делу обосновали, почему твоя маняидея - говно.
Аноним 27/02/16 Суб 11:23:34 148064 277
>>148062
Ну пиздец. Если нечего сказать, лучше промолчи.
Аноним 27/02/16 Суб 12:04:50 148069 278
>>148063
Мне плевать на ваши доводы, все равно моя идея крутая, а вы тупые лохи. Идите в жопу.
Аноним 27/02/16 Суб 12:56:10 148073 279
81Кб, 604x604
604x604
>>148069
теперь воплоти её
Аноним 27/02/16 Суб 13:23:20 148075 280
>>148073
Ну и воплощу. Ждите весны, как грунт оттает, буду копать. С меня фотоотчеты. Так что хейтеры соснут.
Аноним 27/02/16 Суб 13:41:41 148076 281
>>148075
заставил меня предвкушать
Аноним 29/02/16 Пнд 09:45:46 148150 282
>>148075
>буду копать. С меня фотоотчеты
Чем будешь стенки укреплять? Деревом или бетоном?


Аноним 29/02/16 Пнд 14:19:25 148152 283
Оп, а как ты копать это будешь?
Аноним 29/02/16 Пнд 19:08:08 148153 284
60Кб, 415x500
415x500
>>148152
отдаст приказ солдатикам
Аноним 01/03/16 Втр 04:03:08 148161 285
>>148152
Спояю паравой икскаватор из консервных банок и буду копать.
Аноним 01/03/16 Втр 08:11:44 148167 286
337Кб, 1200x1200
1200x1200
2010Кб, 2500x2500
2500x2500
>>148161
палю годноту, сразу 2 колодца копать можно
Аноним 01/03/16 Втр 15:38:45 148180 287
>>148167
Годно. Еще нужны такие же, но со стамесками, чтобы деревянные поршни вытачивать, которые в колодец вставлять
Аноним 01/03/16 Втр 15:48:24 148181 288
02/03/16 Срд 01:05:25 148193 289
>>148180
>деревянные поршни вытачивать, которые в колодец вставлять
Паец, ты все никак не успокоишься? Иди паяй паровой котел - БП скоро.
02/03/16 Срд 09:31:08 148199 290
>>148193
Котлы не нужны, они взрываются, я боюсь. Лучше я колодец выкопаю и засуну туда деревянный поршень, это безопасно и халявное электричество можно добывать. Кстате, ты там писал что надо еще жидкий вакуум. Где его нарыть?
02/03/16 Срд 09:33:16 148200 291
>>148193
А ты чо свой тред сагаешь? Стыдно?
Аноним 02/03/16 Срд 10:05:49 148201 292
>>148200
Ввожу в заблуждение Паеца, чтоб он подумал , что пишу не я , а другой анон.
02/03/16 Срд 10:28:40 148202 293
>>148201
А кто такой Паец? И зачем его вводить в заблуждение? Скоро БП, надо скорее колодцы копать, а ты тут сидишь, на Паецев огорчаешься
Аноним 02/03/16 Срд 14:15:41 148203 294
>>148199
>жидкий вакуум
у жидов купи
02/03/16 Срд 18:01:55 148206 295
>>148203
Спрашивал у знакомых жидов, у них нет. И вообще, говорят они, жидкий вакуум не существует. Дал им ссылку на твой тред, они сказали что ты дурак. Извини.
Аноним 02/03/16 Срд 18:18:24 148209 296
Аноним 03/03/16 Чтв 02:38:14 148229 297
>>148202
>А кто такой Паец?
Паец это тот анон, что собрался спаять паровой котел из консервных банок.

>И зачем его вводить в заблуждение?
Для его огорчения же.
03/03/16 Чтв 10:34:19 148231 298
>>148229
Внимательно прочитал весь тред, про консервные банки тут писал только один ОП. Он и есть Паец?
>Для его огорчения же.
Самый огорченный itt это ОП
Аноним 03/03/16 Чтв 23:34:57 148253 299
всё хуита
Аноним 04/03/16 Птн 09:59:36 148268 300
>>148231
>Самый огорченный itt это ОП
он нам еще весной тред с пруфами делать будет - не разубеждайте его раньше времени
Аноним 04/03/16 Птн 14:19:25 148270 301
а ведь в этом есть шото,по сравнению с паровозами газенвагенами и термоэлектро.я в опа верю
Аноним 04/03/16 Птн 16:47:56 148273 302
Аноним 04/03/16 Птн 18:40:41 148280 303
Аноним 04/03/16 Птн 20:00:05 148291 304
161Кб, 461x480
461x480
>>148270
Если уж обосрался, то просто прими это как данность.
Аноним 04/03/16 Птн 22:49:24 148301 305
>>148268
Весна уже наступила. Ждем-с
Аноним 05/03/16 Суб 00:25:17 148307 306
>>148291
Никогда не приму. Это вы обосрались. А моя идея пиздатая. Я вам это все равно докажу
Аноним 05/03/16 Суб 00:29:56 148308 307
>>148291
манькья ты мусорская,ты берега попутала шлюха подментованая
05/03/16 Суб 09:52:52 148317 308
05/03/16 Суб 13:52:39 148326 309
>>148308
Ну скажи, зачем уважаемым сотрудникам правоохранительных органов сидеть на доске школофантазеров и глумиться над маняидеями школьников? У них, по твоему, нет других дел? Ну что плохого в том, что школьник выроет колодец с деревянным поршнем? Ну разве что школьник погибнет от обрушения влажного грунта и его придавит деревянным поршнем. Полиция не может уследить за всеми школьниками, родители тоже должны быть в курсе глупых и опасных идей своих чад, чтобы при случае отговорить от необдуманных опасных действий.
Аноним 05/03/16 Суб 14:08:33 148328 310
>>148326
мне кажэтся, или наш надсмотрщик пригласил сюда своего коллегу?
05/03/16 Суб 15:30:45 148330 311
>>148328
А какой кому-то интерес надсматривать над школьными маняфантазиями?
Аноним 05/03/16 Суб 16:21:26 148333 312
>>148330
мы тут тащемто экстремисты-автономники, школота тут проездом тока
05/03/16 Суб 16:50:57 148335 313
>>148333
Ну и что в вас экстремистского? Кучка диванных мечтателей, да кому вы нужны
Аноним 05/03/16 Суб 17:39:58 148337 314
>>148335
дай подумать:
не хочем поднимать россеюшку скален,
знаем дохуя инфы и живем своим умом.
достаточно для пожизненного срока
05/03/16 Суб 18:52:35 148338 315
>>148337
За этой доской следит не только участковый Петров из Мусохранска, но и другие спецслужбы, ФСЬ, СРY, АНB, совет джедаев, тайное общество супергероев и анономное общество анонимных онанистов.
Аноним 05/03/16 Суб 18:57:41 148339 316
48Кб, 500x373
500x373
>>148338
маловероятно, но неисключено
Аноним 06/03/16 Вск 04:07:26 148357 317
>>148330
>интерес надсматривать над школьными маняфантазиями?
Чтоб не удумали чегонить.
06/03/16 Вск 09:30:56 148361 318
>>148357
Чем могут быть опасны диванные хикке государственной машине? Да абсолютно ничем.
Аноним 06/03/16 Вск 09:35:34 148363 319
>>148361
после крысы, наша государственная машина поехала на своей параное
06/03/16 Вск 09:37:47 148366 320
>>148363
Какой крысы? Я не понимаю, о чем ты. Либераст что-ли?
06/03/16 Вск 13:09:39 148374 321
http://lenta.ru/articles/2016/03/04/bohanet
Еретика наказали за кощунственные высказывания. И поделом. Думать надо головой, прежде чем писать.
Аноним 06/03/16 Вск 14:10:59 148377 322
46Кб, 351x277
351x277
>>148374
мачератор, у нас тут офтоп и ебанат.
примите меры пожалуйста!!!!!!!!!!!!!!!!!!!!!!!!!!!

>Думать надо головой, прежде чем писать

Аноним 07/03/16 Пнд 04:48:56 148397 323
Аноним 08/03/16 Втр 03:43:59 148421 324
>>148397
удвою неадекват в этом треде неадеквата
>>148374
интересная линка, я в шоке
Аноним 08/03/16 Втр 10:03:02 148423 325
>>148421
>я в шоке
у тебя НАЧАЛОСЬ ?
08/03/16 Втр 23:18:52 148436 326
>>148377
А я думаю, что анон хотел вас о чем-то предупредить
08/03/16 Втр 23:20:32 148437 327
10/03/16 Чтв 18:22:38 148534 328
>>146947 (OP)
Ну что, как дела, опущенка? Жопес уже не болит?
Аноним 14/03/16 Пнд 20:14:32 148646 329
при сталине такой хуйни небыло
16/03/16 Срд 00:08:13 148668 330
>>148646
Такой хуйни никогда не было и не будет
04/04/16 Пнд 21:13:03 149448 331
Ну чё хуйлан так быстро потух? Ты еще обещал видеоотчет о копке колодцев. Аноны ждут. Слился?
Аноним 02/07/16 Суб 13:59:32 151016 332
Бапмецки
03/07/16 Вск 18:32:38 151037 333
>>151016
Ну чё, вырыл колодец?
Аноним 04/07/16 Пнд 07:00:24 151046 334
Аноним 04/07/16 Пнд 09:01:23 151050 335
>>146947 (OP)
Ну давай разберем по частям тобою написанное. Складывается такое впечетление что ты реально контуженный на голову дебил который тролирует двач.
Мощность пневматики зависит от температуры газа.
А по закону всяких геев-люсаков, шарлей и бернули, давление/плотность/небоаллах газа умноженный на его, газа, температуру дают константу. Это справедливо для не слишком высоких давлений точно, для сверхвысоких, за 2-50 тыщ атмосфер, в зависимости от газа, имеются НЕБОЛЬШИЕ отступления
А константа означвает что повышая давление газа мы увеличиваем его температуру, а понижая уменьшаем.
А так как по карно максимум энергии который можно извлечь из горячего газа равна разности температур между охладителем и рабочим телом, работа совершаемая газом будет КРАЙНЕ МАЛА. Лучше тогда уже турбодетандер поставить.

Ну и куда же без помпезной расстановки точек.
>ДВС
Говно. КПД в районе 25% и требует специльные топлива и смазки. Плюс топливо до конца не сгорает в нем, ебаный стыд.
>Стирлинг
Самый выгодный вариант, ибо тепловая машина. Можно как ликтричество с него качать, так и замораживать мясо на лето. Все разговоры про огромные объемы и спец материалы возникают только в случае больших движков.
>Паровик
Пан знгает что вместо воды можно использовать спирт, а вместо обычной лопастной турбины турбину тесла?
Аноним 09/07/16 Суб 23:58:57 151152 336
>>151050
>ДВС. Говно. КПД в районе 25% и требует специльные топлива и смазки. Плюс топливо до конца не сгорает в нем, ебаный стыд.
Главный недостаток ДВС это даже не КПД, а требовательность к топливу.
>Стирлинг. Самый выгодный вариант
А вот фиг там, габаритная мощность вообще ни о чем, ватт на килограмм.
>Паровик.Пан знгает что вместо воды можно использовать спирт, а вместо обычной лопастной турбины турбину тесла?
Зачем изъёбываться, когда есть классическая поршневая машина, отработанная веками?
Аноним 29/08/16 Пнд 17:49:12 152023 337
Лол, кароч, нарекаю ОПа ПНЕВМОПИДОРОМ. Неси это имя с гордостью. Будешь терь на одной жёрдочке с Радиопидором из наукача, и Протеиновым Инсайдером.
Алсо, сокращённо тебя будем теперь звать ПП.
Аноним 01/12/16 Чтв 11:59:43 154979 338
Мой тред чуть не утонул. Продолжаем. К сожалению, этим летом я так и не выкопал колодец, 9 месяцев пролежал в психдиспансере. И деревянный поршень сделать не успел, все режущие предметы у меня отобрали. И так, есть река с перепадом уровня воды 10 см на 100 метров. Есть колодец и деревянный поршень в нём. Как мне сделать деревянные трубы от колодца до моей землянки, если до землянки 700 метров, а такие длинные брёвна не бывают? И как просверлить бревно вдоль насквозь?
Аноним 04/12/16 Вск 11:05:25 154998 339
>>154979
Дурик, не кривляйся.
Аноним 05/12/16 Пнд 12:44:44 155027 340
>>154998
Что ты на меня обзываешься? Я и так в этом треде со своим пневмогидрическим двигателем лососнул по самые гланды, аноны меня накормили фекалиями ни за что не про что. Я от расстройства даже в дурку попал. А тут ещё ты обзываешься. Со мною надо сейчас понежнее.
Аноним 08/12/16 Чтв 03:10:51 155072 341
Аноним 01/02/17 Срд 13:35:46 156738 342
На самом деле, офигенная тема. Конечно, готовиться нужно заранее, и удовольствие построить эту установку будет недешевое. Но построив, обеспечиваешь себя постоянной энергией.
Само собой, установка подходит не для всех ландшафтов, например у нас (Шотландия) не пойдет. Здесь под грунтом - гранит, а рек хоть и много и перепад уровней большой, но поток воды маленький т.к. площадь водосбора маленькая.
Да и лесов почти нету для паровика.
Нам тут лучше пойдет микро-ГЭС на каком-нибудь ручье или волновая ГЭС.
Аноним 16/03/17 Чтв 18:33:13 157984 343
14891756572740.jpg 2934Кб, 2448x3264
2448x3264
>>156738
> у нас (Шотландия) не пойдет
Давай ты покинешь нашу уютную обитель нищеты, буржуа обоссаный?
Аноним 16/03/17 Чтв 19:01:14 157985 344
>>157984
на самом деле сколько иммиграх а двачах выживают ты посмотри, на моей памяти поехавший и вернувшийся из норвегии в пахомию да еще и в омск, поехавший изрезавший свою мамку в канаде и пролежавщий там в дурке-тюрячке, и вот этот поехавший шотландец, тоже клиент какого то буржуйского дурдома где провел лето
Аноним 16/03/17 Чтв 19:33:00 157990 345
>>157985
Но 90% живет в хрущах с прошлым пикрилом. Притом пик моего сообщения это ориджинал. Я это 7 месяцев в году вижу. Средняя полоса при том. В Сибири бы так сидел все 9.
Аноним 16/03/17 Чтв 20:08:12 157992 346
>>146947 (OP)
>ДВС не годится
Ну ладно. Соглашусь.
>Паровая машина не годится
Почему?
>Стирлинг не годится
Почему? Он невероятно прост и может развить мощность, достаточную для его применения в пр-ве(До 5лс вроде бы).
Аноним 16/03/17 Чтв 20:15:22 157993 347
>>157992
Проебал.
По стирлингу: Пункт с коррозией хуйня, можешь уносить. С размерами тоже. Тебе какая мощность нужна? Сейчас что-нибудь двузначное забабахаешь, так? Прочность тоже уноси. Подкидывание топлива это не проблема. Про навыки - гораздо меньшие, чем для ДВС и Парового. Коль учился на гумуса, то страдай. В ПТУ идти надо было. Если что, то Петрович за отсоса и бутыль водки тебе его по чертежу сделает. Обслуживание вообще хуйня. Смазать, да заменить. Я же говорю - идеальный двигатель.
Теперь по паровику:
Навыки и постройка - твоя проблема, ИСКЛЮЧИТЕЛЬНО твоя. Бригада слесарей под предводительством инженера с парой чертежей сделает тебе паровик на раз-два. Даже без чертежей можно, на сотни л.с. никто и не претендует. Подачу топлива уноси, это тоже не значительно. Материалы тоже хуйня, ты там опять фантазируешь по нииебические требования к сталям в паровых котлах? Про опасность - рассчитывается по сопроматам и прочим вещицам, выведенным и созданным кучу лет назад.
Аноним 16/03/17 Чтв 20:18:59 157994 348
>>146947 (OP)
Алсо - "Нужны навыки для обслуги ДВС"
Если ты такой рукожоп, то готовься умирать или сосать у Василичей за тепло и еду.
Аноним 17/03/17 Птн 09:06:46 158008 349
>>157993
>. Тебе какая мощность нужна?
Явно не 1 ватт и даже не 10, а минимум 762Вт(т.е. лошадинную силу), на самом деле больше чем 762 - ибо надо компенсировать потери-значит 1500 Вт.

>>157992
>Почему?
Потому что невозможно построить на коленке в сарае движок мощностью 1500 Вт.

>Почему?
Потому что самодельная паровая машина это как граната в масштабе 100 к 1.

>>157993
>. С размерами тоже.
Ага, раз сумел построить стирлинг из алюминиевой банки то запосото построишь стирлинг из газового баллона.


> по нииебические требования к сталям в паровых котлах?
Делай из консервных банок - так безопасней -будут рваться раньше чем в них накопится достаточно энергии на отрывание рук-ног.

>>157994
> "Нужны навыки для обслуги ДВС"
Ты чем питать будешь свой двс в постбп? А смазывать чем? Свиным салом?
Аноним 17/03/17 Птн 11:23:14 158017 350
>>158008
> Свиным салом?
телеги мазали норм было, в остальном согласен
Аноним 17/03/17 Птн 15:04:26 158031 351
>>158008
>1 л.с
Более чем достижимо при минимальных навыках рабочих профессий и чертежах. Печь + воду на другой цилиндр.
https://www.youtube.com/watch?v=XMuxPEh-ozA
>Невозможно
Возможно, если ты руками работать умеешь. Гумусы страдают. Да, нужны станки, но коль ты их не имеешь, то забудь про двигатели.
>Граната в масштабе 1 к 100
И что? Ну, коль не можешь посчитать\встроить страховочные системы, то держи подальше от места сна и т.п. Костер тоже опасен, тащемта.
>Алюминиевой банки, баллон
Самому выточить не судьба?
https://www.youtube.com/watch?v=JEDWr8t_R6A
Тут навыков на 2-3 разряд токаря. Работы минимум. Двигатель прост до безобразия. Главное допуски не просрать.
>Консервные банки
Литейных цехов ни на одном заводе твоего города нет? Выживешь только ты?
>Питать
Ничем, да.
>Смазывать чем
>Салом
Может быть.
Аноним 17/03/17 Птн 16:48:15 158038 352
Аноним 17/03/17 Птн 16:48:34 158039 353
>>158038
20-30 км\ч там есть.
Аноним 28/09/17 Чтв 11:52:21 162427 354
Бамп
Аноним 05/02/18 Пнд 07:46:47 164175 355
Аноним 06/02/18 Втр 07:10:00 164176 356
page0069.jpg 247Кб, 1000x1623
1000x1623
page0070.jpg 236Кб, 1000x1622
1000x1622
page0071.jpg 218Кб, 1000x1634
1000x1634
Нахер поршни, рулят шланги!
Аноним 06/02/18 Втр 15:50:59 164179 357
ккк5.png 4Кб, 640x400
640x400
>>164176
У тебя есть скан этого приложения к ЮТ где там типа моделька машины которая управляется (поворачиват вправо-влево) ниткой между двумя катушками, и нитка двигает рычаг, который двигает руевые колеса. Оче нужно.
Не могу найти.
Примерно пикрелетед. по памяти
Аноним 25/03/18 Вск 05:51:53 164493 358
>>146948
>И давление для работы требуется небольшое - хватит и пол-атмосферы. П
Хватит и четверти атмосферы, давление в котле двигателя Уатта 0,27 атм:
....Watt engine (around four pounds per square inch)http://www.cornish-mining.org.uk/delving-deeper/engines-and-steam-technology
4psi=0,27atm
И ничего - работал и даже профит приносил.

>главное размеры выдержать.
Кстати, размеры можно прикинуть, взяв за основу тот же движок Уатта, пропорционально уменьшив или увеличив их.

>>146950
>какова производительность воздуходуйки.
На примере гидравлического компрессора Тэйлора в г. Магоге можно представить в общих чертах производительность и размеры
https://commons.wikimedia.org/wiki/File:Taylor_hydraulic_air_compressor_at_Magog.png

Написано в описании под картинкой:
Flow of water, cubic feet, minute 4292 - Поток воды 4292 куб.фут/мин или 121,5 куб.м/мин или 2куб.м/сек
и далее:
Cubic feet compressed air per minute, reduced to atmospheric pressure 1148 - Объем сжатого воздуха(приведенного к атм. давлению) 1148куб.фут/мин или 32,5 куб.м/мин = 0,54 куб.м/сек

Соотношение поток воды/количество воздуха = 4292/1148 = 3,74 к 1 или 4 к 1 округленно. То есть каждые 4 куба воды засасывают 1 куб воздуха.

Аноним 01/04/18 Вск 14:07:14 164505 359
>>147060
>>147059
>>146951
>>146949

бляяя, ну и уёбки-то, физику в школе не проходили ещё? Воду вы будете руками ведром вычерпывать, что ли? Больше энергии уйдет на перенос воды, чем на энергию условно "полученного" воздуха.
Аноним 01/04/18 Вск 15:12:03 164506 360
>>164505
>физику в школе не проходили
ты жэ знаешь, что нас спциально так обучают? чтоб ты тока циферки смотрел и не понимал нихуя
Аноним 02/04/18 Пнд 09:00:56 164508 361
>>164505
> физику в школе не проходили ещё?
>гуммонитарий решил высказать свое фе инженерам
>закономерно обосрался

Cюда смотри, чудик --- >>164493
>https://commons.wikimedia.org/wiki/File:Taylor_hydraulic_air_compressor_at_Magog.png

Перед тем как раззевать свой невежественный рот - почитай что тебе пишут, и на кого ссылаются.
Аноним 02/04/18 Пнд 09:41:06 164509 362
>>164508
>раззевать свой невежественный рот
если ето такая ахуенная хуйня, хуле она не применяется?
алсо, прежде чем кукарекать за пневмогидравлику, ты нам должэн выкопать рабочий прототип как обещал а позапрошлом году
Аноним 16/04/18 Пнд 10:37:25 164646 363
>>164509
Так я начинал копать, но не успел, на 3 месяца в больницу угодил, потом школа, потом подготовка к ЕГЭ. Некогда было. Анончик, сделай по моим чертежам, должно работать. Спасибо мне скажешь когда наступит БП.
Аноним 02/05/18 Срд 23:23:44 164727 364
>>146947 (OP)
>ОП-пост
Перескажу вкратце - "Я ебучий ссыкливый рукожоп, но жить хочется.".
Аноним 24/01/20 Птн 16:40:56 169155 365
Энергия в будущем очень понадобится
бункер-кун 29/09/22 Чтв 04:57:04 181698 366
Бамп годному треду
Аноним 29/09/22 Чтв 15:33:36 181702 367
>>146947 (OP)
А просто печку затопить не варик?
Аноним 23/11/22 Срд 22:41:04 182018 368
Автоаккум, выпрямитель, электромотор, редуктор, редуктор, редуктор, грузико на верёвочке.
Больше высота, серьёзней редукторы, тяжелей груз. Тены электроплиты/обогревателя может и не потянет но на электронику и диодное освещение хватит.
Аноним 29/11/22 Втр 06:05:22 182026 369
>>182018
>редуктор, редуктор, редуктор, грузико на верёвочке.
>Больше высота, серьёзней редукторы, тяжелей груз
Посчитаем.
Груз 10кг, высота 2 метра.
Энергия =массавысотажэ=1029,8=196Дж
или 0,054 Втч

Пауэрбанк ёмкостью 10000 мАч, при напряжении 1,5 В это 15 Вт
ч.

То есть чтоб зарядить этот павербанк тебе надо будет поднять 10 кг гирю 15/0,05=300 раз.
Аноним 29/11/22 Втр 06:05:48 182027 370
тест
Аноним 29/11/22 Втр 06:08:08 182028 371
>>182026
>Груз 10кг, высота 2 метра.
Энергия =массавысотажэ=1029,8=196Дж
или 0,054 Втч
Фикс:
Энергия=масса×высота×жэ=10×2×9,8=196Дж
Аноним 08/12/22 Чтв 07:57:01 182049 372
>>182028
Пааади. Но не проще ли тогда свою тушку поднимать? Возьмём жирного 100кг анона, и он будет по лесенке ходить на третий этаж, а спускаться на лифте с динамой. Масса увеличилась в 10 раз, высота в 3.
То есть подняться на третий этаж нужно будет лишь 10 раз для полной зарядки. Охуенно же.
А ещё лучше коровку водить тогда и двух-трёх раз хватит
Аноним 08/12/22 Чтв 08:44:07 182050 373
>>182049
>ещё лучше коровку водить тогда и двух-трёх раз хватит
Коровку в беличьекоровечье колесо с динамо-машиной на валу.
Аноним 08/12/22 Чтв 09:28:47 182051 374
>>182050
Я где-то даже видел подобные прототипы. Правда там использовалось не колесо, а дорожка под уклоном.

Удивлён, что выживач смотрит в сторону двигателей, которые в случае БП будут создавать немалые трудности на сроке в 10-20 лет, а не на возврат к тягловому скоту и дровам для отопления.

Двигатели хуигатели хороши сейчас, когда нет проблем добыть свечу, ремень, масло и прочую поеботу. Но при бп - скот рулит. Т.к. обновляется и из расходников только хавка. Учитесь на конях ездить!
Аноним 08/12/22 Чтв 10:03:50 182053 375
>>182051
>двигателей, которые в случае БП будут создавать немалые трудности
Пневматический двигатель можно собрать буквально из фанеры. И свою лошадиную силу он выдаст.
https://www.youtube.com/watch?v=ngb4SYR74m4
https://www.youtube.com/watch?v=XRmFAopH80o

Вопрос лишь в получении достаточного количества сжатого воздуха.
Аноним 08/12/22 Чтв 10:09:01 182054 376
Аноним 10/01/23 Втр 17:25:38 182098 377
https://youtube.com/shorts/_peXKxW5tGw?feature=share
Если такую хуйню замутить, будет ли она работать на самом деле и тянуть как в видео насос, лампочку и зарядку для телефона? Почему я думаю что мощности не должно хватать?
Аноним 16/01/23 Пнд 17:57:54 182107 378
>>182098
Тебя не смущает, что он вечный двигатель сделал, не?
Даже если отбросим насос - считай. Потенциальная энергия = mgh
У него там за секунду наверное грам 100 воды падает на четверть метра. 25 Ватт если на глаз. Хуёвую лампочку запитать можно. Мобилу запитать тоже можно. Но воду наливать придётся самому.
Вообще эта та же хуйня как с гравитационными лампами, когда груз подвешивают и он спускаясь генерит энергию.
Аноним 17/01/23 Втр 11:04:04 182109 379
>>182107
Как ты отбросишь насос, если это основной двигатель этой системы?
Аноним 27/01/23 Птн 00:11:36 182131 380
>>182109
Анон, ты троллишь чи не?
То, что показано на видео - это вечный двигатель, инстант фейл, и не взлетит.

Работать оно может только если ручками перекачивать воду наверх. И даже в этом случае производит бест кейс сценарио 25 ватт. В реальности - дай бог если 3-5 ватт там будет на потерях, т.к. турбина говно, трение и т.д.
Аноним 27/01/23 Птн 14:53:16 182132 381
>>182131
Так блять я о том, что эта лабуда не будет работать реально. А ты втираешь какую то дичь...
Аноним 27/01/23 Птн 22:48:22 182133 382
>>182132
Я тебе это первым постом написал, а потом рассказал, что будет, если насос убрать а воду наливать самостоятельно.

Трудно с вами.
Настройки X
Ответить в тред X
15000
Добавить файл/ctrl-v
Стикеры X
Избранное / Топ тредов