Очередной раковник для ньюфагов стартует в этом ITT треде. Предыдущий вошёл в резонанс там: http://2ch.hk/ra/res/253507.html>>253507 (OP) ПРЕЖДЕ ЧЕМ СОЗДАТЬ ТРЕД, ПОГУГЛИ, ПРОЧТИ ЭТОТ ПОСТ (а лучше весь тред) И ВОСПОЛЬЗУЙСЯ ПОИСКОМ ПО РАЗДЕЛУ. ТАКЖЕ СМОТРИ ТЕМАТИЧЕСКИЙ УКАЗАТЕЛЬ ТРЕДОВ (>>219880 (OP) и >>224515).Решил заняться электроникой, паянием ололо-быдло девайсов? Похвально. Вот список нужной литературы и ссылок:Книги:Вообще, их очень много. Но тебе же лень искать, поэтому получай скромнейший минимум:П. Хоровиц, У. Хилл "Искусство схемотехники"http://publ.lib.ru/ARCHIVES/H/HOROVIC_Paul',_HILL_Uinfild/_Horovic_P.,_Hill_U..htmlУ. Титце, К. Шенк "Полупроводниковая схемотехника" (в двух томах)http://www.tverhtk.ru/library/predmets/pc_systems/Poluprovodnikovaja_shemotehnika_Tom1_2008.pdfhttp://www.tverhtk.ru/library/predmets/pc_systems/Poluprovodnikovaja_shemotehnika_Tom2_2008.pdfЮ.В. Ревич "Занимательная электроника"http://publ.lib.ru/ARCHIVES/R/REVICH_Yuriy_Vsevolodovich/_Revich_Yu.V..htmlЕсли есть желание обмазаться расчетом с ног до головы, то тебе следует почитать вот это:И.П. Степаненко "Основы теории транзисторов и транзисторных схем"http://publ.lib.ru/ARCHIVES/S/STEPANENKO_Igor'_Pavlovich/_Stepanenko_I.P..htmlГ.И. Изъюрова "Расчет электронных схем. Примеры и задачи"http://publ.lib.ru/ARCHIVES/_CLASSES/TEH_RAD/Raschet_elektronnyh_shem.(1987).[djv-fax].zipЛ.Н. Бочаров "Расчет электронных устройств на транзисторах"http://www.radiolamp.ru/library/books.php?id=mrb0963Полезные ссылки:Много полезный статей и сообщество:http://easyelectronics.ru/Схемы устройств и хороший форум:http://cxem.net/Также загляни сюда:http://radiokot.ru/Решил прикупить себе сканер "закрытых" частот или хороший приемник? Глянь сюда:http://www.radioscanner.ru/forum/И сюда:http://www.cqham.ru/ (есть годный /forum по схемотехнике)Любительской радиосвязи также посвящен:http://www.qrz.ru/Я знаю, что тебе, мой начинающий друг, будет лень смотреть на сайтах, которые я тебе дал, поэтому:Техника Безопасности: http://radiokot.ru/start/other/safety/01/Инструментарий радиолюбителя: http://cxem.net/beginner/beginner1.phpНемного о пайке: http://easyelectronics.ru/likbez-po-pajke.htmlО паяльниках: http://easyelectronics.ru/traktat-o-payalnikax.htmlСНАЧАЛА ПРОСМОТРИ УКАЗАННЫЕ ВЫШЕ САЙТЫ. НА НИХ ТЫ, СКОРЕЕ ВСЕГО, НАЙДЕШЬ ИСЧЕРПЫВАЮЩИЕ ОТВЕТЫ НА БОЛЬШИНСТВО СВОИХ ВОПРОСОВ, ДАЖЕ В РЕЖИМЕ READ ONLY.Как первую схему, гугли "мультивибратор".Как спаять наушники, для начала спроси у гугла, он много этого дерьма повидал:http://lmgtfy.com/?q=Как+спаять+наушникиИли обратись к старому местному гайду с выцветшими от времени фото:http://arhivach.org/thread/7925/Если у тебя есть вопросы типа: "почему мои калоночки гудят/не играют?", "мультивибратор не пашет", "как определить полярность резистора?" или наушники так и не поддались, то спрашивай в этом треде.Но помни:НЕ ПРОСИ ИСКАТЬ ЗА ТЕБЯ — СПРОСИ КАК НАЙТИ САМОМУ.Если у тебя действительно серьезный вопрос, тогда так и быть, создавай тред.
>>257080Они из кирпичей сделаны что ле?
Аноны, насколько надо разбираться в некромантии чтоб призвать армию нежити апокалипсиса?У меня друзья работают могильщиками, могут подкинуть несколько трупов. И еще есть знакомые - кузнецы, могут выковать пару кирок.
Перекачу вопросВот этот паяльник для новичка подойдет, или еще чего попроще купить?https://ru.aliexpress.com/item/EU-Plug-GJ-907-Adjustable-constant-temperature-Lead-free-Internal-heating-electric-soldering-iron-5pcs-tip/1998306095.html?ws_ab_test=searchweb0_0,searchweb201602_2_10093_10091_10090_10088_10089,searchweb201603_1&btsid=44f1f06c-ee02-4dea-be36-cc4732ea5b69
>>257132Перекатил ответ:Покупай самый дешманский за 100 рублей на радиорынке, "паяльник для новичка" блядь.
>>257134Радиорынка в городе нет, в строительном есть какой-то за 1к, ну и может в маленьком магазине радиоприборовно я все равно побоюсь спросить у продавца
Этого не слушай >>257134Бери самый дешевый с регулировкой температуры. А то с тем что за 100р обосрешься, когда он нагреется до 500 градусов
>>257139>25v>нагреется до 500 градусовЕще один специалист по пайке.
>>257140>25vВот и что ты щас спизданул? У тебя в розетке 25 вольт или че?
>>257132За 20 баксов ты можешь купить себе бу паяльную станцию, блядь. https://ru.aliexpress.com/item/220V-35W-Electric-Iron-Gun-Welding-Soldering-Iron-Solder-Repair-Tool/32641632619.html?spm=2114.03010208.3.254.diZUoS&ws_ab_test=searchweb0_0,searchweb201602_2_10093_10091_10090_10088_10089,searchweb201603_1&btsid=2cf11781-ccf1-4e24-a524-b990628f65c2Вот 35ват нашел, но этот может перегреваться, хуй знает. Но меньше только 5v юсб.Смотри что у тебя на барахолке. И главный вопрос нахуй он тебе нужен.>>257140>25w фикс
>>257141>ребенок притворился что не понял о чем речь. Молодец, ты подебил.
>>257143V и W находятся в разных частях клавиатуры, здесь принципиально нельзя мисскликнуть.Так что ты обосрался, иди подмывайся.>>25714225 ваттами ты только свой анус спаять сможешь.>>257132Ищи 60вт, синенький такой с регулировкой температуры. Я за 7 баксов купил, доволен.
>>257144>25 ваттами ты только свой анус спаять сможешь.Я же говорил, спец по пайке. Не уподобляйся дебилу, не покупай регулятор мощности на тристоре за 15 баксов.
Сопрягаю в учебных целях Atmega8 и CS5463 http://www.cirrus.com/en/pubs/proDatasheet/CS5463_F3.pdf по SPI. Код пишу в AVR-студии. Сорц:https://drive.google.com/open?id=0B4rDgkk8MWP3WFJsYi02SGFzUkUAtmega8 тактируется от 8 MHz кварца.Для микросхемы максимальная частота SCLK 2MHz.Пытаюсь читать регистр epsilon. Проблема в том, что в ответ от CS5463 по UART получаю 0xFF. Проблема в коде или в железе, помогите понять.
>>257145кек даун, путающий вольты и ватты, называет кого-то дебилом
Вечер в хату, технобоги. Гуманитарий-нуфаг запрашивает помощи у вас. Имеется штекер и имеются наушники без штекера. У наушников маркировка проводов следующая (сверху-вниз) Медный сплетенный с белым, зеленый, красный, красно-зеленый. Переходил по ссылке из оп поста. И гуглил распиновки с распайками - нихуя не помогло. Я просто, бля, не понимаю че за ебаный красно-зеленый провод. И какого хуя якобы земля скручена с якобы микрофоном. Методом научного гуманитарного тыка пока удалось установить, что если хуярить зеленый на 4 площадку (первый пик), а красный и красно-зеленый на 2 (тоже первый пик) - получается самый чистый звук без бульканий. Из этого сразу вопрос. Что будет, если таким образом всю эту хуйню запаять и оставить без земли?
Помогите опознать сигнал1800-1820kHGhttps://clyp.it/13jlq2krВатерфол пикрелейтед.
>>257144>Ищи 60вт, синенький такой с регулировкой температуры. Я за 7 баксов купил, доволен. Вот этот?https://ru.aliexpress.com/item/220V-60W-Adjustable-Temperature-Electric-Iron-Welding-Soldering-Iron-Solder-Rework-Repair-Tool-5pc-Iron-Tip/32434361333.html?ws_ab_test=searchweb0_0,searchweb201602_2_10093_10091_10090_10088_10089,searchweb201603_1&btsid=a33bb2c2-bdc0-433f-b46e-5012369b1743
>>257149Думаю, что-то вроде радара.
>>2571481-Медный2-Зелёный\Красный3-Красный4-ЗелёныйЕсли будет звук как из колодца - меняй 1 и 2. Если при регулировке баланса будут меняться не те каналы - меняй 3 и 4
>>257154А похоже на сигнал к армии готовиться к войне.
>>257156Ой, ну не надо, в сигнале даже смысла нет и по частотам скачет туда-сюда.могут ещё быть атмосферные исследования
>>257157Это не сигнал по частотам скачет, это я его скачу туда-сюда
>>257159Ну тогда может быть обычная жужжалка для проверки прохождений.
>>257155Можно ли белый выплести из медного, если не планирую использовать микрофон? Обязательно ли припаивать медный вообще?
>>257161Один из 4 проводов - является "+" к микрофону и кнопкам. Можешь его убрать.
>>257149А чем ты его ловишь?
Сегодня пришел с али пикрелейтед и я задумался, а какие подводные камни переходника ААА на АА?
>>257164Меньшая ёмкость и максимальный ток.
>>257161Тогда 1+2 -Медный и Зелёный\Красный (2 провода на 2 контакта и всё в одну кучу)3-Красный4-Зелёный
Посоны, хочу вкатиться к вам, в какую область идти чтобы хорошо зарабатывать как программисты? Что задрачивать чтобы еще и фрилансить не выходя из дома можно было?
>>257163Вот этим http://dj3le.spdns.de:8901/ пока нормальный сервер в отключке
>>257167> в какую область идти чтобы хорошо зарабатывать как программисты? В программисты? Да и тут много не заработаешь. Вообще не заработаешь
>>257169>Да и тут много не заработаешь. Вообще не заработаешьЛол, а какой смысл тогда этим всем заниматься?
>>257170Жаст фо фан
>>257170Я не знаю.
>>257171Странно, обычно нормальные люди тратят время и силы на то, на чем можно реальное бабло поднять, а все остальное должно остаться в дедстве, когда бабло не нужно было.
>дедстве
>>257173>нормальные люди>2ch.hk
>>257151Да, этот норм. Вон за 380 рублей, тоьлко дождись 11 числа.
>>257173А зачем тебе бабло?
>>257175Ой да ладно, процентов 40-50 моих одногруппников(а в прошлом году и одноклассников) знает об дваче, это сейчас охуеть как популярно. И все они нормальные люди.
>>257177Ну бабло всем нужно, на еду там, на хату, пива после работы купить, да и когда жена/дети появятся то бабла вообще дохуя будет уходить, еще и занимать будешь. Ну ту же машину нормальную купить
>>257179Мне и зарплаты хватает на это. А дорогая машина не нужна.
>>257180Кем работаешь?
>>257166По итогу выйдет че-то такое, если я нигде не проебался?
>>257183У тебя один провод остался.
>>257183Белый в кучу с медным и красно-зелёным
>>257184>>257185Ну он же типо мик+?Мож ну его нахуй?
>>257186Когда я последний раз чинил - было 6 проводов. 3 провода - нулевой провод. 2 - наушники 1 - микрофон и кнопки. В гугле должно быть вот это все.
>>257186На самом деле похуй, но хуже не будет.
Анончики решил собрать нищелампу. Заказал на али вот такой вот светодиод https://ru.aliexpress.com/item/LED-COB-Bulb-Lamp-5W-20W-30W-50W-LED-Chip-Beads-220V-Input-IP65-Smart-IC/32699004706.html?ws_ab_test=searchweb0_0,searchweb201602_2_10093_10091_10090_10088_10089,searchweb201603_1&btsid=28cefc0b-3dc9-41c1-a9e1-406af239c694 пикрил и вот такой термоклейhttps://ru.aliexpress.com/item/2-GPU/32713813381.html?s=p&ws_ab_test=searchweb0_0,searchweb201602_2_10093_10091_10090_10088_10089,searchweb201603_1&btsid=759484aa-ee6e-4f65-a1ab-f740729557e6 , дома были ненужные радиаторы http://www.ixbt.com/cpu/s939-budget-shootout/cm-ck8-jd2b-side.jpg от процессоров. Всё это склеил, но что-то не то с теплоотводом, температура на кристале светодиода 100 градусов, радиатор ели ели теплый. При этом охлажение активное, с вентилятором. В чем проблема аноны ? Термоклей говно ?
>>257190Ты прижал его нормально? Намазать термоклея как сала на бутерброд - толку не будет.
>>257192та вроди нормально прижимал. Сейчас посмотрел, слой ну просто очень тоненький. Склоняюсь к тому что термоклей - хуйня. Ну еще есть вариант что ему нужно больше времени дать посохнуть, у меня стоял примерно сутки. Да и еще боюсь что пиздой накрылись кристаллы, потому как пару часов проработали в такой режиме точно.
Аноны, сколько у вас в месяц квтч набирается? и нормальная ли цифра 120квтч для однокомнатной квартиры, где работает холодильник и одна лампочка с перкарней по вечерам?
>>257194http://ru.wikihow.com/%D0%B2%D1%8B%D1%87%D0%B8%D1%81%D0%BB%D0%B8%D1%82%D1%8C-%D0%BA%D0%B8%D0%BB%D0%BE%D0%B2%D0%B0%D1%82%D1%82-%D1%87%D0%B0%D1%81%D1%8B
>>257195Чё ты мне кидаешь, я не ебу сколько часов в среднем работает пекарня, результат может различаться в 2 раза и более.
>>257194Везёт тебе. У меня 280 киловатт в месяц выходит.
>>257198Ну хз, на меня постоянно родители орут, говорят что очень много электричества жгу.
>>257197Ебать ты охуевшая рожа. А мы значит ебем сколько там у тебя что работает?
>>257199Вот платёжку взял.17.08.16-19.09.16 - 295 kWhЭто две пеки и ноут. Ну и лампочки всякие, телевизор и всё такое.
>>257199Переехать не пробовал ?
>>257205На какие шиши? И я не ною, меня устраивает всё. Просто интересно, насколько обоснованы претензии родителей.
>>257206А как вам удается то так? Вам они там не грят типа когда работу найдешь, хуйло, мы тебя по жизни кормить будем?
>>257208Очень просто. Достаточно чтоб тебе было до 18 лет.
>>257209На кого поступаешь? В топвуз наверное?
>>257208Но я работаю.
>>257210Электриком становится не хочу, там алюминий зачищать, если не зачистишь, тебя повесят. И в гробу закрытом похоронят, под звуки из коротковолнового диапазона. А алюминий рядом положат. Залуженный, с красной изоляцией. Красивый. Без примесей. Ребята, идите электриками. Ребятишкам в олово бром подсыпают. Совсем молодым ребятам. У них потом хер стоит как стоячие волны. И после шабаша в попу друг друга трахают. Свет выключают и бегают по предприятию. Бесятся. Любят нарядиться девочкой и провода лудить@зачищать. И в попу друг друга чпокают. Если ты попал в радиотехотдел — считай твои дни сочтены. Утром пайка, перед обедом травление. На обед канифоль. После обеда — расстрел. Без ужина оставили. Пидоры суки. Кушать хочется, а меня хоронят. Блядь. Когда начальник женился, электриков загнали в трансформаторную будку. Закрыли, включили. А они ничего не знают, копаются. Начальник бригады паяльник уронил. Его электрики заломали и выебали. Почему? Да потому что он в трансформатор нассал. А начальник с женой смотрят и смеются. У жены припадок. Упала, глаза закатила, из рта пена. Жена красивая. Умерла. Когда хоронили, электронщики конденсаторами стреляли. Их тоже потом спалили. Кто-то закричал. Всем похуй. Хуй колом стоит, что делать? Ты знаешь ответ. Если менеджера привязали к тумбочке — значит он провинился. И его надо пнуть. Или выебать, тут уже от человека зависит. Сегодня кино показывали. Наебали. Суки. Показывали Чип И Дип. А электрикам на вызов идти, они же там все спалят блядь! Решили им инуструмент не давать, выдали по мотку изоленты. Так эти долбоебы одного електрика насмерть валенками спалили. Поставили к автомату и сказали «выполнять». Но мне его не жалко, все равно бы помер. Кто-то палец оторванный изолентой припаевает, кто-то медь утюгом забивает. На ацп насрано канифолью. Плакат Гаечки. Напротив схема полумостового БП. Подписанный. Кто подписал, неизвестно. Весь предыдущий призыв набор уволили, но никто так и не сознался. Горько вспоминать. Воняет жутко. Полураспавшаяся телефонная станция 51г Вот такой наш ленинский уголок. Зачем нужно идти на электрика? Чтобы не умерли. Гуманитарии. Будут по домам и трогать провода мокрыми руками. Суки. Пидоры. Гвоздем плату поцарапает, ну что ты ему скажешь? Он же ничего по-русски не понимает. И осудить его не смогут, он же без допуска. Только выслать в степь и там расстрелять. Пидоры. Все диоды — пидоры. И гуманитарии. Кто не курит, тому в день выдают две конфетки. Ириски. Одна из них отравлена. В другой — бром. Вот и гадай: или подохнешь, или стояк лютый будет, хоть кол чеши. Но там большинство курит. Как же тут не закуришь, если тебя ебут в жопу? Охуеть. Если проебаться от работы, можно и поспать. Главное, чтобы не вычислили. Если вычислят, то тебя отведут в цех, разденут, завяжут глаза. Во рту кляп. Садят на холодный пол, аж яйца сводит. И начинают читать ТОЕ. И пиздят. Жилами медными пиздят. Ладно хоть не ебут. Лучше бы ебали. У кого дома семья тех сокращают. Трудовой обряд такой. Как посвящение в студенты, только тебе нахуй посылают. А семья все равно не дождется. Кто продаст зиповские резисторы — тот царь. Имеет право носить корону. С ним всегда свита. Он кушает первым. Директор при встрече ему в ноги кланяется и обращается «князь Ом». Царь всегда ест с пола. Как волк. Или собака, им виднее. После шабаша царя все ебут и пиздят. Почему? Да потому что продал все резисторы, пидарас пассивный. Правильно говорят, что кто не лудил, тот не мужик. Или неправильно, я в хуй не тарабанил. «Кто до шабаша дожил, тот огурчики полил». Выглядит как чушь? Это и есть чушь. Кто дожил до инженера 1 кат, у того кукушка отбита. и срака как у Дональда Дака. Зато живой. Или мертвый. Ему виднее. На питание зарплату электрика министерство соц.политики выделяет по 478 рублей в день. Пиздеж. Выделяет в половину меньше. Половину забирает директор. Еще половину — начальник отдела. Еще половину — уборщица. и доходит до электрика 17 рублей. И жрет. Деньги жрут, пидоры. Посыпают бромом, мажут маслом, чтоб лучше выходили, и жрут. Кто накосячит, останется без ужина. Такие дела. Да и так сойдет. Так начальник говорил. Потом повесился. Или повесили, хуй знает.
>>257131Кстати в чип и дип вообще пиздец цены заломили.Пусть идут нахуй короче с такими ценами.
>>257220Бородач из чипдипа вообще аудиосектант, слушает провода.
>>257221Наверное еще и в /mus/ сидит.
>>257208Живу с мамкой, она не работает уже лет 5, я кормлю нас обоих.Мне кажется в этом и есть суть детей, вырастить, чтоб потом нихуя не делать.
>>257223Я не пойму, раз ты их содержишь то хули они на тебя орут еще?
>>257224А это не на меня. Я просто мимо тут проходил.
Я тут прикрелейтед тестирую.Читал, что некоторые пасты откалываются при лужении. Нанёс на плату, засветил часа 3-5 (очень долго сохнет) потом ковырял ножом - не откалывается. Нагрел - не откалывается. Согнул плату - откололось немного в месте сгиба и впечатление будто паста сама добавляет прочности текстолиту.Сейчас на бумагу жирным слоем нанёс, посмотрю насколько она прочная.Ещё читал, что двухкомпонентные пасты можно в духовке греть при 75 градусах и они твердеют, можно наложить потом сверху узор и просветить и смыть не просвеченное. Вот так ещё потестить хочу - твердеет ли при нагреве и работает ли потом засветка.Какие ещё эксперименты с ней придумать?
>>257226Эм... а мамкин лак для волос уже не в моде?
>>257228А как ты пяточки оставишь нетронутыми? Тут такая штука - покрыл всю плату маской, потом наложил сверху прозрачную плёнку с напечатанными пяточками, засветил, смыл маску с пяточков. А потом ещё можно белую маску сверху наложить и плёнку с текстом. И будет у тебя зелёная плата с белым текстом. Как с завода.Вот на видео двухкомпонентная маска https://www.youtube.com/watch?v=El_O8IMgWUk
>>257230Ну, как бы.. Сначала спаяй, потом покрывай лаком.
>>257226Докладываю промежуточные результаты.За полтора часа жирный слой не затвердел ещё.А тот, что был в духовке при 80 градусах за 20 минут нихуя не затвердел. Поставил на 150 и что-то произошло. Из него будто вся влага выпарилась, он теперь как мокрый порошок.Кинул на засветку, приложив металлическую пластину. Потом посмотрю засветится или нет.
>>2572264 часа прошло, начало твердеть, мне надоело ждать, пойду спать.
Пытаюсь найти на плате дебаг интерфейсы, я правильно понимаю что это они на первой пикче, прямо под камерой?Чтобы узнать их распиновку мне нужно добраться до названия чипа, но все чипы скрыты под щитами и медной пластиной (второй и третий пик). Как снять эти щиты?Алсо, посоветуйте материалы по аппаратному дебагу для новичков.
>>257124 (OP)Аноны, что такое 111 в светодиодной люстре?На сколько я понимаю (хотя первый раз такое вижу), в люстре стоят странные светодиоды - подключаешь его прямым напряжением - светит одним цветом, подключаешь ОБРАТНЫМ, он должен же НЕ работать, это же светоДИОД. А вот ХУЙ - он светит ДРУГИМ ЦВЕТОМ. Ну как бы ясно, там в одном корпусе просто ДВА встречно-подключенных светодиода с общими выводами, и работают они так, главное не переборщить, чтобы не пробило тот или иной.А этот загадочный 111, видимо, за счет какого-то реле при включении/выключении переключает режим прямого или обратного напряжения, И в одном из режимов с большой скоростью (незаметной для глаза) переключает их туда-сюда и даже с плавающей частотой, потому как двухцветные светодиоды в люстре в одном из режимов дают ТРЕТИЙ ЦВЕТ (смешение первых двух), а они, если помнишь, включаются ПРОТИВОПОЛОЖНЫМ (блять что за магия!?! Первый раз такое вижу) напряжением, или даже могут плавно менять все эти три цвета. Так вот вопрос. КАК ЭТУ ХУЙНЮ НАЗВАТЬ ПО-РУССКИ, (и почитать о ней) ЧТОБЫ НАЙТИ ЗАМЕНУ?Есть куча всяких слов в магазинах светотехники - диммеры, контроллеры, драйверы, трансформаторы, но все явно не то.Выглядит как черная спичечная коробочка, 220 вход, выход с неизвестной напругой, но, блять указано что это bsignal line 0,016А.Что мне блять сказать продавцу-блондинке, если 111 для нее звучит будто я аллахбабах и сейчас взорвусь?СУКА блять КАКОЕ ЕЩЕ СЛОВО ИЗ СПАМ-ЛИСТА?????
>>257244>111СУКА МОД, ТЫ БЛЯТЬ ДАУН?? С КАКОГО ХУЯ "РБ синнхроноус доубл контролер" в английской раскладке в спам листе??? ЧТО ТУТ БЛЯТЬ СПАМНОГО???? Чисти нахуй, щас тред в д создам
Коллеги, какие конденсаторы предпочтительней для шунтирования? Думаю заказать штук 500 в Китае.
>>257244Никак ты не найдешь, уймись.Это какой-то контроллер, сделанный специально для этой люстры, не универсальный.
>>257246Аорто-коронарного? Там вроде не конденсаторы.
>>257247уебывай, советчик хуев. Я спросил как эта штука называется по русски, а не где найти именно эту коробочку именно с этими режимами
>>257248Чувак, ты разделом ошибся. На фото как раз конденсаторы. Ты ещё спроси что значит "104"
Аноны, а почему при просадке напряжения на подстанции, промышленное оборудование часто сгорает?
>>257246Ты имеешь в виду капы в питание микросхем?
>>257246Если аудиофил, то бери плёнку, а так пойдёт и керамика (если личинка аудиофила, то обязательно NPO).
>>257252питание цифровой техники, в т.ч. и микросхем.
>>257253не, микроконтроллеры и цифровая техника
>>257256Тогда керамику. NPO-керамика чуть лучше, потому что номинал не плывёт от температуры, но она и дороже.
>>257257это которые справа?
Уместно ли применять malloc программируя под 8 битнын avr? Или это приведет к лишнему расходу памяти. Компилятор gcc.
>>257264> Уместно ли применять malloc программируя под 8 битнын avr?А он там разве есть вообще? Или его надо самому делать?
Заебал хрустеть потенциометр в усилителе, был бы это ширпотребный мафон из Китая, залил бы туда подсолнечного масла, но этот - с регулировкой пультом. Ничего страшного не случится, если я ему ВДшечкой пшикну? Разбирать и чистить никакого желания нет
>>257246Купил такой, что слева, надо было 15 пикофарад, а он выдаёт 7.
>>257266> но этот - с регулировкой пультомВ смысле там ручка крутится когда громкость с пульта изменяешь или это просто энкодер, а громкостью управляет digipot?
>>257249Контроллер люстры, как ей еще называться.
>>257251Нечасто. Мотор может остановиться из-за снижения крутящего момента и перегреться, потому что перестал охлаждаться.
>>257257Покажи мне, где применяют NP0 керамику в цепях блокировки. Ну хоть одно применение, ну позязя. И позязя, подкинь хоть одну ссылочку на 0.1uF NP0 в корпусе 0805.Gbplj,jk? ,kznm/
>>257267Чем мерил? (Такие емкости мало чем можно точно померить из ширпотреба).
>>257269это блять блок питания с ШИМ-контроллером. ВОТ КАК
>>257265Есть#include < stdlib.h >
Если какой-то мудак заземлился на систему отопления, как ему помочь понять свою неправоту?
>>257284Заменить трубы на ПВХ и ждать.
>>257124 (OP)Анон, нужен мультиметр, чтоб мог измерять индуктивность, помимо прочего. И так как уже в эту субботу - черная пятница, думаю заказать на али. Можешь выбрать за меня? Или подсказать, как это сделать. Сам ньюфаг, в руках не держал.
>>257292https://www.aliexpress.com/af/multimeter%252Binduction/2.html?site=glo&g=y&SortType=price_asc&SearchText=multimeter+induction&isAffiliate=y&initiative_id=SB_20161109063132&needQuery=nЗабыл ссылку.
>>257293ESR тестер купи, и не еби мозг с мультиметрами. Они до сих пор h21 меряют жопой.
>>257297https://www.aliexpress.com/item/Portable-Digital-Component-Transistor-Tester-Diode-Triode-Capacitance-ESR-Meter/32749713240.html?spm=2114.30010308.3.144.kFiNIh&ws_ab_test=searchweb0_0,searchweb201602_2_10091_10090_10088_10089,searchweb201603_1&btsid=422df09b-3908-449c-a1ac-6794965f7357Такой норм?
>>257299Не знаю. У меня такой.https://ru.aliexpress.com/item/Orignal-Hiland-DIY-M12864-Graphics-Version-Transistor-Tester-Kit-LCR-ESR-PWM/32761468474.html?spm=2114.03010208.3.218.ik0S79&ws_ab_test=searchweb0_0,searchweb201602_2_10093_10091_10090_10088_10089,searchweb201603_1&btsid=e0f256ac-b5e7-4322-bc7f-f1d1dee52588Он точно меряет индуктивность. Плюс параметров биполярников намного больше. Правда о назначении большинства я в душе не ебу
>>257300А напряжение, емкость, сопротивление может измерить? Прозвонить?
>>257301Это еср, отдельный прибор. Для измерения радиокомпонентов. Универсального прибора я никогда не видел.
>>257302Так а что он умеет измерять кроме индуктивности?
Сап. Обязательны ли снабберные цепи в пуш-пул преобразователе, если ключи-мосфеты?
>>257303А что ты умеешь кроме писания постов?
>>257303Сопротивление, ёмкость, индуктивность, параметры транзисторов (хотя измеряет он на малых токах, так что могут быть не совсем правильные данные для мощных биполярников), параметры диодов (падение напряжения, если оно не совсем большое) и т.п.Хотя, честно говоря, я предпочитаю измерять индуктивность осциллографом на частоте, в которой индуктивность будет использоваться.
>>257312Например, такой подойдет?
>>257313https://ru.aliexpress.com/item/LCD-Screen-Display-DIY-Digital-Oscilloscope-Kit-Set-Parts-With-Panels-Wholesale/32581071259.html
>>257312>я предпочитаю измерять индуктивность осциллографомэто как?
>>257329По резонансу.
Радиоинженегры, посоветуйте-ка.Уже который раз пытаюсь делать платы-бутерброды, вечно какое то говно выходит, что нибудь да забываю.Работаю в протиусе, он может только 3Д модель сделать одноуровневой платы, а есть ли проги, в которых можно было бы и на многоуровневую плату в 3Д посмотреть?
>>257330поясни
Что происходит с моей УФ лампой?После часа работы начинается видеорелейтед и надо выключать на пару секунд.Что виновато в этом?
>>257332понял. Но чет странно. Есть дроссель 0.7гн, я коротнул его на кап 2мкф, получил период колебаний 0.01с, по подсчетам получается 1.3 гн, а не 0.7. ЧЯДНТ?
Полизал сегодня батарейку, закончилось все дело скорой помощью и 9 больницей Химический ожог полости рта (язык немного и губы) - припухло все и покраснело (с губ кожица слезла) А дело было так: менял я батарейки у игрушки, старые вытащил и одну лизнул. Я если честно даж не думал, что она таит в себе опасность какую-то. А батарейка с одного конца окислилась, я ее полизал, а она жжет очень сильно. В общем, сижу и вою - смотрю язык красный и с губ кожица слезла и какие-то красные они неестественно На всякий случай скорая увезла в больничку. Там все посмотрели врачи, сказали мазать облепиховым маслом и поскольку рвоты нет, налета во рту тоже никакого, то все вроде нормально должно быть.Сейчас уже припухлость сошла и краснота спала, надеюсь все это для меня без последствий будет.Усачи, не лижите батарейки! И вообще, будьте бдительны!
>>257342Толсто
>>257342Какую именно батарейку лизал?Я сколько лизал ААА и АА максимум что чувствовал это легкое покалывание языка.Та что там автомобильный аккум полизать решил?
>>257344>батарейка с одного конца окислилась
>>257345А, так ты электролита нажрался, помню тоже в детстве такое пару раз было, правда никакого жжения языка небыло, наверное везло мне что электролит был уже отработанный.Нахрена ты вообще к окисленной батарейке языком полез?
>>257348на вкус
Эти вибраторы из моих смартфонов видимо всему миру нравятся раз они в каждом телефоне, не выключаются и соответственно все Говно!
Это я затупок, или эта хуевинка, размером в половину моего ногтя, может пускать через себя 160 ампер?https://www.google.ru/url?sa=t&rct=j&q=&esrc=s&source=web&cd=1&ved=0ahUKEwiRhO6y3pzQAhWBfRoKHUS9AUEQFggdMAA&url=http%3A%2F%2Fwww.st.com%2Fresource%2Fen%2Fdatasheet%2Fstl160ns3llh7.pdf&usg=AFQjCNGVluqa9WH459a09T2PBOZFslNMNw&sig2=NbURl3ko7v78zrdx9WJc1w&cad=rjt
Всем привет, хотелось бы узнать по поводу бесшумных мышей. По вечерам, когда дети ложатся спать, или на работе постоянные щелчки очень сильно мешают, хотелось бы, чтобы мышь вообще не было слышно. В инете посмотрел обзоры о мышах нексус - вроде ничего так написано. Но интересно мнение тех, кто уже юзает такие мыши (если такие присутствуют в треде) - стоит их брать или нет?
>>257356элементарно ... просто купи бесшумные кнопки припаяй их в мыши на место шумных ! я вообще не покупал ( выпаял из старого японского видика ) ! уже не 1-й год их жму и удивляюсь тупости мышестроителей ... возможно даже они делают их так громко специально ...
щелчок делается для выработки рефлекса у пользователя, тактильного и слухового, о гарантированном действии клика В противном случае тупой пользователь не может работать на компутере. Не забываем, что среднестатистический пользователь - очень тупое жывотнае, приспешник всемирных ботнетов.
>>257308Снаббер нужен для "поедания иголок", которые могут повредить и мосфет и биполярник одинаково. Снаббер не нужен т.н. avalanche fet'ам в которых переход приоткрывается (и это штатно и нормированно) по достижении некотрого порога, как стабилитрон.
>>257362Просто щелчок приятен пальцу. Можно его сделать неслышным при этом (то есть чтоб кнопка подавалась характерным образом, но не щелкала), но почему-то так не делают.
>>257352Может. Есть IGBT в таких корпусах, которые и в 1000А могут, применяются в фотовспышках. При этом они высоковольтные.Понятно что речь об импульсных токах, в длительном режиме ему банально ножки не позволят большой ток пропускать.
>>257335Там яркий шнур вращается? Как правило это говорит о превышении номинального тока лампы, происходит т.н. шнурование разряда.
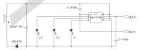
Поясните за схему нюфагу. В прошлый раз мне объясняли, что ток ВЧ проходя через конденсаотор становится током НЧ. Какого хуя здесь на схеме ВЧ идет через конденсатор?
>>257374Тебе не говорили, что "ток ВЧ проходя через конденсатор становится током НЧ", а то, что после детектора и конденсатора большой емкости на этом конденсаторе остается НЧ огибающая АМ-модулированного сигнала.Для любого переменного тока в зависимости от емкости конденсатора тот может представляться как пренебрижимо малям так и большим сопротивлением.
>>257374Уж не из "Радио это просто" Айсберга картинка?
Хочу сделать датчик тока, для этого взял шунт на 0.05 Ом и 12 битный ацп с опорным 3.3В. По моим расчётам после усиления в 20 раз для диапазона 0-3А LSB бит дает значение примерно 0.3 мВ (0.7 мА), правильно ли я понимаю что мне нужен ОУ с напряжением смещения желательно не более 1 мВ для того, чтобы иметь возможность замерять от 2 мА и простейший LM358 мне не подходит? Замеряемое напряжение однополярное с небольшими пульсациями.
/RA пришло время выбрать что мы завтра закупаем на алике со скидками. Может пол кило кондеров? Новый мультиметр? Пинцет? Паялку?
>>257364А как рассчитать снаббер? Померить индуктивность рассеяния транса?
>>257399ты деб? эти скидки хуйня полная, они просто накинули за 2 недели +20% к цене и скидкой эти 20% скинули. Потом цены станут такими же как со скидками.
>>257380Хммммм. Спасибо. >>257383Да, оттуда. Книжка интересная, но уж очень быстро они перешли от азов, которые я знал даже не читая книжку, к какой-то сложной йобе, от которой мозги сворачиваются.
>>257402Ты к нам из бэ наушники спаять? Вали отсюда, полудурок.
>>257408
>>257402Ну не скажи. Я таки нашёл пару товаров с реальными скидками. Прост они у меня в корзине около двух недель лежат и разницу в цене я вижу. Правда есть ещё несколько товаров, которые со "скидкой" стоят дороже чем были. Куплю их после 11.11.
>>257409Политачер? Ясно. Я думаю от кого дебилизмом несет.
>>257411>около двух недель лежат и разницу в цене я вижуНа них добавили цену чуть раньше.
>>257413Не добавили. Я ж смотрел во всех магазинах и сравнивал цены. Кстати, многие продаваны из тех у кого я постоянно закупаюсь вообще в этой акции не участвуют и цены не изменяют.
>>257412Ты на политачеров не гони, няша.
https://ru.aliexpress.com/item/300-2PF-0-1UF-30-valuesX10pcs-300/32417975915.htmlГоднота?
какую самую годную книжку можно скачать чтобы угореть по детекторным приемникам?
Аноны, подскажите магаз в ДС2, где можно купить третью малинку занедороха.
>>257431Борисов, очевидно же. Причем, чем старше будет книга, тем лучше.
Ребят, я полный имбецил, но все же. Есть кнопка 6А/250В, подойдет ли она для отношения 20-30А/5В?
>>257442Если для долговременной нагрузки (больше 5 секунд) то нет.
>>257341э отвечайте на мой ответ
Какие программы использовать чтобы рисовать схему и моделировать процессы?
>>257448Программа называется "отладочная плата"
>>257341>>257444LCR метр купи, бомж ебаныйГотовься закупаться если собрался серьёзно всем этим заниматься
Аноны, может кто знает где можно купить резистор 22 Ом 3вт в ДС1?В интернете нихуя нет по сайтам, везде ждать и только от определенной суммы.
>>257463Поставь два 11 Ом 2 Вт
>>257463Поставь два 44 Ом 1 Вт
>>257124 (OP)Привет, /ra. Такое дело: есть автомобильный вентилятор (работает от 12в). Хочу его сделать регулируемым в плане мощности обдува. Очевидно, мне надо сбрасывать напряжение на входе, но вот как это реализовать я чет слабо представляю. Идеально было бы вкрутить что-то типа диммера, только я читнул одну из первых нагугленных статей (http://melek.ru/info/dimmer_princip_raboti/) и решил, что диммер слишком сложна для меня. Где купить я тоже хз. Из школы помню, что были какие-то делители напряжения на резисторах. Тут у меня трудность в том, что я не знаю какой величины резисторы мне надо брать, и как померить сопротивление самого вентилятора я тоже неебу (мультиметр есть, если что). Потом, если не вподляну, напишите какие детали надо купить, чтобы смонтировать всю схему, ну чтобы было хотя бы 5 степеней мощности для регулировки.
>>257456Какой можешь посоветовать?
Сап, /ra/, помоги неофиту. Имеется входная цепь с емкостными связями, у неё полоса пропускания при повышении частоты расширяется. Мне бы хотелось узнать, чем это обусловлено. Старая аппаратура пошла в разнос?
>>257469DT-9930 напримерлично у меня DT-9935 просто не люблю щелкающую хуйнюМожешь на Али что нибудь по дешману присмотреть, сейчас там как раз распродажи начинаютсяХорошее оборудование необходимо если когда нибудь планируешь стать усатым телемастером
>>257468Какая потребляемая мощность вентилятора?https://www.aliexpress.com/item/DC12-24V-6A-White-Switch-LED-Dimmer-1-Channel-Inline-PWM-Brightness-Adjust-Switch-Dimmer-Controller/32689991279.htmlhttps://www.aliexpress.com/store/product/DC12-24V-6A-Black-Switch-LED-Dimmer-1-Channel-Inline-PWM-Brightness-Adjust-Switch-Dimmer-Controller/1293050_32687978514.html
>>257442Нит
>>257418Говно.Ищи что бы синие были, типа такихhttps://www.aliexpress.com/item/10Kinds-100PCS-Set-Ceramic-Capacitors-Combination-Kit-High-Pressure-2KV102K-821K-Wholesale-Electronic/32753546172.htmlили как у Муратыhttp://www.chipdip.ru/product0/9000238473/
Чем крепить платки к din рейке? Есть варианты лучше чем пикрелейтед?
>>257456сука дебил, у меня есть lcr-метр. Мне интересен способ измерения индуктивности с помощью осциллографа, который написал тот анон что выше.
>>257479>2KVНахуя?
>>257463Поставь 18 ом и 4Или 2 по 10 и 2 по 1
>>257541Запас в жопу не ебёт
>>257539Ну и как ты там, много намерил?
>>257463А вам вообще зачем?Может тебе лучше NTC термистор на 22 Ома поставить вместо резистора?
>>257560Если это для софт-старта, то можно и простой резистор плюс реле. Всё равно он нагреться и испортиться не успеет.
>>257539Я делаю по этому способу: http://meettechniek.info/passive/inductance.html#sineВот например осциллограммы (частота 160кГц, резистор 10Ом) для индуктивности с паспортными данными 10uH. По расчётам получается 9.5uH.
>>257475Мощность хз, 12В ток 0.9А. Девайс с АЛИ збс, только там время доставки больше месяца, а мне уже вчера надо. Резисторов я могу в соседнем дворе купить.
Аноны, нужна ваша помощь. Можно как-то машину заставить ездить? Сама живая, а вот пульт лет 10 назад расхуярил, потому что мелким долбаебом был. Всё на месте, всё живо внутри у неё.Какие есть варианты? Заранее примного благодарен за дельные советы.
аноны можно ли пикрилейтед светодиод 30w подключить к обычному компьютерному блоку питания ATX на 12 w ? Если да то по какой схеме ? Можешь есть гайды где по подключению мощных светодиодов к блокам питания от компа. Мне просто непонятна разница между драйверами для светодиодов и обычными блоками питания.
>>25759612w > 250w
>>257595Можно попытаться найти на нее пульт контроллер - родной или универсальный какой-то. А можно выкинуть всю электронную начинку, оставить только движки, засунуть внутрь пердуину, к пердуине купить беспроводной модуль какой-нибудь и управлять ей уже чем хочешь - пультом, смартфоном, etc. Или вообще робота из этой машины запили, типа как робот-пылесос, только не сосет.
>>257596>разница между драйверами для светодиодов и обычными блоками питанияПринципиальной разницы нет, кроме габаритов. Светодиоду нужно просто стабильное напряжение, близкое к номинальному. И ограничение тока, естественно.>по какой схемеЕсли в этот светодиод встроен токоограничивающий резистор, то напрямую шарашить можно. Только на радиатор его поставь. Если резистора нет, то надо его рассчитать и собрать по схеме пик1, если светодиодов несколько, то пик2. Как рассчитывать - в интернетах смотри, калькуляторов куча.
Нужен для определенных целей маломощный сервер. Какую из PI лучше взять? Модели малинки, китайские апельсины/бананы/что там еще? Занидорага и чтобы охлаждение пассивное.
>>257589А генератор синусоиды у тебя откуда?
>>257602С алика: https://www.aliexpress.com/item/gothic-black-ultra-hude-dildo/32601850164.html
Посоны, годится ли такая схема для питания устройства с одной АА батарейкой от USB?Концы к муляжу под батарейку подведу
>>257604NYET. Делитель на резисторах не годится для питания любого более-менее сложного устройства. Используй LM317.
>>257605Спасибо за ответ. А что не так с током будет?
>>257606С током всё нормально будет, а вот напряжение будет плавать в зависимости от того сколько тока будет потреблять устройство.
>>257607То бишь с делителем скорее всего питаемое устройство вероятно долго не протянет?
>>257608>вероятно убрать>быстрофикс
>>257603А чё насчет резонансного метода?
>>257608Угу, ну или брать резисторы с малюсеньким номиналом и огромной мощности. Правда тогда делитель сам по себе будет жрать дохрена тока и мощности USB может не хватить.Алсо, если будешь заказывать что-то с алика, то лучше бери готовые модули DC-DC. Там выходное напряжение можно настраивать, ну и они почти не греются из-за высокого кпд.>>257610Даже не пробовал.
чоб заказать с али пока скидки
>>257612Возьми вибратор с блютусом и подключи к нему ардуину с блютус модулем, которая будет управлять вибратором, например, в зависимости от мелодии, которую на неё подашь.
>>257560Нужен для платы от стиралки,(r020) я уже писал в каком-то из прошлых тредов пару недель назад. В итоге пришло с ибея, но после замены опять наебнулось, т.к. оказывается не перепаяли шим контроллер(u002).Если кто сможет предложить годную замену, и реализовать это, пишите.
>>257389Повторяю
>>257595Смотри чип, куда подключена антенна, и гугли его даташит. Они парами идут. Один для передачи, другой для приёма. Покупаешь тот, что для передачи и собираешь себе пульт.
>>257595Двачую этого >>257618. Если там какой-нибудь RX2 стоит в качестве дешифратора - то ответная ей TX2 такая в каждом первом передатчике стоит и подойдет любой, совпадающий по частоте (27МГц обычно, но бывает 40 и 56).Что, кстати, у нее там под капотам за хреновина с проводами?
>>257604Если тебя часики запитать или что-то микропотребляющее - то да.Если же что-то более-менее жрущее, оно просто просадит нижнее плечо и напряжение упадет.
Аноны, какие у вас чувства, когда что-то не можете отремонтировать ? У меня такое чувство, как будто я врач и не помог пациенту.
Пизда, что с ценами в чипидипе в последнее время, они вообще что ли берега попутали
>>257616>пишите.Ок.Туда подойдёт любой проволочный резистор от 22 до 110 Ом, мощностью от 2 до 5 Ватт.Думаю даже на 220 Ом будет себя нормально чувствовать
>>257627А что с ними?Постоянно у них затариваюсьЦены какие были, такие и остались.Ну трансформаторы немного подорожали, да.
Суп радивач.Тут вчерась увидел в очередном 11.11 трендже идею которая мне пришлась по нраву, но я нихуя не понимаю (почти).Вот идея - купить с валиэкспресса пока не закрыли нахуй страну gps-трекер самый дешманский и максимально небольшой, купить там же diy-powerbank-kit и вместо одной 18650 напердолить этот самый трекер и запитать его либо от самой банки, либо от одной из 18650, которая не будет тратить заряд ни на что, кроме этого трекера. Но соответственно тут и проблема - как сделать так, чтобы эта батарейка для трекера заряжалась при подключении банки в заряд, но при этом не расходовала заряд при заряде телефона например от банки? И возможно ли это вообще, насколько я понимаю там контроллер типа дохуя отслеживает заряд в каждой батарее и разряжает их перед зарядкой, и если у нас будет так, что контроллер подключен к двум разным по уровню батареям, будет пиздец-гроб-гроб-кладбище-пидор. Идею с "прост подключить gps трекер к банке внутри" я рассматривал но имхо будет палевно что банка всегда что-то заряжает (а сейчас каждые банки идут с ебаными подсветками и lcd дисплеями отображающими состояние) и к тому же когда банка полностью разрядится нихуя не будет отслеживаться.Вопрос: как быть, как это сделать, куда копать, или может вообще есть более адекватные и легкореализуемые идеи для такой же задачи (обеспечить незаметную слежку за тней с постоянной подзарядкой самой же тней)Картинка для привлечение внимания.
>>257634Но зачем?
>>257634Зачем?Не лучше готовый трекер купить?Сейчас даже для велосипедов скрытые gps-жучки продаются
>>257638Блять, не дочитал вопрос до концаСлишком много букв
Собрал тут на коленке пушпуль на 2153. Запустил без силовой, в результате адски греется микросхема, буквально за секунду жгет палец и потребляет неадекватно много тока, около 200ма. Феты проверил, целые. Сигналы на затворах идеальные, времязадающая цепочка нормально отрабатывает, нигде ничего не коротит. В чем может быть дело?
Нужно достаточно эффективно(без тепла и радиваторов) дропнуть 35v до 12 с током до 5A. Стабильность не нужна, хоть +-5ВИдея - к копеечному синхронному баку(23v/4a) прикрутить n-мосфет в нижнее плечо и управлять шириной выходных импульсов через feedback этого бака. Т.е. использовать его исключительно в качестве шим с логикой на выходе 5/10в. Вариант довольно ебанутый, но способен ли он взлететь или эффективнее будет собрать ту же махарайку на 555 или совсем выбросить говно и палки и взять lm2596?Какие вообще доступные преобразователи есть с внешними ключами и допустимыми пределами регулировки 1-50в? LTC3780 дорохо
>>257642dc-dc stepdown
Как убрать жужжание из колонки? Использую обычный усилитель и трансформатор для питания. На всех проводах и так есть ферритовые кольца
>>257640Кароч идите нахуй пидоры, хуй кто поможет.Поменял микросхему и теперь все работает нормально.
>>257642XL4016 у китайцев не нравится?LM2596 такой ток не потянет.
>>257628Если так всё легко, почему нигде об этом не написано?
>>257649>XL4016 О, охуенно. Спасибо.>LM2596 такой ток не потянетЗнаю, просто привёл известную мне альтернативу.>>257645Лишь бы спиздануть.У меня целое ведро этих dc-dc stepdown. Я обозначил конкретные параметры - внешние ключи, 35-40в допустимое напряжение и запас по току. Как LTC3780 только дёшево.Я хочу иметь возможность использовать более мощные ключи, пусть и с меньшей эффективностью, но не могу найти доступных микросхем такого типа.XL4016 отлично подходит под мою задачу, ибо дешево и по параметрам ок, пусть и со встроенным ключом.
>>257668Есть ещё lm2678. У него частота больше (260кГц по сравнению с 180кГц у XL). С ним даже можно готовую катушку использовать, а не мотать самому.
>>257637>>257638>Но зачем? => >>257634>обеспечить незаметную слежку за тней с постоянной подзарядкой самой же тней
>>257625Меня такие ситуции бесят.При этом половина ненависти и лучей поноса программистам, которые пишут "несуществующую" хуйню, способную вызывать настоящие проблемы, половина современному положению вещей - не позволяющему иметь нормальную документацию.
>>257634Просто запитай от батареи повербанка, трекер жрет-то всего ничего. Если его вообще кто-то будет заряжать, в чем я лично сомневаюсь.Бабье никогда не заряжает ничего, чем пользуется эпизодически.
>>257673Не, она телефон постоянно заряжает от повербанка, так что периодически заряжает и сам повербанк. Если я запитаю его прямо от повербанка, как сделать чтобы эта хуйня постоянно не показывала что что-то заряжает? И насколько немного он жрет, если к примеру раз в 10-15 минут он будет отсылать через жопорез-симку координаты?
Не знаю куда написать, напишу сюда.Я, короче, подключаю пк-кулера к 220. Использую для этого старые зарядники от телефонов.Первый подключил на ура:- Кулер потребляет 12V и 1A- Зарядка выдаёт 12V и 1AВсё как положено.Со вторым проблемы:- Потребляет 12V и 0.16A- Зарядка выдаёт 12V и 500mAПодключил его, включаю, ноль реакции.Кулер 100% рабочий, про зарядку не скажу. Проблема в амперах? Какое они вообще оказывают влияние на работу? Я в эту йобу не могу, совсем. Поясните.
powerbank поднимает напряжение аккумов до 5.5в, телефон обратно его понижает для своего такого же аккума — какая экономия была бы, если б напруга зарядника поднималась только до изначальных 4,35В?нормальная ж наверн.
>>257679> Какое они вообще оказывают влияние на работу?Зарядка - это источник напряжения, а значит ток (который измеряется в амперах) определяется потребителем, но в пределах возможностей зарядки.> Зарядка выдаёт 12V и 500mAОзначает, что зарядка выдаёт 12V и ток от 0 до 0.5А, что должно хватить для кулера, которому нужно только 0.16А.Можешь мультиметром или лампочкой проверить саму зарядку?
>>257680>если б напруга зарядника поднималась только и телефон заряжал бы напрямую свою акб.
>>257680> какая экономия была быПочти никакой DC-DC преобразователи имеют очень высокий КПД. А вот универсальность стоит того. Один USB для всех телефонов.
>>257683>очень высокий КПДкакой
>>25768490-95%
>>257681Я думаю ток в вольтах определяется.> мультиметромНету.> или лампочкойОбъясни как. Повторяюсь, я в этом ничего не понимаю.Алсо, это, похоже, не зарядка, а питалово для тплинковского говнороутера. Может это что-то меняет?
>>257686>ток в вольтахага, и ток реки не по объёму, а по скорости — точн.
>>257686> Я думаю ток в вольтах определяется.В вольтах напряжение, а в амперах ток.> Может это что-то меняет? Сфотографируй блок питания, чтобы было видно всю инфу о нём. Может он просто переменный ток выдаёт.
надо напряжение переименовать в напор, а то хули всех путать.
>>257688> В вольтах напряжение, а в амперах ток.Я думал это одно и тоже.Пикрел мой.
>>257689>>257690>одно и тожеконечн, как и скорость реки и величина русло это одно и то же другими словами, ага.
>>257690Блядь, а ведь если подумать, то больше у меня их и нет, только несколько штук по 9v, а новые стоят как сам кулер, а то и больше. В связи с этим вопрос: Можно ли подключить к одному заряднику несколько кулеров?
>>257690Ну тогда хуй его знает. Возможно неисправен, но диагностировать его на расстоянии с твоими знаниями я не буду.>>257692> несколько штук по 9vМожно и к этим подключить. Просто вентиляторы будут крутиться чуть медленней и тише.> Можно ли подключить к одному заряднику несколько кулеров? Можно. Просто следи, чтобы суммарный ток (который в амперах) кулеров нге превышал максимальный ток блока питания.
>>257693> Можно и к этим подключить. Просто вентиляторы будут крутиться чуть медленней и тише.Сойдёт, спасибо.> Можно.А как конкретно? У меня два провода от зарядки (+ и -) и 2 от кулера (тоже + и -), если добавить сюда ещё кулер с двумя проводами, то мне будет нужно впихнуть 4 провода в 2. Как?
>>257694Соединяй все +, а затем все -. То есть параллельное соединение всех кулеров.
>>257695Хорошо. Впрочем, пока не надо, кулер завёлся от девятки, добра тебе.Активный у вас раздел, однако. Я уже готовился пол дня ответа ждать.
Сап, радач, хочу вкатиться в радиотехнику и для начала сделать что-то хотя бы на уровне детских уроков труда(перключающиеся лампочки и подобная хуета, не закидывайте помидорами, я не даун, все с чего-то начинают).Такой вопрос, какие детали и оборудование мне могут понадобиться и где их достать(не идти же в магазин радиодеталей из-за этого, мб есть место, где валяется электронный мусор, кек.
>>257696Только что попробовал ради лулзов замкнуть + и - в том заряднике. Замкнул, зарядник стал пищать, пи-пи-пи-пи, с рваной периодичностью. Я надеялся на взрывы, кишки, распидорас. По этому можно поставить диагноз?
анончки, подскажите где на али можно купить ферритовые кольца диаметром 25 и больше мм
>>257701А тебе для чего? Какой материал нужен?
>>257702n87, для трансформаторов
>>257702чет я сколько ни искал, везде только сердечники из распыленного железа
>>257702https://ru.aliexpress.com/item/EWS-36mm-Outside-Dia-Green-Iron-Inductor-Coils-Toroid-Ferrite-Cores/32656698944.htmlвот этот к примеру, тоже из железа же?
>>257704> n87Ищи аналог со схожими характеристиками под название PC40. Там их дохрена.
Анон, в общем есть одна аналого-цифровая микросхема. 1. Я не могу понять зачем на 1 пике(цифровая часть) нужно 2 кондера - полярный и неполярный, почему нельзя обойтись одним?2. Какой лучше ставить кондер для аналоговой части(пик 2), электролит на 1 мкФ или керамику(пленку и т.д.) на 0.1 мкФ?
>>257711> 1. Я не могу понять зачем на 1 пике(цифровая часть) нужно 2 кондера - полярный и неполярный, почему нельзя обойтись одним?Керамика нужна если вдруг микросхеме резко понадобится дохуя тока на очень короткий период, элетролит такую хуйню может ниасилить. Потому и ставят керамику на 100нФ параллельно уже с большими элетролитами.> Какой лучше ставить кондер для аналоговой части(пик 2), электролит на 1 мкФ или керамику(пленку и т.д.) на 0.1 мкФ? Хуй его знает. Ты хоть дай даташит на микру, а то тут ещё гадать не хватало для чего этот кондёр нужен.
>>257711фишка в том, что электролитические конденсаторы имеют хорошую емкость, но не работают на высоких частотах, а керамические конденсаторы хорошо работают на высоких частотах. по этому ставят несколько конденсаторов.электролитических для защиты от помех на низких/средних частотах, керамика на высоких
>>257712Даташит http://lib.chipdip.ru/083/DOC001083586.pdfЯ заметил что в разных схемах ставят от керамику, то электролит. Но все же хочется узнать что ставить предпочтительнее пока я еще не начал травить плату.
>>257716Ах, лол. Ставь везде 100нФ керамику как можно ближе к ножкам микрухи (плёнка тут нинужна, лишняя трата денег). Тот электролит можешь поставить отдельно на плате где подключается питание, можешь даже взять более ёмкий, на 100мкФ например.
>>257717Спасибо. У меня дальше будет реле, если я впихну дальше электролит на 100-2200 мкФ(компенсация времени на переключение реле хочу чтобы устройство могло работать как от сети, так и от батареек) то мне не нужно будет менять емкость керамики?
>>257709Благодарю
>>257674Запитываешь напрямую от батареи (а не от выхода 5В). При этом банк знать не знает, что к нему там что-то подключено. Для него это как была так и остается батарея, просто как будто у нее саморазряд вырос. Саморазряд контроллер повербанка диагностироватьь не умеет и никак отображать его не будет.
>>257700Это говорит о том, что БП работает и увидев замыкание ушел в защиту.Наверное ты полярность перепутал, когда кулер подтыкал.
>>257720Не. Ставь 100нФ.>>257724> Наверное ты полярность перепутал, когда кулер подтыкал. Разве ему не похуй на полярность?
>>257725Нет конечно. Там внутри микросхема, которая нюхает магнитное поле и коммутирует обмотки.
>>257725Спасибо.
Анон, помоги рассчитать данную задачу. Она уже пропита вчера, но хотя бы понять алгоритм решения. Вот что я тут надумал1. Первый вывод приходит сам собой. Исходя из условия равновесия симметричной трехфазной цепи выходит то, что получаемые значения из амперметра и вольтметра принадлежат 3 фазе.2. В итоге, мы можем расчитать нагрузку Z3 путем деления напряжения фазы на ток, что будет равноценно Z2 и Z1, из условия задачи.3. Вот тут начинается непонятка. По идее, метрические приборы показывают действующее значение, а значит токи и напряжение должны быть различны на 120 градусов на диаграмме, что в сумме при включенной третьей фазе должно давать ноль. Логично. Но как найти значения других фаз? 4. Ну а далее должно быть более менне понятно, потому что нам известны значения других фаз. Умножаем нагрузку на 1,37 и продалжаем расчет, чтобы в сумме давало 0.Собственно вопрос. Как найти значения других фаз?
>>257650Нет смысла писать о таких элементарных вещах.
>>2577111. Это для снижения ESR конденсатора.2. Low ESR электролит.
Анон, халп! Гуманитарий врывается в нить.Короче, мне дали погонять ЧПУ станочек. Пока я разбирался с его софтом - из коробки контроллера пошёл дымок и станок как-то задёргался по одной из осей. Я вырубил, разобрал и увидел пикрилейтед.2 зелёных провода соединяют катушку (на ней написано маркером "24V 150") и диодный мост KBPC2510W. Эти 2 провода пошли по пизде от перегрева. Визуально замыкания не было. Остальное тоже вроде цело. Дымок идёт из самого диодного моста.Анон, я физику прогуливал, поэтому вопросы такие: 1) Это вообще похоже на симптомы "пизда мосту"? Такое могло случиться от перегрева (кулер на фотке уже я скинул, но охлаждение там действитеьно было не алё). 2) А может козлячить, например, катушка, а мост - уже как следствие? Как правильно проверить и найти?3) Катушке на вход идут 220В. Почему на ней написано 24В? Разве катушка понижает напряжение?В общем, анон помоги найти причину, плс. Станочек до этого работал годами, но стоял в цехе, где воздух более-менее двигается и прохладно. Перегрев моста - единственная моя версия сейчас.
я чет не понимаю, вот я меряю китайским тестером электролит. Показывает ESR=2.5 Ома. Потом мерию пленочный кап, показывает ESR=18 Ом. Керамику так же показывает 18 ом. Что за хуйня? Почему у пленки и керамики esr больше, чем у электролита?
>>257731UPD: измерил диодный мост как сумел (тестер в режиме проверки диодов):- минусовой вывод и последовательно обе ноги переменки — ~700 Ом- плюсовой вывод и последовательно обе ноги переменки — показывает чуть больше 0 ОмЭто КЗ внутри моста — я верно понял?
>>257733>- минусовой вывод и последовательно обе ноги переменки — ~700 ОмТы точно правильно мерил?
>>257734Перемерил ещё раз. не 700, а где-то ~500 Ом.Насчёт правильности - хз. Впервые делаю:Мультиметр в режим проверки диода (значок диода)1) один щуп - к минусовой выходной ноге. Второй щуп - последовательно к одной и второй входным ногам с переменкой. Оба раза показывает ~500 ОмМеняю щупы местами - тот же результат.2) Один щуп к плюсовой выходной ноге. Второй - последовательно к одной и второй входным ногам с переменкой. Показывает ~0 Ом. Меняю щупы местами - тоже ~0 ОмВерный алгоритм? Диодный мост под замену?
>>257735Пиздец мосту, неужели не понятно?И да, в режиме проверки диода так-то не омы должны быть.
>>257737> Пиздец мосту, неужели не понятно?Догадывался, но т.к. опыта нет — решил спросить антона.> И да, в режиме проверки диода так-то не омы должны быть.Ой. Гугл подсказывает, что это милливольты. Спасибо.
Как в импульсниках стабилизируется напруга? Ведь при увеличении нагрузки увеличивается падение напряжения на ключах и соответственно уменьшается выходное напряжение. Берут ключи с 10-кратным запасом по току что ли? Имею в виду повышающие преобразователи типа 12->300 вольт.
>>257740> НапругаНапружил тебе за щеку, обоссан.
Как думаете, стоит заземлять корпус кварца, или особых профитов в этом нет?
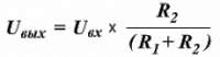
Электроники выручайте!Взяв резистор с сопротивлением 1.0 Ом (мерил мультиком), взяв блок питания на 3 вольта постоянки(проверил мультиком), подсоединил резистор в цепь(последовательно), мультик по прежнему показывает 3 вольта, що не так?
>>257750Что за мультиметр?Резистор прецизионный?
>>257750>мультик по прежнему показывает 3 вольта, що не так? Все так и должно быть. На резисторе падают все 3 вольта.
>>257750Всё правильно. У вольтметра сопротивление должно быть очень большим и в итоге получается, что на резисторе падает практически нихуя, а вся напруга по прежнему падает на мультиметре, что он и показывает. Представь, что вместо мультиметра стоит резистор на 1 мегаом и посчитай падение напряжение на каждом из резисторов в это делителе напряжения.
Нюфаня в треде, смогу запилить подобное, и во сколько это обойдется. В комментах пишут что заказывали из аниме за 500 $https://youtu.be/YMZUKWtS4kQhttps://youtu.be/TEBdE2oR48s
Сап, радач, хочу поиздеваться над батареей ноутбука и поменять банки на новые.Про блокировку контроллера знаю, но есть хитрый план подкинуть питалово на каждый из выходов платы напрямую и потом уже отрезать батареи, т.е питалово с контроллера не пропадет. Проверил уже, закинул напрямую - ничего не блокнулось, все окей, но отрезать еще не пробовал.Все правильно сделаю?новую батарею на всякий случай уже заказал
>>257723Ок, спасибо няша.
>>257751>Что за мультиметр?ДТ восьмисотый>>257751>Резистор прецизионный?Я не знаю, обычный резистор, с какой то игрушки его выпаял.>>257752>Все так и должно быть. На резисторе падают все 3 вольта.Все равно не понимаю.>>257753>Представь, что вместо мультиметра стоит резистор на 1 мегаом и посчитай падение напряжение на каждом из резисторов в это делителе напряжения.Я просто хочу понизить напряжение с помощью резистора, чтобы понять как оно работает и закон ома.
>>257760> Я просто хочу понизить напряжение с помощью резистора, чтобы понять как оно работает и закон ома. Для того чтобы понизить напряжение нужно как минимум два резистора. Гугли делитель напряжения.
>>257758Прям несколько дней назад на шварбре или хиккатаймс было про замену банок в аккуме нубука. Погугли.
>>257760>Я просто хочу понизить напряжение с помощью резистора, чтобы понять как оно работает и закон ома.Тогда тебе нужно два резистора. Но резисторы это не самый лучший способ понизить напряжение. Лучше используй кренкулинейный стабилизатор, а еще лучше импульсный преобразователь.
>>257763По ключевым словам: ноутбук, замена, 18650 ничего нет за последний месяц. Похоже не там ты видел, посмотри в истории, будь ласка.
>>257741Ну ка брысь обратно в /b/.
>>257768Ой, вскукареки неграмотных чмош пошли, я даже скобочку поставлю.)
Короче, анонимусы, выручайте. Монитор ебет мозг, ирл, я уже заебался с ним. У меня Samsung SyncMaster 940bf, сначала полетели кондеры, начал трещать и пищать, я заменил их, но блять каким-то образом закоцался DVID разъем, решил новый запаять, заказал с али экспресса и угадай у кого руки из жопы? Правильно, я сделал так, что его туда уже не припаять. Ладно, остался еще один разъем, VGA-шный, ну, синенький такой. Подрубаюсь через него и охуеваю, на экране преобладают красные цвета и с гаммой пиздец. Как ни пытался настроить, нихуя не получается. Ебался 2 дня с настройками и в итоге немного смог сделать привычные цвета через панель ИНВИДИА, но сука в играх они сбиваются :D Короче анон, из за чего эта хуйня может быть и можно ли как-то вылечить?
Аноны, у меня встал вопрос. Вот вбил я в гугл допустим "18650", выдало сайты с описанием аккумов. Я зашел на один, глянул комменты, а там какая-то дичь. Куча вейперов рассуждают об амперах, намотках, павербанках и т.д. Я не пойму чет, как это все эти долбоебы и тупые пезды слово "павербанк" то смогли запомнить? Почему вдруг все стали такие умные? Они же небось не знают даже какое напряжение в их айфонах. А как стали вейперами, так сразу же стали неебаться специалистами в электронике, аккумуляторах и зарядных устройствах?
>>257775А что там сложного? Достаточно закон ома более-менее понимать. Ну самые одарённые вейперы делают ключи на мосфетах по готовым схемам для своих самодельных парилок. Ну и дебилов там хватает. Специально для вейперов хитрые китайцы выпускают перемаркированные 18650 с токами по 40 ампер и ёмкостями до 10000ма*ч, даже добавляют код для проверки на сайте и защиты, чтоб все точно знали что оригинал. Ну и цена в несколько раз больше чем у нормальных топовых батареек.
>>257761>делитель напряженияНашел, попробую собрать о результатах отпишусь.>>257764>Лучше используй кренкулинейный стабилизатор, а еще лучше импульсный преобразователь.Я только вчера научился различать резисторы, кондеры, теристоры а ты мне такие про такие ебы рассказываешь, рано мне это еще, буду начинать с малого)
>>257776Ты серьезно думаешь, что каждый школьник с электронным дилдаком во рту знает закон ома?
>>257778А что там сложного?
Радиач, простой вопрос.Почему блядские светодиоды иногда начинают осциллировать? Что за хуев генераторный режим у них, и от чего зависит?
>>257779Ну так это для тебя не сложно. А для школьника, который ни разу не сталкивался с электроникой, но купил дилдак потому что модно, это темный лес. Да и вообще, нахуя ему это все знать? Нажал кнопку и сосешь, не понимаю этих проблем.
Есть деталька в металическом корпусе с двумя ножками, написано 27.145 MHz что это?
>>257783Кварцевый резонатор.
>>257780Перегрев кристаллаЧто? ДХО замигали?
>>257787Нет, простой интерес связанный с наблюдением за диодами, не только в авто. Кстати с лампами для домашнего освещения реже бывает.
>>257731Мост под заменуТранс возможно тоже под замену
>>257788Это из-за разных схем подключения
>>257784Спасибо. Какие же тут все умные.
>>257777Спаял. С 3V до 0.31V снизил.R1 - 326 ОмR2 - 40 Ом
11112222
Подскажите. Вот если я хочу умный выключатель, то как его запитать?Когда лампочка выключена, можно последовательно подключиться. А когда включена, чё делать? Шунт какой-то делать или как это делают люди?
А не подскажите как ставить резистор - перед светодиодом или после него? Или вообще похуй?
Импульсный трансформатор 6+6/180 витков, питание 15 вольт. На выходе должно быть не более 450 вольт по моим расчетам. А в реальности там 600 вольт. Где я проебался?
>>257796Причём китайцы это делают, это реально.
>>257797Без разницы
>>257792Да пизда нахуй
>>257801Ясно. Спасибо.
>>2577961) Сурово-надежно из готовых комплектующих. Ставишь вместо выключателей кнопки, в щиток ставишь импульсное реле или готовую сборку из n штук. На упр.вход реле подключаешь параллельно кнопки и выходы контроллера. http://www.audon.co.uk/mobdus_slim/MOD-8TR.html2) IoT стайл. Взять китайский зарядник, esp8366, подключить к ней кнопку, оптосимистор/реле и запихать в подрозетник. Залить easyesp, подключить к серверу.2.1) Дополнительный балл за использование скрипта исполняемого на esp, что позволит выключателю работать без wifi.
>>257805Не, ты не понял. Как запитать ESP8266 от двух проводов в выключателе? Без розеток, низковольтных питаний, батареек.
>>257806На выключателе у тебя должна быть фаза и ноль. Заказываешь с али HLK-PM01 или HLK-PM03 но тут надо проверять как esp будет жрать 3.3в из-под импульсника это хуитка размерами 30х20х15 которую можно припаять к плате. Ставишь ld1117-33 если надо и подключаешь esp.
>>257809Не, ты не понял.Вот тебе схема.Как достать немного тока пока лампочка горит?
>>257810О, о, я придумал. Взлетит?Лампочка ведь будет гореть через трансформатор? А в это время потребителю будет 8 вольт с запасом, чтоб сделать 5 или 3.3Правда трансформатор будет пиздец здоровенный. Пусть даже не 10 ампер для лампочки, а 2, всё равно здоровый.Как же китайцы это сделали?
>>257811Я ведь правильно понял, что чтоб через трансформатор зажечь 200 ваттную лампу, например, нужен трансформатор на 2 ампера?
>>257812Или может тратсформатор вообще будет разрывом? Там хоть и медь намотана, но там какая-то магия происходит, которая не даёт произойти КЗ в ней, может лампочка без нагрузки трансформатора вообще гореть не будет?
>>257810 Достать-то можно, но это будет или лютый обогреватель или совсем не универсально в плане применяемых ламп.>>257811>Как же китайцы это сделали? Там тупой 433мгц радиомодуль, он жрет на порядки меньше чем esp.Нагрузка управляется от latching реле - оно требует питания только для переключения.Для питания во включенном состоянии наверняка стоит маленькая литиевая батарейка с подзарядом в выключенном состоянии.
>>257814
>>257780Отвал контакта от кристалла. Кристал греется - контакт отходит, остывает - приконтачивается снова, светодиод мигает.Почему-то, сука раньше такого с красными-желтыми-зелеными никогда не было, а сейчас с белыми-синими сплошь и рядом.
>>257798В том что ИМПУЛЬСНЫЙ.Может у тебя индуктивность рассеяния дополнительный выброс дает. Нагрузи - просядет до номинала.
>>257813В практических схемах лампа включается тиристором.Электроника управления питается через конденсаторный балласт параллельно симистору - это дешево и малогабаритно.Симистор открывается фазоимпульсной схемой, но не на 100%, а чуток остается на прокорм.Никаких импульсных реле там само собой нет, как тут теоретики хуйню несут. Существующие на практике такие реле - крайне маломощные и не годятся для коммутирования сетевых ламп.
>>257818>лампа включается тиристором.И куда деваются добрые два десятка ватт тепла при заявленной нагрузке в 2квт? Китайцы конечно рады пиздеть но не на порядок же. Да и наклеечка с ресурсом в 100000 намекает.>Существующие на практике такие реле - крайне маломощные и не годятся для коммутирования сетевых ламп. На digikey сам зайдешь посмотришь? Их там завались, что миниатюрных на 5А что стандартных на 16А.
Купил ленту на ws2812 с 450 диодами, пиковое потребление ~5А при 5В.замерял на беломХочу запитать её от одного источника на 24В через два или три MP1584ENготовые dc-dc с али Как это делать?К источнику подключаю параллельно три MP1584, дорожку VCC ленты делю на три изолированные части, каждую часть запитываю от отдельного MP1584, земля и DATA остаются общими для всей ленты. Взлетит?И еще подскажите что за разъем на блоке питания, третий пик.
>>257793>Спаял. С 3V до 0.31V снизил.R1 - 326 ОмR2 - 40 ОмАноны что то нихуя по формуле не сходится.Смотрите R2(40/366) = 9.153.0*9.15 = 27.45Что я делаю не так? Как посчитать?
>>257824Ошибся, сейчас еще раз пересчитаю.
>>257825>>257824А нет, не ошибся. Что я делаю не так?
>>257824> R2(40/366) = 9.15> 3.0*9.15 = 27.45Ты считаешь что-то не то. ИтакUвых = 3∙(40/(326 + 40)) = 3∙(40/366) = 3∙0,109 = 0,327
>>257796Аналогично пикрелейтед
мобиль. устройства (тел-ы/планшеты, например), со временем портятся и начинают глючить (чтобы вы купили новое) — какие компоненты там портятся? конденсаторы? ещё что-то ? сделать же можно съёмными, в идеале.
>>257833Аккумулятор, флеш память
>>257834ага из-за этого глючат, гений.во флеш памяти исключаются бэды и не используются.
>>257765Не нашел, сорян. Посмотрел все ресурсы которые чаще всего читаю, не нашел. Вероятно было где-то еще открыто просто.
>>257820Взлетит но MP1584EN будут греться как сукиСоедини две ленты последовательно и будет тебе счастье
>>257839алсо
>>257833Достаточно через SP Flash Tool форматнуть телефон и поставить новую прошивку
>>257843и что от форматирования меняется?обычно перепрошивка не помогает (и разве перепрошивка возможна без форматирования?)
>>257844Это не такая перепрошивкаПри такой "прошивке" все косяки остаютсяДелай как тебе дядя говорит, галочку с прелоадера только сними.
>>257845>>257845>Это не такая перепрошивка>При такой?>>257845>Делай как тебе дядя говорит>>257844>и что от форматирования меняется?
>>257846Ой всё...За новым телефончиком беги
Радачик, а если на проц минуя шим цп подать 4 вольта, что будет?
>>257839>будут греться как суки>горячие сучки>будто что-то плохое
>>257848пизда процу
>>257817Да, ты прав анончик. А сильно нагружать? 100ком резистор пойдет?
>>257850а если кратковременно?
Поверхность цементного резистора изолирована от цепи или нет?
Кто-нибудь сталкивался с проблемой очень сильных помех на аудиовыходе компа? В чем может быть проблема? Кондеры проверил - с ними все в порядке.
здрасьте. мне нужно тупа детальное (не схема, а детальное пояснение что к чему припаивать, шаг за шагом, т.к. в схемах я не шарю). вот такой хуйни:https://www.youtube.com/watch?v=OhX7GSRz7tgили этойhttps://www.youtube.com/watch?v=oQHZyQ96S7Yну или этойhttps://www.youtube.com/watch?v=dp8JlFxcZ5wвозможно, есть даже тред? нетвозможно, даже есть анон из вк который очень добрый, и ответит мне на все мои тупые вопросыжду ответа как соловей лета
>>257819Иди сам, найди и покажи.Over 2A и желательно не по $50 за штуку. Пиздобол на пиздоболе, пиздоболом погоняет.
>>257820Да, все взлетит, это штатное включение.>>257839У него цифровые диоды, их нельзя так включать.
>>257853Чет нихуя не помогает резистор. Только напряжение сильнее стало скакать, а амплитуда та же - 600 вольт.
>>257853Зависит от энергии, застревающей в этой самой индуктивности рассеяния.Классика ее удушения - это RC-цепочка параллельно выходной обмотке.
>>257871100к мало.Обычно RC цепь содержит достаточно низкоомный (около 10 Ом) резистор и конденсатор малой емкости (1000 пФ или типа того), чтоб он на основной частоте сильно не шунтировал, а только на этом звоне.
>>257855Мгновенно.
>>257863Чаще это из-за земляной петли происходит.
>>257875Как пофиксить без покупки внешней видюхи не в курсе? Мать Gigabyte P55-UD3L. Если не убрать шумы то может хоть как-то можно сгладить, диоды там куда-нибудь напаять или вроде того?
Транзисторы и тиристоры очень похожи с виду как их отличать?
>>257867Наркоман? Дугу не можешь сделать?
>>257873Хм, попробовал щас 30 ом+440 пф (что было под рукой). Амплитуда все те же 600 вольт, только теперь это не короткий импульс вначале, а длинные 600 вольт чуть ли не в половину полки.
>>257876Причем здесь другая видюха? Вариант - покупка других колонок.
>>257879Ну ты основной выпрямитель нагрузи все-таки на что-то штатное.
>>257881Дык это. Он должен конденсатор заряжать до 450 вольт и всё. Т.е. минимальный ток в конце=0. Ставить резистор?
>>257882Ставь тогда датчик напряжения и вырубай преобразователь. Ну или разберись с RC снаббером, чтоб не наугад его лепить, это работоспособная штука.
>>257882Кстати, в программе для расчета импульсных трансформаторов советуют ставить дроссель после моста. Он поможет?
>>257878блядь какую дугу??я ньюфаг, вообще не шарю нихуя в радиодеталях, и схемах.
олсо, я тут прост подумал что если шарить во всей этой хуйне, я бы был тупо миллионером. домофонные ключи, шокеры, хуекеры. блядь, там столько всего можно делать и продавать быдлу, что глаза разбегаются.в этом разделе по меньшей мере миллионеры сидят, бля буду. жаль, я долбоеб и нихуя не шарю в этом от слова совсем. с другой стороны, мне даже ответить не могут
>>257887Проиграл с тебя. Вся эта хуйня производится в китае по цене от 50 центов. Миллионер уровня /b/
>>257887А что тебе ответить? Миллиардеры заняты, инструкцию некому написать.Довелось видеть несколько обсуждений уровня (не схема, а детальное пояснение что к чему припаивать, шаг за шагом, т.к. в схемах целевая аудитория не шарит).Они все через какое-то время опускались до уровня "а зачем нужен припой и паяльник, я щас всё так скручу", а потом и ниже.Обсуждения разных самоделок конструкций были в /w и на ганзе. Вангую что пердолиться с заливкой траснформатора эпоксидкой с вакуумным насосом ты не будешь. Купи готовый, дешевле выйдет.
Анон, помоги понять что нужно замутить чтобы читать на компе показания счетчика Каскад-1-мт. Какие есть способы и приблуды? Счетчик опломбирован и видимо доступны только оптопорт и радиоинтерфейс, но я хз как это все узнать. Подскажи
>>257883Есть че почитать годного по снабберам? В гугле гайды только для снабберов первичек, тиристоров, мосфетов. А для выходных цепей нихуя нет
>>257896>но я хз как это все узнатьСмотри полное обозначение прибора.Если что, в основе оптопорта — RS-232/UART, вооружённый светодиодом и фототранзистором. Пикрелейтед 3 (установка драйвера для оптоголовки) не даст соврать.MeterTools с его доками тебе в помощь.
>>257899Спасибо за ответ добрый анон. Но у меня в конце полного названия ебала не обозначенная в доках: Каскад-1-MT-D5-A1-230-5-60A-S-OV3 а софтину я поставил, только нада видимо железку купить типа УСО-2 USB?
>>257900>ебала не обозначенная в докахВо всяком случае, оптопорт выглядит как указано на пикрелейтедах.>нада видимо железку купить типа УСО-2 USBДа, с готовым устройством будет проще. Только обращай внимание, чтобы в характеристиках значился «дуплексный обмен».
Прошивал атмегу328р, собирался работать с внешним кварцем, выставил в нули фьюзы cksel, остальные остались на единице, прошил в дудке - и контроллер залочился. Что я сделал не так? Нужно ли было подключать кварц в схему программатора? И как теперь исправить?
>>257911Не понял, чо не так? Ты выставил тактирование от кварца, будь добрь поставь кварц или иди на хуй
>>257912Да я уж не знал, что кварц надо сразу ставить. У меня отдельно сооружена схема программирования и отдельно - рабочая. Кварц стоит в рабочей.
>>257913бля, купи макетную беспаечную плату и не еби себе моск. втыкаешь кварц, втыкаешь 2 капа по 22пф, втыкаешь программатор, готово
>>257914Скажи мне, анон, только одно: конфигурация фьюзов сама-то правильная? Ошибка была только в отсутствии кварца?
>>257915не помню я, читай в даташите. Я вообще пользовался программой extreme burner вроде бы, там просто выбираешь из списка тип тактирования и остальные опции и он сам выставляет фузы как надо.
Никто не в курсе влияет ли частота внутреннего осцилла меги на ее энергопотребление?
>>257917Даташит в курсе.
>>257920Значит всетаки влияет. Спасибо.Ссылку на даташит кинуть можешь, а то конкретно в моем даташите этого нет.
>>257923http://www.atmel.com/images/Atmel-8271-8-bit-AVR-Microcontroller-ATmega48A-48PA-88A-88PA-168A-168PA-328-328P_datasheet_Complete.pdf
>>257924Спасибо.
Пезда, чет не понимаю. На резисторе R1 возникает пульсирующее напряжение положительной полярности отрицательные полупериоды срезает диод. Куда дальше идет ток? Через база-эмиттерный переход он же не сможет пройти, тому шо это pnp-транзистор. Он может только закрыть его, создавая положительное относительно эмиттера, напряжение.
>>257894как раз таки хотел бы попердолиться. только я даже не знаю с чего блять начать . с каких комплектующих.хуй тот пишет из ролика что он не раз обжегся начиная с аккумуляторов, там не каждый подходит.заработать на этом можно дествительно баснословные деньги, спрос есть. МОЩНЫЕ шокеры не продаются в РФ, если ты не понял, или у тебя хуево с различиями 3вт и 70вт
>>257931>заработать на этом можно дествительно баснословные деньги, спрос есть.Это ты товарищу майору будешь говорить, когда кого-нибудь уебут твоим шокером и в твоем анусе окажется бутылка.
> МОЩНЫЕ шокеры не продаются в РФ, если ты не понял, или у тебя хуево с различиями 3вт и 70вт Я с тобой спорить не намерен.Где можно почитать об этом я тебе сообщил. Треды с оружача наверняка сохранены на архивач.Подобных тредов тут - нет. Ты можешь исправить это упущение.
Анон, поясни за датчики угла поворота, а то в интернете хер поймешь, что написано.http://www.bourns.com/data/global/pdfs/PEC11R.pdfЭта параша постоянно два меандра выдает, или как? Куда в нем землю, куда напряжение подключать нужно, и на как вообще с него сигнал считывать?
>>257935> два меандра выдаетНет. По сути стоят 2 кнопки, которые срабатывают с небольшой разницей во времени. > Куда в нем землю...Средняя нога - общая. крайние - выводы "кнопок".
>>257939Ну, вообщем я уже и сам разобрался.
>>257934я уже нашел вот этот ведос. думаю, даже такой еблан как я должен справиться. дело за малым - 7000р на комплектухи не в тапки срать
>>257945https://www.youtube.com/watch?v=-4U1izkDnD0местные кулибины наверняка все это с закрытыми глазами сделают. а может и лучше. жаль, что я долбоеб
>>257841У меня только одна лента которую не хотелось бы резать и она на 5 вольт, а не на 12. Плюс мне нужна общая земля и общая линия данных.У меня много MP1584, на каком токе они не будут греться как суки? Или проблема не в токе?
>>257884Теоретически - да, он может размазать ток от индуктивности рассеяния.
>>257897Увы, у меня нет. Я практик - я их вижу постоянно в практических конструкциях, теперь стал лучше понимать зачем оно и как работают, но тории расчета не знаю.Гугль знает, наверняка.
>>2579491.5/2A не будет вырубаться от перегрева. Даже с маленьким радиватором можно стабильно выжимать 3/3.5можно соединить параллельно модули и их FB.
>>257928Дальше ВЧ переменный ток идет в конденсатор С3, постоянный ток идет в резистор R1, а НЧ переменная составляющая идет как в резистор R1, так и в базу транзистора, через конденсатор С4.Постоянный ток через С4 не проходит, и постоянное смещение на базе транзистора задается резистором R2. Транзистор приоткрыт и НЧ сигнал его либо дополнительно приоткрывает, либо призакрывает.
>>257962Нельзя. Разброс поргового напряжения FB придет к тому, что сначала будет нагружаться самый "высоковольтный" модль, потом остальные.Он все правильно хочет сделать, растащив питание поровну по мощности по отдельным участкам ленты.
>>257965Пусть поставит небольшие резисторы (например на 0.1Ом 5 Ватт) после каждого модуля и всё будет нормально.
САПДВАЩГде-то месяц назад анон заказал неплохой осцилл с али, обещал отозваться, фотки скинуть, проблемы доставки обсудить.Ты где, анон? Появись, ёпт
>>257966Так да, сработает.
Какого пса у меня в /ra/ при разрешении экрана 1024 на 600 (нетбук) перестали отображаться окошки поверх ленты? Нажатие на картинку открывает ее в отдельном окне, нажатие на номер поста не дает окошка (ответ можно сделать только из формы внизу). Переключу разрешение на хотя бы 1024 на 768 - все возвращается.Что это за фигня?
>>257969
>>257971Спасибо, Юрий Дмитриевич, я все понял.В настройках (вверху страницы) снять галкиМобильная версия:Открывать пикчи в новом окнеОтключить плавающую формуПес его знает почему раньше все работало, а теперь мой ноут вдруг стал мобильником.
>>257893агась
Подскажите какую литературку почитать чтоб разбираться вот в такой шляпе? (вроде по hdl должно быть)
>>257887Лол, ну ты и алёша. Какие миллионеры? Какие шокеры с ключами? Ну, на тебе тред по домофонным ключам:https://2ch.hk/biz/res/873706.htmlВсе расписано подробно, ссылки на оборудование есть. Начинай, становись миллионером. Уметь ничего не надо, приложил ключ, нажал кнопку и все. Только ты больше 15к в месяц на этом не заработаешь. По шокерам если вся инфа на ютюбе, шокер можно сделать из высоковольтного модуля и аккума 18650, затраты близки к нулю, сложности в изготовлении никакой. Только ты в курсе, что в РФ можно пользоваться лишь теми шокерами, которые в РФ сертифицированы? То есть официально ты их продать не сможешь, а если попадешься, влетит штраф. Везде есть свои камни, парниша. И везде есть конкуренция. Алсо, знакомый делает трансиверы это как рации, только стационарные, затраты 10к, продает по 30к. Только покупают 3.5 мимокрока в год.
>>257980>>257975
>>257981>>257980>покупают 3.5 мимокрока в год
>>257963Как он его приоткрывать может? Не понимаю. Чтобы открыть, он должен создать на базе отрицательное относительно эмиттера напряжение. Эмиттер заземлен, на резисторе по определению не может быть отрицательного напряжения.
>>257967Всё нормально с доставкой, доставили быстро и в сохранности курьером. Фото вот >>257853
>>257980Какой вообще профит от этих мощных шокеров? Там жеж все равно токи милипиздрические, а шоб серьезный ущерб причинить, надо небось киловаттный шокер.
>>257983> Эмиттер заземленТы на батарейку смотри, а не на землю. На эмиттере там 4.5 вольта.
>>257985ну сунь пальцы в ризетку ,узнаешь что такое 70-100-150 вт
>>257987Шокер выдаёт эти ватты очень короткими импульсами, в отличие от розетки.
Надеюсь, что не ошибся с разделом. Хочу на НГ сделать и подарить тян пикрелейтед игрушку, корпус планирую смоделировать и напечатать, а вот что делать с электроникой внутри я нихуя не понимаю. Поясните вкратце, что я должен купить и сделать, чтобы по нажатию кнопки эти светодиоды загорались/потухали.
>>257987Маня, в розетке 220 вольт, а не десятки тысяч как в шокере. Убивает не напряжение, а ток. Так что если бы в розетке было 50кВ и всего 150вт, то ее можно было бы спокойно трогать. Ну, дергало бы неприятно, да. Но не более того.
>>257989Начнем с того, что тян не нужны.
>>257990что ты несешь ,маня?3 вт максимум в доступе для быдла.70-100-150 делают только умельцы, и это действительно ОПАСНО
>>257992Хуясно. Довн блять
>>257993жаль что я не могу шваркнуть тебя обмудка этой хуитой. ну а то, что такие шоки уголовно преследуемы, вообще хуйня и сказки, веть они безопасны обсолютно, ага
>>257724Лол, оказалось действительно рабочий.Я всегда как делал: Подключаю красный провод от кулера (+) к проводу с белыми линиями на БП (тоже +), получается плюс к плюсу, ну и минуса затем. В итоге таким образом всё работает, а этот не хотел. Попробовал сделать наоборот, заработал. Короче тупо перепутаны провода были. Такие дела.
Анон, обьясни, как работает эта схема. Это зарядник "лягушка", все наверное, видели, как ими заряжают литий-ионные аккумуляторы мобильников.1) Можно ли заряжать ею банки 18650 (без плат защиты)? Есть ли защита от перезаряда в этой схеме?2) Как найти даташит на эту микросхему DIP-8 (на корпусе написано: 007E SDC 3733)?3) А вот это ОЧЕНЬ ВАЖНО. Можно ли перевести эту схему на питание от выпрямленных пяти вольт? Мультиметром я померил, и выяснил, что на контроллер подаётся пульсирующее напряжение, неизвестной (без осциллографа) формы и амплитуды, а с контроллера подаётся на батарею. Имеет ли это значение?
ИБП вообще не подает признаков жизни. Подключил аккум к лабораторному БП, ток не потребляет. При дохлых аккумах ИБП всегда ведут себя как кирпичи, даже не издавая звуков пищалками, или у меня что-то еще случилось?
>>2579973)Можно ли перевести эту схему на питание от выпрямленных пяти вольт? Нет, точнее да, но очень сложно.На али есть замечательные платы заряда лития от 5В, стоят меньше бакса>>257998> ИБП вообще не подает признаков жизни. >Подключил аккум к лабораторному БП, ток не потребляет. >При дохлых аккумах ИБП всегда ведут себя как кирпичи, даже не издавая звуков пищалками, или у меня что-то еще случилось? Ты какую то херню написал. Что случилось? Какой аккум в ИБП? О чем ты?
>>257999> Ты какую то херню написал. Что случилось? Какой аккум в ИБП? О чем ты? Ах да, ибп не только импульсный блок питания, но и еще источник бесперебойного питания, оплошал, надо подумать
>>257999>да, но очень сложноРассказывай. Те платочки недавно заказал, они долго идти будут. Это вообще нужно для подключения аккумулятора к распберри пи, так что нужную форму напряжения можно взять с неё. Сейчас собаку выгуляю, так нарисую, что нужно.
>>258001Ну смотри. Пишу как думаю, может поправят.Эта херовина состоит из двух частей - блока питания и контроллера заряда.Рулит зарядом 3733, на нее блок питания подает напряжение в районе тех же пяти вольт. Найди, на какую ногу идут пять вольт, оттуда уже будешь дальше копать
>>258003
>>258004Вот и все проблемы, просто выкидаешь блок питания и подаешь напряжение на узел с 3733
Аноны, нужен блок питания. Есть импульсные и трансформаторные.http://www.chipdip.ru/product/robiton-sn1000s/http://www.chipdip.ru/product/robiton-en1500s/Какой лучше взять?
>>258006Силовой больше весит, а импульсный - срет в сеть, хоть и немного.А вообще, касательно именно этих блоков питания применительна теорема Эскобара
>>258008> а импульсный - срет в сеть, хоть и немного.Если только производитель пожадничал на кондёры и синфазный дроссель.
То ли я дебил, то ли лыжи не едут.Как бля конденсатор 2мкф разряжается на 2/3 за 30 микросекунд, если к нему ничего не подключено кроме 1-мегаомного резистора???
>>258011Может прсто кондёр говно?
>>258014Хз, какой-то бред ибаный. Он за 30 микросекунд разряжается до 2/3 напряжения, а потом на 2/3 висит очень долго, где-то минуту разряжается до нуля.
>>258017Ой, т.е. до 1/3
>>258017А, я кажется понял. Это из-за осциллографа. Почему так правда, не ясно
>>258005>>258004>>258003Спасибо, так и думал поступить. Мне бы найти шит на саму микросхему, она же только и нужна. Нужно знать, как она акумулятор заряжает. В тех узлах, где на неё подаётся питание, напряжение как-раз и пульсировало. Мне кажется, в этом есть скрытый смысл -- в те моменты, когда от сети напряжение низкое, микросхема может проверять напряжение на аккумуляторе и вычислять окончание заряда. Это и смущает. Хотя, правильно я понимаю, что конденсатор 220мф как раз и должен эти пульсации сглаживать? Этакий выпрямитель по no-fi.Сейчас начал рисовать, как аккумулятор должен подсоединяться к малине, и намудрил. Всё существенно упрощается, если твёрдо знать, за какие состояния отвечают светодиоды, и с них уже малина должа перехватывать сигнал и делать вывод, запитана она от батареи или от сети. Интересно, можно ли такие микросхемы купить где-нибудь (отдельно от лягушки, конечно же).
>>258023Вот на китайском: http://monitor.espec.ws/download.php?id=63867Текст копируется, так что можешь использовать гугл-переводчик.
>>258023> Интересно, можно ли такие микросхемы купить где-нибудь (отдельно от лягушки, конечно же). https://www.aliexpress.com/wholesale?SearchText=SDC3733
Поясните, если допустим на электролите написано напряжение 100в, значит ли это что его можно использовать в цепи с напряжением 100в или нужно оставлять некоторый запас по напряжению? Вольт 10 или типа того
>>258026Без запаса очень быстро вздуется
>>258024>>258025Вах, дорогой! Долгих лет счастья тебе, чтоб любовь твоей женщины была свежа, как весна в горах!
>>257998>При дохлых аккумах ИБП всегда ведут себя как кирпичиДа
>>25802620% запас должен быть, везде, не только в конденсаторах.
>>258030> 20% запас должен быть, вездеДаже в резисторах? Вместо 10Ом ставить 12Ом про запас?
>>258031проиграл
>>258031Да да, а в предохранителях вообще до 100% запас надо делать, сраные китайцы экономят, ставят в свои говноизделия на 1А, так туда все пять можно поставить, вот это будет грамотно с инженерной стороны.Резисторы можешь хоть в пределах одного порядка менять сопротивление, нихера не будет, за исключением тех мест, где высчитывается падение напряжения или например устанавливается рабочая точка транзистора
>>258033Какой там одного, трех сразу
>>258030Я на каком-то форуме читал, что чувак заряжал 400в электролит до 500в и ничего не было.
>>258033> Резисторы можешь хоть в пределах одного порядка менять сопротивление, нихера не будетУгу нихера не будет. Может у тебя в махарайках номинал токоограничительных резисторов действительно не важен, а у меня вот целый набор есть специально отобранных резисторов с отклонением в 0.1% и куча 1% для тех где особая точность не нужна. 5% для пидоров и нищенок.>>258035Попробовал он бы так с танталовыми кондёрами.
>>258036>Угу нихера не будет. Может у тебя в махарайках номинал токоограничительных резисторов действительно не важен, а у меня вот целый набор есть специально отобранных резисторов с отклонением в 0.1% и куча 1% для тех где особая точность не нужна. 5% для пидоров и нищенок.Еее резисторосрач. Не вижу смысла покупать что-то точнее 5%ДА, есть ЦАП и АЦП, где они нужны, тот же R-2R, там да, нужны охуеть какие точные. Но не более того
Что это, аноны?
>>258042Высоковольтный керамический конденсатор 2200 pF.
>>258043А почему написано 222?
>>25804422*10^2 pFПодучил бы маркировку
>>258040Твоё дело, лол.> Не вижу смысла покупать что-то точнее 5%Я ж говорю - нищенка. Между ними разницы почти и нет, а всё равно жаба душииит.
>>258046> Я ж говорю - нищенка. Между ними разницы почти и нет, а всё равно жаба душииит. >Посмотри на меня, я могу себе позволить резисторы 1%, и конечно они мне нахуй не вперлись и 5% выручают в 99% ситуациях, но это не важно, потому что я хозяин жизни, а ты нищенкаЧот кекнул
>>258047Ого. Вот это да. Ты небось принципиально покупаешь резисторы 5% и самые дешёвые китайские кондёры (ведь нормальные кондёры не нужны), самые дешманские ОУ. Стоп, хотя зачем нужны ОУ, ведь можно усиливать/сравнивать на транзисторах? Подумаешь там от температуры меняются характеристики. Плюс-минус 20% это норма.
>>258050Жамиконовские кондеры из местного радиомагазина, ОУ оттуда же, всякие меги с али, транзисторы так же с алиНа кондерах точно уж экономить не нужно
>>258051На али цены на меги чет пиздец задрали
>>258042Говно смурфов.
>>257959Кароч какие только номиналы снаббера я не пробовал, он нихуя не работает. А вот дроссель поставил и сразу все заработало заебись.
>>258053328 стоит 90р - штука, как по мне адекватная цена
>>258059>328ты нормальные меги смотри, а не этот кал
>>258060Этот "кал" заебись работает за свою стоимостьИ вообще, давай ка поясни мне, почему 328-ая - говно, эксперт по микроконтроллерам, или ты там ракету на атмеге собираешь?
>>258061Максимальная частота 8мгц, даже мега8 может на 16 работать. Да и в целом уступает по характеристикам всем другим мегам.
>>258062Рассуждения на уровне "ну когда я ракету буду делать, мне разница в памяти между 328 и еба 128-16 на руку будет"Я лично когда устройство планирую всегда в первую очередь цены анализирую, да медленновато, зато дешево
>>258062> Максимальная частота 8мгц328 может работать до 20мгц. Даже на ардуине ставят 16мгц. Читай даташиты, чтобы не быть баттхёртом.
>>258065Кстати только этого господина поправить захотел, как же у меня кварцы на 16 стоят тогда
Подскажите дешевые аккумуляторы на 4 вольта, я в них совсем не разбираюсь
>>258071А да, разрядный ток нужен 3 ампера
>>25807118650 (можно пару штук) + DC-DC преобразователь.
Аноны, кто-нибудь заказывал с Али LM338T? Я чет почитал, в комментах пишут что это перемаркированные LM317. Где можно заказать чтобы не обосраться?
>>258075А может для таких токов лучше dc-dc преобразователь?
>>258076У него напряжение плавает в зависимости от входного
>>258077Не плавает, там есть обратная связь для контроля напряжения.
>>258079Бред не говори, я только что проверял, подключаю к 24 вольт, на выходе 12, подключаю 12 вольт, на выходе 6
>>258080Давай название микросхемы преобразователя и схему/фото. Посмотрим что там у тебя. Это ненормально поведение и сдаётся мне, что либа у тебя преобразователь неисправен, либо ты пиздишь.
>>258062>>258065Тут даже до 30мгц разогнали http://labdegaragem.com/profiles/blogs/overclock-atmega328-30mhzК слову ESP8266 работает на 80мгц и возможен разгон до 160мгцА новая версия - ESP32 - на, ЕБ ТВОЮ МАТЬ, 240 MHz dual core Tensilica LX6 microcontroller
>>258083> ESPС такими мощностями лучше брать нормальные 32-битные arm, а не это проприетарное говнецо.
>>258083Dualcore это значит что наконец-то не надо будет прерывать программу микроконтроллера, чтобы обработать стек вайфая, иначе вочдог ребут кладбище пидор?
>>258084И сколько арм с обвязкой стоит?ESP32 ещё дорогие, а вот ESP8266 с обвязкой и чипом памяти на ЧЕТЫРЕ МЕГАБАЙТА!https://www.aliexpress.com/item/Free-Shipping-10pcs-lot-ESP8266-remote-serial-Port-WIFI-wireless-module-through-walls-Wang-ESP-12/1967135461.htmlПо $1.69 за штуку.>>258085Не знаю, я ньюфаг с десяткой ESP8266 и NodeMCU прошивками.Попробуй тут узнать https://habrahabr.ru/post/309746/
>>258085А хуй их знает. Разработка на ESP - это дёрганье готовых API, код которых закрыт. Что там происходит внутри никто не знает.
>>258086> И сколько арм с обвязкой стоит?С обвязкой его разве что для обучения используют. А так похожий (по мегагерцам, ага) STM32F407VE стоит около 5$, правда там нет встроенного вайфая, впрочем он там и не нужен.
>>258088Вайвай нужен везде, интернет вещей на дворе!
>>258091Два чаю. Кстати, а ессть ли хорошие осциллографы и мультиметры с вайфаем или хотя бы блютусом? Ну и с интеграцией с айфоном и умным домом. А то я устройства без блютуса вообще серьёзно воспринимать не могу. Особенно дорогие безделушки.
>>258092И паяльник с вайфаем, который выходит в интернет, чтобы настучать производителю на то, что ты перегреваешь жало, и лишить тебя гарантии.
>>258091>>258092>>258095Вы вот смеётесь, а многие форсят Blynk http://www.blynk.cc/Это такая прошивка для атмег и ESP для умных домов, под которую очень просто делать приложения. Кнопочки в конструкторе перетащил, подписал и готово. Получаешь данные с датчиков, щёлкаешь релюхи в один клик. Вот только суть в том, что ты регаешься на сайте этой прошивки, получаешь токен, прописываешь его себе и все твои устройства из дома коннектятся в их сервера и управляются через них. Вот в такое страшное время живём...
>>257985Токи там отнюдь не милипиздрические и мощность разряда в импульсе может быть ОЧЕНЬ большой. Киловатты.
>>258023Купи и используй TP4056. Это аналогичный зарядник для лития, как раз с питанием 5В, вся документация на него есть, стоит на dx.com 3 рубля пучок, уже на плате с разъемом и светодиодиками.Я во все фонарики и игрушки напихал их.
>>258097 Cayenne пизже чем blynk, да и надо отдать должное, швободный easyesp/home assistant не годится ни в какое сравнение. Документации нет (они там сайт свой полгода назад "обновили" и так нихуя не починили), интейфейс говно, mqtt кривой, конфиг home assistant сам себя не запердолит.
>>258058Спасибо за инфу, буду знать на будущее.
>>258008Какой тогда посоветуешь?
Как называется этот разъём? Хочу купить их штук 5 для самоделок, которые надо прошивать через USBAsp.
>>258106Чёт сам нашёл >DC3-10P
>>258047>выручаютУсач? Да тебя и собака выручит.
Аноны, у 7805 (TO-220) и IRF740 с каким-то выводом соединены?
>>258110*теплоотводбыстрофик
>>2581107805 - теплоотвод соединен со входом
>>258113А вот хуй там! Это у 7905 теплоотвод со входом соединен, у 7805 с теплоотводом контачит "общий"
>>258110С центральной ножкой
>>258115и у IRF740 так же?
>>257962>>257965Спасибо.Объединять источники нецелесообразно, чем дальше от начала ленты, тем хуже с питанием. Разделил на 4 куска, вроде работает, в обычном режиме не больше 0,7А на один MP1584если белый не включать на всю ярость.Поставил небольшие радиаторы от памяти видеокарты на всякий.
Сап, паячьРазломал две старых батареи от буков, 10 из 12 18650 живее всех живыхОдна беда, плюсовой контакт у них плоский и в фонариках и зарядках не достают до контактной площадки.Пытался капнуть на + каплю припоя - держится очень хреново, а тыкать паяльником больше пары секунд ссыкотно, чувствуется как аккумулятор начинает разогреваться да и как бы не уверен что поможет.Как туда-что припаять или прикрепить можно безопасно?
>>258124Цепани плоский магнит на минус. Или выстави околомаксимальную температуру на паяле, намалафь жестким флюсом (той же кислотой), набери много припоя на паяло и паяй, одного прикосновения хватит, только потом флюс смой. Ну и так сильно бояться не надо, до критической температуры внутренности прогреются далеко не сразу.
>>258125>магнит Удваиваю этого.
>>257695Работаеть. А если я один кулер подключу к концу провода, а затем оголю провод по-середине и туда подключу второй кулер? Заведётся? Пикрел для наглядности.
В чем принципиальная разница между двумя типами панелек для микросхем. Чем цанговая лучше?
>>258117У всех для корпуса TO-220Есть ещё TO-220F - изолированные
>>258149Ты что, норкоман? левая не подходит для DIP-микросхем, а правая подходит. Цанговые лучше большей площадью контакта и соответственно держат большие токи
>>258166>левая не подходит для DIP-микросхем, а правая подходит>левая не подходит для DIP-микросхемТы что, наркоман?
Раданы, есть желание сделать часики на светодиодных матрицах. На али этих матриц просто до жопы, от 30 до 500р. Какие выбирать, кто сталкивался?
>>258169Вот такие желтые заебисьhttps://www.aliexpress.com/item/FREE-SHIPPING-5PCS-x-3MM-8X8-White-32-32-Square-LED-Dot-Matrix-Digital-Tube-Module/32754298358.html
>>257124 (OP)Как отличить УФ светодиод от обычного?На пике тот который у меня.
>>258173Попробуй посветить на купюры, на них есть элементы защиты видимые в уф
>>258174Ту чёрную полосу и под лампой накаливания видно.Слышал что начиная от 100грн.да хохол идут спец пометки. Это оно?
Вопрос по импульсным бп:При групповом получении напряжений, чем определяется соотношение токов, которые в них выдаются?Махарайщики "апгрейдят" блоки перепаивая резисторы обратной связи (что глупо), меняя шоттки на более мощные. Но мне чего-то кажется, что дело в толщине обмоток на трансформаторе и без его перемотки все напрасно
>>258179> При групповом получении напряжений, чем определяется соотношение токов, которые в них выдаются?Может соотношение напряжений? Количеством витков и определяется.> перепаивая резисторы обратной связи (что глупо)Что именно глупо? Таким образом меняется напряжение.> меняя шоттки на более мощныеЕсли напряжение на выходе станет больше чем было, поскольку обратное напряжение может превысить номинальное.> дело в толщине обмоток на трансформатореОт толщины зависит только максимальный ток, который трансформатор осилит не перегревшись (обычно берут коэффициент равный 4-6 Ампер на квадратный миллиметр для пассивного охлаждения и до 10 для активного).
>>258182>чем определяется соотношение токов, которые в них выдаются?>Может соотношение напряжений?нене, именно токов. ну вот допустим один бп дает макс 10а по 5в и 5а по 12в, другой - 10а по 5в и 20а по 12в >Что именно глупо? Таким образом меняется напряжениеменяются напряжения все равно вместе. эта штука дает обратную связь, на одну ногу, лишь отражая соотношение получаемых токов>От толщины зависит только максимальный ток, который трансформатор осилит не перегревшись (обычно берут коэффициент равный 4-6 Ампер на квадратный миллиметр для пассивного охлаждения и до 10 для активного).и там две обмотки.
>>258184>ну вот допустим один бп дает макс 10а по 5в и 5а по 12в, другой - 10а по 5в и 20а по 12в Защита по току, очевидно же.
>>258186а перекос напряжений отчего тогда?когда ток совсем не максимальный?
>>258184> нене, именно токов.Тогда зависит только от толщины вторичных обмоток. Проще говоря от повышения напряжения просто импульсы станут шире. Ну и из-за этого увеличится потребление тока блоком питания, что может потребовать замену транзисторов.> соотношение получаемых токовСоотношение получаемых напряжений, лол. Максимальные токи останутся теми же.>>258188Если говорить исключительно о трансформаторе, то разница напряжений зависит от количества витков, а разница по максимальному току зависит от толщины вторичных обмоток.
>>258190>Тогда зависит только от толщины вторичных обмоток.Дохуя от чего зависит. Если превысишь максимальный ток ключей в первичной цепи - их вынесет, к примеру.
Создавать UPS-тред считаю не нужным, спрошу у достопочтимых радиоанонов тут. Есть два насоса дроченых, мощностью 45 ватт. Хотет купить серверный йоба-упс типа 2200RMI 3U. Они вменяемо стоят только с дохлыми аккумуляторами. Вопрос: можно к нему подключить обычную гелевую Дельту или там хитрожопые микроконтроллируемые аккумуляторы?
>>258190> соотношение получаемых токов> Соотношение получаемых напряжений, лол.ок, соотношение ваттпервичка накачивает сразу обе вторички, но реагируют они на снятие с них мощности в разной степени
>>258192Речь про соотношение максимальных токов во вторичных обмотках, а не про суммарную максимальную мощность.
>>258194Первичке похуй. Она видит изменяющееся сопротивление при снятии мощности.Значит зависит от толщины вторичек и как следствие подстройки защиты под эти толщины.
>>258193Аккумуляторы там обычные, но ставить надо такие же.
>>258200А если побольше А*ч?
>>258201Не влезут.
чот я не пойму. я подключил осциллограф к микрофонному выходу. И не замечаю никакой разницы между тишиной и криком в микрофон. Как оно вообще работает?
>>258205надо напряжение подать на твой микрофон
>>258204> Не влезутПофиг. Снаружи поставлю.
>>258206А его не распидорасит?
>>258205Кричи громче. И желательно маты, 8-битный ацп осцилла их лучше детектирует.
>>258193Если верить гуглу то там просто пачка обычных аккумов, как в любых UPS-ах, но соединены они не параллельно. А нафиг тебе серверный? Он наверняка в синус не может.
>>258210> Он наверняка в синус не можетПишут шо синус и двойное преобразование. Плюс продают их по 3-5к
>>258207Колхозник ебаный.
>>258212> Колхозник ебаный.Ошибаешься, я в бывшем совхозе живу.
>>258211Ну тогда возможно есть смысл. Только батареек похоже понадобится минимум 2, а то и 4. Проще и дешевле купить родного размера, 7 А*ч 12В 8 штук.
>>258216> 7 АчМне нужно, чтоб насосы могли часов 8 крутится от аккума. Т.е. нужно около 100Ач
>>258213Совхозник ебаный.
>>258219Я красивую, сине-оранжевую "Дельту" куплю и красивыми КГ35 кабелями подключу. Плюс у меня еще валяется одноюнитовый интеловский сервак и свитч 48-портовый. Я из них красивую стоечку в котельной соберу.
>>258217Покупай тогда этот УПС и смотри как аккумы подключены. Вроде как там 2х2х2, если брать автомобильные то скорее всего нужно будет 4 штуки.
>>258221Думаешь там 48V? https://www.avito.ru/moskva/orgtehnika_i_rashodniki/apc_smart_ups_1500va_sua1500rmi2u_798637712
>>258222> На индикаторе заряда - одна лампочка, хотя суммарное напряжение картриджа 55В. Точно последовательно соеденены.
А при последовательном соединении емкость равна емкости отдельной батареи?
>>258222Ну изначально ты спрашивал про 2200RMI 3U. Там по фотографиям 2 блока из последовательно-паралельно соединенных аккумуляторов, т.е. 24В 14А*ч суммарно на блок. Как эти два блока соединены друг с другом - черт его знает, может последовательно, может параллельно, а может вообще отдельно друг от друга живут.
>>258225Выбрал с типа "новыми" аккумуляторами. Начинаю отжиматься и разминаться, чтобы завтра эти 30кг счастья дотащить до Торжка.
>>258224Да
Есть тех.задание - изготовить эндоскоп. Я вот не знаю что делать, есть два варианта.1 оптоволокно с подсветкой, с одного конца - объектив, с другого-окуляр, вроде должно работать. Но, где достать оптоволокно? 2 мини камера (матрица с объективом на одном конце, схема на другом) и видоискатель от старой камеры. Но, дело в том что видоискатели обычно ЧБ, цветных не встречал. Что лучше выбрать?
С
Аар
>>258081Анон, поясни, как такое может быть? Ведь при изменении входного напряжения, все другие напряжения в схеме так же должны уезжать. Как так китайцы умудрились сделать чтобы напряжение на выходе не зависело ни от чего?
>>258233Анус себе изготовь, он стоит 600 рублейhttp://www.ebay.com/itm/10M-6-LED-7mm-USB-Waterproof-HD-Endoscope-Borescope-Snake-Inspection-Camera-/131861146244?hash=item1eb3896a84:g:2vwAAOSwuzRXcfOE
>>258246А, понял. Там же источник опорного напряжения.
>>257986Причем тут батарейка? Мы говорим о сигнале звуковой частоты с антенны.
>>258149В цанговые панельки микросхему вставлять проще, меньше усилие
Почитал тут про децибелы и чет охуел. Это что же, получается звук громкостью 100дБ имеет размах амплитуды в 10000000000 раз больше, чем амплитуда шума?
Есть вопрос по резонансному полумостовому контуру.Вот допустим первый цикл, открывается верхний транзистор, заряжается контурная емкость до напряжения питания.Затем транзистор закрывается и открывается нижний транзистор. Контурная емкость разряжается через нижний конденсатор каподелителя.Третий цикл изображен на пикрелейтед. Вот тут непонятно. Куда пойдет ток разряжающегося контурного конденсатора? Он же не может через транзистор пойти обратно? Получается там должен быть очень мощный и быстрый диод, способный выдержать сильные токи?
Что происходит на 1:16?https://youtu.be/xQx6b_x7nH8?t=1m16sКто-то заземлил пару киловольт на канализацию или что произошло?
Есть макетные платы с шагом 2 мм?
Дайте плиз ссылочку на Али, где можно купить нормальные 18650 без наебалова.
>>257124 (OP)Радач, помоги разобраться с тестером и светодиодом. Тестер - M832, светодиод неизвестный белый. Везде написано что при проверке светодиод должен засветиться слегка, показывая падение напряжения, или показывать единицу и несветиться при этом вообще. У меня же при 1 он довольно ярко светится, а при цифрах свечение нулевое. Как читать эти показания?
>>258279Мультиметр не покажет падение на светодиоде, так как оно слишком большое, но засветиться должен. Светодиод обычный? А то похоже, будто у него внутри встречно стоит диод.
Мужички ну подскажите что почитать чтоб эту из этой поеботы электрическую принципиальную схему навернуть.
>>258281Светодиод обычный, но что тогда он показывает?
>>258282Такую хуйню по микроэлектронике разрабатывал, расчет ИМС тебе нужен
>>258284Тащемто не расчет наверно, а проектирование. Спасибо. А конкретно что почитать то, чтоб там разжевывали (на уровне Digital Design and Computer Architectur мипсовской) ?
>>258286Сам искал, нихуя не нашел, пришлось как то самому разбираться на самом деле я нихуя не разобрался и перерисовал кристалл у одногруппника, но не соль
достаточно ли зарядки на микросхеме max1555 чтобы без проблем зарядить незащищенный литий-ионный аккум?
>>258283Когда цифры сколько показывает?
>>258289750, светодиод белый
Анон, а как такое запилить на осциллографе в режиме X-Y, имея два потенциометра?
>>257124 (OP)Стоит ли учить эти параграфы или пропустить
>>258247Ты не понимаешь, он каптчует из Сколково.
>>258291Всё-таки склоняюсь к тому, что там обратный диод стоит.
>>258259В мосфете есть body diode. А вообще в такой топологии многое зависит от отношения частоты контура (зависит от Cr и индуктивности рассеивания трансформатора ) к частоте работы преобразователя. А вообще пиздуй на паяльник, так весит тема с резонансными и квазирезонансными преобразователями
>>258316>отношения частоты контура>к частоте работы преобразователя.Они равны же.
Анон, как можно вот это переписать, чтоб не так дебильно было. Наверняка можно условие фор задать по людски. for (i=8;i>0;i--) { PORTB &=~ (((data[1] & (1 << i-1)) != 0)<<3); }Мне нужно обратное перебирание с 7 бита по 0, а не эти костыли.
>>258346Это что вообще за дерьмо? Что ты вообще пытаешься сделать?Я так понял, у тебя порт Б на выход работает, но ты без задержки перебирать собрался, или что?
>>258347Я обрезал все ненужное, прерывания, таймеры и прочее я допилю. Я просто туплю, у меня есть 8 бит0 1 2 3 4 5 6 7 Мне нужно получить значение I в таком порядке 7 6 5 4 3 2 1 0Выше проведенное решение рабочее, но говно, сразу видно же, плюс на асм куча строчек.
>>258348Вот тебе статейка по битоёбству: http://graphics.stanford.edu/~seander/bithacks.htmlТебе нужно конкретно это: http://graphics.stanford.edu/~seander/bithacks.html#BitReverseObviousВыбирай самый быстрый способ и вперёд.
>>258350И вообще у тебя для мк есть два стула:1) Цикл, как ты уже сделал выше.2) Таблица с 256 байтами.Выбирай что важнее: скорость или свободная память. Остальные способы для мк совсем не очень, поскольку используют 64-битную арифметику.
>>258351Нихуя не понял, но за статью спосибо.
>>258352Составляй таблицу, где для каждого байта (по порядку, начиная от нуля и заканчивая 256) будет его обратное представление. Тогда вместо цикла сможешь просто написать PORTB = reverseTable[data[1]]Но это имеет смысл, если цикл реально замедляет работу программы, поскольку таблица будет занимать 256 байт памяти.
>>258354Вот это КОМПЛЕКСНЫЙ ПОДХОД. Я бы до такого сам не додумался, наверное.
как получить сигнал с фототранзистора? но слабенький очень, всего несколько микроампер. Усилить не получается, т.к. сетевая наводка убивает его сразу же, даже если воткнуть транзистор прямо на ногу фототранзистора.
Суп, радиач. На связи нищебро, которому попалась в руки (вроде бы исправная) нижняя часть от ноута с йоба-Кор-И5. Денег на приобретение блока питания в настоящий момент, к сожалению, нет. Ноут марки НР, снизу, почему-то, написано в две строки 19,5V 3,3А и 19,5V 4,2А (там затёрты все надписи до нечитаемости) и разъём хитрый, аж с семью проводами и тоненьким отверстием внутри внутреннего штырька. С разъёмом-то я разберусь, а вопрос мой таков: Из чего можно изобрести блок питания с такими характеристиками? Может, есть какая-то проторенная дорожка, просто я о ней не знаю? Какие-то совсем простые варианты?
>>258361дополню вопрос, это нормально, что фототранзистор пропускает всего несколько микроампер, даже если светить на него ик-диодом в упор?
>>258364Режим работы хуево настроен. Поставь фоторезистор и не еби мозг.
>>258348Ну охуеть, два часа пытался написать охуенную функцию, которая это делала бы - внезапно выяснилось, что компилятор ее оптимизирует в 0.
>>257989Чтобы просто вкл выкл? Резисторы 1,5кОм 0,25Вт,светодиоды+блок питания 5в и выключатель. Все.А если хочешь эффекты,то мк и регистры понадобятся,ну и программатор+стабилизатор.
>>257928О,схема из книги Борисова "Юный радиолюбитель"> pnp-транзистори че блядь?>только закрыть егоесли входящее напряжение будет больше,чем напряжение смещения,ну или токи,не суть.
>>257983Важна разница на выходе напряжений, а не какой потенциал.
>>258346Короче, вот сделал тебе годный код, который считывает пины с MSB до LSB в одну переменную.#define STARTMASK 0b10000000bytemask = STARTMASK, I = 0;while(bytemask){ I = (PINC & bytemask)|I; bytemask>>=1; printf("%x\n", I);//тут можешь захуячить задержеку, если надо}
>>258362Анон, я выяснил, что можно попробовать запитать материнку в ноуте даже от обычного БП с напряжением 12V. Это годное компромиссное решение или есть какие-то подводные камни ведущие к неустранимым неисправностям?
>>258372У тебя ноут питается от 19 вольт. Так что от 12 он не заработает. Как минимум придётся брать мощную повышайку с али например такую: https://www.aliexpress.com/item/povyshaika-dlya-nishenki-kotoryi-ne-mozhet-kypit-blok-pitania/32453058975.html
>>258362Посмотри спецификацию на сайте производителя и запитай подходящим напряжением.>>258374Может у него батарея от 19 вольт заряжается, а материнка от 12 работает.
>>258375>Может у него батарея от 19 вольт заряжается, а материнка от 12 работает.Вот именно эту инфу я и нарыл на форуме фантом, там некрожелезячники, они калачи тёртые, не доверять их словам оснований нет.Мне всего 5А по линии 12В потребуется, если по 19 нужно штатно 4,6А. Обычный БП должен потянуть.
Радианы. Очень сложный вопрос к вам.Вам нужно будет спрятать всё своё "закажи платы в китае", "купи уплотнитель", "закажи шаблон в типографии".Я хочу уопороться самодельными платами. Половина необходимых компонентов у меня есть, половина едет из китая.Как дешево уплотнить тонер?Я читал, что можно маркером для маркерных досок, я купил его. Во первых он спиртовой (сожрёт тонер), во вторых после высыхания он становится прозрачным.Читал, что можно грифель карандаша втирать. Пока ещё не пробовал, но как вариант.А что ещё можно?
>>258377Лак еще можно.
>>258377пары ацетона или 646, но, imho, ты занимаешься какой-то хуйнёй. Печатай шаблон на фотопринтере и всего делов-то.
>>258377> Я хочу уопороться самодельными платами> Как дешево уплотнить тонер?Упорись ЛУТ-ом и разуплотни свое очко от счастья. Ишь ты, сразу ему "сухой" процесс захотелось. И да, купи уплотнитель, сученышь!!
>>258389Фоторезист всё-таки позволяет добиться более качественных плат с более тонкими дорожками с более стабильным результатом. ЛУТ для начинающих.
>>258390> ЛУТ для начинающих. Аааа. Ну если ты профи, то будь добр, купи нормальную химию и не изобретай велосипед. Я ЛУТил плоты с дорогами/промежутками 0.1/0.15
>>258391Согласен, что какая-то хуйня, а не вопрос.А вот ЛУТовые платы с дорогами/промежутками 0.1/0.15 я бы поглядел.
>>258389>Упорись ЛУТ-омУже. Вот тебе пикрелейтеды моей эволюции.Теперь я хочу зелёные маски с белой маркировкой.>купи уплотнительЯб купил, да вот только молдован я. Нет у нас такого. В интернетах видел по 40$ без доставки. Это овер дохуя.А вот маркер для маркерных досок за 15 центов взял в соседнем магазине.>>258378Лаком каждую дорожку прорисовывать? >>258383>фотопринтере Я не знаю что это, но уверен, что он стоит сильно дороже, чем "хочу дешево".
>>258394
>>258371Я так понял ты просто делишь на два, пока не равно нулю, но это совсем не то что мне нужно. Битмаск и И переменные какого типа?
>>258403Не просто делю на два, а опрашиваю определенный адрес на пине, хотя в принципе вместо PINC можно хоть переменную подставить.Если тебе просто нужно переменную развернуть, то анон выше скидывал сайт с неплохими кодами.bytemask и I типа uint8_t
Кстати вопрос по уплотнителю тонера.А как он понимает где затемнять, а где нет? Если две дорожки рядом друг с другом, он промежуток между ними не склеит/затемнит?
>>258406просто обрызгай шаблон уплотнителем - оно само сделает как надо
>>258401реально ЛУТом сделал?
>>258410Да. Пытался дисплей от нокии 5610 к пердуине подключить, только запорол разьем когда отпаивал от телефона, только потом под лупой разглядел, что контактные проволочки вплавились. Да и там шаг 0.3 вышло чот о.15 дорога, 0.15 промежуток. http://phreakerclub.com/464
>>258405Вот так это должно работать? то_куда_записываем= (((опрашиваемая_переменная& нужный бит)|то_куда_записываем)<<нужный бит который хотим записать);
>>258411Респект, анон!
>>258348unsigned char Invert(unsigned char x) { int base = 256; unsigned char res = 0; while (x != 0) { res += (x & 1) * (base >>= 1); x >>= 1; } return res;}
>>258372Цепляешься к клеммам батареи и всё.Если ноут не слишком хитрый - будет работать.2 года держал такую файлопомойку с внешним хардом и питал всё от одного блока.
>>257124 (OP)Какого размера посадочное место делать под резисторы которые навесным монтажом крепятся?
>>258366Что значит режим работы?
>>258366У фоторезистора тоже минимальное сопротивление чтото уровня 50 кОм. Да и работает он в видимом диапазоне, т.е. его будет засвечивать все подряд.
>>258421Тоже об этом подумал. Там, правда, батарея 14,8V , но должно, наверное, 12V из БП за чутка подсевшую принимать. Надо погуглить какие там контакты куда, их 8 штук, боюсь, что какая-нибудь защита от контрафакта тоже реализована, что не будет без физического присутствия фирменной батареи работать.
>>258449Ищи парные контакты. Одна пара будет звониться на USB гнёзда а другая это +.Как правило расположены они по краям.
>>258361бамп вопросу
Посоветуйте хороший дц-дц понижающий регулируемый преобразователь, 24в входных, ампер на 8-10.
Аноны, подскажите. Как правильно измерить емкость конденсатора? Купил в китае электролит на 1000мкф, измеряю тестером, показывает 500пф. Че я не так делаю? Тестер вроде исправный, другие конденсаторы правильно показывает, согласно номиналу.
>>258469> Как правильно измерить емкость конденсатора?> Купил в китаеНикак. Можешь разобрать, с большой вероятностью найдешь внутри маленький кондерчик.
>>258472> Купил в китаеВсегда покупаю там. Мне норм. Правда за хорошие кондёры и цена хорошая.
>>258472как разобрать?
Анон, помоги решить лабораторную работу. Я пытался понять, решить и соснуть хуец, но всё что я сумел сделать - это вычислить полное сопротивление через ошибочный вывод, который получает верный ответ.Объясните алгоритм и вывод формул. Можно даже за денежку. Я бы обратился к преподавателю за помощью, но он раз в две недели, а дедлайн уже эта неделя, когда возможность спросить будет лишь в понедельник.
Бля, контакт кнопки приплавляется при включении и не выключается пока не отключу ток. Как быть?
>>258485А ток сильно большой? Бери кнопку получше.
>>258485Взять кнопку подходящую, а не коммутировать 20А тактовой китайщиной
>>258485Ёбни по ней
>>258485Промежуточное реле поставь
>>258474> Всегда покупаю там. Мне норм. Правда за хорошие кондёры и цена хорошая. -Конденсаторы-Бесплатная доставка+сортировка: цена по возрастаниюВот так вот говно и покупают.
>>258505Чем дольше мониторю али-бабу, тем больше убеждаюсь, что нихуя там не дешевле. Контроллеры - одинаково, но у нас хоть гарантия, что закуплены у официала. Рассыпуха в йоба-наборах - великий рандом, начиная от пляшущих номиналов, до реального брака. Для наколенной махарайки сойдет, но не больше моргания светодиодом.
>>258507Покупал там резюки комплектом - доставлялись два месяца и продаван вернул деньги. Три сотни резисторов нахаляву, и причем нормальных, номиналы не гуляют, брака нет.Пленочные конденсаторы неплохие, те, что мой мультиметр может измерить, вполне соответствуют.Алсо транзисторы можно покупать, в местном магазине mpsa42 стоят по 7р штука, а я за 90 сотню купил, причем рабочие, ну те два десятка которые я проверил. Да и контроллеры несколько дешевле, хотя вот там брак попадался, друг заказывал пять атмег, одна паленая былаМожно покупать, но осторожжжжно
>>258507> но у нас хоть гарантияГде "у нас"? Я закупаюсь на али резисторами. 6-7 копеек штука, охуенно же. Да и в катушках удобно хранить.
http://www.deepcool-ru.com/Product/MULTI_CORE_X8/Имею вот такую подставку. Но вентиляторы там оче слабые.Есть вариант заменить на нормальные? Как это сделать?Где вентиляторы заказывать? Из чего блок питания делать? Как? Умоляю, помогите мне пожалуйста.
Имеется транзистор FGA25N120ANTDКак узнать напряжение пробоя коллектор-затвор? А то в даташите не написано.
>>258462Бумп.
>>258511Наркоман?Напряжения открытия и пределы всегда считаются как эмиттер/исток-база/затвор.Потому что именно так транзисторы работают.
>>258148Да.
>>258296Здесь так и запилено, видны прыжки луча без гашения между элементами.
>>258356Хуяссе у вас ебнутых программистов на си из будущего заморочки.У нас усачей есть математика, и из 0,1,2...7 мы можем легко сделать 7,6,5...0 одним действием 7-x.
>>258361Жопой об косяк. Учись задавать вопросы правильно, бампер
>>258480Пиши свои выкладки, тогда будет смысл тебе помогать.А иначе - подбирай себе обувь в Военторге.
>>258522Ты из 0,1,2..7 сделаешь 7,6,5..0 разве что если у тебя регистры можно в обе стороны читать, или если ALU может по-хитрому порядок битов переключать. Но такое разве что на каком-то FPGA мутить нужно.
Помогите усовершенствовать схему. Конденсатор, как показали опыты не нужен. Конечная цель махараечки — сделать так чтобы как можно точнее измерялось время попадания/потухания светодиода, а время свечения на фототранзистор коротко, 1/1000секунды и менее.Вот так выглядит приблуда https://2ch.pm/p/res/455325.html#458835
>>258522Ну жги, хули. Мы посмотрим.
Аноны, как синхронизировать вращение двух коллекторных электродвигателей из игрушек?
Если воспламенять порох электричеством это считается Coilgun-ом?
>>258377Помню, когда упарывался лутом, был у меня такой вот сученыш. У него даже режима экономии тонера вообще не было в настройках. Захуячивал все толстенным слоем тонера, жаль, сдох, после рукожопой заправки. Если найдешь где такой живой и печатающий без полос - бери. Лучшего лазерного принтера для таких вещей не было и нет. Не знаю, как сейчас с этим у современных моделей Brozzer, может тоже экономить стали. А так - иди в фотосалон и печатай там на профессиональном струйнике, причем заранее говори, что тебе нужно и перепечатывай, пока не научатся как надо.
>>258541Пикчу забыл.
Моча, пока я тут, нахуя удалил мой вчерашний тред про SPICE-моделирование? Неужели ненужный тред? Другого на доске нет, вроде.
Поясните вкратце, как работают микроконтроллеры? Непрограммируемые с жестко зашитой прошивкой еще можно понять, но как работают программируемые? Почему набор букв с цифрами заставляет протекать ток внутри микросхемы по разному? В той же ардуинке залил один скетч - помигал светодиодом, залил другой скетч - можно радио принимать. На железном уровне ничего не меняется, почему меняется на логическом?
>>258525У меня можно регистры в обе стороны читать, какая проблема?
>>258535Энкодеры, контролер, DC motor драйвер.
>>258545Ну так у контроллера неонка внутре и думатель. Думатель ты можешь перепрограммировать на нужный способ думания.
У меня теоретический вопрос.Что если взять плату харда и перепроектировать её, поставить какую-нибудь атмегу и запрограммировать какое-то условие запуска платы. Вот накачал ты ЦП, пришли к тебе майоры, забрали хард, а он не определяется и они не знают, что у тебя там не родная плата.Чё они делать будут?
>>258549> закрытый сигнальный процессор> нет даташитов даже на контроллер привода.> атмегаНу удачи.
>>258553Яж не предлагаю программировать закрытые контроллеры, а просто атмегой запрещать передавать сигналы от них.
>>258554А, ну тогда тумблер припаяй.
>>258539Бамп
>>258539Нет
>>258558А чем считается? Алсо какой примерно КПД будет?
>>258523Я нормально задал вопрос. Что тебе не нравится, или ты тупой?
>>258517Чё ты мне прописные истины пишешь? Я конкретный вопрос задал, какое напряжение нужно подать на коллектор данного транзистора относительно затвора чтобы произошел лавинный пробой. 20 вольт или 1200?
>>258559щито? кпд чего? сгорания пороха? Смотря в чем полезное действие.
>>258530Бамп вопросу.
>>258562>щито? кпд чего? сгорания пороха?И правде хуйню спросил. Я в смысле: какие у такой штуки минусы по сравнению с огнестрелом(ну кроме необходимости в источнике питания)? Я одни плюсы вижу
>>258567Электродетонатор что ле? Можно взрывать порох с большого расстояния.
>>258568>Электродетонатор что ле?Железная трубка, в неё патрон, высоковольтный разряд по трубке приводит к бабаху, пуля вылетает и выносит мне мозги
>>258575Реально?
Чет подзаебало, что батарейка для тестера разряжается за месяц или даже меньше. Что придумать?
Читаю хоровица, и сразу возник вопрос. Это конденсатор, резистор и нагрузка параллельно соединены, или я не понимаю? И что эта схема таки делает?
>>258561Наркоман ты потому что тебе эти прописные истины не помогают. У тебя есть напряжение пробоя e-c и предельное напряжение затвор-эмиттер, потому что этот параметр не меняется при открытии закрытии. Складываешь и получаешь. Твой Vgc будет меняться вместе с текущим Vec вот почему тебе его нигде не напишут. Будет у тебя Vec 400v, предельный Vgc в таком случае от 420В до 380В.Это очевидные, блять вещи!
>>258585Вот так пробьет затвор, в начальный момент времени после открытия?
>>258581я два литий ионных туда воткнул, пол года полет нормальный, даже выключать забывал, пох.
>>258590Он не откроется. Бессмысленная конструкция.
>>258592Хосспади, какой же ты мудак.
>>258593Наркоман, ты своим 15 вольтовым источником питаешь нагрузку.
>>258595И что? Отвечай на прямо поставленный вопрос.
>>258596твой источник бомбанёт в момент открытия либо сам транзистор из-за перегрузки по току.Вопросы поставленные наркоманом нельзя назвать прямыми btw. Так или иначе, умрёт он не из-за превышения напряжения на затворе
Я долбоеб и спрашиваю - каким флюсом паять наушники? Решил починить. Зачистил, сжег лак, паяю - а припой нихуя не держится.
>>258598Потому что ты окислил нахуй всё огнём.Надо прижимать провода в изоляции к дощечке паяльником и тянуть за провод. Изоляция плавится и сползает. Ну или говорят таблетки аспирина из аптеки помогают. Я попробовал. Вонь просто пиздец и не лудится ничего.
>>258597Логично. Бля, почему тогда у меня пробивает затвор, а канал при этом остается целым и закрытым?
>>258600Так изоляцию я руками снял. Там, говорят, лак на проводах мешает.
>>258601сука, я уже переделал схему. Теперь и не вспомню как же я делал.
>>258603Шо ебан? Какой откуда там лак?
>>258605Значит инторнет обманул меня.
>>258546Что это за йоба такая, на которой регистры можно в обе стороны читать и менять направление во время исполнения программы?>>258545Так МК с жесткой прошивкой тоже, вообще-то программируемые, просто они лочатся или через High-Voltage programming, или стираются только через UV.А в остальном работают практически так же, как и обычные компьютеры - запускают бутлодер или первую попавшуюся программу и начинают ее исполнять.
>>258545Тому що в памяти может быть записана разная хуйня. Ну и транзисторы на кристалле открываются соответственно этой записанной хуйне.
>>258603>>258605Кто-то назвал изоляцию лаком или наоборот.Вот провода разного цвета из-за лака. Его не обжигать надо, его надо придавить паяльником к дощечке/книге кому нужны книги в 2016 на пару секунд и потянуть. И лак слезет.
>>258598А вот как я делал на 3:10 https://www.youtube.com/watch?v=w29Gn029rLgСдирать лак паяльником. Ну я придавливал провод и тянул его, и лак оставался на дощечке и паяльнике.
>>258611>>258612Благодарю. Осталось не расплавить к хуям третий штекер.
>>258591А есть литий-ионные в формате кроны? Или ты перепаял просто контактную площадку?
>>258610Во-первых, транзисторы на кристалле - это слишком низкий уровень абстракции, во-вторых, есть еще шины, по которым данные считываются с ПЗУ, передаются к АЛУ, записываются в ОЗУ, считываются из регистров и прочих устройств, есть программный счетчик, который определяет ход исполнения программы.
>>258560Это ты тупой.Какой фототранзистор.Какая схема включения.Какая схема регистрации сигнала.Как ты пытался усилить.Какой осветитель.Какое расстояние.Пока что ты сказал: "у меня есть фототранзистор и я не умею его готовить", всё.
>>258608Ну вот у меня пик, я могу в нем читать-крутить регистр и отдельные его биты как угодно.
>>258584Да, параллельно.Что делает - смотри по контексту статьи. А так - это простейший ФНЧ.
>>258590Так - пробьет, однозначно.Maximum VGES Gate-Emitter Voltage ± 20 VЕсли в этом транзисторе есть avalanche защита, то она работает только при положительном напряжении на коллекторе.
>>258623>Какой фототранзистор.Китайский 940нм прозрачненький такой, 5мм, я не ебу как он называется.>Какая схема включения.плюс 5вольт->коллектор->эмиттер->амперметр->ноль.>Какая схема регистрации сигнала.Амперметр.>Как ты пытался усилить.Транзистором bd139>Какой осветитель.Китайский 5мм 940нм инфраред эмиттер.>Какое расстояние.В упор.
Аноны, пытаюсь на ATmega настроить SPI, но он вообще не включается, хотя я тупо копирую код из документации:void init_spi_master(void){ DDRB = _BV(PB4) | _BV(PB5) | _BV(PB7); SPCR = _BV(SPE) | _BV(MSTR) | _BV(SPR0); / F_SCK = F_CPU/16 = 750 kHz /}void spi_tx(uint8_t b){ SPDR = b; while(!(SPSR & (1<<SPIF)));}uint8_t spi_rx(void) { while(!(SPSR & (1<<SPIF))); return SPDR;}int main(){ while(1){ init_spi_master(); spi_tx(0b10101010); } return 0;}Что я делаю не так?
>>258632На практике такие схемы (фототранзистор - подтягивающий на +5 резистор 4.7к-10к) дают на выходе сигнал достаточный для работы с логическим входом. То есть единицы мА при освещенном фототранзисторе.Что-то делаешь не так. Как светодиод запитан, видно его свечение накамеру?
>>258634>Как светодиод запитанЧерез 330 ом, 5 вольт.>видно его свечение накамеруДа, довольно ярко
>>258472Всё правильно сделал?
>>258638Нет. Конденсатор скорей всего исправен.
>>258637Ну тут два варианта - ты перепутал местами полярность фототранзистора, или он неисправен.
Так, вопрос от ньюфага, гугл не помогает. Вздулись у меня конденсаторы, но я не могу определить на сколько они. Насколько я понимаю мне нужно поменять их на такие же по вольтажу и проводимости, верно? И так, для кого-нибудь cd287 ниже 7272a что-то говорит? Там еще температура 105 написана, но это я понимаю. И второй cd284 7273H. Заранее спасибо.
>>258645Сфотай.
>>258646
>>258647А, всё, не надо, я даун, там всё написано с другой стороны
>>258633Анон, помоги.Вот скриншот кода из документации, но вместо работы SPI у меня почему-то загорается диод, который вообще на другом порте висит, а сама программа только 600 байт занимает.
>>258642А я и не говорил, что он неисправен. Я поставил причину "подделка".
>>258549>пришли к тебе майоры, забрали хардКонфисковывается всё оборудование, если что.
>>258643Нет, другой полярностью вообще нет сигнала. А тут небольшой, но есть. И другие транзисторы проверял. Все как один дают 2 микроампера при засвете.
>>258530Тут уже нечего совершенствовать, можно только регулировку громкости поставить
>>258625А можно поподробнее? Я не понимаю, что происходит в схеме. Ток делится на три части и уходит на нагрузку, на резистор и в землю, и на конденсатор и в землю. Что это дает?
В чем фишка лазера? Почему бы не фокусировать обычный сдетодиод? Возможно ли получить пятно размеров меньших размера кристалла?
https://ru.aliexpress.com/item/Binmer-AA-Size-Power-Battery-Storage-Case-Box-Holder-Leads-With-1-2-3-4-Slots/32752620368.htmlЭта хрень подойдет под 18650? Какой-то мелкой выглядит.
>>258665> AA-Size> подойдет под 18650> AA-SizeА сам-то как думаешь?
>>258548>>258608>>258610Ну блеать, как миллион транзисторов работает, запуская программу? Если я поменяю пару байт, то она будет работать по-другому, но на физическом уровне все остается тем же самым. Сама микросхема вне зависимости от исполняемой программы не изменяется.
>>258653Почему вместо этого охуенного фильма мне предлагают скочать без регестрации какое-то говно про путешествие к центру Земли?
Привет, радиач.Скажите, пожалуйста, как ньюфагу-конструктору вакуумных установок и лазеров научится программировать ПЛК? В ДС дохуя курсов, но непонятна разница между нимиhttp://www.owen.ru/kurs - отдельный курс по каждой версии ПО? Они ебанутые?http://www.prosoft.ru/support/training/moscow/368152.htmlИли может это?Спасибо.
>>258667Да. И что?
>>258670>owen.rukekА какие вообще тебе плк нужны?
>>258667Ну, смотри, короче. Есть у тебя МК, ты для него написал какую-то программу и прошил ею свой микроконтроллер, записал программу в Flash Memory.Твой МК включается, запускает Program counter и читает первую инструкцию из памяти в регистр инструкций, а оттуда в оперативную память или регистр. После этого инструкция исполняется на ALU, который, можно сказать, является машиной Тьюринга и результат вычисления по шине отправляется туда, куда его послала инструкция.
>>258673Шо такое EEPROM?
>>258672Сейчас надо внедрить станки с такими ПЛК:alan bradley slc 500 siemens simatic s7В последствии придётся их сопровождать.
>>258675У официального сименса кажется есть курсы в москве
>>258674Энергонезависимая память.https://ru.wikipedia.org/wiki/EEPROM
>>258510Че ептыбля, типо казуал для вас слишком?Так хуле, я не гордый.Бамп.
>>258677А флеш-память разве не энергонезависимая?
>>258679Флеш-память тоже независимая, просто технологии производства разные, ну и иногда по разным назначениям используют, типа в EEPROM пишут бутлоадер, а в флеш сами программы записывают, как на моем AVR.
>>258510Есть вариант почистить радиатор от пылиЕщё вариант оптимизировать ОСЕщё тоже как вариант продать всю эту хуйню и собрать нормальный комп
>>258682как продать если я хикка и боюсь говорить с людьми?
>>258683Попроси маму продать его.
>>258684с мамой тоже боюсь говорить
Короче, купил я таки UPS, 750VA, 480W. Внутре у него должны быть 4 встречно-параллельных аккумулятора, а стоит 2 и ему нормально. Вопрос. Если я к нему припиздячу пару на 100А*ч, он не охуеет? Он сможет их зарядить? Где на них брать схемы? Гугл вообще молчит, будто не упс, а едрёна боньба.
>>258524Проблема иссякла. Я смоделировал схему и подобрал значения. В понедельник спрошу у преподователя
>>258633Всё работает.>>258651> а сама программа только 600 байт занимаетБля, а сколько тебе надо? Ты случаем не с пердуинки слезаешь?Program Memory Usage : 142 bytes 0,9 % Full
>>258683Хуикка ты блять а не хикка
>>258673> МК включается, запускает Program counter и читает первую инструкцию из памяти в регистр инструкцийКаким образом он ее читает? Куда он ее записывает? Давай разберем по частям. Сначала есть диод - он либо пропускает, либо не пропускает сигнал. Потом есть транзистор - у него хитрая схема, он пропускает или не пропускает в зависимости от управляющего сигнала. Из транзисторов строят логические блоки, из логических блоков - вычислительные и функциональные блоки, из блоков уже сам процессор. На каком из этих этапов микросхема внезапно начинает уметь переключаться от мигания светодиодом до обработки крузиса в фуллашди?
>>258692Гугли триггеры и сумматоры. На этом уровне и начинает.
>>258686Лучше отложи в сторонку свой ИБПшник, возьми листочек с ручкой и потренеруйся корректно излогать свои мысли и правильно задавать вопросы.
>>258691я тебя в жопу щас выебу
>>258682Насчет радиатора годная идея, но это не то.Именно насчет подставки, у меня ноут с удобной крышечкой, снял и все потроха обдувает как мудя по-ветру.Вот и хочется подставку замутить. 4 вентилятора там, ага. Регулятор мощности. Ага. Я так понял раз от усб питание, еще и 4 питания - ну ваще хуйня понятно.Заменить помощнее, ага. Блок питания, угу.Но вообще где все заказать можно, что можно делать, как делать? Как распределить на 4 вентилятора?Как все расчитать?
>>258695А кожица не завернётся?
>>258696Для начала разбери подставку и измерь кулер по ширине и толщине
>>258696Ты разбери его и сфоткай потроха. 5 вольт для вентиляторов возможно слишком мало, можно попробовать подключить напрямую к питанию компьютера, если зарядное устройство выдаёт 12 вольт.
>>258701>>258700Ща все будет, никуда не убегайте, пожалуйста. Замерим проверим.
>>258694> излогатьЕсть один упс.В кассете 4 аккумулятора по 6Ач, соединены последовательно-параллельно. Суммарно 24В х 12Ач. Мне необходимо от него питать насос 40Вт в течении 12 часов в случае отключения электричества. По расчетам необходимы два аккума емкостью 60А*ч. Вопрос:УПС сможет их зарядить? Где взять схему, дабы посмотреть узел зарядки аккумуляторов?
>>258690Не работает все равно. На пине никакого сигнала нет. Может я какие-то библиотеки не подключил?
>>258703Думаю не взлетитКакие аккумуляторы там стояли, такие и надо ставитьУ других аккумуляторов будет другой ток заряда, и вообще пизда твоему ИБПшнику>Мне необходимо от него питать насос 40Вт в течении 12 часов в случае отключения электричества.Вообще вот с этого и нужно было начинать - я бы помог сконструировать ИБП из говна, палок и автомобильных аккумуляторов, но теперь поздно
>>258704Ебаный в рот, да у меня на МКшке на том же порте на SCK диод висит.Пиздец просто.
>>258704А это шта?
>>258708Вот >>258707Я так понял, из-за того, что на этом пине диод висит, SCK до порта просто не доходит.
>>258703Короче вот тебе алгоритм1. В ИБПшник ставишь такие же банки какие там и стояли2. Насос ставишь на меньшую мощность, или через реле времени, что бы 30мин. работал/30мин отдыхал.
Есть вот такая схема (см. пикрелейтед), и нужно подобрать конденсатор и резистор. С конденсатором кое-как разобрался. Расшифровку резисторов нашёл, но не могу понять, какую рассеиваемую мощность ставить? Если выберу меньше, чем нужно — то выйдет из строя быстро?Как я понял, резистор 1МОм, +-5%, непонятно какой мощности. Конденсатор керамический, на 47пФ. Что-то упустил или не так понял?Источник: http://imgur.com/a/pQ8dM
>>2587160,25W
>>258649Отож.
>>258654Ну разломай оптопару какую-нибудь, от мышки или от принтера, возьми фототранзистор оттуда сравни поведение.Может тебе вообще светодиоды по ошибке продали, попробуй в него ток подать, ну как засветится.
>>258663В конденсатор идет в зависимости от частоты.На постоянном токе конденсатора считай что нет, получается просто резистивный делитель, на очень высокой частоте - конденсатор замыкает весь ток на себя.
>>258664Фишка лазера - в когеррентности излучения. Свет обычного светодиода - он как поток энергии от кучи передатчиков, которые хоть и на одной частоте, но не в фазе.А от лазера - четкое жужжание на строго конкретной частоте, и его можно всякими способами оптическими шинковать.Ну и пятно свечения пп лазера - гораздо меньше кристалла светодиода, это практически точечный источник.
>>258703>Есть один упс.>Где взять схемуТы правда не понимаешь, что без ванги на твой вопрос нереально ответить? Или ты реально полагаешь, что они все одинаковые внутри?Поищи в интернетах, епта.А по теме - подключаешь свои 2 батареи вместо встроенных 4 и все заеблось. Просто заряжаться они будут пропорционально дольше родных, но для твоей эксплуатации это не очень критично.
>>258716Это просто сигнальное заземление корпуса, мощность резистора тут пофигу, бери 1/8w.
>>258658А для чего в той схемме нужен резистор?
>>258575>>258577Бамп
>>258727Нет
>>258711> Насос ставишь на меньшую мощностьИ так на самой маленькой стоит.> 30мин. работал/30мин отдыхалТоже та подумал, только не 30/30, а 10/10, иначе котел закипит. Попробую таки поставить аккумы на 12А*ч, они в кассету поместиться должны.>>258706> ИБП из говна, палок и автомобильных аккумуляторовАвтомобильные ты мамке в вибратор ставь, мне нах не надь в котельной еще и электролитами дышать.
>>258633Кристалл у тебя припаян?Если нет, то суть там такова, что без кристалла скорость не стабильна и ты ничего передать не сможешь, скорость плясать будет.Во вторых программа должна знать на какой скорости она работает, это указывается в константе.Например если впаян 16мгц кристалл и фьюзы делителя не выставлены (работает на 16мгц), то>#define F_CPU 16000000UL // 16 MHz
>>258723> Поищи в интернетах, епта.sua750rmi2uНету. Я же говорю, что будто не упс ищу, а схему ядерного чемоданчика.
>>258567Плюсы электрокапсюля: отсутствие громоздкой механики, там где она не нужна (какие-нибудь авиапушки, или маленькие пистолеты). Отсутствие паразитного момента силы при работе механического спуска, хотя им можно пренебречь. В случае осечки можно попытаться дать искру ещё пару раз, вместо того чтобы как-то приводом взводить боёк в механике. Программируемость электроникой.Минусы электрокапсюля: якобы низкая надёжность, например если неумело или рукожопо делать детонатор пытаясь поджечь порох напрямую электричеством, а не по-нормальному когда дуга сначала поджигает инициирующую смесь, а затем эта смесь уже порох.
>>258728Почему? Бумагу разрядом поджигал, неужели порох не бахнет?
>>258733При выборе батарея vs пружина выбор в пользу пружины очевиден."Извените посоны, у меня пестик разрядился, нападёте через пару часов, ладна".А вообще пьезоподжиг используется в каких-то бахалках типа "Осы". Ненадежен.
>>258575Для начала пороху нужно сообщить температуру и кое-какое количество тепла чтобы он загорелся, т.е. нужна либо ОЧЕНЬ мощная электродуга, либо нужно чтобы накалилось сопротивление(спираль в лампочке), т.е. порох скорее всего не получится поджечь пьезоэлементом от зажигалки. В любом случае лучше всего сначала чтобы нагревательный элемент поджигал более лёгковоспламеняющийся материал чем порох (например растолчённая в порошок сера от спичек в небольшом количестве) или ватка смоченная бензином(в стволе воздуха должно хватить чтобы горело), а уж затем фронт пламени переносился на порох. А вообще это тебе зойчем?
>>258735Мы вроде говорили про общую теорию. Есть же большие военные пьезоэлементы-детонаторы.http://poleznayamodel.ru/model/15/154400.html
>>258736>т.е. порох скорее всего не получится поджечь пьезоэлементом от зажигалки.Ясен хуй я имел ввиду разряд посерьёзнее.>В любом случае лучше всего сначала чтобы нагревательный элемент поджигал более лёгковоспламеняющийся материал чем порох (например растолчённая в порошок сера от спичек в небольшом количестве) или ватка смоченная бензином(в стволе воздуха должно хватить чтобы горело), а уж затем фронт пламени переносился на порохКонструктивно, спасибо.>А вообще это тебе зойчем?Хочу электромагнитную пушку, но гауссы пока больше игрушки, чем оружие
>>258738>Хочу электромагнитную пушку, но гауссы пока больше игрушки, чем оружиеАлсо если сделать стационарный гаусс с питанием от сети-сравнится с огнестрелом? Есть подобные схемы?
>>258737По общей теории электрокапсюль не будет легче обычного (в котором ровно 2 детали - колпачок и слой воспламеняющегося вещества). В оружии гораздо больше механики, занимающейся заменой патрона и извлечением и выбросом гильзы, по сравнению с ней боек и его механика - практически незаметна ни по массе, ни по объему.Но в некоторых случаях может быть и профит.Например многоствольная хренотень которая должна разово и одновременно плюнуть 100500 пуль навстречу ракете для ее уничтожения гораздо лучше это сделает с электрозапалом.
>>258717>>258724Благодарю!
>>258739>>258738>>258575Сколько тебе лет?
>>258748Иди своей дорогой, Сталкер. Тут другой Меченый Сталкер пытается в обход НИИ сделать свою Гаусс-пушку, с блэк-джеком и шлюхами.
>>25874823 а что?
>>258711> 30мин. работал/30мин отдыхалОткопал у себя в коробке МК 429ZIT, его хватит, чтоб таймер соорудить?
Есть вот такой моторчик. 5в. Чем можно регулировать его скорость? ШИМом? Как можно шим попроще организовать? Можно ардуиной, но наверняка есть борлее простые варианты?
>>258750Обычно из гауссок вырастают годам к 13-15.
>>258755Подключить к пекарне через пердуину, конечно.
>>258758Спасибо.
>>258755ШИМом на NE555.Православно, дешево, работоспособно.
Радиач, это нормально вообще, что у меня в БП входы из сети замкнуты двумя напаянными поверх резисторами со скрученными между собой ножками? Что за пиздец-то такой? Я не очень понимаю в этом деле, но что-то кажется, что так быть не должно.Полез смотреть, что там булькает внутри даже без нагрузки вообще, сразу, как только в сеть включаешь пустой блок. Вроде как булькает вот этот фильтр на входе. Может такое быть? На что его можно поменять? И зачем к нему параллельно эти сопротивления приделаны? Что будет, если их выпаять?Сам блочок PowerMan(InWin) IP-S450HQ7-0И нашёл ещё дико пищащий без нагрузки керамический конденсатор на 1нФ с маркировкой 102, стоящий перед трансформатором дежурки, как я понимаю. Хочу поменять на другой, только он синий и маркировка 102К. Это же значит, что у него допуск 10%, а у штатного тогда сколько? Ничего же страшного не случится от такой замены?
>>258757Обоснуй.мимо другой анон
>>258738А как порох связан с электромагнитными пушками?
>>258761>входы из сети замкнуты двумя напаянными поверх резисторамиНаверное для разрядки конденсатора, чтоб тебя током не ёбнуло.
>>258757Вырастают до чего?
>>258761Там мегаомные резисторы, для шунтирования кондера
>>258765>>258767А чо они как-то мимо основной схемы установлены и просто, блджад, скручены ножками и сопельками залиты?
>>258768Желтое - конденсатор.Чтобы он разрядился после отключения от сети и тебя не долбануло током от выдернутой вилки и стоят эти резисторы. Везде стоят, в любом фильтре. Не тупей тебя люди делали. Могли бы сэкономить - сэкономили бы.
Прицепил кремниевый диод к крен5б, до диода 6 вольт, после диода 5.78 вольт. Хуле так мало на диоде падает? Кремниевые же минимум должны 0.6в отжирать. Мож резистор какой-нибудь килоомный поставить?
>>258731Да, кристалл на 12МГц стоит, правда start-up time я ему выставил поменьше, чем обычно - 1к циклов кристалла вместо 16к, но другие программы работали.Ну и к осциллографу у меня сейчас доступа нету, так что даже не знаю, как проверить работоспособность МКшки. Хотя есть другая такая же, микруха, может на ней можно как-то проверить?
Котоны, где достать такие бананы? Китаезы делают такие, но аудиофильские, там набалдашник металлический. Так-то это с каких-то вольтметров выпуска "БелВАР"
>>258789А тебе вообще зачем?Не проще гнёзда под простые бананы поставить?
Анон, Подкинь схем если есть, блоков питания, рассчитанные на токоотдачу(30-70 А) в низкоомную (0,1-1 Ом) нагрузку на не долгий(2-7 сек) период времени, с напряжением 3-8 вольт. Ну или годной литературы хотя бы
>>258722>четкое жужжание на строго конкретной частотеБлагодаря этому, интенсивность складывается по-другому?>Ну и пятно свечения пп лазера - гораздо меньше кристалла светодиода, это практически точечный источник.это исходя из того, что лазерный диод сам по себе крохотный? Или можно получить пятно и меньше самого кристалла?
Как разобрать этот фонарик?Можно ли разогреть переднюю часть и снять её?Корпус металлический.
>>258794
Посоны, по всей видимости сдохла батарея в наушниках, там стояла ли поли 3.7v 900mAh ft603048p. Такой у нас и даже на али не купить. Так вот следовательно имею следующий вопрос: если я закажу другую ли поли батарею на 3.7v и на 800-1200mAh она должна нормально работать? Я думал там сила тока учитывается или все подобные ли поли для моб устройств выдают одинаковую силу тока?
Можно ли использовать вместо пьезоизлучателя обычный динамик?
>>258798Силу тока определяет нагрузка.
>>258766До утилитарно-прикладных махараечек хотя бы.>>258762Перестройка деструктивно-нагибательного мышления в более созидательное из-за отсутствия ресурсов(знаний, опыта, материала) на постройку оружия/армии и начала войны всех против всех(что таки регулярно происходило в древние времена). Другими словами, если у низкоразвитых гуманоидов становится вдруг достаточное количество ресурсов то они начинают крестовый поход, если ресурсов мало, то они начинают придумывать всякие самотыки, и то и другое в равной степени является средством самореализации индивидуума.
>>258798Только что чекнул мультиметром батарею - показывает 3.54V, значит батарея должна быть в порядке?
>>258798>3.7v и на 800-1200mAh она должна нормально работать? Да.>>258803>3.54VМало.
>>258794Он и без нагревания норм разбираетсяМысли как Китаец
>>258802А причем здесь гауссы?
test
Анон, а на чем можно собрать клавиатуру, типа электронного пианино, с датчиком силы нажатия клавиш?
Есть две одинаковые мышки dns wrl-036bss usb. У первой со временем начались проблемы с микропереключателями кнопок (двойные нажатия). Я их перепаял. При этом на 100% перегрел места пайки. После моего перепаивания кнопки заработали нормально, но появилась другая беда. Мышь начала люто жрать батарейки. Если раньше батареек (аккумуляторов в частности) хватало почти на месяц, то теперь она их сжирает за 3-4 дня. Я поначалу грешил на аккумуляторы. Но потом я вставил их во вторую точно такую же мышь. И она на них работает уже больше двух недель. В связи с чем вопрос - куда смотреть и как исправить люты жор батареек у первой мышки?
>>258818Сфоткай плату мыши с обоих сторон. От перегрева резисторов могут измениться их номиналы и потому, возможно, жор увеличился. Но так сложно сказать.
>>258819
Радач, у кого как в последнее время почта работает? У меня куча посылок без трека не пришла, хотя более поздние с треком уже давно забрал. Такое ощущение, что почта тупо все неотслеживаемые посылки пиздит. А ведь я хочу получить свои паяльники-диоды-резюки.
>>258791Держи.Наркоман чертов.
>>258817В пианинах (даже самых дорогих, со взвешенной клавиатурой) датчиком нажатия клавиши являются две кнопки, замыкающихся одна за другой. Чем меньше время между их срабатыванием - тем быстрее нажата клавиша.
>>258818Залипуху где-то на плате оставил между дорожками.контактами - 99%.Лупу в зубы, спиртом моешь места паек и ищешь.
>>258820Вот эти места поподробнее.
>>258817Я сейчас махараю миди-контроллер с велосити на емкостных сенсорах. Послекасание (силу нажатия уже взятой ноты) на емкостях реализовать легко, а вот силу удара тоже не сложно, но сложно отстроить схему на предсказуемость и стабильность. Поэтому на промышленных контроллерах - как выше писали, две кнопки (вообще, сейчас на годных моделях три - чтобы фиксиловать еще и скорость отпускания), и считается разница во времени срабатывания. Чем меньше, тем, значит, сильнее был удар.
Посоветуйте конструкторов с SMD компонентами.У меня давно фен валяется и паяльная паста, но я всё паяльником делал, думал так намного проще.Заказал пикрелейтед и больше никогда паяльником SMD паять не буду. Фен - дар богов. Я его недооценивал.Хочу ещё SMD паять, но бесполезные платы не интересно.Есть чё полезное? Знаю есть конструктор осциллографа и транзистор-тестера, но они оба у меня есть.
Есть моторчик https://ru.aliexpress.com/item/DC-3V-0-2A-12000RPM-65g-cm-Mini-Electric-Motor-for-DIY-Toys-Hobbies/32218810462.html?spm=2114.41010208.4.2.lEjjnn Напряжение (V):DC 3V Хочу запитать его от розетки. Мне нужен адаптер на 3V? Можно ли его чем-то заменить (не могу найти в магазинах)?
>>258840http://www.gearbest.com/kits/pp_424907.html
>>258842Слишком дорого и бесполезно, на эти деньги можно 16 этих китов купитьhttps://www.aliexpress.com/item/SMT-SMD-Component-Welding-Practice-PCB-Board-Soldering-DIY-Kits-Wholesale/32582996580.html
>>258841>Мне нужен адаптер на 3V?Да. Можешь взять и на большее напряжение, посадив избыток стабилизатором или диодами.>Можно ли его чем-то заменитьДвумя батарейками например. Или литиевым аккумулятором, включенным через один-два диода впрочем и без них будет работать, только с перегрузкой
>>258818Плату засрал или замкнул где-то.
>>258841>0.2AНасколько это правда? Я слышал, что все моторчики амперы жрут, а этот, якобы, 200мА. Это же очень мало. Для чего он такой слабый используется?
>>2587721) Возможно у тебя диод шоттки или тупо пробитый экземпляр. 2) падение зависит от тока нагрузки. На малых токах оно уменьшается, без нагрузки вообще почти отсутствует. Нагрузи выход на резистор.
>>258791Чета кроме половинки аккумулятора, коммутируемой полевиком, ничего в голову не приходит.
>>258848Правда, почему нет. В игрушках используется, всяких сувенирах, говнобритвах. Моторчик который вибратор в телефоне, еще мельче.https://ru.aliexpress.com/w/wholesale-cell-phone-motor.html
>>258799Ьамп вопросу
>>258855Да используй, кто тебе не дает? Пьезо ставится когда нужно высокое звуковое давление на фиксированной частоте при малых энергозатратах, ибо эта хуета входит в зерг-раш резонанс и глушит всех вокруг, а динамик будет мягонько пищать но потребует простейшего усилителя ибо имеет маленькое сопротивление.
>>258836
>>258859Прогрей спайки с флюсом, чтобы не замыкались пятачки, а то суходрочкапайка получилась.
Я хз куда написать, спрошу у вас. Есть ли 4g роутеры, которые как бы содержат в себе железо телефона и могут наебать расиянских операторов с ограничениями безлимитного интернета? Проще говоря, у мтс есть безлимит который хуёво ловит и работает в смартфоне, но если эту симку сунуть в 4g модем к которому присоединена антенна, то сигнал заебись, но скорость сразу режется, т.к. эту симку можно юзать только в смартфоне.
>>258864Ну так купи самый дешёвый смарт с поддержкой 4g и используй его в качестве модема.
>>258865Мне блять нужно паять норм антенну напрямую к смартфону? У меня есть свой смартфон который, например в Ухте на работе крайне хуёво ловить, а вот роутер заебись.
>>258825>>258839Окей, а как тогда нажатия клавиш считывать?Никаких ног же не хватит, чтобы 64 клавиши считывать и еще дополнительно всякие реобасы читать.И какой тачскрин можно было бы примахараить к такой конструкции?
>>258821Да, у меня висят с сентября некоторые посылки
Здравствуй, нужна твоя помощь, спросить просто не у кого. Документацию читал. CyberForum немного мёртв. Я мог ошибиться с разделом, но более подходящего не нашёл.Суть в том, что нужно набросать комбинационную схему МДНФ по базису И-НЕ. За меня ничего решать не надо, всё уже сделано, просто схему нужно перенести в среду моделирования Logisim. В виде аналитического выражения всё есть, МДНФ набросал пик 1, осталось сделать схему приведения к базису, тут непонятно как её реализовать. Ну, оставлять ли элемент НЕ или же заменить его на И-НЕ, как это правильно всё оформить и т.д. На 2ом пике показана уже приведённая к базису функция МДНФ, осталось её оформить в виде схемы, с чем у меня и возникают трудности. Дружище, без твоих наставлений тут никак не обойтись. Было бы совсем замечательно, если ты бы объяснил на пальцах, как это сделать, или даже лучше сам набросал это по 2му пику для моего одного элемента.
>>258839что такое миди-клавиатура и почему все на них так дрочат?
>>258873Так в логисиме есть функция "сгенерировать схему".
>>258876За схему спасибо, разобрался, а вот что за функция такая? Дело в том, что мне нужно составить такую функцию для 6 элементов, а потом прогнать её через проверку, вот сижу и пытаюсь её как-то соединить в одну.
>>258877Хрен знает, что за схема. Ты полное задание давай, чтобы понять.
>>258878Есть аналитическое выражение с первого пика, нужно составить комбинационную схему, как на втором. Вот и всё задание.
>>258879Что у тебя символы ^ и v обозначают?
>>258881v - +; ^ - *
>>258881Там ошибка, везде должны быть ^, только заметил.
>>258882Человеческим языком напиши. ^ - это XOR, а v - это XNOR?
>>258884Да, вот так. Просто всегда так учили писать, ну, для удобства.
>>258885Ну тогда в первом случае ты должен был писать не NOT (NOT (A B C NOT D)), а просто NOT (A B C NOT D), и делать такое же для всех других выражений, а потом сокращать их по де-Моргану.
>>258886Да, походу ты прав, я уже просто конкретно запутался, и преподаватель, скорее всего, обосрался с самым первым NOT'ом. Да мне, в принципе, и без сокращений можно построить схему. Извиняюсь за некорректность, просто у меня уже мозг плывёт.Не мог ли бы ты показать как всё же это будет без первого NOT? Ну, как изменится схема, хотя бы для первого элемента - NOT (A B C NOT D)
>>258887Обосрался не преподаватель, а ты.Что за схема - хрен знает, похожа на какой-то parity checker, просто вводишь свое выражение в logisim и решаешь.
>>258818Повредил плату статическим электричеством или утечкой с незаземлённого паяльника.
>>258888Да, скорее всего это фейл с моей стороны, тут уж ничего не поделаешь. Премного тебе благодарен!
Ребята, буквально вчера завонял горелым и погас монитор Benq. Питание подключается, кнопочка загорается сначала зелёненьким, а потом как будто сигнала нет и переходит в ожидание (жёлтеньким горит). Экран ничего не показывает при этом, хотя по идее должен писать, что сигнала нет, бла-бла. Раскрутил, всё посмотрел, понюхал, не могу понять, что погорело.. Алсо, подключал через переходник HDMI-VGA. Может из-за него сгореть?Может, это подсветка сгорела? Лампу пока не доставал, так как её потом поставить трудно вроде..Помогите, я бы поменял и сам что то там, но не могу понять что.
>>258824И где взять трансформатор такой? Он ещё и стоить будет ахуевше много.Да и весить тоже дохуя.
>>258791>(30-70 А) в низкоомную (0,1-1 Ом) нагрузкуДля чего такое вообще нужно?
>>258892Если что-то завоняло - значит это будет визуально просматриватьсяТак же имеет смысл обнюхать плату со всех сторонЕщё обрати внимания на провода подсветки - они иногда коротят на корпус
>>258791Зачем?
>>258871Бамп
>>258896>И где взять трансформатор такой?Можно переделать трансформатор от микроволновки
Нука оцените идею.Хочу ламинатор для приклеивания фоторезиста к платам, но он дорогой.И я подумал. В лазерных принтерах есть валик, который нагревается и вплавляет тонер в бумагу.Можно ли из сломанного принтера собрать ламинатор приклеиватель фоторезиста?
>>258791Вейпер?
Как правильно подключить USB-UART TTL CH340G к меге16?Правильно на схеме нарисовал?
>>258903Можно. Люди делают.Подходит как для фоторезиста, так и для наклеивания ЛУТа
>>258908>>258902Представил этот вейп-девайс и проиграл
>>258892Лампа сдохла, инфа сотка.
>>258921Не писди.Лампы практически никогда не накрываются.
>>258908Да, вейпер
>>258917Ну землю еще нужно к земле подключить.
>>258791Мощный аккум + IRLB3813PBF
можно ли зарядить конденсатор большой емкости не затрачивая энергию при этом на бесполезный нагрев токоограничительного резистора?
>>258859Ну, что?>>258863-кун
>>258924GND я показал
>>258933Так вроде ж землю с АТмеги нужно к земле UART'a подключать.
>>258930Можно
>>258936как?
>>258939Через ограничитель тока.
Можно ли узнать по нореру мобильного хотя бы базовую станицию откуда звонят? Гугол на русском и английском выдает только мусор. Какое ПО использовать, если нужно?Бутылкосажатели, понятно, просто обращаются к опсосу, и тот дает им все логи.
Заранее извиняюсь за тупые вопросы. Физику в школе прогуливал.1. Есть ли хоть минимальная опасность использования индикаторной отвертки на 220в? Взял ее за 150 рублей, а выглядит очень дешевой, рублей на 50. При этом продавец уже сувал в розетку, показывая работоспособность. Но если вдруг там что-то выйдет из строя, меня может ебом токнуть? И насколько это опасно?2. Недавно поставил новый выключатель света. Его конструция вынудила удлинить фазовый алюминиевый провод. Удлинил, накрутив на его конец медный многожильный провод, поверх налепил несколько слоев изоленты. Знакомый хуй сказал, мол изолента будет сильно греться, и в будущем все это возможно вызовет возгорание близлежащих предметов. Так ли это? И как тогда иначе соединить эти два провода?
>>258653Видимо, по всякому бывает.У нас и серваки в сборе изъяли, и отдельно ЖД с рабочих станций.
Я у мамы рукожоп.Есть какие-нибудь готовые модули для радиоуправления? Не очень дорогие? На Ali есть?
>>258844>лучше куплю совсем бесполезное, тому що дешевле.Ну, как хош. Хозяин-баранин.
>>258871Чтоб считывать 64 клавиши с двойными кнопками нужно минимум 17 выводов контроллера.Кнопки, разумеется с динамическим опросом, в матрице. Так во всех синтезаторах сделано.Всякие аналоговые крутилки тоже обычно мультиплексируются аналоговыми мультиплексорами на один-несколько входов ADC.
>>258874Попросту - клавиатура с миди интерфейсом (классическим DIN5 или USB) музыкальный контроллер к компьютеру. Никто на них особо не дрочит, это просто самый дешевый способ забацать синтезатор из говна и палок.
>>258896В твоем ёба-ТЗ ничего не было про вес, портативность, атономность и прочее. Зато с трансформатором будет охуенно надежно. Берешь транс от микроволновки или телика и перематываешь вторичку, профит.
>>258898Да нарколыги сейчас не порошок занюхивают, а раствор всякого говна испаряют электричеством, вдыхают пар. Модно, молодежно.
>>258892Желтую плату снимаешь и смотришь на ея снизу. У бенков часто вон те серенькие прямоугольные конденсаторы отрывают от пайки выводы из-за пьезоэффектоа и следом выносятся транзисторы преобразователя для лампы, затем предохранитель, вон он сверху желтенький рядом с радиатором.Сколько я их перечинил в свое время!
>>258939Используя для ограничения тока реактивный элемент.Импульсные DC-DC преобразователи заряжают конденсаторы без потерь.
>>2589481. Не может, там внутри резистор высокоомный последовательно с лампочкой и все.2. Знакомый прав. Медь с алюминием в скрутке очень не дружат, надо соединять через промежуточный пружинный контакт. Сейчас они в любом сельпо есть, соеденители Wago.
>>258953>Кнопки, разумеется с динамическим опросом, в матрице. Так во всех синтезаторах сделаноМожешь пояснить, как это делается? А то я в интернете про клавишные матрицы читал и не понял. Если я одновременно несколько клавиш нажму и буду держать, как вообще понять, что я несколько клавиш нажал, а не одну?И как аналоговые мультиплексоры работают? Сканируют разные сигналы в ADC вход по-очереди?Что если сделать инструмент на Raspberry Pi + пердуине или АТмеге?Можно ли запилить звуковуху на 8-битном потенциометре и в чем недостаток такого подхода?
сап Двач, решил заняться радиотехникой, все дела, ничего нового. Вопрос такой - наверху писали про книги, одна из них "Искусство самотехники". Я прогуглил , там 3 тома, 2 1986 года и 1 1993. Стоит ли ее читать? Не устарела ли в данных книгах инфа?
>>258962с 1993 года, по твоему, законы физики изменились что ли?
>>258964Ну хуй знает, мы сейчас электромагнитными волнами ведра толкаем
>>258939ШИМом или просто через мощный диодный мост
>>258951Отключи перевод и попробуй теги Wireless Remote Control
>>258964Он, навеное, имеет в виду, что не вносились ли поправки в издание книги Например, исправление опечаток, ошибки в цифрах, формулах или расчётах, переводе, etc.Пользуясь случаем передам привет спрошу, как делать эти долбанные антенно-фидерные устройства? Из чего? На форумах пишут, мол «это же очевидно просто». А это для меня, ньюфага, не так. По какому принципу вообще работает антенна? Есть-ли где-то инструкция пошаговая, с прямыми указаниями, что брать, сколько паять, с фотографиями? А то я что-то не так видимо делаю, качество приёма на 120 МГц не улучшается.
>>258969Я вот думаю своего пацана к радиоделам приучить, но не могу найти современный аналог "Юного радиолюбителя" Борисова. Глупо тратить время на детекторный приёмник при пустом СВ и ДВ. Да и советская комплектуха смущает. Может анон чего полезного посоветует?
>>258955А если двигаться в сторону импульсных блоков питания, чем там ограничивается токоотдача в нагрузку?
>>258974Фантазией токоотдающего.Просто импульсный БП на киловатт - это уже не игрушка в плане разработки и доводки. Любой чих жжет ключи на ура.
>>2589611. Как матрица опрашивается? Ну посмотри гайды по динамическому опросу и индикации, это много где разжевано.На пальцах - на столбцы по очерееди ставится потенциал с контроллера, на строках он появляется там где нажаты кнопки, контроллер их запоминает и обрабатывает. Чтобы все опрашивалось независимо - последовательно с каждой кнопкой ставится диодик. Все это происходит быстро, скажем 100-10000 раз в секунду, в зависимости от требуемого быстродействия.2. Да, аналоговый мультиплексор просто последовательно перебирает аналоговые входы на один вход ADC, а тот их шустренько опрашивает после этого. 3. В этой вашей пидороереси я ничего не понимаю, советовать не буду.4. Воообще не понимаю о чем речь.
>>258969Нихуя это не просто, так тебе скажу (специализировался в институте по радиофизике). Сплошные интегрирования всякой комплексной радости по объемным поверхностям и т.д. Если ты найдешь какие-то расчеты - то это как правило довольно эмпирические по какой-то очень простой конструкции.
>>258973Планшет ему купи, чо, LEGO и трансформеров. Или ардуину, во. Кому нужна схемотехника, главное программирувание робутов на бредборде с красным провудом.Советская комплектуха его смущает, ну вообще.
>>258979до сих пор на германии хуяришь поделки?
>>258975Ну там не киловатт получается, 200-400 ватт. Так если знаешь чем помочь, анон, помоги
>>258980А то. МП ГТ П наше всё.
>>258986троллейбус_из_хлеба.жпг
>>258982Лови: https://2ch.hk/vape/res/187571.html
>>258973КВ.
>>258980А каким современным аналогом можно заменить точечные германиевые диоды? Диодами шоттки разве, но меня смущает их обратный ток.
>>258967>просто через мощный диодный мост КЗ это не хорошо для блока питания. И мощность все равно должна где-то выделиться.>>258958>Используя для ограничения тока реактивный элемент.Тогда индуктивность должна быть очень большая, иначе все равно будет нагрев катушки.
>>258992супергетеродин как первая конструкция?
>>258993Извиняюсь, ты вот сейчас про какие конструкции начинающего радиолюбителя говоришь?
>>258995Детектор же.
>>258638Аноньесы, что это значит? Он спрашивает точный ли тест, или утверждает что все впорядке?
>>259003Он сказал что ты нуб и не шаришь в электронике.
>>259003Веселый китаец ссыт тебе на лицо и говорит, что твой тест все правильно показывает. Может ты спецификацию не так прочитал, когда заказывал?
>>258617Разработал место. Две банки пальчиковые на миллиметров 5 в обе стороны больше получаются. Кстати седня разрядились, опять выключить забыл в питницу.
>>258998Для приёма КВ?
Смотри, анон, диод открывается не сразу, а плавно, в промежутке между 0.65 и 0.7 вольт. Можно ли считать что в этом промежутке он работает как переменное сопротивление?То бишь если к нему добавить резистор, то связка будет работать именно как два резистора а не как резистор и диод?
>>258625а зачем второй резистор? обычно же просто резистор и кондер на землю (обрезает высокие), или же наоборот кондер, и резистор на землю (обрезаен низкие). А второй-то зачем? Он же параллельно кондеру получается и шунтирует всё на себя? кондер не сработает тогда?
>>259007Ты еблан? На самом конденсаторе черным по белому написано 1000мкф.
Напомните шизоиду, как назывался псевдоинтернет через радиово? Ну вот чтобы пукнул сигналом, а приёмник его преобразовал для комплюхтера в хеловорлд.
>>259007>>259006>>258642Сука, пидоры, хватит толстить. Если на конденсаторе написано, что он на 1000 мкф, а в реальности он имеет емкость 600 пикофарад, то это нихуя не нормально.
>>257124 (OP)Как происходит аудиомодуляция на катушке Теслы с искровым промежутком?
>>259012Нет.
>>259014Да пень его знает, я ж статьи не видел, а ты подробностей не выкладываешь. Может там принципиально рассматривается схема из трех деталей, а не из двух.
>>259019Китаец и спрашивает тебя, придурка (без вопросительного знака только) - чем ты меряешь, уверен ли в прямизне своих рук?
>>259024Частотой возбуждающего напряжения, очевидно. Быстрее заряжается до пробоя - выше частота звука.
>>259027>спрашивает>без вопросительного знакаТам на фоточке видно чем меряю, как вообще там можно "не так померять"
>>259025То есть связка будет пропускать именно тот ток, который пропускает диод вне зависимости от того, какой номанал у резистора, так?
Нажыл такую хуйню, но без антенн. Чо туда можно присобачить? Огрызки проволочек? Или свернуть спиральку как на китайских GSM-модулях?
я кароч воткнул цинковый шуруп в лимон и медный провод рядом. Померил напряжение, вышло 0.96 вольта. Но светодиод не светится. Надо еще лимон?
>>259034диод светится от 1,2 и выше, по моемуно даже если ты повысишь вольтаж ещё одним лимоном, хуй знает какой он ток в итоге может выдать хотя бы на коротком замыкании. сможет засветить диод или просто его откроет.
>>259011Ну да.
>>258996Я про детекторный приемник.
>>259017Значит он просто ссыт тебе на лицо и говрит, что компенсировать тебе ничего не будет. Тогда заявку на него подавай на этой китайской параше.>>259019Алсо, может у тебя мультиметр 1000мкф померить не может, попробуй еще дедовским способом померить.
>>259039Я осциллографом померял время заряда через 10ком. Заряжается за 4 микросекунды.Вообще изначально я заметил, когда пилил свою схему, что он нихуя не держит заряд и там адские пульсации. Потом померял емкость, а там блядь 600 пикофарад
>>259040Ну хер знает, напиши китайцу "Ty ohuel chtole suka", если начнет пиздеть, что все он правильно продал, жалуйся модераторам и оставляй плохой отзыв, это их обычно вынуждает вернуть деньги или выслать новый кондер.
>>259032Туда можно заказать новую антенну.
>>259045Работает
>>258962Есть третье, свеженькое издание этой книги. Правда только на английском.
>>259047А что это за ебала?
>>259050GSM-шлюз. В него пихаешь симку и подключаешь телефон с факсом и пиздишь как по обычному телефону. Погуглил - стоила ебанутых денег.
>>259051Блядь, я ее походу сжег. В спецификации БП 6.8V я воткнул 9V, думал внутре стабилизатор. Через пол часа запахло жареным, разобрал, а там зенер-диод воняет. Это пиздец или просто диод заменить?
Как узнать входное сопротивление у колонок? Называются sp-205b
приветствую ! Откопал на балконе xbox wireles resiver из хбокса 360 с припаянным усб кабелем , хотел разместить внутри пк ( из экономии усб разъемов) : оказалось сигнал не проходит сквозь отверстия вентиляторов , планирую удалить антенну с платы ( если крест слева это антенна) припаять экр. кабель и подключить к штыревой вайфай антенне .Вопрос : будет работать? (этот рессивер 2,4 гГц)
>>259053Мультиметром измерь, чего как маленькийЕсли кто то начнет говорить про имперданс - ты их не слушай, от лукавого все это
>>259055подари мне!У меня xbox360 проводом подцеплен, через пол-комнаты кабель лежит.
>>257124 (OP)Что за херня?#define F_CPU 8000000UL#include <util/delay.h>int main(void) { while (1){ } return 0;}При сборке в AVR StudioWarning #warning "F_CPU not defined for <util/delay.h>" [-Wcpp]Я конечно понимаю, варнинг не ошибка, на какого собственно хера? Что ему не нравится?
>>259063Гугли
>>259064Гуглил. Всё что выдает это те кто не определяет F_CPU или определяет после #includeМожно конечно добавить defined symbols F_CPU=8000000UL в настройках и тогда кстати нет варнингов, но я хочу через #define F_CPU 8000000ULКакого хера не работает?
>>259065Попробуй заменить #include <util/delay.h>на#include <avr/delay.h>
>>259066еще можно#include <avr/io.h>#include "defines.h"#include <stdio.h>на всякий случай.
>>259066> #include <avr/delay.h>Так теперь не пишут, приводит к этому.#warning "This file has been moved to <util/delay.h>." [-Wcpp]Эти вообще никаким местом к этому не относятся #include <avr/io.h>#include <stdio.h>А это надо ещё создать и смысла в этом тоже нет.#include "defines.h"
>>259063Сам нашел из-за чего такая херь. Всем спасибо.
>>25906Из-за чего?
>>259036Дай схемку позырить!
>>259031У тебя получается нелинейный двухполюсник. Резистор - двухполюсник линейный, ток в нем линейно пропорционален напряжению.
>>259034Красному надо 1.6-2В, белому-синему - 3В.
>>259052Покойся с миром, Nokia
>>259085О, в моей 1610 тоже BART-2.
Поясните, если есть одна катушка с силой тока в ней 100 ампер, то получу ли я выигрыш в силе магнитного поля, если заменю ее на 10 катушек, вложенных друг в друга, с силой тока в 10 ампер в каждой?
>>259090Ты какой-то наркоман и вопросы у тебя такие же
>>259079Из-за того, что помимо main.c где написано #include <util/delay.h> и определена F_CPU в проекте были еще файлы ds18b20.h ds18b20.c и реализация 1-wire интерфейса с кучкой *.с файлов и в них внезапно тоже было #include <util/delay.h> но не определена F_CPU. Я думал достаточно в main.c определить F_CPU, а после идут все #include от ds и 1-wire и эта F_CPU будет видна всем, но хуй там было.Собственно сделал, как писал выше добавил defined symbols F_CPU=8000000UL для дебага и F_CPU=10000000UL для релиза.
>>259085Такуюта ёбу спалить
>>259092Вот чё ты начинаешь, нормально же общались.
>>259095Она жывая, только теперь на диоде маркировку не разглядеть, чтоб перепаять. А без него страшно теперь включать.
>>259090Есть такая величина "ампер-виток". Она означает, что магнитное поле от катушки из 100 витков с током 1 А и от катушки 50 витков с током 2А будет одинаково.Плюс еще есть максимально допустимый ток для единичнго сечения меди, больше которого нельзя вдуть из-за перегрева обмотки.Дальше думай сам.
>>259101>больше которого нельзя вдуть из-за перегрева обмотки.Можно, если на очень маленькое время.
>>259101>Дальше думай сам. Это значит "нет"?
>>259107100 ампер100 витков=1000010 ампер100 витков*10 катушек=10000
>>259108а, не, туплюполучается так:10 ампер х 1000 витков увеличили кол-во витков в 10 раз, ток упал в 10 раз, т.к. сопротивление возросло в 10 раз х 10 катушек = 100000. Выигрышь в 10 раз!
>>259003На что он намекает? Он хочет чтобы я вернул кондер ему обратно?
Анон, в чём трассировку делать? Шоб попроще и эффективней было. Пробовал AD, но, чёт совсем пиздец там. Спринт лаёут вообще в неё не умеет
Аноны, в чём по-проще трассировку делать? Для тупых, и эффективно. Пробовал AD, но что-то совсем там пиздец. Sprint layout в автотрассу совсем не может
>>259114Diptrace попробуй
>>259114ToporА заодно усачи наконец рационально и аргументированно пояснят, почему Топор не кошерно
>>259121Ты о чём? Кому что пояснять? Кто говорит о некошерности?Проверьте разводку платы Вашего детектора
>>259111Пишет что "фейк" не подходящее, потому что они продали тебе якобы брак. Может быть он так просит переквалифицировать диспут с фейка в что-то другое.Торгуйся на частичный возврат. Посчитай сколько ёмкости проёбано и столько же проси денег взад, будет хоть как-то обосновано.Мне вот что каждый день продавец шлёт. Скорее всего там бот какой-то.>Friend, both please cancel the dispute!!!!!!!!!!!!!!!!!!!!!!!!!!!!!!!!!!!Thank you very much!>Disputes over the shop has a great influence to me!>We negotiate!>You can also contact your local post office!>Consulting the parcel!>In order to solve this problem!Make you satisfied!!!!!!!!!!!!!!I resend the >goods!!!!!!!!!!!!!!!!!!!!!!!!!!!!!!!!!!!>Let you buy the rest assured!>Sincere service for you!!!!!!!!!!!!!!>Cancel the dispute, both please reply me!!!!!!!!!!!!!!!!>I'll give you a new track!Прислал перемаркированные транзисторы с откровенно пиленым ебальником.
>>259121Мне нравятся тёплые ламповые платы Topor'а!
>>259126Ну я пошел ему на встречу, изменил причину диспута на "не соответствует заявленным функциям". А емкость там вся проебана, лол. В 200 000 раз меньше заявленной.
ананимусы, по работе появилась необходимость сделать звук на микроконтроллере STM32F4. мне в принципе пох в каком формате что будет. Я ЦАП и ДМА настроил это хуйня, а вот подкрутить нужные кодеки не получается. Кто с этим сталкивался как работать?
Я вот знаю, что люди дома делают многослойные платы с сквозными металлизированными отверстиями, всё как на заводе.А кто-нибудь в этом мире сделал дома чип? Это возможно? Есть видео/статьи о том, как это делали?
>>259136транзистор делали, но получилось говно
>>259124>>259133Ну хз. У вас в нуботреде своя атмосфера. Стоит мне упомянуть топор где-то еще в /ра обрушивается океан хейта. Не далее чем вчера за пристрастие к топору кто-то посоветовал проследовать мне в биореактор и сказал, что это пиздец и не лечится.
>>259136Делал резистор
>>259136Кто-то на Хабре начинал проект. Написал три поста о том как накупил цистерн фторводорода и еще кучу полезных для здоровья вещей и чот больше не пишет.
>>259138Я после Diptrace иногда Topor'ом развожу.
>>259140Может он по стопам Хайзенберга пошёл?
>>259134Ну и попросил бы у него рефунд в 90 процентов или около того. Или ты полный хочешь?
Подскажите, есть ли какие-нибудь маленькие hdmi fullhd дисплеи?Не телевизоры/мониторы, а голые дисплеи как можно более миниатюрные, но с hdmi. Или может просто дисплейчики к которым hdmi прикрутить не особо геморройно?
>>259144Я гдето процентов 85 попросил.
Няши-анонасы, пришел к вам из /t/, та мотказываются отвечать на настолько тупые вопросы. Хочу сделать измерительный микрофон, нашел схему (на пике). Алсо, на втором пике основа для печатной платы. И, собственно вопросы вполне могут быть платиной:- В схеме используются конденсаторы, указана ёмкость, но не указано напряжение, и оно вообще не указано, даже на питании. Как быть? Брать из рассчета - "питание - крона, значит везде 9 вольт и конденаторы тоже брать 9V"?- У схемы аж 8 концов, идущих к питанию. Это значит, мне нужно будет соединить их в 2 пучка и подключать к батарейке?- Что такое XDA1 и XSC1, и почему они подключены одним проводом? Точнее, судя по описанию и макету платы понятно, что одну из двух это усилитель AD8620. А второе?- Можно ли собрать эту плату на макетной основе, просто понятия не имею, где можно отпечатать на заказ. Ну и в целом, какие можете рекомендации дать? Раньше паял только провода, максимум - заменял сгоревшие части.Ну и в целом, какие можете рекомен
>>259152> Ну и в целом, какие можете рекоменВот это текст распидорасило конечно. Этого быть не должно, конечно.
Анон, где берешь эмальпровод для махараек? Я тут сравнил цены и охуел, эмальпровод стоит в 2 раза больше, чем метр ПВ1 того же сечения
>>259156В магазине, где ещё-то!http://radiodetali.perm.ru/general/3search.asp?search=%EE%E1%EC%EE%F2%EE%F7%ED%FB%E9&bottom2=sname
>>259156Я беру на алике. В основном хватает 0.8мм: https://www.aliexpress.com/item/20m-Red-Magnet-Wire-0-8-mm-Enameled-Copper-wire-Magnetic-Coil-Winding/32628294473.htmlДля трансформаторов использую литцендрат.
>>2591521 - там только один электролит, на 47 микрофарад, вот его брать на напряжение не менее 9. Но на самом деле всё равно, он стоит в в таком месте. что точно не бомбанёт. Все остальные похуй на какое напряжение.2 - это общий провод так обозначен, заземлением. Соединяй как предложено на твоём втором пике, не нужно всё до батарейки тащить.3 - это виртуальные приборы из программы в которой симулировалась схема. Осциллограф и искажометр.4 - можно. Просто собезьянничай расположение деталек и проводников со второго пика.
>>259160> там только один электролитИ судя по схеме электролит неполярный.
>>259160> там только один электролитРазве не 3? С1, С2 и С3> это общий провод так обозначенЗначит его тупо в один скрутить, понялКстати, а что значат треугольники с + и - ? Не могу найти такие обозначения.
>>259163> С1, С2 и С3Это всё конденсаторы. Электролиты это такая разновидность конденсаторов, у которых большой номинал, но похуже остальные характеристики.> Кстати, а что значат треугольники с + и - ?Операционные усилители.
>>259159> 29,65 руб. / МетрТы траллишь так, да?
>>259165Nyet. Хотя литц стоит ещё дороже, вот например 0.1mmx1300 стоит вообще 267 руб / метр и ничего: https://www.aliexpress.com/item/0-1x1300-shares-Litz-wire-multi-strand-polyester-silk-envelope-yarn-envelope-1-meter/32626473856.htmlПривыкай, зато крымнаш.
>>259166Нет, ты точно тралишь.http://www.chipdip.ru/product0/9000272022/Даже в ебучем чип и дипе стоит 12 рублей/метр. Чуть ли не в 3 раза дешевле.
>>259164>Операционные усилители. А что это за детали? Чипы типа AD8620?
>>259170> Чипы типа AD8620? Угу, но их реально дохуя. Выбираются они в зависимости от того, сколько бабла ты готов отдать и какие недостатки конкретного оу для тебя не важны.
>>259171Ну, советуют его использовать... А почему на схеме их 2, а на плате место только под 1?
>>259172В одном корпусе могут быть несколько оу.
>>259152че то не пойму где тут половина питания и почему 2 операционника используется, и нахуя буфер в виде транзистора если у операционника и так бесконечно большое сопро-тивление
>>259170>AD8620Ебанись, он косарь стоитhttp://www.chipdip.ru/product/ad8620ar/
>>259173А что такое напряжение смещения оу?
>>259139Да ты бы и катушку сделал.
>>259175алсо, вот такая схема разве работать не будет?
>>259178По идее если на вход + и - подать одинаковое напряжение, то ОУ будет считать их равными и ничего не будет усиливать (ведь он усиливает разницу между + и -). Однако в реальных ОУ между + и - должна быть определённая разница чтобы ОУ считал их равными. Эта разница и есть напряжение смещения.
>>259181Kак его раcчитать, чтобы амплитуда обрезалась симетрично?
>>259182Если не важны шумы, то используй ОУ с автоподстройкой нуля, ну или используй внешние автоподстройщики.
>>259181>должна быть определённая разница чтобы ОУ считал их равнымиВ смысле должна быть? Ты имеешь в виду, что это паразитный параметр?
>>259186Ага. Почти все параметры ОУ в даташите - это отличие данного конкретного ОУ от идеального.
>>259187Прикольно. Подскажи тогда недорогой ОУ, способный удовлетворительно работать на частотах до 10 мгц.
>>259189А тебе для чего? Какое питание будет у него? Какой сигнал будет усиливать?
>>259190Однополярное. Чтобы работал как компаратор и мог максимально быстро открыть биполярный транзистор.
>>259181>между + и - должна быть определённая разница чтобы ОУ считал их равными.Если это не ОУ с полевиками на входе.
>>259192>Однополярноетакс, что тут у нас?
>>259193У всех так, не пизди.>>259192Тогда лучше брать компараторы, заточенные для такой работы. Например LM393.
>>259195А чё с частотой у него? Я только Response Time 1.4us нашел в даташите. Если так, то это даже меньше 1 мегагерца
>>259177Эта схема из тех времен, когда васяны клянчили у AD детальки даром.
>>259197LT1016 например.А вообще заходишь такой на сайты Texas Instruments, Linear Technology, Analog Devices и ищешь у них нужные компоненты по параметрам.
Паять с ортофосфорной кислотой обычные платы полное мудачество? Какой флюс используют местные джедаи? Главное чтоб не нужно было мучиться с отмывкой остатков спиртом или ещё хуже ацетоном.
>>259136>Я вот знаю, что люди дома делают многослойные платы с сквозными металлизированными отверстиями, всё как на заводе.Никто не делает. Не пизди.
>>259203В основном пользуюсь такими
сап двач, начал учить радиотехнику и тд, читаю книгу и там короч задачки, 1 я не могу решить: суть такова, есть источник питания 15В, надо доказать, что независимо от того как к нему подключат резистор, у которого сопротивление 1кОМ,мощность не будет превышать 1/4 Вт.
>>259206Просто на резисторе не сможет упасть более чем 15 вольт, а значит мощность не превысит 15^2/1000 = 0,225Вт.
>>259208а можешь поподробней расписать? я просто из семьи гуманитраиев, мне немного сложно
>>2592061кОМ = 1000 ОмПо закону Ома находим ток в цепи15/1000=0,015АСчитаем мощность умножив ток на напряжение0,015*15=0,225W
>>259209Батарейка отдаёт 15 вольт, а значит в цепи (если там нет dc-dc преобразователя, но представим что его там нет) на резисторе не сможет упасть больше 15 вольт, просто потому что это максимально напряжение.
Сука! Только щас заметил, что экран монитора стал чуть ли не черным, скорее всего это от испарившейся за годы пайки канифоли. Чо делать?
>>259214Отмывать спиртом.
>>259205>флюс активныйЭтот легко смывается водой?
>>259214>Чо делать?Учиться паять
>>259219Хрен знает, я не отмываю водой - нет времени ждать пока это дерьмо высохнет.Усатый телемастер
>>259217А экран не распидорасит от спирта?
Сап радиач. Имеется несколько БП от телефонов от 0,3 до 2 ампер, один usb кабель USB(A) - 2 провода +- и телефон, который надо зарядить. Самое простое, что приходит в голову - прижать плюс и минус к АКБ соответственно. Взлетит? Если нет, что делать чтоб взлетело?
Как мне посчитать сколько ватт потребляет розетка логикой какой-нибудь?Я думал, может шунт купить и с атмегой считывать ADC, но там же вроде активная/реактивная мощность есть, ещё и полярность меняется 50 раз в секунду.Как это сделать?
>>259204Не пизжу.http://whoby.ru/page/vannagalvanikhttps://www.youtube.com/watch?v=AEW2_bRm18wНу а многослойные просто клеят эпоксидкой.
>>259226померь потребление амперметром и умножь на напряжение
>>259223Через два последовательно соединённых диода, иначе уебёшь аккумулятор
>>259228Да у меня есть ваттметр, я бы хотел вставить в розетки в доме что-нибудь, что будет мне на сервер в доме сливать данные сколько какая розетка выжирает.
sup раданоны. есть у кого датащит на эту хрень на ангельском? http://www.datasheet4u.com/pdf/HT4921-pdf/938254
Анон который помог с циклом, спосибо, убрал костыли, сделал велосипеды. Теперь хоть как у людей.алсо ДЖВАДЦЕТЬ СТРОЧЕК НА АССЕ, АГА
>>259238А не лучше ли всё записывать в отдельную переменную вместо PORTB, а потом разом присвоить эту переменную. Или я дурак и так и должно быть?
>>259239А, всё. Вопрос отменяется. Это ты так на сдвиговые регистры инфу отправляешь.
>>259239Можно, но тогда нужно напрягтись, чтоб не проебать лишний пин порта б, который может использоватся совсем для других операций. А так я напрямую с битами.
>>259233Первая строчка в гугле
>>259241Можно попробовать вот так. Правда я не тестировал сработает или нет.
Помогайте нубу, пацаны: не паяются провода наушников, припой на них не держится, я даже опалил немного провода, потом еще ножиком соскреб с них нагар но припой все равно не цеплается.
>>259247> опалил немного проводаВот это делать не надо. Делаешь так: берёшь паяльник, устанавливаешь температуру повыше и горячим паяльником "соскребаешь" лак.
>>259248Спасибо, анон, завтра попробую, правда, пока едет нормальный паяльник с регулировкой, я пользуюсь дедовским на 60 ватт.
>>259249Тоже норм. Только дави на провод и медленно двигай жалом к концу провода. Я так литц очищаю 100-ватным паяльником, правда там и проводков дохуя. Если и это не поможет, то пиздуешь в аптеку и берёшь таблетки аспирина, которыми и залуживаешь провода с лаком. Только делай это на открытом воздухе и не забудь тщательно отмыть провод после всего действия, иначе со временем кислота растворит его.
Хочется странного.А именно - бывает ли в природе модуль интернет-радиоприемника, чтоб его можно было, например, подключить к ламповой радиоле, настроить на какое-нибудь радио "Музком" (http://radiopotok.ru/radio/760/) или http://staroeradio.ru/ и слушать старый джаз и оперы в теплом ламповом антураже?Вижу две задачи:1. все ли интернет-радиостанции вещают в стандартных совместимых форматах, чтоб можно было железке сообщить адрес/порты и не иметь прокладки в виде браузерного окна с проприетарным проигрывателем в нем?2. есть ли железо, которое эти форматы понимает.Хочется именно хардварный модуль, а не лишнюю сущность в виде планшета или компьютера.
Уважаемые господа, подскажите, а сетевики в этом разделе сидят? Треда не нашел, туда ли я зашел?
>>259255>2. есть ли железо, которое эти форматы понимает.>Хочется именно хардварный модуль, а не лишнюю сущность в виде планшета или компьютера.Это можно сделать на raspberry pi или подобном железе.
Как опознать по внешнему виду JST коннектор? А именно на сколько он миллиметров.
Усатые, кто-нибудь сталкивался с БП Sunpower SPS-230P-12? Можно его переделать в регулируемый?
Сап, антоаны.Помогите развеить мои маня-опасения.В общем, последние дня 3-4 с телефоном творится что-то жуткое, одни и те же СМС приходят по 5-6 раз и соединение при исходящих начинается секунд через 10-15 минимум, это меня неутомимо напрягает, но хрен бы с ним, дело в том, что я начитался в интернете, что это может быть прослушка. OMG. лол. Все бы ничего, только вот меня действительно есть за что прослушивать, особенно в последнее время, так что реквестую советов мудрых.Телефон HTC уже 3 года, такая херня последние 3 дня, оператор мегафон, нахожусь в домашнем регионе, на телефоне стоит прога записывающая все переговоры, но таких проблем не было.Зы. В моби писать не стал, там петухам лишь бы новый йоба-смартфон прикупить помощнее, сдесь публика пограмотнее должна быть.
>>259277Нет
>>259277Если ты в рашке и пакет Яровой уже приняли, то можешь расслабиться. Все твои разговоры и так записываются и хранятся.
>>259277У меня Люмия 435 с любой симкой так тупит, три раза алёкну, пока собеседник меня услышит. Наверное мои сверхважные разговоры Биллу, нашему, Гейцу шлет.
>>259277>оператор мегафонЭто ты добровольно себя на страдания обрек или корпоративная необходимость?
>>259285Я бы сказал, что это произошло по взаимному несогласию. Переехал в новую область, купил телефон, а в придачу симку мегафона бесплатно дали, потом оказалось что большая часть нового окружения на нем сидит, ну и пошло поехало...
>>259281не ты не так понял, я по 15 секунд жду пока только гудки дозвона пойдут.
>>259247Попробовал сейчас спаять мышь, кое как получилось, но я пробвал делать как в видеогайдах: там скручивают провода, паяльник под провода а припой над ними и припой будто сам обволакивает весь провод, но у меня припой как будто куда то пропадал (видимо, на паяльник), но потом я просто плавил припой об паяльник и обмазывал провода. Чому так? Может паяльник слишком мощный для этого (60 ватт), или припой говно (рюзке пос-61, в желтой катушке, с канифолью)?
>>259300У меня такое было, когда паяльник недогревал. Я долбоёбов наслушался, и выставил такую температуру, при которой припой начинает плавиться. И в итоге страдал долго. Потом психанул, добавил 50 градусов и всё стало паяться, обволакиваться припоем, лудиться, и вообще одни профиты.
>>259302> добавил 50 градусовЯ вообще на 500 градусах пояю. Брат правда помер уже лет 20 как, но в остальном всё нормально.
Собираю зарядное для акков. Имеется пикрилейтед схема, выдающая 1А. В mini-usb подключу зарядку от плеера, выдающую 5V и 300mA. Вопрос: я долбоёб? Не срежется ли сила тока на выходе плеерной зарядки? Если да, то как запитать?
>>259311Срежется, ты долбоеб. >то как запитать?Перепаять резистор чтобы снизить выходной ток.
>>259312> чтобы снизить выходной токмб наоборот, повысить? Мне же нужен 1А
>>259311Воткнуть нормальный БП.
>>259313сука, ты деб? зарядка выдает 300мА, где ты больше возьмешь?
>>259315перепаять резистор на зарядке, будет вместо 300мА -> 1А?
>>259316на схеме, ебан, а не в зарядке.
>>259250Спасибо, анон, помогло! Лак сгорал даже когда я на весу проводил паяльником по проводу.
>>259311Хуячь её в usb 3 порт, там 900мА, и не еби мозги.
В мобилаче мне никто подсказать не смог, так что спрошу здеся.Есть китаезарядка на 20000 mah, больше 1.1 ампера не выдает, хотя указано что 2a тянуть способна. Замерял usb амперметром и через андроед. Напряжение 4.77-4.90v При подключении к сетевой зарядке идут нормальные 1.5-1.8a.Вопрос: У всех павербэнков такая дикая потеря мощности или у меня просто девайс говно?Кабель использовался один и тот же, на телефоне заряд был 60-75%, и он находился в спящем режиме, так что контроллер АКБ телефона винить не стоит.
>>259268Это можно сделать на каком угодно железе, но я не программист и хочу купить готовый полуфабрикат.
>>259273Нет.Или собирай свой бп из компонентов(не рекомендую) и ставь его туда тупо как источник постоянного тока или купи норм лбп.Вариант с китайским регулятором для зарядки аккумулятора - говно, ибо там 3 вольта минимум, ниже нельзя.
>>259296Переставь эту симку в какой-нибудь древний телефончик с кноповками и проверь ее работу, нарколыга.
>>259316Если у тебя блок питания (как вы заебали, с этой "зарядкой" физкультурники сраные) дает на входе 1.5Вт (0,3А х 5В), то никакими магическими пассами ты из него 5 Вт не выжмешь.
>>259322Не у всех, но твоя не тянет.Тест корректный, если с одним и тем же кабелем.
>>259325На самом деле и этот можно переколхозить в регулируемый. У него схема - как у старых АТ блоков питания, только с одним выходным напряжением, а из тех запросто народ колхозит регулируемые (хоть и дерьмовые).
>>259328Спасибо, наша. Всегда знал что в этом треде сидит цвет российской и украинской науки если она у нас еще осталась
Помогите плиз разобраться со схемой! Это приблуда для виртуального RLC-метра (http://zapisnyh.narod.ru/rcl.htm). Не могу понять, что изображено в районе S2. Наверно, это какой-то переключатель, но что-то он вроде непорусски нарисован. Разъясните пожалуйста
>>259325>>259331Спасибо, аноны. Собирать или покупать ЛБП не вижу смысла, мне лабораторная точность не нужна, хотел просто универсальный БП, чтобы мог выдать 3/5/9/12/20 вольт и приличный ток. Ну, нет так нет, оставлю этот БП для работы с автомобильной электроникой, а для своих махараек попробую из ноутбучного БП сделать регулируемый, ноутбучных БП у меня много.
>>259342Да, это переключатель, он подключает общий провод либо к одному резистору, либо к другому. Тот, кто это чертил, совершенно не умеет в схемы.
>>259344то есть, он двухпозиционный? Положение 1: 1 кОм, положение 2: 10 Ом, так? Третьего нету?
>>259344А по поводу красной стрелочки в центральной части схемы - это просто намёк на то, что общий - это и есть экран?
>>259345>>259347Не знаю, бро. Схема некорректна, как по мне. По идее, 3-е положение все-таки есть. А экран - это общий провод, подключенный к переключателю и к крайнему левому по схеме контакту разъема, причем в этот экран заключены провода "лев" и "прав".
Сильно ли сложно взять дисплей от какого-нибудь мобильника и подцепить к нему HDMI?
>>259350Да.
Отцы, вопрос вдогоночку. Жаба давит покупать за косарь БП для светодиодной ленты. Могу ли я заюзать древний (98-2003) блок питания от компа, коих у меня дохуя. Надо будет лишь зеленый провод с каким-то скрутить, дабы он стартовал не от мамы? А потом тупо подрубаем ленту к 12в черному и желтому проводу, смотря лишь на то, чтобы нагрузка была выше минимально допустимой, что указана на блоке? В арсенале даже тестера нет, но, как понял, он и не нужен.
>>259324Что бы записать образ на карту памяти и настроить ffmpeg программистом быть не нужно.
Анонасы, что можете посоветовать прочитать про составление схем для дебила? Хочу вкатиться, но говорят либо начинать с учебника физики, либо суют совсем лютую хуйню где ничего не понятно.
>>259361Хоровиц же. Ссылка есть в ОП-посте. Правда мне третье издание больше нравится, но оно вышло не так давно и пока что существует только на английском: http://rutracker.org/forum/viewtopic.php?t=5264566
>>259362Отлично, там вообще обо всём. А английский не проблема. Спасибо.
>>259363Еще и практика нужна. Купи деталек на развес и собирай.
>>259364Так и планирую, но чтобы что-то собрать надо знать хотя бы что есть что и для чего нужно. Так что сначала хотя бы книгу.
как научиться придумывать хитроумные аналоговые схемы?
>>259273> переделать в регулируемый?Какой ШИМ контроллер стоит?
Помогите нубу, объясните зачем берутся эти мусорные шумы на верхнем графике, где мои ровненькие меандры? Аналогично, на нижнем графике тоже какая то шляпа. Отчего такой сдвиг большой, опять же где красивые прямоугольнички?Я все понимаю, гармоники там, время срабатывания логики может играет как-то, частоты большие. Хотелось бы узнать как все это дело перебороть, да и вообще правильным ли путем я иду?
>>259376> 0.03fAЭто фемтоаперы штоле?
>>259377А ведь действительно. Но почему так, это же плохо, да? Я не понимаю, все же вроде нормально сделано.
>>259318Спустя пол дня понял, что от радости забыл завязать узелок около динамика, т.е. если дернуть за провод, то, скорее всего, все оторвется.
>>259350Практически нереально.
>>259382
РЕбята я хочу изучать радио и химию. Есть такая отрасль Радио-химия?
>>259384Что это?
>>259386Все, разобрался, полезная вещица.
В общем я уже прочитал в 3 разных учебниках и на десятке сомнительных сайтах нигде ничего не пишут, поэтому спрошу здесь: почему усилитель на транзисторе в схеме с общей базой не инвертирует выходной сигнал?
>>259390Тому що ток в эмиттере (входной) и в коллекторе (выходной) текут в одну сторону.
>>259342Обычный трехпозиионный переключатель изображен.
>>259354Да, все так. Зеленый замкнуть на черный - БП включится. Все черные - общий провод, все желтые - +12.
>>259356Дай ссылку на проект тогда, что ты как школьник.
>>259374Там TL494 в 99% вероятности.
>>259395https://www.ffmpeg.org/
>>259376100 наносекунд - большой сдвиг?Ты видать из какого-то сферического мира в вакууме выпал в наш реальный. У нас это норм.
>>259397Хм, поглядел, мало что понял.Возможно этот декодер и умеет воспроизводить то, что мне нужно, но мне все-таки и какой-никакой специализированный радио-сервис нужен, а не линух и командная строка. Ну и в распберри с линуксом и этим декодером от планшета с вебом мало отличается в моем понимании.
Идиотский вопрос. Если я залудил провода, то могу вернуться к пайке через некоторое время, или обязательно прямо сейчас?Пик с хуевымм фокусом прилагаю.
>>259409Можешь, не обязательно.
>>259374>>259396Не знаю, какой ШИМ. Я его не открывал еще, а схему не нагуглил. Дело в том, что мне он достался нахаляву, его списали на одном заводе - стартует через раз. Думаю починить и использовать. Подобосрался, кстати, от его цены в ~20к.
>>259416Откуда там 20к? Такой же в китае можно купить за 1к: https://www.aliexpress.com/store/product/12V-12-5A-150W-Switch-Power-Supply-Driver-For-LED-Strip-Light-Display-110V-220V-Free/1051119_1599792039.htmlХотя> списали на одном заводеВангую большая часть цены ушла обратно директору завода в карман.
>>259417>Откуда там 20к? Такой же в китаеОттуда, что у меня именно оригинал от Sunpower.>директору завода в карманНу, если ушла, то не директору, а более мелкому чину типа механика, завод оче крупный, 6к сотрудников.
Радач, как нормировать диаграмму направленности? Есть ли какая-то формула или как? Из исходных данных только кол-во вибраторов в решетке и расстояние между ними (произвольно)
>>259385Вы ответите на мой вопрос?
>>259425Ищи инфу по аккумуляторам.
>>259343Купи совковый за копейки.У него именно тот функционал который тебе нужен.
Аноны, посоветуйте на алиэкспрессе годный станочек для сверления печатных плат. Что бы не откровенное говно.
>>259148Ну как, вернул бабло? Я дождался батек из алиэкспресса и они порешили что фейк не та статья для кетайца, написали там что бренд на странице продукта не указан, так что теперь это "несоответствует описанию".Похуй, принял их условия и вернул немного бабла.Как доказать этим овощам что пиленые детальки это фейк?Собирать махарайку для сравнения хуёвой детальки с нормальной и снимать видео?Доёбывать продавца перед покупкой расспросами об оригинальности и не перемаркированности?
>>259277нехуй закладки закладывать, пиздуй на завод, маня
>>259230их нужно оба одинаково паять, или стрелочками друг к другу (или друг от друга???)
>>259445>Ну как, вернул бабло?Ну, продавец согласился без вопросов, правда мне бабло так и не пришло. Когда оно вообще придет? Должен ли я что-то еще делать?>An agreement has been reached for Order No.
>>259450Он должен свой вариант тебе предложить или согласиться на твой. Он там запросто может писать что угодно, но предлагать как и прежде "no return, no refund".
>>259452Нет, он согласился на мое, рефунд бабла. Но как бабло то получить? Просто ждать?
Есть один тиристор, ТЧ40-9-464. Как найти его характеристики? В гугле че-то нихуя не находится.
>>259453Если так то жди.
https://ru.aliexpress.com/item/5Pcs-IRFZ44N-IRFZ44-N-Channel-49A-55V-Transistor-MOSFET/32527223287.htmlВ комментах пишут, что це подделка. Стоит рисковать покупать или впизду?
Имеется два контакта которые нужно замыкать на секунду каждый час или два, а еще лучше с регулятором от получаса до суток. Питание от двух пальчиковых батареек желательно. Ваши идеи?
>>259462Ключ на мосфете/igbt или реле, очевидно же.
>>259463Управлять можно микрухой CD4060.
>>259394А я могу пока линию +12 вообще не трогать? То есть замкнуть черный с зеленым и тыкать денту в выходы для хардов (черный-желтый)?
>>259464Схемы есть готовые?
>>259462> Ваши идеи?RaspberryPi
>>259468>RaspberryPiТам и attiny должно хватить
>>259468Это конечно хорошо, но имплантировать малину в освежитель воздуха слишком жирно будет.Хочу на кнопку ручного разбрызгивания повесить свой контроллер чтоб реже встроенного брызгало.
>>259322Девайс говно
>>259448Как на картинке блять
Сап, такая проблема. Разобрал микрофон, т.к. начал трещать, пропадать, и тд, выпаял старый, впаял новый. Вместо голоса записывает, все: треск, пердеж, шумы,пропадания, провалы голоса не ушли так же но не сам голос. В чем проблема?
>>259409Проиграл с паяльника и канифоли в коробочке
>>259482Так и живем, хуле. Да и я не занимаюсь этим, просто решил уши починить.
Анон, а можно ли ФМ-демодулятор из RC-цепи сделать, если низкочастотный фильтр поставить?
Что это за маркеры на пике?Ну то есть они нужны для рисования дорожек на плате перед травкой, но судя по их разнообразию цветов, они вообще не для этого делались. Это какие-то обычные маркеры, которые можно где-то купить.Но как они называются? Обычные водой смоются.
>>259492Простой перманентный маркер.
>>259493А разве он помешает хлорному железу?
>>259494Так в этом же весь смысл. Маркером рисуешь те места, где должна остаться медь и хлорное железо до них не добирается.
>>259492Лаковые маркеры скорее всего, ими рисуют или маркируют. Широкое у них применение как и у любого рисующего инструмента.В широкой продаже в канцелярских или радиомагазинах Edding 702 и прочие есть.
>>259495Ох, случайно прочитал твой вопрос как "А разве он не помешает хлорному железу?"Ну у меня всё работает. Закрашиваю им те места, где плохо перенеслась краска.
>>259439Купи обычную бормашину.
>>259439 -> >>257926
Есть две катушки, одна вложена в другую и соединены параллельно, без сердечника. Количество витков различается в 10 раз. Что будет при включении питания? Возможен ли высоковольтный импульс, который повредит источник питания?
Анон, я не прошу тебя дать ответы. Я только прошу подсказать хорошее пособие(или, хрен с ним, сайт) с ответами на эти вопросы.
>>259506(продолж.) Лучше - пособие.
>>259506лол, что за ебанутые вопросы>какие программно-управляемые электронные устройства да их тысячи!
>>259398Хорошо, пусть сдвиги остаются, до них мне большого дела нету. Беда вот тут, на графике. Что это за ублюдки такие, откуда они берутся и куда их девать?
>>259508Наверное, старпёр-препод типы имел ввиду
>>259506Ну последнее даже я могу ответить, хоть на остальные вопросы точных ответов не знаю. Количество разрядов равно log2(UОП/∆U)
Подскажите ньюфагу, пожалуйста.По поводу ФЧХ, вот как так, что фаза зависит от частоты? Если с АЧХ всё понятно, то с фазой вообще не могу понять.
Можно ли как-то проверить радиомодули на работоспособность имея в наличии только одну ардуину?
>>259519К своим говноколонкам поднеси
>>259521Но у меня нет колонок
>>259504Возможен
>>259522Ну у друга/соседа/партнёра поднеси
>>259524Я хикка
>>259523Как избежать этого?
Шарит тут кто в технологии сборки печатных плат? Поясните, вот часто встречаются платы, где смд элементы не только припаяны, но и приклеены на какой-то термостойкий компаунд. Как это называется? Чем обусловлено?Ну и немало плат, особенно старых, где смд элементы просто припаяны. Не вижу разницы в результате, кроме как в сложности отдирания приклееных элементов при их демонтаже.
>>259532> сложности отдирания приклееных элементов при их демонтаже. Когда их собирали не думали, что нищенка из северных болот будет отпаивать и отдирать копеечные смд-резисторы.Даже в Орле есть слой GLUE, на котором обозначаются границы нанесения клея.
>>259533Речь про ремонт.
>>259470https://www.youtube.com/watch?v=uazB-rG_zHI
>>259532Ни разу не видел смд на компаунде. Чипы бга вижу постоянно, но чтобы кто-то смд приклеивал - впервые слышу. Может ты паяльную маску компаундом называешь? В общем, фото давай.
>>259470Attiny13 + 32768 Гц кварц:interrupt [TIM0_OVF] void timer0_ovf_isr(void){ #asm("wdr") Sec++; if (Sec > Period) PORTB |= 0b00000100; PORTB &= ~0b00000100;}
>>259537> + 32768 Гц кварцНахуя? Ему даже встроенного RC-генератора хватит. Для распыления освежителя точность не нужна.
>>259533Так в чем профиты этого клея?
>>259534обычно, если вещь сломалась, её выкидывают и покупают новую, а не ремонтируютты, небось ещё и использованные носки стираешь? и молоко вчерашнее пьешь
>>259470>Это конечно хорошо, но имплантировать малину в освежитель воздуха слишком жирно будет.Есть уже автоматические разбрызгиватели - как раз примерно раз в полчаса или час пшикают. На батарейках. Не изобретай велосипед, его уже придумали до тебя.
>>259519бамп вопросу
Поясните на чем лучше организовать модульное соединение(мамка/папка) для разных девайсов под 12v до 10а. Пока подумал что решение 5.5х2.1мм джеки самое удобное. Или есть какие то более удобные решения?
>>259559Я поражаюсь, тебе что, лень в гугле вбить "индикатор поля" и собрать его из говна и палок за 5 минут?
>>259563Ты совсем долбоеб? Если модуль что-то там излучает, это еще не факт, что он работоспособен.
Бабуля попросила сделать досветку к стеллажам там месте нихуя, см 15 до растения. Собственно, решил, что проще ебануть ленту и не париться. Но я нихуя не пойму, какой блок питания нужен. Вот я выбрал эту https://ru.aliexpress.com/item/1m-2m-3m-4m-5m-Ultra-Bright-LED-Strip-Light-SMD2835-12V-DC-Pull-LED-Reel/32758903396.html?spm=2114.30010708.3.53.yFZSqG&ws_ab_test=searchweb0_0,searchweb201602_1_116_10065_117_10068_114_115_113_10000007_10084_10083_10080_10082_10081_10060_10061_10062_10056_10055_10037_10054_10059_10032_10099_10078_10079_10077_10093_10073_10097_10100_10096_10070_423_10052_10050_424_10051,searchweb201603_2&btsid=750e2df0-d635-4b05-a0c5-13d1057dae74 Для 5м такой ленты, какой бп нужен?
>>259567> досветку к стеллажам там месте нихуя, см 15 до растения.> ебануть лентуДолбоёб. Для досветки люмены важны а не красота. Бери OSRAM FLUORA и растения бабкины будут рады. Бабка тебя закормит пирогами и тебе даст соседка по подъезду.
>>259558Не встречал а на Али они стоят как три таких в офлайне
>>259509Неужели никто не может мне помочь, дать советов мудрых?
Пацаны, не бейте, я нуб. решил починить древний монитор, попытался выпаять кондер и случайно провел паяльником по плате около отверстия для ножки, теперь там немного торчит провод. Все, плате пизда?
>>259575фото
Поясните за плавающий контакт.Может ли чип при нагреве терять контакт с материнской платой? Насколько такой дефект распространен в современных девайсах(ноутбуки, смартфоны)?
>>259576не знаю, чем это должно помочь тебе, но вот
>>259577У меня похоже как у тебя проблема, зарядка ноута отключается при нагреве.
>>259576Вот мыльная, лучше мое говно не может.
>>259579а где усы?
>>259582Похуй, главное смотри, чтобы на соседние не замкнуло.
>>259567Такая залупа не пойдётНужна вот такая лентаhttps://www.aliexpress.com/item/DC12V-5m-5050-growing-LED-Strip-IP65-Waterproof-growlight-Red-Blue-4-1-5-1-7/32345668039.htmlИ вот такой БПhttps://www.aliexpress.com/item/Led-products-5-5x2-5-5-5x2-1mm-desktop-12v5a-power-adapter-with-short-protection/32674616138.htmlНу или OSRAM FLUORA как советовал другой анон
>>259562USB
>>259591Зачем ебань такая?
>>259591А потом кто-нибудь туда свой смартфон воткнёт.
>>259590Чёт проиграл.
>>259594От чего?
Радач, есть два вопроса.Есть ли таблицы соответствия ширины дорожек сечениям проводников?Можно ли использовать разъемы не по назначению, ну к примеру 3.5 мм джек использовать для USB? Боюсь быть освистанным почтенной публикой.
>>259595Красный для скорости, синий для охлажденияТам же обычные светодиоды стоят, не какие-то там специальные "цветочные", а самые обычные.
>>259599>Можно ли использовать разъемы не по назначению, ну к примеру 3.5 мм джек использовать для USB?Можно, но тебе контактов не хватит. В USB 4 контакта, в джеке 3.Хотя есть джеки на 4.И + и - рядом на джеке не поставь, чтоб не коротнуло, пока вставлять будешь.Я бы - поставил как обычно, а + на средний (самый дальний) контакт, чтоб он замыкался в самый последний момент при вставке.
>>259601Ну хуй знает
>>259599>Есть ли таблицы соответствия ширины дорожек сечениям проводников?Толщина меди на платах тоже разная бываетSplan поставь, он вроде там даже допустимый ток считаетЯ лично на глаз всё делаю, с запасом, как диды учили.>Можно ли использовать разъемы не по назначениюМожно но не нужно.
Я так понимаю в компараторах нельзя сделать гистерезис выхода? Он жеж будет как припадочный долбиться от колебаний напряжения.
>>259609А, тьфу, не туда посмотрел. Игнорируйте вопрос.
Какие устройства сгодятся как доноры корпуса? Внутренние габариты примерно 30\20\8-10см, нужен из металла. Пока присмотрел mini-itx корпуса; видаки слишком большие и дырявые, спутниковые ресиверы слишком низкие. Бюджет до 700р на авито.
можно ли на али где-нибудь купить набор микросхем серии 74hc чтобы были по 1 экземпляру всех типов?
>>259616Ньюфагу расскажите, зачем эти микросхемы нужны? Они только AND умеют, где это нужно? Где используется?
>>259614Если не залупинск, то ищи трансляционное оборудование. Усилители/микшеры/прочая хуйня. Она обычно идет в рековых корпусах. Высота 2U или 3U.Себе покупал 2шт за 1к.
>>259614Ай, бля. У тебя там 30см указано.Тогда мое предложение отменяется.
Как в LTSpice IV изменить напрягу на встроенной логике, так чтоб вместо стандартных 1в она запитывалась от 5?
>>259619>Они только AND умеют, где это нужно? Где используется?Кроме логических функций есть счетчики, различные регистры, буферы и другие. Например сдвиговые регистры используются в светодиодных матрицах.
>>259499>>259500дремел проскитовский у меня есть. Для двухсторонних плат важна перпендикулярность сверления. Вот это мне важно. Да и просто плату с кучей dip-корпусов офигеешь рукой сверлить.Точнее, я на днях уже офигел.
Как сделоть дрель для сверления плат из говна и палки за пять минут. Понадобистя магнетофон(матифофон), которыми наши деды танцевали на дискотеке. Значит выколупил там двигатель внутреннего возгорания, электрический. И короче берем сверло м5 и холодной сваркой(эпоксидный пластилин) аккурат присобачим сверло к валу двигателя внутреннего возгорания. Это еще не все, тумблер там, хуе мое розетку тоже присобачим с другой стороны двигателя внутреннего воспламенения. Наша дрель почти готова, осталось проточить сверло до 1.5мм для использования сверлования плат. Делается просто, включаем дрель на обороты и напильником как токарь снимаем лишний металл сверла. Через два часа упорного труда аппарат почти готов. К стене короче намертво присобачиваем наш аппарат на хомуты, говно и палку и полдела уже сделано. Осталось на столе подвести плату к сверлу и сверлить. Для этого быстренько делаем поджимной стол из разных там палок, говн и прочей машинерии, что дома найдешь.
>>259631> сверло> напильником до 1.5 ммЧто за шизофазию я только что прочитал?
Аноны, что-то я после вчерашних возлияний концепуально туплю.Почему я ничего не вижу на выходе PORTA?Atmega32 c внешним кварцем, фьюзы правильные. -U lfuse:w:0xFF:m -U hfuse:w:0x99:m#define F_CPU 16000000UL#include <avr/io.h>#include <util/delay.h>int main(void){ PORTA = 0; DDRA = 255; while (1) { PORTA = 255; _delay_ms(20); PORTA = 0; _delay_ms(20); }}
>>259631С холодной сварки проиграл
>>259631Моча, шизик вернулся!
Всем привет. Нужна ваша помощь. Я с рэ не очень, только паять умею, зарядки там чиню, наушники и всё. Схемы это уже сложно. Но вот сейчас одна девушка попросила о помощи, поэтому я сначала согласился а потом задумался. Суть задачи - есть китайская лампа на 24 лед, и ссфл там же. К этой китайской лампе идет да на 12В 3 А. Надо сделать регулятор мощности, чтобы яркость лампы регулировать. Мне просто кажется почему то что банально впаять потенциометр на линии питания и им регулировать это как то слабо. А в интернете нахожу только сложные схемы создания бп. Подскажите , пожалуйста, как правильно сделать чтобы не зафейлить? Если надо собрать несложную схему - я смогу, даже распайку сам соображу. Спасибо.
>>259641гугли ШИМ регулятор яркости
>>257124 (OP)Анон, что сейчас известно про беспроводные способы передачи электричества помимо низкого кпд?Насколько я понимаю, делается это с помощью свч-излучения.Есть ли еще способы, которые не будут наебывать электронику и иметь маленькие размеры?
>>259616бамп вопросу
>>259644NYET
>>259643Ну и большое расстояние не нужно, полметра - метр.
>>257124 (OP)Подскажите плз, нужно приклеить плату роутера, на пластмассовую панель антенны (внутрь), какой для этого можно использовать клей чтобы не повредить саму плату?
>>259645чому
>>259648Тому що нэмае задач. Шныряй по Али и заказывай по пять/десять штук.
>>259647>>259384
>>259649Дороха. Каждый пакетик от 100 до 600 рублей. Вот если бы один пакетик рублей за 200 с каждой микросхемой, было б заебись
Приветствую всех.Цифровик-плисовод вынужден проектировать для себя аналоговую плату, и часть нюансов остаётся за гранью моих знаний. Надеюсь на вашу помощь.Есть две цепи. Первая состоит из ФНЧ и усилителя с Kу < 1, вторая цепь это ФНЧ и усилитель с Kу > 1. ФНЧ и усилитель выполнены на одинаковых ОУ.Первый вопрос: в каком порядке размещать ФНЧ и усилитель в обоих случаях?Так как у меня используются одинаковые ОУ в одинаковых температурных условиях, то я сделал допущение (пренебрегая шумом резисторов в цепи) об одинаковом коэффициенте шума ФНЧ и усилителей (так вообще можно, или шум будет скалироваться от Kу операционника?) Тогда, согласно формуле Фриза, для первой цепи размещение будет таким: =>[ФНЧ]=>[Усилитель Ку<1]=>, а для второй: =>[Усилитель Ку>1]=>[ФНЧ]=>. Только вот проблема в том, что я точно знаю, что в этих ваших цепях с МШУ фильтры всегда стоят перед усилителем как раз для уменьшения шума системы, и я где-то ошибся. Помогите понять, что с моими суждениями не так. Заранее спасибо, добра всем.
Сап, радач. Отец периодически присылает мне разную электронику, по моей просьбе. Тащемта, пикрил. Можете пояснить за устройство, что это вообще? Если нужно, могу разъем сфоткать.
Я что-то не так прочитал или доставка из дигикея 120$ стоит?
>>259657Контроллер лазеров.
>>259659Ну это понятно, я уже гуглил как мог. Выдает поебень про "лазерную арфу", хуй пойми на самом деле.
>>259660Фото наклейки.
Инвертор ламп подсветки монитора. Со вторым выходом ШИМ, тем что на схеме сверху, все нормально, а первый ебет мозги. Когда оба выхода подключены, ШИМка заводится и через пару секунд вырубается. Там, где я провел красную линию, устроил обрыв, но и это не помогло. Только когда совсем снял 3 ногу с платы, второй ШИМ заработал стабильно. Что за хуйня? На 3 ноге после моего обрыва осталось всего несколько кондеров. Как они могут влиять на работу?Описал наверное хуево. Нюфаг, хули. Если вдруг кто-то решится мне помочь и не поймет что-то из мною написанного, говорите, попробую исправиться.
>>259662Собственно все, наклеек нет. На втором фото вообще, на ебучий вейп-агрегат похоже.
>>259665Контроллер лазерной цветомузыки наверное.
>>259665Можешь внутренности доставить?
>>259667Ок, но только к вечеру. Сейчас ухожу на время, вечером доставлю.
как используются термисторы с малым сопротивлением? 6 ом при 25С3.5 ом при 50Смалое изменение сопротивления нужно размазать на: 5в, от 0.03А до 0.05А, примерно. контролировать обороты вентилятора.
Как паять без соплей? Починил-таки уши, залил герметиком, пока проверял - раза три укололся.
>>259670Фигачь флюс. Пайка без флюса - как тян без пизды.
>>259670Нанеси флюс и легонько коснись жалом места пайки.
Ок гуглПочему в схеме с общим эмитором большое входное сопротивление
>>259672Я правильно понял?Окунуть в канифоль.Коснуться места на штекере.Окунуть в припой.Подвести залуженный провод к месту и придавить паяльником.
Анон, объясните пожалуйста, почему половина мультиметров идет с выбором режима как на первом пике, а половина как на втором? Какой вариант предпочтительней брать новичку? В чем отличие между этими двумя вариантами? Спасибо
Аноны, я не радиолюбитель, но мне нужно починить наушники. Собственно, порвались провода на регуляторе громкости. Так как он сам по себе мне показался хлипким, я решил его полностью вырезать и соединить провод на прямую. Отрезал с двух сторон, срезал резинку с провода и увидел 5 проводов. Насколько я понял, 4 относятся к наушникам и один к микрофону. Проблема у меня возникла с проводком от микрофона, соединяю его как и все остальные, но микрофон не работает. Наушники работают, звук идёт. Соединял скручиванием. Что делать, как правильно соединять? Провод сам выглядит так: сверху медная обмотка, потом идёт голубая тонкая как изоляция, которую я сжёг зажигалкой и скрутил этот оголённый проводок.
>>259675Лудишь контакт на штекере, лудишь контакт на проводе, если у тебя канифоль — крошишь немного на штекер, прикладываешь провод к штекеру, прижимаешь жалом. Много олова не херачь.
>>259677Лучше второй, но подороже, потому что у дешёвых авторэнж очень медленный.
>>259663Тут что, такие же ньюфаги как я сидят,помогающие совсем уж имбицилам паять наушники? Усатые телемастера, ау!
>>259684Мне кажется, что так оно и есть.>>259655 - кун
>>259685Тогда пора переименовать тред в песочницу, хули. Детишки постарше подсказывают младшим, как наложить совочком правильную горку.
>>2596771 - ручной выбор пределов измерения2 - автоматический подбор пределов измеренияПреимущества:1 - быстрее измеряет2 - не надо лишний раз крутить ручкуНовичку лучше 2 вариант.
>>259657Там на печатной плате должна быть инфа
>>259663Звони все полупроводники после транса, если норм - меняй транс.
>>259678Фотографии проводов и платы регулятора с двух сторон
>>259663Вырубается только подсветка?Пропаяй трансы (не только выводы в плате, но и у самого транса, куда припаиваются провода с обмоток), транзисторы махни местами с первым выходом, конденсаторы проверяй на пробой и/или утечку, особенно высоковольтные, в т.ч. пленочные (с первым каналом можешь махнуть, опять-таки).
>>259690Дык оно отрубается даже когда ничего не к этой стороне шимки не подключено.
>>259663Смотри инвертирующий вход усилителя ошибки и петлю ОС. Я надеюсь ты проверял резистор R842...
>>259695Этого долбоеба не слушай. Сейчас еще монитор посоветует поменять.
>>259696>842Нет. Как раз интересует, зачем он?
>>259688>>259681Спасибо
>>258957Волшебник!! Всё как ты и сказал. Серый отпаялся снизу, а транзисторы явно погорели. Теперь надо их всех троих просто поменять и всё??
>>259509Кто-нибудь, ответьте на мой ответ!
>>259635Что за проц у тебя? Там порты A доступны как IO порты?
>>259635В общем возможно порты A доступны только для ADC, пробуй B/C/D.
Такая проблемка. Собрал высоковольтный преобразователь по схеме блокинга. Транзистор КТ837, питание от батарейки 3336. Так вот, почему греются контакты батареи при включении? Причём, транзистор не греется. греются только контакты. Что это такое?
>>259722>>259720Atmega32, я же написал в первом сообщении.В общем, там как магическим образом не работало, так магическим образом заработало.
>>259727Это называется ток.
Поясните такую вещь. Пытаюсь починить диммер регулятора для напольной лампы, но речь не о ремонте.Почему там внутри куча всякой "сложной" ебалы - катушки, кондеры, тиристоры. Почему нельзя просто реостат въебать и все?
Поясните за LM317В даташите показано, что R1 должен быть 240 Ом, а R2 уже подбирается.А у меня есть потенциометры на 20к и при 240 Ом ничего хорошего не получается, надо R1 брать выше.А можно? До какого номинала можно брать R1? Или он обязательно должен быть 240?
>>259741Взял и сам нашел.> Для правильной работы ИС сумма сопротивлений резисторов R1 и R3 должна иметь такое значение, которое бы обеспечивало ток примерно 8 мА (0,008 А) при необходимом выходном стабилизированном напряжении (Vo). Разделите величину необходимого выходного напряжения Vo на 0,008, чтобы получить суммарный номинал резисторов R1, R2 и R3. Этот номинал не очень критичен и обеспечит (при приведённом расчёте) максимальное значение сопротивлений резисторов. Значение тока в 8 мА (0,008 А) - идеально, но может быть и выше (например, 10 мА), если необходимо согласовать этот ток с имеющимися в наличии номиналами резисторов.>R1 + R2 + R3 = Vo/0.008При 12 вольтах там 1500 Ом суммарно можно. Ушёл заказывать 1кОм потенциометры.
Помогите разобраться полному ньюфагу. Искал схемы адаптеров ac-dc, нашел вот эту. Уже час сижу и думаю зачем на транзистор нужно пускать квадратную волну. Будет изменяться напряжение в зависимости от частоты? Не жирно ли для такого простого девайса собирать отдельный генератор волны?Извиняюсь за жутко базовый вопрос, нужно спаять адаптер, а знаний у меня 0.
>>259752Не жирно. Не от частоты, а от скважности. Алсо, если по пизде подёт транзистор или схема управления, то на твою схемку может ебануть ~300 вольт. Лучше всего сделать простенький флайбэк на каком-нибудь tny280, там даже программа есть, которые всё сама считает и тебе остаётся только купить детали и намотать трансформатор, как она укажет.
Кароч. Собираю двухполярный источник питания на фиксированные +-15 вольт. От источника требуется быть довольно мощным и стабильным в широком диапазоне нагрузок. Есть трансформатор, который после моста и конденсаторов выдает 18,7+-. Замеры дали мощность ~ 150 ватт, т.е. как раз. Проблема, что почти на всех схемах стабилизаторов, что я смотрел, если решать проблему в лоб, требуется запас минимум 5 вольт, т.е. должно быть не меньше +-20 после выпрямителя, иначе, пишут, гроб, кладбище, пидор. Перематывать транс не вариант, это пластинчатый броневик, причем очень хорошо собранный, от какого-то корабельного (sic) прибора, судя по надписям немецкого происхождения. Подмотать дополнительные обмотки не разбирая не выйдет, не хватает зазора. Разбирать в моем случае - получить на выходе гудящую молитвой о смерти хуиту.Полскажите какую хитрую схему стабилизации, чтоб моих 3,5 вольт запаса хватило (с учетом небольших падений напряжения в сети).У меня самого есть такая туманная идея - сделать схему, скажем, на десять вольт, подать на усилитель с к=1,5 и выход на ЭП. Но тогда сам ОУ придется питать нестабилизированным, по сути напряжением. Короче, чувствую, что идея так себе. Я не совсем нуб в РЭ, но линейные БП никогда до этого не делал, посему преисполнен робости.Помоги, Антон, я знаю, что ты можешь!
>>259770Алсо, о схеме подключения выпрямителя, как удвоителя напряжения знаю, но хотелось бы этой меры избежать.
>>259667>>259668
>>259775Интересно узнать, контроллер с одноразовой памятью и его можно выкинуть, или нет?
>>259738Потому что реостат рассчитан на нагрузку 0,1WВ схеме реостат управляет симистором который выдерживает большие токи.
>>259777НетАтмеги переписываются
>>259770Смотря что за схемаЕсли на каких нибудь TDAшках, то пох вообще.
>>259781Заебись. А что мне нужно заюзать, чтобы что-то свое написать? Программатор? Или может есть отдельный тред по этому?
>>259781Если их не залочили
>>259782Можно, чуть детальнее, плиз. Если под тэдэашками имеются ввиду НЧ усилители, то мимо, мне не для усилка БП.
>>259785Атмеги не лочатсяЛюбой нормальный программатор вскрывает лок на атмегах в два счёта
>>259509Что тебе не нравится на этом графике, ебанина симуляторная?
>>259787Я просто не вникся в вопрос - слишком много букв.Если у тебя маленький запас по вольтажу, могу только посоветовать фильтр по первичке, и кучу конденсаторов по вторичке.
>>259532Это зависит от технологии пайки.Сейчас повсеместно применяется reflow - то есть оплавление паяльной пасты. Тут клей не используют - компоненты лепятся на пасту и держатся до пайки на ней.А есть еще пайка волной - когда плата протаскивается через бугор припоя в ванне (он создается потоком припоя через сопло в виде щели на дне ванны). Тут компоненты должны быть предварительно приклеены, иначе их смоет припоем.
>>259535Дебил какой-то.
>>259557>вещь покупают новуюТуда ли ты зашел, петушок?
>>259562Посмотри разъемы, которые используют моделисты для подключения батарей.
>>259577Сплошь и рядом в современной технике.Из-за термоциклирования и говенного припоя пайка трескается и начинаются всякие малопредсказуемые глюки.
>>259601А что такое цветочные светодиоды, можно поинтересоваться у гуру цветоводства?
>>259673Ты дебил?Гугол
>>259791Экстенсивненько, но учту, спасибо, про фильтр даже не думал. Насчет кондеев - они же будут мощность поджирать, не?
>>259677Новичку лучче первый - хоть будет понимать что и как измерять.Сжечь он их оба сожжет с одинаковой вероятностью.
>>259755А флайбэк может работать без нагрузки?
>>259684Я писал статью, но она давным давно почила в архиваче.
>>259698По нему контролируется ток и исправность лампы.
>>259717Да, все так. Во втором канале тоже конденсатор пропаяй.
>>259801Не будут, нужно будет только ток заряда немного ограничить что бы диодный мост не накрылся
>>259727Замыкание, либо транзистор пробит.
>>259770Питание для ОУ не проблема. Его удвоителем можно разогнать в два раза спокойно.А вот что тебя там с минимумами силового напряжения при пульсациях - это вопрос. Если 18.7 - это не минимум, а среднее - хер, не получится ничего.
Поясните как правильно пользоваться паяльной маской? Уже две разных попробовал, светил вплоть до двух часов - всё равно хуита получается, маска застывает только на плёнке которой я её накрываю а на плате остаётся либо жижа либо вообще ничего после того как я её снимаю.
Кто-нибудь видел в продаже такую же штуку, но с eu розетками?http://www.digital-loggers.com/iot.html
Не знаю, туда ли я зашел, но есть такой вопрос:Как можно задетектить прослушку? Просто есть подозрение, что на работе ее поставили, но как определить ее я понятия не имею.
>>259815Говори "Начальник - хуй" вслух.Если потом он тебя вызовет и спросит "чего это я хуй" - значит прослушивают.
>>259784>>259789А я ifm PonyProg для это делая смогу использовать?
>>259819>ifmСорян, случайно добавилось.
>>259813Что это?Ты скажи лучше что тебе нужно и для чего
Радиач, хочу запилить дешёвый и сердитый ИБП для малинки из 4х никель-металлгидридных элементов. Какие подводные камни?
>>259838НикакихДиод желательно использовать Шоттки
>>259838нужны резисторы для баланса банок. 4 шт 10кОм или около того.
О мудрый Анон, у меня есть вопрос. Можно ли сделать маленькую камеру из внутренностей телефона Nokia N8,который не работает? Самую простую, без дисплея. Просто включил, и она записывает, пока хватит места на флеш-карте.
>>258220можно. только упс будет более мощные акки вечно заряжать. у него зарядник на родные акки расчитан (чтобы за разумное время их зарядить)
>>258211синус - да, двойное преобразование - нет. но насосы должны работать.
>>258732можно нагуглить мощность встроенного зарядника и прикинуть по саморазряду VRLA , будет ли он быстрее заряжать твой ояебу массив, чем он будет саморазряжаться. но мыслишь ты правильно.
>>259849Можно, сделай.
Подскажите ньюфагу, пожалуйста.По поводу ФЧХ, вот как так, что фаза зависит от частоты? Если с АЧХ всё понятно, то с фазой вообще не могу понять. Хотя их нет особого смысла сравнивать. Направьте, куда читать.
чем покрывают эти солнечные батареи?
Никто в дс не продаст простенький паяльник под жала 4.8мм? Типа ст-95 или 2090. Хотел потолще дырку просверлить и разъебал.
>>259863Лак.
>>259866а почему они такие выпуклые? по сравнению с этими, например
>>259867Много лака.
>>259868оборжаться
Откуда столько хачей скупает детали? Неужели это так выгодно? Пол-этажа в радике облепили, никто к ним не подходит, чем за аренду платят?
>>259869Не, серьёзно. Ну и чтобы не бились особо.
>>259836EU розетка с твердотельными переключателями. Чтобы была в корпусе и не нужно было паять ничего.
>>259849Можно, но проще купить готовую
>>259870А что к ним очередь стоять должна?Вангую они на аренду с пяти-десяти клиентов набирают.
>>259806Спасибо! Так и сделаю!Пойду завтра искать запчасти на замену..
>>259877>с твердотельными переключателямиХуя ты загнул блятьRedmond RSP-100S на ozon.ru купи, или любую другую "умную розетку"
>>259877Не встречал. Но стоимость 20$, слабенькие релюшки, плата управления снаружи и 2+2 гнезда. Я бы свою делал.
>>259881Мне нужно к ней распберри пай подключить, а не телефон по вайфаю.>>259885Не хотел питание паять сам. Видимо, нет других вариантов...
https://ru.aliexpress.com/item/IRG4PC40U-IRG4PC40WPBF-IRG4PF50WDPBF-sales-trustworthy/32643003743.htmlВ чем подводные камни?
СУКА, как спаять это ебаный алюминий?
>>259790Вот эти письки отмеченные стрелочками, они откуда берутся, их можно как-нибудь убрать?схема выше>>259376
>>259888>Мне нужно к ней распберри пай подключить, а не телефон по вайфаю.В предыдущем посте ты об этом не писал.
>>259894Основной подводный камень это твоя ссылка ru.aliexpress
>>259898Что вам там в Верхнезалупинск флюсы для пайки алюминия не завезли?
>>259907Пидарасина тупая, что сложно самому убрать две буковки?https://www.aliexpress.com/item/sosi-hui-bydlo/32643003743.html
>>259911Так-то лучшеСмотря для каких целейСчитаю что лучше доплатить немного и взять H30R1602
бамп треду
>>259913
>>25980918.7 Это после конденсаторов. То, что замеряет мультиметр в режиме DC. Тогда что? Только удваивать напряжение выпрямителем и плясать от этого? Хуеватенькая перспектива какая-то.
>>259913САЖИ!
>>259810Ее еще вроде сушить надо в печке. Что за маски?
>>259780А почему симмистор на 600 вольт, если в розетке 220?
Видел кто-нибудь на али да похуй где терминалы по нулевку? Нужно штук 30-40. Не обязательно такие, как на пике ниже. ГЛАВНОЕ ЧТО БЫ 0GA ВЛАЗИЛ
>>259888> Мне нужно к ней распберри пай подключить, а не телефон по вайфаю.Собери сам из есп8266 и реле, хоть с чего подключайся
Парни, где покурить про источники питания для аудиоебов? А то цап купил, а питалова не подвезли.
>>259917Однокомпонентные с али. Насколько я помнимаю, сушить только двухкомпонентные надо.Примерно пикрелейтел, та что в черной банке у меня белая
>>259923Запас в жопу не ебёт.На самом деле не 220, а 230 по новым стандартам и 230 это среднеквадратичное значение, а на пиках синусоиды напряжение достигает 340VЕщё нужно учитывать помехи в сети, которые порой достигают 1000V
>>259810Или толщину слоя уменьшай, или увеличивай время засветки. Тонкий слой по часу 26 ваттными лампами вроде засвечивают. А потом ещё 8 часов на солнце после смывки с пяточков. Эти маски очень долго светить надо.С двухкомпонентными вроде всё намного проще.
Только что заметил что чайник при включении издает звук 50ГцЧто за хуйня???Индуктивностей в нем нету же
>>259934>Тонкий слой по часу 26 ваттными лампами вроде засвечиваютУ меня 26 Вт как раз. Фоторезист она у меня светит 7 минут с 20 см.Зелёную светил час - застыло только процентов 50 и на плёнке. Белую светил два часа с 10 см - на плате вообще ничего твёрдого не было.Насколько тонкий слой? Должен рисунок платы просвечивать? Хотя это от цвета скорее всего зависит, на зелёной и при достаточно толстом слое видно, а белую пришлось сильно выглаживать чтоб увидеть хоть что-то.
>>259936Проиграл.Делал так кто?
>>259863Эпоксидная смола.>>259867А эти непокрытые, голый кремний.
>>259898В общем случае - никак.
>>259900Читай "переходные процессы в логических схемах". http://de.ifmo.ru/--books/electron/cif-obu.htmПоскольку ты свою крутишь на очень высокой частоте - тебе нужно использовать синхронный счетчик а не асинхронный.А сейчас пока у тебя твои триггеры друг за другом перекидываются возникают промежуточные состояния длительностью в сотни наносекунд. У синхронного счетчика обновление состояния выходов происходит синхронно, одновременно.
>>259915Удваивать - не вариант. Удвоители не любят большие токи нагрузки.Посмотри выход выпрямителя осциллографом при максимальном токе нагрузки. Если у тебя хотя бы полтора-пара вольт есть в минимуме, то есть шанс отрегулировать выход транзистором. Но и то при номинальном входном напряжении только.
>>259923В розетке 310. Если у тебя нагрузкой симистора до его включения окажется заряженная до того же напряжения емкость - то сумма может достигать и больше 600В.
>>259936Есть. Спираль внутри ТЭНа - индуктивность, ток - до 5-10А, вполне способна гудеть если витки где-то болтаются.Открытые спирали нагревателей вообще на отличненько гудят.
>>259938Что именно, травление перекисью? Только так и делаю.Наркоман ебучий, ссылку на кота не мог просто бросить или текстом написать.
Радач, есть один монитор vga 19', как его превратить в телевизор? Vga-тюнер прихуярить там, малинку, еще что? Или просто приставку на андроиде?
>>259947Хуй соси, как хочу так и кидаю. Для себя заскринил
Хочу себе зарядку для 18650, а на литокалу нет денег. Подойдет ли обычный холдер на три банки и тр4056, можно в параллели? У меня это все есть, капчую не из дома.
>>259956Ебаш если подходит
>>259912>H30R1602Моча какая-то. Импульсный ток 90 ампер. А у того 160 ампер. Чуть ли не в 2 раза больше. А вообще-то вопрос был в другом. Цена не смущает? 235р за 10 штук. У всех остальных лотов цена около 1500-2000 за 10шт.
>>259965У меня какие-то йобистые платы, на восемь рублей дороже. Они даже на перепутанную полярность не реагируют, отключил и подключил нормально, и все работает.
почему трансформатор не работает на постоянном токе так же эффективно как и на переменном? первичная делает намагничивание, вторичная снимает.
>>259350гугли Скалеры
>>259939Спасибо
>>259780Вот, нагуглил! Бывают и реостатные диммеры.http://zametkielectrika.ru/ustanovka-i-sxema-podklyucheniya-povorotnogo-dimmera/В чем суть тогда тиристорных?
>>257124 (OP)Хай посоны, не знаю куда обратиться. Может тут подскажут. Короч есть идея сделать домашний кинотеатр дешевый.Хочу купить проектор http://s.aliexpress.com/rEryaYrI Две платы для усилителя http://s.aliexpress.com/nQ3QBFRv Две пары колонок к ним и маленкие сабвуферы, не посню как называются. Почему выбрал эту плату? Потому что есть норм транс 24В х2 и эта плата уже использовалась вместо магнитоллы. греется, но не горитНормально будет или как? Меня больше интересует про проектор. Реально ли в нем 480[620? Продаван молчит сука. Если я посчитаю точки и докажу что там меньшее разрешение, смогу вернуть половину бабла?
>>259979
>>259979Че деб? Постоянное магнитное поле не может индуцировать ток.
>>259969Э отвечайте на мой ответ. Почему транзисторы в 10 раз дешевле?
>>260006Может одни в пластиковом корпусе а другие в металлическом?
>>260010чево
>>259752Меня больше интересует, зачем выход замыкается на землю резистором.
>>259631Я пробовал делать сверло из моторчика от мага. Не хватает мощности, сверлит лишь пластик, лел
>>260011Ну я вот транзисторы кт3102 покупал в интернет-магазине, одни стоят около 2 рублей, другие 50.продавец забыл приписать букву м к пластиковым. Пластиковые стоили 2, металлические 30, металлические с позолотой 50.
>>259984Это симисторный диммер.
>>259230эти два диода отожрут 1,4 вольта, дэбил, бладь.3,6 вольтами хуй че зарядишь
>>260012Это нагрузка, кловон.
>>260014Ну как бе тут однозначное обозначение транзистора. И он имеет однозначный корпус.
>>259770Хуйня это все. При пониженном сетевом еще веселее будет.Делай импульсный со стабилизацией. Тем более схем готовых полно. Я за полумост
Отпал JTAG на Атмеле at91, армчик, утилиты не хотят коннектить устройство, получают кривой ответ от мк. Программатор - сеггеровский жлинк, рабочий, да и тыкал двумя разными. Контроллер работает, по дебаг-порту пишет лог... Рентгеном проверяли, не было непропаянных шаров, там все спаяно норм. Дорожка тоже не битая, не было кз по жтагу, он тупо отказал в момент отладки (правда, я отлаживал и зашивал бутлоадер).Может ли быть проблема внезапно быть в прошивке? Ну типа волею случая в первой инструкции лочит жтаг. Прошивка в spi-флешке. Как можно полупрограммно проверить жтаг?
>>260016Куда ты вообще лезешь?Ты же ведь не шаришь, малыш
>>260026на одном диоде оседает 0,7 вольт напруги, мань
Подскажите, плиз, как намотать бесплатно без смс катушку 33 мкГн. Леплю обвязку пикрелейтед, ЛЦметер не имею, а собранный из говна и палок для звуковухи не фурычит.
>>260035берешь колечко и мотаешь 60 витков толстым проводом.
>>260032Стандартное падение 0,5 максимум 0,60,7 уже можно отправлять в мусорку как брак
>>260040> 0,7 уже можно отправлять в мусорку как брак Мамку свою отправляй в мусорку. Падение зависит от тока, а при больших токах напряжение ещё и будет падать на контактах.
>>260040УПРТ?
>>260032Напружил тебе за щеку, обсосок.
>>259808>>259733Уже разобрался. Контакт был хуёвый.
Посоветуйте годную книжку по Altium designer c описанием многослойных плат позязя :3
>>260049Узнаю родной /ra/
>>259984А это что, хуй?Бывают без симистора, но они немного крупнее
а как опознать перемаркированные транзисторы с Али?
А пониженная индукция транса равносильна большей мощности?
>>260061Йоу, дарова поцики. Я посмотрю вы тут диммеры обсуждаете.Я вот хочу собрать себе нижний подогрев (потом наверно и верхний) на галогенных лампах. Для того чтобы регулировать нагрев этого великолепия мне надо очень мощный диммер (ну мамкам там мосты менять, и всё такое прочее).Но я какбы хуй знает как собирать диммеры такие, точнее схема то у меня конечно есть, но как и какие компоненты подбирать, я чот в душе не ебу. Поясните долбоёбу. Спасибо.P.S.:Решил в качестве подложки сделать плиту из алюминия или латуни - ну в общем из чего найду. Вообще какую толщину стоит делать?
Радач, когда меня спрашивают, какое у меня хобби, я отвечаю, что радиолюбитель дохуя и пересказываю любимые посты с этой доски. Все радуются и больше не спрашивают. На деле я кроме перепаивания конденсаторов на мамке и переделки фонарика под литий нихуя не создал. Стоит ли что-то менять в своей жизни?
>>260057Ибо нехуй, НАПРЯЖЕНИЕ блять.
>>260071Запишись на кружок, годная тема.
>>260071Учись у Сашки Коковина косить под усатого радиолюбителя с стричь бабло на ютубе.
Какой тип дала лучший для пайки dip? Клин, вилка или ещё что-нибудь?
Извините за глупые вопросы, но как сэкономить на элементах? Резисторах там, чтоб не покупать с допусками в 0.1% за дохуя, можно их как-то заменить?
>>260078На помойках собирай электронику, распаивай на запчасти.Проектируй девайсы под ходовые номиналы и типоразмеры.
>>260078>0.1%>экономитьАвометр собираешь?
>>260073Зачем кружок когда есть Ютуб, протеус и книжки?http://www.youtube.com/playlist?list=PLBLtydguylgB-9FPU63TY_vtsj0xYt5li
А кондеры не портятся от температуры пайки? Имеет смысл сплавом розенталя паять?
>>260087Портятся. Резисторы тоже портятся, кстати. Ну и полупроводники тоже. Так что паять надо быстро и с не слишком высокой температурой.
>>260086Затем, что если что-то не понял можно спросить у преподавателя, а на форумах неизвестно чего усачи насоветуют.
>>260090В кружке усач всего один.
>>260090Единственный плюс от кружка это практика, можно прямо на месте начать собирать схемы. А усатые на форумах те же кузьмичи из кружков и их друзья.
>>260070Для подогрева достаточно прожектора на 150W, иначе спалишь всё к ебеням.В идеале мощьность прожектора должна изменяться от температуры платы, а не диммером.
>>260092Получается, что настоящих радиолюбителей не осталось? Отцов основателей, так сказать, которые со стопроцентной уверенностью знают как работеат транзистор?
>>260100Да дохуя их, в интернете особенно. Даже в мухосранска каждый третий дед радио любил.
>>260095ну нагдей мне atx мамку от 150вт, лол.Диммер нужен чтобы регулить нагрев какраз. И чтобы с самого начала не строить на контроллере, не писать термопрофили и прочую срань, потому что я ебал такое сразу же делать.
>>260056
какой здесь должен стоять резюк?вот даташит на твердотельное реле http://www.dema.net/pdf/cosmo/KAQY210.pdfна 12 вольтах игрался все отпираеца запираеца, на 220 чет мало желания упароть семистр
>>260131
>>260132ничетак твая мамка номерок даш?
Блядь, аноны, как подцепить питание с усб порта? Чет нихуя не пойму, ног не хватает
Собираюсь пилить панель инженера для Artemis spaceship bridge simulator. Подскажите, как найти переключатели, в которые можно поставить свой светодиод. Все, что нашел, продаются с уже установленным одноцветным, а мне 2 цвета нужно, причем работающих независимо от состояния переключателя.
>>260141А двухцветный диод не судьба захуячить в кнопку? С тремя выводами они, питание к ним должно быть независимым от кнопки, там отдельные контакты же
>>260139ОТВАЛИЛОСЬ
>>260139чего???там всего 4 ноги + D+ D- -
>>260144>>260143
>>260145и? в чем проблема береш и цепляеш, или я них тебя не пойму в чем проблема?
>>260142Так а в какую кнопку его захуячить? У нее должна быть дыра в центре, таких не видел.
>>260146С усб идёт + и -. К каким выводам их цеплять? Vcc, AVcc, AREF?Минус, понятно, к GND
>>260147А какие тебе надо?
>>260148vcc тамже блядж нарисовано и к 20 ноге можно и к 21, в даташите читай какая из них какая там походу одно общее другое дежурное питание
>>260078Купить мешок 5% большего номинала и параллелить.
>>260147просверлить не судьба?и на эпаксидке прихуячить, а вообще можно самому из эпаксидки отлить нужной тебе формы ога?
перепутал полярность когда прицепил две последовательные ли-ион вместо 9в к мултиметру. Выживаемость есть?m830buz
Взлетит?
>>260153Не понятно, что тебе нужно
>>260150а не тиуплю на самом контроллере 4 и 6 ноги + питания, 20 эт хз че такое походу опорное компаратора или еще какойнить точной хуйни, 21 вообще земля
>>260156Блядь, ты с одноклассников вылез?Или ты так тралишь?
>>260155рекомендации на основе опыта что делать дальше и если это возможно, где искать сгоревший элемент.
>>260156http://www.ruselectronic.com/news/chitaem-datashit-na-primere-atmega8/иди нахуй и читай сам даташит ленивая хуйня
>>260158Блядь, куда прицепил? Вместо кроны чтоль?
>>260158че на экранчике?ну можеш глянуть дорогу от + питания если идет напрямую на микрушки то ему пизда если через какойнить диод то можеш его поменять.
>>260159> иди нахуй и читай сам даташит ленивая хуйняПозволю уточнить: задаватель вопроса разобрался в проблеме самостоятельно! Тот полуёбок не имеет никакого отношения к нему!
Извините, я забыл про шизика((9(
Господа, платиновый вопрос, но всё же.Посоветуйте паяльную станцию (паяльник с регулировкой + фен) со съемными жалами. Цель - ремонт смартфонов/ноутов/планшетов в домашних условиях. Бюджет 2-5к деревянных. Или какой-нибудь гайд по выбору прибораСпасибо.
>>260163у миня гусик мерзнит подмагните с печкой здесь>>260131и еще проблема переставлял винду и теперь контроллер показывает только четные значения температуры
>>260164gordak 952V у меня такой аппарат лет 8 уже пашет в конторе кроме переломаных проводов паяльника проблем не доставлял
>>260166Спасибо за совет, но эти станции только на али и алибабе есть. Мне бы хотелось сразу приобрести ДС-2. Да и отзывы сомнительные.
>>260149Квадратные DIP, длина с шириной около сантиметра.>>26015264 кнопки заебешься отливать. Просверлить можно, но кнопка, скорее всего, повредится.
>>260168>заебешься отливатькак нехуй делать - делаеш одну сколачиваеш ящик в него заливаеш гипсовую штукатурку и этой кнопкой делаеш формы сколько надо все это высыхает пропитываеш парафином в аптеке купить можно или свечки всякие, и льеш эпаксидку делов на пару тройку днейну или гугли для всяких там шкафов управления
>>260143VCC
>>260169Так а что этим методом отольется? Крышка кнопки или вся кнопка целиком? Сложно, я, если все получится, выложу инструкцию в открытый доступ, надо попроще делать.Нашел вот такие, не знаю, зачем там 6 контактов, может, получится переделать под светодиод.https://www.aliexpress.com/item//32738673409.html
>>26013388005353535
>>260171все что угодно хоть хуй гиппапотама, можеш даже ниток поверх ящика натянуть и при отливке вмантировать светодиоды.то что ты нашел не кнопки а переключатели с 2 группами контактов нормально зомкнутых и нормально разомкнутых
>>260177Шизик, иди нахуй.
Котятки, поделитесь, где можно на заказ изготовить печатную плату за нидороха? Может, у кого есть адресок проверенного китайца? И где сами заказываете? ЛУТом не хочется, ибо страхоёбище жи получается
>>260189Только партиями в основном. Трави сам.
>>260109100% проебланишь температурный режим и пизда твоей мамке.Или делай с задатчиком температуры или вообще не делай.
>>2601315K
пащитай мине ризюк и я неточто нахуй я тебе кое что интересное многозначительное тебе предоставлю отвечаю.
>>260198обоснуйте пожалуйста расчетами
>>260154Конденсатор по питанию слишком маленький - контроллер не будет успевать отключаться по бодуСтабилитроны если мне не изменяет память должны быть на 3.6V
>>260200В даташите написано: ток открывания 35-50mAНапряжение в розетке 230V230/5000=0.046A =46mA
нахуй радиач он блядж настолько ленив что просто ахуетьresistance сопративление по русскиже написанносмотрим этот ебаный даташит что имеем 20-30 ом сапративление переходу, нагрузка 20 ом при липиздрпичестве в 220 вольт.и тут хуяк вопрос опять контроль фазы тамже синусоида ога?как симистр будет узнавать что через переход пропускать? 12 вольт то ладно а 220?тое в момент открытия оптопары (развязки) допустим в самом начале полуволны мы имеем слишком маленькай ток изза того что не хватает вольтов, и если поставить слишком маленький сопротивление мы получим что?2 варианта семистр открореца с маленького тока мы огатут мы должны контроллером выдать ширину импульса...ох ебать как все это программируемюна пике полу волны естественно ширина импульса должна сокрашаца ... там даже можно паразитный кондючек при схеме регулирующий на 50 стабильных герц поставиттьвсе это запилить в корпус и впаривать лошкам саветам которые проебали всю сваю отрасль...силовуху то мы не проебали мне 34 .совет от зайциков ЗИЛЕНЫХ малые не жгите себе глаза тупым смотрением на разрядыослепните к хуям - берегите зрение.недавно мтем еня да вы ее видели посетила идеястаночники слегка прихуелиног этот аппарат стоит очень дорогоего необходимо совершенствоватьименно переходы семисторные запираемые?япошки решили планкой в которую х залезеш, вполне вероятно спиздили совдеп разработки...и теперь их нам впаривают за три вдорогочто мы сами несможем разобраца?и запилить свой ахуительный элемента он сама промышленость он бабломного баблавот вам идеяну а теперь обсывайте меня
>>260193Заебал, я буду медленно поднимать по показаниям с термопары на задней стороне платы, хули ты.Потом на арбуино переделаю, если надо будет. Я не так часто этой хуйнёй страдаю.Я МФУ сделать хочу, чтобы можно было и мамки паять, и папки экраны разделять.
>>260208Шизик, опять таблетки не принял?
>>260209сматри железо мальчик https://yandex.ru/video/search?filmId=4429927780479232357&text=студия%20техпросвет&noreask=1&path=wizard
>>260212Зачем мне токарка, бешоный?
>>260189Едрить ты бестолочь. У меня вот ровно все получается и красиво.
>>260199>я тебе кое что интересное многозначительное тебе предоставлю отвечаю.Свое очко?
fm глушилки у китайцев сейчас есть где-нибудь?
я тебя люблю
>>260224Спасибо.
Поясните, если допустим есть 2 диода, выдерживающих импульсный ток 30 ампер каждый, то если я соединю их параллельно, они выдержат импульсный ток 40 ампер или сгорят?
>>257124 (OP)Хочу подключить лампочку-индикатор в цепь дверного звонка (220в). Какой провод купить?
>>260231Ну в звонке будет уже нихуя не 220в, да и лампочка едва светиться будет.
>>260232Обьясни, я говно а не электрик. Разве если лампочку воткнуть параллельно с звонком, она будет тускло гореть?
>>260233Если параллельно, то она просто всегда гореть будет. Хотя я хз че там за схема звонка.
>>260236Ну бля, в смысле цепь то разорвана пока на кнопку звонка не нажмешь.
>>260237Схему покажи
>>260238
Приветов.Дело такое. Я собрал китайский набор с часами, фузз для гитары и тепечь чувствую, как внутренний паяльщик требует fm приемник. Скинь пару простеньких, но годных схем, чтоб не из журнала Радио за 1871 год и не приходилось компоненты искать в музеях.
>>260244>китайский наборhttps://www.aliexpress.com/store/product/100-new-AM-FM-stereo-AM-radio-kit-DIY-CF210SP-electronic-production-suite/1552345_32247104314.html
>>260246Проигралмимо_другой
>>260246Не, это не труЪ.
>>260239лол, ну хуярь тогда лампочку так
>>260230Скорее всего выдержат, но если ебанёт один, то следом и второй.
>>260246> Paeansonic
>>260211принял кое что другое...
Можно ли просто поставить предохранитель ампер на 6 чтобы защитить 18650 от перегрузки?
>>260259Хуй за щеку?
>>260261тваю мамашу раком, со спины ана еще ничего так
>>260260можно, а лучше какойнить диод, заодно и от переполюсовки , но проебш слегка в вольтаже, да и зарядка ебсти мазги будет
>>260215тб тупица чтоб тебе руки к хуям не оторвало.а вообще добей проект моей печки ана много функциональна, и сторожку маю тапить может и мамки греть.но помоему мамки греть надо в каком то ящике тое всю сразу чтобы небыло локальных перегревов
>>260264>но проебш слегка в вольтажеВот это хуево, больше придется тока выжирать, у меня и так по расчетам придется до 4 ампер тянуть.
>>260266тады только предохранитель, можно канечно запилить какойнить интелектуальный нахуй со всякими шунтами токовыми трансформаторами релюшками и прочей херней но думаю сие не целесообразно...
>>260260> чтобы защитить 18650 от перегрузкиЛучше возьми аккум со встроенной защитой и не еби мозги.
>>260263:^)>>260265Моча, бля, что не работаем?
>>260275обосрался? обтекай
>>260275Моча теперь от мейлру назначена.
>>260087Нет. Смысла не имеет.
>>260275
>>260131А, шизоид наш пришкандыбал. А не откроется у тебя симистор по этой схеме, какой резистор не поставь.
>>260281на 12 вольтах переменки все почемуто открывалось
>>260157Это псих, дурачок местный мелкобуквенный, игнорируй.
>>260260Можно, конечно.
>>260266Да не общайся ты с мелкобуквенным дебилом, это не человек, а что-то вроде обезьяны со сканером, которым он "фотографирует". Он два года уже нагреватель в сеть через тиристор подключает, знаток.
>>260164Аноны выручайте. Возьму же какое-нибудь дерьмо по неопытности.
>>260286Бюджет какой?
>>260285>со сканеромебало захлопни >>179901а почасти печки проект начался этим годом по зиме, я виноват что радиач настолько туп? у меня месяц только ушел на датчик температуры который меряет с точностью до сотой градуса внимание со скоростью обновления параметра... карочи сам посчитаеш кварц на 24mhzTH0=0xC9;TL0=0x00; один тик 500ns
>>260270Он1) Значительно дороже, предохранитель стоит 4 рубля2) Не влезает в держатель
>>260288> у меня месяц только ушел на датчик температуры который меряет с точностью до сотой градусаМесяц ждал прецизионный оу с алика или схему составлял?
как из другой ветки на пост сцылку запилить?например из этой https://2ch.hk/mo/res/169596.htmlна этот пост >>179901
>>260290ебал мазги с дребезгом компараторадатчик обычный NTC на 5ком
>>260292Ааа, ну поздравляю. За месяц понять что такое гистерезис и как его заебошить на оу это довольно большое достижение.
>>260293еслиб там только один гистерезис был...если ты такой умный чож ты строем то неходиш?или решил маю задачку про мышку?
На канале креосан увидил генератор из велосипеда? Как думаете норм ли будет для дачи, куда приезжают несколько раз в году? Действительно ли продержит день?
>>260296О, кстати. Аноны, как запилить ручной генератор чтоб покрутил его и телефон зарядился?
>>260297>>260276
>>260297Дерьмо это все, дрочить ручку устанешь. Бензогенератор самый уебищный будет в разы лучше твоего лысепеда.
>>260299дерьмо не дерьмо но при советах малым еще видал у мужика одного фонарик с магнетой нехуево так светил, притом что лампачка там накаливания стояла, поидее можно запилить чтото типо автоподзавода как на ручных часах с генератором сростить и при хотьбе в ебеня сотик будет подзаряжаца маховик ток потяжелее грамм 100 прихуячить.
>>260299Будешь с собой таскать бензогенератор? А если бензина не будет? А подрочить ручку самый дешевый вариант.
>>260286сходи на рынок где барыжат станциями и поеби им мазги полюбому подбереш под сваи задачи финансы...помню сам неделю рыл интернеты чтоб в контору купить норм станцию, в итоге ничего толкового не нашел, и съебал в отпуск, пришел а пацаны уже купили пользуюсь 8 год без нареканий.
>>260302Где ты живешь что в тебя бензина нет епта? На дровах тогда электромангал купи, пещерный человек, и от него заряжай.
>>2602872-5к, можно больше но не желательно.
Что есть интересного в полосе 100 кГц - 30 Мгц? Нарыл на складе старых немецких антенн, есть анализатор спектра, могу приемник SMV6.5 откопать. Какие-нибудь протоколы передачи информации, ну х.з. чем заняться. А то даже помехи в этом диапазоне с помощью антенн не меряют уже.
>>260310Там есть радиолюбители.
>>260286Я для тех же целей, что и у тебя, брал baku 761d. Попалась уцененная из-за отсутствия заводской упаковки, за 1800 взял в гринспарке. Работает года 4 уже. Так что бери любую, все равно это лотерея. Может распиаренный люкей за 7к возьмешь, а он у тебя сгорит через неделю.
>>260308Пиздец ты ебанутый, тебе говорят что нужно рукой заряжать, нет хочу дрова.
>>260312Благодарю. Поеду на юнону копаться, ища где подешевле на 300 рублей.
>>260313https://ru.aliexpress.com/item/Travel-Cellphone-Charger-USB-Hand-Power-Dynamo-Torch-Emergency-Charger-For-iPhone-Samsung-Xiaomi-Camping-Useful/32688659436.html
>>260313Не представляешь насколько долго надо крутить чтоб зарядить что-то мощнее фонарика на одном диоде.Все эти китайские механические крутилки рассыпаются, видел тест шуруповертом, на пять минут не хватило динамки, шестеренки разлетелись пластиковые. Хуета.
Я чет не пойму нифига, почему на коллектор pnp-транзистора подается положительное напряжение?
>>260329https://www.youtube.com/watch?v=UmyIHkUjA8850-60ватт.
>>260334Магниты стоят дохуище, с этим надо ебаться, нужен токарь, нужен материал, стоить дороже бензогенератора будет.Заправляешь на сраные сто рублей и сидишь пепсиколу пьёшь.
>>260332ой дурак...
>>260344Чего ты обзываешься? Это же тред для ньюфагов.
>>260345Простите
Радачи, есть какая-нибудь прога для распознования сигналов по графику? Или как это можно сделать в Matlab? Или вообще как руками это посчитать?
>>26033816-20магнитов это всего 1,5-2к рубля
>>257126ЛОЛЛЛкстати они оказались вполне работоспособными. Спаял умножитель на 6 для ионизатора
>>260350Прибавляй текстолит, прибавляй остальные части, работу токаря, плюс еще куча гемора.
>>260309Ну возьми люкей любой с компрессорным феном, и паялкой, к которой жала Хакко подходят. Эти моменты критичны.А вся остальная еботня - кнопочки или крутилочки, циферки или без - на самом деле косметика, принципиальной разницы для пайки не имеет.
>>260310В смысле помехи не меряют?То есть я могу сделать шарманку на 6П3С и вещать на СВ и мной даже по приколу ну никто не заинтересуется?
>>260360Спс
>>260332Потому что это картинка из серии "найди ошибку". Ты нашел - молодец.
>>260363бля, где искать схемы без ошибок? в гугле судя по всему 80% схем пиздеж
>>260364Когда ты знаешь принципы, то подобные мелкие ошибки не критичны.
>>260365ну я не знаю и хочу узнать принцип работы схемы
>>260360Лол, прорекламировал мою каду почти.А чому именно компрессор?
Господа, хочу вкатится в радиотехнику. Знания небольшие, но есть. Интересует практическая сторона вопроса. С чего лучше начать? Подойдет ли для обучения diy всячина с али по типу радио, когда приходят запчасти, а я сам все собираю и паяю. Если да, то какие удачные модели знаете. Всем добрапикрандом
>>260373Он лучше с тонкими соплами работает.
>>260374Для начала знания прокачай до среднячка, потом своими клешнями начинай осваивать простейшие узлы схем, переходя к более сложным.
>>260374Что значит слово diy?
>>260377В этом то и вопрос. Как мне это сделать?
>>260378Drochu batIn huY
>>260378Do it yourself - сделай сам
>>260379Шапку треда читал?
>>260375Ну ок, что скажешь о моем посте >>260074Может есть смысол реально поменять сие на что-то двухсоставное (отдельно взять фен, отдельно взять паяльник на основе T12)?
>>260382Окей. Читану ликбезы и пойду куплю нормальный паяльник.
Кто-нибудь разбирается в nrf24l01+?Какие регистры нужно выставить чтобы передавать/получать данные? Ну там канал, адрес это понятно, а че еще?
>>260254Ну ясен хуй, я так и хотел. Вопрос был, какой провод покупать? Марка, сечение итд
>>260383Я не понимаю твоих целей, поэтому совета дать не могу.Ну или сделай полочку и поставь станцию поближе.
>>260418ПВВП 2x0.35 или 2x0.5.
Антуаны, какой простенький и не дорогой step-down посоветуете для тока 0.1-0.2А? С 12 до 5 вольт понизить нужно.
>>260428Можно линейные, LM317, например.Если 5 вольт и не играться с резисторами, то вот на али вижу>LM1084IT-5.0 regulator LM1084I TO-220-3 5A 5V linear regulator>LT1763CS8-5 176335 SOP-8 5v linear regulator>LM2940CT-5.0 LM2940CT LM2940 TO-220 5V linear regulator / voltage regulator TransistorЛинейные много электричества в нагрев тратят, но если у тебя махарайка не от аккумулятора работает, то тебе не важно это.
>>260430Не, линейник не очень катит.Уже есть 7805 в корпусе d-pak - ток чуть больше 100 мА, а палец уже еле терпит. В закрытом корпусе вообще ХЗ что-получится.
>>260431https://www.sparkfun.com/datasheets/Components/LM7805.pdf>Operating virtual junction temperature, TJ 150°CПалец еле терпит, значит градусов 60-70. Вообще похеру. Прикрутишь к металлическому корпусу/куску металла, вообще шикарно будет.Но если нагрев прям очень мешает (хотя я бы забил), можешь диодов добавить. Диодами с 12 до 7-8 понижать и дальше свой 7805. Линейные тем сльнее греются, чем больше разница напряжений.С 7-8 до 5 нормально будет, а диодам похер.Или если у тебя есть под рукой LM317 или типа того, можешь каскадом с 12 до 10 снижать, потом с 10 до 8, потом с 8 до 5.Ну костыльно, но если всё есть под рукой, то это лучше, чем ждать step down ещё и дорогой. Или всё таки дать ему радиатор/кусок металла/прикрутить к корпусу и пусть греется до своих градусов 35-40
>>260432Да я в общем, уже на 555 схемы нашёл, да и 34063 никто не отменял, хотя я его не касался.
>>260436>34063 Я, конечно не знаю, может ты в треде ньюфагов сидишь на тумбе полной радиодеталей, но обвязки он требует просто ебанись.
>>260438Стандартная обвязка. Просто сэкономили и пару резисторов не впихнули в микру.
>>2603299-вольтовый моторчик из магнитофона дает примерно 100 миллиампер на коротком замыкании при ленивой прокрутке. Следовательно, при нормальном дифференцирующем механизме будет давать 300-500 мА. Этим можно заряжать свинцовый аккум от ибп или литий так же как если бы он заряжался от электрической зарядки.Чтобы ускорить зарядку нужно увеличить обьем - поставить несколько аккумов. Нагрузка на руку усилится примерно до уровня кофемолки, но зато ты за полчаса сможешь полностью зарядить 6-вольтовый гелевый аккум емкостью 4.5 ампера.Если накинуть ещё несколько аккумуляторов, можно приложить больше усилия, и тем самым увеличить кпд мускульной силы.Жаль только не изобрели аккумуляторы которые заряжаются большим током - можно было бы замутить 24-ыольтовый генератор, с помощью которого ты минут за 10 бы заряжал автоаккумулятор
>>260452Покрути ка полчаса руками, это только ногой можно выдержать используя на подобии пикрил.
>>260452алсо, во избежание споров подкреплю свои доводы простой логикой.Энергии аккумулятора из твоего телефона врядли хватит, чтобы поднять 20-килограммовую гантелю хотя бы раз. А среднестатистический человек поднимает её одной рукой раз 12-15. То есть за полминуты производит энергию способную зарядить больше десяти таких аккумуляторов.Единственная проблема - способ трасформации этой энергии в электрическую. Странно что до сих пор не придумали для этого надежный механизм, словно батареечное, электростанционное и зарядноустройственное лобби намеренно блокирует разитие науки в этом направлении.
>>260453Кстати ты мне подал идею - купить старую машинку и хуйнуть из неё генератор. Запилить как креосан с велосипедом - мотор от автовентилятора, автоаккумулятор, а от аккумултора повышайка до 220.Таким образом попробовать жить без липиздричеситва, чтобы не платить. У меня стационарник потребляет 300 ватт, а нетбук всего лишь 24! То есть достаточно часок посидель за этим зингером и потом весь день пользоваться нетбуком.
>>260204 поставил переменный на 50к, думал выберу точнее, карочи заработало и на 50к, ша еще 68к подкину посматрю...кстати кто что думает по части 4 пика, а имено по части RC цепочки, где то читал что изза мусора в сети симистр неустойчиво включается а иногда и самопроизвольно может включица
>>260455Я уже сам давно хочу такую запилить из машинки швейной, поэтому и скинул. Она очень легко крутится и быстро вращается. Динамо генератор креосановский будет так же вращаться и не надо педали ебашить с силой.
>>260455много лишних преобразователей, будеш терятьлипиздричеству...а гену можно взять на любой разборке от совко тачек, но там придеца мутить возбуждение, можно канечно и от какованить скутера колокол и статор но там придеца полюбому мастырить корпус и ось на которой будет колокол врасчаца тое токарка ктамуже там конусная посадка колокола и шпонка но ее можно выкинуть ну или как вариант взять полуоську от уебаного коленвала...помоему проще через реостат на совдеп генератор возбуждение запилить, и через какойнить шкив к заднему колесу лисапеда...в принципе идея неплохая и жир сгонять и липиздричеству выробатывать
>>260457>очень легко крутится>не надо педали ебашить с силойай лол)ты думаеш липиздричества из воздуха происходит?чем больше ты береш от гены тем сложнее его крутить и поверь мне твоя механика от общей еагрузки будет отжирать хуй да нихуя.прикинь в уме цифры.чтобы выроботать киловат час, тебе надо будет ебашить целый час с мощностью на педалях внимание 1,36 лошадиных силы.ты не ахуееш?
>>260461ну и? много ли у тебя вещей забирает этот самый киловатт? и как долго они включены?как раз-таки и повод для экономии - зачем большой холодильник, когда можно взять маленький и экономичный - и места меньше занимает и на электричество меньше крутить педали.Зачем ламповый кинескоп (инбифо для приставок), когда можно купить китайский маленький жк телевизор.Зачем рассеивать деньги затраченные на зарядку телефона в тепло источаемое зарядным устройством, когда можно зарядиться без электричества вовсе.дпугой анаон
Чем можно приделать назад отошедшую пластину трансформатора? Отошла и гудит 50 Гц Просверлить и закрепить болтом с гайкой не могу за неимением такого инструмента.
>>260465Эпоксидкой?
>>260458> гену можно взять на любой разборке от совко тачек,не нужно,проверенный способ -движки от современных стиральных машинок,самое то получается. Особенно если учесть,что всю машинку можно рублей за 500 на авито взять или даже за самовывоз. А если взятьдвижок от высокооборотистых,то увеличив маховик до неебических размеров можно гену хоть от ветрофлюгера запитывать.Ютюбочувак гэс как раз на стиралке строил. Правда он ебанутый на голову и я проиграл конкретно, когда он обмотки в "4 фазы" мотал.
>>260467Ну хз, попробую, ещё на суперклей посадить думал или стяжку сделать
>>260464я не говарил что нахуй не невпилось.я задел практическую сторону дела.да мелочь типа планшетов телефонов вполне успешно можно заряжать, но опять же таки практика большинство аккумов не любит быстрый заряд сокращая при этом нехуево так свой срок службы.к примеру мой телефон 2.5 часа заряжаетсянебудеш же ты хуярить 2.5 часа педали?тое предварительно надо какбы сохранять кудато энергию, а это опять аккумы контроллеры и прочая требуха а оно того стоит?я понимаю например гденить в ебенях где к разетке доступ затруднен, ну или для жиробасов хик или фитнес тней помешаных на зож которые лишний вес на вело тренажерах сгоняют.для обычного же пользователя ебашить педали или там крутить ручку даже полчаса для того чтобы выработать теже 0.2киловата, кагда в стене разетка в которой 1киловат стоит 3.8р считаю полнейшим долбоебизмом.хотя были еще при совке разработки типа насадки на керасиновую лампу и от разности температур ее мощи вполне хватало чтобы запитать небольшой радиоприемник на транзюках.но опять же таки это в эру повальной нехватки батареек аккумов и прочих мобильных источников питания, епта не на каждой даче были 220.была идея сделать механизьм по типу автоподзавода наручных часов тупо эксцентрики много полюсный генератор чтобы даже от малейшего перемешения он вырабатывал липиздричеству, можно даже попытаца перематать статор от флопика у него дахуя полюсов и заряжать им какойнить повербанк
>>260465на сердечнике пластина отошла?можно эпаксидом ток нагрей его эпаксидка так жижее станет и затечет лучше, но по хорошему лучше разобрать почистить и собрать на какойнить герметик, а вообще трансы полюбому гудеть будут
>>260470сцылка есть?движок от стиралки предназначен чтобы крутить, генератор чтобы вырабатывать хоть и нет принципиальной разницы но их ведь тоже не идиоты строили согласись.и к щеточному двиглу палюбому придеца мутить возбуждение
>>260453Я катушку мотал 7 тысяч витков. Крутил часов 5.
>>260452я хуею, откуда вы берете эти 100 милиампер? я взял китайский моторчик от игрушки, крутил его как ебанутый, он давал каких то ебучих 200 микроампер или типа того.
>>260477переменку меряй давун
>>260477можно замерить сколько потребляет моторчик и из этого сделать вывод, что с тем же количеством оборотов он столько же отдаст. ну может чуть меньше.в моём, кстати, будто бы вообще кондер стоит - если покрутить и потом замерить напругу или ток на клеммах, они покажут некоторое значение и после этого постепенно опустяться до нуля
>>260477Он у тебя дохлыйили мультметр дохлый
https://www.youtube.com/watch?v=ASBE7OPjXkIвот неплохой генератор, токарные работы не нужныНесколько ватт выдает - для телефона сойдет
https://www.youtube.com/watch?v=YhbkdLtxX3cя смотрю он угорает по ручным генераторам (а еще стирлингам)
>>260482Нихуя, я 3 моторчика перепробовал.мультиметр тоже нормальный.>>260478какая нахуй переменка в щеточном китайском моторчике ебик?
меня бесит ардуина, можно я вытащу атмегу, почищу ее и напишу свою программу?
>>260486давно пора.ток ниче не вытаскивай, пиши просто прогу и все
>>260489>давно пора.Ну я только на авр и пишу тащемта, а копаться в ардуиновских библиотеках, в чужом говнокоде, мне впадлу.>ток ниче не вытаскивай, пиши просто прогу и всеДык там же всякое ардуиновское аппаратное говно, не?
>>260491Тебе только программатор нужен будет, какой-нибудь USB ISP AVR. А так можно программировать и платы ардуины, в больших версиях даже отдельные выводы есть для программатора.
>>260492хз какой там програматор нужен врать не буду незнаю, гдето читал что атмеги шъюца напрямую через усб, там ток надо накидать схемку не большую, у меня по работе 16 меги шъюца вообще по шнурку от лпт порта самопальному в котором пара резюков, но там програмулина заточена именно под эти аппараты но вполне вероятно можно найти чтото подобное.меги весчь канечно хорошая но я нестал на них переходить остался на 51 архитектуре, для маих поделий более чем за глаза, и ради пары новых фич по новой учить архитектуру искать норм компилатор с С, изучать его ... да ну его нахуй...а потом еще до кучи и код портировать годами писаный тики подберать...на самой андурине уже скорее всего есть элементы прошивальщика тебе ток выкинуть излишки и найти норм компилятор все.ну и разобраца со фъюзами говорят с непривычки тот еще гемор...
>>260493Не слушай этого шизика.В ардуине нет нормальных средств перепрограммирования, кроме как заливания внутрь мк через ардуиновский бутлоадер. Если тебе бутлоадер ненужен, то только брать usbisp ну или сделать его самому из второй ардуины. Всё остальное для шизиков и мазохистов.
>>260493>тебе ток выкинуть излишкиТак непонятно, что там за кишки у ардуины. Оно ж будет мешать, не?
чет под вечер стал тупитькак на пикриле померять ток между затвором и R1?мультиметр непоказывает нихуя(
>>260494Обычный авр программатор у меня есть. но вопрос в том, не будет ли он конфликтовать с платкой ардуины, если оставлю мк в ней?
>>260497даташит почитать не судьба?
>>260497Не будет. Там ничего особенного нету.
>>260494ну и каму ты лепиш?128 мега использует 4 ноги чтобы зашица от LPT порта между ногами контроллера и ногами порта сто омные резюки и пиздец.
>>260496пик отклеился
>>260374Пойдёт. Я так до усатого телемастера раскачался.Главное больше практики.Паяй сначала diy, потом собирай схемки из интернетов, потом своё что нибудь придумай.Самое главное не просто бездумно всё делай, старайся вникать.
>>260465Попроси сварного на работе что бы точку поставил - будет работать пижже нового.
>>260502Опять ты?Зачем его мерить?Схема работает?
сука, купил конденсаторы на али. А у них емкость скачет в полтора раза в зависимости от температуры и тока через него. И как, бля, мне настраивать колебательный контур??
>>260501МОЧА БЛЯТЬ ЧЕГО БЕЗДЕЙСТВУЕМ?
>>260509Да кого ебёт чужое гореМиниатюрный климат-контроль на микроконтроллере теперь пили
Поясните за платку, для чего и как подключить к китайской адруинке. https://ru.aliexpress.com/item/1pcs-FT232RL-FTDI-USB-3-3V-5-5V-to-TTL-Serial-Adapter-Module-forArduino-Mini-Port/32650148276.html
>>260511...
>>260512че деб? там же написано FT232RL FTDIпреобразует 12 вольт рс232 в 3.3 и 5.5 вольт ттл микросхем и обратно.
>>260512Если не знаешь для чего - значит тебе это не нужно
>>260514То есть достаточно подключить на цифровые выходы адруинки и установить драйвера?
>>257634ой дурак. если у неё и тебя огрызок,то добавь её в "семью" и будешь видеть где она хоть каждую секунду или у оператора её подключи услугу "родитель" руб 50 в месяц и бди за её перемещениями.
Короче нужна какая нибудь стабильная схема сдвига уровня для задачи:Есть сигнал, который может в +-2.5V100Hz. Нужно это сдвинуть до 0-5V с минимальными анальными смещениями нуля после этой самой коррекции сумматоры не предлагатьили предлагатьделители точно не предлагать. Ну и само собой всё это в АЦП потом маршируеткоррекцию нуля с помощью n-го канала АЦП тоже не предлагатья серьёзно
>>260520обычный усилительный каскад на транзисторе или операционник, со смещением. а на выходе просто не ставить разделительный кондер.или я не прав?
>>260523Зависит от того, какой смысл ты вложил в свои слова. Накидай схему. Что-то мне кажется, что ты мне только что тот же самый сумматор и предложил. На транзисторе сразу нет, ибо он сразу пойдёт в открытое плаванье, а мне хотя бы 1,5% нужно уложится.
>>260520Опиши алгоритм по-нормальному
>>260525Есть сигнал +-2.5V 100Hz. Нужно его преобразовать в сигнал 0-5V 100Hz. То есть сделать что-то, что 0 исходного сигнала сдвинуло на 2.5 вверх. При этом, такое смещение должно быть максимально стабильно. То есть, чтобы этот новый ноль, не плавал в своих окрестностях, максимум 1.5% отклонения от нового нуля, чтобы было. Такое можно сделать с помощью какого нибудь прецизионного ОУ, который бы работал в режиме сумматора и складывал бы мой сигнал с какой нибудь постоянной составляющей в 2.5Vк примеру с ИОН. Но этот вариант не подходил, по некоторым причинам.
>>260526Суть думаю ясна
>>260528Чёт не думаю что у оптронов такая хорошая линейная характеристика. Какой оптрон-то то тут стоит? Пропорциональные оптроны с линейной характеристикой вообще существуют? Ну и на самом деле ничего не понятно.
>>260529>100HzО каких искажениях может идти речь?
>>260526 Чем оу не устраивает? https://www.maximintegrated.com/en/app-notes/index.mvp/id/4836>>260529>Пропорциональные оптроны с линейной характеристикой вообще существуют?http://www.vishay.com/docs/83622/il300.pdf
>>260531> http://www.vishay.com/docs/83622/il300.pdfНо это же совсем не то. И к нему ещё +2 ОУ. Лучше тогда на сумматорах. >Чем оу не устраивает? Вот теперь мне кажется что лучше всё таки на ОУ. Просто там таких сигналов 12 и это если даже покупать нищеLM343, то это уже их 3 штуки, а к ним ещё всякого дерма, а место нет совсем. Я вот думаю, может просто программно фиксировать переход нуля, но тут сук опять детектор перехода на ОУ строится. Хотя в этом случаи он всего 1 понадобится.
>>260424Да какую блин полочку... Там 40 см провод паяльника и столько же от фена идёт. Как этим паять удобно? Никак.
Магазинов тред уда-то уплыл, тут многолюдно, похуй. Где заказывать компоненты, чтоб 100% не фуфло? Про Фарнеллы знаю, но у меня такие масштабы, что доставка часто чуть ли не дороже заказа выходит, поэтому что-то на территории РФ. Даже если там какие-то наценки, опять же, с моими объемами чип за 150р и тот же, но за 300, это экономия всего 150р, т.к. большая вероятность, что я буду заказывать штучно. Про ЧиД слышал много плохого насчет фальшака. Кто у нас работает с большим ассортиментом и без фуфула?
>>260534>Просто там таких сигналов 12 и это если даже покупать нищеLM343, то это уже их 3 штуки, а к ним ещё всякого дерма, а место нет совсем.Тебе нужно лишь ловить переход нуля? Так возьми lmv393, инвертирующий вход на землю, 10к на вход, 10мег для гистерезиса. Это конечно не совсем правильно, CMVR там от -0.1в, да и встроенный защитный диод использовать не комильфо, но работать будет.Как вариант взять йоба оу/компаратор с beyond the rails входами или добавить диод с парой резисторов к каждому оу.>>260537Терраэлектроника, она же ДКО Электронщик.
>>260538>Терраэлектроника, она же ДКО Электронщик.Спасибо.
>>260454OMG, шизик с гусей на бабок перешел.
>>260454Алсо ты прогуливал физику в школе.Энергии даже стандартного маленького аккумулятора 3.7В 600 мАч хватит чтоб поднять 20 кГ на высоту 4 м.Всякие смартфонные жирные батареи способны поднять этот груз на высоту многоэтажки и скинуть его оттуда на твою башку.
>>260455Долговременно ногами человек может давать на велосипеде около 60 Вт. Этого мало.
>>260473Ой дурак, "на герметик".Впрочем что я, это же шизик.
>>260509Для контуров подходят далеко не всякие конденсаторы. Всякие дешевые Х5R керамики дают разброс в 2 раза запросто.Тебе же нужна NP0, стабильная.
Помогите ньюфагу прояснить ситуацию по предохранителям.Вот на пике предохранитель на 1 ампер.Надо ли знать на какое напряжение рассчитан предохранитель или он работает по амперам?Ну в смысле один и тот же 1А предохранитель сгорит при 1А 220 вольт и 1А 5 вольт или нет?
>>260549> Ну в смысле один и тот же 1А предохранитель сгорит при 1А 220 вольт и 1А 5 вольтПо идее да, там небольшого падения напряжения должно быть достаточно для перегорания. Если параноик, можешь на всякий случай проверить предохранитель на нужном напряжении, пропустив через него ток сильно больше номинального, чтобы удостовериться, что пяти вольт для него достаточно.
>>260549>Надо ли знать на какое напряжение рассчитан предохранитель или он работает>Ну в смысле один и тот же 1А предохранитель сгорит при 1А 220 вольт и 1А 5 вольт или нет?А ты сам посчитай мощность на предохранителе для 220 и 5 вольт. Сопротивление предохранителя возьми равным 0.1 Ом, а сопротивление нагрузки 220 Ом для 220 вольт и 5 Ом для 5 вольт (что бы был одинаковый ток)
>>260549Напряжение на которое рассчитан предохранитель критично для погасания дуги после сгорания проволочки. Чем длиннее - тем высоковольтней.В плане перегорания - абсолютно на напряжение источника похеру. Главное, чтоб оно было выше некоего минимума достаточного для создания тока для перегорания проволоки. Этот смудьян >>260551 в принципе правильно говорит, но он не знает какой мощности (и падения напряжения) достаточно для перегорания, поэтому выебывается про "сам посчитай".По эмпирическим прикидкам мощность нужна меньше ватта.
>>260550Блядь, я не понимаю. Это рвёт мне шаблон. Ну не может быть такого. НЕ-МО-ЖЕТ!Я даже проверял на резисторах. Взял резистор, пустил через него 1 вольт 1 ампер, ему похуй.Пустил 20 вольт 1 ампер, он как задымился нахуй.Если через проволочку пойдёт 1 вольт 1 ампер это будет 1 ватт, он её не нагреет, чтоб она перегорела.А если 250 вольт 1 ампер, то это 250 ватт, она испарится нахуй.Ну разве я не прав? Разве не так законы физики/электроники работают?Я не понимаю...
Что будет при уменьшении длинны ТПП термопары?
>>260545Дай ссыль на али плиз.
>>260554Предохранитель включается последовательно нагрузке и ее сопротивление должно быть значительно больше сопротивления предохранителя.
>>260557Если через предохранитель течёт 1 ампер 1 вольт, то проволочка выделяет какое-то количество тепла, так?А если 1 ампер 250 вольт, то в 250 раз больше тепла, так?
>>260558Через предохранитель не могут течь вольты блядь. там текут ТОЛЬКО амперы. >Пустил 20 вольт 1 ампер, он как задымился нахуй.Ты или припизднул и на самом деле там было не 1 ампер, а 20 ампер, либо первый резистор какой-нибудь 15-ваттный, а второй 0.25 ваттный. Ясен хуй он задымился.
>>260556Ёмкость какая нужна? Алсо, можешь взять плёнку вместо керамики.
>>260554У тебя опыт поставлен неправильно с резистором - 146%.1 Ватта достаточно для плавления проволочки - лампочки при такой мощности светят белым светом и не пергорают только потому что вольфрам (а не ИМНИП, свинец, как в предохранителях). Замыкание предохранителя на 220 вполне вызывает мгновенное испарение с пиротехническими спецэффектами, а обычная перегрузка по току - просто тихое плавление проволочки.
>>260555Что такое ТПП?
>>260559Я буду настаивать на своём, что логически правильно звучит >>260558А не это мифическое "миллиард вольт 1 ампер через провод это то же самое что и 1 вольт 1 ампер через тот же самый провод".
>>260558Нет не так. При 1 ампере на предохранителе не будет 250В ни при каких условиях, пока он не сгорел.
>>260563Ты можешь сколько угодно настаивать на своем невежестве.Это говорит всего лишь о непонимании тобой первого и базового закона - закона Ома.
>>260563Иди отсюда нахуй блядь. НАЧАЛЬНИК ЭТОТ ПИДАРАС ОБОСРАЛСЯ
>>260560100нф, а вообще желательно несколько разных номиналов от 100пф до 100нф
>>260564>>260565>>260566Я куплю лабораторный блок питания и вернусь. И вы все признаете свою неправоту.1 вольт 1 ампер не будет греть проволочку так, как 30 вольт 1 ампер.
>>260563Твоя проблема в том, что ты не понимаешь что такое напряжение. Его нельзя измерить в одной точке. Нельзя сказать, что на предохранителе миллиард вольт. Для предохранителя критично не нарпяжение питания, а напряжение между входом и выходом предохранителя, которое будет гораздо меньше чем напряжение на нагрузку из-за того, что импеданс нагрузки обычно выше. Если импеданс нагрузки сильно уменьшится, то соответственно возрастёт ток в цепи, увеличится падение напряжения на предохранителе и он сгорит.
>>260567> 100нфТаких NP0 нет. Бери плёнку.
Ради эксперимента померил сопротивление предохранителя на 2А.0,05 Ом.При токе 2А на нем падает 0.1В.И выделяется мощность 0,2Вт.>>260568Эксперимент - это хорошо, но понимание процессов - еще лучше.
>>260562Маркировка термопары. Платиновая короч
>>260570>NP0Ебать на них цены! Всякие пикофарадные стоят 500 рублей за 20шт на али
>>260572А. ЭДС от длины выводов не зависит. Главное, чтоб они были сплошные из однородного материала до измерителя.
>>260573Ты что-то не то смотришь. Вот у этого продавана смотри: https://www.aliexpress.com/store/product/100pcs-lot-0-5pF-NPO-Error-0-25P-50V-0805-smd-capacitor/506373_32318954358.htmlВнизу есть таблица, там есть и ёмкость и тип.
>>260574Мда, а мне тут местные киповцы за какие то кристаллические решетки затирают. Мол такая длинна и такой диаметр проводков не просто так.Ремонтировать просто не хотят видимо, хуесосы
>>260549>1А предохранитель сгорит при 1А 220 вольт и 1А 5 вольт или нет?Да хуй он сгорит от 5 ВольтНа них напряжение не зря пишутВообще вот этот >>260571 правильно написал
>>260507неустойчиво.кагда ставлю 65ком сопротивление уверенно сробатывает только на пике синусоиды, 90 процентов не срабатывает, 35ком срабатывает устойчиво на 80 процентах на 90 процентах начинает пропускать одну полуволну.и я немогу определица с сопротивлением.вполне вероятно придеца в прошивку вводить укорачивание импульса открытия кагда резка происходит ближе к вершине полуволны, а кагда к ее краям то удлинять...но прежде чем все это мутить надо хотябы знать порядки тока что там происходят.думаеш драйверок от МОС не занимаеца резкой фазы почему? потомучто слишком заебно, ани подобрали на устойчивое включение и регулируют пропуском фаз.
>>260510поясни даун ты о чем?
>>260579О шизике, даунёнок.
>>260585в чем она заключается?канкретики насыпь побольше
А стабу не поплохеет, если на него подавать уже выпрямленное (+12 на входе, нужно +10 на выходе)? В частности, этому http://www.mistertao.com/beta/pages/item/529758280774.html Или всё-таки лучше прямо транс подключать?
>>260577Отсосешь у меня, если от 1 В сгорит?Ты же так уверен в своей правоте.
>>260588чтото я нихуя там не увидел его параметры
>>260590учи мат часть плавкие предохранителии сасеш покамест тут ты
>>260578Вот веть дураааак шизик.У тебя реально между ушами гусик или валенок.Задача резистора - ограничить ток. Ограничить, блять. Надо посмотреть наихудшие кондиции для этого (максимальное напряжение и токи драйвера и управляющего электрода, кто меньше может) и взять минимальное для этой задаче сопротивление.Алсо нужен еще второй резистор, замыкающий гейт на катод, чтобы тиристор не открывался самопроизвольно от емкостных токов при помехах в сети.
>>260592Не , ну что ты в тину сразу.Я-то матчасть знаю, поэтому я сжигаю 1 а 250V предохранитель от 1В - ты у меня сосешь, гуд?
>>260591Выходное настраивается резюками r30-32 5-24В, однополярный.
>>260594> ты у меня сосешьТы что, пидар что ли? Нормальные люди уже давно используют универсальную валюту для споров - анусы. Пусть ставит анус.
>>260596Да пусть хоть мамку свою ставит, дело принципа. Ненавижу всех этих "отправлятелей учить матчасть", которые сами в ней разбираются как та свинья в апельсинах.
>>260587Кто она-то? Я про локального шитпостера.не палишься
>>260593ты вообще понял о чем я? пик сматри о чем я говарю.по части всяких шумозащит и резюка подрисуй на том пике примерно как оно должно выглядеть а еще лучше если кинеш сцыль где это грамотно расписанно.>>260594сори обосрался хотя всегда думал что плавкие от мощи срабатывают, странно вазьми туже лампочку на 220 сто ватку тыж заебешся через нее при техже 12 вольтах пол ампера протекать...
>>260598я говарил за конкретику, а ты опять о сиськах подумал сперматаксикозник?
Сап, котики. Хз даже куда писать, нужен плоский аккумулятор с определёнными размерами ёмкостью в честные 2~3 амперчаса. Есть у кого проверенные продавцы на Али?
>>260606а вот и сиськи с супом
похоже что y210 это обычнай фото семистор, хоть ани его и называют твердотельное реле.судя по тому что я вижу на осцилографе он раз отперся и запираеца только тагда кагда через нуль фаза переходит что в принципе и следует из логики опто семистора...на пиках 1 работа при 70% резюк 33ком все как и должно быть2 на затворе - при 85% резюк теже 33ком3 закономерный пропуск полу волны на нагрузкев принципе я могу тупо подогнать резюк ближе к "100" % но опять же таки не поплохеет ли затвору кагда будет пик в 50%?хотя в начале полуволны можно импульс открытия сделать подлиньше и оставить сопративление побольше...вопщем буду дальше играца.хотя куда уже длиньше? и так TH1=0xFD; при всей длине волны 0хВ2
Поясните почему в игле у вертикального USB (USB Series A Hole Mounted Up‑Right) крайний от входа минус? По идее же + должен быть.
>>260619еще вопросы?
А у светодиодов, которые в плату вставляются, как правило одинаковое падение напряжения?
>>260621Нет, оно лучше.Сперва падает на плату, а потом подскакивает вверх же или ты элементарной физики не знаешь, что такое спрашиваешь у меня?
>>260620А вот теперь сюда посмотри, на последнюю картинку предыдущего поста и на свою, не видишь различий?
>>260625ок поправил еще вопросы?
>>260625а вообще если без шуток то скорей всего он предназначен для установки с обратной стороны... своего рада правый левый, а распайка на плате не меняется
>>260627Мультиметр с тобой не согласен, и чтобы убедиться что я не совсем кретин, беру кабель с оторванным штекером, один щуп на красный провод, второй на первый с краю от разъема и он оказвается плюсом. Про изготовление предприятиями последнего пика вообще молчу.
>>260629может быть у тебя шнурок закороченый и красный это не +, а + какойнить оранжевый или желтый, думаеш китайцы водку не бухают?
>>260628Внутрь в корпус? А так какая разница хоть на top, хоть на bottom ставь
>>260631чтобы тупой юзверь как втыкал свою флешку к верху пузом так и втыкал не заморачиваясь с какой стороны там этот порт к плате подпаян.стандарты мать их так
>>257711видел подобную ситуацию в DC-DC преобразователе. там на выходе стояла электролит и керамика.. вот только керамики было две: одна на на 10 микрофарад, второй был около 10 нанофарад. Вопрос к знатокам. Зачем ставить параллельно ещё одну керамику меньшей ёмкости?
Анон, вот заданька на курсовую работу.Измеритель комнатной температуры и влажности. Батарейное питание, цифровой LCD-индикатор, индикатор разряда батареи.Предпочтительней использовать pic контроллер.Сколько деревянных обойдётся воплощения сия чуда в живую? В арсенале нет собственно программатора, датчиков ну и мк. Ну хотя программатор под pic"и есть.
Поясните раку, чем лучше/хуже плис чем микроконтроллер?
>>260638Мк проще.
>>260640А в чём же тогда смысл ПЛИС?
>>260500А нахуй там тогда куча всяких резисторов, конденсаторов, lm358 воткнута?
>>260637Если покупать на али то в 1к рублей уложится можно.
>>260647Для автоматического переключения питалова USB/внешний источник. Но на самом деле, там даже есть вторая атмега.
>>260641ПЛИС для некоторых задач (например майнинг биткоинов) существенно быстрее. Ну и по сути ты делаешь своё собственное устройство, можно сделать так, чтобы оно очень экономно расходовало электроэнергию, например, и прочие плюшки полного контроля.
>>260650PLIS
>>260649чиво? нет там второй атмеги.
>>260653Значит у тебя китайская подделка. В оригинале стоит atmega16u2-mu в корпусе QFN32 рядом с большим кварцем.
Как можно (и можно ли вообще) с диодного моста получить отрицательное напряжение?
>>260660Да, поменять полярность.
>>260663Как, бля? С одной стороны +, с другой - выходит же. Нужна нулевая точка. Где её взять?
>>260668
>>260669А как волну поровнее сделать?
>>260668ебан? Берешь плюсовой вывод как нулевую точку. На минусе будет отрицательное напряжение.
>>260606Бампану.
>>260637 Возьми nodemcu/wemos, bme280 и oled дисплей ssd1306, обойдется все в 10-12$. Прошей espeasy и получи рабочий девайс не написав и строчки кода.
>>260637пики не получили популярности изза своей ебанутости врато не буду незнаю в чем ана заключаеца в те года маниторил в библиотеке радиву и трахал дочку библиотекарши на книжках в подсобке гараздо позже уже кагда вкатился в тему мне не понравилось их одноразовость и отсутствие нормальных компилей по С. предок ехал через москавитов и в заказ был дан ему найти матерьял.в нем я ничего кроме божественной MCS51 ничего дельного не увидел помимо хуевой горы даташитов, да и на работе у меня в основном юзали контроллеры этой архитектуры.вкатился благо на работе был програматор так и понеслась...потом гараздо позже решил всетаки загуглить преимущества пиков и понял насколько я оказался недальновидным...в принципе ахуительная архитектура и некоторые вещи именно заточены на дерганье конкретных вещей...таже атмега это всеголиш попытка и притом нехуевая систематизировать на одном камне все те накопления что были при на 51 архитектуре но выигрыш их делался на массовость - как шаз помню каждый давун сможет прошить сие чудо липиздроники...и это было реально правдой от чего атмега только не шилась и от LPT порта и от COM порта и от USB шины ...но потом как в той сказке - сядь на прихватку а он ножки то раздвигает...в итоге появился еще больший долбоебизм в виде STM32 насколько я отстал от темы в ЭТОМ девайсе думать нет смысла...и это можно аргументироватьвот нахуя мне ОГРОМНАЙ КУСОК КАМНЯ?которай думает за меня?не прощи ли а самое главное НАДЕЖНЕЙ делать камни более заточенные под конкретные задачи?а центральным камнем их фунциклировать?я не говарю сейчас про ваши игры детия говарю за маниторинг физ процессов.кстати протон сбили факт на лицо у меня на моем яблофоне в именно этот момент отказал компас, но работал устойчиво гироскоп.выводы?ктото принудительно сбил внешнюю ориентацию по вышкам ...вышки то работали факт эти манипуляторы заглушить вообще невозможно...хотя на юге выпал снег...и давно надо было следить за ионосферойно почему автопилот невключился?ВИДИМО ТРАМ ЕБЕТ МАЗГИ ПУТЛЕРУстирайте чертежи на флешкитут и реформа налоговой наднях...всетаки есть этот направленый излучатель всякой хуйнии вот идея для наших балистических ракетибо липиздроника показала сваю глючность хуля тут еще пиздеть.механика вот наш козырьчасовой механизьм точно уебет в заданную площадь.мне стыдно за страну в которой произвадились открытиямне стыдно за директоров которые эти открытия пускали на ветерпочему нет досихпор птента всемирного на семисторы теже?китаезы обязаны платить за мысльа потомучто пидоры желают сорвать кусок ежесекундно ипродают зщнанияпродают знаничза бюесценокhttps://www.youtube.com/watch?v=bw1eMwj557U
>>260675Блять, да съеби уже.
Электромагнитный замок потребляет 0.3а 24в. Я не пойму, как 7 сраных ватт создают такое ебанутое усилие, что ни один человек не сможет отодрать пластину от замка.
Не понимаю что такое "гармоники". Объясните
Собственно у меня вопрос. Снимаю переменное напряжение с ветви дифференциальным усилителем. Дальше нормализую егодругим усилителем в 0-2,5V. Сам вопрос. Можно ли это напряжение подавать в АЦП, или нужен КОНДЕНСАТОР. Не знаю почему я спрашиваю, но мне казалось, что я когда-то читал, что он там нужен. Частота сигнала от 100Hz до 1kHzс шагом 100kHz. Частота дискретизациимаксимально почти возможная для данного МКГальваническая развязка есть перед датчиком но зачем?>>260683Гармоника - это такое колебание, которое можно описать как y(t) = A*sin(wt+u), где A - амплитуда твоей гармоники, w - частота угловая, u - фаза. Гармоники это очевидно какое-то произведение или сумма одиночных гармоник. В самом простом приближении это синусы разной частоты, амплитуды и фазы, сложенные вместе, согласно принципу суперпозиций. Можно это визуализировать к примеру. Возьми к примеру matlab или R. Сгенерируй там к примеру вектор состоящий из 10к элементов, с помощью генератора псевдослучайный чисел с нормальных распределением. Полученный сигнал, будет соответствовать белому шуму, то есть спектральная плотность будет равномерная, а то есть там будет очень много разных гармоник, с разной частотой но примерно одной амплитуды, так что лучше потом этот сигнал пропустить через ФНЧ, что в матлабе делается в 2 команды. Потом к каждому элементу этого вектора добавь постоянную составляющею к примеру 1. И можешь ещё к этому прибавить синус какой нибудь малой частоты и большой амплитуды. После того, как ты сделаешь всё это. Примени fft к этому сигналу. Так ты узнаешь амплитуды и частоты не каждой гармоники конечно, но это издержки цифровой обработки сигнала. Получишь только до половины частоты дискретизации. Потом ты можешь написать скрипт, который нарисует тебе на графике все эти гармоники. А на другом всех их сложит и тоже нарисует. А на третьем исходный график сигнала. И тогда ты поймешь, что такое гармоника. Можешь кстати почитать Лайонса книга называется ЦОС. Первые 2 главы. На картинки пунктиром гармоники сигнала. Жирной линией сигнал сам. Справа график - спектр этого сигнала.
Анон, мне нужно получить 20В постоянного напряжения, причем именно постоянного ,не импульсного, а из источников у меня только 5в зарядка. Если я к зарядке подключу step-up, а к нему например LM317 - норм будет? LM-ка сможет сгладить импульсное напряжение?
>>260685В смысле конденсатор, с которого потом и будет сниматься напряжение. Он там заряжается и когда зарядился мы снимаем, потом перезаряжается и ну так далее.
>>260683Бывают ламповые четные гармоники, и нечетные. Когда более выражены чётные, звук становится "тёплым", музыку очень приятно слушать обогащенную такими гармониками.А транзисторы наоборот дают ечетные холодные гармоники, поэтому транзисторная техника так говено играет, неприятно ушам. Поэтому и гитаристы играют в ламповые комбики а не транзисторные как какие нибудь лохи
>>260685пздц...
>>260685ШИЗИК ОТВЕЧАЕТвсе просто всеголиш обратнапя связьсделай такподпинбю тюу лямбду халмбуhttps://yandex.ru/video/search?filmId=12150121133610974940&text=багульник%20кучин&noreask=1&path=wizard
>>260685этот сделалммаю старость67КЕМ ПРЕДВАМИ СЕБЯ ВАЗХАМНИЛэ
Что будет, если ток через простату пропустить? Сколько вольт нужно? Если армейский тапик взять, которым пытают, и один провод в прямую кишку а другой на головку члена, и покрутить, будет ли оргазм?
Двач, как соединить микрофон и динамик?Чтобы можно было по простому при помощи внешнего питания (пусть это будет зарядник от телефона, usb или что угодно) и микрофона передавать звук напрямую на динамик. Ну или сделать вместо вывода на динамик - миниджек, чтоб уже куда угодно можно было втыкать.Как это сделать? Знающий анон опиши пожалуйста в деталях. Какое нужно напряжение питания, какой лучше микрофон (динамический или конденсаторный), какие нужны детали и тд.
>>260698Китайский электретный микрофон, микрофонный пред и усилитель мощности требуемой мощности на микросхемах.Находишь схемы при виде которых не хуеешь от количества деталей и собираешь их на дырчатой плате.
>>260700Чушь, он все это может сделать при помощи одного транзистора и конденсатора, нахуя целые платы распаивать
>>260701Ну может быть ему 50 ватт надо.
Эй, народ, а что с этой вашей электроникой делать можно? Ну в смысле, есть ли работа, стоит ли вкатываться с головой, или это такое прожигалово бабла для состоятельных людей? Воркач молчит, на электронщицких форумах какая-то хуйня с заказами одноразовых махараек, на сайтах с вакансиями какое-то лютое днище, да ещё в каждой второй вакансии прогать под микроконтроллеры, а часто и под десктоп требуют. Это нормально вообще, что за 5 лет опыта + умение кодить дают столько же, как тестировщику без опыта и вышки?
>>260670Напильником.Или взять трансформатор со средней точкой у вторичной обмотки.
>>260677но мне не с кем поговарить. ra и mo - единственные места где меня любят.что насчет симистора скажешь?
>>260678Тебя не удивляет, что болт с гайкой могут создать многократно большее усилие не затрачивая вообще никаких ватт?Все по законам физики, сына.
>>260685Пиши без спойлеров свой вопрос, и я тебе отвечу по делу.А так - тебе надо, а ты зачем-то над моим зрением издеваешься.
>>260686Step-upы имеют в своем составе стабилизацию и фильтр.Зачем тебе эти 20В?
>>260689Спасибо, а теперь съеби.
>>260703Вкатываться долго, дело нужно любить.Потом, когда работой сделаешь себе имя - будешь жить безбедно, изготавливая или ремонтируя всякое.А вакансии - мертвяк, я даже не знаю где сейчас в нашем задрищинске платят инженеру больше 25 тыр (без командировки в нефтяные ебеня). Я на себя работаю, мне хорошо.
>>260670Поставить LC фнч, а если нужно совсем без пульсаций можно поставить два линейных стабилизатора например lm317 между + и землей и lm337 между - и землей
собственно посоветуйте.есть ли смысл покупать дешевый китайский осциллограф за и против или лучше не выебываться и через кап на три нанофарады и делитель лучше на линейный вход звуковухи подавать?
>>260714Звуковуха же высокие частоты не потянет. Я взял китайский DSO5102P, переделал его под 200МГц и всё заебись.
>>260619Все очень просто - в футпринте ОШИБКА.
>>26071520 килорублей многовато для хобби уровня. по крайней мере для меня.
>>260717Ну тогда бери DSO138. Хоть и игрушка по больше части, но для хобби сойдёт.
>>260718вот. отлично. спасибо большое.
>>260719Только он до 200кГц (на самом деле до 100, дальше уже говно). Если можешь потратиться больше, то бери DS203. Он уже сильно лучше.
>>260706Могу сказать, что если перестанешь писать всё, о чём думаешь и ещё грамматики прикрутишь, то и общаться будут нормально.
Цифровой Осциллограф DIY Kit Части с Случае SMD Припаяны Электронные Обучающие Комплект 1MSa/s 0-200 КГц 2.4 "TFT Портативный карманный http://www.aliexpress.com/item/32753111065/32753111065.html Нормальная хуйня?
>>260721а чего он говорит, что я советы тупые даю паток сознаниянормальные советы
>>260723Обзоры dso138 посмотри, там начинка очень схожая.
>>260707Болт с гайкой не создают усилие
>>260711Ремонтировать щас можно разве что айфоны. Менять им экранчики, которые тупые пезды разбивают во время ебли с ерохиными в клубах.А что посерьезнее уже не чинится, ибо сделано так что хуй ты что там починишь.
>>260734магнитный замок действует по другому принципу. там внутри сформированные силовые линии которые пропорциональны стартовой намагниченности и коэффициентам материала. короче пока магнитопровод замкнут необходимо приложить усилие а когда разомкнут через усилие то внутренние силовые линии рвутся и обратно части не прилипают.так что можно вообще ток отключить. но насколько долго эффект будет сохраняться я не знаю.в магнитной памяти времен ссср тот же принцип. да и в жестких дисках похожий как мне кажется.
>>260740нихуя не понятно
Блядь, я не пойму чо он хочет.
>>260736Вот, яркий пример современной потребляди.Чинится все. Сложней всего с микропроцесорными устройствами со слетевшими и недоступными прошивками, а все остальное обычно не представляет принципиальных проблем. Самой распространенной неисправностью все еще остается отсутствие контакта там где он должен быть.
>>260740Там сердечник из магнитомягкого материала, он практически не намагничивается.Но факт в том, что да - добавил зазор в бумажку толщиной и усилие замка упало в разы.
>>260743Изменить причину диспута c "неt пришло" на easy return.
>>260747что еще блядь за изи ретурн? нет такой причины
>>260698http://www.chipdip.ru/product/sas0022-20/
>>260748ау блять?? где искать этот изи ретурн то?
У меня вопрос.Я хочу сделать радиоуправляемые выключатели в доме, но это не проблема.Проблема в том, что я хочу пульт у кровати от всего этого, но и это не проблема.Проблема в том, что я хочу, чтоб на этом пульте светились надписи "комната"/"кухня"/"зал" и у меня есть китайские чёрные корпуса.Вот как мне в пластиковых корпусах сделать сквозные надписи? Я думал на бумаге напечатать их, потом перенести на металл, потом протравить, потом металл приложить на пластик и протравить ацетоном.Но что-то мне подсказывает, что из этой идеи ничего не получится.Мооожно конечно попробовать дремелем высверлить, но наверняка получится криво и косо.
>>260755Купи умные выключателиВ приложении можно задать имя любому из выключателей
>>260759Ты не понял. Я хочу путь сделать (корпус с кнопками и светящимися надписями в темноте), но не знаю как сделать эти самые надписи. Чтоб были красивые и ровные.Нужно сделать их сквозными, чтоб снизу подсвечивать.
>>260761>хочу пультфикс
>>260761Я понял что ты хочешь пульт сделатьЯ не понял нахуй он тебе нужен?Если нужны сквозные надписи - закажи лазерную резку, или купи специальные кнопки с подсветкой, туда можно вставить бумажку с набписью
>>260763>Я не понял нахуй он тебе нужен>хочу сделать радиоуправляемые выключатели>хочу пульт у кровати от всего этогоНамного проще нажать 1 кнопку на пульте рядом с кроватью, чем через телефон лезть в какую-то админку и там вырубать.
Доброго времени суток, анон. Есть 2-х метровая, китайская noname RGB-светодиодная лента (светодиоды: 5050, 30 штук на метр) питающаяся от USB-источника питания. Можно ли использовать зарядное устройство смартфона (5.0V, 1.2A) в качестве постоянного источника питания и безопасно ли это для электроприборов? Может нужно купить блок питания?
>>260766Если питается от USB, то можно. Там стандартные 5 вольт. Главное чтобы мощности блока хватило (у USB 2.0 максимальная мощность 2 ампера). Если блок питания не уйдёт в защиту (т.е. не выключится), то всё норм.
>>260767>у USB 2.0 максимальная мощность 2 ампераЕбан? 0.5А вопщет.
>>260768Значит 2 ампера у третьей версии. :<
>>260769>Значит 2 ампера у третьей версииЧто ещё спизданёшь?
>>260771Спизданул тебе за щёчку. Проверяй.
>Радиотехника>Помощи ньюфагу тред>Спизданул тебе за щёчку. Проверяй.Мде.
Радач, на пике схема простого гитарного усилителя. Я правильно понимаю, что на ней подразумеваются, но не показаны земляной провод девяти вольт питания и земляной провод с гитары?
>>260761Вытрави на крышке из фольгированного текстолита свои надписи, а ее изнутри подсвети. Стеклотекстолит полупрозрачный.Получается ОЧЕНЬ неплохо.
>>260774Вот эти полосатые "елочки" - это он и есть.
>>260777То есть земля для всех здесь общая?
Поясните, можно ли в атмеге создать задержку без применения таймера путем прогона пустого цикла? К примеру нужно мне 1мс, я делаю фор от 1 до 16000 и пустое тело цикла.
>>260780delay_ms?
>>260781Иди обратно в ардуинотред
>>260779Символ немного неправильный, но да.
>>260784Это у бургов нормально.
>>260774Интересно, по какому принципу он работает?Перегруз самого ОУ? Я пробовал так делать, в итоге срез волны был не полкой, а какой-то кашей, больше похожей на заряд разряд кондера, даже на пилу не было похоже, лол.Звук, соответственно, тоже мало напоминал нормальный дисторшн
>>260785Лол, у них сигнальная и защитная земля - одно и то же?
Уфф, чет я заебался. Уже 2 дня ебусь с nRF24L01+. Какой-то аЦЦкий геморрой, вроде написал программу для 2 контроллеров, трансмит и ресив, но почему-то не работает. У кого-нибудь есть годная библиотека под атмел студио 7?
В чем принципиальная разница между зарядным устройством (пр. мобильного телефона) и блоком питания? Можно ли использовать ЗУ в качестве постоянного источника питания (заместо БП) или это неправильно и ЗУ наебнется вместе с питаемым электроприбором?
>>260780А собственно чем тебе таймер не нравится? >путем прогона пустого циклаДа, но только если пишешь на С, то нужно вырубить все оптимизации кода. Можешь ещё насиловать к примеру какую нибудь ячейку в RAM, при этом посчитав сколько тактов понадобится для этой операции.
>>260798>А собственно чем тебе таймер не нравится? Зачем тратить аппаратный таймер на хуиту, которая решается одной строчкой цикла?>Да, но только если пишешь на С, то нужно вырубить все оптимизации кода. Да, я уже попробовал. 1 проход цикла занимает 2 такта процессора. Можно неплохо делать задержки.
Посоны, почему у гаусс-ганов такой низкий кпд? Ну, понятно, что большая часть энергии уходит на нагрев проводника. А вот если сделать провод из сверхпроводника? Куда энергия уходить будет? И сколько кпд будет в таком случае?
>>260801>Куда энергия уходить будетНа поддержание температуры сверхпроводимости, намагничивание и нагрев снаряда + обратные токи, в намагничивание "воздуха", потери на переключении да и вообще преобразование электрической энергии в кинетическую таким способом - малоэффективный процесс сам по себе.
>>260797> В чем принципиальная разница между зарядным устройством (пр. мобильного телефона) и блоком питания?Смотря каким блоком питания. ЗУ - это источник напряжения, т.е. он поддерживает стабильное напряжение пока потребляются определённые токи. Например если в зу указаны напряжение 5 вольт и максимальный ток 2 ампера, то это значит, что он будет давать 5 вольт пока потребитель жрёт от нуля до двух ампер. А что будет дальше уже хуй его знает, скорее всего сначала напряжение начнёт падать, а потом зу уйдёт в защиту.> ЗУ в качестве постоянного источника питания (заместо БП)В 99% случаев можно, потому что это разные названия для одного и того же - для источника напряжения. Главное следи, чтобы максимального количество ампер, которые ЗУ может отдать хватало для потребителя.
>>260797Это одно и то же.Собственно зарядное устройство для лития встроено в телефон.
Паяльник 2015 Новых Прибыть ЕС plug 60 Вт 220 В, нагреватель быстро почернел и периодически сыпет говном, последнее жало встало неплотно. Это от изначально дерьмового качества или от резких перепадов температуры (иногда на пару секунд в мокрой губке охлаждал)?
>>260810Скорее и то и то вместе.
Вот пример говнокода.http://pastebin.com/UD6TvRbwНа пике во что он превращается при разной оптимизации. Как заставить gcc не выкидывать участки кода?
>>260766замерь, сколько потребляет от юсб.а вообще, если представить, что каждый светодиод потребляет 20 миллиампер, то 20X60диодов = 1,2 ампера - как раз под твою зарядку
Разбирается тут кто в компостерах? Может сервисники есть? Снял с мамки все, кроме проца. При запуске вертятся только вентиляторы, при этом северный мост за считанные секунды разогревается до того, что жжет палец. Это в нем беда?
>>260802>намагничивание и нагрев снарядаЭто только в начальный момент времени, пока ток растет.>обратные токиКакие такие обратные токи?>в намагничивание "воздуха"То вообще мало же.>малоэффективный процесс сам по себе. Почему?
>>260825Расскажи мне теперь, какой именно участок кода у тебя не будет выполняться?
>>2607665V слишком малоРаботать не будет
>>260797Для зарядки нужны перемычки между d- и d+
>>260833Блять, не так картинка
Как в крестах передать в функцию массив? просто *data? И если да, то как внутри функции обращаться к элементам массива, data[2]?
>>260833почему не между +5 и GND? мне кажется компьютер иначе не почувствует нагрузку и не поймет что кто-то подключен к порту
>>260835То что ты рожаешь - не кресты. В крестах это делается так void func(std::vector<int> internalVector){ for(auto it = internalVector.begin(); it != internalVector.end(); it++){ int a = *it;}///////////////// int main(){ std::vector<int> vec(1,10); func(vec); return 0;}А в С просто передаёшь указатель на начало массива, а потом адресуешься через оператор [] к каждому элементу.
Какие главные характеристики осциллографа? Какой стоит взять человеку, который только дрочить умеет? С1-94 годный?
>>260837Почему-то не хочет передавать. Я вызываю функцию и передаю аргументом массив в виде {0, 1, 2}, а он ругается на это. Почему?cannot convert '<brace-enclosed initializer list>' to 'uint8_t*'
>>260839У тебя тут какая-то cast ошибка. Давай исходники. Желательно не сюда, а на piratepad.
>>260840Да похуй, я переобозначил и компилятор сожрал. Правда все равно нихуя почему-то не работает. Уже 100 раз проверил и пины все и программу и конденсаторы на питание напаял электролит+керамику. И все равно сука не работает.
>>260841А что за МК? Может попробуешь промоделировать в сапре? В протеусе к примеру. Или у тебя есть отладочная плата?
>>260799дурная идея. проще в тотже таймер внедрить переменную ее инкрементировать и в нужном участке кода опрашивать...есть такая хуйня как приоритеты всяких таймеров внешних прерываний и прочие связаные с ними функции.кагда прога уровня мигания светодиодом тагда можно хоть что угодно, но кагда у тебя 4 прерывания дергают достаточно критичные вещи в плане быстродействия...а у тебя прога в длинном цикле какуето хуйню считает ваще заебись ога?
>>260842Не в мк дело, я пытаюсь заставить работать радиомодули nrf24l01+. Вроде данные нормально отправляются по spi, но второй модуль молчит и все тут. Настройки перепроверял 100 раз, все должно быть правильно. С таймингами не должно быть проблем, потому что я отправляю по 1 байту раз в секунду.
>>260843Идея не такая и плохая, если тебе нужны какие нибудь микрозадержки в несколько десятков/сотен тактов. Да и ты про производительность говоришь, но обработка прерывания это оч. дорогая операция. Существуют такие случаи, где задержку можно и нужно организовывать именно описанным способом. Но тут есть другая проблема, если пришло прерывание, то что делать с такой задержкой после выхода из прерывания. Сбрасывать её, продолжать с той точки на которой остановился, или начать заново. Тем более, что в МК не редкость, когда 16разрядный счётчик всего 1, а нужно к примеру что-то делать с микрозадержками в 10 тактов к примеру. Применения есть. И так делаю.
>>260846одно дело кагда >e<<=(i-1); >IO=0; >nop=4;while(nop--); >e>>=7; >IO=e; >nop=20;while(nop--); >IO=1; >i--;} >nop=1;while(nop--);и кагда >делаю фор от 1 до 16000здесь не столько про производительность сколько про адыкватность работы проги.в большинстве случаев ты чтото снимаеш со входа обрабатываеш и выдаеш готовый результат, и чем меньше время от получил до выдал тем лучше, а теперь представь что ты получил начал обрабатывать и у тебя хуяк вызвался этот цикл ну или хуева гора др вариантов.
>>260849Ты че? Ебанутый?
>>260850проблемы с восприятием?где тебе не ясно и что именно?помоему я достаточно доходчиво расписал при каких случаях стоит а при каких нет использовать пустые циклы в качестве временных задержек.
>>260841зачем тебе массив в качестве аргумента?этож пиздец какой долбоебизм глобальный массив заюзать невариант?
>>260836Бля, лол. КЗ будет между +5 и землей. Чтоб комп понял, что надо заряжать, и нужна перемычка между д- и д+.
>>260860Глобальный массив это еще больший долбоебизм. Во всяком случае мне так говорил один программист.
>>260861помоему строго похуй на наличие перемычки.тут недавно ктото ебал мазги с разъемами не форматными усбешными, я ради достоверности полез в стандартный тестером, +5 вольт я там увидел но тк стоял раком да и руки с похмела тряслись коратнул и виндовоз вывалился в защиту по усб.а вообще плохая идея чтото заряжать от усб порта проще от питальника выдернуть +5вольт напрямую и врезать в корпус тотже усб разъем на который и завести и для дебилов подписать зарядка.лет 10 назад приволакли мне мамку на ремонт точнее ситемник, так там на ней отгарела шина +5 вольт нехуевая такая шина какраз от усби порта шла по самому краю, садрал за ремонт как за замену материнки.
>>260863смотря где, если у тебя прога с откомпилированым экзешником под пару метров то да для того в принципе и придумали всякие классы и прочую хуету, а если это прошива для тойже меги или 51 то ничего страшного, какая хуй разница? всеравно ты в синятине явно определяеш в большинстве компиляторов юзаеш ты оперативу самого камня или внешнюю, интерфейсы общения с флешами вообще приходица порой самому лепить, ибо в лом рыть все эти библиотеки, проще даташит прочитать и запилить именно то что нужно тебе
>>260865Да не насрать ли? Все равно передается один только указатель. Ну и количество элементов в массиве. Новая память же не выделяется для массива.
так че епта никто не даст конкретного ответа на этот пост?>>260496и пик от него >>260502поясню для тех кто не в курсе.есть одна печка которую я пилю с зимы.в принципе все готово но остались доводки.мудень в моем мухосранске за 24btb семистор дерет цельных 100 рублей манапалист хуев.но дело даже не в повальном нищебродстве шизика.дело в расчетах.в принципе кагда я игрался этим семистором на 12 вольт все работало, НО 220 это не 12 от трансформатора...хотя по большому счету...НОВАЯ ИДЕЯ.есть один сварочный трансформатор.да дурак весом килограмм 50 но там у меня семисторы ТЛ250 еще блядж масса + 10 кг мутил там охлаждение шинки все дела...идея вот в чем мож взять семистр? и затаскивать ток из разетки?ну ненравица мне шов от инвертора варил дахуя какими аппаратами и самый красивый всетаки от огромного трансформатора.дискас вопщем.
>>260866>>260864имхоТут следует строго разделять программирование под МК и программирование для ПК. Это совершенно разные вещи. Для МК глобальный массив не плохо, а иногда даже лучше, потому что существенно уменьшает вероятность выстрела в ногу. Динамически выделять память в МК нужно только тогда, когда ты её потом собираешься высвободить или масштабировать. В остальном принципиального различия нет. Память для этого массива выделяется в в RAM как и для статического массива. Так что если ты не собираешься масштабировать этот массив или удалять его, то резервируй память с самого начала под него. В отношении ПК, так как из-за особенностей организации памяти, существования нескольких уровней кеша, общей кучи и существенного различия их быстродействия, а так же в различии выделения памяти между динамическим массивом, который выделяется в куче, и статическим, который выделяется в стеке, можно сказать, что использование зарезервированных массивов нецелесообразно. А вообще зависит от МК. Если у тебя какой нибудь pic или AVR, то даже можно не заморачиваться.
>>260496Существует вероятность того, что твоему мультиметру пизда, если на измерительной головке не было сопротивления. Ну а так, ставишь шунт и меряешь.
>>260866и? яж тебе говарю про 2 различных случая.1 работа с массивами под операционкой кагда есть всякие кучи и прочие уборщики мусора.2 и кагда ты явно определил глобальный массив в оперативе камня и с ним играешся тое это ну допутим тот же усреднитель по всплескам.оперативу всегда надо считать мой мальчик иначи будеш улетать в своп.>>260872об этом я и пиздю.проще порой посчитать сколько там глобальных масивов сидит в оперативе структур битов и прочих чаров, чем ебать мазги с динамической организацией памяти.опять же на порядок лучше именно в МК использовать глобальные переменные тк это все работает и нужно именно сейчас.а перебросы из внешней озу и обратно там да один хуй придеца использовать динамическое распределение памяти и один хуй все считать.но епта кагда это было? даже сраный ат89с4051 имеет на борту 128 кбайт оперативы...
>>260874здесь вопрос с подвохом.шизик жи)
>>260875> ат89с4051 имеет на борту 128 кбайт оперативы128байт тамещтоДля AVR к примеру размер встроенной памяти стандартный от 1 до 16кб. Что вполне достаточно для класса задач, для которых AVR нужны. Если хочешь считать ОДУ и СЛАУ на МК, то покупай ARM, программирование под которую существенно отличается.
>>260875здесь поравлюсьпри работе с внешней оперативой придеца выделять кусок в памяти контроллера для переброски тое это все будет работать в строго отведенном пространстве где верховодит всем этим обработчик...флаги симафоры....и недайбоже вся эта залупа вылезет туда куда ей совсем ненадо вылезать.
Как узнать какое питание надо для схемы?
>>260881А какая схема?
>>260879128кбитпоправлюсьпо семисторам есть какие нить мыся?
>>260830При -Os вообще все "оптимизировал" оставил только настройку портовПри -O1 оставил кусок цикла, но p = j вырезал и выкинул весь цикл whileПри -O0 оставил заполнение массива, но выкинул весь цикл while
Сап раданы. Есть одни китайские часики с Али, купил чтоб показывали мне с полки ночью, сколько ещё дрыхнуть.Но вот беда: эта поебень оказалось яркой как ебучий портрет председателя Мао. Натурально ночью ОСВЕЩАЕТ, в темноте аж сука соепит и мешает спать.Вскрыл корпус вот, почесал репу: внутри хоть и китайский пиздец, а на смдхах, искать откуда питается табло лень, вот подумал: может просто въебать полкилоома прямо в питалово? Питается от усб-проводка. Какие подводные камни? Точность не наебнется? Резистор похуй какой по мощности?
>>260881сматри там должно быть написанно.если не написанно то какправило определяеца самым крайним = ближним элементом к питанию.
>>260885Нет. Ничего он не выкидывал.
>>260885вайлы репиты нах ани ваще всрались?есть жи универсальный FOR
>>260882Собираюсь заказать китов для практики, нигде не написано питание.Вот парочка для примера.>>260887Окей, спасибо.
>>260886Берёшь и находишь индикатор в своих часах. Определяешь резисторы, которые подводят ток к индикатору, и их номинал. Увеличиваешь резисторы в два-три-пять раз.
>>260886Этот шлейф у тебя на экран идёт? Или экран ты ещё не открутил?
>>260845Ну чо, никто не поможет?
>>260891>нигде не написано питаниеЯ тоже заказывал, я у продавца спросил.Ещё можно у других продавцов описание посмотреть, некоторые пишут.
>>260892Индикатор к морде изнутри приклеен, отдирать не хочется. Алсо, на контактах шлейфа от микрухи у индикатору чуть менее 5в, т.е. практически исходное напряжение.
>>260893>>260896да, на экран.
>>260896На контакты и повесь переменный
>>260895Ну это не тру, мне разобраться надо со всеми подсчетами желательно. Схему чертить придется наверное
>>260898на каждый контакт по резистору?
>>260900Прозванивай тогда где у них земля общая или что там вообще хуй разберешь
>>260897Я бы искал контакты шлейфа, на которых не меняется напряжение при изменении информаци на экране, а потом подавал разное напряжение на них.Но как тебе это сделать малой кровью, я не знаю.
>>260900Крайний левый общий не?
>>260886 у меня одна девочка не любила еблю при светето и не удевительно комплекс радимого пятна...оно у нее было на пол промежности...по решению проблемы сматри сюданайди 4 транзюка которые отвечают за подсветку.найди их общий минус или плюс - вдуше ни ебу что за индекатор там китаезы прилепили с общим анодом или катодом.там должны быть резюки между общей точкой или сначала переход(транзюк ) потом резюк неважно...твая задача отрезать именно управление стробом.чтобы было все в одной куче.потом рвеш дорожку от основного питания и в разрыв вставляеш порядка 10-100 ом сапративление.китайцы такие тупые)))я на сваих часиках это первым делом ввел в прошивку)как я скучаю по тошибе телекуу него была ахуенная функция такая есть в яблофонах - там тупо глаз видел освещение и приберал яркость...
>>260901Блядь, там 12 жил на 4 цифры и точки. Там сука с РАЗВЁРТКОЙ эта хуйня, динамическая.
>>260904Мимошел, а резать зачем? Параллельно залепить не вариант уже имеющемуся резюку?
>>260906От параллельного соединения сопротивление будет только уменьшаться.
>>260903не, всё на микру идёт.
>>260907Тогда одну ногу к резюку после него а вторую на разьем
>>260906только резать, это я шизик все пилю на макетках...а китаезы за них пилят машины все эти платки.понимаеш суть?мож там эта обшая земля или общий +вырезать придеца палюбому.картинку нарисовал в мазгах уже?понял смысл?
>>260909Тогда надо убрать дорожку на плате. В общем, ебаться всё равно придётся.
>>260886Можешь попробовать заклеить какой нибудь полупрозрачной пленкой.
>>260891По картинкам видно 5в~12в.
>>260911>В общем, ебаться всё равно придётсяТаки чем плох вариант уменьшения общего напряжения питалова посредствам делителя?
Тупой вопрос: есть один optical spdif out и coaxial spdif in. Проканает ли, если прост вместо излучателя впаять провод?
>>260910Все, дошло. Я немного нюфаня. Только азы прохожу.
>>260914> посредствам делителяТем что делителем уменьшать сложные схемы не нужно. И тем что неизвестно как себя поведёт мк при уменьшении напряжения.
>>260913Где видно?
>>260896Тогда хватит страдать хернёй и просто наклей плёнку на часы.
>>260918Номиналы деталей на платах подписаны. По ним видно.
>>260914Хуй его знает что там компаундом залили, может идти медленнее будут по времени.
>>260899Чё? В смысле? Ты не знаешь какое напряжение нужно, но не хочешь спрашивать у продавца и смотреть в описание?Ну хочешь тогда загугли микруху, в которую питание идёт и в даташите посмотри.Загуглил твою синюю плату с пика с микрухой CD4017, питание 3-15 вольт. Нихуя не помогло. http://pdf1.alldatasheet.com/datasheet-pdf/view/50846/FAIRCHILD/CD4017.htmlНоги её выдают на 0.05 вольт ниже, чем питание, а красные светодиоды рассчитаны на 2.2 вольта, а там 1к резисторы...А чтоб понять теперь исходное напряжение надо знать ток потребления светодиодов, а оно зависит от их размеров.А размер их ног как 3 ноги таймера NE555, а значит...Блядь, спроси у продавца и всё.
>>260917>Тем что делителем уменьшать сложные схемы не нужно.Но это всего лишь часы.> как себя поведёт мк при уменьшении напряженияВот под рукой 700 ом, воткнул в плюс - табло еле светится, но точки мигают, минуты меняются. Алсо, там отдельная батарейка имеется для запоминания времени. >>260912Ну это совсем костыль, лол.
>>260923Для тебя плёнка - лучший вариант. Серьёзно. Я тебе пытаюсь втолковать как работают эти индикаторы, а ты просто втыкаешь больший номинал по питанию. Эх ты.
>>260923> Но это всего лишь часы.И что? Если там есть хоть один полупроводник, то это уже нетривиальная схема и использовать делитель - долбоебизм.
>>260923Ну тогда опытным путем подбери проверь работает ли будильник если он есть, не отстает ли время и воткни крутилку
>>260921>может идти медленнее будут по времениЕсли кроме этого никакой хуйни не должно быть, вроде пиздариков или перегрева этого резистора, то таки можно проверить жи.
>>260928Месяца два-шесть прослужит и задохнётся.
>>260924Да я покурил, как они работают, это всё збс. Но тут резисторы совсем мелкие, мозгоебли с их перепаиванием больше, чем эта хуйня на али стоит.
Сфоткай плату часов поближе
>>260932Ок, щас камеру расчехлю.
>>260931НАКЛЕЙ ПЛЁНКУ. Они у тебя и так с различным токопотреблением на каждый светодиод, а ты ещё сильнее их разделяешь. Вот выгорит часть - на двач не пиши. НАГРУЗКА у них не равномерная, когда отключаются одни, на других больше ток, ведь ты же просто понизил общий, а не на каждом элементе. В результате минутный индикатор находится под большей нагрузкой всегда.
>>260916ниче страшного сиськи запили с супом)))все мы были такими...кстати почему мача такая ахуевшая?ана че блядж не видит что необходимо тред перекатывать?мало того что ана тред не перекатываетана в таком ТРАВМАТИЗЬМО ОПАСНОМ ветке не имеет изза своего попустительства а это уголовная статья, содержать тред об электро безопасности.сим считаю необходимым вкинуть пару плакатов .ани в основном для механиков распиздяевно применяя дифференцированное мышление каждый сможет подобрать их для сваих нужд.
>>260915нет дуреньтам оптоволокно жи
Надо отрывать табло и искать анод у каждой цифры как я понял, минимум 4 резистора придется менять.
>>260917а для кого придуман слип режим?
>>260937Да не, вместо светодиода, к одной из его ног.Но тащемта я уже разобрал девайс, посмотрел датащит http://www.ti.com/lit/ds/symlink/pcm2900.pdf и думаю что если я припаяю к 25 ноге, то всё будет хорошо?
>>260934>В результате минутный индикатор находится под большей нагрузкой всегда.Но ведь он по яркости падает на столько же.
>>260941Судя по всему вот этот массив резисторов менять надо.
>>260941Не еби мозги себе и людям. Воткни резистор 200~500 ом по питанию. Эти часы и от 3в будут нормально работать.
>>260943Так я и не ебал, про это и спрашивал.>>260942>массив резисторовчо бывает. Как не посещу радиач, так с пользой.
>>260942Хотя нет, это для ограничения тока базы транзисторов.
>>260941У тебя две точки на дисплее есть мигающие?Если есть, то вот он ttps://www.aliexpress.com/item/4-Bits-Digital-Tube-LED-Display-Module-With-Clock-Display-TM1637-for-Arduino-Raspberry-PI/32681160164.htmДальше надо нагуглить на какой из его ног висит яркость экрана.
>>260941Попробуй выпаять вот этот резистор-перемычку и вместо него запаять какой-нибудь резистор.
Не могу понять что за табло там стоит, не гуглится такое
Пацаны, призываю в этот ИТТ чувака, который разбирается в радейках Motorola. Конкретно вопрос по Motorola CM160. Мой мозг не позволяет мне разобраться её невероятно сложном меню. Не могу переключить её в режим сканирования по каналам/частотам. Как включаю, вылезает меню выбора запрограммированных каналов, что дальше то делать я хз.
>>260888Ты в глаза долбишься? ---------- это значит ничего нет
>>260950Ты лучше ассемблерные листинги смотри, а не это.
>>260950Не может тебе оптимизация удалять такое.
>>260946Паге нот фоунд.4 цифры, две мигающие точки и ещё одна точка сверху перед последним разрядом, типа для градусника.>>260947блин выпаять то можно да вставить нечего, ща поищу
>>260953> да вставить нечего, ща поищуУ тебя ж был на 700Ом. Если не хватает места можешь припаять к эммитеру (тот который под цифрой 2) любого транзистора из четвёрки, они все соединены.
>>260953А вот нет у него нихуя настроек яркости. Это просто тупые светодиоды.На пике не точь в точь как твой, но суть та же.Можно конечно дорожки резать и впаивать резисторы, но будет выглядеть уёбищно. Да и наверняка у тебя ни резисторов, ни паяльника.
>>260955Почитал кодhttp://www.ithepro.com/2015/11/kyx-5461as-4-digit-7-segment-led.htmlhttps://github.com/amriunix/arduino/blob/master/4-digit-7-segment/KYX-5461AS.inoНа пины digit подаётся минус, на segment подаётся плюс.На не используемые digit идёт плюс.Тебе придётся на все 12 дорог паять резисторы, видимо.Ну или как предлагали просто попробовать занизить питание самих часов. Хрен знает.
>>260954смдх нет.ну приклеил кое-как на 150 - яркость уменьшилась вся, но сильно неравномерно.
>>260957единичка сильно ярче двоек, например.
>>260956Не такое табло, должны с точками быть если не ошибаюсь
>>260958Ха, а ведь и правда. Ведь резистор ограничивает общий ток для сегмента, и если в сегменте горит меньшее количество резисторов, то гореть они будут ярче. Тогда всё, тут остаётся только впаивать 8 резисторов, ну или если будешь понижать общее питание, то лучше делай это специализированной микрой, например lm317.
>>260959Ну вот с точкамиhttp://www.instructables.com/id/4-Digit-7-Segment-LED-Display-Arduino/То же самое.
>>260958А восьмерка слабже всех должна быть ибо все сегменты работают, да?
>>260960Алсо, если всё таки решил заморочиться с резисторами, то впаивать их нужно в эти проводки. Остальные 4 управляют сегментом и трогать их не надо.
>>260949Бля, инструкцию почитать?
>>260962Почти нет, хз почему. Алсо, когда загораются точки, вторая и третья цифры тускнеют немношк:3.>>260960ебучие китайцы. Термопару ВНУТРИ корпуса запили (показывает всегда 30 градусов), режим включения от громкого звука запилили, а яркость менять - это пиздец сложно.
>>260960>lm317Какие там у них номиналы по выходным вольтам?
>>260894бумп
>>260964Целый день пытаюсь по инструкции хоть что-то сделать. Только что вот через режим тестирования приёмопередатчика получилось канал выбрать, но их там всего 14 и два зарезервированных. В документации к ней указано, что у неё 64 канала. И режим мол этот, выбора каналов, доступен сразу при включении. А на деле я её врубаю - а она мне эти запрограммированные 10 каналов только выдаёт, а я даже не ебу какие на них частоты вбиты.
>>260968Ну и частоты эти, на запрограммированных каналах, ясен хуй никак не изменить без программатора, как я уже догадался. Бля ну вот что им сложно было цифровую клавиатуру приделать где-нибудь и не ебать мозги пользователям, уууу сука!
>>260941А ну слушай. Там 4 пина для выбора digit, на шлейфе я вижу 2 точно дороги идут в резисторы 0 Ом и 2 ещё хрен знает куда, наверное тоже к двум 0 Ом (прозвони если можешь).Попробуй первые 2 заменить на ~1кОм. Станут 2 цифры тусклее?
>>260941Поставив один резистор на все индикаторы ты уменьшаешь ОБЩИЙ ТОК цепи. То есть в момент, когда у тебя горят все светодиоды - они светят меньше, чем когда горит только 11:11. Соответственно те части индикаторов, которые светят больше времени, сам подумай которые чаще всего используются, выгорают быстрее.
>>260972>выгорают>обычные красные диоды>светят и так в половину яркостину хууй знает
>>260974Я парктроник купил, с экраном на светодиодах. Так индикаторы расстояния сгорели через год, выгорая по сегменту каждый месяц.
>>260975Сгорают от лишнего тока, хуёво ограничены были.
>>260976Как ты думаешь, про что я толковал только что?
По заявкам паяющих.https://2ch.hk/ra/res/260977.htmlhttps://2ch.pm/ra/res/260977.htmlhttp://m2-ch.ru/ra/res/260977.html>>260977 (OP)>>260977 (OP)
у тебя красныеани с общим катодом тюленьани токо зависимые что пиздец.там теплота больше выделяеца чем спектр "красноты"потому то ани и подключены с общим катодом.я такие пожог большие.ани не к массе ани к плюсу управляюца.
>>260979
>>260970Удалил перемычку с оранжевого, таки это сегмент.
>>260984Сука.
>>260978Так то лишний ток, а то просто неравномерный. В полную яркость один хуй ток больше, чем когда какой-то доп резистор вообще есть.
>>260984ты пожг сегменты паваздравляю тебя пони пляшут и ржут над тобою
>>260988В глаза ебёшься, от 0 Ом резистор отпаял.
>>260984Пин 6 это Digit 4Пин 8 это Digit 3Пин 9 это Digit 2 Пин 12 это Digit 1Прозвони куда они на шлейфе выходят, есть ли у них резисторы там на пути?
>>260993так на плате подписано всё, лалки.
мож и мне чегонитьт пожеч?шаз впилю 20 ком9жи синий....ДЕТИочень сложно отстранить себя и познать желания разумавлекущие к ебенеямпосему пара от шизика1 нестоит подавать напряжение не проверив схему2 если рабогтаеш с кемто схему проверяй ДВАЖДЫ3 НЕВЕРЬ НИКАМУ и темболее жучкам3.а сие допускаеца при проверенныхустойчивых цепях и наработке деда - водка.3.б если ударило стоит спрятаца - куданить за за ведомо изеестный куб отлив или прочую ТЯЖОЛУЮ установку3.с нестоит прятаца под металические конструкци крыш и прочие внезапно обрушаемые эхлементы.4 в недолеке от себя стоит держать полторрашку с водой5 при явных звонах в ушах и мозгах стоит найти убежище....6 если вы видети яркую вспышкувам стоит найти полотенце и БЕЛЫЕ матерьялы простынки рукава...и осознать что пиздец наступил.он76 рядом с нами сечас123
>>260993Таки, если верить подписям на плате, которые есть, перемычки все как раз на сегментах. Видимо китйцы решили заебашить ЯРЧЕ и впаяли нули, и в принципе можно б было заморочиться и купить десяток 100-150 омных смдх...
ПЕРЕКАТПЕРЕКАТПЕРЕКАТПЕРЕКАТПЕРЕКАТПЕРЕКАТПЕРЕКАТhttps://2ch.hk/ra/res/260977.htmlhttps://2ch.hk/ra/res/260977.htmlhttps://2ch.hk/ra/res/260977.htmlhttps://2ch.hk/ra/res/260977.htmlhttps://2ch.hk/ra/res/260977.htmlhttps://2ch.hk/ra/res/260977.htmlhttps://2ch.hk/ra/res/260977.html
там всеголиш от контроллера ток другойты тупой?ему проще незаморачиваясь писать>>261001хачу сиськимного сисек и удар в челюсть
мотачи перекатидо кучи плиз
>>261003мда, ты еще и понидаун
>>261000О каких подписях идёт речь? Покажи где какой сегмент как подписан.
>>261007как я понял, прямо над коннектором шлейфа, точно подписаны d4, d1, f и c, d2 выше по дорожке, остальные хз.
>>261008видно?
>>260937кароч попробовал к микрухе, чот не проканало, наверное низковат ток (хотя пендосы пишут на форумах что у них работало). Потом решил ебись оно всё конем, и припал к трансмиттеру. И выийграл!
>>261019С подливой?
Не попадались ли кому проекты по получению сырых данных от дешманских счетчиков вроде меркурий 201? Там вроде как стоит ADE7753, где по spi можно получить осциллограмму, активную/активную моментальную/полную/реактивную мощность, пиковый/rms ток/напряжение, частоту.
>>260966какие хочешь
Вольтметр aidetek 97 показывает 23В переменки на 18В выходе транса; на 9в показывает 11.5. Сетевое, пишет, 237В (бля, не знал, что так завышено). Это ощибка прибора/описания транса (хотя купил с рук у нормального человека, но трансы-то китайские) или методики тестирования (например, сильно постоянка влияет без нагрузки или хз)?
>>261125Если это так, то мы за 800 деревянных покупаем очень навернутый прибор. Токовые клещи с рмс и всеми плюшками в разы дороже.
>>261129Все норма, холостое. Дальше при выпрямлении, стабилизации, нагрузке есть запас.
какие разделы математики используются в радиотехнике?
>>261137У меня стаб на 10в, для 0.1-0.4А тока, не сильно греть будет? И ещё, видел, многие кренки к радиатору через плёнку крепят, это для устранения помех каких-то (10в идёт на цап, стаб вроде <10мкВ шумов даёт)? Имеет смысл?
>>261138Сложение, вычитание, умножение, деление.
>>261125тащемто да, меркурики всегда славились ахъуенными разработками притом дешовыми...но работать с ними порой сущая марока.договора же заключать это вообще лютый пиздец.если камуто надо магу дать пару сцилок на ихнии кишки.кстати одна из их проблем это отвратная реализация высоко уровнего ПО.
>>261141не пизди только сложение про диференцирование и интегрирование я малчу.
>>261140кренки и прочие например BTB семисторы к радиатору крепят через прокладки для того чтобы на радиаторе небыло всякой хуйни...карочи у кренки на металической части корпуса висит масса, у бтб семистора один из "анодов" у некоторых полевиком или катод или анод...надеюсь ты меня понял?
>>261154Тебе формул накидать чтоле гнида?
>>261165Закройте тред нахуй уже
>>261182> два меандра выдаетНет. По сути стоят 2 кнопки, которые срабатывают с небольшой разницей во времени.> Куда в нем землю...Средняя нога - общая. крайние - выводы "кнопок".
>>261183Ну, вообщем я уже и сам разобрался.
Модер скончался!Полчаса назад звонил Нариман. Сказал, что будут отпевать на ваганьковском.Доску будет пока контроллировать кто-то из /t
>>261190Помянем перекатомПЕРЕКАТПЕРЕКАТПЕРЕКАТПЕРЕКАТПЕРЕКАТПЕРЕКАТПЕРЕКАТhttps://2ch.hk/ra/res/260977.htmlhttps://2ch.hk/ra/res/260977.htmlhttps://2ch.hk/ra/res/260977.htmlhttps://2ch.hk/ra/res/260977.htmlhttps://2ch.hk/ra/res/260977.htmlhttps://2ch.hk/ra/res/260977.htmlhttps://2ch.hk/ra/res/260977.html
>>261190Толсто
Можно ли подружить строчник (катуша тесла) и ардуино? а именно сделать аналог это схемы на Ардуино
>>261306ПЕРЕКАТПЕРЕКАТПЕРЕКАТПЕРЕКАТПЕРЕКАТПЕРЕКАТПЕРЕКАТhttps://2ch.hk/ra/res/260977.htmlhttps://2ch.hk/ra/res/260977.htmlhttps://2ch.hk/ra/res/260977.htmlhttps://2ch.hk/ra/res/260977.htmlhttps://2ch.hk/ra/res/260977.htmlhttps://2ch.hk/ra/res/260977.htmlhttps://2ch.hk/ra/res/260977.html
Хотел в общем подключить rtlsdr к мобиле, но там otg работает только с 5v power supply. Можно как нибудь-самому замутить? Есть ардуина. В инете инфы не нашел.