Главная Юзердоски Каталог Трекер NSFW Настройки

Web-мастера

Создать тред Создать тред
Check this out!
<<
Каталог
Всем доброго времени суток, есть ли тут люди кто шарит за соседние домены, type-in траффик. Суть в т Аноним 05/11/23 Вск 14:08:14 138249 Ответ
IMG0297.MOV 7540Кб, 720x1280, 00:00:20
720x1280
Всем доброго времени суток, есть ли тут люди кто шарит за соседние домены, type-in траффик. Суть в том чтобы создать домен с похожей на оригинальную ссытку типо auto.ru а наш сайт будет avto.ru и так далее. Я вот недавно этой темой занялся и столкнулся с проблемой доменов через точку, типо auto.forum.ru можно ли как-то туда подлезть в оригинальный домен? Регистраторы просто выдают ошибки и все.
Аноним 11/02/24 Вск 08:12:01 138521
Почитай что такое субдомен и как его создать
нетсталкинг тред Аноним 08/02/24 Чтв 18:09:48 138509 Ответ
video2024-02-08[...].mp4 978Кб, 640x360, 00:00:48
640x360
cbcmrb.mp4 1325Кб, 640x360, 00:00:53
640x360
video2024-02-08[...].mp4 1107Кб, 640x360, 00:00:39
640x360
video2024-02-08[...].mp4 1000Кб, 640x360, 00:00:50
640x360
Сап аноны! В тики токе часто стали попадать вот эти ебаные видео, с каким-то ёбнутым содержанием. Помогите плиз разобраться чо за хуйня. Не могу понять ничего длительное время
Пропущено 4 постов
2 с картинками.
Пропущено 4 постов, 2 с картинками.
Аноним 08/02/24 Чтв 18:30:14 138513
бамп
Аноним 08/02/24 Чтв 19:37:45 138514
image.png 351Кб, 544x422
544x422
был отсканирован qr-код одного на одном из видео со следующим содержанием:

x005
"nah im just killin some kids" is not impostor. just a little hint. im not alone. i have friends in your group. they will defend me. good luck finding us!! ❤️
Аноним 08/02/24 Чтв 19:43:25 138515
>>138514
я полагаю, это арг
Не встает Drupal Аноним 30/09/23 Суб 12:16:33 138153 Ответ
Screenshot 2023[...].png 181Кб, 1740x976
1740x976
Анон, что это такое?
Поставил Docker на Windows 11, на него Lando, пытаюсь развернуть Drupal - постоянно такая ошибка.
Делал по https://docs.lando.dev/drupal/getting-started.html
Аноним 07/02/24 Срд 21:29:55 138504
права на папку 777 попробуй
Ищу трафик на Казахстан Аноним 07/02/24 Срд 14:10:45 138502 Ответ
webmaster.jpg 62Кб, 550x373
550x373
Сап вебы!

Мне нужен трафик на Казахстан, вертикаль - беттинг
Пишите мне в ТГ ваш источник, скажу ставку
@Nick_Ubet
Форма для комментариев Аноним 04/02/24 Вск 21:07:17 138487 Ответ
чудовищный хаос.jpg 89Кб, 500x626
500x626
Сап, /web! У меня есть страница на neocities (поддерживает только html/js/css), нужно создать форму для комментариев на странице типа чего-то такого: https://commentbox.io/
Однако столкнулся с проблемой: ресурс предназначен прежде всего для других двачеров, а комментбокс требует регистрации для комментов.
Есть ли аналоги, не требующие регистрации?
пикрандом
Аноним 04/02/24 Вск 21:08:18 138488
бамп
Аноним 05/02/24 Пнд 20:51:47 138498
бамп
Спам рассылка в ВК Аноним 02/09/23 Суб 13:46:35 138071 Ответ
logotip-vk-ikon[...].jpg 98Кб, 1680x1050
1680x1050
Собираюсь сделать рассылку в ВК по заранее составленному списку получателей (около 5к). Софт для рассылки написал, осталось закупиться акками и проксями. Но никогда этого не делал, соответственно есть несколько вопросов.

1. Не друзьям вроде как можно отослать только 20 сообщений (ну есть 20 людям). А после этого физически нельзя слать или капча будет появляться и после ее прохождения можно дальше слать?
2. Надо ли использовать прокси или ВК пох на IP, просто акк банят после рассылок?
3. Надо ли менять текст в сообщении при рассылке, чтобы он был уникальный? Ну то есть, если ВК вычислит, что я шлю спам, могут ли они добавить текст сообщения в черный список и оно больше не отправится никому или у всех, кто его уже получил удалится?

Может еще какие-то общие советы дадите по спаму в ВК?
Пропущено 2 постов
1 с картинками.
Пропущено 2 постов, 1 с картинками.
Аноним 15/10/23 Вск 22:44:30 138182
эта хуйня уже давно не работает. когда вк забанит первый акк - он запомнит маску текста и будет банить последующие сообщения и акки в ту же секунду как ты напишешь. рандом сиды в сообщениях тоже не спасут
Аноним 15/12/23 Птн 05:57:34 138372
>>138071 (OP)

По рассылке в лс не расскажу, но спам по группам вк шарю немного

> 2. Надо ли использовать прокси или ВК пох на IP, просто акк банят после рассылок?
Каждая страница, регается на отдельный айпи, с этого айпи бот и должен рассылать

> 3. Надо ли менять текст в сообщении при рассылке, чтобы он был уникальный? Ну то есть, если ВК вычислит, что я шлю спам, могут ли они добавить текст сообщения в черный список и оно больше не отправится никому или у всех, кто его уже получил удалится?

Да, один текст не должен повторяться более двух раз в группах с открытой стеной, с закрытой, похуй, но их нужно комбинировать. В самой проге нужно вставлять автозамену кириллицы на латиницу, тех букв, которые не отличить по внешнему виду
Аноним 29/01/24 Пнд 16:14:14 138481
>>138073

грубо говоря вк триггерится на любую хуйню - будь то одинаковый текст по шаблону, будь то ссылка, даже если ты её рандомизируешь - бот вк идет по ссылке и смотрит куда она ведет, добавляет твой акк в свой серый список.
Даже если ты используешь прокси и разные юзерагенты, то твою сетку, бот вк вычислит по конечному домену ссылки.
Если будешь рассылать тупо адрес телеги - через 5 акков забанит всю твою сетку акков и ссылку еще в ЧС занесет.
Спам это не для тупых.
Софт должен быть очень умный, автор софта должен быть очень прошаренный.
Что бы написать нормальный софт, нужно кодить под вк лет 15.
А так, ты написал просто убийцу акков.
Сап, двач! Как ньюфагу ворваться в фриланс Deniel 29/09/19 Вск 15:21:01 124049 Ответ
rejting-birzh-f[...].jpg 47Кб, 650x433
650x433
Сап двач, собственно такой вопрос, как ворваться в фриланс веб-кодером с минимальным навыком php html css и небольшим углублением в wp и начать брать хотяб первый заказ за гроши?
Пропущено 187 постов
31 с картинками.
Пропущено 187 постов, 31 с картинками.
Аноним 25/01/24 Чтв 18:00:32 138474
А есть западные биржи где можно зарегаться с левыми данными, без указания паспорта/прочих данных?
На том же апворке можно зарегаться используя левые данные находясь при этом в россии?
Аноним 25/01/24 Чтв 18:05:59 138475
>>138474
Я попробовал там зарегаться, пришло такое письмо
Поздравляю!
Будьте готовы погрузиться в совершенно новый мир фриланса с Upwork за вашей спиной и множеством клиентов в будущем.

Теперь, когда ваш профиль активен и вы готовы участвовать в торгах по проектам, загляните в наш набор инструментов, чтобы подлить новое топливо в свой огонь фрилансера.


>профиль активен и вы готовы участвовать в торгах по проектам

Значит ли это что я могу принимать заказы? После российских фриланс бирж у меня предел мечтаний - тыщ 20р/м, т.е. 200-300 долларов, так что ставить овервысокие цены как все не буду, пойду по минимальной ставке, надеюсь это поможет выиграть конкуренцию.
Но мне не начислили коннекты, что делать?
Аноним 25/01/24 Чтв 18:07:49 138476
>>138474
Ещё я там нейро-аву поставил, это вроде запрещено, но она выглядит как реальное фото, качество хорошее
я хз сюда я пишу или нет, ну да ладно. Мужики, у меня чето в последние пару дней прям жесть как висн Аноним 14/01/24 Вск 01:09:39 138434 Ответ
wojak.png 25Кб, 800x800
800x800
я хз сюда я пишу или нет, ну да ладно. Мужики, у меня чето в последние пару дней прям жесть как виснет ютуб(не реагирует плеер на нажатия мыши, вообще бывает не прогружается), причем виснет чисто он, все другие сайты работают быстро. В чем может быть трабл?
Аноним 16/01/24 Втр 13:59:08 138438
Гугле мугле борится с adblock отключи блокировщик для домена Ютуба и все будет прыгать и летать
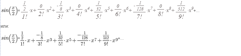
привет на связи первокурсник направления ПМФ помогите составить программу для вычисления ряда Тейлор 16/11/23 Чтв 20:02:04 138269 Ответ
Снимок.PNG 14Кб, 780x182
780x182
привет на связи первокурсник направления ПМФ помогите составить программу для вычисления ряда Тейлора функции sin=(x/2) при а=0
на языке си
Аноним 19/12/23 Втр 17:42:41 138379
Где взялся параметр а? Тебе нужно просто подключить либу math.h и там оперироваться функциями степени и факториала. Если нельзя, тогда пиши сам функции степени и факториала числа.
Крч, столкнулся с проблемой пеке. Даже инет не помогает . Последняя надежда Аноним 13/07/22 Срд 00:00:29 135930 Ответ
image.png 77Кб, 259x189
259x189
У меня вырубает все юсб устройства. Казалось бы ,один из мостов пиздой накрылся . Сходил заменил мать ,нихуя ,абсолютно . Все тоже самое .Помогайте,я все перепробовал и галочки с отключения тока снял нахуй и всеми антивирусами проверился . Блять материнку сменил . Пк если что уже 3 года
Пропущено 3 постов
1 с картинками.
Пропущено 3 постов, 1 с картинками.
Аноним 11/12/23 Пнд 02:48:06 138367
чувак если сохла плата (а не было ли скачков напряжения мож там бп тоже труп) нужно попробовать всю обвязку а тобишь приходишь в днс/ситилинк под твой пука берешь комплектухи УТОЧНЯЕШЬ 10 раз там любят наеьать на гарантии есть ли у них время на проверку совмести ставишь в свое корыто если заелось не возвращаешься в днс кайфуешь тебе нужен проц и память если заведомо рабочая мать уже есть даже если винда слетела в биос попадешь что работает увидешь просто у меня есть райзен 5900 из именно сгоревшей материнки и в нем на проце овалились юсб и все писиай экспресы кроме х1 и если поставить видяху через райзер и как то запустить он работает
но если у тебя райзен то там может быть. проблема в слете=вшем биосе или если там что-то древнее возможно есть смысл провести апгрейд короче завтра часов в 12 зайлу в ветку если словимся мож еще че подскажу но если ты в состояний сам все поменять то проблема решится
Аноним 11/12/23 Пнд 02:51:14 138368
а ну если только юсб и это райзан сдавай мать обратно шей биос
должно помочь там был нюанс там некоторые матери могу по инету обновиться на биос несовместимый с процом но это только ам4 проблема на всех остальных сокетах не поможет
Аноним 11/12/23 Пнд 02:57:30 138369
кстати я думаю можешь прям на борде спростить в ветке рязаней помогут найтй что надо
Веб-проект для сычей! Аноним 12/07/23 Срд 21:30:00 137881 Ответ
image.png 60Кб, 763x720
763x720
Сап двач, умалаю!!! Дайте идею для веб проекта, вообще идей ноль.
Хочется что-то колоссальное, но реальное и чтобы не сдохнуть пока делаешь
Пропущено 2 постов
2 с картинками.
Пропущено 2 постов, 2 с картинками.
Аноним 16/07/23 Вск 15:11:59 137893
Test
Аноним 20/11/23 Пнд 20:03:58 138304
Аноним 11/12/23 Пнд 01:18:51 138366
напиши стриминговый сервис
Прошу помочь починить OpenVPN Аноним 04/12/23 Пнд 01:44:47 138342 Ответ
error.jpg 15Кб, 435x63
435x63
Сорян, если не в том разделе, подумал, что сюда правильнее всего.
Короче сегодня/вчера отвалился OpenVPN сервер. Вчера добавлял новые профили, до этого все работало. Сегодня чтото перестало подключаться, полез в логи там увидел это:
TLS Error: tls-crypt unwrapping failed from
tls-crypt unwrap error: bad packet ID (may be a replay): ......
tls-crypt unwrap error: packet replay


Я так то вообще не знаток, знаком очень уж поверхностно, есть советы как починить? Быстро что то насерфить не смог, так как не хватает знаний, а vpn нужен
Пропущено 1 постов
1 с картинками.
Пропущено 1 постов, 1 с картинками.
Аноним 04/12/23 Пнд 01:45:34 138343
Конфиг клиента, который работал

client
proto udp
explicit-exit-notify
remote <ip> <port>
dev tun
resolv-retry infinite
nobind
persist-key
persist-tun
remote-cert-tls server
verify-x509-name server_CtEdQeepLnau9iCA name
auth SHA256
auth-nocache
cipher AES-128-GCM
tls-client
tls-version-min 1.2
tls-cipher TLS-ECDHE-ECDSA-WITH-AES-128-GCM-SHA256
ignore-unknown-option block-outside-dns
setenv opt block-outside-dns # Prevent Windows 10 DNS leak
verb 3
Аноним 04/12/23 Пнд 01:47:31 138344
Конфиг серва, который работал. (Дополню еще, что наивно попытался рестартнуть openvpn "service openvpn reload" и еще restart-soft и stop/start. Но это уже после поломки)

port <Port>
proto udp
dev tun
user nobody
group nogroup
persist-key
persist-tun
keepalive 10 120
topology subnet
server 10.8.0.0 255.255.255.0
ifconfig-pool-persist ipp.txt
push "dhcp-option DNS 1.0.0.1"
push "dhcp-option DNS 1.1.1.1"
push "redirect-gateway def1 bypass-dhcp"
dh none
ecdh-curve prime256v1
tls-crypt tls-crypt.key
crl-verify crl.pem
ca ca.crt
cert server_CtEdQeepLnau9iCA.crt
key server_CtEdQeepLnau9iCA.key
auth SHA256
cipher AES-128-GCM
ncp-ciphers AES-128-GCM
tls-server
tls-version-min 1.2
tls-cipher TLS-ECDHE-ECDSA-WITH-AES-128-GCM-SHA256
client-config-dir /etc/openvpn/ccd
status /var/log/openvpn/status.log
verb 3
Update Аноним 04/12/23 Пнд 02:04:39 138345
Кстати еще видел лог, что MTU сервера и клиента расходятся, но я подумал что ошибка не значимая, так как VPN работал в течение месяца исправно
Gmail god 11/02/22 Птн 09:25:49 134889 Ответ
image.png 22Кб, 402x291
402x291
Сап web-ач!
Блять, столкнулся с такой ебаной проблемой-проебал почту.
Менял гаждеты и проебал к хуям почту,забыв ее перенести (и удалив)
Есть сама почта,помню примерные пароли,есть номер,но восстановить никак не могу,ебал в рот гугл.
Когда приходит код на номер он блять пишет что отправил код восстановления почты на ЭТУ ЖЕ ПОЧТУ блять.
Помогите анончики,я уже не знаб что делать,там очень много акков привязанно
Пропущено 6 постов
2 с картинками.
Пропущено 6 постов, 2 с картинками.
Аноним 27/02/22 Вск 05:32:35 135032
>>134905
подумай своей ебаной головой.
у меня настолько безвыходная ситуация , поэтому я и обращаюсь сюда, в надежде встретить чела который реально сможет помочь, а не будет сидеть и подпердывать хуету мне в пост.
Аноним 20/10/23 Птн 17:28:20 138198
>>134889 (OP)
Хрен его знает на самом деле если ситуация ну прямо реально безвыходная. Если есть возможность можешь пойти в поддержку гугла поныть. Мб не факт что помогут, но если будешь искренним и на вопросы отвечать так как есть, мб смогут что-то сделать
Аноним 03/11/23 Птн 16:02:41 138247
>>134970
Ирл такой же храбрый?
Пиши адрес с номером - проверим.
Есть ли похожие бесплатные тренажеры как этот? Как-то натыкался уже на схожие, но не сохранял. Анон, Аноним 19/09/23 Втр 14:51:33 138133 Ответ
image.png 469Кб, 1361x873
1361x873
Есть ли похожие бесплатные тренажеры как этот?
Как-то натыкался уже на схожие, но не сохранял.
Анон, помогай!
Аноним 31/10/23 Втр 19:51:29 138244
code-basics.com
Вконтактoпидрилища крадут скролл! Аноним 04/04/23 Втр 15:36:52 137442 Ответ
!Киберцыган.mp4 4293Кб, 1280x720, 00:00:22
1280x720
Как помешать вконтактогнидам воровать возможность скроллить страницу, когда заблокировал юблоком модал-харчки на экран монитора?
В хроме есть куча расширений - альтернативных способов прокручивать страницы. Можно прокручивать кнопками клавиатуры, можно кнопкой мыши. При первом заходе на сайт, где админ-пидор, сразу блокируешь все харчки, перекрывающие сайт. И далее комфортно пользуешься сайтом всегда. Но на вонючем тупом вконтакте ни одно из расширенйи не помогает!
Прошу, подскажите как исправить это говно и вернуть скроллинг нв говновконтакте?

Смотрите что эти пидоры сделали:
</head>

<body onresize="onBodyResize()" class=" redesign_web">
<div style="display:none" id="a11y_mvk_proposal" aria-label="Мобильная версия с улучшенной поддержкой озвучивания экрана."></div>
<div id="system_msg" class="fixed"></div>
<div id="utils"></div>

<div id="layer_bg" class="fixed"></div><div id="layer_wrap" class="scroll_fix_wrap fixed layer_wrap"><div id="layer"></div></div>
<div id="box_layer_bg" class="fixed"></div><div id="box_layer_wrap" class="scroll_fix_wrap fixed"><div id="box_layer"><div id="box_loader"><div class="pr pr_baw pr_medium" id="box_loader_pr"><div class="pr_bt"></div><div class="pr_bt"></div><div class="pr_bt"></div></div><div class="back"></div></div></div></div>

<div id="stl_left"></div><div id="stl_side"></div>

<script type="text/javascript">window.domStarted && window.domStarted();</script>

<div class="scroll_fix_wrap _page_wrap" id="page_wrap"><style>
:root {
--layout-width: 1076px;
--sidebar-width: 164px;
--page-body-width: 911px;
}
</style>
<div><div class="scroll_fix">

<div id="page_header_cont" class="page_header_cont">
<div id="page_header_wrap" class="page_header_wrap">
<a class="top_back_link" href="" id="top_back_link" onclick="if (nav.go(this, event, {back: true}) === false) { showBackLink(); return false; }"></a>
<header id="page_header" class="p_head p_head_l0">
<div class="PortalNavigation">
<div class="PortalNavigation__icon"></div>
</div>
<ul id="top_nav" class="HeaderNav">
<li class="HeaderNav__item HeaderNav__item--logo">
<a class="TopHomeLink" href="/feed" aria-label="На главную" accesskey="1" >
<svg width="136" height="24" fill="none" xmlns="http://www.w3.org/2000/svg"><g clip-path="url(#new_logo_vk_with_text__a)">
Пропущено 15 постов
4 с картинками.
Пропущено 15 постов, 4 с картинками.
Аноним 20/09/23 Срд 21:53:59 138143
>>137834
СПАСИБО, ВЕЛИКИЙ ЧЕЛОВЕЧИЩЕ!!!!!!!!!!!
Аноним 21/09/23 Чтв 17:18:22 138145
15700279994590.png 1583Кб, 1024x1364
1024x1364
>>137834
>html{scroll-behavior:auto !important;}
Бля, я потестил, а оно уже не работает. Вконтактопидрилища изменили код своей говносоцсети?
Или я не правильно что-то делаю?
Я этот код вставил в правила блокировки ublock. Надо как-то иначе?
Аноним 23/10/23 Пнд 04:09:26 138209
>>138145
Самый простой способ использовать Stylish
Кто нибудь мне обьяснит вот пытаюсь я узнать ip запрещенного навярняка в рф сайта миротворец, в kali Аноним 16/10/23 Пнд 23:04:08 138187 Ответ
photomode260920[...].png 5059Кб, 2560x1440
2560x1440
Кто нибудь мне обьяснит вот пытаюсь я узнать ip запрещенного навярняка в рф сайта миротворец, в kali команду dig юзаю, она мне выдает ip, а если whois это айпи оно какой-то пермско воронежский er-telecom выдает? почему так ?
Аноним 22/10/23 Вск 10:51:21 138205
Потому что заглушка с сообщением о блокировке как и любая другая страница в интернете должна открываться с какого-то IP, и это IP твоего магистрального провайдера.

Если ты нахуевертил каких-то расширений для обхода блокировок в браузере, то браузер даже будет открывать страницу с родных серверов, но консольные утилиты все равно будут получать заглушку.
Возродить нормальный Лурк 23/08/23 Срд 17:08:38 138049 Ответ
Huita-mini.png 7Кб, 64x64
64x64
Все мы знаем, что пока Хомак стал жестким SJW и затер Лурк в связи с известными событиями, то Неолурк является прибежищем ультраправых. Существуют старые статьи, но на зеркале-"складе", где регистрация невозможна. А почему бы не возродить Лурк без перегибов в одну сторону?

Как вам идея? С меня сервак и домен.
Пропущено 1 постов
1 с картинками.
Пропущено 1 постов, 1 с картинками.
Аноним 27/08/23 Вск 17:16:48 138058
>>138049 (OP)
>С меня сервак и домен.
Вот это щедрость. Я думаю лурк умер, смысл копошить? Вот как памятник и есть, продолжения не будет.
Аноним 18/09/23 Пнд 00:25:16 138130
>>138049 (OP)
1. Как будем распространять? На сосаче опасно, но с другой стороны особо негде. Даже прошерстив все мелкоборды, нет гарантий что проект не превратится в убежище с 3.5 Семёнами.
Можно прорекламировать, на мопеципедии.
1.1 И как уберечь сайт от наплыва неверных?
Неолурковские, скорее всего останутся в своём загоне. Запретить писать на небордовскую, неитернетовскую и не совсем известную тематику как в последние годы Лурка?
2.
>Существуют старые статьи, но на зеркале-"складе", где регистрация невозможна.
У мопца же вроде полный бэкап апреля 2021.
3. Как будет происходить перенос статей?

Предупреждаю, я в сайтотворении непонимаю и скорее всего нечем не помогу, но вот желанием возродить уютненькое таким какое оно было горю со дня его закрытия.
Аноним 20/10/23 Птн 23:52:22 138199
>>138049 (OP)
>Неолурк является прибежищем ультраправых
Минусы?
Cписок всех доменов VK Аноним 21/09/22 Срд 18:44:54 136362 Ответ
2.png 50Кб, 861x652
861x652
Мне нужен список всех доменов, которые использует vk
типа vk.com, userapi.com и тд
Их довольно немало насколько я знаю
Может кто написать или показать где я могу найти полный список доменов которые относятся к работе вк?
Аноним 05/10/23 Чтв 08:53:41 138156
СКАМ и как обезопасить себя? 16/05/23 Втр 11:34:47 137653 Ответ
image.png 1009Кб, 963x964
963x964
сап ребят. на днях приключилось такое - знакомому написали на стримерской площадке, с просьбой пройти в тг и созвониться. скинули свой юз, после чего произошел звонок. немного поговорили, тот говорит-смотри прикол: и показывает как он сидит в стим акке знакомого, обновляет страничку и тд. далее в ходе него хакер узнал конф. данные, а так же зашел в сам телеграм-аккаунт пострадавшего. доказал это тем что писал сообщения к себе в чат с аккаунта знакомого. далее пошли угрозы на слив личных данных, если знакомый не скинет ему скины. ну, дабы избежать неприятностей, он подтвердил обмен. после его добавили в чс и все.
аноны, кто знает че за шаман это был и как это было возможно? p2p включен только у контактов, номер так же виден только у контактов.
после этого случая мы мониторили этот стим акк, на который он кидал скины жертв, человек 10 точно еще прибавилось. жаль конечно что уже наврядли он что-то вернет, из за политики стима, но хотя б чтоб насторожиться.
как обезопасить себя от такого?
(писал до этого этот пост в /b/, но его снесли, не успел прочекать ответы вдруг кто написал годное что-то. поэтому, надеюсь на вашу помощь.)
Аноним 25/09/23 Пнд 11:38:33 138149
Анонимусы, раздумываю потратиться на курс от КАТА академия 19/07/22 Втр 15:24:45 135966 Ответ
BVdOdOwzUWQTCQN[...].jpg 397Кб, 1683x2160
1683x2160
Анонимусы, раздумываю потратиться на курс от КАТА академия, в поисках подводных нашел лишь два почти идентичных негативных отзыва от двух разных людей, что дескать договор читать обязательно, если не хочешь заплатить штраф в 350 косарей по договору, и вообще менторы пидарасы, жопу мне лизать не хотят. Прошел кто, какие реальные подводные?
*Ебать у вас тут капчи страшные.
Пропущено 1 постов
1 с картинками.
Пропущено 1 постов, 1 с картинками.
Аноним 17/08/23 Чтв 19:03:15 138022
учусь там 6 месяцев, из подводных только то, что тебе нужно реально учиться и тратить в день по 4 часа на учебу, лучше больше.
Касаемо штрафа, если ты делал задачи, был на созвонах, но не успел в срок закрыть задачи и лайв кодинг, тебя просто отчислят без долга, каждый месяц у нас отчисляли примерно по 5 человек, никого с долго не числанули, некоторые снова перепоступили и пытаются еще раз. Даже те кто забивал на учебу, тоже отчислили без долгов, единственный этап на котором тебя могут отчислить с долгом, то это на проекте, потому что ты являешься почти, готовым специалистом
касаемо ментора все ок, по крайней мере у моей группы, на вопросы отвечает, может провести лекцию по какой то теме
Аноним 22/09/23 Птн 00:11:59 138147
Аноним 23/09/23 Суб 08:20:38 138148
>>135966 (OP)
Чел, просто блять учи сам и делай петы. Заводишь гитхаб и коммитишь. Коммитишь все. Самый раковый говнокод. Потом сможешь наблюдать как растешь как кодер. Прям вот с нуля. Полгода задрачивания и начинай откликаться/спамить на ВСЕ контакты компаний по твоему стеку. Сам так за год вкатился в бэкэнд вэба на пхп. Главное зло это hr. А на бабло, которое на курс хочешь потратить лучше сычуй без работы изучая свое направление. И направлению четко следуй - универсалом тяжелее вкат.
Настройки X
Ответить в тред X
15000
Добавить файл/ctrl-v
Стикеры X
Избранное / Топ тредов